Сравнительный статистический анализ динамики цен на рынке первичного и вторичного жилья в России
Сравнительный
статистический анализ динамики цен на рынке первичного и вторичного жилья в
России
СОДЕРЖАНИЕ
Введение
. Структура и состояние рынка
жилья в РФ и основы статистического изучения динамики цен
.1 Проблемы формирования
первичного рынка жилья и факторы динамики цен на жилье
.2 Вторичный рынок жилья:
характеристика и факторы изменения цен
.3 Теория статистического
анализа динамики цен
. Применение статистических методов
для анализа динамики развития цен на первичном и на вторичном рынках жилья РФ
за 2000 - 2014 г.г.
.1 Визуализация данных
.2 Трендовый прогноз цен на жилье и
оценка качества прогноза
.3 Сравнительный факторный анализ
динамики цен на жилье на основе корреляционно-регрессионной модели
Заключение
Список использованных источников
Приложение
ВВЕДЕНИЕ
Состояние жилищной сферы и рынка жилья является
одним из важнейших факторов, оказывающих влияние на уровень и динамику основных
демографических показателей.
Социальная стабильности общества, уровень
безработицы, мобильность рабочей силы и другие факторы во многом определяются
наличием достаточного объема жилого фонда, отвечающего современным требованиям
общества, возможностью приобретения жилья представителями самых широких слоев
населения.
На протяжении длительного времени одним из самых
острых вопросов в социальной политике Российской Федерации остается проблема
обеспечения граждан доступным жильем, отвечающим современным требованиям и
существующим нормативам.[1]
Уровень обеспеченности жильем населения
Российской Федерации в настоящее время значительно отстает от уровня
аналогичного показателя экономически развитых стран. Так, в 2011 году он
составлял в среднем по России 22,8 кв. м на человека. Для сравнения, на одного
жителя Нидерландов приходится около - 74 кв. м, в Германии - 60 кв. м, в
Великобритании - 62 кв.м, во Франции - 37 кв. м.
Учитывая географические масштабы Российской
Федерации, а также особенности социальных, экономических, климатических условий
ее различных субъектов, для объективной оценки ситуации на рынке жилья большое
значение имеет анализ качества условий проживания и обеспеченности населения
жильем в региональном аспекте с целью выявления наиболее и наименее
благополучных субъектов Российской Федерации на основании проведения их
многомерной классификации.
Достаточно высокий уровень цен на российскую
жилую недвижимость в течении последних лет имел устойчивую тенденцию к росту. В
сочетании со значительным снижением объема вводимого жилья, во многом
обусловленным мировым финансовым кризисом, это ведет к тому, что недвижимость
становится все менее доступной для широких слоев населения. В связи с этим
приобретает актуальность вопрос о выявлении факторов, оказывающих влияние на
цены на рынке жилья.
Применение комплексных статистических
исследований обуславливается необходимостью разработки эффективной системы
поддержки жилищного сектора, выявления и анализа факторов, влияющих на
изменение жилищных условий населения Российской Федерации.
Необходимо также совершенствование методических
подходов к проведению сравнительного статистического анализа состояния и
тенденций развития сферы жилищного строительства в регионах, к прогнозированию
основных индикаторов ее развития. Всё вышеизложенное определяет актуальность
выбранной темы курсовой работы.[2]
Целью данной курсовой работы является выявление
факторов, оказывающих влияние на цены вторичного и первичного жилья и получение
достоверного прогноза цен на жилье на среднесрочную перспективу.
Для достижения поставленной цели необходимо
выполнить ряд задач:
- Изучить основы ценообразования
отечественном рынке жилья.
- Изучить факторы, оказывающие влияние
на цену на жилья.
- Собрать и провести дескриптивный
анализ данных.
- Построить регрессионную модель и
выявить значимые факторы.
- Рассмотреть методы прогнозирования
данных, такие как скользящая средняя, взвешенная средняя и аналитическое
выравнивание.
- Получить прогнозы по обозначенным
выше методам и построить на прогноз на будущую перспективу.
Таким образом, объектом данной работы являются
непосредственно сами цены на жилье, а предметом - динамика цен на жилье.
1. Структура и
состояние рынка жилья в РФ и основы статистического изучения динамики цен
.1 Проблемы
формирования первичного рынка жилья и факторы динамики цен на жилье
Все многообразие осуществляемых операций с
недвижимостью в жилищной сфере можно разделить на две категории: к первой
относятся операции на первичном рынке жилья, а ко второй - все остальное. С
последней категорией все понятно: если у жилья уже был собственник или оно даже
не один раз переходило из рук в руки, значит, мы имеем дело с вторичным рынком.
У каждой квартиры или дома на этом рынке уже есть своя история, ее отсчет
начинают обычно со дня приватизации, а иногда с момента, когда был выдан первый
ордер на вселение. Изучение этой истории самая главная проблема для риэлторов.
На первичном рынке жилья продаются новые дома и
квартиры, только что построенные и даже те, что пока существуют только в
проекте или лишь начинают строиться (в профессиональном сленге риэлторов есть
даже такое выражение: "продать котлован"). Продавцом такого жилья
чаще всего является тот, кто его строил или вкладывал деньги в его
строительство. Это может быть строительная компания, агентство недвижимости или
частное лицо, не желающее дожидаться окончания строительства дома. Главная сложность:
от момента уплаты денег до новоселья может пройти много времени, и вообще под
вопросом находится само окончание строительства. Впрочем, несмотря ни на какие
трудности и существенную разницу в правилах игры, и на первичном, и на
вторичном рынках жилья покупателей хватает.[3]
Каждый желающий приобрести новое жилье
самостоятельно должен взвесить достоинства и недостатки покупки "квартиры
с историей" или в доме-новостройке и, учитывая свои возможности, принять
решение.
Положительные стороны покупки жилого помещения в
новом доме:
· комиссионные посредникам при покупке
новостроек, как правило, минимальны, да и стоимость самих квартир бывает ниже,
чем на вторичном рынке;
· деньги за квартиры в строящихся
домах можно вносить постепенно;
· цена на жилье, скорее всего, со
временем будет расти;
· поскольку дом новый, вряд ли
придется в ближайшие годы тратиться на капитальный ремонт;
· нет проблем с "историей"
квартиры, поэтому нет необходимости тратить время и силы на ее изучение. Кроме
того, при покупке квартиры в новостройке можно внести изменения в ее планировку
и сделать отделку по своему вкусу.
Отрицательные стороны:
· могут затянуться сроки завершения
строительства;
· дом может быть не достроен по
причине банкротства строительной организации;
· получение правоустанавливающих
документов растягивается на месяцы, и вы не можете зарегистрироваться по месту
жительства;
· здесь не исключены обман и
мошенничество. К сожалению, иногда появляются фирмы-однодневки, скрывающиеся в
неизвестном направлений после получения денег с клиентов;
· если дом находится в новом
микрорайоне, вы можете тер-петь неудобства из-за неразвитой инфраструктуры,
ведь магазины, торговые центры, школы и детские сады появ-ляются чуть позднее;
Самым неприятным моментом, связанным с
приобретением квартиры в доме-новостройке, может явиться не то, что дом будет
стоять не на том месте и ее окончательная цена, стоимость эксплуатации будут
превышать те суммы, на которые вы рассчитывали, а то, что он вообще может не
появиться на свет.
