Моделирование цен на вторичном рынке жилья
Содержание
Введение
Глава 1 . Модель ценности
местоположения
.1 Зонирование территории
.2 Координатная привязка объектов
.3 Построение ценовой карты региона
.4 Учет расстояний до центров
влияния
Глава 2.
Пространственно-параметрическое моделирование рынка вторичного жилья
Глава 3. Определение рыночной
стоимости вторичного жилья в г. Санкт-Петербурге
Заключение
Список использованной литературы
Введение
Структурная перестройка
российской экономики, начавшаяся в начале 1990-х годов, создала предпосылки для
формирования рыночных отношений во всех сферах хозяйственной деятельности.
Законодательно обеспеченная передаваемость прав собственности на объекты
недвижимости стала основой для появления нового и уникального для России конца XX
века товара-недвижимости.
Как и во всех развитых странах
мира, недвижимость составляет основу национального богатства России, корректная
оценка стоимости которого будет в существенной степени определять как
экономическое позиционирование России в ряду других стран, так и обеспечивать
условие для стабильного развития национальной экономики.
В условиях России сегодня можно
говорить о достаточно развитом рынке жилой недвижимости, особенно - квартир в
многоквартирных домах. Рынок жилья в наибольшей степени отражает тенденции
изменения спроса и предложения на рынке недвижимости.
На рынке жилья можно выделить
две его составляющие: первичный и вторичный рынки жилья. Первичный рынок
охватывает новую недвижимость, впервые появившуюся как товар на рынке, а
вторичный рынок - недвижимость, уже функционирующую в течение некоторого
времени и обладающую определенной степенью износа. В г. Санкт-Петербурге объем
продаж на вторичном рынке примерно в 1,5-1,7 раза больше, чем на первичном. Он
больше соответствует рыночным принципам формирования цен на основе спроса и
предложения, в отличие от регулируемых цен коммерческой реализации на первичном
рынке.
Цель данной работы -
рассмотреть методы моделирования цен жилья на вторичном рынке.
В данной работе мы рассмотрим
модели ценности расположения, пространственно-параметрическую модель, а также
на практике попробуем смоделировать факторную модель цен на вторичном рынке
жилья в Санкт-Петербурге.
Таким образом, в данной работе
ставятся задачи:
рассмотрение модели ценности
расположения объектов недвижимости;
изучение
пространственно-параметрической модели цен на жилые объекты недвижимости;
построение факторной модели цен
на вторичное жилье в Санкт-Петербурге.
Работа поделена на три главы,
каждая из которых призвана решить по одной из поставленных задач.
Глава 1. Модель ценности
местоположения
Решение многих задач городского управления, в
том числе оценка и регулирование цен на жилье, опирается на данные массовой
оценки рыночной стоимости объектов недвижимости, которая связана как с
фискальной, так и регулирующей функцией государства, и требует определения:
§ налога на землю;
§ выкупной цены земли;
§ арендной платы за пользование земельными
участками;
§ арендной платы за объекты жилого фонда;
§ налога на недвижимость;
§ стоимости объектов жилого и нежилого фондов для
купли-продажи;
§ стоимости объектов жилого и нежилого фондов в
целях залога.
Стоимостные модели, разработанные для
использования в разных ведомствах, различаются как по подходам к оценке, так по
параметрам моделей. Трудоемкость создания моделей для каждого случая, желание
увязать между собой оценку различных видов недвижимости в единой
экономико-математической модели, основанной на рыночных принципах, инициировали
разработку единой методики оценки объектов недвижимости, учитывающие цель
определения их стоимости (для налогообложения, продажи на торгах и т.п.). В
качестве объединяющего звена методики - ценообразующего фактора часто
используется модель ценности местоположения, которая в большой степени влияет
на стоимость недвижимости. При этом расчеты налога на землю, выкупной цены
земли, арендной платы за пользование землей, налога на недвижимость, налога на
имущество решено проводить на основе данных по нормам изъятия, которые
определяются государственными органами на основе плановых показателей поступлений
в бюджеты, издержками по администрированию налога, социальными нормами и т. п.
и выражаются в оптимальных налоговых шкалах в пределах, заданных действующим
законодательством.
В основе построения экономико-математических
моделей оценки недвижимости лежит определение зависимости стоимостной
характеристики (цены) объекта от совокупности факторов, влияющих на
формирование цены на открытом рынке.
Моделирование местоположения - это наиболее
сложная и ответственная часть процесса, которая часто требует дополнительных
исследований рынка, а в отдельных случаях - разработки специализированного
программного обеспечения. Местоположение - как правило, наиболее существенный и
динамичный ценообразующий фактор, трудно поддающийся объективному описанию. В
результате этому фактору уделяется больше внимания, чем остальным, что вполне
оправдано, учитывая степень его влияния на рынке коммерческой недвижимости.
Основная и наиболее сложная задача при учете фактора местоположения - выбрать
адекватную модель влияния местоположения на цену, от которой зависит и
сложность дальнейшего моделирования, и точность модели рынка.
