Исследование математической модели системы управления (объект управления - реактивная паровая турбина)

  • Вид работы:
    Курсовая работа (т)
  • Предмет:
    Физика
  • Язык:
    Русский
    ,
    Формат файла:
    MS Word
    207,87 Кб
  • Опубликовано:
    2012-10-25
Вы можете узнать стоимость помощи в написании студенческой работы.
Помощь в написании работы, которую точно примут!

Исследование математической модели системы управления (объект управления - реактивная паровая турбина)

Министерство образования и науки Российской  Федерации

Федеральное государственное бюджетное  образовательное учреждение высшего профессионального образования

«ТЮМЕНСКИЙ ГОСУДАРСТВЕННЫЙ НЕФТЕГАЗОВЫЙ УНИВЕРСИТЕТ»

Институт кибернетики, информатики и связи

Кафедра кибернетических систем

специальность 220201 Управление и информатика в технических системах





КУРСОВАЯ РАБОТА

ПО ДИСЦИПЛИНЕ "МОДЕЛИРОВАНИЕ СИСТЕМ"

ТЕМА: ИССЛЕДОВАНИЕ МАТЕМАТИЧЕСКОЙ МОДЕЛИ СИСТЕМЫ УПРАВЛЕНИЯ (объект управления -  реактивная паровая турбина)


Выполнил:

Ерема С.А.,

группа УИТС-09-1

Проверил:

Ковалёв П. И.


Тюмень 2012

ЦЕЛЬ КУРСОВОЙ РАБОТЫ

Целью курсовой работы является овладение навыками сбора, обработки и систематизации научно-технической информации по заданному направлению профессиональной деятельности, изучения специальной литературы, анализа достижений отечественной и зарубежной науки и техники в области профессиональной деятельности.

ЗАДАНИЕ

Исследовать математическую модель системы управления (объект управления - реактивная паровая турбина).

модель величина техническая система турбина

ОГЛАВЛЕНИЕ

Введение

. Анализ технической системы

.1 Наименование системы

.2 Область применения

.3 Назначение системы

.4 Структура системы

.5 Принцип действия системы, протекающие в ней процессы

. Математическая модель технической системы

.1 Входные и выходные величины

.2 Взаимодействие системы с внешней средой

.3 Величины, характеризующие режим функционирования системы

.4 Способы воздействия на систему

.5 Физические законы, которым подчиняются процессы, протекающие в системе

Заключение

Перечень использованных источников

ВВЕДЕНИЕ

Огромное значение для энергетики и электрификации имело изобретение и распространение паровых турбин. Принцип их действия был подобен гидравлическим, с той, однако, разницей, что гидравлическую турбину приводила во вращение струя воды, а паровую - струя разогретого пара. Точно так же, как водяная турбина представляла собой новое слово в истории водяных двигателей, паровая продемонстрировала новые возможности парового двигателя.

В конце XIX столетия была построена многоступенчатая турбина, у которой расширение пара производилось в каналах, образуемых лопатками неподвижных и подвижных лопаточных венцов, т. е. как в соплах, так и на рабочих лопатках. Именно такая турбина получила развитие под названием реактивной турбины.

В 1884г. английский инженер Чарльз Парсонс предложил многоступенчатую реактивную турбину, расширение пара в которой происходило не в одной, а в ряде следующих друг за другом ступеней, причем не только в сопловых (неподвижных), но и в рабочих (вращающихся) решетках (Рис. 1), благодаря чему стала возможна работа машины со значительно меньшими, чем в активной турбине, скоростями пара на выходе из сопловых решеток и соответственно с меньшими окружными скоростями рабочих лопаток.

Рис. 1

В конце XIX в. в связи с развитием электрических машин и широким внедрением электроэнергии развитие паротурбостроения пошло быстрыми темпами. Первые паровые турбины в России начали выпускать в 1907 г. на Металлическом заводе в Петербурге.

На протяжении всей истории развития турбостроения прослеживается линия на повышение экономичности паротурбинных установок и паровых турбин, а также увеличения единичной мощности энергетических турбин. В настоящее время как для станций на органическом топливе, так и для атомных электростанций, максимальная единичная мощность паровых турбин находится на уровне 1000-1200 МВт.

1. АНАЛИЗ ТЕХНИЧЕСКОЙ СИСТЕМЫ

1.1 Наименование системы

Реактивная паровая турбина.

1.2 Область применения

«Современная энергетика основывается на централизованной выработке электроэнергии. Генераторы электрического тока, устанавливаемые на электрических станциях, в подавляющем большинстве приводятся паровыми турбинами. Доля энергии, производимой в нашей стране тепловыми и атомными электростанциями, где применяются паровые турбины, составляет 83 - 85%.

Таким образом, паровая турбина является основным типом двигателя на современной тепловой электростанции и в том числе на атомной. Паровая турбина получила также широкое распространение в качестве двигателя для кораблей военного и гражданского флота. Паровые турбины применяются, кроме того, для привода различных машин - насосов, газодувок и др.

