Расчет тормозного механизма автомобиля ВАЗ 2121
Содержание
Введение
1. Анализ конструкции автомобиля ВАЗ 2121
1.1 Краткая характеристика автомобиля
1.2 Характеристика проектируемой тормозной системы автомобиля
1.3 Обзор и анализ патентной информации по проектируемой
конструкции автомобиля
1.4 Выводы по разделу
2. Анализ проектируемого тормозного механизма используемого
на автомобиле ВАЗ
2.1 Оценка схем тормозных механизмов
2.2 Оптимальное распределение тормозных сил
2.3 Оценка тормозной системы с гидравлическим приводом и
гидро-вакуумным усилителем
2.4 Оценка тормозной системы с динамическим регулятором
тормозных сил
3. Тепловой расчет тормозного механизма
4. Расчет на прочность элементов тормозного механизма
Заключение
Список используемых источников
Введение
К тормозному управлению автомобили служащему для замедления его движения
вплоть до полной остановки и удержания на месте на стоянке, предъявляются
повышенные требования, так как тормозное управление является важнейший
средством обеспечения активной безопасности автомобиля. Требования к тормозным системам
регламентированы ГОСТ 22895-77 и международными правилами (Правила № 13 ЕЭК
ООН).
Требования к тормозным системам следующие:
минимальный тормозной путь или максимальное установившееся замедление в
соответствии с требованиями ГОСТ 22895- 77 для пассажирских автомобилей
категорий М1, М2, М3 и грузовых автомобилей
категорий Nb N2, N3 в зависимости от типа
испытаний (ноль; I; II);
сохранение устойчивости при торможении (критериями устойчивости служат
линейное отклонение, угловое отклонение,
угол складывания автопоезда);
стабильность тормозных свойств при неоднократных торможениях;
минимальное время срабатывания тормозного привода;
силовое следящее действие тормозного привода, т. е. пропорциональность
между усилием на педали и приводным моментом;
малая работа управления тормозными системами - усилие на тормозной педали
в зависимости от назначения автотранспортного средства должно лежать в пределах
500...700 Н (низший предел для легковых автомобилей); ход тормозной педали
80... 180 мм; отсутствие органолептических явлений (слуховых, обонятельных);
надежность всех элементов тормозных систем; основные элементы (тормозная педаль
и ее крепление, главный тормозной цилиндр, тормозной кран и др.) должны иметь
гарантированную прочность, не должны выходить из строя на протяжении
гарантированного ресурса; должна быть также предусмотрена сигнализация,
оповещающая водителя о неисправности тормозной системы
В соответствии с ГОСТ 22895-77 тормозное управление должно включать
следующие тормозные системы:
рабочую;
запасную;
стояночную;
вспомогательную (тормоз - замедлитель), обязательную для автобусов по ной
массой свыше 5 т и грузовых автомобилей полной массой свыше 12 т, npeд назначенную для торможения на
длительных спусках и поддерживающую скорость 30 км/ч на спуске с уклоном 7%
протяженностью 6 км.
1. Анализ конструкции автомобиля ВАЗ 2121
1.1 Краткая характеристика автомобиля
автомобиль тормозной тепловой прочность
Легковой автомобиль ВАЗ-2121 (рисунок 1) предназначен для эксплуатации по
дорогам с твердым покрытием. Этот автомобиль выпускается Волжским автозаводом с
1977 года. Для удовлетворения потребностей народного хозяйства и экспорта
заводом выпускается несколько модификаций базового автомобиля ВАЗ 2121
"Нива".
Рисунок
2 - Автомобиль ВАЗ - 2121 «Нива» и его габаритные размеры.
Таблица 1 -Технические характеристики автомобиля ВАЗ 2121
|
Общие данные
|
|
ПОКАЗАТЕЛИ
|
ВАЗ 2121
|
|
Кузов
|
Цельнометаллический,
несущий
|
|
Тип кузова
|
Универсал
|
|
Двигатель
|
ВАЗ 2121
|
|
Максимальная скорость, км/ч
|
137
|
|
Контрольный расход топлива
(летом, исправного автомобиля после пробега 5000 км, с нагрузкой в 2 чел.),
л/100 км (кг/100 км) при скорости: 90 км/ч 120 км/ч
|
10.8 9.1
|
|
Число мест (полезная
нагрузка)
|
5 (400кг)
|
|
Масса снаряженного
автомобиля, кг
|
1150
|
|
Полная масса автомобиля, кг
|
1550
|
|
Допустимый груз в багажнике
(при нагрузке 5 чел.), кг
|
200
|
|
Допустимая масса
установленного на крыше багажника с грузом, кг
|
50
|
|
Допустимая полная масса
буксируемого прицепа, не оборудованного тормозами, кг
|
300
|
|
Распределение по осям
полной массы, кгс: передняя ось задняя ось
|
725 825
|
|
Колея колес, мм: передних
задних
|
1430 1420
|
|
Дорожный просвет под
нагрузкой, мм:
|
185
|
|
Наименьший радиус поворота
по колее переднего наружного колеса, м
|
|
Двигатель
|
|
ПОКАЗАТЕЛИ
|
ВАЗ 2121
|
|
Тип
|
Карбюраторный,
4-цилиндровый
|
|
Рабочий объем цилиндров, л
|
1, 580
|
|
Максимальная мощность, л.