Цены (или ставки арендной платы) коммерческих
площадей в соседних зданиях в пределах одного квартала могут различаться в
разы, если одно расположено внутри квартала, а другое - на границе красной
линии застройки основной магистрали или, например, у станции метрополитена. В
то же время в разных частях города существуют обширные зоны с одинаковым
уровнем цен. Учесть все нюансы влияния расположения объекта на цену для всей
территории невозможно, но даже для построения грубой модели необходимо
проанализировать множество разнородных объектов недвижимости, равномерно
распределенных по территории, и выбрать концепцию моделирования местоположения,
которая позволила бы учесть все составляющие «ценности» расположения объекта и
адекватно описать их влияние на ценообразование.
В практике массовой оценки применяются несколько
методов моделирования местоположения. Практическое воплощение в
Санкт-Петербурге нашел метод моделирования с использованием координат объектов
и применением в дальнейшем регрессионного анализа, в Москве -
пространственно-параметрического моделирования. Оба метода имеют свои
достоинства и недостатки.
Так, для определения координат объектов
необходимо наличие электронной карты территории, которые имеются не для всех
городов России. Вместе с тем, именно этот метод позволяет обеспечить высокую
точность оценки.
Сущность методологии
пространственно-параметрического анализа рынка недвижимости состоит в сборе
документированной информации об объектах рынка, разделении объектов на
однородные группы (выборки) по качеству, местоположению, периодам времени,
определении характеристик каждой выборки и исследовании полученных числовых
пространственно-параметрических и динамических моделей с дискретным шагом.
Главным преимуществом метода пространственно-параметрического моделирования
является простота как процесса моделирования, так и применения модели.
При выборе концепции моделирования
местоположения полезно также учитывать существующие наработки в сфере
территориального или экономического зонирования территории, которые можно
использовать при построении модели рынка.
1.1 Зонирование
территории
Наиболее простой в реализации и использовании
подход - разбиение территории на зоны (районы, кварталы, ценовые зоны, станции
метро) с условно-постоянной ценностью местоположения внутри каждой зоны. С
точки зрения анализа динамики рынка этот метод наиболее оправдан, поскольку при
приемлемом для такого анализа уровне точности позволяет получить индексы для
каждой зоны.
При зонировании по административным районам,
когда местоположение объекта характеризуется только районом, можно построить
отдельные модели для всех районов или нескольких групп районов или в рамках
единой модели определить поправочный коэффициент для каждого из районов, что
проще и требует меньшего числа объектов-аналогов.
Этот метод подходит для грубого моделирования
очень ровных и устоявшихся рынков с большим объемом открытых сделок, например,
для вторичного рынка типового жилья. Достоинствами метода являются простота в
моделировании и применении и требование незначительного числа аналогов.
Недостатками - низкая точность (нет дифференциации внутри района) и возможность
необоснованно резкого перепада цен на границе районов.
При зонировании по городским кварталам
местоположение объекта характеризуется кварталом. Так как число кварталов в
городе слишком велико, необходимо сгруппировать кварталы в зоны (на основе
экспертных данных или по результатам предварительного моделирования) и
определить поправочные коэффициенты для каждой из групп (зон). В одну зону
могут быть объединены не только кварталы, прилегающие друг к другу, но и
кварталы (группы кварталов) в разных частях города, качество местоположения в
которых можно условно принять одинаковым. Так, можно достаточно уверенно
объединять в одну зону «спальные» кварталы в разных частях города, имеющие
одинаковую престижность и социальную структуру населения.
Один из возможных подходов, принятый, например,
на рынке жилья в крупных городах, - зонирование по станциям метрополитена или
иным локальным центрам влияния. При этом можно дополнительно учитывать
расстояние до станции метро (или ее доступность на транспорте), что существенно
улучшает точность и объективность модели.
Точность моделирования и необходимое количество
аналогов напрямую зависят от количества зон. Достоинствами метода является
простота в моделировании и применении и достаточно высокая точность для
«ровных» сегментов рынков. Недостатками - отсутствие дифференциации внутри зоны
и возможность необоснованно резкого перепада цен на границе районов.
.2 Координатная привязка объектов
Метод подразумевает привязку объектов по их
координатам в какой-либо системе координат. Для полноценной реализации этого
метода необходимы электронная карта региона и программное обеспечение,
позволяющее осуществлять расчет расстояний от объекта до основных зон,
участвующих в ценообразовании, на основе координат объекта. Этот метод при
достаточном количестве объектов-аналогов позволяет учесть фактор местоположения
наиболее точным образом и получить «ценовую поверхность» - аналитическую
функцию зависимости фактора местоположения модели от пары координат объекта.
Например, при моделировании ставок арендной платы за нежилые помещения в
качестве координат объекта могут быть приняты координаты центроида здания, в
котором находится объект или, что обеспечивает большую точность, координаты
входа/входов в помещение.
