Эконометрическое моделирование стоимости однокомнатных квартир в г. Кумертау
Министерство образования и науки
Российской Федерации
Федеральное государственное бюджетное
образовательное учреждение
высшего профессионального образования
"Оренбургский государственный
университет"
Кафедра математических методов и
моделей в экономике
КУРСОВАЯ РАБОТА
по дисциплине «Эконометрика»
на тему «Эконометрическое
моделирование стоимости однокомнатных квартир в г. Кумертау»
Исполнитель студент
Мария Николаевна Гуляева
Оренбург 2014
Аннотация
Курсовая работа состоит из введения, трех глав, заключения, списка
литературы и приложений.
Во введении обоснована актуальность выбранной темы, сформулирована цель,
поставлены задачи, определены объект и предмет исследования, описана
информационная база, перечислены применяемые методы и инструментальные
средства.
В первой главе отражены теоретические основы и особенности
эконометрического моделирования стоимости жилья.
Во второй главе построена и исследована линейная модель парной регрессии
зависимости стоимости однокомнатных квартир от общей площади жилья.
В третьей главе построены и исследованы линейная, показательная,
логарифмическая и квадратическая модели множественной регрессии. Исследование
показало, что линейная модель регрессии с такими факторами как (перечислить те,
которые остались после устранения мультиколлинеарности) наилучшим образом
описывает реальные данные.
В заключении содержатся основные выводы по проведенному исследованию,
даны рекомендации по применению полученных результатов.
Содержание
Введение
. Теоретические аспекты моделирования стоимости жилья
.1 Модель ценности местоположения
.2 Пространственно-параметрическое моделирование рынка
вторичного жилья
. Исследование зависимости цен на однокомнатные квартиры в
городе Кумертау от общей площади жилья
. Построение и исследование многофакторной модели зависимости
цен на жилье
Заключение
Список использованных источников
Приложения
Введение
Обеспеченность жильем выступает индикатором социального благополучия.
Вопросы формирования цен на жилье остро встают не только для крупных городов,
но и относительно небольших городов. В случае последних формирование цен на
жилье имеет свои особенности. Во-первых, объемы спроса и предложения
недостаточно велики, во-вторых, небольшими доходами населения, в-третьих,
географическими особенностями расположения и т.д.
Однокомнатные квартиры являются наиболее привлекательными с точки зрения
населения, что связано с их относительной дешевизной, а также индивидуальностью
на рынке жилья.
Для определения рыночной цены на квартиры необходимо определить, какие
факторы оказывают влияние на ее уровень, что возможно на основе применения
специального математического инструментария.
Результаты таких исследований представляют интерес для населения как
потребителя, так и для разного рода риэлтерских компаний, строительных
организаций, а также юридическим лицам, занимающимся предоставлением ипотек,
кредитов и т.д.
Вопросам моделирования и прогнозирования цен на жилье занимается такие
учение как О.В. Громкова, О.И. Стебунова, Н.В. Пузина, А.В. Боброва, А.Г.
Реннер.
Исходя из вышесказанного, актуальным является эконометрическое
моделирование стоимости квартир.
Целью курсовой работы является исследование зависимости цен квартир от
основных характеристик жилья
Задачи:
) Изучить теоретические аспекты моделирования стоимости жилья в
городе Кумертау.
) Исследовать зависимости цен на 1-комнатные квартиры в городе
Кумертау от общей площади жилья.
) Построить и исследовать многофакторную модель зависимости цен на
жилье.
Объектом исследования является город Кумертау.
Предмет исследования: Модели зависимости стоимости жилья от основных
характеристик.
Информационная база исследования - послужили данные на интернет-ресурсах
avito о продажах квартир в г. Кумертау на 30 марта. Методы исследования:
корреляционный, регрессионный анализ, графический метод.
1. Теоретические аспекты моделирования стоимости жилья
Структурная перестройка российской экономики, начавшаяся в начале 1990-х
годов, создала предпосылки для формирования рыночных отношений во всех сферах
хозяйственной деятельности. Законодательно обеспеченная передаваемость прав
собственности на объекты недвижимости стала основой для появления нового и
уникального для России конца XX века товара-недвижимости.
Как и во всех развитых странах мира, недвижимость составляет основу национального
богатства России, корректная оценка стоимости которого будет в существенной
степени определять как экономическое позиционирование России в ряду других
стран, так и обеспечивать условие для стабильного развития национальной
экономики.
В условиях России сегодня можно говорить о достаточно развитом рынке
жилой недвижимости, особенно - квартир в многоквартирных домах. Рынок жилья в
наибольшей степени отражает тенденции изменения спроса и предложения на рынке
недвижимости.
На рынке жилья можно выделить две его составляющие: первичный и вторичный
рынки жилья. Первичный рынок охватывает новую недвижимость, впервые появившуюся
как товар на рынке, а вторичный рынок - недвижимость, уже функционирующую в
течение некоторого времени и обладающую определенной степенью износа. Почти
всегда объем продаж на вторичном рынке больше, чем на первичном. Он больше
соответствует рыночным принципам формирования цен на основе спроса и
предложения, в отличие от регулируемых цен коммерческой реализации на первичном
рынке.
1.1 Модель ценности местоположения
Решение многих задач городского управления, в том числе оценка и
регулирование цен на жилье, опирается на данные массовой оценки рыночной
стоимости объектов недвижимости, которая связана как с фискальной, так и
регулирующей функцией государства, и требует определения:
налога на землю;
выкупной цены земли;
арендной платы за пользование земельными участками;
арендной платы за объекты жилого фонда;
налога на недвижимость;
стоимости объектов жилого и нежилого фондов для купли-продажи;
стоимости объектов жилого и нежилого фондов в целях залога.
Стоимостные модели, разработанные для использования в разных ведомствах,
различаются как по подходам к оценке, так по параметрам моделей. Трудоемкость
создания моделей для каждого случая, желание увязать между собой оценку
различных видов недвижимости в единой экономико-математической модели,
основанной на рыночных принципах, инициировали разработку единой методики
оценки объектов недвижимости, учитывающие цель определения их стоимости (для
налогообложения, продажи на торгах и т.п.). В качестве объединяющего звена
методики - ценообразующего фактора часто используется модель ценности
местоположения, которая в большой степени влияет на стоимость недвижимости. При
этом расчеты налога на землю, выкупной цены земли, арендной платы за
пользование землей, налога на недвижимость, налога на имущество решено
проводить на основе данных по нормам изъятия, которые определяются
государственными органами на основе плановых показателей поступлений в бюджеты,
издержками по администрированию налога, социальными нормами и т.п. и выражаются
в оптимальных налоговых шкалах в пределах, заданных действующим
законодательством.
В основе построения экономико-математических моделей оценки недвижимости
лежит определение зависимости стоимостной характеристики (цены) объекта от
совокупности факторов, влияющих на формирование цены на открытом рынке.
Моделирование местоположения - это наиболее сложная и ответственная часть
процесса, которая часто требует дополнительных исследований рынка, а в
отдельных случаях - разработки специализированного программного обеспечения.
Местоположение - как правило, наиболее существенный и динамичный ценообразующий
фактор, трудно поддающийся объективному описанию. В результате этому фактору
уделяется больше внимания, чем остальным, что вполне оправдано, учитывая
степень его влияния на рынке коммерческой недвижимости. Основная и наиболее
сложная задача при учете фактора местоположения - выбрать адекватную модель
влияния местоположения на цену, от которой зависит и сложность дальнейшего
моделирования, и точность модели рынка.
Цены (или ставки арендной платы) коммерческих площадей в соседних зданиях
в пределах одного квартала могут различаться в разы, если одно расположено
внутри квартала, а другое - на границе красной линии застройки основной
магистрали или, например, у станции метрополитена. В то же время в разных
частях города существуют обширные зоны с одинаковым уровнем цен. Учесть все
нюансы влияния расположения объекта на цену для всей территории невозможно, но
даже для построения грубой модели необходимо проанализировать множество
разнородных объектов недвижимости, равномерно распределенных по территории, и
выбрать концепцию моделирования местоположения, которая позволила бы учесть все
составляющие «ценности» расположения объекта и адекватно описать их влияние на
ценообразование.
В практике массовой оценки применяются несколько методов моделирования
местоположения. Такие как метод моделирования с использованием координат
объектов и применением в дальнейшем регрессионного анализа и метод
пространственно-параметрического моделирования. Оба метода имеют свои
достоинства и недостатки.
Так, для определения координат объектов необходимо наличие электронной
карты территории, которые имеются не для всех городов России. Вместе с тем,
именно этот метод позволяет обеспечить высокую точность оценки.