с.
|
80
|
1.2 Характеристика проектируемой тормозной системы автомобиля
Тормозная система
Автомобиль оборудован двумя независимыми, тормозными системами,
обеспечивающими рабочее и стояночное торможение. Рабочая тормозная система
имеет два параллельно действующих гидравлических привода (контура). При отказе
одного из контуров второй обеспечивает торможение с эффектностью, предписанной
для запасной системы.
Рабочая тормозная система - гидравлическая, действует на все колеса автомобиля.
Гидравлический привод приводится в действие от педали тормоза
Стояночная тормозная система - механическая, действует только на
задние колеса, приводится в действие от рычага стояночного тормоза,
установленного между передними сиденьями.
Рисунок 3 - Рабочая тормозная система
. Диск тормозного механизма; 2. Тормозная колодка переднего тормоза; 3.
Уплотнительное кольцо поршня; 4. Поршень колесного цилиндра; 5. Колесный
цилиндр переднего тормоза; 6. Тормозной шланг контура привода передних
тормозов; 7. Палец крепления тормозных колодок: 8. Ограничительный винт хода
поршня;9. Уплотнительное кольцо; 10. Упорная чашка; 11. Поршень привода задних
тормозов; 12. Пружина уплотнительного кольца; 13. Втулка; 14. Корпус главного
цилиндра: 15. Поршень привода передних тормозов: 16. Уплотнитель; 17. Шток; 18.
Вакуумный клапан; 19. Возвратная пружина корпуса клапана; 20. Корпус клапана:
21. Диафрагма: 22. Корпус вакуумного клапана; 23. Крышка корпуса вакуумного
усилителя; 24. Буфер штока; 25. Упорная пластина поршня; 26. Поршень; 27.
Клапан вакуумного усилителя; 28. Пружина клапана; 29. Возвратная пружина
клапана;30. Воздушный фильтр; 31. Толкатель клапана; 32. Оттяжная пружина
педали: 33. Наконечник выключателя стоп-сигнала; 34. Выключатель стоп-сигнала;
35. Пробка корпуса регулятора давления;36. Поршень регулятора давления;37.
Втулка корпуса; 38. Уплотнитель головки поршня: 39. Тарелка пружины; 40.
Пружина поршня;41. Уплотнительное кольцо ; 42. Рычаг привода регулятора давления;
43. Колодка заднего тормоза: 44. Стяжная пружина колодок; 45. Поршень колесного
цилиндра заднего тормоза;46. Распорная пружина поршней; 47. Уплотнители поршней
колесного цилиндра; 48. Педаль тормоза;
Рабочая тормозная система (рисунок 3) состоит из передних дисковых
тормозных механизмов, задних барабанных тормозных механизмов и гидравлического
привода с гидровакуумным усилителем. Привод рабочей тормозной системы включает
тормозную педаль, вакуумный усилитель, главный тормозной цилиндр, сигнальное устройство,
указывающее на утечку тормозной жидкости, регулятор давления в системе задних
тормозов и трубопроводы с соединительной арматурой.
Тормозные механизмы передних и задних колес имеют специальные
устройства, поддерживающие постоянный зазор между диском (барабаном) и
колодками по мере их износа. У заднего тормозного механизма это устройство
состоит из упорного разрезного кольца, запрессованного в тормозной цилиндр.
Прорезь кольца должна располагаться в вертикальной плоскости со стороны
отверстия для прокачки.
Упорное кольцо имеет отверстие, в которое вставляется поршень. Положение
поршня после поворота его на 90° фиксируется концом колодки, входящим в прорезь
стержня, запрессованного в поршень. Поршень перемещается в упорном кольце в
пределах 1,70...1,90 мм, перемещая при этом тормозные колодки. По мере износа
накладок и барабана упорное разрезное кольцо постепенно смещается в цилиндре от
давления жидкости, действующей на поршень, обеспечивая автоматическую
регулировку зазора. Регулировочный эксцентрик служит для установки колодок в
правильное положение после их замены при ремонте.
Передний тормозной механизм имеет два рабочих цилиндра с внутренним
диаметром 32 мм. Каждый цилиндр действует на свою тормозную колодку. Задний
тормозной механизм имеет один колесный цилиндр двухстороннего действия
внутренним диаметром 28 мм., который приводит в действие обе колодки. Колодка
имеет накладку длиной 320 мм
В колесных цилиндрах тормозных механизмов под защитными чехлами
установлены пенополиуретановые кольца, пропитанные касторовым маслом для защиты
зеркала цилиндра от коррозии. При каждой разборке колесного цилиндра кольца
следует дополнительно пропитывать касторовым маслом.
Вакуумный усилитель (рисунок 4) - служит для уменьшения усилия на педали
при торможении. Он крепится к переходному кронштейну четырьмя гайками с
пружинными шайбами, а кронштейн - к щитку передка.