Использование в энергетике другой тепловой турбины - газовой - не привело к вытеснению паровых турбин. Собственно газовые турбины нашли применение как пиковые агрегаты, работающие в течение года относительно мало времени. В суммарной выработке электроэнергии они занимают небольшую долю, не превышающую 1 - 2%. В тоже время комбинации газовой и паровой турбины, так называемые парогазовые установки, весьма перспективны, поскольку они могут обеспечить наивысший КПД теплосилового цикла, т.е. производство электроэнергии с минимальным расходом топлива.» [Щегляев А.В. Паровые турбины. Теория теплового процесса и конструкции турбин. Книга 1. - М.: Энергоатомиздат, 1993.]

«Преимущества паровой турбины по сравнению с поршневыми двигателями, в частности с паровой машиной, заключаются в благоприятных динамических условиях работы (равномерность вращения и уравновешенность сил инерции), быстроходности, компактности, возможности осуществления весьма крупных мощностей в одном агрегате. От двигателей внутреннего сгорания паровая турбина, кроме того, выгодно отличается, как и паровая машина, возможностью использования любого топлива для получения пара (в паровых котлах), в том числе местных видов его, что имеет большое народнохозяйственное значение. Поэтому крупные паровые турбины являются основными двигателями электростанций. Кроме того, паровые турбины часто используются в качестве привода для компрессоров, для освещения поездов и т. п.» [Врашев С.П., Летник А.Л., Шифрин Д.М., Машиноведение, -М.:МАШГИЗ, 1954]

Таким образом, реактивные паровые турбины применяются главным образом в области энергетики (в том числе и на АЭС), а также в качестве привода для разнообразных устройств, таким образом, может считаться достаточно универсальным устройством, применяется в разных отраслях промышленности. Кроме того, применяется на транспорте.

1.3 Назначение системы

Реактивная паровая турбина - это машина, в которой происходит преобразование тепловой энергии пара в механическую работу.

Основным назначением реактивных паровых турбин является выработка тепловой и электрической энергии.

Кроме того, конкретные модели реактивных паровых турбин могут быть предназначены для привода компрессоров, нагнетателей, насосов, вентиляторов и других механизмов собственных нужд вместо электропривода, а также электрогенераторов для собственного производства электроэнергии. Отработавший в турбине пар используется для технологических нужд и теплоснабжения.

Эффективное управление энергетическим хозяйством предусматривает рациональное использование ресурсов и применение энергосберегающих технологий. Внедрение паровых турбин малой мощности (от 100 кВт до 1000 кВт), предназначенных для утилизации избыточной энергии водяного пара от паровых котлов является активной мерой по энергосбережению. Паровые турбины могут использоваться во всех энергосистемах, имеющих источники пара - это предприятиях различных отраслей, таких как металлургические производства, имеющие контур охлаждения, химические и фармацевтические заводы, использующие систему выпаривания, многочисленные котельные и во многих других местах.

1.4 Структура системы

«Паровая турбина является двигателем, в котором потенциальная энергия пара превращается в механическую работу вращающегося ротора по преодолению сил сопротивления приводимой машины (электрического генератора, питательного насоса, компрессора, вентилятора и др.).

Всякая турбина состоит из неподвижных и вращающихся частей. Совокупность всех неподвижных частей принято называть статором турбины, а вращающихся - ротором.» [Беляев Л.А., Турбины тепловых и атомных электрических станций, Томск, 2009]

«Паровая турбина состоит из следующих основных частей и механизмов: фундаментной плиты, корпуса (цилиндра) с направляющими аппаратами, диафрагмами и уплотнениями, подшипников,  ротора, механизма регулирования, системы смазки.» [Лосев С.М. Паровые турбины и конденсационные устройства, 1964]

«Паровая турбина относится к числу ротативных лопаточных двигателей. Ротативными называются такие машины, в которых движение получается сразу во вращательной форме. Основная часть таких машин - ротор, представляющий собой вал, на который надсажены диски. В лопаточных машинах диски ротора снабжены по окружности лопатками (изогнутыми пластинками). Лопатки паровой турбины получают энергию от непрерывно протекающего по ним пара и передают ее через диски на вал, с которого она поступает к потребителю (например, к электрическому генератору). Следует заметить, что от гидротурбины паровая турбина конструктивно отличается весьма существенно, но газовая турбина близка к паровой.

Рис. 2 Ротор простейшей паровой турбины

Ротор простейшей паровой турбины показан на рис. 2: вал - 1, диск - 2, рабочие лопатки - 3. Рядом с диском укреплено сопло - 4, в котором струя пара получает необходимую по величине и направлению скорость.

Сопловой аппарат, состоящий из группы сопел, и венец рабочих лопаток (т.е. совокупность лопаток, занимающих окружность диска) образуют одну ступень давления. Обычно турбина состоит из нескольких последовательно расположенных ступеней давления, одноступенчатыми же выполняются лишь турбины малой мощности.