По этой причине нежелательна покупка квартиры в
строящемся доме при условии продажи вашего старого жилья. Иногда новая квартира
может приобретаться с "зачетом стоимости старого жилья", но в этом
случае не рассчитывайте, что расчет будет произведен по рыночным ценам. Как правило,
клиент теряет до 20% рыночной стоимости старой квартиры, но зато избавляется от
хлопот, связанных с самостоятельной продажей жилья. Этот вариант приемлем
только для тех, у кого есть жилье, в котором можно прожить те несколько
месяцев, когда старая квартира уже продана, а новая еще не построена. Главное,
чтобы строительство не затянулось сверх установленного срока. По этим причинам
приобретают квартиры в новостройках, как правило, "прямые
покупатели", т.е. довольно состоятельные люди. При покупке квартиры в
новостройке необходимо учесть затраты в связи с отделкой квартиры и установкой
телефона. [3]
По этим причинам большинство граждан по-прежнему
предпочитают искать себе жилье на вторичном рынке. Но многие специалисты,
работающие на рынке недвижимости, все же уверены, что покупка новой квартиры в
строящемся доме - наиболее надежный и выигрышный вариант. Ведь не придется
проверять юридическую чистоту жилья. Цены на жилье в строящихся домах всегда
ниже, чем в готовых, особенно если они сдаются в "стройварианте",
т.е. требуют от вас дополнительных затрат на внутреннюю отделку (таблица 1).
Таблица 1 - Ввод в действие жилых домов в
Российской федерации (миллионов квадратных метром общей площади)
|
Годы
|
Всего
построено
|
В
том числе
|
Удельный
вес в общем вводе, (%)
|
|
|
населением
за счет собственных и заемных средств
|
жилищно-строительными
кооперативами
|
жилых
домов населения
|
жилых
домов жилищно-строительных кооперативов
|
|
2000
|
30,3
|
12,6
|
0,7
|
41,6
|
2,4
|
|
2001
|
31,7
|
13,1
|
0,6
|
41,2
|
2
|
|
2002
|
33,8
|
14,2
|
0,6
|
41,9
|
1,7
|
|
2003
|
36,4
|
15,2
|
0,5
|
41,6
|
1,4
|
|
2004
|
41,0
|
16,1
|
0,5
|
39,2
|
1,2
|
|
2005
|
43,6
|
17,5
|
0,6
|
40,2
|
1,4
|
|
2006
|
50,6
|
20
|
0,6
|
39,5
|
1,2
|
|
2007
|
61,2
|
26,3
|
0,9
|
43,0
|
1,5
|
|
2008
|
64,1
|
27,4
|
0,6
|
42,7
|
0,9
|
|
2009
|
59,9
|
28,5
|
0,5
|
47,7
|
0,8
|
|
2010
|
58,4
|
25,5
|
0,3
|
43,7
|
0,6
|
|
2011
|
62,3
|
26,8
|
0,4
|
43,0
|
0,6
|
|
2012
|
65,7
|
28,4
|
0,3
|
43,2
|
0,4
|
|
2013
|
70,5
|
30,7
|
0,5
|
43,5
|
0,7
|
Таблица 2 - Число зданий и сооружений,
находящихся в незавершенном строительстве в Российской Федерации (на конец
года)
|
Годы
|
Число
зданий, сооружений, находящихся в незавершенном строительстве, всего
|
В
том числе приостановленные или законсервированные
|
|
2000
|
179667
|
88379
|
|
2001
|
173362
|
81502
|
|
2002
|
164586
|
74886
|
|
2003
|
152256
|
61994
|
|
2004
|
139151
|
53467
|
|
2005
|
128496
|
45810
|
|
2006
|
125832
|
38549
|
|
2007
|
129716
|
31026
|
|
2008
|
121169
|
26340
|
|
2009
|
106451
|
27425
|
|
2010
|
103107
|
24796
|
|
2011
|
108138
|
20602
|
|
2012
|
104772
|
16880
|
|
2013
|
149101
|
17360
|
Уровень цен на рынке жилья складывается под
влиянием общей экономической ситуации, уровня жизни покупателей в регионе и
других факторов. Динамика цен на жилье зависит от ряда параметров. Среди них,
темпы роста доходов граждан, изменение соотношения спроса и предложения,
уровень развития ипотеки, а также динамика изменения цен в предшествующий
период.
Основными ценообразующими факторами первичного
рынка жилья являются:
Параметры местоположения:
· Район, окружение, инфраструктура,
экология;
· Близость к станциям метро;
· Транспортная доступность(маршруты
общественного транспорта, хорошие
· транспортные развязки).
Характеристики объекта:
· Тип дома (класс, материал стен,
сроки сдачи, высотность);
· Этаж (первый, последний, не
крайний);
· Количество комнат в квартире;
· Характеристики квартиры (площадь
кухни, функциональная планировка, высота
· потолков, наличие отделки).
На цену также сильно влияют сроки ввода жилья в
эксплуатацию.
Оценка первичного рынка жилья в России является
одним из наиболее популярных видов оценочной деятельности и соединяет
установление стоимости объекта. В этом случае определяются сразу несколько
видов стоимостей. Среди них распространенным являются ликвидационная, рыночная
и восстановительная стоимости. Например, рыночная стоимость характеризует
стоимость жилья на уже сложившемся рынке, по которой приобретет ее покупатель,
который обладает всеми нужными информационными данными.
Как правило, рыночная стоимость используется при
совершении сделок купли-продажи, а также при передаче жилья в залог или
определении величины арендных платежей. Данная стоимость является наиболее
важной по отношению к оценке для обыкновенного человека, потому что
воспроизводит реальную сложившуюся стоимость, по которой допустимо проведение
сделок. В процессе формирования рыночной цены имеют значение сразу несколько
факторов. Например, экономический фактор.
Причина в том, что повышение уровня жизни и
возникновение сбережений вызывает всплеск спроса, поскольку именно недвижимость
определяют как самый надежный и консервативный метод сбережения. Еще один
фактор - развитие банковского кредитования, которое уменьшает планку
состоятельности покупателей недвижимости, порождая умножение всеобщей их численности.
Это вместе с ограниченным предложением формирует интенсивное давление на
стоимость «снизу».
На формирование рыночной цены влияют и
ограничение предложения, так как в обстоятельствах современных городов, трудно
отыскивать место под застройку, отмечаются низкие темпы строительства, и,
одновременно, существует необходимость проведения ряда социальных программ,
возникает определенный дефицит предложения. Важным фактором являются
традиционные жилищные проблемы граждан Российской Федерации, большое количество
которых живет в неблагоприятных жилищных условиях или в арендуемом жилье.
Это вместе с интенсивным развитием банковского
кредитования и увеличением уровня жизни вызывает повышение величины спроса и,
соответственно, рост цен. Инфраструктурный фактор также ощутимо влияет на
формирование стоимости первичного рынка жилья в России. Здесь присуща
интенсивная централизация. Значительный уровень жизни возможен лишь в крупных
городах. Соответственно, усиливается поток населения и формируется повышенный
спрос на такое жилье. Также далекая до совершенства транспортная инфраструктура
не дает возможности развиваться сектору строительству первичного рынка жилья
вне больших транспортных узлов. Еще один фактор - отсутствие зрелого рынка
аренды в России, характерными особенностями которого являются отсутствие четко
прописанной законодательной базы, незакрепленной определенными правовыми
основаниями.
Таким образом, потребители стараются при первой
возможности перейти из разряда арендаторов в разряд собственников, права которых
на законодательном уровне защищены на гораздо лучшем уровне. Не следует
уменьшать значение психологического фактора. Покупатели, совершая покупку на
первичном рынке жилья, сравнивают сразу несколько вариантов, отталкиваясь из
текущей величины стоимости. Таким образом, понятие «дорого» или «дешево»
основывается под влиянием среднерыночных стоимостей на определенный объект
первичного рынка недвижимости. То есть, в случае стоимости данного объекта выше
среднерыночной цены за аналогичные объекты, то это считается «дорого», а если
меньше, то, соответственно, «дешево». При этом в осуществление расчета
принимается относительная, а не абсолютная стоимость недвижимости.
Ликвидационной стоимостью называют стоимость при
реализации продажи оцениваемого объекта за ограниченный временной термин. Эта
стоимость является всегда ниже или одинаковой с рыночной ценой.