Сущность методологии пространственно-параметрического анализа рынка
недвижимости состоит в сборе документированной информации об объектах рынка,
разделении объектов на однородные группы (выборки) по качеству, местоположению,
периодам времени, определении характеристик каждой выборки и исследовании
полученных числовых пространственно-параметрических и динамических моделей с
дискретным шагом. Главным преимуществом метода пространственно-параметрического
моделирования является простота как процесса моделирования, так и применения
модели.
При выборе концепции моделирования местоположения полезно также учитывать
существующие наработки в сфере территориального или экономического зонирования
территории, которые можно использовать при построении модели рынка.
.2 Пространственно-параметрическое моделирование рынка вторичного жилья
Успех функционирования в условиях рыночной экономики зависит от степени
обеспечения объективной информацией лиц, принимающих решения о проведении тех
или иных операций. Одним из приоритетных вопросов исследования на рынке
недвижимости является ценовая конъюнктура рынка, включая оценку стоимости
конкретных объектов.
В настоящее время операции с жилой недвижимостью составляют наибольший
удельный вес всех сделок купли/продажи, поэтому актуальным является
исследование влияния основных факторов на формирование цены квартиры.
Пусть yi Î Y - цена i-й квартиры, в заданном периоде (в последующем временной параметр
опускается);
={yi }, i=1,2,…,n - дискретное множество значений цен.
Эта запись представляет собой модель первичной рыночной информации -
исходных данных для построения модели рынка.
В общем случае цена квартиры на рынке может быть описана стохастической
зависимостью от ее характеристик xj:
= f (xj),
Характеристики могут быть непрерывными и дискретными величинами и
выражаться:
числом (значения жилой площади, дополнительной площади, размера кухни и
т.п.);
диапазоном чисел (диапазон значений периода строительства и т.п.);
количественным признаком (этажность дома, этаж расположения квартиры,
число комнат и т.п.);
качественным признаком (материал несущих конструкций, тип санузла, тип
планировки, район и т.п.);
бинарным признаком «да-нет» (наличие лифта в доме, наличие телефона в
квартире, состояние дома - после реконструкции, капремонта, возможность
перевода в нежилое помещение и т.д.).
Разделим все характеристики по трем классификационным основаниям -
качества, местоположения, размера:
К=(xjk) - множество характеристик качества (конструктивно-технические
характеристики дома и квартиры, характеристики комфортности проживания).= (xjm)
- множество характеристик местоположения дома.= (xjr) - множество характеристик
размера квартиры.
Выше перечисленные характеристики влияют на предпочтения покупателей, а
следовательно и на цену квартиры.
Тогда
={yi=f (xjk, xjm, xjr)}.
Преобразуем числовые значения характеристик в дискретные, разбив их на
диапазоны. Тогда
= {yi=f({ xk1, xk2, …}, {xm1, xm2, … }, {xr1, xr2, … }) }.
В теории регрессионного анализа характеристики объекта именуются
«факторами». На основании рыночной информации строится непрерывно-дискретная
модель рынка Y=F(xi), с помощью статистических критериев Стьюдента и Фишера
определяются уровни значимости факторов. Критериальные значения факторов, по
которым принимаются решения, задаются исследователем. Факторы, удовлетворяющие
этим критериям, признаются значимыми, остальные - случайными, и регрессионная
модель строится как осреднение по факторам, признанным случайными.
Изучение существующих в жилищном фонде и на рынке квартир показывает, что
большая часть теоретически возможного числа вариантов сочетания характеристик
являются физически нереализуемыми. Например, сочетание «хрущевка - площадь
кухни более 7,5 м2» или «элита - отсутствует телефон» и т.п.
Сгруппируем характеристики качества таким образом, чтобы совокупность
диапазонов и/или признаков всех значимых характеристик образовывала физически
определимое множество, соответствующее подмножеству элементов множества Y={yi}:
{ yik1 } = {yi ½xk = {xk1 } };
{ yik2 } = {yi ½xk = {xk2 } };
Èyit = yik1 È yik2 È ….
Подмножество {yik} является множеством физически определимых вариантов
сочетания характеристик «качество квартиры» Кi. Тогда
= {yik1 }, …= {yik2}, …
Следовательно,= {YK1, YK2, …} - множество подмножеств, объединяющих
квартиры одного качества.
Аналогично приводятся к дискретным характеристики местоположения и
размера. В итоге получаем:= {YM1, YM2, …} - множество подмножеств,
объединяющих квартиры одного района.= {YR1, YR2, …} - множество подмножеств,
объединяющих квартиры одного размера.
Наконец, объединение множеств (3)-(5) приводит к выявлению групп
объектов, выделенных по признаку сочетания качество, района и размера:
Y = YK È YM È YR;Ç YM Ç YR = Æ;
Y = {{yK1M1R1}, {yK2M1R1 }, … }.
Последнее выражение в терминах регрессионных моделей массовой оценки
называется «спецификацией» модели рынка. Следующий этап - «калибровка» модели,
или получение количественных оценок входящих в модель параметров.
В терминах дискретных пространственно-параметрических моделей эта
процедура включает статистическую обработку выборок Y = {{yK1M1R1}, {yK2M1R1 },
… } и определение основных параметров выборки - объема n, среднего xср.,
размаха варьирования xмин. и xмакс., дисперсии D, погрешности в определении
среднего d. В результате
образуется исходная дискретная пространственно-параметрическая модель рынка=
{{(n, yср., yмин., yмакс., D, d) K1M1R1}, {(n, yср., yмин., yмакс., D, d) K2M1R1 }, … }
Следующей операцией при построении дискретной
пространственно-параметрической модели рынка (ДППМ) является ее корректировка и
оптимизация (в терминах регрессионных моделей массовой оценки - «настройка»), в
результате которой образуется оптимизированная дискретная пространственно -
параметрическая модель рынка.
2. Исследование зависимости цен на однокомнатные квартиры в городе
Кумертау от общей площади жилья
Воспользуемся исходными данными Приложения А таблицы А1, построим поле
корреляции для результативного признака у и факторного признака х1 и
сформулируем гипотезу о форме связи.
Рисунок 2.1 - Корреляционное поле (зависимость цены от общей площади)
По рисунку 2.1 видно, что с ростом площади происходит рост цены, причем
можно предположить линейную зависимость.
Построим уравнение парной линейной регрессии. Рассчитаем коэффициент
детерминации и сделаем вывод.
Уравнением регрессии называется функция, описывающая зависимость
условного среднего значения результативного признака у от заданных значений
аргументов.
Предположим, что из двумерной генеральной совокупности (х, у) взята
выборка объемом n, где (xi, yi) результат i-го наблюдения i=1,…n. В этом случае
модель парной линейной регрессии имеет вид:
= β0 + β1 хi + εi,
где yi - зависимая переменная; - независимая переменная;
εi - ошибка.
Данная модель называется КЛММР если выполняются условия Гаусса-Марова:
1) х1,…,хк - детерминированные переменные;
) ранг матрицы Х равен "к+1" - среди признаков нет линейно
зависимых;
3)
,
- нет
систематических ошибок в измерении у;
)
,
-
гомоскедастичность регрессионных остатков (равноточные измерения);
)
,
, 
-
условие некоррелированных регрессионных остатков.
Допустим, что εi - это независимые, нормально распределенные
случайные величины с нулевым математическим ожиданием M(εi) = 0, дисперсией ошибки,
независящей от номера наблюдения Dεi=σ2.
Значения параметров β0 и β1 неизвестны. Их оценки, рассчитанные
по выборочным данным, обозначают b0 и b1. Подставляя оценки в уравнение,
получим выборочное уравнение регрессии:

= β0 +
β1 хi
Оценки
уравнения регрессии находятся методом наименьших квадратов…. Оценки параметров
уравнения регрессии найдены с помощью электронной таблицы Excel.
Результаты вычисления отражаются в Приложении В таблица В1.

=459,6876+21,8603
Т.о.
начальная цена на 1-комнатную квартиру в городе Кумертау в марте составило
459,6876 тыс.руб.
Согласно
уравнению (1) при увеличении общей площади на 1 кв. м. цена квартиры увеличится
на 21,86.
Коэффициентом детерминации или долей объясненной дисперсии называется
коэффициент:
В нашем случае коэффициент детерминации был рассчитан в электронной
таблице Excel.
Т.е. вариации цены на жилье на 46 % объясняется вариацией общей площади,
а остальные 54 % приходятся на неучтенные в этой модели факторы.
Для
проверки значимости построенного уравнения регрессии выдвигается гипотеза: Н0 β1=β2=…=βк=0, то
есть ни одна из объясняющих переменных не оказывает существенного влияния на
результативный признак (линейная модель множественной регрессии незначима).
Альтернативная гипотеза Н1:
, хотя бы
одна из объясняющих переменных оказывает существенное влияние на результативный
признак (ЛММР значима).
