Статистичне вивчення виробництва льоноволокна
Кабінет міністрів України
Національний університет
біотехнологій і природокористування України
Факультет аграрного
менеджменту
Кафедра статистики та
економічного аналізу
Курсова робота
на тему:
Статистичне вивчення
виробництва льоноволокна
Виконала: Куновська А.Е.
Студентка 3 курсу 6 групи
Перевірила: доцент Чухліб
А.В.
Київ - 2009 г.
Варіант 5
|
№п/п
|
Урожайність
льоноволокна, ц/га
|
Якість льонотрести,
номер
|
Витрати праці на 1ц
трести, люд-год
|
|
1
|
7,3
|
0,82
|
6,88
|
|
2
|
6,8
|
0,51
|
3,29
|
|
3
|
10,5
|
1,19
|
3,97
|
|
4
|
11,8
|
0,77
|
3,24
|
|
5
|
5,9
|
0,56
|
6,67
|
|
6
|
3,7
|
0,60
|
1,43
|
|
7
|
9,8
|
0,54
|
2,36
|
|
8
|
5,6
|
0,58
|
3,59
|
|
9
|
8,7
|
0,65
|
3,28
|
|
10
|
5,1
|
0,63
|
7,85
|
|
11
|
7,2
|
0,70
|
5,75
|
|
12
|
3,7
|
0,64
|
3,94
|
|
13
|
6,0
|
0,72
|
6,53
|
|
14
|
5,7
|
0,50
|
4,74
|
|
15
|
9,8
|
0,97
|
4,05
|
|
16
|
7,5
|
0,88
|
7,25
|
|
17
|
5,2
|
0,65
|
5,52
|
|
18
|
4,3
|
0,50
|
2,14
|
|
19
|
7,6
|
0,60
|
5,40
|
|
20
|
6,3
|
0,78
|
2,17
|
|
21
|
10,9
|
0,72
|
6,68
|
|
22
|
12,1
|
0,88
|
10,36
|
|
23
|
13,1
|
1,37
|
3,81
|
|
24
|
3,7
|
0,56
|
4,51
|
|
25
|
13,4
|
1,46
|
3,73
|
Зміст
Вступ
Розділ
1. Предмет, завдання і система показників статистики рослинництва
1.1
Предмет і завдання статистики рослинництва
1.2
Система показників статистики рослинництва
Розділ
2.Статистична оцінка показників рослинництва
.1
Ряди розподілу, характеристика центру і форми розподілу
.2
Статистична оцінка варіації
.3
Криві розподілу та способи перевірки гіпотез про відповідність емпіричного ряду
розподілу щодо нормального
Розділ
3. Статистичні методи вивчення взаємозв’язків
.1
Непараметричні показники щільності зв’язку
.2
Проста криволінійна кореляція
.3
Непараметричні показники щільності зв’язку
.4
Множинна кореляція
Висновки
Список
використаної літератури
Вступ
На сучасному етапі розвитку сільського господарства України
все більш помітною стає необхідність наукового, теоретично обґрунтованого
підходу до виробництва. Вивчення внутрішніх закономірностей галузі та її ланок
- рослинництва і тваринництва - неможливе без використання методів статистичної
науки. При цьому необхідно враховувати, що сільське господарство має ряд
особливостей, порівняно з іншими галузями виробництва. І з цими природно-економічними,
економічними та соціально-економічними особливостями пов’язана система
показників, що за змістом і формою істотно відрізняються від відповідних
показників інших галузей матеріального виробництва.
Природно-економічні особливості сільського господарства
проявляються у тому, що економічний процес відтворення тісно переплітається з
природним відтворенням рослин і тварин. Виробництво сільськогосподарської
продукції значною мірою залежить від природно-кліматичних умов. Треба також
наголосити і на сезонності виробництва, при якій проявляється нерівномірність
витрат праці і засобів виробництва, а також одержання продукції протягом року.
Економічні особливості полягають у тому, що відтворення
здійснюється безпосередньо на власній основі в натуральній формі. Це призводить
до того, що більша частина продукції залишається в сільському господарстві і
використовується для поновлення виробництва.
Соціально-економічні особливості сільського господарства
виявляються в тому, що продукцію цієї галузі виробляють підприємства, які
засновані на різних формах власності. В останні роки виникають нові
організаційні форми господарювання.
Особливістю розвитку рослинництва як галузі сільського
господарства є порівняно висока питома вага селянських, фермерських і особистих
підсобних господарств у виробництві зернових, цукрових буряків, овочів та інших
видів продукції. Це зумовлює потребу у статистичному дослідженні сучасних
тенденцій змін посівних площ і обсягів виробництва продукції.
І тому, враховуючи специфіку сучасного сільського
господарства, процедура статистичного аналізу виробництва, інструментарій
статистики повинні відображати потреби виробництва, а статистичні показники
мають давати змогу зробити висновки і розробити рекомендації щодо можливостей
раціонального і ефективного господарювання в умовах нашого часу.
Метою даної роботи є дослідження і аналіз даних про
виробництво льоноволокна, знайти середні показники виробництва, провести
групування за різними ознаками, визначити основні внутрішні закономірності
процесу виробництва льоноволокна, з’ясувати міру впливу на врожайність таких
факторів як якість льонотрести і витрати праці на 1ц льонотрести. Під час
виконання роботи необхідно буде використати основні методи статистичного
дослідження, навчитися застосовувати на практиці теоретичні положення науки.
Крім того, необхідно також ознайомитися із завданнями та показниками статистики
рослинництва, визначити головні тенденції розвитку статистики сучасної України.
Розділ 1. Предмет, завдання і система показників рослинництва
1.1 Предмет і завдання статистики
рослинництва
Як окрема галузь науки статистика виникла з практичних потреб
людей. Об’єктом її вивчення соціальні, економічні, політичні та культурні явища
і процеси суспільного життя.
Статистика - багатогалузева наука, яка включає загальну
теорію статистики, соціально-економічну статистику і галузеві статистики.
Галузеві статистики (промислова, сільськогосподарська, транспортна) вивчають
стан і розвиток окремих галузей народногосподарського комплексу. Так,
сільськогосподарська статистика вивчає кількісну сторону масових суспільних
явищ, які відбуваються у сільському господарстві, у нерозривному зв’язку з їх
кількісною стороною. Вона розглядає систему об’єктивних показників, що
характеризують умови, процеси і результати сільськогосподарського виробництва,
виявляє і аналізує закономірності розвитку цієї галузі.
Рослинництво - одна з основних галузей сільського
господарства, що пов’язана з обробкою землі і вирощуванням
сільськогосподарських рослин. Воно забезпечує населення продуктами харчування,
тваринництво - кормами, легку, харчову і переробну промисловість - сировиною.
Питома вага продукції рослинництва у валовій продукції сільського господарства
України становить близько 45%. Рослинництво є комплексною галуззю, яка поділяється
на рільництво, овочівництво, луківництво, плодівництво, тощо. Всередині кожної
з цих галузей виділяють групи однорідних культур і окремі культури.
В успішному розвитку рослинництва важливу роль відіграє і
статистика. Завдання статистики рослинництва такі:
· всебічна характеристика стану і розвитку рослинництва;
· дослідження масових процесів та явищ,
які відбуваються в цій галузі;
· контроль за збереженням і
раціональним використанням земельних ресурсів;
· дослідження впливу природних і
економічних факторів на результати виробництва;
· виявлення невикористаних резервів;
· вивчення передового досвіду, тощо.
Статистика рослинництва вивчає розміри та розподіл земельних
угідь, розміщення посівних площ сільськогосподарських культур і площ
багаторічних насаджень, обсяг, строки і якість проведення різних агротехнічних
заходів, загальні розміри врожаю і урожайність сільськогосподарських культур та
багаторічних насаджень. Статистика вивчає стан і розвиток рослинництва по
категоріям господарств (колективні сільськогосподарські підприємства,
держгоспи, міжгосподарські та інші виробничі сільськогосподарські підприємства,
селянські та підсобні господарства населення), адміністративних підрозділах
(районах, областях), сільськогосподарських зонах і підзонах. Всередині окремих
категорій господарств, залежно від спеціалізації, виділяють виробничі типи
підприємств (зернові, овочеві, зерново-бурякові і т.д.).
Основним джерелом відомостей про стан рослинництва є
статистична відомість. В зв’язку з тим, що в рослинництві виробничі процеси
(сівба, догляд за посівами, збирання) виконуються за короткі періоди, то широко
застосовують оперативну звітність, яку подають в органи статистики двічі за
місяць - 1 і 15 числа. Після завершення основних виробничих процесів подають
заключну звітність. Для стійких явищ звітність подають один раз на рік, або два
рази у п’ять років, а частину явищ досліджують проводячи переписи або
спеціальні спостереження.
Статистичне спостереження у рослинництві здійснюють органи
державної статистики разом з керівниками і спеціалістами сільськогосподарських
підприємств, складаючи і збираючи періодичну і річну звітність, проводячи
переписи і спеціальні обстеження. Статистичне спостереження - це, планомірне,
науково організоване збирання масових даних про явища і процеси суспільного
життя за допомогою реєстрації їх суттєвих ознак. Матеріали спостереження - це
первинна статистична інформація, яка є основою для одержання узагальнюючих
характеристик, перша стадія статистичного дослідження. На цій стадії завданням
статистики є облік кожної одиниці сукупності та індивідуальних значень
властивих їй ознак. Характерним для неї є метод масового спостереження. Тільки
масове спостереження дає змогу виявитися загальним умовам, які характерні для
усієї сукупності, і уникнути впливу випадкових причин, що діють на окремі
елементи сукупності.
В Україні здійснюється єдиний державний облік земельного
фонду. Для того щоб забезпечити Ради народних депутатів, підприємства,
установи, організації і громадян відомостями про землю з метою організації її
раціонального використання та охорони, ведеться державний земельний кадастр.
Він містить систему даних і документів про правовий режим земель, а також про
якісну характеристику і народногосподарську цінність земель. Порядок ведення
державного земельного кадастру встановлює Кабінет Міністрів України.
Первинний облік землевласників і землекористувачів, кількості
і якості земель ведуть у “Земельно-кадастровій книзі місцевої Ради народних
депутатів”, а в межах району (міста) у “Державній земельно-кадастровій книзі
району (міста)”. В цих книгах реєструють землевласників і землекористувачів,
показують загальну площу та її розподіл за видами земельних угідь (окремо площі
зрошуваних і осушених земель), наводять дані про облік якості земель
сільськогосподарського, лісогосподарського та державного запасу, а також
характеризують економічну оцінку земель за валовою продукцією (в балах і в
перерахунку на кадастровий гектар), за окупністю витрат і диференційованим
доходом із зазначенням його частки у валовій продукції.
Щороку, станом на 1 січня, підприємства, установи,
організації, об’єднання та землевпорядні органи складають і подають спеціальну
статистичну звітність - ф. №6-зем. “Звіт про наявність і розподіл їх по
категоріях, угіддях, власниках землі та землекористувачах”; ф. №6а-зем. “Звіт
про наявність зрошуваних земель і розподіл їх по категоріях, угіддях, власниках
землі та землекористувачах”; ф. №6б-зем. “Звіт про наявність осушених земель і
розподіл їх по категоріях, угіддях, власниках землі та землекористувачах”. В
цих звітах містяться дані про категорії земель, власників землі та
землекористувачів, а в середині їх - про види угідь, стан і використання землі.
Таку звітність надсилають відділам і управлінням земельних ресурсів районних і
обласних державних адміністрацій, а також Державному комітету по земельних
ресурсах.
Колективні сільськогосподарські підприємства, держгоспи,
дослідні станції, навчально-дослідні господарства наукових закладів складають
“Звіт про сортові посіви під урожай поточного року” (ф. №5-сг). У ньому
наводяться відомості про посівні площі по сортах і гібридах основних
сільськогосподарських культур.