Восстановительной стоимостью именуют стоимость строительства нового сооружения
или здания. Данная стоимость в основном применяется при оформлении договоров страхования.[4]
Таблица 3 - Средние цены на первичном рынке
жилья по Российской Федерации на конец периода, рублей за 1 квадратный метр
общей площади
|
Все
квартиры
|
В
том числе
|
|
|
|
квартиры
среднего качества (типовые)
|
квартиры
улучшенного качества
|
элитные
квартиры
|
|
2000
|
8678
|
7690
|
8126
|
13413
|
|
2001
|
10567
|
9122
|
10134
|
14826
|
|
2002
|
12939
|
11443
|
12800
|
17968
|
|
2003
|
16320
|
14320
|
15590
|
23899
|
|
2004
|
20810
|
18131
|
20313
|
30063
|
|
2005
|
25394
|
22008
|
23832
|
34518
|
|
2006
|
36221
|
32504
|
34592
|
50175
|
|
2007
|
47482
|
40971
|
44015
|
65854
|
|
2008
|
52504
|
49138
|
50459
|
69612
|
|
2009
|
47715
|
44481
|
46145
|
65617
|
|
2010
|
48144
|
46807
|
47685
|
69351
|
|
2011
|
43686
|
44777
|
42881
|
49042
|
|
2012
|
48163
|
49872
|
47178
|
54843
|
|
2013
|
50208
|
49966
|
49252
|
65754
|
Таблица 4 - Индексы цен на первичном рынке жилья
по Российской Федеpации (на конец периода, в % к концу предыдущего периода)
|
Все
квартиры
|
В
том числе
|
|
|
|
квартиры
среднего качества (типовые)
|
квартиры
улучшенного качества
|
элитные
квартиры
|
|
2000
|
113,1
|
111,2
|
113,5
|
112,7
|
|
2001
|
125,1
|
121,5
|
126,5
|
119
|
|
2002
|
122,5
|
122
|
123,8
|
116,5
|
|
2003
|
118,8
|
118,9
|
115,9
|
127,7
|
|
2004
|
118,5
|
117,4
|
121,2
|
113,7
|
|
2005
|
117,5
|
119,2
|
119
|
112,3
|
|
2006
|
147,7
|
150,6
|
149,4
|
139
|
|
2007
|
123,4
|
116,8
|
121,9
|
127,9
|
|
2008
|
110,3
|
113,2
|
111,4
|
105,4
|
|
2009
|
92,4
|
91,7
|
92,8
|
93,1
|
|
2010
|
100,3
|
99,2
|
101,3
|
99
|
|
2011
|
105,8
|
107
|
106,7
|
|
2012
|
110,7
|
113,5
|
109,7
|
109,8
|
|
2013
|
104,8
|
104,1
|
105
|
105,6
|
1.2 Вторичный рынок
жилья: характеристика и факторы изменения цен
рынок жилье цена динамика
Вторичный рынок жилья - это сфера, где
осуществляются сделки с недвижимостью, у которой прежде уже были собственники.
Если приобретаемая квартира прошла не через одни руки, сменяя собственников, то
нельзя быть полностью уверенным в юридической чистоте сделки. Чем большее число
собственников было у квартиры, тем выше вероятность возможных юридических
проблем.
Приобретая квартиру на вторичном рынке жилья,
обязательно нужно проверить её историю. Но даже самый опытный специалист по
сделкам с недвижимостью, не всегда может собрать достаточно полную информацию,
чтобы с уверенностью утверждать, что после покупки квартиры не возникнет
никаких проблем с прежними собственниками. Поэтому нужно очень внимательно
относиться к вопросу юридической чистоты сделки. Если квартира устраивает по
всем параметрам, но есть хотя бы малейшее сомнение в том, что с её историей не
всё чисто, то лучше отказаться от сделки.
Вторичный рынок жилья привлекателен, в первую
очередь, своим разнообразием и богатством выбора. На нем представлены квартиры
разнообразных ценовых категорий и качества. В зависимости от качественного и
ценового уровня можно выделить следующие типы вторичного жилья:
· низкокачественное жилье - это
квартиры, которые не оснащены всеми удобствами (могут отсутствовать вода,
канализация, центральное отопление), в домах, имеющих не более трех этажей;
· стандартное жилье - это квартиры со
смежными комнатами и кухнями небольших площадей в типовых домах, имеющих до 16
этажей;
· улучшенное жилье - это квартиры с
изолированными комнатами и подсобными помещениями в типовых домах, имеющих
более 16 этажей;
· элитное жилье - это квартиры в
домах, построенных по специальным проектам, расположенных в центральных районах
города и оснащенных дополнительными удобствами (подземные парковки, охрана).
Жилищный фонд составляет более 20%
воспроизводимого недвижимого имущества России, а с учетом жилых строений на садовых
и дачных участках - около 30%. Почти 10 млн. семей и одиночек живут в «
коммуналках», общежитиях или арендуют площадь у частных лиц, свыше 2 млн.
человек проживают в ветхих и аварийных домах, 5 - 6 млн. семей стоят в очереди
на улучшение жилищных условий, миллионы людей живут стесненно - на площади5 кв.
м на человека. Но только 1,5 - 2% нуждающихся в улучшении жилищных условий
могут единовременно оплатить стоимость квартиры или дома.
По оценкам специалистов, стоимость жилья не
должна превышать 12 - 15 годовых доходов средне обеспеченной семьи. Если такая
семья будет использовать третью часть своих доходов на погашение банковского
кредита с процентами, то выкуп квартиры займет более 30 лет.Жилье,
предоставляемое на рынке дорогое, немногие семьи могут позволить себе квартиру
соответствующую всем нормативам и потребностям. Потребности в улучшении
качества жилья постоянно растут.
При совершении покупки на вторичном рынке жилья,
следует учитывать особенности ценообразования. Формирование ценового диапазона
на рынке вторичного жилья обусловлено многочисленными факторами, как
внутреннего, так и внешнего характера. В большей степени влияние оказывает
экономическая ситуация в стране, которая обуславливает платежеспособность
граждан. В целом недвижимость остается «твердой валютой» даже в моменты
кризиса, однако стоимость в большинстве случаев неумолимо падает из-за
понижения рентабельности рынка, вызванного падением доходов. С другой стороны,
при сильном давлении иностранного капитала рынок невольно поднимает цены в
связи со значительным разбросом покупательских способностей.
Стоит отметить, что для рынка недвижимости
действуют общеэкономические принципы снижения стоимости. Подчас пересчета
стоимости на квадратный метр строго прослеживается тенденция удешевления жилья
с ростом площади. Так, например, четырехкомнатная квартира окажется дешевле
двух двухкомнатных при одинаковом метраже. Кстати, подобная схема работает и
для квартир с улучшенной планировкой, когда площадь заметно увеличена, а
количество помещений остается прежним. Только здесь снижение стоимости
перекрывается доплатой «за элитность» жилья.
Вполне очевидно, что ценовой диапазон вторичного
рынка напрямую зависит от стоимости квадратного метра нового жилья на данный
момент и подчас осуществления сделки. Часто случается так, что стоимость
квартиры при перепродаже оказывается выше, чем была после постройки, из-за
моментного общего скачка цен или курсов валюты. Хотя здесь большое значение
приобретают частные факторы, поскольку жилье может не соответствовать своей
начальной стоимости из-за строительного брака.
В каждом частном случае формирование стоимости
вторичного жилья происходит под давлением архитектурных и географических
факторов. Цена жилья заметно падает с увеличением возраста здания, особенно
если оно было построено в годы правления Хрущева. Хотя в последнее время эта
тенденция была нарушена из-за запуска государственной программы решения
жилищной проблемы. Многие за относительно небольшие деньги приобретают квартиры
Сталинской эпохи, чтобы через год-другой получить новое жилье в спальном
районе.