Для
проверки гипотезы Н0 используется статистика:
,
которая
в случае справедливости Н0 имеет распределение Фишера - Снедекора с
числом степеней свободы
.
По
таблице распределения Фишера определяется критическое значение статистического
критерия
для заданного уровня значимости
, числа степеней свободы
, и сравнивается с полученным по выборочным данным
значением
. Если
, то
нулевая гипотеза отвергается, в противном случае принимается.
Проверим значимость уравнения регрессии (1). Выдвигаем гипотезы:
Н0: В1=0
Н1: В1≠0
F=24,24
Fкрит было рассчитано в электронной
таблице Excel.
Fкрит=4,19
F> Fкрит модель значима.
Т.к. нулевая гипотеза о незначимости уравнения регрессии отвергнута,
проверяем гипотезы о значимости коэффициентов уравнения регрессии. Выдвигаются
гипотезы вида:
Н0: βj=0
- коэффициент βj незначимо
отличен от нуля, то есть объясняющая переменная
не
оказывает существенного влияния на результативный признак.
Н1: βj
0 -
коэффициент βj
значимо отличен от нуля, то есть объясняющая переменная
оказывает существенное влияние на результативный
признак.
Для
проверки гипотез Н0 строятся статистики:
,
которые
в случае справедливости Н0, имеют распределение Стьюдента с
степенями свободы.
По
таблице распределения Стьюдента определяется критическое значение
статистического критерия
для заданного уровня значимости
, числа степеней свободы
, и сравнивается с полученными значениями по
выборочным данным
. Если
, то
нулевая гипотеза отвергается, то есть объясняющая переменная
оказывает существенное влияние на результативный
признак; в противном случае нулевая гипотеза принимается.
Проверим значимость отдельных коэффициентов. Выдвигаем гипотезы:
Н0: В0=0
Н0: В1=0
Н1: В0≠0
Н1: В1≠0
t0=3
t1=4,92
tкрит
было рассчитано с
помощью электронной таблице Excel.
tкрит
=2,05
Н0 в общих случаях отвергается, т.к.
t0> tкрит
t1> tкрит
В0 и В1 - значимы
По отобранному уравнению рассчитаем прогнозное значение результата, если
прогнозное фактора увеличится на 7% от своего среднего уровня.
среднее значение общей площади рассчитано с помощью электронной таблице Excel.
3. Построение и исследование многофакторной модели зависимости цен на
жилье
Решить задачу с теми же заданиями с добавлением новых
факторов - итого 6 факторов.
Рассчитали уравнение регрессии с помощью электронной таблицы Excel. Результаты вычисления отражаются в
Приложение В таблица В2.

=465,12+7,07
+56,02 
- 9,7
+106,12
+17,65
+166,9
Т.о.
начальная цена на 1-комнатную квартиру в городе Кумертау в марте составило
465,12 тыс.руб. При увеличение общей площади квартиры на 1 кв.м. цена
увеличится в среднем на 7 тыс. руб. При увеличение площади кухни на 1 кв.м.
цена увеличится в среднем на 56 тыс. руб. При увеличение жилой площади квартиры
на 1 кв.м. цена уменьшится на 9 тыс. руб., что наталкивает на наличие
мультиколлинеарности. При наличие балкона в квартире цена увеличится на 106
тыс. руб. Если квартира находится на 1 или 5 этаже, то цена увеличится на 17
тыс.руб., что наталкивает на наличие мультиколлинеарности. Если дом кирпичный,
то цена квартиры в этом доме увеличивается на 166 тыс. руб.
В нашем случае коэффициент детерминации был рассчитан в электронной
таблице Excel.
Т.е. вариации цены на жилье на 61 % объясняется вариацией таких признаков
как общая площадь, площадь кухни, жилая площадь, наличие балкона, этажность,
материал дома, а остальные 39% приходятся на неучтенные в этой модели факторы.
Проверим значимость уравнения регрессии.
Н0: В1= В2= В3= В4=
В5= В6=0
Н1: В1≠ В2≠В3≠В4≠В5≠
В6≠0
F=6,04
Fкрит было рассчитано в электронной
таблице Excel.
Fкрит=2,53
F> Fкрит модель значима.
Проверим значимость отдельных коэффициентов. Выдвигаем гипотезы:
|
Н0: В0=0
|
Н0: В1=0
|
Н0: В2=0
|
Н0: В3=0
|
Н0: В4=0
|
Н0: В5=0
|
Н0: В6=0
|
|
Н1: В0≠0
|
Н1: В1≠0
|
Н1: В2≠0
|
Н1: В3≠0
|
Н1: В4≠0
|
Н5: В1≠0
|
Н1: В6≠0
|
|
t0=0,87
|
t1=0,35
|
t2=1,23
|
t3=-0,17
|
t4=1,46
|
t5=0,28
|
t6=1,73
|
tкрит
было рассчитано с
помощью электронной таблице Excel.
tкрит
=2,06
Н0 в общих случаях принимается, т.к.
t0< tкрит
t1< tкрит
t2< tкрит
t3< tкрит
t4< tкрит
t5< tкрит
t6< tкрит
В0, В1, В2, В3, В4,
В5, В6 незначимы.
Т.к. среди коэффициентов есть незначимые, то имеет место
мультиколлинеарность.
Если
существует функциональная линейная зависимость между объясняющими переменными
(столбцы матрицы Х линейно зависимы), то говорят, что существует полная
мультиколлинеарность. Наличие функциональной зависимости означает, что матрица
объясняющих переменных имеет ранг меньше, чем к+1(rang X<K+1),
а это в свою очередь, приводит к вырожденности матрицы
и невозможности вычисления обратной матрицы
и, следовательно, оценок коэффициентов методом
наименьших квадратов.
Полную
мультиколлинеарность нетрудно избежать на предварительной стадии анализа и
отбора множества объясняющих переменных путем исключения дублирующих признаков.
Формально для выявления полной мультиколлинеарности определяется ранг
(например, методом элементарных преобразований) и
попутно выявляются, какие столбцы линейно зависят от других. Выявив эти
столбцы, из модели линейной регрессии исключаются соответствующие этим столбцам
признаки, и строится регрессионную модель меньшей размерности по линейно
независимым признакам, при этом матрица
будет
невырожденная, и, следовательно, существует возможность построения
регрессионной модели.
Наиболее
чаще в эконометрической практике встречается реальная (или частичная)
мультиколлинеарность, возникающая в случаях существования достаточно тесных
корреляционных связей между объясняющими переменными. В этом случая, матрица
становится плохо обусловленной - ее определитель
близок к нулю. Тогда элементы матрицы
вычисляются
с большой погрешностью, следовательно, снижается точность МНК-оценок, то есть
увеличивается дисперсия оценок коэффициентов в регрессионной модели, и, как
следствие, менее надежными становятся, а то и вовсе искажаются результаты
проверки статистических гипотез.
Признаки мультиколлинеарности
Внешние признаки мультиколлинеарности:
1) неоправданно большие с экономической точки зрения коэффициенты
уравнения регрессии;
2) небольшие изменения исходных статистических данных приводят к
существенному изменению оценок коэффициентов модели, вплоть до изменения их
знаков;
) неправильные с экономической точки зрения знаки отдельных
коэффициентов регрессии;
) среди коэффициентов уравнения регрессии много (может быть все)
незначимы, а модель значима;
) стандартные отклонения велики настолько, что сравнимы или даже
превосходят сами коэффициенты;
) доверительные интервалы для коэффициентов уравнения регрессии
содержат внутри себя точку нуль.
Следует обратить внимание на то, что это только необходимые, но не
достаточные признаки мультиколлинеарности.
Формальные признаки мультиколлинеарности:
) среди оценок коэффициентов парной или частной корреляции объясняющих
переменных есть такие, которые по абсолютной величине превышают 0,6;
2)
достаточно высокие значения множественных коэффициентов корреляции
(детерминации) одной из объясняющей переменной
на
другие
;
)
существование тесных линейных статистических связей между объясняющими
переменными приводит к так называемой плохой (слабой) обусловленности системы;
Необходимым
условием плохой обусловленности является малость определителя матрицы XTX.
Достаточным
условием плохой обусловленности (мультиколлинеарности) является большое
значение числа обусловленности
,
где
- собственное число матрицы
.
Косвенные
признаки мультиколлинеарности:
В
данной модели с экономической точки зрения неправильные знаки у признаков -
жилая площадь знак минус и у признака этажность тоже при нахождении квартиры на
1 и 5 этажах стоимость увеличивается, что с экономической точки зрения неверно.
Также стандартные отклонения 
превосходит
коэффициент 
,
выяснили с помощью Приложения В таблицы В2. Также модель значима, а все
коэффициенты не значимы. Доверительные интервалы коэффициентов регрессии
содержат точку 0.
Все
эти признаки указывают на наличие мультиколлинеарности.