Джерелами статистичних даних про агротехніку і “Звіт про
наявність насіння ярих культур” (ф. №1-сг), “Звіт про виробництво гібридного
насіння кукурудзи” (ф. №19-сг), “Звіт про апробацію посівів” (ф. №15-сг), “Звіт
про проведення агротехнічних заходів щодо захисту грунтів від ерозії і боротьби
з посухою” (ф. №43-сг), “Звіт про підготовку зрошуваних земель” (ф. №20-сг),
“Звіт про підготовку осушених земель” (ф. №21-сг), “Звіт про полив
сільськогосподарських культур” (ф. №30-сг), “Звіт про застосування добрив” (ф.
№9-сг), “Звіт про внесення мінеральних та органічних добрив під урожай
поточного року” (ф. №9б-сг), “Заключний звіт про збирання сортових насінних
посівів” (ф. №28-сг).
Оперативні відомості про хід збирання урожаю
сільськогосподарських культур наводять у ф. №7-сг “Звіт про збирання врожаю,
сівбу озимих і оранку на зяб”. У цьому звіті наростаючим підсумком показують
зібрану площу основних культур і вироблену з цієї площі продукцію. Ця форма має
важливе значення для контролю за виконанням графіків збирання урожаю, а також
для оцінки строків проведення збиральних робіт і втрат продукції.
Попередні дані про збирання врожаю усіх сільськогосподарських
культур надходять від колективних сільськогосподарських підприємств, держгоспів
та інших державних господарств у районні відділи статистики. Ці дані наводяться
у ф. №29-сг “Звіт про збирання врожаю сільськогосподарських культур і
багаторічних насаджень”, який складають станом на перше листопада. У звіті за
розгорнутим переліком культур наводяться такі показники: фактична посівна
площа, зібрана площа від початку збирання до звітного строку, кількість
одержаної з цієї площі продукції, середній збір продукції з 1 га зібраної
площі. Крім того, у звіті показують площу посіву, яка збиратиметься після
звітного строку, і очікуваний збір продукції з 1 га і всієї площі.
Остаточні відомості про валові збори продукції
сільськогосподарських культур органи державної статистики визначають за даними
річних звітів. Дані про розмір продукції, виробленої в селянських та особистих
господарствах населення, визначають органи державної статистики при вибірковому
обстеженні бюджетів.
Важливим джерелом даних статистики рослинництва є річні звіти
сільськогосподарських підприємств. В них наводять загальну земельну площу
господарства та її розподіл по угіддях, наявність зрошуваних і осушених земель,
фактично посіяну площу і збір продукції окремих культур, площу і валовий збір продукції
садів, виноградників та інших багаторічних насаджень. Цінні відомості для
характеристики стану і аналізу розвитку рослинництва дістають в результаті
паспортизації полів і водогосподарських систем. Масові дані про стан земель,
посівів, насаджень нагромаджуються у науково-виробничих системах і закладах,
які обслуговують сільське господарство (землеустрій, гідрометеорологічна
служба, агрохімічне обслуговування, сортовипробування, захист рослин, тощо).
1.2 Система показників статистики
рослинництва
Предметом статистики є особливі ознаки стану і розвитку
масових суспільних явищ. Такі ознаки дістали назву об’єктивних статистичних
показників.
Статистичний показник - це загальна істотна ознака
якого-небудь масового явища у її якісній і кількісній визначеності для
конкретних умов місця і часу. Кожний статистичний показник має кількісний
вираз. Разом з ним кількість в статистиці завжди має відповідну якість. Як
єдність кількості і якості статистичні показники характеризують міру явища.
Будь-яка система показників дає інформацію, яка якісно
відрізняється від тієї, що несуть окремі показники.
Статистичний аналіз, розкриваючи зміст і значення показників,
поглиблюючи уяву про предмет дослідження і властиві цому закономірності,
здійснюють за двома напрямами:
ü замість ізольованих характеристик
окремих сторін предмета розглядають зв’язки і відношення, виявляють фактори,
які впливають на рівень і варіацію показників, оцінюють ефекти їх впливу;
ü вивчають динаміку показників, напрям
і швидкість змін, визначають характер і рушійні сили розвитку.
Все це поглиблює аналіз і дає можливість для багатоцільового
використання результатів.
Для характеристики стану і розвитку рослинництва статистика
використовує систему пов’язаних показників.
Перша група показників характеризує наявність і якість
факторів виробництва. Оскільки основним засобом виробництва в сільському
господарстві є земля, то основні показники в статистиці рослинництва - це
наявність земельних ресурсів, посівні площі і площі багаторічних насаджень.
Наявність трудових ресурсів, основних і оборотних виробничих фондів
розглядаються як фактори використання землі і виробництва продукції. При цьому
відношення обсягу засобів виробництва до земельної площі характеризує рівень
інтенсифікації рослинництва; відношення кількості трудових ресурсів до
земельної площі - забезпеченість трудовими ресурсами; а відношення обсягу
засобів виробництва до чисельності трудових ресурсів - фондоозброєність робочої
сили.
Друга група показників відображає використання факторів
виробництва: землі, трудових ресурсів, основних і оборотних фондів. Поряд з
вивченням використання факторів виробництва статистика досліджує їх
співвідношення. Наприклад, обсягу робіт до затрат праці, обсягу агротехнічних
заходів до посівної площі, використаної енергії до робочого часу, тощо.
Третя група показників характеризує результати виробництва, а
також співвідношення між продукцією і виробничими ресурсами. До цієї групи
належать показники урожайності сільськогосподарських культур, показники
продуктивності праці, фондовіддачі, собівартості продукції, тощо.
Для характеристики економічної ефективності використання
землі визначають такі показники: показники виходу продукції з одиниці земельної
площі, що поділяються на натуральні та вартісні. Найважливішим показником ефективності
використання меліорованих земель є рівень урожайності сільськогосподарських
культур, вирощуваних на цих землях. Об’єктивну оцінку ефективності меліорації
можна дати тільки за допомогою відносних показників приросту урожайності.
Статистичний аналіз рослинництва включає в себе як посівні
площі так і багаторічні насадження.
Посівною площею називають площу ріллі або інших розораних
угідь, яка зайнята посівами сільськогосподарських культур. Розміри посівних
площ обчислюють по окремих культурах і по кожній культурі за господарським
призначенням. Для характеристики загального розміру посівів використовують такі
категорії посівних площ: засіяну, весняно-продуктивну, збиральну і фактично
зібрану.
Динаміку посівних площ аналізують порівнянням фактичного
розміру посівів у поточному році з відповідними даними за минулі роки.
Аналізуючи структуру і структурні зрушення посівних площ, обчислюють питому
вагу посівів окремих культур у загальній площі всіх посівів.
Для характеристики якості посівних площ обчислюють питому
вагу посівів кожної культури сортовим насінням у загальній площі. Для оцінки
структури посівних площ використовують показник урожайності базисного періоду.
Статистичний аналіз багаторічних насаджень здійснюють так
само як і аналіз посівних площ. Проте аналіз багаторічних насаджень має деякі
особливості, пов’язані з тим, що багаторічні насадження використовують для
одержання продукції протягом тривалого періоду. Для них використовують такі
показники: виконання плану закладання нових насаджень, структурні зрушення за
видами насаджень, віковим і сортовим складом, тощо. Крім того вивчають
показники відтворення багаторічних насаджень: забезпечення господарств садивним
матеріалом, насадження молодих рослин у місцях загибелі старих дерев,
зрідженості.
Урожай і урожайність - найважливіші результативні показники
землеробства і сільськогосподарського виробництва в цілому. Рівень урожайності
відображає вплив економічних і природних умов, а також якість
організаційно-господарської діяльності сільськогосподарських підприємств і
господарств.
Під урожаєм (валовим збором) у статистиці розуміють загальний
обсяг продукції, зібраної з усієї площі посіву окремих сільськогосподарських
культур або їх груп. Урожайність - це середній обсяг продукції з одиниці
посівної площі. Для культур, що вирощуються у відкритому ґрунті, урожайність
визначають з розрахунку на 1 га, а у закритому ґрунті - на 1 м2.
Для характеристики урожаю використовують такі показники:
видовий урожай, урожай на пні, фактичний урожай.
Видовий урожай - це очікувані розміри валового збору в певний
період вегетації. Визначають його спеціалісти агрономічного профілю на око
залежно від стану посівів: густоти сходів, ступеня розвитку рослин.
Під урожаєм на пні перед початком своєчасного збирання
розуміють весь вирощений урожай без урахування втрат. Урожай на пні визначають:
) на око, оглядаючи посіви перед збиранням урожаю;
) вибірковим накладанням метрівок перед початком збирання
врожаю.
Фактичний урожай - це кількість фактично зібраної і
оприбуткованої продукції окремих сільськогосподарських культур.
Відповідно до показників урожаю розрізняють такі види
урожайності: видову, на пні і фактичну. Фактичну урожайність обчислюють з
розрахунку на 1 га весняно-продуктивної площі. Для конопель, сіяних однорічних
і багаторічних трав та природних сіножатей урожайність визначають з розрахунку
на 1 га фактично зібраної площі. В овочівництві закритого ґрунту урожайність
обчислюють з розрахунку на 1 м2 інвентарної і оборотної площі. При
цьому визначають коефіцієнт обороту площ.
Важливим завданням статистики рослинництва є визначення втрат
урожаю під час збирання і транспортування продукції, що виникли з тих чи інших
причин.
Статистичні показники у рослинництві характеризуються
абсолютними моментами (площа зрошуваних та осушених земель на певну дату) і
інтервальними рівнями (виробництво продукції, поставка мінеральних добрив за
певний період), а також відносними (структура посівних площ, показники
інтенсифікації рослинництва) і середніми величинами (середня урожайність,
середні втрати продукції під час збирання, тощо).
Розділ 2. Статистична оцінка показників виробництва
льоноволокна
2.1 Ряди розподілу вибіркової
сукупності та їх характеристики
При статистичному групуванні даних кожну групу характеризують
системою показників, які мають певний взаємозв’язок і взаємозалежність з
групувальною ознакою. Якщо виділені групи характеризують не системою
показників, а лише кількістю одиниць, що відносяться до кожної групи, то
дістають ряди розподілу.
Рядом розподілу називається розподіл одиниць сукупності по
групах за величиною варіюючої ознаки. Він складається з двох елементів:
варіантів і частот. Варіантами є окремі значення групувальної ознаки, а
частотами - числа, які показують, скільки разів повторюються окремі значення
варіантів.
Ряди розподілу можна утворити за якісною (атрибутивною) або
кількісною ознакою. Відповідно до цього розрізняють два види рядів -
атрибутивні і варіаційні. Варіаційні ряди залежно від групувальної ознаки
поділяються на дискретні і інтервальні. За дискретною ознакою, кількість
значень якої обмежена, утворюється дискретний ряд розподілу. За дискретною
ознакою, що варіює в широких межах, або за неперервною будують інтервальний ряд
розподілу. При цьому варіанти групуються в інтервали, а частоти відносяться не
до окремого значення ознаки, як у дискретних рядах, а до всього інтервалу.
Ряди складаються з двох елементів: переліку груп і кількості
одиниць, що входять у кожну групу. Ряди розподілу поділяються на ранжировані,
варіаційні та атрибутивні. Варіаційні бувають дискретними та інтервальними.
Дискретними називаються ряди, в яких варіанти виражені цілими числами.
Інтервальними називаються ряди, в яких варіанти виражені у вигляді інтервалів.
При побудові інтервалів неможливо вказати кожне значення варіанти, тому
сукупність розподіляють за інтервалами.
Інтервалом групування називається різниця між максимальними і
мінімальними значеннями ознаки в кожній групі.
За величиною інтервали поділяються на рівні і нерівні. Якщо
варіація групувальної ознаки незначна, а розподіл одиниць сукупності має
порівняно рівномірний характер то застосовують рівні інтервали. Довжину
інтервалу при групуванні із застосуванням рівних інтервалів визначають за
формулою:
,
де
- довжина інтервалу;max - максимальна величина групувальної
ознаки;min - мінімальна величина групувальної ознаки;- кількість
груп.