Существенную роль играет окружающая
инфраструктура: близость станции метро, расстояние до центра города, торговые
точки, места отдыха, транспортные артерии могут изменять стоимость квартиры в
несколько раз. Цены на жилье варьируют в зависимости от общей планировки. Так
первый этаж, совмещенный санузел, низкие потолки, выход окон на строительную
площадку или оживленную трассу, плохое шумоподавление и теплоизоляция понижают
стоимость в общей сложности на треть и более.
Далее в дело вступают личные предпочтения
потенциального покупателя: опрятный подъезд, чистый лифт, привлекательный
внешний вид самого здания повысят кредит доверия и положительно скажутся на
стоимости. Спорным моментом является дорогой ремонт жилья. Здесь продавцу лучше
выполнить качественный косметический ремонт, и каждый вложенный рубль окупится
десятикратно - так говорит статистика продаж. За спокойствие и комфорт
приходится платить много дороже[6] (таблица 5).
Таблица 5 - Средние цены на вторичном рынке
жилья по Российской Федерации на конец периода, рублей за 1 квадратный метр
общей площади
|
Все
квартиры
|
В
том числе
|
|
|
квартиры
низкого качества
|
квартиры
среднего качества (типовые)
|
квартиры
улучшенного качества
|
элитные
квартиры
|
|
2000
|
4941
|
3943
|
4431
|
5400
|
8247
|
|
2001
|
6151
|
4548
|
5371
|
6605
|
12130
|
|
2002
|
6590
|
5483
|
6422
|
7422
|
12009
|
|
2003
|
9072
|
7152
|
8789
|
9927
|
15476
|
|
2004
|
11557
|
9183
|
11254
|
12467
|
16663
|
|
2005
|
13967
|
12004
|
13659
|
14720
|
22906
|
|
2006
|
17931
|
15457
|
17911
|
18929
|
30405
|
|
2007
|
22166
|
19247
|
21916
|
23486
|
34995
|
|
2008
|
36615
|
32961
|
36198
|
38616
|
67979
|
|
2009
|
47206
|
40589
|
44630
|
48383
|
71549
|
|
2010
|
56495
|
50010
|
53752
|
57506
|
83207
|
|
2011
|
52895
|
48439
|
48940
|
53956
|
88140
|
|
2012
|
59998
|
54203
|
56762
|
60814
|
105302
|
|
2013
|
48243
|
42368
|
44002
|
50858
|
73168
|
Таблица 4 - Индексы цен на вторичном рынке жилья
по Российской (на конец периода, в % к концу предыдущего периода)
|
Все
квартиры
|
В
том числе
|
|
|
квартиры
низкого качества
|
квартиры
среднего качества (типовые)
|
квартиры
улучшенного качества
|
элитные
квартиры
|
|
2000
|
191,3
|
180,1
|
189,3
|
193,1
|
202,8
|
|
2001
|
129,6
|
132,7
|
125
|
126,4
|
149,8
|
|
2002
|
116,3
|
117,9
|
117,4
|
115,3
|
107,8
|
|
2003
|
132
|
124,5
|
135,5
|
130,5
|
123,3
|
|
2004
|
125,3
|
127,7
|
127,1
|
124,5
|
114,5
|
|
2005
|
118,8
|
119,5
|
120,5
|
116,4
|
115,4
|
|
2006
|
124,1
|
119,5
|
126,3
|
122,5
|
114,5
|
|
2007
|
118
|
115,9
|
118,2
|
119
|
111,4
|
|
2008
|
154,4
|
154,3
|
155,6
|
152,7
|
164,7
|
|
2009
|
120,6
|
117,4
|
121,2
|
119,8
|
116,8
|
|
2010
|
115,3
|
114,7
|
115
|
115,2
|
113,5
|
|
2011
|
89
|
90,4
|
87,5
|
89,9
|
92,2
|
|
2012
|
102,7
|
102,3
|
103,3
|
102,8
|
102,2
|
|
2013
|
105,8
|
103,9
|
106,8
|
105,8
|
103,4
|
1.3 Теория
статистического анализа динамики цен
Числовые значения того или иного статистического
показателя, составляющего ряд динамики, называют уровнями ряда и обычно
обозначают буквой (y). Первый член ряда (y1) называют начальным или базисным
уровнем, а последний (yn) - конечным. Моменты или периоды времени, к которым
относятся уровни, обозначают через t.
Существуют различные виды временных рядов. Их
можно классифицировать по следующим признакам:
. По способу выражения уровней ряда:
· ряды абсолютных величин;
· ряды относительных величин;
· ряды средних величин.
. По способу представления хронологии:
· моментные ряды;
· интервальные ряды.
В моментных временных рядах уровни ряда выражают
состояние явления на определенный момент времени (начало месяца, квартала, года
и т.п.). Например, численность населения Российской Федерации на 1 января
каждого года. В интервальных временных рядах уровни ряда выражают состояние
явления за определенные интервалы времени (за месяц, за квартал, за год и
т.п.). Например, ежемесячная выручка от реализации туристического продукта.
Отдельные уровни интервального временного ряда можно суммировать. Отдельные
уровни моментного временного ряда содержат элементы повторного счета, поэтому
их суммирование бессмысленно.
. По расстоянию между уровнями:
· временные ряды с равноотстоящими
уровнями во времени;
· временные ряды с неравноотстоящими
уровнями во времени;
Ряды динамики следующих друг за другом периодов
или следующих через определенные промежутки дат называют равноотстоящими. Если
же в рядах даются прерывающиеся периоды или неравномерные промежутки между
датами, то ряды называются неравноотстоящими.
. По наличию основной тенденции в ряду:
· стационарные временные ряды;
· нестационарные временные ряды.
Стационарным называется временной ряд, если
математическое ожидание значения признака и дисперсия постоянны, не зависят от
времени.
Нестационарные временные ряды имеют некоторую
тенденцию развития.
. По числу показателей:
· изолированные временные ряды;
· многомерные временные ряды
(комплексные).
Если ведется анализ во времени одного
показателя, то ряд динамики изолированный. В многомерном ряду представлена
динамика нескольких показателей, характеризующих одно явление.
Анализ рядов динамики начинается с определения
того, как именно изменяются уровни ряда (увеличиваются, уменьшаются или
остаются неизменными) в абсолютном и относительном выражении. Чтобы проследить
за направлением и размером изменений уровней во времени, для рядов динамики
рассчитывают показатели изменения уровней ряда динамики:
абсолютное изменение (абсолютный прирост);
относительное изменение (темп роста);
темп изменения (темп прироста).
Все эти показатели могут определяться базисным
способом, когда уровень данного периода сравнивается с первым (базисным)
периодом, либо цепным способом - когда сравниваются два уровня соседних
периодов.
Базисное абсолютное изменение представляет собой
разность конкретного и первого уровней ряда, определяется по формуле
Оно показывает, на сколько (в
единицах показателей ряда) уровень одного (i-того) периода больше или меньше
первого (базисного) уровня, и, следовательно, может иметь положительное
значение (при увеличении уровней) или отрицательное (при уменьшении уровней).
Цепное абсолютное изменение
представляет собой разность конкретного и предыдущего уровней ряда, определяется
по формуле
Оно показывает, на сколько (в
единицах показателей ряда) уровень одного (i-того) периода больше или меньше
предыдущего уровня, и может иметь положительное или отрицательное значение.
Базисное относительное изменение (базисный
темп роста или базисный индекс динамики) представляет собой соотношение
конкретного и первого уровней ряда, определяясь по формуле:
Цепное относительное изменение
(цепной темп роста или цепной индекс динамики) представляет собой соотношение
конкретного и предыдущего уровней ряда, определяясь по формуле:
Относительное изменение показывает
во сколько раз уровень данного периода больше уровня какого-либо
предшествующего периода (при t>1) или какую его часть
составляет (при t<1). Относительное изменение
может выражаться в виде коэффициентов, то есть простого кратного отношения
(если база сравнения принимается за единицу), и в процентах (если база
сравнения принимается за 100 единиц) путем домножения относительного изменения
на 100%.