Формальные
признаки мультиколлинеарности:
Det ХтХ
стремится к 0 этот признак не выполняется. Приложение В таблица В3.
Det ХтХ=
13365000221921,00 не стремится к 0
Среди парных коэффициентов корреляции между х, есть такие которые больше
по модулю 0,5. Значения корреляции - приложение В таблица В4.
Среди коэффициентов детерминации одной объясняющей переменной на другие
есть такие, которые больше 0,5.
R2x1|x2x3=0,95>0,52x2|x1x3=0,90>0,52x3|x1x2=0,94>0,5
Все коэффициенты детерминации указывают на мультиколлинеарность.
М=
>100 -
признак мультиколлинеарности.
Методы устранения мультиколлинеарности
Поскольку
при мультиколлинеарности объясняющих переменных в модели регрессии сталкиваются
с ситуацией дублирования информации, доставляемой сильно взаимозависимыми
объясняющими переменными, то естественно осуществить, что переход от исходного
числа
анализируемых переменных к меньшему числу
наиболее информативных некоррелированных переменных.
Поэтому в основе методов устранения мультиколлинеарности лежит идея уменьшения
общего числа объясняющих переменных за счет отбора наиболее существенных с точки
зрения их влияния на результативный признак.
Существует несколько подходов к решению задачи отбора наиболее
существенных объясняющих переменных в модели регрессии: метод «ридж-регрессии»,
метод главных компонент, наиболее распространен - метод пошаговой регрессии.
Метод пошаговой регрессии.
Выделяют метод пошаговой регрессии с включением и исключением переменных.
Рассмотрим метод пошаговой регрессии с исключением переменных.
На
первом шаге строится уравнение регрессии на все
факторных
признаков и, если среди его коэффициентов есть незначимые, то на втором шаге
строятся уравнения регрессии на
признаков,
среди которых выбирается то, которому соответствует наибольший выборочный
коэффициент детерминации. Если и в этой модели есть незначимые коэффициенты, то
процедура повторяется для
переменных и т.д.
При
реализации версии «всех возможных регрессий» решается следующая задача: для
заданного значения
(
) путем
полного перебора всех возможных комбинаций из
объясняющих
переменных, отобранных из исходного набора
,
определить такие переменные
, для
которых коэффициент детерминации с результативным признаком был бы
максимальным. Использование описанного метода требует больших объемов
вычислений, поэтому целесообразно на практике применять метод пошаговой
регрессии. Среди незначимых факторов наименьшую t статистику
имеет фактор х3= -0,17 - жилая площадь, поэтому исключаем его из
вычисления. Рассчитываем регрессию у на все остальные х. Рассчитано с помощью
электронной таблице Excel, значения приведены в Приложении В Таблицы В.5.

=378,85+4,57
+54,49 
+108,32
+18,85
+169,46
Т.о.
начальная цена на 1-комнатную квартиру в городе Кумертау в марте составило
378,85 тыс.руб. При увеличение общей площади квартиры на 1 кв.м. цена
увеличится в среднем на 4,57 тыс. руб. При увеличение площади кухни на 1 кв.м.
цена увеличится в среднем на 54,49 тыс. руб. При наличие балкона в квартире
цена увеличится на 108,32 тыс. руб. Если квартира находится на 1 или 5 этаже,
то цена увеличится на 18,85 тыс.руб., что наталкивает на наличие
мультиколлинеарности. Если дом кирпичный, то цена квартиры в этом доме
увеличивается на 169,46 тыс. руб.
В нашем случае коэффициент детерминации был рассчитан в электронной
таблице Excel.
Т.е. вариации цены на жилье на 61 % объясняется вариацией таких признаков
как общая площадь, площадь кухни, наличие балкона, этажность, материал дома, а
остальные 39% приходятся на неучтенные в этой модели факторы.
Проверим значимость уравнения регрессии.
Н0: В1= В2= В4= В5=
В6=0
Н1: В1≠ В2 ≠В4≠В5≠
В6≠0
F=7,55
Fкрит было рассчитано в электронной
таблице Excel.
Fкрит=2,62
F> Fкрит модель значима.
Проверим значимость отдельных коэффициентов. Выдвигаем гипотезы:
|
Н0: В0=0
|
Н0: В1=0
|
Н0: В2=0
|
Н0: В4=0
|
Н0: В5=0
|
Н0: В6=0
|
|
Н1: В0≠0
|
Н1: В1≠0
|
Н1: В2≠0
|
Н1: В4≠0
|
Н5: В1≠0
|
Н1: В6≠0
|
|
t0=1,94
|
t1=0,32
|
t2=1,25
|
t4=1,54
|
t5=0,30
|
t6=1,82
|
tкрит
было рассчитано с
помощью электронной таблице Excel.
tкрит
=2,06
Н0 в общих случаях принимается, т.к.
t0< tкрит
t1< tкрит
t2< tкрит
t4< tкрит
t5< tкрит
t6< tкрит
В0, В1, В2, В4, В5,
В6 незначимы.
Среди незначимых факторов наименьшую t статистику имеет фактор х5= 0,30 -нахождение
квартиры на 1 или 5 этаже, поэтому исключаем его из вычисления. Рассчитываем
регрессию у на все остальные х. Рассчитано с помощью электронной таблице Excel, значения приведены в Приложении В
Таблицы В.6.

=369,14+6,30
+50,18 
+94,33
+174,22
Т.о.
начальная цена на 1-комнатную квартиру в городе Кумертау в марте составило
369,14 тыс.руб. При увеличение общей площади квартиры на 1 кв.м. цена
увеличится в среднем на 6,30 тыс. руб. При увеличение площади кухни на 1 кв.м.
цена увеличится в среднем на 50,18 тыс. руб. При наличие балкона в квартире
цена увеличится на 94,33 тыс. руб.Если дом кирпичный, то цена квартиры в этом
доме увеличивается на 174,22 тыс. руб.
В нашем случае коэффициент детерминации был рассчитан в электронной
таблице Excel.
Т.е. вариации цены на жилье на 60 % объясняется вариацией таких признаков
как общая площадь, площадь кухни, наличие балкона, материал дома, а остальные
40% приходятся на неучтенные в этой модели факторы.
Проверим значимость уравнения регрессии (4).
Н0: В1= В2= В4 = В6=0
Н1: В1≠ В2 ≠В4 ≠
В6≠0
F=9,7
Fкрит было рассчитано в электронной
таблице Excel.
Fкрит=2,76
F> Fкрит модель значима.
Проверим значимость отдельных коэффициентов. Выдвигаем гипотезы:
|
Н0: В0=0
|
Н0: В1=0
|
Н0: В2=0
|
Н0: В4=0
|
Н0: В6=0
|
|
Н1: В0≠0
|
Н1: В1≠0
|
Н1: В2≠0
|
Н1: В4≠0
|
Н1: В6≠0
|
|
t0=1,96
|
t1=0,50
|
t2=1,24
|
t4=1,81
|
t6=1,93
|
tкрит
было рассчитано с
помощью электронной таблице Excel.
tкрит
=2,06
Н0 в общих случаях принимается, т.к.
t0< tкрит
t1< tкрит
t2< tкрит
t4< tкрит
t6< tкрит
В0, В1, В2, В4, В6 незначимы.
Среди незначимых факторов наименьшую t статистику имеет фактор х1= 0,50 -общая площадь,
поэтому исключаем его из вычисления. Рассчитываем регрессию у на все остальные
х. Рассчитано с помощью электронной таблице Excel, значения приведены в Приложении В Таблицы В.7.

=435,26+69,22
+99,60
+170,98
Т.о.
начальная цена на 1-комнатную квартиру в городе Кумертау в марте составило
435,26 тыс.руб. При увеличение площади кухни на 1 кв.м. цена увеличится в
среднем на 69,22 тыс. руб. При наличие балкона в квартире цена увеличится на
99,60 тыс. руб. Если дом кирпичный, то цена квартиры в этом доме увеличивается
на 170,98 тыс. руб.
В нашем случае коэффициент детерминации был рассчитан в электронной
таблице Excel.
Т.е. вариации цены на жилье на 60 % объясняется вариацией таких признаков
как площадь кухни, наличие балкона, материал дома, а остальные 40% приходятся
на неучтенные в этой модели факторы.
Проверим значимость уравнения регрессии (5).
Н0: В2= В4 = В6=0
Н1: В2 ≠В4 ≠ В6≠0
F=13,32
Fкрит было рассчитано в электронной
таблице Excel. Fкрит=2,74
F> Fкрит модель значима.