Преимущества паровой турбины по сравнению с поршневыми двигателями, в частности с паровой машиной, заключаются в благоприятных динамических условиях работы (равномерность вращения и уравновешенность сил инерции), быстроходности, компактности, возможности осуществления весьма крупных мощностей в одном агрегате. От двигателей внутреннего сгорания паровая турбина, кроме того, выгодно отличается, как и паровая машина, возможностью использования любого топлива для получения пара (в паровых котлах), в том числе местных видов его, что имеет большое народнохозяйственное значение. Поэтому крупные паровые турбины являются основными двигателями электростанций. Кроме того, паровые турбины часто используются в качестве привода для компрессоров, для освещения поездов и т. п.» [Врашев С.П., Летник А.Л., Шифрин Д.М., Машиноведение, -М.:МАШГИЗ, 1954]

«Совокупность неподвижной сопловой решетки, закрепленной в сопловых коробках или диафрагмах, со своей вращающейся рабочей решеткой, закрепленной на следующем по ходу пара диске, принято называть ступенью турбины.» [Беляев Л.А., Турбины тепловых и атомных электрических станций, Томск, 2009]

 «В каждой сопловой решетке поток пара ускоряется в сопловых каналах специально выбранного профиля и приобретает необходимое направление для безударного входа в каналы между рабочими лопатками. Усилия, развиваемые потоком пара на рабочих лопатках, вращают диски и связанный с ними вал. который передает вращающий момент ротора турбины на приводимую машину (генератор, воздуходувку и др.).

К переднему торцу ротора прикреплен приставной конец вала, на котором установлены бойки двух предохранительных выключателей (датчики автомата безопасности 22), воздействующие на стопорный и регулирующие клапаны, которые прекращают доступ пара в турбину при повышении частоты вращения ротора на 10-12 % по сравнению с расчетной. Приставной конец вала с помощью гибкой муфты соединен с валом главного масляного насоса, корпус которого своим всасывающим патрубком прикреплен к приливу картера переднего подшипника.

Главный масляный насос предназначен для подачи масла в систему смазки подшипников турбины и генератора (при давлении 0,15 МПа) и в систему регулирования (при давлении 2 МПа), обеспечивающую автоматическое поддержание заданной частоты вращения ротора турбины. Датчиком частоты вращения является быстроходный упругий регулятор скорости, установленный на конце вала насоса. Со стороны выхода пара ротор турбины соединен полугибкой муфтой с ротором генератора.» [Беляев Л.А., Турбины тепловых и атомных электрических станций, Томск, 2009]

«Ротор турбины выполняется в виде барабана, на котором укреплены лопатки. Направляющие лопатки укреплены в корпусе турбины. Расширение пара происходит как на неподвижных, так и на подвижных лопатках. Тепловые перепады на ступень и скорости пара невелики (от 50 до 250 м/сек), поэтому число ступеней велико (в некоторых случаях достигает 75 - 100).

Реактивные турбины также нередко выполняются в виде радиальных турбин, в которых поток пара идет в направлении, перпендикулярном валу (Рис. 3).» [Лосев С.М. Паровые турбины и конденсационные устройства, 1964]

Рис. 3 Схематический чертеж радиальной турбины 1, 2 - диски турбины; 3 - паропроводы свежего пара; 4, 5 - валы турбины; 6, 7 - лопатки промежуточных ступеней

«Турбины с одними только реактивными ступенями в настоящее время почти не строят. Причина этого кроется в том, что при высоких начальных давлениях пара лопатки первых ступеней получаются слишком короткими, вследствие чего размеры радиальных зазоров получаются большими по сравнению с высотой лопаток. В связи с этим КПД части высокого давления оказывается невысоким из-за повышенных потерь на утечки через радиальные зазоры. Кроме того, в чисто реактивной турбине нельзя применять более совершенное сопловое перераспределение. Поэтому обычно прибегают к комбинированию активной части высокого давления с реактивными ступенями.

Полезно помнить, что характерным признаком, по которому можно, глядя на чертеж, сразу отличить реактивную турбину от активной со ступенями давления, является наличие у последней диафрагм, расположенных между рабочими дисками и разделяющих корпус на отдельные камеры; у реактивной же турбины между рабочими лопатками, как правило, укрепленными на барабане, диафрагм нет, а имеются только прикрепленные к корпусу неподвижные направляющие лопатки.» [Лосев С.М. Паровые турбины и конденсационные устройства, 1964]

1.5 Принцип действия системы, протекающие в ней процессы

«В реактивных турбинах преобразование тепловой энергии в механическую энергию совершается при участии внешней кинетической энергии струи пара. В турбинах кинетическая энергия струи пара вызывает вращающий момент колеса.

  Часть тепловой энергии пара при его расширении превращается в работу. Для использования работы расширения пара служат паровые турбины. В паровых турбинах потенциальная энергия пара при его расширении в соплах преобразуется в кинетическую энергию движущегося с большой скоростью пара. Струя пара направляется на изогнутые лопатки. Воздействие струи на лопатки приводит вал во вращение.

  Для того чтобы преобразовать потенциальную энергию пара в кинетическую энергию, нужно дать ему выход из котла или паропровода, где он находится под давлением, через сопло в пространство с меньшим давлением.