,
де
- к-ть одиниць спостереження
Ця формула використовується якщо 15≤ N≤400. Якщо N ≥
400, то використовується формула американського вченого Стерджеса:
,
де
- кількість груп- чисельність сукупності.
У статистичній практиці застосовують закриті і відкриті інтервали.
Закритими називають інтервали, в яких відомі мінімальні і максимальні межі
ознаки. Відкритими називають інтервали, в яких невідомі мінімальні і
максимальні межі. Відкритими можуть бути перший і останній ряд.
Характеристикою варіаційного ряду
розподілу є середня величина. Середні величини - це узагальнюючі кількісні
показники, що характеризують типові розміри варіюючих ознак якісно однорідних
сукупностей. Середні величини використовують для узагальненої характеристики
сукупностей за істотними ознаками, для порівняння цих ознак у різних
сукупностях. Середні величини застосовують і при дослідженні закономірностей і
тенденцій розвитку суспільних явищ. Для графічного зображення варіаційного ряду
користуються прямокутною системою координат. На горизонтальній осі абсцис
відкладають значення варіантів, а на вертикальній осі ординат - абсолютні або відносні
значення частот. Найчастіше варіаційні ряди зображуються у вигляді полігону
(многокутника розподілу) і гістограми(стовпчикової діаграми розподілу).
Полігон розподілу застосовують для
зображення як дискретних, так і інтегральних рядів. Координатами точок при
цьому є варіанти (у разі з інтервальними рядами середини інтервалів) і частот,
що відповідають цим варіантам. Точки з’єднують прямими лініями. Щоб замкнути
полігон, крайні точки з’єднують із серединами інтервалів, у яких частоти
дорівнюють нулю.
Гістограму застосовують для зображення
інтервальних варіаційних рядів. На відміну від полігону, на осі абсцис
відкладаються не точки, а відрізки, які зображують інтервал. При її побудові
площа кожного стовпчика повинна бути пропорційною частотам. Для рівних
інтервалів ширина стовпчиків повинна бути однаковою, а висота - пропорційною
частотам. При нерівних інтервалах ширину стовпчиків беруть різну, пропорційно
величині інтервалу в кожній групі, а висоту стовпчиків зменшують в стільки
разів, у скільки збільшують величину інтервалу.
Для графічного порівняння двох і
більше розподілів з рівними чи не рівними використовують комулятивні
діаграми. Їх будують у прямокутній системі координат: на осі абсцис
відкладають інтервали групування у вигляді відрізків, а на осі ординат -
кумулятивні частоти або частки. Висота прямокутників пропорційна кумулятивним
частотам (часткам) відповідних інтервалів ряду розподілу.
Різновидом кумуляти є огіва.
При її побудові на осі абсцис відкладають кумулятивні частоти або частки, а по
осі ординат - межі інтервалів ряду розподілу, тобто огіва є дзеркальним
відображенням кумуляти розподілу.
Середні величини - це величини, що характеризують типові
рівні або значення варіюючої ознаки в конкретних умовах місця і часу. Середні
величини бувають прості та зважені. В статистиці застосовують такі види
середніх величин: середня арифметична, середня гармонійна, середня геометрична,
середня квадратична та ін. Правильну характеристику сукупності можна отримати
лише за певним видом середньої. Найбільш поширеною є середня арифметична.Її
застосовують тоді, коли загальний обсяг варіюючої ознаки для цієї сукупності
становить суму індивідуальних значень усередненої ознаки. Середню арифметичну
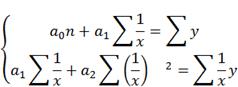
просту визначають за такою формулою:
,
де
1,
x2,.. - окремі значення ознаки (варіанти);- число варіантів.
Середню арифметичну зважену обчислюють за формулою:
,
де
1,
f2,.. - частоти.
Середню гармонічну використовують для узагальненої характеристики ознаки
тоді, коли відомі окремі значення досліджуваної ознаки і обсяги явищ, а частоти
невідомі. Її формула має такий вигляд:
,
де
- кількість варіантів.
На практиці частіше застосовують середню гармонічну зважену, формула
якої має такий вигляд:
,
де
- обсяг явищ.
Середню геометричну використовують для обчислення середніх темпів
зростання, тобто коли загальний обсяг явищ становить не суму а добуток ознак.
Її визначають:
Середню квадратичну використовують для оцінки варіації ознак, а також
для узагальнення ознак, виражених лінійними розмірами яких-небудь площ (для
розрахунку середніх діаметрів стовбурів дерев, листків, кошиків). Її визначають
за такими формулами:
-
проста;
-
зважена.
Доцільно згадати про математичні властивості середньої арифметичної, їх
виділяють чотири:
1
Якщо всі
частоти ряду розподілу зменшити або збільшити в К-разів, то середня арифметична
при цьому не зміниться.
2
Якщо всі
значення варіюючої ознаки зменшити або збільшити на одну й ту саму величину, то
й середня арифметична зменшиться або збільшиться на ту ж саму величину.
3
Якщо всі
значення варіюючої ознаки зменшити або збільшити в одне й те ж число раз, то й
середня арифметична зменшиться або збільшиться в таке ж число раз.
4
Сума
відхилень окремих значень варіюючої ознаки від середньої арифметичної дорівнює
нулю.
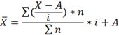
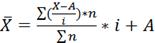
За способом моментів або підрахунку від умовного нуля, середня
арифметична дорівнює:
,
де
А - умовний нуль
За умовний нуль доцільно приймати варіанту, що знаходиться в
центрі ряду розподілу або варіанту, якій відповідає найбільша частота.
Статистичні характеристики центру розподілу (середня, мода,
медіана) відіграють важливу роль у вивченні статистичних сукупностей. Інколи
індивідуальні значення ознаки значно відхиляються від центру розподілу, інколи
- тісно групуються навколо нього, а відтак виникає потреба оцінити міру і
ступінь варіації.
Для характеристики середнього значення ознаки у варіаційних
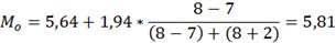
рядах розподілу обчислюють так звані порядкові середні, моду і медіану.
Мода - це варіанта, яка найчастіше зустрічається у даному
варіаційному ряду.
Медіана - це варіанта, яка припадає на середину варіаційного ряду.
Якщо кількість членів ряду парна, то медіана дорівнює середній арифметичній із
двох серединних значень варіант.
Для обчислення використовуються формули:
,
де
у0 - нижня межа модального інтервалу;- крок (ширина)
інтервалу;m - частота модального інтервалу;m-1 - частота
інтервалу, який передує модальному;m+1 - частота інтервалу який
слідує за модальним.
Медіана в інтервальному ряді розподілу одчислюється за такою формулою:
,
де
у0 - нижня межа медіального інтервалу;
-
половина об’єму сукупності;n-1 - сума всіх частот, що передують
медіальному інтервалу;me - частота медіанного інтервалу.
В аналізі закономірностей розподілу використовуються також інші
порядкові характеристики, насамперед квартилі та децилі. Квартилі - це
варіанти, які поділяють обсяги сукупності на чотири рівні частини.
Децилі - на десять рівних частин.
Ці характеристики визначаються на основі кумулятивних частот (часток)
за аналогією з медіаною, яка і є другим квартилем або п’ятим децилем.
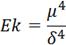
Асиметрія та ексцес - дві пов’язані з варіацією властивості форми
розподілу. Комплексна їх оцінка виконується на основі центральних моментів
розподілу. Алгебраїчно центральний момент розподілу - це середня арифметична
k-го ступеня відхилення індивідуальних значень ознаки від середньої:
Очевидно, що момент 2-го порядку є дисперсією, яка характеризує
варіацію. Моменти 3-го і 4-го порядку характеризують відповідно асиметрію та
ексцес. У симетричному розподілі
=
0. Чим більша скошеність ряду, тим більше значення
. Для того щоб характеристика скошеності не залежала
від масштабу вимірювання ознаки, для порівняння ступеня асиметрії різних
розподілів використовується стандартизований момент
. При правосторонній асиметрії коефіцієнт
> 0, при лівосторонній
< 0. Звідси правостороння асиметрія називається
додатною, а лівостороння - від’ємною. Вважається, що при
< 0,25 асиметрія низька, якщо
не перевищує 0,5 - середня, при
> 0,5 - висока.
Для вимірювання ексцесу використовується стандартизований момент 4-го
порядку
. У симетричному, близькому до нормального розподілі
= 3. Очевидно, при гостровершинному розподілі
> 3, при плосковершинному
< 3.
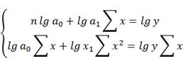
Розрахункова частина:
За всіма трьома ознаками побудувати інтервальні варіаційні
ряди розподілу. Побудувати 12 графіків( 4 графіки по кожній ознаці):
гістограму, огіву, полігон, кумуляту. Обчислити середню арифметичну(за зваженою
і способом моментів, моду,медіану, квартилі ,децимі, коефіцієнт асиметрії,
коефіцієнт ексцесу).
|
№п/п
|
Урожайність
льоноволокна, ц/га
|
Якість льонотрести,
номер
|
Витрати праці на 1ц
трести, люд-год
|
|
1
|
7,3
|
0,82
|
6,88
|
|
2
|
6,8
|
0,51
|
3,29
|
|
3
|
10,5
|
1,19
|
3,97
|
|
4
|
11,8
|
0,77
|
3,24
|
|
5
|
5,9
|
0,56
|
6,67
|
|
6
|
3,7
|
0,60
|
1,43
|
|
7
|
9,8
|
0,54
|
2,36
|
|
8
|
5,6
|
0,58
|
3,59
|
|
9
|
8,7
|
0,65
|
3,28
|
|
10
|
5,1
|
0,63
|
7,85
|
|
11
|
7,2
|
0,70
|
5,75
|
|
12
|
3,7
|
0,64
|
3,94
|
|
13
|
6,0
|
0,72
|
6,53
|
|
14
|
5,7
|
0,50
|
4,74
|
|
15
|
9,8
|
0,97
|
4,05
|
|
16
|
7,5
|
0,88
|
7,25
|
|
17
|
5,2
|
0,65
|
5,52
|
|
18
|
4,3
|
0,50
|
2,14
|
|
19
|
7,6
|
0,60
|
5,40
|
|
20
|
6,3
|
0,78
|
2,17
|
10,9
|
0,72
|
6,68
|
|
22
|
12,1
|
0,88
|
10,36
|
|
23
|
13,1
|
1,37
|
3,81
|
|
24
|
3,7
|
0,56
|
4,51
|
|
25
|
13,4
|
1,46
|
3,73
|
=
=
|
Групи за
врожайністю
|
К-ть респондентів
|
Середина інтервалу
|
Середня якість
трести
|
Середні витрати
праці
|
Нагром. частоти
|
|
3,7-5,64
|
7
|
4,67
|
0,51
|
4,14
|
7
|
|
5,64-7,58
|
8
|
6,61
|
0,68
|
5,41
|
15
|
|
7,58-9,52
|
2
|
8,55
|
0,59
|
4,34
|
17
|
|
9,52-11,46
|
4
|
10,49
|
0,86
|
4,26
|
21
|
|
11,46-13,4
|
4
|
12,43
|
1,12
|
5,29
|
25
|
|
Σ
|
25
|
Х
|
0,75
|
4,77
|
Х
|
|
Групи за якістю
|
К-ть респондентів
|
Середина інтервалу
|
Середня урожайність
|
Середні витрати
праці
|
Нагромадження
частот
|
|
0,50-0,69
|
13
|
0,59
|
5,8
|
4,2
|
13
|
|
0,69-0,88
|
8
|
0,79
|
8,6
|
6,08
|
21
|
|
0,88-1,07
|
1
|
0,98
|
9,8
|
4,05
|
22
|
|
1,07-1,26
|
1
|
1,17
|
10,5
|
3,94
|
23
|
|
1,26-1,46
|
2
|
1,36
|
13,25
|
3,77
|
25
|
|
Σ
|
25
|
Х
|
7,7
|
4,77
|
Х
|
|
Групи за витратами
праці
|
К-ть респондентів
|
Середина інтервалу
|
Середня урожайність
|
Середня якість
трести
|
Нагромадження
частот
|
|
1,43-3,21
|
4
|
2,32
|
6,02
|
0,60
|
4
|
|
3,21-4,99
|
11
|
4,1
|
8,44
|
0,84
|
15
|
|
4,99-6,77
|
6
|
5,88
|
7,13
|
0,66
|
21
|
|
6,77-8,55
|
3
|
7,66
|
6,63
|
0,78
|
24
|
|
8,55-10,36
|
1
|
9,46
|
12,1
|
0,88
|
25
|
|
Σ
|
25
|
Х
|
7,7
|
0,75
|
Х
|
Будуємо інтервальний варіаційний ряд розподілу за
урожайністю:
|
Групи за
врожайністю
|
К-ть респон-дентів
|
Сер. знач.