Координатная привязка объектов определяет скорее
не метод моделирования, а способ определения местоположения объекта и
используется в группе наиболее точных методов моделирования местоположения. В
некоторых из них для определения влияния местоположения в каждой точке
используется техника анализа остатков.
Техника анализа остатков предназначена для
анализа влияния исследуемого ценообразующего фактора на отношение реальных и
прогнозных (вычисленных по модели) значений зависимой переменной (стоимостной
характеристики, цены). Эта техника основывается на предположении, что модель
адекватно отражает влияние всех ценообразующих факторов, кроме исследуемого.
Соответственно, зависимость остатка (ошибки оценки) от неучтенного фактора
(независимой переменной) и будет соответствовать влиянию этого фактора на цену
(зависимую переменную).
Остаток - отношение или разность реального и
прогнозного значений зависимой переменной:
Где
-
реальное значение зависимой переменной (например, цена продажи i-го объекта);
- прогнозное
значение цены, определенное по модели без учета исследуемого фактора.
С применением этой техники моделирование
местоположения может быть проведено в следующей последовательности:
§ присвоение объектам географических координат;
§ моделирование без учета местоположения;
§ вычисление остатков без учета фактора
местоположения и формулировка гипотезы о том, что вариация остатка (отличие его
от единицы) объясняется исключительно влиянием фактора местоположения,
неучтенного в модели;
§ нанесение величин остатков на карту и анализ
поверхности остатков: построение изолиний и выявление «неровностей»
поверхности, в которых остатки существенно отличаются от единицы;
§ определение координат основных (глобальных)
ценовых центров региона (или одного центра при моноцентричной структуре
ценообразования), определение сферы влияния и ее формы;
§ выявление локальных центров влияния, определение
их географических координат, размеров, формы и степени влияния;
§ расчет расстояний от объектов до глобальных
(например, центр города) и локальных центров влияния;
§ учет полученной информации в модели и
преобразование расстояний в коэффициент местоположения.
Техника анализа остатков может быть
использована, по крайней мере, в двух вариантах: для построения ценовой карты оцениваемой
территории или для моделирования влияния глобальных и локальных центров на
стоимость объектов недвижимости.
.3 Построение ценовой карты региона
рынок жилье ценовой моделирование
Это наиболее прямой и требовательный к
количеству аналогов метод, основанный на принципе - все вариации цены, не
учтенные другими факторами, объясняются местоположением. Для его реализации
требуется значительное количество объектов и, что самое главное, полностью
достоверная информация о них, так как один или несколько объектов могут
существенно исказить значительную область на ценовой карте.
Ценовая карта города представляет собой
непрерывную поверхность цен стандартного объекта по всей территории города и
определяет условную ценность местоположения объекта оценки для заданной функции
использования (рис. 1).

Для построения ценовой карты необходимо
построить поверхность, используя в качестве X и Y координаты, Z - ценовые
характеристики объектов-аналогов. Для получения более качественного результата
при построении ценовой карты необходимо «очистить» цену от влияния других
факторов, скорректировав ее поправками, полученными в ходе предварительного
моделирования без учета местоположения, применив технику анализа остатков.
При значительном количестве объектов построить
такую поверхность без использования специального программного обеспечения
практически невозможно. Наиболее удобны и функциональны для этих целей
геоинформационные системы, одним из результатов использования которых является
трехмерная модель рельефа. Принцип построения ценовой карты (поверхности)
аналогичен принципам построения физического рельефа, с той разницей, что
используется не физическая, а экономическая высота рельефа.
Полученная поверхность позволяет учесть основные
колебания цен в регионе, но ее построение сопряжено со значительными
трудностями.
Во-первых, как уже упоминалось, для построения
объективной ценовой карты требуется огромное количество объектов, по которым
имеется достоверная информация.
Во-вторых, требуется тщательная проработка
ценообразующих факторов, так как все неучтенные или неправильно учтенные
факторы в соответствии с техникой анализа остатков будут отражены именно на
ценовой карте и могут существенно ее исказить.
В-третьих, представление фактора местоположения
в таком виде очень трудоемко в применении и плохо поддается описанию в
нормативных актах. Так, при площади моделируемой территории 30х30 км и шаге
сетки 100 м для описания поверхности потребуется указать «высоту» более 90 тыс.
узлов сетки.
Применимость метода ограничивается
моделированием ситуации на ровном рынке типового жилья, на котором представлено
множество открытой и достоверной информации и разброс цен на одинаковые по
характеристикам помещения незначителен. При моделировании такого рынка возможен
случай, близкий к идеальному, когда в каждую ячейку сетки попадает несколько
объектов, что минимизирует вероятность ошибки. Достоинствами метода являются
точность, близкая к максимально возможной, и простота реализации при наличии
необходимого программного обеспечения, плавность и непрерывность поверхности
цен и объективность результата. Недостатками - необходимость в значительном
количестве объектов; наличие специального программного обеспечения;
трудоемкость моделирования, требующая привлечения квалифицированных
специалистов; сложность применения и оформления результатов моделирования.