Темп прироста показывает, на какую
долю (или процент) данный уровень ряда больше (или меньше) предыдущего или
базисного.
Темп прироста базисный:
Темп прироста цепной:
Одна из задач анализа временных
рядов состоит в выявлении сезонности. К сезонным относят все явления, которые
обнаруживают в своем развитии отчетливо выраженную закономерность
внутригодичных изменений, т.е. устойчиво повторяющиеся из года в год колебания
уровней. К задачам исследования сезонности относят следующие:
· определение наличия сезонных
колебаний;
· выявление их силы и характера в
различных фазах годичного цикла;
· характеристика факторов, вызывающих
сезонные колебания;
· математическое моделирование
сезонности;
· оценка экономических последствий, к
которым приводит наличие сезонных колебаний.
Наиболее распространенным методом изучения
сезонности является расчет индексов сезонности. Индексы сезонности являются
показателями, характеризующими результаты сравнения фактических уровней данного
месяца или квартала с расчетными уровнями. На практике используются различные
методики расчета индексов сезонности, например, в качестве расчетного уровня
может быть использовано среднее значение.
Индивидуальные индексы сезонности характеризуют
сезонность в границах конкретного года:
где
Isi -
индивидуальный индекс сезонности i-го месяца или квартала в t-м
году;ti -
фактические уровни ряда;
- средний уровень ряда.
Общие ( средние) индексы сезонности
характеризуют устойчивую
тенденцию сезонности для нескольких
лет. Для каждого месяца или квартала рассчитывается средняя величина уровня за
ряд лет ( рекомендуется для анализа брать не менее трех лет).
Затем рассчитывается средняя
величина для всего ряда. В заключении определяется процентное отношение средних
для каждого месяца или квартала к общему среднему уровню ряда:
- общий индекс сезонности;tin -среднее
значение для каждого месяца или квартала за анализируемый период;
- общий средний уровень за
анализируемый период.
Одной из важнейших задач
статистического анализа рядов динамики является выявление и описание основной
тенденции развития изучаемого явления.
Тенденция - это объективно
существующее свойство того или иного процесса, которое лишь приближенно
описывается трендом определенного вида.
Тренд - это представление тенденции
развития в форме той или иной монотонной кривой.
Для выявления и измерения общей
тенденции развития изучаемого явления необходимо абстрагироваться от влияния на
уровень ряда несуществующих факторов. Достичь этого позволяют приемы
сглаживания или выравнивания динамического ряда.
Существует около десятка критериев проверки
наличия тренда. Рассмотрим некоторые из них.
Ряд динамики разбивается на две равные или почти
равные части. Проверяется гипотеза о существовании разности средних : Н0: у1 =
у2 . Так как число членов анализируемого ряда, как правило, мало, то для
проверки гипотезы воспользуемся теорий малой выборки. За основу проверки
берется tα - критерий Стьюдента.
При t ≥ tα гипотеза об
отсутствии тренда отвергается и наоборот при t < или = tα
гипотеза
(Н0) принимается. Здесь t - расчетное значение, найденное для анализируемых
данных. tα - табличное значение
критерия при уровне вероятности ошибки, равном α. В
случае равенства или при несущественном различии дисперсий двух исследуемых
совокупностей (σ12 =σ22 ) определение
расчетного значения t производится по зависимости
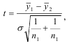
,
где у1 и у2 средние для первой и второй половины
ряда динамики;и n2 - число наблюдений в этих рядах;
σ - среднеквадратическое
отклонение разности средних, определяемое по зависимости
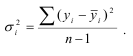
Дисперсии для первой и второй частей ряда
рассчитываются по зависимости
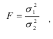
Проверка гипотезы о равенстве дисперсий
осуществляется с помощью F -критерия, основанного на сравнении расчетного
отношения с табличным. Расчетное значение критерия определяется по формуле
Если расчетное значение F меньше табличного, при
заданном уровне значимости то гипотеза о равенстве дисперсий принимается.
Если F больше, чем табличное значение, то
гипотеза о равенстве дисперсий отклоняется и зависимость для расчета t не
пригодна для использования.
При выполнении условия о равенстве дисперсий,
определяется значение tα и
проверяется гипотеза (Н0). При этом теоретическое значение tα
определяется
с числом степеней свободы равным n1 + n2 -2
Рассмотренный метод дает положительные результаты
для рядов с монотонной тенденцией. Когда же ряд динамики меняет общее
направление развития, то точка поворота тенденции оказывается близкой к
середине ряда. Поэтому средние двух отрезков будут близки, а проверка может не
показать наличие тенденции.
Является одним из наиболее простых методов
непосредственного выявления основной тенденции. При использовании этого метода
ряд динамики, состоящий из мелких интервалов, заменяется рядом, состоящим из
более крупных интервалов.
Так как на каждый уровень исходного ряда влияют
факторы, вызывающие их разнонаправленное изменение, то это мешает видеть
основную тенденцию. При укрупнении интервалов влияние факторов нивелируется, и
основная тенденция проявляется более отчетливо. Расчет среднего значения уровня
по укрупненному интервалу осуществляется по формуле простой средней
арифметической.
Недостатком этого способа является то, что
сокращается число уровней ряда, а это не позволяет учитывать изменения внутри
укрупненного интервала. К его преимуществам можно отнести сохранение природы
явления.
Заключается в том, что вычисляется средний
уровень из определенного числа первых по порядку уровней ряда, затем - средний
уровень из такого же числа уровней, начиная со второго, далее - начиная с
третьего и т. д.
Таким образом, при расчетах среднего уровня как
бы «скользят» по ряду динамики от его начала к концу, каждый раз отбрасывая
один уровень в начале и добавляя один следующий. Отсюда название - скользящая
средняя.
Основное отличие от предыдущего метода состоит в
том, что уровни, входящие в интервал усреднения суммируются с различными
весами, так как аппроксимация в пределах интервала сглаживания осуществляется с
использованием уровней, рассчитанных по полиному n -го порядка
где i - порядковый номер уровня интервала
сглаживания.
Кривые роста, описывающие закономерности
развития явлений во времени, получают путём аналитического выравнивания
динамических рядов. Выравнивание ряда с помощью тех или иных функций (то есть
их подгонка к данным) в большинстве случаев оказывается удобным средством
описания эмпирических данных, характеризующих развитие во времени исследуемого
явления. Это средство при соблюдении ряда условий можно применить и для прогнозирования.
Процесс выравнивания состоит из следующих основных этапов:
выбора типа кривой, форма которой соответствует
характеру изменения динамического ряда;
определения численных значений (оценивание)
параметров кривой;
апостериорного контроля качества выбора тренда.
Найденная функция позволяет получить
выровненные, или, как их иногда называют, теоретические значения уровней
динамического ряда, то есть те уровни, которые наблюдались бы, если бы динамика
явления полностью совпадала с кривой. Эта же функция с некоторой корректировкой
или без неё, применяется и для экстраполяции.
Вопрос о выборе типа кривой является основным
при выравнивании ряда. При всех прочих равных условиях ошибка в решении этого
вопроса оказывается более значимой по своим последствиям (особенно для
прогнозирования), чем ошибка, связанная со статистическим оцениванием
параметров.
Весьма распространенным приемом выявления формы
тренда является графическое изображение временного ряда. Но при этом весьма
велико влияние субъективного фактора, даже при отображении выровненных уровней.
Наиболее надежные методы выбора уравнения тренда основаны на свойствах
различных кривых, применяемых при аналитическом выравнивании. Такой подход
позволяет увязать тип тренда с теми или иными качественными свойствами развития
явления.
Итак, рассмотрим следующие типы уравнений
тренда:
1. Линейная форма:
;
2. Параболическая (полином 2-ой степени):
;
3. Логарифмическая форма тренда:
=a0 +a1 lnt ,
4. Мультипликативная (степенная) форма:
;
5. Полином 3-ей степени:
;
где
- уровень ряда, полученный в
результате выравнивания по прямой,
- начальный уровень тренда;
,
,
- константы тренда.[10]
2.