інтервалу
|
xn
|
x-A
|
|
|
|
(X-X ̅) 3*n
|
|
|
3,7-5,64
|
7
|
4,67
|
32,69
|
-3,88
|
-2
|
-14
|
-3,1
|
-208,54
|
646,46
|
|
5,64-7,58
|
8
|
6,61
|
52,88
|
-1,94
|
-1
|
-8
|
-1,16
|
-12,49
|
1,82
|
|
7,58-9,52
|
2
|
8,55
|
17,1
|
0
|
0
|
0
|
0,78
|
0,94
|
0,74
|
|
9,52-11,46
|
4
|
10,49
|
41,96
|
1,94
|
1
|
4
|
2,72
|
80,49
|
218,44
|
|
11,46-13,4
|
4
|
12,43
|
49,72
|
3,88
|
2
|
8
|
4,66
|
404,77
|
1887,0
|
|
Σ
|
25
|
Х
|
194,35
|
Х
|
Х
|
-10
|
X
|
|
|
Перевіряємо розрахунки середньої способом моментів:
Квартилі:
=
Децилі:
Асиметрія:
=
=
Асиметрія правостороння, висока.
Ексцес:
=1,79
Розподіл плосковершинний.
Будуємо інтервальний варіаційний ряд розподілу за якістю трести:
|
Групи за якістю
трест
|
К-ть респон-дентів
|
Сер. знач.
інтервалу
|
xn
|
x-A
|
|
|
|
|
|
|
0,50-0,69
|
13
|
0,59
|
7,67
|
- 0,38
|
-2
|
-26
|
-0,16
|
-0,053248
|
0,00851968
|
|
0,69-0,88
|
8
|
0,79
|
6,32
|
- 0,19
|
-1
|
-8
|
0,03
|
0,000216
|
0,00000648
|
|
0,88-1,07
|
1
|
0,98
|
0,98
|
0
|
0
|
0
|
0,22
|
0,010648
|
0,00234256
|
|
1,07-1,26
|
1
|
1,17
|
1,17
|
0,19
|
1
|
1
|
0,41
|
0,068921
|
0,02825761
|
|
1,26-1,46
|
2
|
1,36
|
1,36
|
0,38
|
2
|
4
|
0,6
|
0,432
|
0,2592
|
|
Σ
|
25
|
Х
|
18,86
|
X
|
X
|
-29
|
Х
|
0,46
|
0,298
|
Перевіряємо розрахунки середньої способом моментів:
Квартилі:
=1,4
=
Децилі:

Асиметрія:
As=
=
Асиметрія правостороння, середня.
Ексцес:
=4
Розподіл гостровершинний
Будуємо варіаційний інтервальний ряд розподілу за витратами праці на 1
ц льонотрести:
|
Групи за витр.
праці
|
К-ть респон-дентів
|
Сер. знач.
інтервалу
|
xn
|
x-A
|
|
|
|
|
|
|
1,43-3,21
|
4
|
2,32
|
9,28
|
-3,56
|
-2
|
-8
|
-2,56
|
-67,12
|
171,6
|
|
3,21-4,99
|
11
|
4,1
|
45,1
|
-1,78
|
-1
|
-11
|
-0,78
|
5,17
|
4,07
|
|
4,99-6,77
|
6
|
5,88
|
35,28
|
0
|
0
|
0
|
1
|
6
|
6
|
|
6,77-8,55
|
3
|
7,66
|
22,98
|
1,78
|
1
|
6
|
2,78
|
64,44
|
179,25
|
|
8,55-10,36
|
1
|
9,46
|
9,46
|
3.56
|
2
|
1
|
4,58
|
96,07
|
440,16
|
|
Σ
|
25
|
Х
|
122,1
|
Х
|
Х
|
-12
|
Х
|
94,22
|
801,08
|
Перевіряємо розрахунки середньої способом моментів:
Квартилі:
=3,57
=
Децилі:
Асиметрія:
=
=
Асиметрія правостороння, висока.
Ексцес:
=2,9
Розподіл симетричний, близький до нормального.
2.2 Статистична оцінка варіації
льоноволокно якість витрата праця
Статистичні характеристики центру розподілу (середня, мода,
медіана) відіграють важливу роль у вивченні статистичних сукупностей. Інколи
індивідуальні значення ознаки значно відхиляються від центру розподілу, інколи
- тісно групуються навколо нього, а відтак виникає потреба оцінити міру і
ступінь варіації.
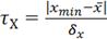
Розмах варіації - це різниця між найбільшим і найменшим
значенням варіюючої ознаки:
Розмах варіації дає уявлення лише про межі коливання ознаки,
оскільки він ураховує два крайніх значення і не враховує відхилення всіх
варіантів. Для більш точної характеристики варіації ознак окремі їх значення
порівнюють з типовим, стійким для сукупності рівнем - величиною середньої.
Внаслідок такого порівняння дістають характеристику варіації рядом відхилень
від середньої. Середнє лінійне відхилення становить середню з абсолютних
відхилень усіх варіантів від середнього значення варіюючої ознаки. Його
визначають за такими формулами:
Проста:
Зважена:
Залежно від загального обсягу варіації визначають дисперсію і
середнє квадратичне відхилення.
Дисперсією називають середнє квадратичне відхилення всіх
значень ознаки від її середньої величини. Її обчислюють за такими формулами:
Проста
Зважена
Дисперсія може бути загальною:
,
міжгруповою:
,
Внутрішньогрупова:
Всі три види пов’язані рівністю:
Середнє квадратичне відхилення (d)
обчислюють добуванням квадратичного кореня з дисперсії: d=
Середнє квадратичне відхилення характеризує середнє коливання
ознаки в сукупності, зумовлене індивідуальними особливостями одиниць
сукупності. Його виражають в таких самих одиницях вимірювання, що й варіанти
досліджуваної ознаки.
Для того, щоб порівняти сукупності з різним рівнем середнього
значення ознаки і середнього квадратичного відхилення, визначають коефіцієнт
варіації (n), який становить відношення середнього квадратичного відхилення до
середнього значення ознаки
Якщо варіація ознаки в сукупності зумовлене випадковими
причинами, то коефіцієнт варіації характеризує відносний вплив випадкових
факторів порівняно з основними умовами сукупності, які формують середню
величину.
За допомогою коефіцієнта варіації можна порівняти сукупності
за коливаннями різних ознак.
Розрахункова частина:
Обчислити для кожного ряду розподілу показники варіації.
Перевірити математичні властивості дисперсії.
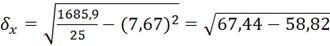
Обчислимо показники варіації для урожайності льону:
|
Групи за
врожайністю
|
К-ть респон-дентів
|
Сер. знач.
інтервалу
|
xn
|
|
*n
|
|
|
|
|
|
3,7-5,64
|
7
|
4,67
|
32,69
|
21,7
|
67,27
|
67,27
|
6727
|
3,14
|
152,66
|
|
5,64-7,58
|
8
|
6,61
|
52,88
|
9,28
|
10,76
|
10,76
|
1076
|
54,5
|
349,54
|
|
7,58-9,52
|
2
|
8,55
|
17,1
|
1,56
|
1,22
|
1,22
|
122
|
41,41
|
146,2
|
|
9,52-11,46
|
4
|
10,49
|
41,96
|
10,88
|
29,59
|
29,59
|
2959
|
168,48
|
440,16
|
|
11,46-13,4
|
4
|
12,43
|
49,72
|
18,64
|
86,86
|
86,86
|
8686
|
284,26
|
618,02
|
|
Σ
|
25
|
Х
|
194,35
|
62,06
|
195,7
|
195,7
|
19570
|
551,79
|
1706,6
|
) Розмах варіації
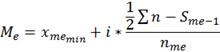
) Середнє лінійне відхилення
2,5
) Середній квадрат відхилення (дисперсія)
) Середнє квадратичне відхилення
δ =
) Коефіцієнт варіації
=
=
Сукупність неоднорідна, варіація велика, тому що 21%≤ V
≤50%.
Тепер перевіримо математичні властивості дисперсії:
1) А=2,
2) С=10,
) А=4,
4)
Обчислимо показники варіації для якості льонотрести:
|
Групи за якістю
трест
|
К-ть респондентів
|
Сер. знач.
інтервалу
|
xn
|
|
|
|
0,50-0,69
|
13
|
0,59
|
7,67
|
2,08
|
0,33
|
|
0,69-0,88
|
8
|
0,79
|
6,32
|
0,24
|
0,0072
|
|
0,88-1,07
|
1
|
0,98
|
0,98
|
0,22
|
0,0484
|
|
1,07-1,26
|
1
|
1,17
|
1,17
|
0,41
|
0,1681
|
|
1,26-1,46
|
2
|
1,36
|
1,36
|
1,2
|
0.72
|
|
Σ
|
25
|
Х
|
18,86
|
4,15
|
1,27
|
) Розмах варіації
) Середнє лінійне відхилення
0,166
) Середній квадрат відхилення (дисперсія)
) Середнє квадратичне відхилення
δ =
) Коефіцієнт варіації
V=
=
Сукупність однорідна, варіація велика, тому що 21%≤ V ≤50%.
Обчислимо показники варіації для витрат праці на 1ц льонотрести:
|
Групи за якістю
трест
|
К-ть респондентів
|
Сер. знач.
інтервалу
|
xn
|
|
|
|
1,43-3,21
|
4
|
2,32
|
9,28
|
10,24
|
26,21
|
|
3,21-4,99
|
11
|
4,1
|
45,1
|
8,58
|
6,69
|
|
4,99-6,77
|
6
|
5,88
|
35,28
|
6
|
6
|
|
6,77-8,55
|
3
|
7,66
|
22,98
|
8,34
|
23,18
|
|
8,55-10,36
|
1
|
9,46
|
9,46
|
4,58
|
20,98
|
|
Σ
|
25
|
Х
|
122,1
|
37,74
|
83,06
|
) Розмах варіації

) Середнє лінійне відхилення
1,5
) Середній квадрат відхилення (дисперсія)
) Середнє квадратичне відхилення
δ =
) Коефіцієнт варіації
=
=
Сукупність неоднорідна,варіація велика, тому що 21%≤ V ≤50%.
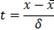
2.3 Криві розподілу та спосіб перевірки гіпотез про
відповідність емпіричного розподілу нормальному
Закономірність розподілу одиниць сукупності за значеннями
варіючої ознаки можна описати певною функцією, яка має назву теоретичної
кривої розподілу. Найбільш часто використовується нормальна крива
розподілу, а сам розподіл, котрий можна описати цією кривою, має назву нормального
розподілу. Він має наступні властивості:
А=0; Е=0
,3% одиниць знаходяться в межах
± σ;
,5% - в межах
± 2σ;
99,7% - в межах
± 3σ.
Дані вибіркових спостережень часто становлять основу для
прийняття одного з кількох альтернативних рішень (продукція може бути
бракованою або якісною, точність обробки виробу в межах норми або нижча від
норми і т. д.). Із загальнометодологічного погляду тут йдеться про висунення
деякої гіпотези, яку відхиляють або приймають після проведення деякого
експерименту. Якщо цей експеримент має статистичний (стохастичний) характер,
кажуть, що гіпотеза є статистичною.