При определении динамических индексов построение
ценовой карты - наиболее трудоемкий способ моделирования местоположения. Он не
позволяет напрямую определить индексы влияния местоположения: для этого
необходимо построить карту изменения ценового рельефа.
.4 Учет расстояний до центров влияния
Местоположение объекта описывается его
координатами, по которым можно определить условную ценность местоположения
объекта, которая в свою очередь определяется влияниями центра города, локальных
центров, например, станций метро, основных магистралей, принадлежностью к той
или иной ценовой зоне. При использовании этого подхода необходимо определить
все центры влияния, их координаты, условные радиусы влияния и виды зависимости их
влияния от расстояния до них. Определить центры влияния можно как экспертно (на
основании здравого смысла и знания региона), так и построив ценовую карту
региона, как это было описано выше. Построение ценовой карты позволяет
существенно упростить поиск центров влияния и сделать этот процесс более
наглядным и обоснованным. На ценовой карте области устойчивого повышения
(понижения) поверхности покажут центры влияния или депрессивные зоны. Помимо
координат центров по ценовой карте можно приблизительно определить форму центра
влияния и условный радиус влияния - расстояние, в пределах которого влияние
остается существенным.
Более сложная задача - определение зависимости
цены от расстояния для каждого из центров - состоит в выборе вида зависимости и
определения параметров статистическими методами или перебором. При
недостаточном количестве исходных данных можно использовать одинаковые
зависимости для нескольких однотипных центров влияния, например станции метро.
Если исходных данных достаточно, каждый центр влияния можно учесть в модели как
отдельный фактор и определить его параметры индивидуально.
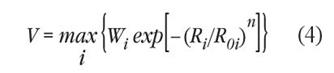
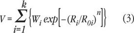
Для описания степени влияния расстояния на цену
можно предложить проверенную практикой и достаточно универсальную
экспоненциальную зависимость с интуитивно понятными параметрами:
где V - степень влияния;- условный вес данного
центра (важно не численное значение W, а его соотношение с весом других центров
влияния);- расстояние от объекта до центра (независимая переменная);
- условный радиус влияния (на этом
расстоянии от центра влияние составляет 37% от максимума при любых значениях
других параметров);- крутизна кривой (при увеличении n крутизна увеличивается и
увеличивается «зона нечувствительности» - горизонтальная площадка в районе
нуля).
Для учета влияния нескольких
центров, их влияние может складываться, и тогда фактор «местоположение» можно
выразить следующим образом:
где V - степень влияния;- количество
центров влияния;
- параметры i -го центра влияния (i
= 1, ..., k).
Также существует возможность
выбирать максимальное влияние, оказываемое одним из центров влияния, тогда
фактор «местоположение» будет выглядеть следующим образом:
Определение параметров статистически
возможно только в случае, если количество аналогов в 5-10 раз превышает
количество центров влияния. При определении параметров перебором каждый
параметр подбирается индивидуально до получения наилучших значений
статистических критериев. Начальные значения выбираются исходя из здравого
смысла, мнений экспертов и представлений коллектива разработчиков
экономико-математической модели.
Метод учета расстояний до центров
влияния один из самых трудоемких, но позволяет на небольшой выборке получить
достаточно качественную и удобную в применении модель. Достоинствами метода
являются: высокая точность, плавность и непрерывность поверхности цен,
относительная простота в применении и требование незначительного числа
аналогов. Недостатки - трудоемкость моделирования, сильная зависимость
результата от отдельных аналогов, субъективность в определении центров и видов
зависимостей.
Этот подход к определению влияния
местоположения можно успешно комбинировать с другими, например с зонированием,
для повышения точности без существенного усложнения расчетов. Для расчета
динамических индексов на основе этого подхода имеет смысл разбить все множество
центров влияния на группы по степени и виду влияния. Так, в качестве отдельных
факторов можно рассматривать влияние магистралей, определив их соответствующие
вклады, и близость объекта к локальным центрам влияния и центру города.
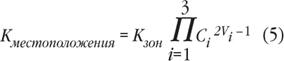
Таким образом, в общем случае
коэффициент местоположения можно представить в виде смешанного влияния
коэффициентов зоны, магистралей, локальных центров и центра города:
,
где i - номер влияющего фактора (1 -
магистрали, 2 - локальные центры, 3 - центр города);
- коэффициенты влияния локальных
центров, центра города и магистралей;
- зональный коэффициент,
учитывающий особенности территории;
- степень влияния
магистралей, локальных центров и центра города.
Предположение о возможности использования модели
ценности местоположения как составляющей моделей определения стоимости
различных объектов недвижимости проверено на практике (рис. 1, 2).
Рис. 2. Пример ценового зонирования
территории
Один и тот же подход к моделированию
местоположения, впервые использованный в Методике определения арендной платы за
жилые помещения, был применен, например, в модели определения рыночной
стоимости права собственности жилых помещений Санкт-Петербурга, при создании
модели определения уровня арендной платы за использование территории
набережных.
