Гидравлические системы автомобилей

  • Вид работы:
    Контрольная работа
  • Предмет:
    Транспорт, грузоперевозки
  • Язык:
    Русский
    ,
    Формат файла:
    MS Word
    1,36 Мб
  • Опубликовано:
    2012-12-02
Вы можете узнать стоимость помощи в написании студенческой работы.
Помощь в написании работы, которую точно примут!

Гидравлические системы автомобилей

Министерство образования Республики Беларусь

Учреждение образования

"Гродненский государственный университет имени Янки Купалы"

Факультет инновационных технологий машиностроения








Контрольная работа

Гидравлические системы автомобилей

Содержание

Введение

1. Потери напора при турбулентном течении в трубах

2. Характеристики насоса и насосной установки

3. Совремееные проблемы развития гидропередач автомобилей

Заключение

Литература

Введение

Гидравлика - это наука о законах движения и равновесия жидкостей и способах приложения этих законов к решению конкретных технических задач. С гидравликой связаны отрасли науки и техники, занимающиеся созданием, исследованием и использованием различных гидравлических машин: насосов, турбин, гидропередач и гидропривода.

Слово гидравлика произошло от греческого hydro (вода) и aulos (трубка). В настоящее время это понятие значительно расширилось: гидравлика занимается изучением любой жидкости, движущейся не только в трубах.

В начале своего развития гидравлика представляла собой теоретическую науку - математическую механику жидкости или гидромеханику. Но методы математической гидромеханики не дали возможности решить целый ряд практических задач. В связи с этим стала развиваться практическая наука - техническая механика жидкости, решающая инженерные задачи методом упрощения гидравлических явлений, но с введением в теоретические уравнения поправочных коэффициентов, полученных в результате эксперимента.

В настоящее время приходится сталкиваться с задачами, при решении которых одновременно используются методы теоретической и технической гидромеханики. Поэтому различие в методах этих двух ветвей одной и той же науки постепенно исчезает. Современная гидравлика представляет собой самостоятельную, сформировавшуюся отрасль знаний, находящую применение в различных областях техники.

1. Потери напора при турбулентном течении в трубах

Турбулентное течение сопровождается интенсивным перемешиванием струек и слоев жидкости с образованием большого количества крупных и мелких вихрей. Отдельные частицы жидкости движутся хаотично, и практически ни одна из них не повторяет траекторию другой.

Если с помощью специального прибора записать изменение проекции скорости vc на ось х трубы в этой точке во времени, то получим пульсирующую зависимость (рис. 1, б). Практика показывает, что при турбулентном течении пульсирующий характер имеют также давление и другие параметры, т.е. физические параметры в турбулентном потоке переменны во времени, следовательно турбулентное течение является неустановившимся течением.

Из анализа зависимости на рис.1,б, которая приведенный вид имеет в случае постоянства во времени расхода жидкости через трубопровод, следует, что изменение проекции скорости vCx происходит относительно некоторого усредненного значения постоянного во времени. Аналогично можно усреднить все другие параметры турбулентного потока в этих условиях. Поэтому в дальнейшем турбулентное течение при постоянстве во времени расхода через трубопровод будем условно считать установившемся с параметрами, равными соответствующим усредненным значениям.

При турбулентном течении из-за перемешивания струек и обмена частицами жидкости между соседними слоями происходит выравнивание скоростей в центральной части потока (линия В на рис.1,в), а у стенки, наоборот, имеет место резкое изменение скоростей, причем более значительное, чем при ламинарном течении. В общем случае эпюра распределения усредненных скоростей при турбулентном течении напоминает прямоугольник (или трапецию), что характерно для идеальной жидкости.


Коэффициент Кориолиса аТ учитывающий неравномерность распределения скоростей по сечению потока, при турбулентном режиме значительно меньше 2 и приближается к 1. При решении практических задач для турбулентного течения принимают аТ = 1.

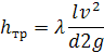
Для оценки гидравлических потерь напора при турбулентном режиме течения также используется формула Дарси:


Однако коэффициент потерь  (далее ) определяется весьма сложными процессами, происходящими в турбулентных потоках, а его значение зависит не только от числа Рейнольдса (как в ламинарных потоках), но и от шероховатости стенок трубы.

При рассмотрении процессов турбулентного течения в трубах особое внимание следует уделить струйкам жидкости, которые движутся непосредственно вблизи стенок. Как следует из анализа эпюры распределения скоростей (линия В на рис.1,в), около стенок их значения невелики. Поэтому вдоль стенки образуется особый слой с низкими скоростями, который принято называть вязким подслоем.