Проверим значимость отдельных коэффициентов. Выдвигаем гипотезы:
|
Н0: В0=0
|
Н0: В2=0
|
Н0: В4=0
|
Н0: В6=0
|
|
Н1: В0≠0
|
Н1: В2≠0
|
Н1: В4≠0
|
Н1: В6≠0
|
|
t0=3,31
|
t2=5,44
|
t6=1,93
|
tкрит
было рассчитано с
помощью электронной таблице Excel.
tкрит
=2,06
Н0 в общих случаях принимается, т.к.
t0> tкрит
t2> tкрит
t4< tкрит
t6< tкрит
В0, В2 значимы.
В4, В6 незначимы.
Среди незначимых факторов наименьшую t статистику имеет фактор х6= 1,93 -материал дома,
поэтому исключаем его из вычисления. Рассчитываем регрессию у на все остальные
х. Рассчитано с помощью электронной таблице Excel, значения приведены в Приложении В Таблицы В.8.

=588,35+68,76
+113,32
Т.о.
начальная цена на 1-комнатную квартиру в городе Кумертау в марте составило
588,35 тыс.руб. При увеличение площади кухни на 1 кв.м. цена увеличится в
среднем на 68,76 тыс. руб. При наличие балкона в квартире цена увеличится на
113,32 тыс. руб.
В нашем случае коэффициент детерминации был рассчитан в электронной
таблице Excel.
Т.е. вариации цены на жилье на 55 % объясняется вариацией таких признаков
как площадь кухни, наличие балкона, а остальные 45% приходятся на неучтенные в
этой модели факторы.
Проверим значимость уравнения регрессии.
Н0: В2= В4 =0
Н1: В2 ≠В4 ≠0
F=16,47
Fкрит было рассчитано в электронной
таблице Excel.
Fкрит=3,35
F> Fкрит модель значима.
Проверим значимость отдельных коэффициентов. Выдвигаем гипотезы:
|
Н0: В0=0
|
Н0: В2=0
|
Н0: В4=0
|
|
Н1: В0≠0
|
Н1: В2≠0
|
Н1: В4≠0
|
|
t0=5,3
|
t2=5,16
|
t4=2,17
|
tкрит
было рассчитано с
помощью электронной таблице Excel.
tкрит
=2,05
Н0 в общих случаях принимается, т.к.
t0> tкрит
t2> tкрит
t4> tкрит
В0, В2, В4 значимы.
Полностью избавили модель от мультиколлинеарности.
Составляем модель для разных градаций качественной переменной
«наличие балкона»:

с
балконом=701,67+68,76

без
балкона=588,35+68,76
Т.е.
начальная цена квартиры с балконом начинается с 701,67 тыс.руб.,а без балкона
начинается с 588,35 тыс.руб.
Проверим
каждый из факторов, оставшихся после устранения мультиколлинеарность на
гетероскедастичность по критерию Голдфелда-Квандта и на автокорреляцию по
критерию Дарбина-Уотсона
Линейная
модель множественной регрессии
,
для
которой нарушено 4 условие Гаусса-Маркова называется обобщенной линейной
моделью множественной регрессии с гетероскедастичными остатками, а именно:
1) х1,…,хк - детерминированные переменные;
) ранг матрицы Х равен "к+1" - среди признаков нет линейно
зависимых;
3)
,
- нет
систематических ошибок в измерении у;
)
,
)
,
, 
')
(где
-
диагональная матрица, но
;
-
некоторый общий множитель диагональных элементов
).
Влияние
гетероскедастичности на свойства МНК-оценок коэффициентов регрессионной модели
с гетероскедастичными остатками имеет двойственный характер. Во-первых, оценки,
полученные с помощью МНК, в этом случае уже не будут обладать наименьшей дисперсией
среди всех линейных несмещенных оценок. Во-вторых, стандартные ошибки таких
оценок будут смещены, это обстоятельство приводит к тому, что при проверке
гипотез о несущественности параметров регрессионной модели будет снижаться
достоверность статистических выводов.
Выявление и тестирование гетероскедастичности
Исследование
модели регрессии начинается в предположении справедливости условий
Гаусса-Маркова. После оценки ее коэффициентов МНК мы должны подтвердить
справедливость предположений 4 и 5, для чего оцениваются регрессионные остатки
. Для проверки на гетероскедастичность, в случае
множественной функции регрессии строится график зависимости
, упорядоченных в порядке возрастания значений
объясняющей переменной
, относительно которой модель исследуется на
гетероскедастичность. Если по мере возрастания переменной
наблюдается, например, тенденция к возрастанию (или
убыванию)
и т.п., то можно предположить наличие
гетероскедастичности. Высказанное предположение о наличие гетероскедастичности
следует проверить с помощью приведенных ниже тестов.
Тест
Голдфелда-Квандта используется, если есть основание предполагать, что дисперсия
регрессионных остатков пропорциональна значению объясняющей переменной
, вариацией которых порождается гетероскедастичность.
Выдвигается
гипотеза:
(нет
гетероскедастичности)
(есть
гетероскедастичность)
Шаги
теста:
-
Упорядочить в порядке возрастания значения объясняющей переменной
.
-
Упорядочить наблюдаемые значения результативного признака и объясняющих
переменных в порядке возрастания
.
-
Сформировать (по результатам упорядочивания) выборки, состоящие из n′
первых и n′′ последних объектов наблюдения, где
.
-
Оцениваются уравнения регрессии Y на Х, сформированных по выборкам объемами n′
и n′′:
-
Вычисляются регрессионные остатки
и
и их суммы квадратов отклонений:
и
.
-
Для проверки нулевой гипотезы строится статистика 
, которая
в случае справедливости нулевой гипотезы имеет закон распределения
Фишера-Снедекора с числом степеней свободы
,
.
Если
гипотеза об отсутствии гетероскедастичности отвергнута, при этом
, то в качестве оценки
можно
взять
, а в случае
, оценка
матрица
.
нет
гетероскедастичности
есть
гетероскедастичность
Проверим
гетероскедастичность по х2. Разделим на 3 выборки n′=11,
n′′=8, n′′′=11.
Оценим
уравнения регрессии Y на Х, сформированных по выборкам объемами n′
и n′′′. Рассчитано с помощью электронной
таблицы Excel. Результаты представлены в Приложение В Таблица В.9 и
Таблицы В.10.
Qост[1]= 67562,13
Qост[3]= 206258,04
F=
Fкрит=3,43 рассчитано электронной таблицы Excel.
F< Fкрит
Н0 принимается,
гетероскедастичности нет.
Проверим
автокорреляцию с помощью теста Дарбина-Увотсона.
Линейная
модель множественной регрессии
,
для которой нарушено 5 условие Гаусса-Маркова называется обобщенной
линейной моделью множественной регрессии с автокоррелированными остатками.
Рассмотрим частный случай автокорреляции регрессионных остатков -
автокорреляционную зависимость первого порядка, которая описывается
соотношением:
,
где
- коэффициент корреляции между
и
(
).
-
случайные величины, удовлетворяющие условиям
.
Анализируя
выражение (6) при
, можно утверждать, что величина
будет сохранять определенный знак на некоторых
промежутках изменения
(рисунок 2.3). Подобную ситуацию будем
характеризовать как положительную автокорреляцию регрессионных остатков.
При
величина
будет
почти регулярно менять знак. Такую ситуацию будем называть отрицательной
автокорреляцией регрессионных остатков.
Приведенное
свойство ЛММР с автокоррелированными остатками будем использовать для выявления
подозреваемых на такое свойство моделей.
Тестирование автокоррелированности регрессионных остатков
Допустим, что регрессионные остатки ЛММР удовлетворяют условию (6). С
учетом соотношения (6) рассмотрим величину
Из
(7), следует, что в случае положительной автокорреляции (
будем иметь
и, в
частности, при
близких к единице величина
. В случае отрицательной автокорреляции
величина
может
находиться в интервале
и, в случае,
близких
к «-1» величина
близка к «-4».
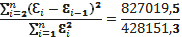
Проверить
подтверждается или нет предположение (гипотеза) о наличии автокорреляции можно
попытаться с помощью критерия Дарбина-Уотсона, приведенного ниже:
,
где
- оценки регрессионных остатков, пронумерованных в
порядке возрастания проверяемой объясняющей переменной
.
Статистика
Дарбина-Уотсона обладает свойствами аналогичными свойствам
из (7). Действительно, при положительной
автокорреляции можно почти всегда считать
, а это
означает, что
близко к нулю; при отрицательной автокорреляции почти
всегда
, из чего следует -
близко к
4; в случае отсутствия оснований подозревать автокорреляцию, в половине случаев
считаем, что
, а в другой -
, что
влечет близкие к 2 значения
.
Для
проверки гипотезы Н0:
(нет
явления автокорреляции), Н1:
(есть
явление автокорреляции) используется статистика Дарбина-Уотсона (8).
По
таблице Дарбина-Уотсона находятся (при данном уровне значимости
, числе наблюдений
и
объясняющих переменных
) два критических значения: нижнее
и верхнее
.