Вакуумный усилитель состоит из корпуса, крышки, корпуса клапанов, к
которому тремя болтами с пружинными шайбами крепится поршень, диафрагма и
соединитель поршней. По наружной поверхности диафрагма поджимается к корпусу
крышкой первичной камеры. На резьбовом конце соединителя гайкой крепится
поршень и диафрагма. В корпусе клапанов толкатель с поршнем и воздушным
фильтром фиксируется двумя винтами.
Между поршнем и толкателем установлена резиновая реактивная шайба. На
конце толкателя ввернут регулировочный болт, при помощи которого
устанавливается зазор в, равный 1,35...1,65 мм, между головкой болта и
привалочной плоскостью крышки вакуумного усилителя.
Рисунок 4 - Вакуумный усилитель
1 - крышка корпуса; 2- пружина; З и 5 - поршни; 4 - опорное Кольцо; 6 и
20 - диафрагмы; 7 - реактивная шайба; 8 - направляющее кольт. 9 -
уплотнительная манжета; 10 - фильтр; 11 - корпус клапанов; 12 и 17 - толкатели;
13 - поршень; 14 - диафрагма клапанов; 15 - корпус усилителя; 16 - винт; 18 -
упорная крышка; 19 - упорное кольцо; 21 - уплотнительное кольцо; 22 - обратный
клапан; 23 - шланг; 24 - контргайка; 25 - регулировочный болт; 26 - главный
цилиндр; 27 - бачок
Главный тормозной цилиндр (рисунок 5) с двумя последовательно расположенными
поршнями крепится к крышке вакуумного усилителя двумя гайками с пружинными
шайбами. Главный тормозной цилиндр создает давление в двух независимых гидравлических
контурах. Объем жидкости между поршнями 5 и 12 используется для приведения в
действие передних тормозных механизмов, а объем жидкости между поршнем 12 и
торцом пробки 15 главного цилиндра для приведения в действие задних тормозных
механизмов. При перемещении вперед первичного поршня 5 его манжета 8
перекрывает компенсационное отверстие Б, соединяющее первичную полость главного
цилиндра с баком.
Пружина 10 между поршнями 5 и 12 главногоцилиндра сильнее пружины 14
между поршнем 12и пробкой 15, поэтому одновременно с первичны»поршнем начинает
перемещаться и вторичныйпоршень 12, перекрывая манжетой компенсационное
отверстие А, соединяющее вторичную полость цилиндра с баком. Дальнейшее
перемещение поршней сопровождается увеличением давления впервичной и вторичной
полостях, следовательно, в гидравлических контурах тормозной системы.При снятии
усилия с педали тормоза поршнипод действием возвратных пружин возвращаютсяв
первоначальное положение. При этом жидкость перетекает обратно в бак главного
цилиндра, и давление в контурах снижается до атмосферного.
Если педаль тормоза освобождается резко, то поршни главного цилиндра
возвращаются быстрее, жидкость из колесных цилиндров. В этом случае в полостях
главного цилиндра создается разрежение и через отверстия в поршнях, отжимая
края рабочих манжет, в полости поступает дополнительный объем жидкости из бачка
через перепускные отверстия. Когда поршни достигнут своего первоначального
положения, избыток жидкости из каждой полости через компенсационные отверстия
перетечет в бачок.
Отказ в работе одного из контуров сопровождается увеличением хода
тормозной педали. Однако запаса хода педали при этом достаточно для создания в
исправном контуре давления тормозной жидкости, необходимого для торможения.
Рисунок 5 - Главный цилиндр
-крышка; 2-упорное кольцо; 3- наружная монжета; 4- стопорное кольцо; 5 и
12-поршни; 7- шайба поршня; 8-главная монжета; 9 и 13 - упорные шайбой; 10 и 14
- пружины; 11- разделительные монжеты; 15- пробка; 16- корпус главного
цилиндра; 17-соеденительная втулка; 18- трубка; 19- бак; А и Б- компенсационные
отверстия ; В- перепускное отверстие
Регулятор давления (рисунок 6) корректирует давление тормозной жидкости в
системе задних тормозных механизмов в зависимости от изменения нагрузки на
задние колеса. Регулятор крепится к задней панели пола через переходный
кронштейн. Короткий конец упругого элемента закреплен между нажимным рычагом и
осью нажимного рычага при помощи фиксирующего болта и штифта. Длинный конец упругого
элемента шарнирно закреплен в стойке при помощи резиновой втулки.
Рисунок 6 - Регулятор давления
- регулятор; 2 и 19 - кронштейны регулятора; 3 - нажимной рычаг; 4 - ось
нажимного рычага; 5 - штифт; 6 - фиксирующий болт 7 - гайка; 8 - ось; 9 -
стойка регулятора; 10 - кронштейн стойки; 11 - гильза поршня; 12 - управляющий
конус; 13 - прижимная пружина 14 - шарик; 15 - упорная скоба; 16 - возвратная
пружина поршня; 17 - втулка; 18 - поршень; 20 - защитный чехол; 21 - упругий
элемент 22 - регулировочный болт; 23 - контргайка
Стояночный тормоз действует на задние тормозные механизмы. Кронштейн с рычагом
привода стояночного тормоза крепится четырьмя болтами к переходному кронштейну,
который приварен к передней панели пола. При перемещении рычага стояночного
тормоза вверх тяга поворачивает рычаг, на нижнем конце которогоo шарнирно закреплена тяга уравнителя.