Глава 2.
Пространственно-параметрическое моделирование рынка вторичного жилья
Успех функционирования в условиях рыночной
экономики зависит от степени обеспечения объективной информацией лиц,
принимающих решения о проведении тех или иных операций. Одним из приоритетных
вопросов исследования на рынке недвижимости является ценовая конъюнктура рынка,
включая оценку стоимости конкретных объектов.
В настоящее время операции с жилой недвижимостью
составляют наибольший удельный вес всех сделок купли/продажи, поэтому
актуальным является исследование влияния основных факторов на формирование цены
квартиры.
Пусть yi
Î
Y - цена i-й
квартиры, в заданном периоде (в последующем временной параметр опускается);
={yi
} , i=1,2,…,n
- дискретное множество значений цен.
Эта запись представляет собой модель первичной
рыночной информации - исходных данных для построения модели рынка.
В общем случае цена квартиры на рынке может быть
описана стохастической зависимостью от ее характеристик xj
:
= f
(xj ) ,
Характеристики могут быть непрерывными и
дискретными величинами и выражаться:
§ числом (значения жилой площади, дополнительной
площади, размера кухни и т.п.);
§ диапазоном чисел (диапазон значений периода
строительства и т.п.);
§ количественным признаком (этажность дома, этаж
расположения квартиры, число комнат и т.п.);
§ качественным признаком (материал несущих
конструкций, тип санузла, тип планировки, район и т.п.);
§ бинарным признаком «да-нет» (наличие лифта в
доме, наличие телефона в квартире, состояние дома - после реконструкции,
капремонта, возможность перевода в нежилое помещение и т.д.).
Разделим все характеристики по трем
классификационным основаниям - качества, местоположения, размера:
К=(xjk)
- множество характеристик качества (конструктивно-технические характеристики
дома и квартиры, характеристики комфортности проживания).= (xjm
) - множество характеристик местоположения дома.
R = (xjr
) - множество характеристик размера квартиры.
Выше перечисленные характеристики влияют на
предпочтения покупателей, а следовательно и на цену квартиры.
Тогда
={yi=f (xjk , xjm , xjr )}.
Преобразуем числовые значения характеристик в
дискретные, разбив их на диапазоны. Тогда
= {yi=f({ xk1, xk2, …} , {xm1 , xm2
, … }, {xr1 , xr2, … }) } .
В теории регрессионного анализа характеристики
объекта именуются «факторами». На основании рыночной информации строится
непрерывно-дискретная модель рынка Y=F(xi),
с помощью статистических критериев Стьюдента и Фишера определяются уровни
значимости факторов. Критериальные значения факторов, по которым принимаются
решения, задаются исследователем. Факторы, удовлетворяющие этим критериям,
признаются значимыми, остальные - случайными, и регрессионная модель строится
как осреднение по факторам, признанным случайными.
Изучение существующих в жилищном фонде и на
рынке квартир показывает, что большая часть теоретически возможного числа
вариантов сочетания характеристик являются физически нереализуемыми. Например,
сочетание «хрущевка - площадь кухни более 7,5 м2» или «элита - отсутствует
телефон» и т.п.
Сгруппируем характеристики качества таким
образом, чтобы совокупность диапазонов и/или признаков всех значимых
характеристик образовывала физически определимое множество, соответствующее
подмножеству элементов множества Y={yi
}:
{ yik1
} = {yi
½xk
= {xk1 } } ;
{ yik2
} = {yi
½xk
= {xk2 } } ;
………………………… ,
или
Èyit
= yik1 È
yik2 È
… .
Подмножество {yik}
является множеством физически определимых вариантов сочетания характеристик
«качество квартиры» Кi.
Тогда
1 = {yik1
} , …
YK2 = {yik2}
, …
………………..
Следовательно,
YK = {YK1
, YK2 , …} -
множество подмножеств, объединяющих квартиры одного качества.
YM = {YM1
, YM2 , …} -
множество подмножеств, объединяющих квартиры одного района.
YR = {YR1
, YR2 , …} -
множество подмножеств, объединяющих квартиры одного размера.
Наконец, объединение множеств (3)-(5) приводит к
выявлению групп объектов, выделенных по признаку сочетания качество, района и
размера:
= YK È
YM È
YR ;Ç YM Ç
YR = Æ ;= {{yK1M1R1} ,
{yK2M1R1 } , … } .
Последнее выражение в терминах регрессионных
моделей массовой оценки называется «спецификацией» модели рынка. Следующий этап
- «калибровка» модели, или получение количественных оценок входящих в модель
параметров.
В терминах дискретных
пространственно-параметрических моделей эта процедура включает статистическую
обработку выборок Y = {{yK1M1R1}
, {yK2M1R1
} , … } и определение основных параметров выборки - объема n,
среднего xср., размаха
варьирования xмин. и xмакс.,
дисперсии D, погрешности в
определении среднего d. В результате образуется исходная
дискретная пространственно-параметрическая модель рынка
Y = {{( n,
yср., yмин.