Если
фактически наблюдаемое значение
(рисунок
2.1):
)
<
<4-
, то гипотеза об отсутствии автокорреляции
принимается.
)
<
<
или 4-
<
<4-
, область
неопределенности критерия (вопрос об отвержении или принятии гипотезы остается
открытым).
)
0<
<
, то
принимается альтернативная гипотеза о положительной автокорреляции.
)
4-
<
<4, то
принимается альтернативная гипотеза об отрицательной автокорреляции.
Рисунок
2.1 - Критическая область и область принятия нулевой гипотезы об отсутствии
автокорреляции первого порядка гипотезы Н0:
(нет явления автокорреляции)
Н1:
(есть явление автокорреляции)
DW=
=1,93
dниж=1,28
dверх=1,57
Рисунок
2.2 - Критическая область и область принятия нулевой гипотезы об отсутствии
автокорреляции первого порядка
Из
рисунка 2.2 видно, что автокорреляции нет.
Т.к.
в нашей модели коэффициент детерминации составляет 0,54. Есть смысл в поиске
наилучшей аппроксимации в классе нелинейных моделей.
Рассмотрим некоторые виды нелинейных зависимостей, поддающихся
непосредственной линеаризации
Зависимость гиперболического типа:
а)
График
функции представлен на рисунке 2.3
Рисунок
2.3 - График функции
С
помощью преобразования объясняющей переменной
эта
зависимость приводится к линейному виду
,
соответственно при вычислении МНК-оценок матрица
будет
иметь вид:
б)
Рисунок
2.4 - График функции
С
помощью преобразования результативной признака
эта
зависимость приводится к линейному виду
,
соответственно при вычислении МНК-оценок
.
Замечание.
Функции, изображенные на рисунке 2.3 (случай
)
используются в определенных ситуациях при построении так называемых кривых
Энгеля, которые описывают зависимость спроса на определенный вид товаров или
услуг от уровня доходов потребителей; функции, изображенные на 2.3 (случай
) и рисунке 2.4- при изучении спроса на товар в
зависимости от цены.
Показательная
(экспоненциальная) зависимость
Достаточно
широкий класс экономических показателей характеризуется приблизительно
постоянным темпом относительного прироста во времени. Этому соответствует
показательная форма зависимости:
в)
Рисунок
2.5 - График функции
Переход
к новой переменной
,
позволяет
свести исследуемому зависимость к линейному виду:
, где
.
г)
Линеаризация искомой зависимости достигается с помощью следующих
преобразований переменных:
,
;
,
,
Рисунок
2.6 - График функции
.
Зависимость
степенного типа
д)
Рисунок
2.7 - График
Линеаризация
искомой зависимости достигается с помощью следующих преобразований переменных:
,
;
,
, где
.
Важную
роль зависимости степенного типа играют в задачах построения и анализа
производственных функций, функций спроса. При анализе степенных регрессионных
зависимостей содержательную интерпретацию получает коэффициент
как коэффициент эластичности.
Аналогично
процедура линеаризации проводится для множественных регрессионных уравнений.
Например, для степенной функции
необходимо
осуществить преобразования переменных:
,
;
,
, …,
,
, где
.
В
итоге модель приводится к виду:
.
Попытка
построения степенной модели не привела к увеличению результата, коэффициент
детерминации не повысился.
В
случае логарифмической зависимости тоже увеличение не значительное и в
квадратической тоже.
Т.о.
наилучшей моделью является линейная модель.
Можно
предположить, что значимое влияние на цену квартиры оказывает ремонт, наличие
пластиковых окон, район, тип дома, человеческий фактор, что может быть учтено в
дальнейших решениях.
Для
примера рассчитаем стоимость квартиры с площадью кухни 10,2 кв.м. и наличием
балкона.
х2=10,2
кв.м.
х4=1

прогнозный=588,35+68,76×10,2+113,32×1=1403,022
тыс. руб.
То
есть квартиры с площадью кухни 10,2 кв.м. и с балконом приблизительно будет
иметь стоимость 1403,022 тыс. рублей.
Заключение
Как
и во всех развитых странах мира, недвижимость составляет основу национального
богатства России, корректная оценка стоимости которого будет в существенной
степени определять как экономическое позиционирование России в ряду других
стран, так и обеспечивать условие для стабильного развития национальной
экономики.
В
условиях России сегодня можно говорить о достаточно развитом рынке жилой
недвижимости, особенно - квартир в многоквартирных домах. Рынок жилья в
наибольшей степени отражает тенденции изменения спроса и предложения на рынке
недвижимости.
В
основу данного исследования положена информация о ценах и свойствах объектов
продажи однокомнатные квартиры города Кумертау на март 2014 г. В целом с начала
исследования охвачено 30 квартир, выставленных на продажу.
В
1 главе были охвачены теоретические аспекты моделирования стоимости жилья.
Во
2 главе проведено исследование зависимости цен на однокомнатные квартиры от
общей площади жилья. Было построено поле корреляции для результативного
признака у и факторного признака х1 и сформулирована гипотеза о форме связи.
Так же было построено уравнение парной линейной регрессии, рассчитан
коэффициент детерминации и сделаны выводы, оценена статистическая надежность результатов
регрессионного моделирования с помощью F-критерия Фишера и проверена значимость
коэффициентов регрессии с помощью статистики Стьюдента.
По
отобранному уравнению рассчитали прогнозное значение результата, если
прогнозное фактора увеличится на 7% от своего среднего уровня.
В
3 главе была построена и исследована многофакторная модель зависимости цен на
жилье.
Оценена
регрессия у на все 5 факторов. Проверена значимость модели и параметров.
Сделаны выводы. Проверена модель на наличие мультиколлинеарности. Устранена
мультиколлинеарность методом пошаговой регрессии назад. Проверено полученное
уравнение регрессии на значимость и значимость параметров. Выписаны модели для
разных градации качественных переменных. Дана интерпретация полученных
результатов. Проверен каждый из факторов, оставшихся после устранения
мультиколлинеарность на гетероскедастичность по тесту Голдфелда-Квандта и на
автокорреляцию по критерию Дарбина-Уотсона. Построено уравнение регрессии в
нелинейной форме (степенной, логарифмически й, квадратический вид). Сравнены
результаты с последней моделью. Была выбрана наилучшая модель с точки зрения
величины коэффициента детерминации. Была рассчитана цен на жилье при выбранных
значениях факторов.
Таким
образом, специфика эконометрического моделирования данных позволила получить
модель для оценки стоимости жилья, описывающую особенности изменения среднего
уровня цены как в пространстве, так и во времени.
квартира жилье однокомнатный моделирование
Список
использованных источников
1. Магнус Я.Р., Катышев П.К., Пересецкий А.А.
Эконометрика. Начальный курс. - М.: Дело, 2000.
. Доугерти К. Введение в эконометрику: Пер. с англ. -
М.: ИНФА-М, 1997.
. Давнис В.В. Адаптивное прогнозирование: Модели и
методы. - Воронеж: Изд.-во Вгу, 1997.
. Шаттелес Т. Современные эконометрические методы. М.,
"Статистика", 1975.
. Кейн Э. Экономическая статистика и эконометрия. Вып.
1. М., "Статистика", 1977.
. Кейн Э. Экономическая статистика и эконометрия. Вып.
2. М., "Статистика", 1977.
. Джонстон Дж. Эконометрические методы / Пер. с англ.
и предисл. А.А. Рывкина. - М.: Статистика, 1980.
. Пирогов Г.Г., Федоровский Ю.П. Проблемы структурного
оценивания в эконометрии. - М.: Статистика, 1979.
. Маленво Э. Статистические методы эконометрии. Вып.1.
М.: «Статистика», 1975.
. Маленво Э. Статистические методы эконометрии. Вып.
2. М.: «Статистика», 1976.
. Тейл Г. Экономические прогнозы и принятие решений.
М.: «Статистика», 1971.
. Фишер Ф. Проблема идентификации в эконометрии. М.:
"Статистика", 1978.
. Айвазян, С.А. Прикладная статистика. Основа
эконометрики: в 2 т.: учеб. для вузов / С.А. Айвазян, В.С. Мхитарян. - М.:
ЮНИТИ-ДАНА, 2001. - Т.2. - 432 с. - ISBN 5-238-00304-82.
. Эконометрика: учебник / под ред. И.И. Елисеевой. -
М.: Финансы и статистика, 2007. - 576 с. - ISBN 978-5-279-02786-6.
. Реннер, А.Г. Математическая статистика: уч. пособие
/ А.Г. Реннер, Г.Г. Аралбаева. - Оренбург: ОГУ, 2003. - 175 с.
. Тихомиров, Н.П. Эконометрика: учеб. для вузов / Н.П.