Для рассмотрения законов сопротивления при турбулентных течениях жидкости в трубах весь диапазон изменения Re (от 4000 и выше) целесообразно разделить на три характерные области.

В первой характерной области, когда скорости течения жидкости относительно невелики (числа Рейнольдса также малы), вязкий подслой полностью скрывает шероховатость стенки, поэтому шероховатость не оказывает практического влияния на сопротивление движению. Эта область получила название области гидравлически гладких труб.

При увеличении скоростей движения жидкости (числа Re также возрастают) толщина вязкого подслоя начинает уменьшаться и во второй характерной области сквозь него проступают бугорки шероховатой стенки, поэтому шероховатость начинает влиять на сопротивление движению жидкости.

В третьей характерной области, которая имеет место при высоких скоростях течения жидкости (и больших значениях Re), определяющее влияние на сопротивление потоку оказывает шероховатость стенок.

Следует иметь в виду, что границы, разделяющие отмеченные характерные области, не имеют явно выраженного характера и зависят не только от числа Рейнольдса, но и от степени шероховатости стенок.

После анализа процессов, происходящих в трубах при турбулентном течении, становится очевидной сложность учета всех описанных явлений в расчетных зависимостях. Действительно, для турбулентных течений до настоящего времени не имеется достаточно строгой и точной теории. Поэтому в основе их расчета лежат формула Дарси и различные экспериментальные данные, позволяющие определять значения коэффициента потерь напора на трение גт.

Эти экспериментальные данные представляются к различных справочниках в форме таблиц, графиков или эмпирических формул.

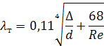
Одной из наиболее простых эмпирических зависимостей для вычисления גт является формула, предложенная А.Д. Альтшулем:


где ∆ - эквивалентная (условная) высота бугорков шероховатости.

Формула Альтшуля является универсальной и может быть применена для любой из трех характерных областей турбулентного течения. Но для области гидравлически гладких труб проще использовать формулу Блазиуса


При ламинарном течении потеря напора возрастает пропорционально расходу. Эта зависимость продемонстрирована на рис. 1, г (прямая линия ОА). В переходной области (АВ на рис. 1, г) происходит перестройка течения с ламинарного на турбулентное и наблюдается некоторый скачок сопротивления. Далее при турбулентном течении идет более крутое нарастание потерь Һтр, степень зависимости которых от расхода приближается к квадратичной.

Таким образом, во всем диапазоне турбулентного течения кривая зависимости гидравлических потерь напора от расхода является квадратичном параболой или близка к ней.

2. Характеристики насоса и насосной установки

Характеристикой насоса принято называть графическую зависимость его действительного напора, полезной мощности и КПД от подачи H, Nн,

ή = f (Q), построенную при постоянной частоте вращения п рабочего колеса. Она во многом определяет эксплуатационные свойства насоса и является важнейшим показателем его работы.

На рисунке 2 изображена схема насосной установки.


К насосу 7, приводимому от электродвигателя 6, жидкость поступает из приемного резервуара 1 по подводящему трубопроводу 12. Насос нагнетает жидкость в напорный резервуар 2 по напорному трубопроводу 3. На напорном трубопроводе имеется регулирующая задвижка 8, при помощи которой изменяется подача насоса. Иногда на напорном трубопроводе устанавливают обратный клапан 10, автоматически перекрывающий напорный трубопровод при остановке насоса и препятствующий благодаря этому возникновению обратного тока жидкости из напорного резервуара. Если давление в приемном резервуаре отличается от атмосферного или насос расположен ниже уровня жидкости в приёмном резервуаре, то на подводящем трубопроводе устанавливают монтажную задвижку 11, которую перекрывают при остановке или ремонте насоса.

В начале подводящего трубопровода часто предусматривают приемную сетку 13, предохраняющую насос от попадания твердых тел, и пятовой клапан 14, дающий возможность залить насос и подводящий трубопровод жидкостью перед пуском. Работа насоса контролируется по расходомеру 4, который измеряет подачу насоса, по манометру 5 и вакуумметру или манометру 9, позволяющим определить напор насоса.

Уровни свободной поверхности жидкости в приемном и напорном резервуаре обычно называют приемным и напорным уровнями; разность высот НГ напорного и приемного уровней - геометрическим напором насосной установки.

Для того чтобы перемещать жидкость по трубопроводам установки из приемного резервуара в напорный, необходимо затрачивать энергию на подъем жидкости на высоту НГ, на преодоление разности давлений р" - р' в резервуарах и на преодоление суммарных гидравлических потерь  всасывающего и напорного трубопроводов. Таким образом, энергия, необходимая для перемещения единицы веса жидкости из приемного резервуара в напорный по трубопроводам установки, или потребный напор установки.