Применение статистических методов для анализа динамики развития цен на
первичном и на вторичном рынках жилья РФ за 2000 - 2014 г.г.
.1
Визуализация данных
Перед тем как переходить
непосредственно к анализу данных, необходимо предварительно выбрать факторы,
которые на первый взгляд могут оказывать влияние на цены на жилье. Для
исследования были взяты данные Росстата[9]. Для исследования были выбраны
следующие обозначения:
Price (Y)
-Средняя цена на первичном рынке жилья по Российской Федерации на конец
периода, рублей за 1 квадратный метр общей площади
Nedostr (X1) -
количество недостроенных зданий на конец года
Postr (X2) - всего
построено, млн м^2
Vtorich (X3) -
Средняя цена на вторичном рынке жилья по Российской Федерации на конец периода,
рублей за 1 квадратный метр общей площади
Bezrab (X4) -
Количество безработных, тыс. чел
Inflation (X5) -
уровень Инфляции в России, %
В ходе предварительной обработки
информации необходимо проверить гипотезу, относительно однородности выборки и
нормальности ее распределения. Для этого мы рассчитываем необходимые
показатели:
Описательная статистика, наблюдения
1 - 14
для переменной 'Price' (использовано
14 наблюдений)
Среднее 33488,
Медиана 39954,
Минимум 8678,0
Максимум 52504,
Стандартное отклонение 16791,
Вариация 0,30140
Асимметрия -0,32136
Эксцесс -1,6016range 32674,
Пропущенные наблюдения 0
Коэффициент вариации равен 30,14%,
что свидетельствует нам о достаточной однородности выборки.
Рисунок 1 - Диаграмма распределения
частот зависимого признака
Далее проверим распределение выборки
на нормальность при помощи критерия 
. 
табличное=12,5916. Значение 
расчетного составило 0,851. Это
говорит о том, что мы имеем нормальное распределение с вероятностью ошибки р =
0,2404.
2.2
Сравнительный факторный анализ динамики цен на жилье на основе
корреляционно-регрессионной модели
Проведем анализ корреляционных
связей.
Коэффициенты корреляции, наблюдения
1 - 14
% критические значения
(двухсторонние) = 0,5324 для n = 14
Price
Nedostr Postr Vtorich Bezrab Inf
,0000
-0,7619 0,9819 0,8804 -0,7800 -0,7969 Price
,0000
-0,8177 -0,7953 0,5560 0,8019 Nedostr
,0000 0,8652
-0,7246 -0,7603 Postr
,0000
-0,5663 -0,7817 Vtorich
,00000
0,7307 Bezrab
,0000 Inf
Проанализировав корреляционную
таблицу, можно сказать, что наиболее существенная статистическая связь
наблюдается между ценами на вторичное жилье и количеством построенных зданий.
Цена на первичное жилье имеет очень
тесную связь с количеством построенных зданий.
Далее произведем оценку методом
наименьших квадратов.
Модель 2: МНК, использованы
наблюдения 1-14
Зависимая переменная: Price
Коэффициент Ст. ошибка t-статистика
P-значение
---------------------------------------------------------------20,7891
8,44563 -2,462 0,0392 **1,57825e-05 3,02556e-05 0,5216 0,6161-2,62722e-06
5,17881e-05 -0,05073 0,9608
Bezrab 0,00178621 0,000840332 2,126
0,0662 *0,151394 0,206546 0,7330 0,48450,219259 0,0893853 2,453 0,0398 **
Среднее зав. перемен 3,814286 Ст.
откл. зав. перемен 1,947723
Сумма кв. остатков 17,59566 Ст.
ошибка модели 1,483057квадрат 0,643214 Испр. R-квадрат 0,420223(5, 8) 3,884481
Р-значение (F) 0,088540
Лог. правдоподобие -21,46531 Крит.
Акаике 54,93061
Крит. Шварца 58,76496 Крит.
Хеннана-Куинна 54,57567
Исключая константу, наибольшее
р-значение получено для переменной 4 (Vtorich)
Примечание: * означает 10%-й **
означает 5%-й уровень ошибки, *** означает 1%-й уровень ошибки.
Построим уравнение регрессии:
Price=-20,7891+1,57825e-05*nedostr--2,62722e-06*nedostr+0,00178621*bezrab+0,151394*inf+ 0,219259*Postr
F-статистика
Фишера =3,89. Это означает, что уравнение регрессии значимо, т.к. F-статистика
табличная равна 3,69. Уравнение регрессии в целом значимо с вероятностью ошибки
р = 0,088540
Исходя из полученных данных методом
наименьшего квадрата, можно сделать выводы:
1) Модель описывает 64% выборки(на основании
R^2)
) Значимыми факторами являются количество
безработных и количество построенных зданий.
) Остальные факторы незначимы на данном этапе.
Проверка на мультиколлениарность:
Метод инфляционных факторов
Минимальное возможное значение = 1.0
Значения > 10.0 могут указывать на наличие
мультиколлинеарности
Nedostr 3,6076,9953,9534,7239,434
Мультиколлениарность отсутствует.
Далее, проведем проверку на гетероскедастичность
при помощи теста Уайта. Так как МНК требует выполнения условий Гаусса-Маркова,
которые гарантируют состоятельность, несмещенность и эффективность найденных
оценок. Нарушение этих условий может давать оценки с плохими статистическими
свойствами. Одной из ключевых предпосылок МНК является условие постоянства
дисперсии случайных отклонений. Выполнимость данной предпосылки называется
гомоскедастичностью (постоянством дисперсии отклонений). Её невыполнимость
называется гетероскедастичностью (непостоянством дисперсии отклонений).
Хи-квадрат равен 12,784618, что меньше табличного 47,33 при уровне значимости
5%. Гипотеза об отсутствии гетероскадестичности принимается т.к. расчетное
меньше табличного.
Теперь исключаем из модели незначимые факторы.
Модель 5: МНК, использованы наблюдения 1-14
Зависимая переменная: Price
Коэффициент Ст. ошибка t-статистика P-значение
-----------------------------------------------------------------14,9077
5,44983 -2,735 0,0194 **0,00191544 0,000643564 2,976 0,0126 **0,163852
0,0443113 3,698 0,0035 ***
Среднее зав. перемен 3,814286 Ст. откл. зав.
перемен 1,947723
Сумма кв. остатков 21,96753 Ст. ошибка модели
1,413169квадрат 0,554566 Испр. R-квадрат 0,473578(2, 11) 6,847511 Р-значение
(F) 0,011703
Лог. правдоподобие -23,01870 Крит. Акаике
52,03739
Крит. Шварца 53,95456 Крит. Хеннана-Куинна
51,85992
Примечание: * означает 10%-й ** означает 5%-й
уровень ошибки, *** означает 1%-й уровень ошибки.
Итоговое уравнение регрессии: Price=-14,9077+0,00191544*bezrab+0,163852*Postr
Коэффициент детерминации снизился до 0,56, что
показывает высокий уровень значимости факторного признака и константы.
Последним этапом является проверка значимости
уравнения при помощи статистики Фишера. Расчетное значение получилось F(2,
11)=6,85, а табличное 3,4 при 5% уровне значимости. Так как расчетное значение
больше табличного, то уравнение значимо.
2.3 Трендовый прогноз
цен на жилье и оценка качества прогноза
Для построения прогноза цен на первичное жилье
рассмотрим временной ряд, который содержит цены на первичное жилье за период с
2000 по 2013 год.
Для получения прогноза а ценах на первичное
жилье мы будем использовать три метода.
Из группы методов скользящего среднего самым
простым является метод простого скользящего среднего по n-узлам. В этом методе
среднее фиксированного числа n-последних наблюдений используется для оценки
следующего значения уровня ряда.