Тихомиров, Е.Ю. Дорохина. - М.: Экзамен, 2003. - 512 с. - ISBN 5-94692-438-9.
17. Домбровский, В.В. Эконометрика: учебник/
В.В.Домбровский. - М.: Нов. учебник, 2004. - 342 с. - ISBN 5-8393-0400-Х.
18. Новак, Эдвард. Введение в методы эконометрики: сб.
задач: пер. с польск.; под ред. И.И. Елисеевой. - М.: Финансы и статистика,
2004. - 248с. - ISBN 5-279-02927-0.
. Катышев, П.К. Сборник задач к начальному курсу
эконометрики / П.К. Катышев, А.А Пересецкий. - М.: Дело, 2003. - 208 с. - ISBN
5-7749-0137-8.
. Сборник задач по эконометрике: учебное пособие для
студентов экономических вузов / Е.Ю. Дорохина, Л.Ф. Преснякова, Н.П. Тихомиров
- М.: Издательство "Экзамен", 2003. - 224 с. - ISBN 5-94692-206-8.
. Практикум по эконометрике: учебное пособие / под
ред. И.И. Елисеевой. - М.: Финансы и статистика, 2006. - 344 с.
. Замков, О.О. Математические методы в экономике:
учебник/ О.О. Замков, А.В. Толстопятенко, Ю.Н. Черемных. - М.: Дело и Сервис,
2001. - 368 с. - ISBN 5-86509-054-2.
. Кулинич, Е.И. Эконометрия / Е.И. Кулинич. - М.:
Финансы и статистика, 2001. - 304 с. - ISBN 5-279-02090-7.
. Сошникова, Л.А. Многомерный статистический анализ в
экономике: учебное пособие для вузов / Л.А. Сошникова; под ред. проф. В.Н.
Тамашевича. - М.: ЮНИТИ-ДАНА, 1999. - 598 с. - ISBN 5-238-00099-5.
. Реннер, А.Г. Математическая статистика: учебное
пособие / А.Г. Реннер, Г.Г. Аралбаева. - Оренбург: ГОУ ВПО ОГУ, 2002. - 175 с.
. Ниворожкина, Л.И. Многомерные статистические методы
в экономике: учебник / Л.И. Ниворожкина, С.В. Арженовский. - М.:
Издательско-торговая корпорация «Дашков и К», 2008. - 224 с. - ISBN
978-5-91131-565-8.
. Громкова, О.В. Иголкин М.В. Моделирование стоимости
объектов недвижимости с помощью ГИС.
. Пузина, Н.В. Эконометрическая модель рынка жилья:
роль спекулятивного и потребительского спроса: Статья.
. Стебунова, О.И. Моделирование ценообразования на
вторичном рынке жилья: Статья - УДК 338.5:332.85.
. Боброва, А.В. Эконометрическое моделирование
стоимости квартир на вторичном рынке жилой недвижимости: Статья.
Приложение А
Таблица 1 - исходные данные
|
п/п
|
Y
|
x1
|
x2
|
x3
|
x4
|
х5
|
х6
|
|
1
|
1150
|
35
|
7,8
|
19,7
|
1
|
1
|
1
|
|
2
|
1400
|
43
|
10,0
|
20,0
|
1
|
1
|
1
|
|
3
|
1300
|
30
|
6,0
|
17,0
|
1
|
0
|
1
|
|
4
|
1150
|
32
|
7,0
|
18,0
|
0
|
1
|
1
|
|
5
|
1200
|
32
|
7,0
|
18,0
|
1
|
0
|
1
|
|
6
|
1200
|
33
|
7,8
|
18,0
|
1
|
0
|
1
|
|
7
|
950
|
33
|
7,8
|
18,0
|
1
|
0
|
0
|
|
8
|
1600
|
35
|
8,0
|
18,0
|
1
|
1
|
1
|
|
9
|
1650
|
57
|
14,0
|
25,0
|
1
|
1
|
1
|
|
10
|
1000
|
29
|
6,0
|
17,0
|
0
|
1
|
1
|
|
11
|
1130
|
34
|
7,8
|
18,0
|
1
|
0
|
1
|
|
12
|
1100
|
26
|
6,0
|
16,0
|
0
|
1
|
1
|
|
13
|
1250
|
32
|
7,8
|
18,0
|
1
|
0
|
1
|
|
14
|
1170
|
32
|
7,8
|
18,0
|
1
|
0
|
1
|
|
15
|
1100
|
36
|
7,8
|
19,7
|
0
|
1
|
0
|
|
16
|
1050
|
33
|
7,8
|
18,0
|
0
|
1
|
1
|
|
17
|
1100
|
30
|
6,0
|
17,0
|
1
|
1
|
1
|
|
18
|
1000
|
30
|
6,0
|
17,0
|
1
|
1
|
|
19
|
1150
|
34
|
8,0
|
18,0
|
1
|
0
|
1
|
|
20
|
1100
|
30
|
6,0
|
17,0
|
1
|
0
|
1
|
|
21
|
1400
|
37
|
9,0
|
19,7
|
1
|
1
|
1
|
|
22
|
1200
|
36
|
7,8
|
19,7
|
1
|
0
|
1
|
|
23
|
1100
|
32
|
7,8
|
18,0
|
1
|
0
|
1
|
|
24
|
960
|
31
|
6,0
|
17,0
|
0
|
1
|
1
|
|
25
|
1500
|
33
|
7,8
|
18,0
|
1
|
0
|
1
|
|
26
|
1050
|
33
|
7,8
|
18,0
|
0
|
1
|
1
|
|
27
|
1100
|
30
|
6,0
|
17,0
|
1
|
1
|
1
|
|
28
|
1450
|
43
|
12,0
|
22,0
|
0
|
1
|
1
|
|
29
|
1250
|
33
|
7,8
|
18,0
|
1
|
0
|
1
|
|
30
|
1350
|
37
|
7,8
|
19,7
|
1
|
0
|
1
|
Приложение Б
Таблица Б.1 - Расчет регрессии для признака х1
|
Регрессионная статистика
|
|
Множественный R
|
0,681198898
|
|
R-квадрат
|
0,464031939
|
|
Нормированный R-квадрат
|
0,444890223
|
|
Стандартная ошибка
|
134,8856467
|
|
Наблюдения
|
30
|
|
|
df
|
SS
|
MS
|
F
|
Значимость F
|
|
Регрессия
|
1
|
441060,8
|
441060,8
|
24,2
|
0,0
|
|
Остаток
|
28
|
509435,9
|
18194,1
|
|
|
|
Итого
|
29
|
950496,7
|
|
|
|
|
|
Коэффициенты
|
Стандартная ошибка Sbj
|
t-статистика
|
P-Значение
|
Нижние 95%
|
Верхние 95%
|
|
Y-пересечение
|
459,69
|
153,10
|
3,00
|
0,01
|
146,08
|
773,29
|
|
x1
|
21,86
|
4,44
|
4,92
|
0,00
|
12,77
|
30,96
|
Таблица Б.2 - Расчет регрессии для признаков х1, х2, х3, х4, х5, х6
|
Регрессионная статистика
|
|
|
Множественный R
|
0,782088441
|
|
R-квадрат
|
0,61166233
|
|
Нормированный R-квадрат
|
0,510356851
|
|
Стандартная ошибка
|
126,6823588
|
|
Наблюдения
|
30
|
|
Дисперсионный анализ
|
|
|
|
|
|
|
df
|
SS
|
MS
|
F
|
Значимость F
|
|
Регрессия
|
6
|
581383,0058
|
96897,16763
|
6,037801067
|
0,000659239
|
|
Остаток
|
23
|
369113,6609
|
16048,42004
|
|
|
|
Итого
|
29
|
950496,6667
|
|
|
|
|
|
Коэффициенты
|
Стандартная ошибка
|
t-статистика
|
P-Значение
|
Нижние 95%
|
Верхние 95%
|
|
Y-пересечение
|
465,12
|
532,49
|
0,87
|
0,39
|
-636,42
|
1566,67
|
|
x1
|
7,07
|
20,33
|
0,35
|
0,73
|
-34,98
|
49,12
|
|
x2
|
56,02
|
45,38
|
1,23
|
0,23
|
-37,86
|
149,90
|
|
x3
|
-9,70
|
55,54
|
-0,17
|
0,86
|
-124,59
|
105,19
|
|
x4-балкон
|
106,12
|
72,68
|
1,46
|
0,16
|
-44,24
|
256,47
|
|
х5-1и посл
|
17,65
|
63,51
|
0,28
|
0,78
|
-113,72
|
149,03
|
|
х6-кирп
|
166,90
|
96,39
|
1,73
|
0,10
|
-32,49
|
366,29
|
Таблица Б.3 -матрица ХтХ
|
30
|
36110
|
1021
|
232,2
|
552,5
|
22