Сигнальное устройство крепится к левому брызговику переднего крыла болтом и гайкой.
Оно состоит из корпуса, поршней с уплотнительными резиновыми кольцами, шарика и
датчика сигнализатора неисправности тормозов.
При отказе в работе одного из контуров раздельного привода под действием
разности давлений при первом же нажатии на педаль тормоза поршне
перемещаются в сторону меньшего давления. Шарик выходит из канавки, и контакты
датчика замыкаются. На комбинации приборов при этом загорается красный
сигнализатор неисправности рабочих тормозов.
1.3 Обзор и анализ патентной информации по проектируемой
конструкции автомобиля
Для выбора наиболее рационального способа совершенствования конструкции
тормозной системы автомобиля ВАЗ 2121 был проведён поиск и анализ патентных
источников.
1. Патент № 2302565 «Барабанный колодочный тормоз и тормозная колодка»
Евромаркплат 14.11.2003г.
Изобретение относится к области машиностроения, а именно к барабанным
тормозам. Барабанный тормоз содержит щит, тормозные колодки с фрикционными
накладками, прижимное устройство и упругое возвратное устройство. Упругое
возвратное устройство после торможения отводит от барабана тормозную колодку,
которая перемещается со скольжением в радиальном направлении между двумя
закрепленными на щите направляющими стенками. Прижимное устройство выполнено в
виде рычага, соединенного со щитом шарниром. При этом возникающая при
торможении сила реакции Fr приложена к прижимному рычагу, а
тормозное усилие Ff приложено к тормозной колодке таким образом, что
тормозное усилие Ff и сила реакции Fr действуют в двух
разных точках тормоза. Тормозная колодка для барабанного колодочного тормоза
имеет жесткое основание для фрикционной накладки, внешние концы которого
образуют упоры, которыми тормозная колодка в окружном направлении упирается в
направляющие стенки и перемещается по ним со скольжением в радиальном
направлении. На внешней поверхности жесткого основания расположена прочно
соединенная с основанием фрикционная накладка.
2. Патент № 2118725 «Устройство автоматической регулировки зазора
барабанного тормоза и привода стояночного тормоза» ОАО ГАЗ 10.09.1998г.
Устройство относится к конструкции барабанных тормозов транспортных
средств с устройством автоматической регулировки рабочей и стояночной тормозных
систем. Техническим результатом от применения изобретения является возможность
бесступенчатой регулировки зазора и повышение надежности за счет применения
легкоскручивающейся резьбы с большим углом подъема витка. Устройство содержит
резьбовой толкатель, шарнирно закрепленный на одной из колодок с возможностью
осевого перемещения. На него навернута регулировочная втулка, в которой свободно
перемещается корпус. Коническая поверхность регулировочной втулки, прижимаясь к
сопряженной конической поверхности, выполненной на корпусе, препятствует
вращению регулировочной втулки на толкателе. Корпус упирается в приводной рычаг
и может дополнительно прижиматься к нему пружиной. Для уменьшения суммарного
зазора между тормозными колодками и барабаном предусмотрено устройство
блокировки вращения втулки в виде биметаллической пластины или другого элемента
из материала с эффектом памяти, закрепленного на корпусе с возможностью
зацепления с зубьями, выполненными на регулировочной втулке.
.4 Выводы по разделу
С целью улучшения эксплуатационных качеств и улучшения быстродействия
проведено усовершенствование конструкции тормозной системы на основе патента №
2118725.
Устройство автоматической регулировки зазора барабанного тормоза и
привода стояночного тормоза содержит резьбовой толкатель, шарнирно закрепленный
на одной из колодок с возможностью осевого перемещения. На него навернута
регулировочная втулка, в которой свободно перемещается корпус. Коническая
поверхность регулировочной втулки, прижимаясь к сопряженной конической
поверхности, выполненной на корпусе, препятствует вращению регулировочной
втулки на толкателе. Корпус упирается в приводной рычаг и может дополнительно
прижиматься к нему пружиной.
2. Анализ
тормозного механизма используемого на автомобиле ВАЗ 2121
В данном разделе курсового проекта производится ознакомление с
конструктивными особенностями тормозного механизма и тормозного привода автомобиля
ВАЗ 2121.Дается оценка параметров конструкции и рабочих процессов, реализации
функциональных свойств элементов тормозной системы, надежности, формирования
эксплуатационных свойств автомобиля.
2.1 Оценка схемы колодочного тормозного механизма
Для автомобиля движущегося по дороге с коэффициентом сцепления φ, определить потребное давление в
гидравлическом приводе тормозной системы р, необходимое для обеспечения
максимального тормозного момента на передних колесах Mт.max. Определить
величину радиальной силы ∆Рп, действующей на опору колеса при торможении.