  Из сказанного выше следует, что, используя расширение пара в турбине, мы можем получить механическую работу, эквивалентную располагаемому перепаду тепла за вычетом потерь. Процесс преобразования тепловой энергии в механическую работу может происходить различным образом в зависимости от типа турбины.

  Турбины, у которых расширение пара совершается не только до вступления его на рабочие (подвижные) лопатки, но и во время прохождения между ними, называются турбинами, работающими с реакцией. Если теплопадение в соплах составляет примерно половину общего теплопадения (или меньше), турбину принято называть реактивной.

  Независимо от того, по активному или реактивному принципу работает турбина, суть явления будет оставаться одинаковой: если направить струю пара, вытекающую из сопла, на лопатки, насаженные на диске, то диск начнет вращаться под ее действием.

  В турбинах, работающих по реактивному принципу, расширение пара происходит между рабочими лопатками. Для полного использования кинетической энергии скорость движения лопаток на средней окружности должна быть равно относительной скорости выхода пара из рабочих лопаток.» [Лосев С.М. Паровые турбины и конденсационные устройства, 1964]

  «При чисто реактивном принципе работы расширение пара происходит в движущихся соплах, сопровождаясь ускорением струй в относительном движении и возникновением движущей силы реактивного давления (отталкивания). Здесь отсутствует расчленение процессов на две стадии, имеющее место в активном процессе, а поэтому отпадает надобность в неподвижных сопловых аппаратах.

Паровые турбины, которые принято называть (условно) реактивными, работают одновременно по активному и реактивному принципу. В этих турбинах неподвижные сопла обусловливают первое расширение пара, за счет которого осуществляется работа пара на лопатках по активному принципу, а второе расширение пара, вызывающее реактивную работу, происходит на лопатках. Рабочие лопатки реактивных турбин, как и активных, имеют криволинейный профиль - для воспринятия активной работы, но при суживающемся сечении канала - для осуществления реактивной работы. Сужение лопаточного канала при сохранении постоянного шага лопаток приводит к значительной несимметричности поперечного сечения реактивных лопаток (активные лопатки почти симметричны). Первая реактивная многоступенчатая паровая турбина, нашедшая широкое практическое применение, была построена в конце прошлого века Парсонсом. На схеме этой турбины (Рис. 4) показаны: пустотелый барабанный ротор 1, рабочие лопатки 2 и 3, сопловые лопатки 4 и 5, патрубок для подвода свежего пара 6, патрубок для отвода отработавшего пара 7, разгрузочный поршень 8, служащий для уравновешивания паром осевого давления, направленного по ротору в сторону движения пара, соединительная труба 9, сообщающая левую сторону этого поршня с конденсатором или одной из последних ступеней давления.

Рис. 4 Схема реактивной турбины с барабанным ротором

В современных реактивных турбинах при больших окружных скоростях применяются дисковые роторы.» [Врашев С.П., Летник А.Л., Шифрин Д.М., Машиноведение, -М.:МАШГИЗ, 1954]

«Принцип действия турбины объясним двумя процессами, происходящими в сопловых решетках и каналах, образованных рабочими лопатками, при прохождении через них рабочего тела - пара.  В соплах потенциальная энергия пара преобразуется в кинетическую; в лопаточном канале под воздействием струи пара возникает центробежная сила, воздействующая на лопатки и вызывающая вращение ротора турбины. При соединении вала с генератором тока механическая энергия преобразуется в электрическую.

В однодисковой турбине не удается достаточно полно использовать кинетическую энергию струи пара. Значительная часть ее теряется с выходной скоростью пара, покидающего турбину, что снижает КПД турбины. Кроме этого, для генераторов тока чрезмерно высокая частота вращения не требуется. В целях снижения угловой скорости и повышения экономичности работы турбины их выполняют многоступенчатыми - со ступенями скорости и давления.

Особенностью реактивных турбин является несимметричная форма лопаток, образующих криволинейные суживающиеся каналы. При движении по таким каналам пар на выходе из сопла продолжает расширяться, повышая свою относительную скорость. В дополнение к центробежной силе это вызывает действующую на лопатки реактивную силу давления.

Паровые турбины обладают преимуществами перед другими двигателями. Они дают возможность в одном агрегате получить высокую мощность и высокий КПД, использовать любые виды топлива для получения пара, использовать отработавшую в них энергию для получения пара или горячей воды; отличаются относительно небольшими габаритами и надежны в работе. По характеру теплового процесса турбины подразделяют на конденсационные с выбросом всего пара в конденсатор и теплофикационные (конденсационные с регулируемым отбором пара и турбины с противодавлением), в которых часть или весь пар отбирают из промежуточных ступеней давления для производственных нужд, отопления и горячего водоснабжения. Общий коэффициент использования теплоты топлива при применении теплофикационных турбин (на ТЭЦ) достигает 80% и более.