Статистична гіпотеза - це припущення відносно параметрів або
форми розподілу генеральної сукупності, яке підлягає перевірці і на підставі
вибіркового методу може бути прийнятим або відхиленим. У процесі перевірки
статистичної гіпотези потрібно визначити, чи узгоджуються дані спостереження з
висунутим припущенням. Розрізняють гіпотези основні (нульові або робочі) і
альтернативні (конкуруючі). Основною називають гіпотезу яка підлягає перевірці.
Її позначають через Н0. Альтернативною НА називають
гіпотезу, яка протиставляється нульовій гіпотезі і заперечує її. Кожній нульовій
гіпотезі можна протиставити нескінченну множину альтернативних.
Є такі види гіпотез:
1) нульова гіпотеза (Н0) - це гіпотеза, яка
підлягає перевірці;
2) альтернативна (НА) - це гіпотеза,
протилежна до нульової.
Критерій - це показник, на підставі якого здійснюється
перевірка гіпотез.
Галузь допустимих значень - це значення критерію, при яких
приймається Н0.
Критична галузь - це ті значення критерію, при яких
відхиляється Н0.
Критична точка - це точка, яка розмежовує галузь допустимих
значень з критичною галуззю.
Всі статистичні гіпотези поділяються на 2 групи:
1) гіпотези відносно рядів розподілу
;
) гіпотези відносно параметрів розподілу (t-критерій,
F-критерій);
Послідовність перевірки статистичних гіпотез
1) Формулювання Н0.
2) Вибір рівня ймовірності (рівня значущості).
Наприклад, р=0,95,
3) Вибір критерію, за яким здійснюється перевірка
статистичної гіпотези.
4) Розрахунок фактичного значення критерію.
) Визначення числа ступенів вільності.
) Визначення критичної точки (табличного значення
критерію).
) Порівняння фактичного значення критерію з табличним
значенням та на підставі цього прийняття або відхилення Н0.
При перевірці статистичних гіпотез відносно рядів розподілу
розглядаються задачі про узгодження фактичного ряду розподілу щодо нормального
або про узгодження 2-х фактичних рядів розподілу.
Нормальним є розподіл ймовірностей неперервної випадкової
величини, яка має щільність
,
де середня та середнє квадратичне відхилення визначають центр
угрупування та форму кривої на графіку.
Якщо
, а
,
крива називається нормальною кривою.
У результаті статистичної перевірки гіпотези може бути
прийняте одне з двох правильних рішень: 1) гіпотеза приймається і вона істинна;
2) гіпотеза відхиляється і вона неістинна.
Поряд із тим у результаті статистичної перевірки статистичної
гіпотези можуть бути допущені помилки (прийняті неправильні рішення) двох
типів:
) гіпотеза відхиляється, але вона істинна (помилка першого
роду);
) гіпотеза приймається, але вона неістинна (помилка другого
роду).
Виявляється, що помилка першого роду має вагоміші наслідки,
ніж помилка другого роду.
Щоб застрахувати себе від помилки першого роду або принаймні звести до
мінімуму ризик її допущення, вводиться спеціальне число
яке виражає ймовірність відхилення правильної
гіпотези.
Імовірність допущення помилки першого роду називають рівнем
значущості і позначають через
Число
задають наперед і найчастіше його вибирають рівним
0,1; 0,05; 0,01. Якщо
то це означає, що ймовірність допустити помилку
першого роду є мала, а саме - ми ризикуємо її допустити у 5-ти випадках зі 100.
Для перевірки статистичних гіпотез про відповідність двох порівнюваних
рядів розподілу частот нормальному закону використовуємо c2-критерій.
Цей показник був введений у статистику К. Пірсоном. За допомогою критерію c2
оцінюють відповідність між фактичним і теоретичним розподілом частот,
незалежність розподілу одиниць сукупності за градаціями досліджуваної ознаки,
однорідність розподілу.
При використанні c2 слід враховувати такі вимоги. Перевіряючи
гіпотезу про відповідність емпіричного розподілу нормальному, потрібно мати не
менш як 50 спостережень. Не рекомендується використовувати c2,
якщо теоретична чисельність одиниць у групі менша п’яти.
Якщо фактичне значення обчисленого за даними вибірки критерію c2
дорівнює табличному, або менше за нього (при відповідній кількості ступенів
свободи і рівні ймовірності), то це означає, що розбіжності між фактичними і
нормальними частотами випадкові, а якщо фактичне значення більше табличного -
розбіжності між емпіричними і нормальними частотами зумовлені не випадковими, а
істотними причинами.
Величину c2 обчислюють за формулою:
фактичні (емпіричні) частоти розподілу;ʹ - теоретичні частоти
розподілу.
На практиці крім критерія
часто
використовується критерій Колмогорова, цей критерій застосовується для
перевірки простої гіпотези
про
те, що незалежні однаково розподілені випадкові величини
мають задану неперервну функцію розподілу F (x). Він
визначається за формулою:
де D - абсолютна максимальна різниця кумулятивних часток;
п - число спостережень (чисельність одиниць сукупності).
Якщо розподіл задано в частотах, тоді формула матиме вигляд:
В.І. Романовський запропонував критерій узгодження:
Розходження між теоретичною та емпіричною кривою розподілення
вважаються суттєвими або несуттєвими, а розподіл приблизно нормальним або ні, в
залежності від того, буде чи не буде число Rr за абсолютною
величиною більше або менше 3.
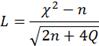
Критерій узгодження Б.С. Ястремського (L) використовується для прямої
відповіді на питання про міру розбіжності між фактичним і теоретичним
розподілом:
-
при кількості груп менше 20 (п<20), дорівнює 0,6.
Розрахункова частина:
Перевірити відповідність емпіричного розподілу (3шт) щодо нормального
за використанням c2-критерію Пірсена.
Перевіряємо відповідність емпіричного ряду розподілу щодо нормального
за результативною ознакою:
|
Групи за
врожайністю
|
К-ть респондентів
|
Сер. знач.
інтервалу
|
xn
|
*n
|
|
Ф(t)
|
nʹ
|
|
|
3,7-5,64
|
7
|
4,67
|
32,69
|
67,27
|
-1,11
|
0,2155
|
4
|
2,25
|
|
5,64-7,58
|
8
|
6,61
|
52,88
|
10,76
|
-0,41
|
0,3668
|
7
|
0,14
|
|
7,58-9,52
|
2
|
8,55
|
17,1
|
1,22
|
0,28
|
0,3836
|
7
|
3,57
|
|
9,52-11,46
|
4
|
10,49
|
41,96
|
29,59
|
0,97
|
0,2492
|
4
|
0
|
|
11,46-13,4
|
4
|
12,43
|
49,72
|
86,86
|
1,66
|
0,1006
|
3
|
0,33
|
|
Σ
|
25
|
Х
|
194,35
|
195,7
|
Х
|
Х
|
25
|
6,29
|
(нульова гіпотеза) - емпіричний ряд розподілу несуттєво
відрізняється від нормального.
c2 =6,29
Р=0,95
υ = n - 3=5 - 3=2
c2 =0,95(2)=6
Так як,фактичне значення c2-критерію Пірсена перевищує критичну
точку при Р(0,95), то
- відхиляється, але емпіричний ряд розподілу суттєво
відрізняється від нормального.
Перевіряємо відповідність емпіричного ряду розподілу щодо
нормального за першою факторною ознакою:
|
Групи за
врожайністю
|
К-ть респондентів
|
Сер. знач.
інтервалу
|
xn
|
*n
|
|
Ф(t)
|
nʹ
|
|
|
0,50-0,69
|
13
|
0,59
|
7,67
|
67,27
|
-0,73
|
0,3056
|
7
|
5,1
|
|
0,69-0,88
|
8
|
0,79
|
6,32
|
10,76
|
0,14
|
0,3951
|
9
|
0,125
|
|
0,88-1,07
|
1
|
0,98
|
0,98
|
1,22
|
1
|
0,2420
|
5
|
3,2
|
|
1,07-1,26
|
1
|
1,17
|
1,17
|
29,59
|
1,86
|
0,0707
|
2
|
0,5
|
|
1,26-1,46
|
2
|
1,36
|
1,36
|
86,86
|
2,73
|
0,0096
|
2
|
0
|
|
Σ
|
25
|
Х
|
18,86
|
195,7
|
Х
|
Х
|
25
|
8,93
|
(нульова гіпотеза) - емпіричний ряд розподілу несуттєво
відрізняється від нормального.
c2 =8,93
υ = n - 3=5 - 3=2
c2 =0,95(2)=6
Так як,фактичне значення c2-критерію Пірсена перевищує критичну
точку при Р(0,95), то
- відхиляється, тобто емпіричний ряд розподілу суттєво
відрізняється від нормального.
Перевіряємо відповідність емпіричного ряду розподілу щодо
нормального за другою факторною ознакою:
|
Групи за
врожайністю
|
К-ть респонд.
|
Сер. знач.
інтервалу
|
xn
|
*n
|
|
Ф(t)
|
nʹ
|
|
|
1,43-3,21
|
4
|
2,32
|
9,28
|
26,21
|
-1,4
|
0,1497
|
4
|
0
|
|
3,21-4,99
|
11
|
4,1
|
45,1
|
6,69
|
-0,43
|
0,3637
|
9
|
0,44
|
|
4,99-6,77
|
6
|
5,88
|
35,28
|
6
|
0,55
|
0,3429
|
8
|
0,5
|
|
6,77-8,55
|
3
|
7,66
|
22,98
|
23,18
|
1,53
|
0,1238
|
3
|
0
|
|
8,55-10,36
|
1
|
9,46
|
9,46
|
20,98
|
2,52
|
0,0167
|
1
|
0
|
|
Σ
|
25
|
Х
|
122,1
|
83,06
|
Х
|
Х
|
25
|
0,94
|
(нульова гіпотеза) - емпіричний ряд розподілу несуттєво
відрізняється від нормального.
c2 =0,94
υ = n - 3=5 - 3=2
c2 =0,95(2)=6
Так як,фактичне значення c2-критерію Пірсена не перевищує
критичну точку при Р(0,95), то
- приймається, тобто емпіричний ряд розподілу не суттєво
відрізняється від нормального.
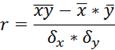
Розділ 3. Статистичні методи оцінки зв’язків
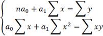
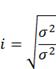
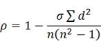
.1 Непараметричні показники щільності зв’язку
Якщо характер розподілу досліджуваної сукупності є
невідомим, то тісноту зв’язку між досліджуваними ознаками можна обчислити за
допомогою непараметричними критеріями зв’язку.
Особливістю цих критеріїв є те, що тісноту зв’язку між
досліджуваними ознаками визначають не за допомогою кількох значень варіант, а
за допомогою порівняння їх рангів.
Ранг - порядок, номер сукупності в ряді розподілу. Чим меншою
є розбіжність, тим тісніший зв’язок.
До непараметричних елементів розв’язку між досліджуваними
ознаками належать коефіцієнт кореляції рангів, коефіцієнт Фехнера.
Коефіцієнт кореляції рангів - є одним із найпростіших
показників оцінки тісноти зв’язку між досліджуваними ознаками.
Цей коефіцієнт може приймати значення від - 1 до 0 і від 0 до
+ 1.
Коефіцієнт Фехнера обчислюється за формулою:
- сума збігів і незбігів знаків у відхиленні від середнього.
Розрахункова частина:
Оцінити тісноту зв’язку між результативною і кожною з
факторних ознак за допомогою коефіцієнта кореляції рангів та коефіцієнта
Фехнера.