Расчеты вести для тормозного механизма с равными приводными силами и
разнесенными опорами (рисунок 6) при условии равенства их геометрических
параметров ( rб, а ,h,ко, dр ). Схема тормозного механизма с равными приводными силами и
разнесенными опорами представлена на листе №1.
Рисунок 7 - Тормозной механизм
. Тормозная колодка; 21. Задний трос привода стояночного тормоза; 22.
Пружина заднего троса; 23. Наконечник заднего троса; 24. Рычаг привода
стояночного тормоза; 25. Распорная планка тормозных колодок; 26. Палец рычага
привода колодок; 27. Корпус колесного цилиндра; 28. Распорная пружина поршней;
29. Штуцер для прокачки привода заднего тормоза; 30. Штуцер трубки подвода
тормозной жидкости; 31. Уплотнительное кольцо поршня; 32. Поршень цилиндра; 33.
Защитный колпачок колесного цилиндра; 34. Упор колодки; 35. Верхняя стяжная
пружина колодок; 36. Фрикционная накладка колодки; 37. Ребро колодки; 38.
Пружина; 39. Ось: 40. Втулка пружины; 41. Фрикционные шайбы; 42. Втулка оси
автоматического устройства; 43. Оболочка троса; 44. Направляющая пружина; 45.
Опорный щит тормозного механизма; 46. Опорная пластина колодок;
Исходные данные для расчета: φ =0,5; 0,6; 0,7; Gа=11500Н;
L=2,2м; А=1,4м; В=1,0м; Н=1,0м; rк=0,28м; dр=0,028м; rб=0,15м;
а=0,13м; h=0,26м; ко=0,84; μ=0,3; расчетная схема I.
Максимальный тормозной момент на передних колесах.
При φ =0,5
При φ =0,6
При
φ
=0,7
Потребное
давление в тормозной системы
Приводные
силы:
Радиальная сила, действующая на опору колеса при торможении:
При φ =0,5
Приводные силы:
Радиальная
сила:
При
φ
=0,6
Приводные силы:
Радиальная
сила:
При
φ
=0,7
Приводные силы:
Радиальная
сила:
Рисунок 8 - Графическая зависимость оценочных параметров от дорожных
условий
По результатом расчета давления в тормозной системе строится график
потребного давления в тормозной системе (лист №1)
2.2 Оптимальное распределение тормозных сил
Для автомобиля рассчитывается и строится график оптимального соотношения
давления в переднем р1 и заднем р2 контура
гидравлического привода при заданном весе автомобиля и полном весе автомобиля.
Для различных тормозных условий (φ) определяется максимальные тормозные
моменты на колесах:
Ga =11500 H
При φ =0,5
При φ =0,7
При φ =0,6
Ga =15500
H
При φ =0,5
При φ =0,7
При φ =0,6
С
учетом заданной схемы тормозного механизма (лист №1) определяю оптимальное
давление в переднем и заднем контурах гидравлического привода
Ga=10300H
При φ =0,5
При
φ
=0,7
При φ =0,6
a =14300 H
При
φ
=0,5
При
φ
=0,7

По
результатам расчетов автомобиля заданного веса и полного веса строится график
оптимального распределения тормозных сил (лист №1).
Рисунок
9 - График потребного оптимального соотношения давления в переднем и заднем
контурах гидравлического привода
2.3
Статическая характеристика гидровакуумного усилителя гидропривода
По
усилию на педаль тормоза рассчитать давление, создаваемое на входе и выхода гидровакуумного
усилителя.
Рисунок
10 - Гидровакуумный усилитель с гидроприводом
Параметры
усилителя автомобиля ВАЗ 2121 «Нива»: d2 =0.013 м-
диаметр поршня следящего устройства (F2); d5=0,022 м- диаметр поршня гидроцилиндра усилителя
(F5), F3 = 30,3*10-4м2, F4 =240,5*10-5м2
-активные площади диафрагм следящего устройства и вакуумной камеры; С2
=0,37 Н/мм; fk1 = 222
мм; fk2= 4 мм
- жесткость и деформации пружины P1 при установке и во время работы; С1 =
1,5Н/мм, fД1 =17 мм;
fД2 =2 мм
- жесткость и деформации пружины Р2 при установке и во время
работы.
Параметры
тормозного привода: dr = 0,028м - диаметр главного тормозного
цилиндра (F1); Un =4,3 - передаточное число педали.
Участок
а - б : Усилие на педали изменяется в диапазоне
Рn=40…210 Н
где Р2=с1(fк1+fк2); Р1=с2(fд1+fд2)
Точка - а.
Приму Рn=40 Н
Р1=с2(fд1+fkд)=1,5*(17+2)=28,5 Н
Р2=с1(fк1+fк2)=0,37(4+222)=83,6 Н
Участок б - с: Усилие на педали изменяется в диапазоне
Рn=220…500 Н
PВ1=0,1 МПа ; РВ2=0,05 МПа
Точка - б.
Приму Рn=220 Н
Точка
- с.
Приму Рn=440 Н
По
результатам расчетов строится статистическая характеристика гидровакуумного
усилителя (лист №1).
Рисунок
11 - Статическая характеристика гидро-вакуумного усилителя.