По параметрам свежего пара различают турбины среднего давления 3,43 МПа и температурой 708 К (435 °С), повышенного давления 8,8 МПа и температурой 808 К (535 °С), высокого давления12,75 МПа и температурой 838 К (565° С) и сверхкритических параметров: давление 23,55 МПа и температура 838 К  (565° С). [Цыпков В.Ш., Фокин К.Ф Теплотехническое оборудование, -М.: Стройиздат, 1973]

2. МАТЕМАТИЧЕСКАЯ МОДЕЛЬ СИСТЕМЫ

2.1 Входные и выходные величины

«В паровых турбинах потенциальная энергия пара при его расширении в соплах преобразуется в кинетическую энергию движущегося с большой скоростью пара.

Используя расширение пара в турбине, мы можем получить механическую работу, эквивалентную располагаемому перепаду тепла за вычетом потерь.» [Лосев С.М. Паровые турбины и конденсационные устройства, 1964]

Таким образом, входными величинами являются температура и давление пара. Именно от них зависит скорость истечения пара. Чем выше до расширения были температура и давление пара, тем большую скорость истечения мы можем получить, пропуская пар через сопло правильной формы.

«Скорость истечения пара также зависит от давления в пространстве, куда он вытекает (противодавления), от формы канала (сопла), через который он вытекает.

Геометрические размеры и степень шероховатости стенок сопла также влияют на скорость истечения пара.» [Лосев С.М. Паровые турбины и конденсационные устройства, 1964]

Вследствие закона сохранения энергии, энергия пара на лопатках турбин преобразуется в кинетическую  энергию, которая является выходным параметром реактивной паровой турбины.

2.2 Взаимодействие системы с внешней средой

Важным параметром турбины является эквивалентный уровень шума в зоне обслуживания (Дб).

«Рабочий процесс реальной турбины сопровождается рядом потерь, вызывающих увеличение расхода тепловой энергии на получение механической работы по сравнению с идеальной турбиной, работающей безо всяких потерь. Эти потери следующие:

.Потери в соплах, возникающие из-за трения частиц пара о стенки сопла и друг о друга;

.Потери на рабочих лопатках, возникающие вследствие неизбежных ударов частиц пара о кромки лопаток, имеющие определенную толщину, и трения частиц пара о поверхность лопаток и друг о друга;

. Выходная потеря, вызванная тем, что в реальных условиях пар по выходу из турбины обладает еще некоторой абсолютной скоростью, а следовательно, и кинетической энергией, которая уже не может быть использована.

Эта потеря в конденсационных турбинах обычно составляет от 2 до 4% располагаемого перепада тепла всей турбины. Наибольшей величины она достигает у мощных быстроходных турбин, в последних ступенях которых приходится допускать большие скорости выхода пара, так как междулопаточные проходные сечения определяются длиной лопаток, а последняя имеет ограниченные значения по соображениям прочности.

. Вентиляционные потери и потери на трение дисков о пар. Первая из этих потерь имеет место главным образом в первых ступенях турбины, где удельный объем пара еще невелик и впуск пара приходится делать парциальным, т. е. не по всей окружности диска, а только в части ее. Вторая потеря обусловливается тем, что диск при своем вращении захватывай прилегающие к его поверхности частицы пара и ускоряет их движение, на что также затрачивается некоторая работа.

Обе потери вызывают повышение теплосодержания отработавшего пара по сравнению с теоретически возможным в идеальной машине, так как затраченная на преодоление этих сопротивлений работа превращается в теплоту.

5. Потери на утечки пара через зазоры между рабочими лопатками и корпусом турбины и между направляющими лопатками и телом ротора и через уплотнения вала турбины в местах его выхода из корпуса. Пар, протекающий через зазоры, частично или полностью не используется для совершения работы, что ухудшает КПД турбины.

Для турбин высокого давления эти потери имеют особенно большое значение и могут оказаться решающими для экономичности турбины.

6. Потери на излучение (лучеиспускание), вызванные тем, что корпус турбины отдает некоторое количество тепла в окружающую среду. Потери эти очень невелики, в особенности, если турбина хорошо изолирована материалом с низким коэффициентом теплопроводности.

. Потери от влажности кара. В соплах и лопатках тех ступеней турбины, которые работают влажным паром, происходят добавочные потери, вызываемые главным образом действием содержащихся в паре капелек воды.

. Потери давления при впуске и выпуске пара.

. Механические потери, к которым относятся трение в подшипниках и затрата энергии на привод регулирующею механизма, масляных насосов, гидравлических концевых уплотнений и редуктора (если они имеются). Механические потери практически не зависят от нагрузки турбины и сохраняют свою полную величину при вращении турбины на холостом ходу.» [Лосев С.М. Паровые турбины и конденсационные устройства, 1964]

2.3 Величины, характеризующие режим функционирования системы

Мощность номинальная 1000 до 10000кВт;

Мощность максимальная + 20% кВт;

Степень неравномерности регулирования частоты вращения 4-6 %;

Степень нечувствительности регулирования частоты вращения 0.1 %;

Степень нечувствительности регулирования давления ±0.1 кг/см2;

2.4 Способы воздействия на систему, позволяющие установить требуемый режим её функционирования

«В подавляющем большинстве случаев паровые турбины в энергетике используются в качестве первичных двигателей для привода синхронных электрических генераторов. Так как вырабатываемая электрическая энергия нигде в энергосистеме не аккумулируется, то ее производство в любой момент времени должно соответствовать потреблению. Критерием этого соответствия является постоянство частоты сети - параметра, значение которого в установившемся режиме одинаково для любой точки энергосистемы.