|
16
|
|
36110
|
44414900
|
1249120
|
285820
|
670910
|
27250
|
19260
|
|
1021
|
1249120
|
35671
|
8174,6
|
19080,7
|
758
|
560
|
|
232,2
|
285820
|
8174,6
|
1886,76
|
4359,94
|
171,8
|
127,2
|
|
552,5
|
670910
|
19080,7
|
4359,94
|
10264,45
|
406,8
|
299,1
|
|
22
|
27250
|
758
|
171,8
|
406,8
|
22
|
8
|
|
16
|
19260
|
560
|
127,2
|
299,1
|
8
|
16
|
Таблица Б.4 - расчет регрессии для признаков х1, х2, х4, х5, х6
|
Регрессионная статистика
|
|
Множественный R
|
0,781759107
|
|
R-квадрат
|
0,611147301
|
|
Нормированный R-квадрат
|
0,530136322
|
|
Стандартная ошибка
|
124,0972727
|
|
Наблюдения
|
30
|
|
Дисперсионный анализ
|
|
|
|
|
|
|
df
|
SS
|
MS
|
F
|
Значимость F
|
|
Регрессия
|
5
|
580893,4722
|
116178,6944
|
7,544005866
|
0,00022262
|
|
Остаток
|
24
|
369603,1944
|
15400,1331
|
|
|
|
Итого
|
29
|
950496,6667
|
|
|
|
|
|
Коэффициенты
|
Стандартная ошибка
|
t-статистика
|
P-Значение
|
Нижние 95%
|
Верхние 95%
|
|
Y-пересечение
|
378,85
|
194,85
|
1,94
|
0,06
|
-23,29
|
|
x1
|
4,57
|
14,13
|
0,32
|
0,75
|
-24,59
|
33,72
|
|
x2
|
54,49
|
43,62
|
1,25
|
0,22
|
-35,53
|
144,51
|
|
x4-балкон
|
108,32
|
70,12
|
1,54
|
0,14
|
-36,40
|
253,03
|
|
х5-1и посл
|
18,85
|
61,85
|
0,30
|
0,76
|
-108,81
|
146,50
|
|
х6-кирп
|
169,46
|
93,32
|
1,82
|
0,08
|
-23,14
|
362,07
|
Таблица Б.5 - расчет регрессии для признаков х1, х2, х4, х6
|
ВЫВОД ИТОГОВ
|
|
|
|
|
Регрессионная статистика
|
|
Множественный R
|
0,780796568
|
|
R-квадрат
|
0,60964328
|
|
Нормированный R-квадрат
|
0,547186205
|
|
Стандартная ошибка
|
121,8249172
|
|
Наблюдения
|
30
|
|
Дисперсионный анализ
|
|
|
|
|
|
|
df
|
SS
|
MS
|
F
|
Значимость F
|
|
Регрессия
|
4
|
579463,9055
|
144865,9764
|
9,760996303
|
0,0000674
|
|
Остаток
|
25
|
371032,7611
|
14841,31044
|
|
|
|
Итого
|
29
|
950496,6667
|
|
|
|
|
|
Коэффициенты
|
Стандартная ошибка
|
t-статистика
|
P-Значение
|
Нижние 95%
|
Верхние 95%
|
|
Y-пересечение
|
369,14
|
188,70
|
1,96
|
0,06
|
-19,50
|
757,78
|
|
x1
|
6,30
|
12,70
|
0,50
|
0,62
|
-19,85
|
32,45
|
|
x2
|
50,18
|
40,50
|
1,24
|
0,23
|
-33,24
|
133,59
|
|
x4-балкон
|
94,33
|
52,02
|
1,81
|
0,08
|
-12,81
|
201,47
|
|
х6-кирп
|
174,22
|
90,32
|
1,93
|
0,07
|
-11,80
|
360,24
|
Таблица Б.6 - расчет регрессии для признаков х2, х4, х6
|
Регрессионная статистика
|
|
Множественный R
|
0,778331
|
|
R-квадрат
|
0,6058
|
|
Нормированный R-квадрат
|
0,560315
|
|
Стандартная ошибка
|
120,0458
|
|
Наблюдения
|
30
|
|
Дисперсионный анализ
|
|
|
|
|
|
|
|
df
|
SS
|
MS
|
F
|
Значимость F
|
|
Регрессия
|
3
|
575810,7
|
191936,8858
|
13,31877601
|
0,0000185
|
|
Остаток
|
26
|
374686
|
14411,00035
|
|
|
|
Итого
|
29
|
950496,7
|
|
|
|
|
|
Коэффициенты
|
Стандартная ошибка
|
t-статистика
|
P-Значение
|
Нижние 95%
|
Верхние 95%
|
|
Y-пересечение
|
435,26
|
131,66
|
3,31
|
0,00
|
164,62
|
705,89
|
|
x2
|
69,22
|
12,72
|
5,44
|
0,00
|
43,08
|
95,36
|
|
x4-балкон
|
99,60
|
50,18
|
1,98
|
0,06
|
-3,55
|
202,75
|
|
х6-кирп
|
170,98
|
88,77
|
1,93
|
0,07
|
-11,49
|
353,44
|
Таблица Б.7 - расчет регрессии для признаков х2,х4
|
Регрессионная статистика
|
|
Множественный R
|
0,741316366
|
|
R-квадрат
|
0,549549955
|
|
Нормированный R-квадрат
|
0,516183285
|
|
Стандартная ошибка
|
125,9263845
|
|
Наблюдения
|
30
|
|
Дисперсионный анализ
|
|
|
|
|
|
|
df
|
SS
|
MS
|
F
|
Значимость F
|
|
Регрессия
|
2
|
522345,4
|
261172,7
|
16,47002695
|
0,0000211
|
|
Остаток
|
27
|
428151,2667
|
15857,45432
|
|
|
|
Итого
|
29
|
950496,6667
|
|
|
|
|
Коэффициенты
|
Стандартная ошибка
|
t-статистика
|
P-Значение
|
Нижние 95%
|
Верхние 95%
|
|
Y-пересечение
|
588,35
|
110,10
|
5,34
|
0,00
|
362,44
|
814,26
|
|
x2
|
68,76
|
13,34
|
5,16
|
0,00
|
41,39
|
96,13
|
|
x4-балкон
|
113,32
|
52,10
|
2,17
|
0,04
|
6,41
|
220,23
|
Таблица Б.8 - расчет регрессии для выборки n′
|
Регрессионная статистика
|
|
Множественный R
|
0,532291
|
|
R-квадрат
|
0,283333
|
|
Нормированный R-квадрат
|
0,104167
|
|
Стандартная ошибка
|
91,89813
|
|
Наблюдения
|
11
|
|
Дисперсионный анализ
|
|
|
|
|
|
|
|
df
|
SS
|
MS
|
F
|
Значимость F
|
|
Регрессия
|
2
|
26710,6
|
13355,3
|
1,581395
|
0,263796
|
|
Остаток
|
8
|
67562,13
|
8445,266
|
|
|
|
Итого
|
10
|
94272,73
|
|
|
|
|
|
Коэффициенты
|
Стандартная ошибка
|
t-статистика
|
P-Значение
|
Нижние 95%
|
Верхние 95%
|
|
Y-пересечение
|
749,69
|
295,56
|
2,54
|
0,03
|
68,13
|
1431,25
|
|
x2
|
48,45
|
46,71
|
1,04
|
0,33
|
-59,27
|
156,17
|
|
x4-балкон
|
75,95
|
58,02
|
1,31
|
0,23
|
-57,86
|
209,75
|
Таблица Б.9 - расчет регрессии для выборки n′′′
|
Регрессионная статистика
|
|
Множественный R
|
0,68862
|
|
R-квадрат
|
0,474197
|
|
Нормированный R-квадрат
|
0,342747
|
|
Стандартная ошибка
|
160,5685
|
|
Наблюдения
|
11
|
|
Дисперсионный анализ
|
|
|
|
|
|
|
df
|
SS
|
MS
|
F
|
Значимость F
|
|
Регрессия
|
2
|
186014,6897
|
93007,34
|
3,607417
|
0,076435
|
|
Остаток
|
8
|
206258,0375
|
25782,25
|
|
|
|
Итого
|
10
|
392272,7273
|
|
|
|
|
|
Коэффициенты
|
Стандартная ошибка
|
t-статистика
|
P-Значение
|
Нижние 95%
|
Верхние 95%
|
643,96
|
268,95
|
2,39
|
0,04
|
23,76
|
1264,17
|
|
Переменная X 1
|
61,22
|
24,63
|
2,49
|
0,04
|
4,42
|
118,01
|
|
Переменная X 2
|
188,31
|
127,86
|
1,47
|
0,18
|
-106,54
|
483,17
|