2.4.
Оценка тормозной системы с гидравлическими приводами и динамическим
регулятором тормозных сил
Для легкового автомобиля ВАЗ 2121 « Нива» рассчитать и построить график
оптимального соотношения давлений в передаем и заднем контурах гидравлического
привода.
По известным параметрам динамического регулятора тормозных сил заднего
контура рассчитать потребное усилие корректирующей пружины Рк для
автомобиля заданного веса.
Рассчитать и построить характеристику регулятора тормозных сил.
Определить усилие на педали, необходимое для включения регулятора.
Параметры регулятора : d1=0.014м; d2 =0,018м; CФ=3,5Н/мм ; fФ=17 мм; fn=3 мм.
Параметры привода :dr =0,019м; Un =4,3; ηr=0,92.
Для значения коэффициента сцепления колеса с дорогой φ
=0,5; 0,6; 0,7
определить максимальные тормозные моменты на задних и передних колесах. Для
веса автомобиля Ga=11500H, Ga =15500 H
данные величины были произведены в пункте 2,2. Произведу данные расчеты для
веса автомобиля
Ga=13500 H.
При φ =0,5
При φ =0,6
При
φ
=0,7
Рассчитать и построить график оптимального соотношения давлений в
переднем и заднем контурах автомобиля. Для веса автомобиля Ga=11500H, Ga =15500 H данные величины были произведены в
пункте 2.2. Произведу данные расчеты для веса автомобиля Ga =13500 H.
При φ =0,5
При φ =0,6
При φ =0,7
Для построения характеристики регулятора достаточно рассчитать значение параметров для характерных точек
"а" и "б".
Точка "а" - момент закрытия поршня. Потребное усилие
корректирующей пружины.
Рк=Р1а*F1-Рф ;
Рф=Сф(fф+fп).
;
Значение
давления закрытия поршня Р1а находится графически, как точка
пересечения прямо из начала координат (угол наклона прямой определяется из
условия Р1=Р2) с графикой оптимального соотношения
давлений в переднем и заднем контурах.
Точка "б"
Р1б
- давление, соответствующее MT1 max при φ = 0,7.
Произведу расчет по выше приведенным формулам для автомобиля с различным
весом.
Ga=11500H
Р1а=1497337.6 Па
Рф=Сф(fф+fп)= 3,5*(17+3)=70 Н
Рк=Р1а*F1-Рф =
1497337,6*0,00015*70=154,6Н
По
данным расчета строится график характеристики регулятора (лист№1).
Рисунок
12 - График характеристики регулятора тормозных сил
Ga=13500H
Р1а=1828671.9
Па
Рф=Сф(fф+fп)=
3,5*(17+3)=70 Н
Рк=Р1а*F1-Рф =
1828671,9*0,00015-70=196,6Н
По
данным расчета строится график характеристики регулятора (лист№1).
Ga=15500H
Р1а=2128320
Па
Рф=Сф(fф+fп)=
3,5*(17+3)=70 Н
Рк=Р1а*F1-Рф =
2128320*0,00015*70=249Н
По
данным расчета строится характеристика регулятора тормозных сил (лист№1).
По
результатам расчетов строится график зависимости потребного усилия
корректирующей пружины Рк и усилия на педали Рп для
включения регулятора от Ga(лист №1).
Рисунок
13 - График зависимости потребного усилия корректирующей пружины и усилия на
педали для включения регулятора.
3.
Тепловой расчет тормозного механизма автомобиля
Кинетическая
энергия автомобиля при торможении расходуется на преодоление следующих
сопротивлений:
1) трения в механических, гидравлических
или электрических
2) тормозах;
3) сопротивления воздуха поступательному
движению автомобиля и вращению колес;
3)сопротивления качению автомобиля;
4) трения в трансмиссии автомобиля;
5) скольжения шин по поверхности дороги
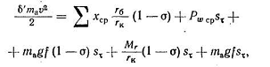
Энергетический баланс торможения при качении всех колес без их блокировки
будет
где б' - коэффициент, учитывающий влияние вращающихся масс (при
отключенном двигателе); mа - масса автомобиля, кг; vt - скорость в начале торможения, м/с; Σxср -среднее значение результирующей
силы трения между барабаном и колодками; rб и rк - радиусы тормозного барабана и
колеса;σ-
коэффициент скольжения
заторможенного колеса; Ршср-- средняя величина силы
сопротивления воздуха на пути торможения автомобиля; sτ-длина тормозного пути; g-ускорение силы тяжести; f- коэффициент сопротивления качению; Мr - средний момент сил трения
трансмиссии, отнесенный к оси колес.
В случае блокировки (юза) всех колес первый, третий и четвертый члены
правой части равенства обращаются в нуль. При этом формула примет следующий
вид:
где Ga - сила тяжести (вес) автомобиля.
Так как член PWcpsτ при имеющих место скоростях движения
весьма мал, то практически вся кинетическая энергия затормаживаемого автомобиля
воспринимается работой трения шин о дорогу, что вызывает их перегрев и
усиленный износ.