Требование постоянства частоты определяет одну из основных задач регулирования турбины: сохранение частоты вращения ротора турбогенератора, и, следовательно, турбины постоянной и близкой к номинальной, несмотря на изменения нагрузки.

Если турбина предназначена для комбинированной выработки электрической и тепловой энергии (так называемые теплофикационные турбины), то наряду с поддержанием постоянной частоты вращения ротора турбины ставятся дополнительные условия сохранения неизменными давлений в камерах регулируемых отборов или за турбиной при изменениях тепловой нагрузки.

Для выполнения этих и ряда других задач паровые турбины снабжаются системами автоматического регулирования.» [Беляев Л.А., Турбины тепловых и атомных электрических станций, Томск, 2009]

«Регулирующий механизм турбины состоит из:

. Центробежного регулятора

. Парораспределительных устройств

. Передачи от регулятора к парораспределительным устройствам

. Предохранительного выключателя и его передачи к стопорному клапану.» [Лосев С.М. Паровые турбины и конденсационные устройства, 1964]

2.5 Физические законы, которым подчиняются процессы, протекающие в системе

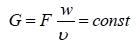
«Основные физические величины и физические явления, без которых невозможно описание паровой турбины - это закон инерции, сила, давление, механическая работа, мощность, вращающий момент, энергия, температура, закон сохранения энергии.» [Лосев С.М. Паровые турбины и конденсационные устройства, 1964]

«Преобразование энергии в ступени турбины происходит в результате обтекания паровым потоком сопловых неподвижных и рабочих вращающихся лопаток турбины. В потоке возникают потерн, которые снижают КПД турбины. Задачей инженера, проектирующего турбину, является такая организация потока, при которой потери имеют наименьшую величину и тем самым обеспечивается высокий КПД турбины. Чтобы получить достаточно простые формулы, применимые при инженерных расчетах, приходится вводить ряд упрощающих предположений. В частности рассматривается установившийся поток пара, т. е. предполагается, что параметры потока в любой точке сохраняются неизменными во времени и что их изменение возникает только при переходе от одного сечения к другому. Такое предположение не является точным.

В действительности в турбинной ступени поток подвергается периодическому возмущению - вращающиеся рабочие лопатки попеременно то проходят мимо центральной части сопловых каналов, то пересекают след, образующийся за выходными кромками предыдущих лопаток. Таким образом, турбинная решетка обтекается потоком с периодически меняющимися параметрами скоростью, ее направлением: меняется и усилие, создаваемое паром. В первом приближении предполагается, что процесс является установившимся, а искажающий эту картину течения эффект, вызванный такой периодической нестационарностью, учитывается отдельно. Условие стационарности не соблюдается также при колебаниях параметров и быстром изменении нагрузки турбины.

Для многих практических задач, которые приходится решать при расчете турбины, можно использовать уравнения одномерного течения, выведенные в предположении, что изменения параметров и скорости потока в канале происходят в одном направлении.

Для расчётов течения сжимаемой жидкости в дальнейшем используются следующие уравнения: уравнение состояния; уравнение неразрывности; уравнение количества движения; уравнение сохранения энергии.

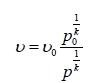
2.5.1 Уравнение состояния

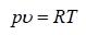
Из термодинамики известно, что состояние вещества однозначно определено, если известны два независимых параметра. Т.е. если известны два независимых параметра, то можно определить все другие.

Для идеального газа уравнение состояния имеет вид


где R - газовая постоянная.

Для перегретого пара это уравнение неточно, так как коэффициент R зависит от давления и температуры. Значительно точнее соблюдается зависимость


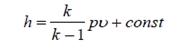
где k - показатель изоэнтропы: для перегретого водяного пара изменяется в пределах k= 1.26 ± 1.33 и в среднем принимается k=1.3; для сухого насыщенного пара k = 1.135. Недостаточная точность, которая получается, если пользоваться приведенными формулами, а также то обстоятельство, что при расширении пара процесс часто переходит из области перегретого в область влажного пара, когда расчет по этим формулам еще менее надежен, заставляют пользоваться таблицами водяного пара. Широкое распространение при расчетах получили также различные диаграммы водяного пара. В настоящее время взаимозависимости термодинамических свойств водяного пара представлены формулами, обеспечивающими точность согласно таблицам водяного пара или аппроксимирующие зависимости. Если предположить, что расширение пара происходит без потерь и без теплообмена с внешней средой, то этот процесс называется изоэнтропийным и изменение состояния пара подчиняется уравнению изоэнтропы

,

где индекс t  характеризует в данном случае удельный объем пара при изоэнтропийном процессе.