Перевіряємо тісноту зв’язку між результативною і першою
факторною ознакою:
|
№ п/п
|
Урожайність
льоноволокна, ц/га
|
Якість льонотрести,
номер
|
Rx
|
Ry
|
d
|
|
x-
|
y-
|
знак
|
|
1
|
7,3
|
0,82
|
12
|
14
|
2
|
4
|
-
|
+
|
-
|
|
2
|
6,8
|
0,51
|
10
|
2
|
-8
|
64
|
-
|
-
|
+
|
|
3
|
10,5
|
1,19
|
17
|
17
|
0
|
0
|
+
|
+
|
+
|
|
4
|
11,8
|
0,77
|
12
|
-7
|
49
|
+
|
+
|
+
|
|
5
|
5,9
|
0,56
|
7
|
2
|
-5
|
25
|
-
|
-
|
+
|
|
6
|
3,7
|
0,60
|
0,33
|
3
|
2,67
|
7,1
|
-
|
-
|
+
|
|
7
|
9,8
|
0,54
|
8
|
3
|
-5
|
25
|
+
|
-
|
-
|
|
8
|
5,6
|
0,58
|
5
|
5
|
0
|
0
|
-
|
-
|
+
|
|
9
|
8,7
|
0,65
|
15
|
4,5
|
-10,5
|
110,25
|
+
|
-
|
-
|
|
10
|
5,1
|
0,63
|
3
|
7
|
4
|
16
|
-
|
-
|
+
|
|
11
|
7,2
|
0,70
|
11
|
10
|
-1
|
1
|
-
|
-
|
+
|
|
12
|
3,7
|
0,64
|
0,33
|
8
|
7,67
|
58,8
|
-
|
-
|
+
|
|
13
|
6,0
|
0,72
|
8
|
5,5
|
-2,5
|
6,25
|
-
|
-
|
+
|
|
14
|
5,7
|
0,50
|
6
|
0,5
|
-5,5
|
30,25
|
-
|
-
|
+
|
|
15
|
9,8
|
0,97
|
8
|
16
|
8
|
64
|
+
|
+
|
+
|
|
16
|
7,5
|
0,88
|
13
|
7,5
|
-5,5
|
30,25
|
-
|
+
|
-
|
|
17
|
5,2
|
0,65
|
4
|
4,5
|
0,5
|
0,25
|
-
|
-
|
+
|
|
18
|
4,3
|
0,50
|
2
|
0,5
|
-1,5
|
2,25
|
-
|
-
|
+
|
|
19
|
7,6
|
0,60
|
14
|
3
|
-11
|
121
|
-
|
-
|
+
|
|
20
|
6,3
|
0,78
|
9
|
13
|
4
|
16
|
-
|
+
|
-
|
|
21
|
10,9
|
0,72
|
18
|
5,5
|
-12,5
|
156,25
|
+
|
-
|
-
|
|
22
|
12,1
|
0,88
|
20
|
7,5
|
-12,5
|
156,25
|
+
|
+
|
+
|
|
23
|
13,1
|
1,37
|
21
|
18
|
-3
|
9
|
+
|
+
|
+
|
|
24
|
3,7
|
0,56
|
0,33
|
2
|
1,67
|
2,79
|
-
|
-
|
+
|
|
25
|
13,4
|
1,46
|
22
|
19
|
-3
|
9
|
+
|
+
|
+
|
|
|
|
|
|
|
936,69
|
|
|
|
Перевіряємо тісноту зв’язку між результативною і другою
факторною ознаками:
|
№ п/п
|
Урожайність
льоноволокна, ц/га
|
Витрати праці на 1ц
трести, люд-год
|
Rx
|
Ry
|
d
|
|
x-
|
y-
|
знак
|
|
1
|
7,3
|
6,88
|
12
|
22
|
10
|
100
|
-
|
+
|
-
|
|
2
|
6,8
|
3,29
|
10
|
7
|
-3
|
9
|
-
|
-
|
+
|
|
3
|
10,5
|
3,97
|
17
|
12
|
-5
|
25
|
+
|
-
|
-
|
|
4
|
11,8
|
3,24
|
19
|
5
|
-14
|
196
|
+
|
-
|
-
|
|
5
|
5,9
|
6,67
|
7
|
20
|
13
|
169
|
-
|
+
|
-
|
|
6
|
3,7
|
1,43
|
0,33
|
1
|
0,67
|
0,45
|
-
|
-
|
+
|
|
7
|
9,8
|
2,36
|
8
|
4
|
-4
|
16
|
+
|
-
|
-
|
|
8
|
5,6
|
3,59
|
5
|
8
|
3
|
9
|
-
|
-
|
+
|
|
9
|
8,7
|
3,28
|
15
|
6
|
-9
|
81
|
+
|
-
|
-
|
|
10
|
5,1
|
7,85
|
3
|
24
|
21
|
441
|
-
|
+
|
-
|
|
11
|
7,2
|
5,75
|
11
|
18
|
7
|
49
|
-
|
+
|
-
|
|
12
|
3,7
|
3,94
|
0,33
|
11
|
10,67
|
113,85
|
-
|
+
|
|
13
|
6,0
|
6,53
|
8
|
19
|
11
|
121
|
-
|
+
|
-
|
|
14
|
5,7
|
4,74
|
6
|
15
|
9
|
81
|
-
|
-
|
+
|
|
15
|
9,8
|
4,05
|
8
|
13
|
5
|
25
|
+
|
-
|
-
|
|
16
|
7,5
|
7,25
|
13
|
23
|
10
|
100
|
-
|
+
|
-
|
|
17
|
5,2
|
5,52
|
4
|
17
|
13
|
169
|
-
|
+
|
-
|
|
18
|
4,3
|
2,14
|
2
|
2
|
0
|
0
|
-
|
-
|
+
|
|
19
|
7,6
|
5,40
|
14
|
16
|
2
|
4
|
-
|
+
|
-
|
|
20
|
6,3
|
2,17
|
9
|
3
|
-6
|
36
|
-
|
-
|
+
|
|
21
|
10,9
|
6,68
|
18
|
21
|
3
|
9
|
+
|
+
|
+
|
|
22
|
12,1
|
10,36
|
20
|
25
|
5
|
25
|
+
|
+
|
+
|
|
23
|
13,1
|
3,81
|
21
|
10
|
-11
|
121
|
+
|
-
|
-
|
|
24
|
3,7
|
4,51
|
0,33
|
14
|
13,67
|
186,87
|
-
|
-
|
+
|
|
25
|
13,4
|
3,73
|
22
|
9
|
-13
|
169
|
+
|
-
|
-
|
|
|
|
|
|
|
2256,17
|
|
|
|
.2 Проста криволінійна кореляції
Кореляційний аналіз - це метод кількісної оцінки
взаємозалежностей між статистичними ознаками, що характеризують окремі
суспільно-економічні явища і процеси.
За ступенем залежності одного явища від іншого розрізняють
два види зв'язку: функціональний (повний) і кореляційний (неповний, або
статистичний). Функціональним називається зв'язок, при якому кожному значенню
факторної ознаки, що характеризує певне явище, відповідає одна або кілька
значень результативної ознаки (функції). Прикладом такого зв'язку є залежність
між довжиною і радіусом кола, площею і стороною квадрата. Функціональна
залежність виявляється у кожному окремому випадку абсолютно точно і виражається
за допомогою аналітичних формул.
За напрямом зв'язок між корелюючими величинами може бути
прямим і зворотним. При прямому зв'язку факторна ознака змінюється в тому
самому напрямі, що й результативна, наприклад зв'язок між внесенням добрив і
урожайністю сільськогосподарських культур, рівнем годівлі і продуктивністю
худоби, рівнем механізації виробничих процесів і продуктивністю праці.
Якщо із збільшенням факторної ознаки результативна ознака
зменшується або, навпаки, із зменшенням факторної ознаки результативна ознака
збільшується, то такий зв'язок називають зворотним, наприклад зв'язок між
урожайністю і собівартістю продукції, собівартістю продукції і рентабельністю
виробництва, продуктивністю праці і собівартістю продукції.
За формою розрізняють прямолінійний і криволінійний
кореляційний зв'язок. Прямолінійний кореляційний зв'язок характеризується
рівномірним збільшенням або зменшенням результативної ознаки під впливом
відповідної зміни факторної ознаки. Аналітичне його визначають за рівнянням
прямої лінії. При криволінійному кореляційному зв'язку рівним змінам середніх
значень факторної ознаки відповідають нерівні зміни середніх значень
результативної ознаки. Аналітичне криволінійний зв'язок визначають за рівнянням
кривої лінії.
Залежно від кількості досліджуваних ознак розрізняють парну
(просту) і множинну кореляцію. При парній кореляції аналізують зв'язок між
факторною і результативною ознаками, при множинній кореляції - залежність
результативної ознаки від двох і більше факторних ознак.
Передумови
кореляційного аналізу.
· Варіація вважається достатньою, якщо вона перевищує
10%. У нашому
· Перевіримо однорідність сукупності за
τ-критерієм:
,
Залежно від форми зв'язку між факторною і результативною ознаками
вибирають тип математичного рівняння, за допомогою якого визначають
характеристики кореляційного аналізу. Прямолінійну форму зв’язку визначають
рівнянням прямої лінії
де y - теоретичні (обчислені за рівнянням регресії) значення
результативної ознаки; a0 - початок відліку, або значення у при
умові, що x=0; a1 - коефіцієнт регресії (коефіцієнт пропорційності),
який показує, як змінюється у при кожній зміні х на одиницю; x - значення
факторної ознаки.
При прямому зв'язку між корелюючими ознаками коефіцієнт регресії має
додатне значення, при зворотному - від'ємне.
Параметри a0 і a1 рівняння регресії обчислюють
способом найменших квадратів. Суть цього способу в знаходженні таких параметрів
рівняння зв'язку, при яких залишкова сума квадратів відхилень фактичних значень
результативної ознаки у від її теоретичних (обчислених за рівнянням зв'язку)
значень yx буде мінімальною
Спосіб найменших квадратів зводиться до складання розв'язання системи
двох рівнянь з двома невідомими:
Розв'язавши цю систему рівнянь, дістанемо:
,
Завданням кореляційного аналізу є визначення щільності зв'язку між
корелюючими величинами. Кількісним показником щільності прямолінійного зв'язку
результату з одним фактором є коефіцієнт парної кореляції, який обчислюють за
формулою
де r - лінійний коефіцієнт кореляції;
σx,
- середнє квадратичне відхилення факторної ознаки;
σy,
- середнє квадратичне відхилення результативної ознаки.
У разі парної залежності коефіцієнт кореляції при прямому зв'язку
коливається від 0 до +1 і при зворотному зв'язку - від 0 до -1. Чим ближчий цей
коефіцієнт до ±1, тим щільніший зв'язок між х і у, і навпаки, чим ближчий
коефіцієнт кореляції до 0, тим менший зв'язок між результативною і факторною
ознаками. При r<0.3 зв'язку немає, при r=0.3-0.5 зв’язок слабкий, r=0.5-0.7
- середній і при r>0.7 - тісний. Коефіцієнт кореляції має такий самий знак,
як і коефіцієнт регресії у рівнянні зв’язку.
Для оцінки тісноти зв’язку між досліджуваними ознаками
обчислюють такі показники:
. Індекс кореляції ( універсальний показник, який обчислюють
як при прямолінійних, так і при криволінійних формах зв’зку. Може бути від 0 до
1.
. Коефіцієнт кореляції(обчислюється лише при прямолінійних зв’язках.