Заметное улучшение энергетического баланса торможения и снижение работы,
расходуемой на скольжение шин, может быть достигнуто при применении
противоблокирующих устройств и регуляторов тормозных моментов, подводимых к отдельным
мостам.
Кинетическая энергия движущегося автомобиля при торможении превращается в
тепло. Хороший теплоотвод от тормозных механизмов является важной задачей.
Отвод тепла с поверхности трения может быть улучшен:
· применением для барабанов металлов, обладающих высокой теплопроводностью;
· увеличением поверхности охлаждения за счет оребрения;
· улучшением вентиляции нагреваемых деталей.
Большую износостойкость и лучшие фрикционные качества имеют барабаны,
изготовленные из алюминиевых сплавов, рабочая поверхность которых покрыта путем
распыливания слоем марганцовистой стали или специальным медно-бериллиевым
сплавом.
При единичном торможении баланс тепла выразится формулой
где v1 и v2-начальная и конечная скорости
автомобиля, м/с; mб -масса нагреваемых деталей (в
основном барабана), кг; с - теплоемкость материала барабана. Для чугуна
и стали с = 500 Дж/(кг*К); Ти= Тб-Тв
- разность температур барабана Тб и воздуха Тв;
F6 - поверхность охлаждения барабанов (дисков), м; k - коэффициент теплопередачи между
барабаном и воздухом, Вт/(м2-К); t-время торможения, с.
Кроме
расчета на нагрев определяется величина удельной работы трения Lтр(Дж/см2), приходящаяся на единицу
поверхности фрикционной накладки
Допустимые
величины LTp при скорости движения в начале торможения v = 60 км/ч
(16,7 м/с) составляют 400--1000 Дж/см2 [40-100 (кг-м)/см2]
в зависимости от типа автомобиля и удельной мощности двигателя.
Одним
из показателей для выбора размеров тормозных накладок является масса груженого
автомобиля mа (кг), приходящаяся на 1 м2 или 1 см2
поверхности трения фрикционных накладок. Для легковых автомобилей отношение ma/FΣ составляет
(1,0-2,0) 104 кг/м2.
Исходные
данные: ma=1550 кг; mб=4 кг; с=500 Дж/(кг*К);v=60
км/ч=16,7м/с; ma/FΣ=1.4*104кг/м2; α=120о; вариант
1 v1=120км/ч=33,3м/с;
v2=36км/ч=10м/с;
вариант 2 v1=50км/ч=14м/с;
v2=0км/ч=0м/с;
Вариант
1
Вариант 2
Так
как ma/FΣ=1.4*104кг/м2 но найдем площадь
всех тормозных колодок автомобиля.
Найду площадь 1 колодки,длину барабана, длину охвата колодки и ширину
колобки соответственно.
F1колодки= FΣ/8=0,11/8=0,0125 м2
Lбарабана=2πrб=2*3,14*0,15=0,95 м
L1колодки= Lбарабана* α/360o=0.95*120/360=0.32м
d= F1колодки/ L1колодки=0.0125/0.32=0.04м
Определяется величина удельной работы трения Lтр
4. Расчет
на прочность деталей тормозного механизма
4.1 Расчёт
тормозной колодки
При торможении давление, оказываемое на педаль, передается тормозным
колодкам, которые прижимаются к тормозному барабану или тормозному диску и не
дают ему вращаться. Соединенный с колесом тормозной барабан или тормозной диск
под действием трения замедляет собственное вращение и снижает скорость вращения
колеса.
Рассчитаем тормозную колодку на прочность шва наклёпа тормозной колодки и
удельную нагрузку на тормозные накладки.
4.1.1 Расчет удельной нагрузки на тормозные накладки
,
где ΣFнак- суммарная площадь тормозных
накладок тормозной системы, м2;
Ga - вес автомобиля, Н.
Для автомобиля прототипа диаметр барабана 300 мм, а ширина накладки 40
мм, то найду площадь всех поверхностей накладок:
Lбарабана=2πrб=2*3,14*0,15=0,942 м;
L1накладки= Lбарабана* α/360o=0,942*120/360=0.315 м;
S1
накладки=L1накладки*b=0.315*0.04=0.0126 м2;
ΣFнак= S1 накладки*8 = 8*0.0126=0,1008м2
=15376,73 H/м2=15,3 Н/см2,
Полученное значение удельной нагрузки входит в пределы статистических
данных для легковых автомобилей равные 10…20H/см2
4.2 Расчет удельной работы трения тормозного барабана
,
где
А=mаv2/2-
кинетическая энергия автомобиля при максимальной скорости начала торможения
автомобиля, считая что она полностью поглощается тормозным механизмом.
Рассчитаем
данную величину для автомобиля прототипа.
,
Выше приведенные расчеты входят интервал средних величин значения
удельной работы для легковых автомобилей 5…20 кДж/см2.