2.5.2 Уравнение неразрывности

Рис. 5 К выводу уравнения неразрывности

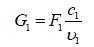
Уравнение неразрывности построено на основе закона сохранения массы.

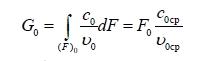
Рассмотрим канал, в котором движение сжимаемой жидкости можно считать одномерным и установившимся. Сечениями 0-0 и 1-1, перпендикулярными направлению местной скорости потока, выделим участок каната (рис. 5а). На основании закона сохранения массы и условия неразрывности течения для установившегося движения можно считать, что масса газа, поступившая в выделенный участок канала через сечение 0-0, равна массе газа, вытекающей через сечение 1-1 в единицу времени, т.е. G0 = G1 [кг/с]. При нарушении этого равенства между сечениями 0-0 и 1-1 происходило бы накопление или уменьшение количества газа и, следовательно, изменение параметров газа с течением времени, что противоречит условию установившегося движения. Расход массы газа за одну секунду в сечении 0-0 легко подсчитывается, если известны параметры потока в этом сечении - скорость с0. удельный объем v0, а также площадь поперечного сечения F0, на основании тождественной записи объема газа, проходящего через сечение 0-0 за единицу времени: объемный расход V0 = G0v0 = F0с0, откуда


В реальных условиях скорость потока по сечению канала переменная в следствии ее изменения в пограничном слое (рис. 5б), поэтому массовый расход надо определять путем интегрирования по площади канала, либо осреднив скорость и удельный объем по расходной составляющей:


В дальнейшем индекс осреднения будем опускать, полагая для реальных потоков, что с1, и v1 усреднены, а для идеальных потоков (без трения и, соответственно, без пограничного слоя) будем добавлять индекс t. Аналогично вычисляется расход массы в сечении 1-1:

 

Из равенства массовых расходов в сечениях 0-0 и 1-1 следует


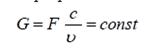
В общем виде для канала уравнение неразрывности записывается в виде


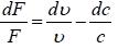
Если прологарифмировать данное выражение, а затем взять производную (по длине канала G = сопst), то в дифференциальной форме это уравнение принимает вид


показывая, что приращение площади поперечного сечения канала определяется суммой приращения скорости потока и приращения удельного объема, которое зависит от термодинамического изменения состояния при истечении. Если записывается уравнение неразрывности для канала, образуемого вращающимися рабочими лопатками, то в зависимости (2.4) - (2.5) вместо скорости с подставляется скорость в относительном движении (относительная скорость) w т. е.

 

2.5.3 Уравнение количества движения

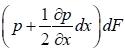
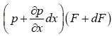
Уравнение количества движения является следствием второго закона Ньютона и формулируется как: импульс силы, действующей на тело, равен изменению количества движения. Импульс силы - произведение величины силы на время действия: количество движения - произведение массы на скорость. Равнозначно уравнение количества движения можно переформулировать: изменение количества движения происходит под действием импульса силы. Для одномерного установившегося потока рассмотрим элемент жидкости, выделенный из потока двумя поперечными сечениями с площадями F и F + dF, расположенными на расстоянии dх вдоль оси потока (рис. 6). На этот элемент жидкости действуют следующие силы:

• в сечении F - сила давления рF, направленная слева направо;

• в сечении F + dF - сила 

, направленная справа налево;

• на боковую поверхность элемента - сила

,

 

равная проекции сил давления, перпендикулярных этой поверхности, и направленная слева направо;

• сила сопротивления (трения) dS, направленная вдоль боковой поверхности элемента противоположно скорости потока.

Рис. 6 К выводу уравнения количества движения

Если на основании закона Ньютона приравнять сумму всех перечисленных сил произведению массы выделенного элемента потока  на его ускорение , то после несложных преобразований можно получить уравнение количества движения для одномерного установившегося потока в окончательном виде:

 

В курсе гидрогазодинамики получено это уравнение для трехмерного установившегося движении (уравнение Навье-Стокса). Однако даже для одномерного движения в соплах решение этого уравнения представляет большую сложность, т.к. сила сопротивления S зависит от многих факторов, учесть которые затруднительно. Поэтому в теории и практике турбин обычно это уравнение для получения характеристик реальных потоков заменяют экспериментом.

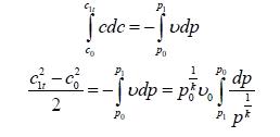
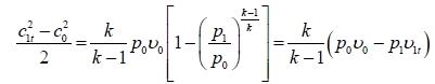
При отсутствии сил сопротивления (трения) на боковой поверхности потока и при изоэнтропийном характере течения уравнение сохранения энергии легко интегрируется на конечном участке потока между сечениями 0-0 и 1-1 (см. рис. 5). Так как S = 0, то


а условие постоянной энтропии позволяет найти удельный объем из уравнения изоэнтропы:


Обозначив скорость в сечении 0-0 с0, а в сечении 1-1 с1 (теоретическая скорость, так как процесс изменения состояния между сечениями изоэнтропийный), в результате интегрирования получим уравнение количества движения (уравнение импульсов) для одномерных изоэнтропийных потоков в интегральной форме:


и окончательно имеем:


2.5.4 Уравнение сохранения энергии

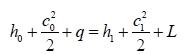
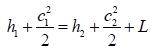
Рассмотрим установившийся поток пара или газа между сечениями 0-0 и 1-1 (рис. 2.4). Как известно из термодинамики, в сечении 0-0 каждый килограмм пара или газа в потоке обладает энергией, равной сумме энтальпии h0 и кинетической энергии , а в сечении 1-1 - энергией, равной сумме энтальпии h1 и кинетической энергии потока . Между сечениями 0-0 и 1-1 к каждому килограмму протекающего пара или газа в общем случае подводится теплота q и отводится механическая работа L. Тогда в соответствии с законом сохранения энергии для установившегося режима количество подводимой к системе энергии должно быть равно количеству отводимой от системы энергии:


Рис. 7 К выводу уравнения сохранения энергии

Уравнение сохранения энергии справедливо как для потоков с потерями механической энергии (за счет трения и других диссипативных процессов), так и для изоэнтропийных потоков, т.е. потоков без потерь механической энергии.

В дифференциальной форме уравнение сохранения энергии для потока имеет следующий вид:


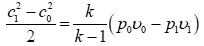
В турбинах процесс преобразования потенциальной энергии теплоты в механическую работу происходит без подвода теплоты извне. Для энергетически изолированных потоков, т.е. для потоков без подвода (отвода) теплоты и без совершения механической работы (в турбине - неподвижные направляющие каналы), уравнение сохранения энергии запишется в виде:


Тогда найдем приращение кинетической энергии при расширении пара:

 

Таким образом, изменение кинетической энергии потока пара определяется изменением энтальпии. Формулу можно написать как:

,

Для рабочих (вращающихся) каналов, где совершается механическая работа уравнение будет в виде:

 

Таким образом, при отсутствии теплообмена с внешней средой (при адиабатическом течении) приращение кинетической энергии определяется лишь начальным и конечным состояниями пара и не зависит от закона изменения потерь (в процессе расширения).

Если энтальпия пара уменьшается в результате расширения, то кинетическая энергия струи возрастает, скорость c1 при выходе из канала становится больше, чем скорость со при входе в канал. Такое течение называется конфузорным.

Если при расширении пара энтальпия его не меняется, т. е. h1 = h0, что, например, имеет место при дросселировании пара, то скорость парового потока остается неизменной: с1 = с0. Наконец, возможен случай, когда энтальпия пара при выходе из канала больше, чем при входе. Рост энтальпии возможен (при отсутствии теплообмена с внешней средой), если скорость в конце процесса оказывается меньше, чем в начале. Такое течение называется диффузорным.

Решая уравнение сохранения энергии относительно с1, находим:

,

где h - энтальпия, Дж/кг, а С - скорость, м/с.» [Беляев Л.А., Турбины тепловых и атомных электрических станций, Томск, 2009]

ЗАКЛЮЧЕНИЕ

В ходе данной работы проведен анализ технической системы, рассмотрена ее математическая модель, проанализированы физические законы, которым подчиняются основные процессы, происходящие в реактивной паровой турбине в ходе ее функционирования. Рассмотрены преимущества и недостатки данного объекта. Подобный анализ может быть основой для разработки каких-либо программных продуктов, предназначенных для повышения качества режима функционирования объекта, его эксплуатации. 

Сейчас турбины работают на всех тепловых электростанциях, в том числе и атомных, благодаря своему высокому КПД им нет альтернативы. Турбины применяются как самые экономичные в авиации, судах, автомобилях и т.д.

ПЕРЕЧЕНЬ ИСПОЛЬЗОВАННЫХ ИСТОЧНИКОВ

1. Беляев Л.А. Турбины тепловых и атомных электрических станций, Томск, 2009

. Врашев С.П., Летник А.Л., Шифрин Д.М. Машиноведение, -М.:МАШГИЗ, 1954

. Занин А.И., Соколов В.С. Паровые турбины. М., Высшая школа, 1988

. Косяк Ю.Ф.,  Галацан В.Н., Палей В.А. Эксплуатация турбин АЭС, Энергоатомиздат, 1983

. Лосев С.М. Паровые турбины и конденсационные устройства. Теория, конструкция, эксплуатация, -М.:Энергия , 1964

. Паровые и газовые турбины. Под. ред. А.Г. Костюка и В.В. Фролова, Энергоатомиздат,1985

. Установки турбинные паровые стационарные для привода электрических генераторов ТЭС. Общие технические требования. ГОСТ 24 278-89

. Цыпков В.Ш., Фокин К.Ф Теплотехническое оборудование, -М.: Стройиздат, 1973

. Щегляев А.В. Паровые турбины. Теория теплового процесса и конструкции турбин. Книга 1, М., Энергоатомиздат, 1993

Похожие работы на - Исследование математической модели системы управления (объект управления - реактивная паровая турбина)

 

Не нашли материал для своей работы?
Поможем написать уникальную работу
Без плагиата!
Без нейросетей!