, yмакс., D
, d)
K1M1R1},
{( n, yср.,
yмин. , yмакс.,
D , d)
K2M1R1
} , … }
Следующей операцией при построении дискретной
пространственно-параметрической модели рынка (ДППМ) является ее корректировка и
оптимизация (в терминах регрессионных моделей массовой оценки - «настройка»), в
результате которой образуется оптимизированная дискретная пространственно -
параметрическая модель рынка.
Глава 3. Определение рыночной
стоимости вторичного жилья в г. Санкт-Петербурге
Одной из наиболее сложных
проблем при обследовании рынка вторичного жилья является определение
фактической (рыночной) стоимости проданного или купленного жилья. Практика
показывает, что фактическая стоимость на рынке и стоимость, отраженная в
документах при осуществлении соответствующей сделки на жилье, различаются из-за
занижения второй. Это связано, в частности, с желанием снизить величину
госпошлины при нотариальной регистрации сделки, уменьшить НДС при подключении к
купле-продаже посредника - риэлтора и с рядом других причин. Поэтому основным
информационным массивом, пригодным для многопараметрического исследования,
являются данные о характеристиках предложения.
В основу данного исследования
положена информация о ценах и свойствах объектов продажи на вторичном рынке
жилья города Санкт-Петербурга. В целом с начала исследования охвачено 65
квартир, выставленных на продажу. На первоначальном этапе обработки информации
была проведена группировка квартир по числу комнат. Таких групп было образовано
четыре: рассматриваются данные об одно-, двух-, трех- и четырехкомнатных
квартирах. Объем сделок по квартирам большего числа комнат незначителен, и
выборка по ним является непредставительной для характеристики параметров
генеральной совокупности, поэтому эти данные не рассматриваются.
При анализе статистических
данных о сделках купли-продажи недвижимости важное место занимают
статистические характеристики (средние величины и показатели вариации), которые
позволяют судить о характерных особенностях наблюдаемого статистического ряда.
В качестве средних величин используют среднюю арифметическую, медиану и моду.
Для их расчета возможно использовать различные статистические пакеты, например,
ППП Statistica,
SPSS, Stadia,
а также МS Ехсе1.
Вариационные характеристики данных о цене предложения приведены в таблице 1.
Таблица 1
Вариационные характеристики
стоимости квартир г. Санкт-Петербурга
|
Чис-ло
ком-нат
|
Годы
|
Сред-нее
значе-ние, тыс.уе
|
Среднее
квадрати-ческое от-клонение
|
Диспер-сия
|
Коэф-фици-ент
ва-риации, %
|
Мода,
тыс.уе
|
Мини-мальная
цена, тыс.уе
|
Максима-льная
цена, тыс.еу.
|
|
1
|
1
|
58,13
|
5,812
|
33,78
|
10,00
|
55,00
|
50,00
|
70,00
|
|
2
|
66,82
|
10,23
|
104,65
|
15,31
|
65,00
|
62,00
|
118,00
|
|
3
|
89,11
|
8,50
|
72,25
|
9,54
|
90,00
|
85,00
|
97,00
|
|
2
|
1
|
71,25
|
9,26
|
85,75
|
13,00
|
70,00
|
68,00
|
77,00
|
|
2
|
85,65
|
15,67
|
245,55
|
18,30
|
83,00
|
80,00
|
102,00
|
|
3
|
108,92
|
15,54
|
241,49
|
14,27
|
102,00
|
134,00
|
|
3
|
1
|
88,81
|
17,39
|
302,41
|
19,58
|
85,00
|
84,00
|
99,00
|
|
2
|
100,50
|
20,42
|
416,98
|
20,32
|
100,00
|
97,00
|
119,00
|
|
3
|
131,54
|
18,99
|
360,62
|
14,44
|
130,00
|
125,00
|
140,00
|
|
4
|
1
|
90,63
|
16,86
|
284,26
|
18,60
|
90,00
|
85,00
|
110,00
|
|
2
|
133,52
|
21,92
|
480,49
|
16,42
|
130,00
|
120,00
|
145,00
|
|
3
|
153,17
|
30,40
|
924,16
|
19,85
|
150,00
|
140,00
|
163,00
|
Как видно из приведенной таблицы, за
анализируемый период цены на жилье на вторичном рынке г. Санкт-Петербурга имеют
устойчивую тенденцию к росту. Представленные данные также свидетельствуют о
возрастании цены с увеличением числа комнат в квартире. Более однородными
являются данные о ценах на однокомнатные квартиры.
В настоящее время разработаны
модели для оценки стоимости жилья, позволяющие учесть различные факторы,
например о свойствах объектов (жилую площадь, этаж квартиры, район, тип дома и
т. д.), а также неоднородность объектов в пространстве. Однако изменение цены
связано не только с вариацией факторов, но с периодом наблюдения (таблица 1).
