Спектроскопия ядерного магнитного резонанса
Спектроскопия
ядерного магнитного резонанса
Возбуждение ядер в магнитном поле
Спектроскопия ЯМР - важнейший метод определения
структуры органических молекул, включая биоорганические. Ее можно использовать
и для установления структуры неорганических соединений, а так же для
количественного анализа.
Большинство атомных ядер обладает собственным
моментом импульса или ядерным спином p.
Он характеризует магнитный момент ядра. Ядерный спин квантуется в соответствии
с соотношением
где, 
- ядерный спин, h - число
Планка, I - спиновое квантовое число.
Наиболее важные для спектроскопии
ЯМР ядра 1H 13C 19P 31F имеют
ядерный спин равный 
. Существую и ядра с более высокими
спинами, например, 
для 11B и 
для 17O. Спины
некоторых ядер приведены в таблице №1. Следует обратить внимание, что в таблице
не упоминаются изотопы 12C и 16O ,
составляющие основную долю природных углерода и кислорода. Спины этих ядер
равны нулю. Они не обладают магнитным моментом и непригодны для спектроскопии
ЯМР.
Магнитный момент ядра пропорционален
его моменту импульса:
Коэффициент пропорциональности 
называется гиромагнитным
отношением. Он имеет размерность Тл/с (тесла на секунду) и свое значение для
каждого ядра (таблица №1).
Таблица №1. Свойства наиболее важных для
спектроскопии ЯМР ядер
Изотоп Спин Распространенность
в природе, % Гиромагнитное отношение 
, 107 Тл/сОтносительная
чувствительность
(B0
= 4,69
Тл)Частота ЯМР, МГц
|
(B0 = 2,349
Тл)
|
|
|
|
|
1H
|
|
99,98
|
26,752
|
1,0
|
100,0
|
|
10B
|
3
|
19,6
|
2,875
|
0,020
|
10,741
|
|
11B
|
|
80,4
|
8,584
|
0,165
|
32,084
|
|
13C
|
|
1,11
|
6,728
|
0,016
|
25,144
|
|
14N
|
1
|
99,634
|
1,934
|
0,001
|
7,224
|
|
15N
|
|
0,366
|
-2,712
|
0,001
|
10,133
|
|
17O
|
|
0,038
|
-3,628
|
0,029
|
13,557
|
|
19F
|
|
100,0
|
25,181
|
0,833
|
94,077
|
|
29Si
|
|
4,67
|
-5,319
|
0,008
|
19,865
|
|
31P
|
100,0
|
10,841
|
0,066
|
40,481
|
Как уже упоминалось, без внешнего магнитного
поля расщепление уровней энергии ядер не наблюдается. В магнитном поле с
плотность магнитного потока B0
потенциальная энергия ядра равна
Где m
- магнитное квантовое число, которое может принимать значения I,
I - 1, I
- 2, … - I. Таким образом, в
результате расщепления в магнитном поле всего имеется (2I
+ 1) уровней энергии ядра. Они называются зеемановскими ядерными уровнями.
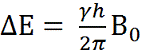
Для наиболее важного в практическом
отношении случая I = 
возможны лишь два значения m, равные +
и - 
.
Соответствующие энергии равны
И
Разность энергий этих уровней (рис.
1) равна
Рисунок 1. Зеемановское расщепление
уровней энергии ядра в магнитном поле.

Эта разность связана с частотой
поглощаемого или испускаемого излучения обычным образом:
Таким образом, при поглощении или
испускании электромагнитного излучения существует следующее соотношение между
частотой излучения и плотностью магнитного тока:
В таблице №2 приведены соотношения
между наиболее часто используемыми в спектрометрах частотами излучения и соответствующим
величинам плотности магнитного тока для ядер 1H и 13C.

, ТлЧастота изменения,
МГц
1HЧастота изменения,
МГц
|
13С
|
|
|
|
1,41
|
60
|
15,1
|
|
1,88
|
80
|
20,1
|
|
2,11
|
90
|
22,63
|
|
2,35
|
100
|
25,15
|
|
4,70
|
200
|
50,3
|
|
5,87
|
250
|
62,9
|
|
7,05
|
300
|
75,4
|
|
9,40
|
400
|
100,6
|
|
11,74
|
500
|
125,7
|
|
14,09
|
600
|
150,9
|
Рисунок 2. Прецессия вращающегося
магнитного ядра под действием магнитного поля
Условие магнитного резонанса
Как можно представить себе поведение ядра в
магнитном поле? Простейшим наглядным образом может служить вращающийся гироскоп
(быстро вращающееся твёрдое тело, ось вращения которого может изменять своё
направление в пространстве), отклоняемый под действием внешней силы. Такую силу
создает магнитное поле, направленное вдоль “оси вращения” ядра. В результате
отклонения этой оси происходит прецессия - явление, при котором ось
вращающегося объекта поворачивается, например, под действием внешних моментов
(рис. 2). В отличие от обычного гироскопа, угол этой прецессии Ѳ строго
определен и, например, для протонов составляет 54 44’.