4.3 Расчет стяжной пружины
При торможении на стяжную пружину действует сила Р, которая находится по
следующей формуле
Выбираем диаметр проволоки
При с=3; к=1,17
Приняв для пружины хромомарганцевую группу сталей сталь 50ХГ получим
следующий диаметр проволоки:
Приму d = 3 мм
Средний диаметр пружины :
D=c*d=3*3=9мм
Пружина устанавливается с действующей на неё с начальной нагрузки:
Р0=(0,1-0,5)Р=0,4*13241,2=5344,1Н
Рабочее число витков
Примем при работе пружины на растяжение рабочую осадку пружины λр=25 мм
,
где
G-модуль сдвига
Для
пружины растяжения :
Полное число витков:
zn=z+(1,5-2)=8+2=10
Длина пружины в нагруженном состоянии:
L0=znd+2hпр=10*6+2*30=120мм
где hпр- высота прицепа пружины.
Длина пружины при максимальной нагрузке:
L=L0+λр=120+25=145 мм
4.4 Расчет тормозного и остановочного пути
Расчет остановочного пути:
St -
тормозной путь;
v0 - начальная скорость автомобиля;
tрв - время реакции водителя.
Расчет
тормозного пути:
vоус - начальная установившееся скорость;
jз - ускорение замедления;
jус - установившееся ускорение.
Ускорение
замедления:
Ψ - коэффициент сцепления с дорогой;
Pa -
нагрузка на заднюю ось автомобиля;
Начальная
установившееся скорость:
t3 - время запаздывания;
tH -
время нарастания замедления.
Тормозной
путь автомобиля ВАЗ 2121 - 13,5м. Тормозной путь уменьшился на 1,7м;
Остановочный
путь автомобиля ВАЗ 2121 - 15,3 м. Остановочный путь уменьшился на 0,7 м.
Заключение
В
ходе выполнения курсового проекта был разработан и описан привод тормозного
механизма автомобиля ВАЗ-2121. В проекте описаны требования к конструкции
тормозного привода автомобиля, его краткая характеристика, принцип действия и
описание его работы. В расчетной части были определены основные характеристики
тормозного механизма в зависимости от условий эксплуатации, произведены
проверочный расчет стяжной пружины и расчет теплового режима тормозного
барабана. В результате проведенной работы тормозная система была
модернизирована следующим образом: внедрено устройство автоматической
регулировки зазора между тормозными накладками и барабаном, которое включает в
себя колесный цилиндр, поршни и узел регулировки. Узел регулировки содержит
стержень с установленной на нем с натягом разрезной регулирующей втулкой,
ввернутый в один из поршней, а последний связан со вторым поршнем посредством
выступов, имеющихся на втулке и входящих в зацепление с буртиком в днище
второго поршня, с возможностью взаимного осевого перемещения, с возможностью
обеспечения большего усилия по сдвигу втулки относительно стержня, чем
развиваемое усилие стяжной пружины. Технический результат заключается в
снижении расхода тормозной жидкости, уменьшении хода педали и соответственно
тормозного пути, а также в повышении долговечности уплотнительных манжет
После
внедрения в конструкцию тормозного механизма изменений, тормозной путь
уменьшился на 1,7м; остановочный путь уменьшился на 0,7 м.
Список
используемой литературы
1. Атоян К.М. Гидравлические системы автомобилей / К. М.
Атоян, Я. Н. Каминский, А. Д. Старинский. - М.: Транспорт, 1989. - 326 с.
. Автомобильный форум http://auto.bezmani.ru/topic9.html
. Бухарин А. А. Тормозные системы автомобилей / А. А.
Бухарин. - М.: Машизд, 1950. - 286 с.
. Гузенков П. Г. Краткий справочник к расчету деталей машин /
П. Г. Гузенков. - М.: Высшая школа, 1967. - 198 с.
. Гуревич П. В. Гидравлический тормозной привод
автотранспортных средств / П. В. Гуревич. - М.: Транспорт, 1988. - 137 с.
. Гуревич П. В. Перспективный тормозной привод / П. В.
Гуревич. - М.: Автомобильная промышленность, 1985. - 123 с.
. Гуревич П. В. Тормозное управление автомобилем / П. В.
Гуревич, Р. А. Меламуд. - М.: Транспорт, 1978. - 155 с.
. ГОСТ 4365 - 89. Приводы гидравлических и пневмогидравлических
тормозных систем. Технические требования.
. Антонов А. С. Легковые автомобили: конструкция и расчёт /
А.С. Антонов. - М.: Транспорт, 1988. - 316 с.
. Методические указания к расчетным работам по теме: «Рабочие
процессы и расчеты агрегатов автомобиля». - М.: МАДИ (ТУ), 1993. - 20 с.
. Вишняков Н. Н. Автомобиль. Основы конструкции / Н.Н.
Вишняков, В. К. Вахламов, А. Н. Нарбут. - М.: Машиностроение, 1986. - 511 с.
. Осепчуков В. В. Автомобиль. Анализ конструкций и элементы
расчета / В. В. Осепчуков, А. К. Фрумкин. - М.: Машиностроение, 1989. - 304 с.
. Патент № 2302565: «Барабанный колодочный тормоз и тормозная
колодка», Евромаркплат 14.11.2003.
. Патент № 2118725: «Устройство автоматической регулировки
зазора барабанного тормоза и привода стояночного тормоза», ОАО ГАЗ 10.09.1998.