где  - статический напор установки.

Характеристикой насосной установки называется зависимость потребного напора от расхода жидкости. Геометрический напор НГ, давления р" и р' и, следовательно, статический напор НСТ от расхода обычно не зависят. При турбулентном режиме гидравлические потери пропорциональны расходу во второй степени: , где k- сопротивление трубопроводов насосной установки.

гидравлическая система автомобиль насос

На рисунке 3 справа изображена характеристика насосной установки, слева - схема установки. Уровни, на которых размещены элементы установки, на схеме вычерчены в масштабе оси напоров графика. Уровень в приемном резервуаре совмещен с осью абсцисс. Так как статический напор установки от подачи насоса не зависит, характеристика насосной установки представляет суммарную характеристику подводящего и напорного трубопроводов , смещенную вдоль оси напоров на величину НСТ.

Насос данной насосной установки работает на таком режиме, при котором потребный напор равен напору насоса, т. е. при котором энергия, потребляемая при движении жидкости по трубопроводам установки (потребный напор) равна энергии, сообщаемой жидкости насосом (напор насоса).

Осевые насосы иногда регулируют перепуском части расхода из напорного трубопровода во всасывающий либо изменением угла установки лопаток рабочего колеса, при котором меняется характеристика насоса.

3. Современные проблемы развития гидропередач автомобилей

Гидравлическая передача, устройство, в котором механическая энергия и движение с заданными усилиями (крутящими моментами) и скоростью (частотой вращения) передаются и преобразуются с помощью жидкости. Применяются на теплоходах, тепловозах, автомобилях, самолетах, в станках и машинах-орудиях, в приводах строительно-дорожных машин, компрессоров, вентиляторов, насосов и др.

Гидропередача обладает гибкостью и износоустойчивостью, она легко регулируется, предохраняет механизмы от перегрузки и поэтому применяется во многих современных машинах.

Основной целью применения гидропередач автомобилей является получение требуемой зависимости скорости приводимой машины от нагрузки, в ряде случаев использование гидропривода позволяет получать и др. эксплуатационные преимущества: рациональнее расположить оборудование, более полно использовать мощность двигателя, снизить ударные нагрузки в системе и т.д.

Гидропередачи по принципу действия разделяются на гидростатические (гидрообъемные) и гидродинамические. В гидростатических передачах используется давление рабочей жидкости (от насоса), преобразуемое в поступательно-возвратное механическое движение с помощью гидроцилиндров или во вращательное движение с помощью гидромоторов. В гидродинамических передачах крутящий момент передается путем изменения количества рабочей жидкости, протекающей в рабочих колесах, заключенных в общую полость и осуществляющих функции центробежного насоса и турбины (гидромуфты и гидротрансформаторы).

Таким образом, гидростатическая трансмиссия целиком исключает сцепление, коробку передач, главную передачу, карданный вал, дифференциал и тормоза. Функции всех этих механизмов выполняются сочетанием работы насоса переменной подачи и гидромотора.

Гидростатические трансмиссии имеют следующие преимущества: полное использование мощности двигателя на всех эксплуатационных режимах и предохранение его от перегрузок; хорошая пусковая характеристика и наличие так называемой ползучей скорости при большой силе тяги; бесступенчатое, плавное регулирование скорости на всем диапазоне от нуля до максимума и обратно; высокая маневренность, простота управления и обслуживания, самосмазываемость; отсутствие жестких кинематических связей между элементами трансмиссии; независимость расположения двигателя с насосом и гидродвигателей на шасси, т. е. благоприятные условия для выбора наиболее рациональной компоновки машины.

Гидравлические передачи получили широкое применение в дорожных машинах, вытесняя механические благодаря значительным преимуществам: возможности передавать большие мощности; бесступенчатой передаче усилий; возможности разветвления потока мощности от одного двигателя к различным рабочим органам; жесткой связи с механизмами рабочих органов, обеспечивающей возможность их принудительного заглубления и фиксирования, что особенно важно для режущих органов землеройных машин; обеспечению точного регулирования скорости и реверсирования перемещения рабочих органов достаточно простым и удобным управлением рукоятками распределительных устройств; возможности конструировать любые трансмиссии машин без громоздких карданных передач и компоновать их с применением унифицированных элементов и широким использованием автоматизированных устройств.

Однако эффективная реализация преимуществ объемных гидропередач затруднена из-за следующих основных их недостатков: 1) работоспособность и надежность гидропередачи в значительной степени определяется температурой окружающей среды и, соответственно, вязкостью рабочей жидкости; 2) имеют место перетечки и утечки рабочей жидкости вследствие нарушения герметичности элементов гидропередач; 3) гидропередачи отличаются повышенной чувствительностью к эксплуатационным свойствам рабочей жидкости (необходима ее постоянная очистка); 4) повышенные требования предъявляются к материалам гидросистем, качеству изготовления деталей, а также сборки гидрооборудования.