Може бути як від -1 до 0, так і від 0 до 1)

. Коефіцієнт детермінації ( показує на скільки процентів варіація
результативної ознаки зумовлена варіацією факторної ознаки)
Для оцінки суттєвості коефіцієнтів кореляції використовуємо
F-критерій Фішера, значення якого розраховують:
Розрахункова частина:
Описати за допомогою рівняння регресії показати залежність
результативної ознаки від першої факторної. Обчислити коефіцієнт кореляції та
коефіцієнт детермінації. Перевірити суттєвість коефіцієнту кореляції. Те ж саме
зробити для другої факторної ознаки. Результативна і перша факторна:
|
№п/п
|
Урожайність льоноволокна,
ц/га
|
Якість льонотрести,
номер
|
|
|
xy
|
|
1
|
7,3
|
0,82
|
53,29
|
0,6724
|
5,986
|
|
2
|
6,8
|
0,51
|
46,24
|
0,2601
|
3,468
|
|
3
|
10,5
|
1,19
|
110,25
|
1,4161
|
12,495
|
|
4
|
11,8
|
0,77
|
139,24
|
0,5929
|
9,086
|
|
5
|
5,9
|
0,56
|
34,81
|
0,3136
|
3,304
|
|
6
|
3,7
|
0,6
|
13,69
|
0,36
|
2,22
|
|
7
|
9,8
|
0,54
|
96,04
|
0,2916
|
5,292
|
|
8
|
5,6
|
0,58
|
31,36
|
0,3364
|
3,248
|
|
9
|
8,7
|
0,65
|
75,69
|
0,4225
|
5,655
|
|
10
|
5,1
|
0,63
|
26,01
|
0,3969
|
3,213
|
|
11
|
7,2
|
0,7
|
51,84
|
0,49
|
5,04
|
|
12
|
3,7
|
0,64
|
13,69
|
0,4096
|
2,368
|
|
13
|
6
|
0,72
|
36
|
0,5184
|
4,32
|
|
14
|
5,7
|
0,5
|
32,49
|
0,25
|
2,85
|
|
15
|
9,8
|
0,97
|
96,04
|
0,9409
|
9,506
|
|
16
|
7,5
|
0,88
|
56,25
|
0,7744
|
6,6
|
|
17
|
5,2
|
0,65
|
27,04
|
0,4225
|
3,38
|
|
18
|
4,3
|
0,5
|
18,49
|
0,25
|
2,15
|
|
19
|
7,6
|
0,6
|
57,76
|
0,36
|
4,56
|
|
20
|
6,3
|
0,78
|
39,69
|
0,6084
|
4,914
|
|
21
|
10,9
|
0,72
|
118,81
|
0,5184
|
7,848
|
|
22
|
12,1
|
0,88
|
146,41
|
0,7744
|
10,648
|
|
23
|
13,1
|
1,37
|
171,61
|
1,8769
|
17,947
|
|
24
|
3,7
|
|
|
|
|
|
25
|
|
|
|
|
|
|
Σ
|
191,7
|
18,78
|
1685,9
|
15,7
|
157,7
|
Перевіряємо на однорідність:
≤ 3
< 3
3
< 3
=2,93
Перевіряємо на достатність варіації:
Варіація є достатньою за результативною ознакою.
Варіація є достатньою за першою факторною ознакою.
Будуємо рівняння регресії:
Обчислюємо коефіцієнт кореляції:
=6,3
Зв'язок тісний, прямий.

Перевіряємо суттєвість коефіцієнту кореляції зо допомогою
F-критерію Фішера.
Н0: коефіцієнт кореляції є не суттєвими.
Оскільки фактичний критерій більше критичного, то нульова гіпотеза
відхиляється , але коефіцієнт кореляції є суттєвими.
Результативна та друга факторна
|
№п/п
|
Урожайність
льоноволокна, ц/га
|
Якість льонотрести,
номер
|
|
|
xy
|
|
1
|
7,3
|
6,88
|
53,29
|
47,3344
|
50,224
|
|
2
|
6,8
|
3,29
|
46,24
|
10,8241
|
22,372
|
|
3
|
10,5
|
3,97
|
110,25
|
15,7609
|
41,685
|
|
4
|
11,8
|
3,24
|
139,24
|
10,4976
|
38,232
|
|
5
|
5,9
|
6,67
|
34,81
|
44,4889
|
39,353
|
|
6
|
3,7
|
1,43
|
13,69
|
2,0449
|
5,291
|
|
7
|
9,8
|
2,36
|
96,04
|
5,5696
|
23,128
|
|
8
|
5,6
|
3,59
|
31,36
|
12,8881
|
20,104
|
|
9
|
8,7
|
3,28
|
75,69
|
10,7584
|
28,536
|
|
10
|
5,1
|
7,85
|
26,01
|
61,6225
|
40,035
|
|
11
|
7,2
|
5,75
|
51,84
|
33,0625
|
41,4
|
|
12
|
3,7
|
3,94
|
13,69
|
15,5236
|
14,578
|
|
13
|
6
|
6,53
|
36
|
42,6409
|
39,18
|
|
14
|
5,7
|
4,74
|
32,49
|
22,4676
|
27,018
|
|
15
|
9,8
|
4,05
|
96,04
|
16,4025
|
39,69
|
|
16
|
7,5
|
7,25
|
56,25
|
52,5625
|
54,375
|
|
17
|
5,2
|
5,52
|
27,04
|
30,4704
|
28,704
|
|
18
|
4,3
|
2,14
|
18,49
|
4,5796
|
9,202
|
|
19
|
7,6
|
5,4
|
57,76
|
29,16
|
41,04
|
|
20
|
6,3
|
2,17
|
39,69
|
4,7089
|
13,671
|
|
21
|
10,9
|
6,68
|
118,81
|
44,6224
|
72,812
|
|
22
|
12,1
|
10,36
|
146,41
|
107,3296
|
125,356
|
|
23
|
13,1
|
3,81
|
171,61
|
14,5161
|
49,911
|
|
24
|
3,7
|
4,51
|
13,69
|
20,3401
|
16,687
|
|
25
|
13,4
|
3,73
|
179,56
|
13,9129
|
49,982
|
|
Σ
|
191,7
|
119,14
|
1685,9
|
674,09
|
932,57
|
Перевіряємо на однорідність:
≤ 3
< 3
3
< 3
=2,93
Перевіряємо на достатність варіації:
Варіація є достатньою за результативною ознакою.
Варіація є достатньою за другою факторною ознакою.
Будуємо рівняння регресії:
Обчислюємо коефіцієнт кореляції:
=37,3
Зв'язку немає.
Варіація урожайності на 1,44% залежить від якості льонотрести
і на 98,56% від інших не врахованих факторів.
Перевіряємо суттєвість коефіцієнту кореляції зо допомогою
F-критерію Фішера.
Н0: коефіцієнт кореляції є не суттєвими.
Оскільки фактичний критерій менше критичного,то нульова теорія відхиляється
, а коефіцієнт кореляції є не суттєвими.
3.3 Проста криволінійна кореляція
При криволінійній формі зв’язку збільшення факторної ознаки
призводить до нерівномірного збільшення (або зменшення) результативної, або ж
зростання її величини змінюється зниженням, а зменшення - збільшенням
результативної ознаки.
Для визначення зв’язків між досліджуваними ознаками,
взаємозалежність яких передбачає можливість існування оптимальних розмірів
операцій використовують рівняння параболи:
= а0 + а1 x1 + а2
х2
Для визначення а0 , а1 і а2 необхідно
розв’язати систему з трьох рівнянь:
Може бути використане і рівняння, яке нагадує рівняння
гіперболи:
Таким чином залежність рівнянь може бути виражена рівнянням
двочленної гіперболи:
Якщо інтервал зміни факторної ознаки значний, використовують
рівняння тричленної гіперболи:
Система нормальних рівнянь в такому випадку буде такою:
Для аналітичного вираження явищ при вивченні темпів приросту
використовують рівняння експоненціальної кривої:
Де х - фактор-аргумент (порядковий номер року, який в
аналітичних рівняннях одержує значення 1, 2, 3 і т.д.);
а0 - показник базисного року;
а1 - середньорічний темп приросту.
Невідомі параметри а0 і а1 в наведеній
вище формулі визначаємо логарифмуванням, перетворивши показову функцію в пряму:
Система нормальних рівнянь при цьому має вигляд:
В аналізі економічних явищ часто використовують степенну
функцію виду:
Не лінійність щодо своїх констант зумовлюють її перетворення
(шляхом логарифмування) у логарифмічно-лінійну функцію виду:
Таке перетворення дає змогу розв’язувати систему нормальних
рівнянь методом найменших квадратів.
Логарифмічно-лінійну функцію використовують при дослідженні
явищ, які характеризуються тим, що із приростом абсолютної величини факторної
ознаки її вплив на результативну знижується. Цьому типу функцій притаманна
пропорціональність не абсолютних (як для рівняння прямої лінії), а відносних
приростів економічних показників, які вивчаються.
Якщо природа взаємозв’язку економічних явищ така, що середня
арифметична результативної ознаки (у) пов’язана із середньою арифметичною
факторної ознаки (х), то математичний вираз подібної залежності, тобто оцінку
однієї змінної за другою, дає логарифмічна крива, гіпотетичне рівняння якої:
.
Відсутність чисельних значень логарифмів для нульових і
від’ємних чисел обмежує можливості використання логарифмічних функцій в окремих
випадках економічного аналізу.
Для оцінки тісноти зв’язку використовують показники:
. індекс кореляції
2. коефіцієнт детермінації
Розрахункова частина:
Описати за допомогою параболи залежність результативної
ознаки від першої факторної ознаки. Обчислити індекс кореляції, коефіцієнт
детермінації. Теж саме зробити для другої факторної.
Будуємо рівняння параболи для результативної та першої
факторної:
= а0 + а1 x1 + а2
х2
Оцінюємо тісноту зв’язку використовують показники:
індекс кореляції
коефіцієнт детермінації

Будуємо рівняння параболи для результативної та другої
факторної:
= а0 + а1 x1 + а2
х2
Оцінюємо тісноту зв’язку використовують показники:
індекс кореляції:
коефіцієнт детермінації:

3.4 Множинна кореляція
На практиці економічного аналізу
часто доводиться вивчати явища, які складаються під впливом не одного, а
багатьох різних факторів, кожний з яких окремо може не справляти вирішального
впливу. Спільний же вплив може бути досить сильним. Методи вимірювання
кореляційного зв’язку одночасно між двома чи більше ознаками становлять вчення
про множинну кореляцію. Множинна кореляція дає змогу оцінити зв'язок
результативної ознаки з будь-якою факторною при фіксованому значенні інших,
включених в регресійну моделі.
При теоретичному обґрунтуванні моделі
і виборі факторних ознак слід враховувати тісноту кореляційного зв'язку між
ознаками. При наявності зв'язку, який близький до функціонального
(мультиколінеарності), оцінки параметрів багатофакторного рівняння регресії
будуть ненадійними. Для оцінки мультиколінеарності між ознаками достатньо
обчислити відповідні коефіцієнти кореляції. Якщо коефіцієнт кореляції двох
факторних ознак близький до одиниці, то одну з них треба виключити. На цьому
етапі важливо не тільки вибрати фактори, але й розкрити структуру взаємозв'язку
між ними.
Складною є проблема обґрунтування функціонального виду багатофакторного
рівняння регресії. Аналіз парних зв'язків непридатний, тому що фактори
взаємозв'язані, а визначити зв'язок між 
і
при фіксованих значеннях інших факторних ознак дуже
складно. Тому на практиці найчастіше використовують багатофакторні лінійні
рівняння і рівняння, що приводяться до лінійного виду відповідними
перетвореннями, тобто:
Параметр рівняння a1 називають частинним коефіцієнтом
регресії. Він показує, як у середньому змінюється результативна ознака у зі
зміною факторної ознаки xi на одиницю за умови, що інші факторні
ознаки залишаються незмінними.
Для визначення параметрів
треба
скласти і розв'язати систему нормальних рівнянь
Для оцінки тісноти зв’язку при множинній кореляції використовують парні
та часткові коефіцієнти кореляції, множинний коефіцієнт кореляції та
детермінації, а також часткові коефіцієнти детермінації.
А) Парні коефіцієнти кореляції ( характеризують тісноту зв’язку між
двома ознаками без врахування дії інших ознак):
;
;
Б) часткові коефіцієнти
Визначення зв'язку в моделях множинної регресії доповнюється оцінкою
тісноти зв'язку з кожною факторною ознакою окремо. Для цього застосовують
часткові коефіцієнти. Вони характеризують тісноту зв’язку результативної ознаки
з однією факторною ознакою, при умові, що інші факторні ознаки перебувають на
постійному рівні:
В) Множинний коефіцієнт кореляції( характеризує тісноту
зв’язку між всіма досліджуваними у моделі ознаками):
Чим більш прямолінійною є залежність, тим більш множинний
коефіцієнт кореляції відповідає індексу кореляції.