Так средняя цена на однокомнатные квартиры в г. Санкт-Петербурге за
анализируемый период возросла на 53,3%, на двухкомнатные - 52,9%, на
трехкомнатные - 48,1%. Если не учитывать данный фактор (время), то происходит
смещение оценок параметров модели.
Моделирование
социально-экономических процессов на основе информации о множестве объектов,
характеризуемых заданным набором признаков за ряд последовательных моментов
времени (панельных данных), методами регрессионного анализа по временным
сечениям или с помощью метода «заводо-лет» не позволяют учесть неоднородность
данных во времени и пространств. Поэтому целесообразным представляется
применять различные модели регрессии для панельных данных. В качестве панели
могут выступать индивидуумы, группы лиц, предприятия, домохозяйства, регионы,
страны и т.д. Говоря о пространственном аспекте, или пространственном
измерении, имеют в виду множество пространственных, или одномоментных, выборок.
Говоря о временном аспекте, или измерении, имеют в виду периодические
наблюдения множества переменных, характеризующих указанные выше
пространственные выборки в течение определенного промежутка времени. Анализ
панельных данных позволяет учитывать индивидуальные различия (эффекты) между
изучаемыми единица-ми как в пространстве, так и во времени на основе модели с
фиксированными эффектами или модели со случайными эффектами.
Одной из проблем при построении
модели по панельным данным является выбор типа модели. Как известно, для
стандартной модели регрессии качество подгонки обычно измеряет коэффициент
детерминации или скорректированный коэффициент детерминации. Однако в моделях с
панельными данными нецелесообразно использовать коэффициент детерминации для
того, чтобы определить, какой метод оценивания лучше. Так, если одну и ту же
модель оценить, например, обычным методом наименьших квадратов и с помощью
случайного эффекта, то объединенный коэффициент детерминации в первом случае
всегда будет больше соответствующего объединенного коэффициента для второго
метода, даже если более адекватным является использование случайного эффекта.
Тем не менее, коэффициенты детерминации можно применять для сравнения моделей,
отличающихся набором регрессоров и оцениваемых одним и тем же методом. Для
выбора типа модели по панельным данным наряду с содержательным анализом
используют тест Хаусмана, который основан на сравнении оценок параметров,
полученных по моделям с фиксированными и случайными эффектами.
Оценку параметров моделей
панельных данных можно, конечно, провести с помощью стандартных пакетов
статистического анализа (ППП Statistica,
SPSS, Statgraphics,
МS Ехсе1), но при
этом необходимо осуществлять преобразование данных и корректировку статистик
для проверки гипотез. Поэтому для обработки панельных данных целесообразно
использовать пакет Stagraphics,
в котором с помощью определенных команд можно найти оценки параметров,
осуществить проверку различных гипотез. Кроме того, пакет Statgraphics
имеет достаточно гибкую пакетную обработку данных, то есть программирование
всей последовательности команд, начиная от загрузки данных в память и вплоть до
всех деталей анализа.
Формирования панели необходимо
начинать с определения объектов наблюдения, а также признаков, которыми данные
объекты характеризуются в пространстве и во времени. Для моделирования стоимости
жилья на основе панельных данных в качестве объектов наблюдения сначала
рассмотрим только одно-, двух- и трехкомнатные квартиры, в качестве времени
-квартал. В качестве факторов, влияющих на стоимость жилья, отобраны следующие:
- средняя площадь (жилая) для
объекта i в момент времени t, м2;
- средняя площадь кухни для объекта
i в момент времени t, м2;
- средняя площадь (дополнительная),
которая представляет собой разницу между общей площадью, жилой площадью и
площадью кухни, для объекта i в момент времени t, м2.
В данном случае спецификация модели выбрана,
исходя из предположения о том, что каждый фактор изменяет стоимость квартиры на
определенный процент, а не на определенную величину. Из последнего следует, что
параметры модели должны быть коэффициента-ми эластичности. Поэтому для
моделирования стоимости жилья целесообразнее использовать степенную функцию.
Как известно, переход к логарифмической форме позволяет привести такую модель к
линейному виду.
Исследуем модель с фиксированными эффектами:
,
где
- индивидуальные эффекты;
и модель со случайными эффектами:
,
где
- случайное отклонение;

Результаты исследования моделей
с фиксированными и случайными эффектами представлены в таблице 2.
Таблица 2
Результаты оценивания моделей с
фиксированными и случайными эффектами по трем моделям
|
Тип
модели
|
Оценка
модели
|
F-критерий
|
Оценка
коэффициента детерминации
|
Модель с фиксированными эффектами
Модель со случайными эффектами
Согласно приведенным
результатам значимыми являются обе модели, значимы индивидуальные и случайные
эффекты. Была также построена двунаправленная модель с фиксированными
эффектами, в рамках которой доказана значимость временного эффекта, однако
индивидуальный эффект оказался незначимым.
Для выбора наиболее подходящей
модели использовался тест Хаусмана (W(1)=0,20, p=0,6514). Нулевая гипотеза об
отсутствии корреляции между случайными эффектами и регрессорами принимается.