Широкое распространение получили гидромеханические передачи, состоящие из гидродинамического трансформатора, механических передач и системы управления. На долю таких передач приходится более 95% (по некоторым оценкам 99%) всех выпускаемых в мире автомобильных трансмиссий. Именно такие трансмиссии за рубежом называются автоматическими трансмиссиями, автоматическими передачами или, чаще всего, автоматическими коробками передач.

Идея и конструкция гидродинамического трансформатора (ГДТ) - принципиально нового механизма, сделавшего возможным создание гидромеханических передач (ГМП) ныне применяемых типов пришла в автомобилестроение их другой области техники - из судостроения.

Как гидротрансформатор, так и гидромуфта, передают мощность при отсутствии жесткого соединения входного и выходного валов, благодаря чему двигатель и приводимая машина защищены от вредных динамических перегрузок. Это продлевает срок службы машин. Возможность бесступенчатого и плавного изменения частоты вращения выходного вала позволяет гидродинамическим передачам выполнять функцию редуктора, упрощать и облегчать работу операторов машин. Эти преимущества побудили к использованию гидромеханических передач на автомобилях.

Успеху в применении ГМП на автомобилях способствовала возможность автоматического перехода гидротрансформатора в режим гидромуфты. Это достигается установкой реактора ГДТ на муфте свободного хода. Когда коэффициент трансформации становится равным единице, направление потока на входе в реактор совпадает с направлением потока на выходе из него, крутящий момент на колесе реактора меняет свой знак и реактор начинает свободно вращаться в потоке рабочей жидкости - гидротрансформатор превратился в гидромуфту, имеющую значительно более высокий КПД (до 98%).

По мере повышения требований к динамическим свойствам автомобилей и по мере совершенствования конструкций ГМП (в том числе и ГДТ) число ступеней стало увеличиваться до трех, затем до четырех. В США автоматическими коробками передач (ГМП) снабжаются 85-90% легковых автомобилей, почти все городские автобусы, значительная часть грузовых автомобилей. В Европе оборудуются ГМП большая часть городских автобусов и около 25% продаваемых легковых автомобилей. В Японии оборудуются ГМП около 30% продаваемых легковых автомобилей. ГМП производят почти все крупные фирмы - изготовители автомобилей и большое число фирм, специализировавшихся на производстве автомобильных трансмиссий.

В настоящее время гидропривод и гидропередачи широко применяются в различных областях новой техники, во многих устройствах ответственного характера. Их роль в автоматизации и механизации производства с каждым годом увеличивается. В нашей стране и за рубежом создана большая научно-техническая литература, развиваются теоретические и экспериментальные исследования, посвященные вопросам гидропривода и гидропередач.

Повышение эффективности гидрофицированных машин, уменьшение трудовых и материальных затрат на поддержание их в работоспособном состоянии являются актуальными задачами. Эти задачи решаются путем повышения технического уровня эксплуатации машин, включая организацию системы их диагностирования.

 

Заключение

 

Она дает методы расчета и проектирования разнообразных гидротехнических сооружений (плотин, каналов, водосливов, трубопроводов для подачи всевозможных жидкостей), гидромашин (насосов, гидротурбин, гидропередач), а также других гидравлических устройств, применяемых во многих областях техники.

Особенно велико значение гидравлики в машиностроении, где широко используют различные гидроагрегаты в качестве систем жидкостного охлаждения, топливоподачи, смазочных и др.

На различных современных машинах все более широкое применение находят гидропередачи (гидроприводы) в гидроавтоматика.

Идет развитие исследовательских, проектно-конструкторских и технологических работ в отрасли гидравлических систем.

Литература


1. Башта, Т.М. Гидравлика, гидромашины и гидроприводы /Т.М. Башта [и др.]. - М.: Машиностроение, 1982.

.Лепешкин, А.В. Гидравлические и пневматические системы/А.В. Лепешкин, А.А. Михайлин; под ред. проф. Ю.А. Беленкова.- 4-е изд. стер.- М.: Изд. центр «Академия», 2007.

. Башта, Т.М. Гидропривод и гидропневмоавтоматика /Т.М. Башта. - М.: Машиностроение, 1972.

Похожие работы на - Гидравлические системы автомобилей

 

Не нашли материал для своей работы?
Поможем написать уникальную работу
Без плагиата!
Без нейросетей!