Г) Множинний коефіцієнт детермінації
(за його допомогою визначають тісноту зв'язку між результативною ознакою і
сукупністю факторних ознак):
Д) часткові коефіцієнти детермінації
У свою чергу множинний коефіцієнт детермінації розкладають на часткові
коефіцієнти детермінації, які характеризують на скільки відсотків варіація
результативної ознаки залежить від варіації кожної з факторних ознак.
У множинній кореляції обчислюють також коефіцієнт еластичності та β- коефіцієнт.
Коефіцієнт еластичності (показує на скільки процентів зміниться
результативний показник при зміні факторного на 1 %).
β- коефіцієнт (показує на скільки квадратичних відхилень
змінюється результативний показник при зміні факторної ознаки на 1 середнє
квадратичне відхилення)
Перевірку істотності зв'язку здійснюють за допомогою F-критерію та
коефіцієнтів детермінації.
:
Перевірка суттєвості регресії здійснюють за формулою:
,
де
-
характеризує вплив факторів, які не досліджуються в моделі і обчислюється:
Розрахункова частина
Побудувати рівняння регресії, що описує залежність результативної
ознаки від двох факторних ознак). Перевірити суттєвість коефіцієнтів регресії а1
і а2. Перевірити суттєвість множинних коефіцієнтів кореляції.
|
№
|
y
|
|
|
|
|
|
|
|
|
|
1
|
7,3
|
0,82
|
6,88
|
53,29
|
0,6724
|
47,3344
|
5,986
|
50,224
|
5,6416
|
|
2
|
6,8
|
0,51
|
3,29
|
46,24
|
0,2601
|
10,8241
|
3,468
|
22,372
|
1,6779
|
|
3
|
10,5
|
1,19
|
3,97
|
110,25
|
1,4161
|
15,7609
|
12,495
|
41,685
|
4,7243
|
|
4
|
11,8
|
0,77
|
3,24
|
139,24
|
10,4976
|
9,086
|
38,232
|
2,4948
|
|
5
|
5,9
|
0,56
|
6,67
|
34,81
|
0,3136
|
44,4889
|
3,304
|
39,353
|
3,7352
|
|
6
|
3,7
|
0,6
|
1,43
|
13,69
|
0,36
|
2,0449
|
2,22
|
5,291
|
0,858
|
|
7
|
9,8
|
0,54
|
2,36
|
96,04
|
0,2916
|
5,5696
|
5,292
|
23,128
|
1,2744
|
|
8
|
5,6
|
0,58
|
3,59
|
31,36
|
0,3364
|
12,8881
|
3,248
|
20,104
|
2,0822
|
|
9
|
8,7
|
0,65
|
3,28
|
75,69
|
0,4225
|
10,7584
|
5,655
|
28,536
|
2,132
|
|
10
|
5,1
|
0,63
|
7,85
|
26,01
|
0,3969
|
61,6225
|
3,213
|
40,035
|
4,9455
|
|
11
|
7,2
|
0,7
|
5,75
|
51,84
|
0,49
|
33,0625
|
5,04
|
41,4
|
4,025
|
|
12
|
3,7
|
0,64
|
3,94
|
13,69
|
0,4096
|
15,5236
|
2,368
|
14,578
|
2,5216
|
|
13
|
6
|
0,72
|
6,53
|
36
|
0,5184
|
42,6409
|
4,32
|
39,18
|
4,7016
|
|
14
|
5,7
|
0,5
|
4,74
|
32,49
|
0,25
|
22,4676
|
2,85
|
27,018
|
2,37
|
|
15
|
9,8
|
0,97
|
4,05
|
96,04
|
0,9409
|
16,4025
|
9,506
|
39,69
|
3,9285
|
|
16
|
7,5
|
0,88
|
7,25
|
56,25
|
0,7744
|
52,5625
|
6,6
|
54,375
|
6,38
|
|
17
|
5,2
|
0,65
|
5,52
|
27,04
|
0,4225
|
30,4704
|
3,38
|
28,704
|
3,588
|
|
18
|
4,3
|
0,5
|
2,14
|
18,49
|
0,25
|
4,5796
|
2,15
|
9,202
|
1,07
|
|
19
|
7,6
|
0,6
|
5,4
|
57,76
|
0,36
|
29,16
|
4,56
|
41,04
|
3,24
|
|
20
|
6,3
|
0,78
|
2,17
|
39,69
|
0,6084
|
4,7089
|
4,914
|
13,671
|
1,6926
|
|
21
|
10,9
|
0,72
|
6,68
|
118,81
|
0,5184
|
44,6224
|
7,848
|
72,812
|
4,8096
|
|
22
|
12,1
|
0,88
|
10,36
|
146,41
|
0,7744
|
107,3296
|
10,648
|
125,356
|
9,1168
|
|
23
|
13,1
|
1,37
|
3,81
|
171,61
|
1,8769
|
14,5161
|
17,947
|
49,911
|
5,2197
|
|
24
|
3,7
|
0,56
|
4,51
|
13,69
|
0,3136
|
20,3401
|
2,072
|
16,687
|
2,5256
|
|
25
|
13,4
|
1,46
|
3,73
|
179,56
|
2,1316
|
13,9129
|
19,564
|
49,982
|
5,4458
|
|
Σ
|
191,7
|
18,78
|
119,14
|
1685,9
|
15,7
|
674,09
|
157,73
|
932,57
|
90,2
|
Побудуємо рівняння множинної регресії:
,показує, що із підвищенням якості льонотрести на 1 номер,
урожайність підвищиться в середньому на 8,56 центнера, при умові, що друга
факторна є елюмінованою.
,показує, що із підвищенням витрат праці на 1 люд-год,
урожайність зросте в середньому на 0,12 центнерів , при умові, що і нша
факторна є елюмінованою.
Оцінюємо тісноту зв’язку між досліджуваними ознаками:
Знаходимо парні та часткові коефіцієнти кореляції:
=0,72
Знаходимо множинний коефіцієнт кореляції:
=
0,71
Обчислюємо множинний коефіцієнт детермінації:
Д=
Знаходимо часткові коефіцієнти детермінації:
0,54
Д=0,54+0,01= 0,55 ≈ 0,50
Розрахуємо коефіцієнт еластичності:
При зміні факторної ознаки на 1%, результативна зміниться на
0,84%.
При зміні другої факторної ознаки на 1%, результативна
зміниться на 0,074%. Розрахуємо β-коефіцієнт:
При зміні першої факторної ознаки на
1 середнє квадратичне відхилення, результативна ознака зміниться на 0,05
квадратичних відхилень.
При зміні другої факторної ознаки на
1 середнє квадратичне відхилення, результативна ознака зміниться на 0,084
квадратичних відхилень.
Перевіряємо суттєвості регресії:
,
де
Перевіряємо суттєвість множинного коефіцієнту кореляції:
:
Н0: коефіцієнти множинної кореляції є не суттєвими.
Оскільки фактичний критерій більше критичного,о нульова теорія
відхиляється , але коефіцієнти множинної кореляції є суттєвими.
Висновки
В ході виконання курсової роботи я дослідила залежність
урожайності льоноволокна від таких факторів, як якість льонотрести та витрати
праці на 1 ц льонотрести.
Отже, коефіцієнт варіації за результативною ознакою показав,
що дана сукупність є неоднорідна, бо V<33%, варіація велика, тому що 21%≤
V ≤50%; за першою факторною - сукупність бо V>33%, однорідна,варіація
велика, тому що 21%≤ V ≤50%,; за другою факторною - сукупність
неоднорідна, бо V<33%, варіація велика, тому що 21%≤ V ≤50%.
При перевірці відповідності емпіричного ряду розподілу щодо
нормального за використанням критерію Пірсена за результативною ознакою
зясували, що фактичне значення c2-критерію Пірсена перевищує критичну
точку при Р(0,95), тому емпіричний ряд розподілу суттєво відрізняється від
нормального.За першою факторною : фактичне значення c2-критерію Пірсена перевищує критичну
точку при Р(0,95) - емпіричний ряд розподілу суттєво відрізняється від
нормального. За другою результативною: фактичне значення c2-критерію Пірсена не перевищує
критичну точку при Р(0,95), тобто емпіричний ряд розподілу не суттєво
відрізняється від нормального.
При оцінці тісноти зв’язку, за допомогою коефіцієнта
кореляції рангів та коефіцієнта Фехнера, між результативною та першою факторною
зясували, що зв'язок прямий, значний. При оцінці між результативною і другою
факторною - непрямий, слабкий.
Після обчисленні коефіцієнта кореляції для результативної і
першої факторної, який дорівнює 0,72 зясували, що зв'язок тісни, прямий. При
перевірці суттєвості коефіцієнту кореляції за допомогою F-критерію Фішера
зясували, що коефіцієнт є суттєвим. При обчисленні коефіцієнта кореляції для
результативної та другої факторної, зясували, що зв’язку немає. При перевірці
на суттєвість - коефіцієнт не є суттєвим.
Аналізуючи залежність між результативно, першою факторною та
другою факторною ознаками обчислили індекси кореляції, які становлять 0,34 та
0,226 відповідно,а коефіцієнти детермінації в свою чергу становлять 12% та
5,1%. Що говорить про те, що урожайність залежить на 12% від якості
льонотрести. Та урожайність залежить на 5.1% від витрат праці на 1 ц
льонотрести.
Після аналізу залежності урожайності одночасно від якості
льонотрести та витрат праці на 1 ц льонотрести за допомогою множинного рівняння
регресії, параметри показали ,що
, а це означає, що із підвищенням
якості льонотрести на 1 номер, урожайність підвищиться в середньому на 8,56
центнера, при умові, що друга факторна є елюмінованою.
, і в свою чергу показує, що із
підвищенням витрат праці на 1 люд-год, урожайність зросте в середньому на 0,12
центнерів , при умові, що інша факторна є елюмінованою.
Множинний коефіцієнт детермінації показав, що урожайність на
52% залежить від якості льонотрести та витрат праці на 1 ц льонотрести, і на
48% від інших не врахованих факторів. Розрахувавши коефіцієнт еластичності
першої та другої факторної ознак, зясували, що при зміні першої факторної
ознаки на 1%, результативна зміниться на 0,84%.А при зміні другої факторної
ознаки на 1%, результативна зміниться на 0,074%.
Після розрахунків β-коефіцієнтів: При зміні
першої факторної ознаки на 1 середнє квадратичне відхилення, результативна
ознака зміниться на 0,05 квадратичних відхилень. При зміні другої факторної
ознаки на 1 середнє квадратичне відхилення, результативна ознака зміниться на
0,084 квадратичних відхилень.
При перевірці суттєвості множинного
коефіцієнта кореляції дослідили, що він є суттєвим.
Отже, враховуючи вище сказане можна
зробити висновок, що урожайність має більшу залежність від якості льонотрести
ніж від витрат праці на виробництво 1 ц льонотрести.
Список використаної літератури
1
Бугуцький
О.А., Опря А.Т. та інші / Під редакцією Бугуцького О.А. Сільськогосподарська
статистика з основами економічної статистики. - К.: Вища школа. Головне вид-во,
1984. - 294 с.
2
Вашків
П.Г., Пастер П.І., Сторожук В.П. Теорія статистики: Навч.посібник. - Київ:
Либідь,2001 р.
3
Головач
А.В. Статистика: Підручник. - К.: Вища школа, 1993. - 623 с.
4
Горкавий
В.К. Статистика: Підручник. - К.: Вища школа, - 415 с.
5
Козаченко
І.В. Статистика. К.: Вища школа, 1982 - 256 с.
6
Тарасенко
І.О. Статистика: Навч. посібник. - К.: Центр учбової літератури, 2006р.
7
Опря А.Т.
Статистика: (з програмованою формою контролю знань). - К.: Урожай, 1996 - 448
с.