Значение прогноза, полученного методом простого
скользящего среднего, всегда меньше фактического значения - если исходные
данные монотонно возрастают, и наоборот больше фактического значения - если
исходные данные монотонно убывают. Поэтому с помощью простого скользящего
среднего нельзя получить точных прогнозов. Этот метод лучше всего подходит для
данных с небольшими случайными отклонениями от некоторого постоянного или
медленно меняющегося значения.
Метод простого скользящего среднего имеет два
недостатка: Возникает в результате того, что при вычислении прогнозируемого
значения самое последнее наблюдение имеет такой же вес (значимость), как и
предыдущее, т.е. присвоение равного веса, противоречит интуитивному представлению
о том, что во многих случаях последние данные могут больше сказать о том, что
произойдет в ближайшем будущем, чем предыдущие (рисунок 2).
Рисунок 2 - метод скользяще средней
Следующий метод экспоненциального сглаживания
(рисунок 3).
Рисунок 3 - метод экспоненциального сглаживания
Метод экспоненциального сглаживания наиболее
эффективен при разработке среднесрочных прогнозов. Он приемлем при
прогнозировании только на один период вперед. Его основные достоинства простота
процедуры вычислений и возможность учета весов исходной информации.
Недостатки этого метода заключаются в том, что
средневзвешенный показатель не учитывает сезонные и другие нециклические
(случайные) колебания объемов продаж.
Теперь используем метод аналитического
выравнивания. Каждый из трех рассмотренных методов имеет свои достоинства, но в
большинстве случаев метод аналитического выравнивания предпочтителен. Однако
его применение связано с большими вычислительными работами: решение системы
уравнений; проверка обоснованности выбранной функции (формы связи); вычисление
уровней выравненного ряда; построение графика, Для успешного выполнения таких
работ целесообразно использовать компьютер и соответствующие программы (рисунки
4-8).
Рисунок 4 - Метод
аналитического выравнивания с экспоненциальной линией тренда
Рисунок - 5 Метод
аналитического выравнивания с линейной линией тренда
Рисунок 6 - Метод
аналитического выравнивания с логарифмической линией тренда
Рисунок 7 - Метод аналитического выравнивания с
полиномиальной линией тренда
Рисунок 8 - Метод аналитического выравнивания со
степенной линией тренда
Из всех линий тренда, которые мы исследовали в
методе аналитического выравнивания мы выбираем степенную, т.к. у нее наименьший
коэффициент детерминации. Цены на первичное жилье имеют тенденцию к
возрастанию.
ЗАКЛЮЧЕНИЕ
Формирование рыночной цены первичное и вторичное
жилье - многофакторный процесс: она колеблется в зависимости от экономических,
политических, спекулятивных факторов. В их числе: экономическая и политическая
обстановка, объемы строительства, инфляция, колебания ведущих валют и
процентных ставок.
В данной работе рассматривалось 2 основных
аспекта - факторы, влияющие на цену на рынке жилья и способы прогнозирования
этой цены с помощью разных моделей. В ходе проведенного анализа выяснилось, что
среди всех рассматриваемых нами факторов, на значение цен на первичное и
вторичное жилье в Росиии оказывают влияние: уровень Инфляции в России, уровень
безработицы..
Теперь стоит перейти к следующему аспекту,
рассматриваемому в данной работе - прогнозированию цен на рынке жилья. В
качестве основных методов прогнозирования нами были выбраны модели скользящей
средней, взвешенной средней и аналитическое выравнивание.
В ходе построения модели взвешенной средней, мы
получили значения, которые хорошо соблюдают тенденцию исходного ряда. Однако
данная модель не может учитывать влияния внешних факторов, таких как кризис или
положение на рынке.
В качестве следующего метода прогнозирования мы
выбрали аналитическое выравнивание. И построили прогноз на 2014 год. Данный
прогноз показал, что цены на жилье в 2014 году будут иметь тенденцию к
возрастанию.
В данной работе были рассмотрены не все
проблемы, которые возникают при прогнозировании цен на рынке первичного и
вторичного жилья, поэтому было бы целесообразно в дальнейшем продолжить
рассмотрение разных методов прогнозирования, чтобы полученные значения были,
как можно больше приближены к реальным. Одним из направлений для дальнейших
исследований может быть применение большего числа моделей разного вида для
получения различных прогнозов ряда.
СПИСОК ИСПОЛЬЗОВАННОЙ ЛИТЕРАТУРЫ
1. Анализ
и оценка приносящей доход недвижимости. - Фридман Дж., П. Орлуэй. - М., 1995.
С.5
2. <http://netess.ru/3ekonomika/4984-1-statisticheskoe-issledovanie-rinka-zhilya-rossiyskoy-federacii.php>
. Бойко
И.П. Основы бизнеса на рынке недвижимости. - М.: Экономика, 2010. - 182-183 с.
. http://bujet.ru/article/5546.php
. <http://forexaw.com/Sales_in_primary_market_of_housing_Russia>
. <http://realty.web-3.ru/definitions/market/second/costs/>
. <http://www.creativeconomy.ru/articles/25844>
. Экономика
недвижимости. - Щербакова Н.А. - Учебное пособие Ростов-на-Дону, Феникс 2006 г
. <http://www.gks.ru/>
. Назарова,
М.Г. Общая теория статистики : учебник / под ред. М. Г. Назарова. - М.:
Издательство «ОмегаЛ», 2010. - 410 с.
Приложение А
Данные по вводу в действие жилых домов в
Российской федерации (миллионов квадратных метром общей площади)
|
Годы
|
Всего
построено
|
В
том числе
|
Удельный
вес в общем вводе, (%)
|
|
|
населением
за счет собственных и заемных средств
|
жилищно-строительными
кооперативами
|
жилых
домов населения
|
жилых
домов жилищно-строительных кооперативов
|
|
2000
|
30,3
|
12,6
|
0,7
|
41,6
|
2,4
|
|
2001
|
31,7
|
13,1
|
0,6
|
41,2
|
2
|
|
2002
|
33,8
|
14,2
|
0,6
|
41,9
|
1,7
|
|
2003
|
36,4
|
15,2
|
0,5
|
41,6
|
1,4
|
|
2004
|
41,0
|
16,1
|
0,5
|
39,2
|
1,2
|
|
2005
|
43,6
|
17,5
|
0,6
|
40,2
|
1,4
|
|
2006
|
50,6
|
20
|
0,6
|
39,5
|
1,2
|
|
2007
|
61,2
|
26,3