Таким образом, оценки моделей с фиксированными и со случайными эффектами
являются состоятельными, но оценки с фиксированными эффектами - неэффективными,
и для моделирования стоимости жилья целесообразнее использовать модель со
случайными эффектами, так как анализируемые объекты попали в выборку из большой
совокупности, а эффекты, связанные с типом дома, временем продажи квартиры,
вероятно, более существенны, нежели индивидуальные особенности объектов. Это
еще более четко проявляется при построении моделей с четырьмя объектами
(дополнительный объект - четырехкомнатные квартиры). Результаты исследования
моделей для этого случая представлены в таблице 3.
Таблица 3
Результаты оценивания моделей с
фиксированными и случайными эффектами по четырем моделям
|
Тип
модели
|
Оценка
модели
|
F-критерий
|
Оценка
коэффициента детерминации
|
Модель
с фиксированными эффектами
Модель
со случайными эффектами
Результаты исследования
полученных моделей позволили сделать вывод о значимости только модели со
случайными эффектами, в которой изменение стоимости жилья объясняется на 99,8%
вариацией жилой площадью и площадью кухни. Эластичность цены квартир по жилой
площади составляет 0,676%, по площади кухни - 0,632%.
Таким образом, специфика эконометрического
моделирования панельных данных позволила получить модель для оценки стоимости
жилья, описывающую особенности изменения среднего уровня цены как в
пространстве, так и во времени.
Заключение
Развитие рынка недвижимости в России закономерно
привело к очередному этапу, характеризующемуся скачкообразным повышением
требований к качеству обоснования инвестиционных решений. И за рубежом, и в
России участники рынка недвижимости приходят к пониманию того, что
достоверность бизнес-планов, инвестиционных проектов и т.д., являющихся по сути
стандартным набором простых формул, целиком зависит от обоснованности рыночных
исследований, результаты которых используются в формулах. Другими словами,
наиболее весомым и значимым показателем состоятельности инвестиционного проекта
на рынке недвижимости является состоятельность рыночного исследования, на
основе которого данное решение принимается.
Сформулированная выше постановка вопроса должна
кардинальным образом изменить существующую в России практику выполнения
рыночного анализа цен на вторичное жилье. В данной работе мы рассмотрели
модели, которые помогут выявить факторы влияющие, на цену жилься, а также
спрогнозировать его стоимость в будущих периодах.
Признание всеми участниками рынка недвижимости
необходимости профессиональных стандартов анализа рынка (сейчас же используется
в основном не факторные модели, а анализ рядов динамики) позволит, с одной
стороны, обеспечить потребителей аналитических услуг ясными критериями
состоятельности и достоверности исследований, а с другой стороны, обеспечить
профессиональных аналитиков чёткими рекомендациями и минимально необходимыми
требованиям к аналитической работе.
Список использованной литературы
1. Алексеев
В.А. Недвижимое имущество. М.: Вольтерс Клувер, 2007. - 504 с.
2. Асаул
А.Н. Экономика недвижимости. СПб: Питер, 2007. - 618 с.
. Иваницкая
И.П., Яковлев Е.А. Введение в экономику недвижимости. М.: КноРус, 2007. - 184
с.
. Кожухар
В.М. Экспертиза и управление недвижимостью. М. Дашков и Ко, 2007. - 96 с.
. Тарасевич
Е.И. Экономика недвижимости. М.: МКС, 2007. - 584 с.
. Тарасевич
Е.И. Современные принципы анализа рынка недвижимости // Вопросы оценки. - 1999.
-№3. - С. 22-36.
. Сивкова
Л. А. Недвижимость: Маркетинг, оценка - М.: Интел - Синтез, 1996. - 64 с.
. Мхитарян
В.С. Оценка стоимости квартир на рынке вторичного жилья. М.: МЭСИ, 2001. - 79
с.
. Крастинь
О.П. Изучение статистических зависимостей по многолетним данным - М.: Финансы и
статистика, 2005. - 338 с.
. Балаш
В.А. Модели линейной регрессии для панельных данных: Учебное пособие для вузов
/ В.А. Балаш, О.С. Балаш. - М.: Эксмо, 2002. - 65 с.
. Магнус
ЯР. Эконометрика: начальный курс: Учебник для ВУЗов / ЯР. Магнус, П.К. Катышев,
А.А. Пересецкий. - М.: Дело, 2004. - 576 с.
. Стерник
Г.М. Технология анализа рынка купли-продажи и аренды жилой и коммерческой
недвижимости: Учебное пособие. М., 2004. - 200 с.
. Стерник
Г.М., Ноздрина Н.Н. Методология сбора и обработки информации о рынке
недвижимости: пособие риэлтору. - М.: РГР, 1997.
14. Громкова
О.В., Иголкин М.В. Моделирование стоимости объектов недвижимости с помощью ГИС.
<http://www.gisa.ru/39597.html>.