|
0,9
|
43,0
|
1,5
|
|
2008
|
64,1
|
27,4
|
0,6
|
42,7
|
0,9
|
|
2009
|
59,9
|
28,5
|
0,5
|
47,7
|
0,8
|
|
2010
|
58,4
|
25,5
|
0,3
|
43,7
|
0,6
|
|
2011
|
62,3
|
26,8
|
0,4
|
43,0
|
0,6
|
|
2012
|
65,7
|
28,4
|
0,3
|
43,2
|
0,4
|
|
2013
|
70,5
|
30,7
|
0,5
|
43,5
|
0,7
|
Приложение Б
Данные по числу зданий и сооружений, находящихся
в незавершенном строительстве в Российской Федерации (на конец года)
|
Годы
|
Число
зданий, сооружений, находящихся в незавершенном строительстве, всего
|
В
том числе приостановленные или законсервированные
|
|
2000
|
179667
|
88379
|
|
2001
|
173362
|
81502
|
|
2002
|
164586
|
74886
|
|
2003
|
152256
|
61994
|
|
2004
|
139151
|
53467
|
|
2005
|
128496
|
45810
|
|
2006
|
125832
|
38549
|
|
2007
|
129716
|
31026
|
|
2008
|
121169
|
26340
|
|
2009
|
106451
|
27425
|
|
2010
|
103107
|
24796
|
|
2011
|
108138
|
20602
|
|
2012
|
104772
|
16880
|
|
2013
|
149101
|
17360
|
Приложение В
Средние цены на первичном рынке жилья по
Российской Федерации на конец периода, рублей за 1 квадратный метр общей
площади
|
Все
квартиры
|
В
том числе
|
|
|
|
квартиры
среднего качества (типовые)
|
квартиры
улучшенного качества
|
элитные
квартиры
|
|
2000
|
8678
|
7690
|
8126
|
13413
|
|
2001
|
10567
|
9122
|
10134
|
14826
|
|
2002
|
12939
|
11443
|
12800
|
17968
|
|
2003
|
16320
|
14320
|
15590
|
23899
|
|
2004
|
20810
|
18131
|
20313
|
30063
|
|
2005
|
25394
|
22008
|
23832
|
34518
|
|
2006
|
36221
|
32504
|
34592
|
50175
|
|
2007
|
47482
|
40971
|
44015
|
65854
|
|
2008
|
52504
|
49138
|
50459
|
69612
|
|
2009
|
47715
|
44481
|
46145
|
65617
|
|
2010
|
48144
|
46807
|
47685
|
69351
|
|
2011
|
43686
|
44777
|
42881
|
49042
|
|
2012
|
48163
|
49872
|
47178
|
54843
|
|
2013
|
50208
|
49966
|
49252
|
65754
|
Приложение Г
Индексы цен на первичном рынке жилья по
Российской Федеpации (на конец периода, в % к концу предыдущего периода)
|
Все
квартиры
|
В
том числе
|
|
|
|
квартиры
среднего качества (типовые)
|
квартиры
улучшенного качества
|
элитные
квартиры
|
|
2000
|
113,1
|
111,2
|
113,5
|
112,7
|
|
2001
|
125,1
|
121,5
|
126,5
|
119
|
|
2002
|
122,5
|
122
|
123,8
|
116,5
|
|
2003
|
118,8
|
118,9
|
115,9
|
127,7
|
|
2004
|
118,5
|
117,4
|
121,2
|
113,7
|
|
2005
|
117,5
|
119,2
|
119
|
112,3
|
|
2006
|
147,7
|
149,4
|
139
|
|
2007
|
123,4
|
116,8
|
121,9
|
127,9
|
|
2008
|
110,3
|
113,2
|
111,4
|
105,4
|
|
2009
|
92,4
|
91,7
|
92,8
|
93,1
|
|
2010
|
100,3
|
99,2
|
101,3
|
99
|
|
2011
|
106,7
|
105,8
|
107
|
106,7
|
|
2012
|
110,7
|
113,5
|
109,7
|
109,8
|
|
2013
|
104,8
|
104,1
|
105
|
105,6
|
ПРИЛОЖЕНИЕ Д
Средние цены на вторичном рынке жилья по
Российской Федерации на конец периода, рублей за 1 квадратный метр общей
площади
|
Все
квартиры
|
В
том числе
|
|
|
квартиры
низкого качества
|
квартиры
среднего качества (типовые)
|
квартиры
улучшенного качества
|
элитные
квартиры
|
|
2000
|
4941
|
3943
|
4431
|
5400
|
8247
|
|
2001
|
6151
|
4548
|
5371
|
6605
|
12130
|
|
2002
|
6590
|
5483
|
6422
|
7422
|
12009
|
|
2003
|
9072
|
7152
|
8789
|
9927
|
15476
|
|
2004
|
11557
|
9183
|
11254
|
12467
|
16663
|
|
2005
|
13967
|
12004
|
13659
|
14720
|
22906
|
|
2006
|
17931
|
15457
|
17911
|
18929
|
30405
|
|
2007
|
22166
|
19247
|
21916
|
23486
|
34995
|
|
2008
|
36615
|
32961
|
36198
|
38616
|
67979
|
|
2009
|
47206
|
40589
|
44630
|
48383
|
71549
|
|
2010
|
56495
|
50010
|
53752
|
57506
|
83207
|
|
2011
|
52895
|
48439
|
48940
|
53956
|
88140
|
|
2012
|
59998
|
54203
|
56762
|
60814
|
105302
|
|
2013
|
48243
|
42368
|
44002
|
50858
|
73168
|
Приложение Е
Ввод в действие жилых домов в городах и поселках
городского типа и сельской местности в Российской Федерации (миллионов
квадратных метров общей площади)
|
годы
|
Всего
введено в действие жилых домов
|
В
том числе построенных населением за счет собственных и заемных средств
|
На
1000 человек населения,м2 общей площади
|
|
В
городах и поселках городского типа
|
В
сельской местности
|
В
городах и поселках городского типа
|
В
сельской местности
|
В
городах и поселках городского типа и сельской местности
|
В
городах и поселках городского типа
|
В
сельской местности
|
|
2000
|
23,1
|
7,2
|
6,2
|
6,4
|
207
|
216
|
182
|
|
2001
|
24,3
|
7,4
|
6,6
|
6,5
|
217
|
227
|
189
|
|
2002
|
26,2
|
7,6
|
7,5
|
6,7
|
233
|
247
|
195
|
|
2003
|
28,3
|
8,1
|
7,8
|
7,4
|
252
|
267
|
211
|
|
2004
|
32,3
|
8,7
|
8,2
|
7,9
|
285
|
306
|
227
|
|
2005
|
34,1
|
9,5
|
8,8
|
8,7
|
304
|
325
|
246
|
|
2006
|
40,6
|
10,0
|
10,9
|
9,1
|
353
|
387
|
262
|
|
2007
|
47,5
|
13,7
|
13,8
|
12,5
|
429
|
453
|
361
|
|
2008
|
49,0
|
15,1
|
14,0
|
13,4
|
449
|
467
|
399
|
|
2009
|
43,8
|
16,1
|
14,0
|
14,5
|
419
|
417
|
425
|
|
2010
|
43,7
|
14,7
|
12,7
|
12,8
|
409
|
415
|
392
|
|
2011
|
46,8
|
15,5
|
13,1
|
13,7
|
436
|
443
|
416
|
|
2012
|
50,0
|
15,7
|
14,7
|
13,7
|
459
|
472
|
422
|
|
2013
|
52,9
|
17,5
|
15,8
|
14,9
|
491
|
498
|
472
|
|
|
|
|
|
|
|
|
|
|
Индексы цен на вторичном рынке жилья по
Российской
(на конец периода, в % к концу предыдущего
периода)
|
Все
квартиры
|
В
том числе
|
|
|
квартиры
низкого качества
|
квартиры
среднего качества (типовые)
|
квартиры
улучшенного качества
|
элитные
квартиры
|
|
2000
|
191,3
|
180,1
|
189,3
|
193,1
|
202,8
|
|
2001
|
129,6
|
132,7
|
125
|
126,4
|
149,8
|
|
2002
|
116,3
|
117,9
|
117,4
|
115,3
|
107,8
|
|
2003
|
132
|
124,5
|
135,5
|
130,5
|
123,3
|
|
2004
|
125,3
|
127,7
|
127,1
|
124,5
|
114,5
|
|
2005
|
118,8
|
119,5
|
120,5
|
116,4
|
115,4
|
|
2006
|
124,1
|
119,5
|
126,3
|
122,5
|
114,5
|
|
2007
|
118
|
115,9
|
118,2
|
119
|
111,4
|
|
2008
|
154,4
|
154,3
|
155,6
|
152,7
|
164,7
|
|
2009
|
120,6
|
117,4
|
121,2
|
119,8
|
116,8
|
|
2010
|
115,3
|
114,7
|
115
|
115,2
|
113,5
|
|
2011
|
89
|
90,4
|
87,5
|
89,9
|
92,2
|
|
2012
|
102,7
|
102,3
|
103,3
|
102,8
|
102,2
|
|
2013
|
105,8
|
103,9
|
106,8
|
105,8
|
103,4
|