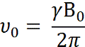
Частота прецессии ядра называется ларморовой
частотой. Ее можно рассчитать по уравнению
Магнитный момент ядра может располагаться вдоль
или противоположно направлению магнитного поля. Разность энергий этих двух
состояний непосредственно связана с величиной угла прецессии (рис. 2):
Для переходов между ядерными магнитными
состояниями правило отбора заключается в том, что
На рис. 3 схематически изображено
распределение ядер со спином 
между двумя энергетическими
состояниями. Заселенность одного состояния (в котором магнитные моменты
ориентированы вдоль поля) выше, чем возбужденного.
Рисунок 3. двойной конус прецессии
для ядра со спином 1/2
Процессы релаксации
В результате поглощения электромагнитного
излучения ядра, находившиеся в основном состоянии, переходят в возбужденное.
Поскольку исходная разница в заселенности уровней незначительна, в результате
поглощения фотонов заселенности могут выровняться. При этом возникает явление
насыщения спиновой системы, и никакой сигнал больше не регистрируется.
Очевидно, что для обеспечения возможности измерения сигнала скорость релаксации
ядер (их возврата в основное состояние) должна быть сравнима или выше, чем
скорость поглощения фотонов. Оптимальное время жизни возбужденного состояния
составляет 0,1 - 10 с.
Релаксация ядер может происходить путем
безызлучательной передачи энергии окружающей среде. При этом число частиц в
основном состоянии возрастает. По традиции окружение ядер в спектроскопии
магнитного резонанса называют решеткой вне зависимость от агрегатного состояния
объекта (твердое, жидкое или газообразное). Поэтому такой механизм релаксации
называется спин-решеточным. В результате спин-решеточной релаксации энергия
возбуждения ядер переходит в тепловую. Помимо спин-решеточной, существует
спин-спиновая релаксация, она осуществляется путем обмена энергией между
ядерными спинами. При этом общая спиновая энергия системы ядер не изменяется.
Применительно к спектроскопии ЯМР обычный способ
регистрации спектров путем непрерывного изменения частоты электромагнитного
излучения (или, в данном случае - магнитного поля) приводят к достаточно низким
значениям отношения сигнал-шум. Для увеличения этого отношения в современных
ЯМР-спектрометрах часто используют особый прием облучения пробы
кратковременными импульсами радиочастотного излучения. Длительность импульса τ
составляет
порядка 10 мкс, а промежуток между импульсами Т - от 1 до 10 с (рис. 4).
Рисунок 4.
Последовательность импульсов радиочастотного излучения в импульсной
ЯМР-спектроскопии
В течение времени Т измеряют затухающий сигнал в
направлении, перпендикулярном приложенному магнитному полю. Такой метод
измерения называют методом спада свободной индукции. Для увеличения отношения
сигнал-шум регистрацию спектра повторяют многократно, а полученные сигналы
суммируют. При этом получают спектр ЯМР во временном представлении.
Рассмотрим подробнее, что же происходит после
наложения импульса (рис. 5).
Первоначально ядра, прецессирующие вокруг оси z,
направленной вдоль магнитного поля, обладают статической намагниченностью М,
направленной вдоль той же оси (рис. 5 (а)). Ориентация моментов отдельных ядер
случайная. Все они вращаются с одной и той же ларморовой частотой.
Рисунок 5. Изменение намагниченности
ядер при наложении 90 -импульса. (а) Статическая намагниченность ядер вдоль оси
z. (б)
Поворот вектора намагниченности на угол α в течении действия импульса.
(в) Поворот вектора на 90. (г) Релаксация после прекращения действия импульса
При наложении импульса вдоль оси x
(В1) возникает намагниченность, направленная вдоль оси y
(рис. 5 (б)). Вектор результирующей намагниченности отклоняется от
первоначального направления на угол α, величина
которого зависит от продолжительности импульса:
Обычно продолжительность импульса выбирают таким
образом, чтобы угол α составлял 90⁰
(рис. 5 (в)). После прекращения импульса ядра начинают релаксировать, в
результате чего по прошествии некоторого времени вектор намагниченность М
возвращается в исходное состояние. При этом намагниченность вдоль оси z
увеличивается, а вдоль оси y
- уменьшается (рис. 5 (г)).
Изменение намагниченности вдоль оси z
соответствует процессу спин-решеточной релаксации. Поскольку эта релаксация
происходит в направлении вдоль магнитного поля, ее еще называют продольной.
Рисунок 6. Процесс релаксации
поперечной намагниченности ядер в плоскости xy
Спин-спиновая релаксация является поперечной.
Для понимания этого процесса рассмотрим вспомогательную систему координат,
вращающуюся вдоль оси z
с ларморовой частотой (рис. 6). В момент прекращения импульса Мz
= 0, все энергетические уровни заселены одинаково, а все спины прецессируют с
одной и той же частотой и в одной и той же фазе (когерентно). Однако из-за
неоднородности магнитного поля когерентность нарушается - индивидуальные
магнитные спины начинают “разбегаться”, и поперечная намагниченность (вдоль оси
y) уменьшается, пока
не исчезнет совсем. Полная же энергия спиновой системы остается неизменной.
Измерить поперечную намагниченность My
можно с помощью детектора, ориентированного вдоль оси x.
На рисунке 7 изображены спектры ЯМР 1H
йодистого метила, зарегистрированные методом спада свободной индукции.
Химический сдвиг
Под влиянием химического окружения ядер частоты
магнитного резонанса несколько смещаются. Причина этого явления состоит в
воздействии дополнительных магнитных полей, индуцируемых в окружающих
электронах и ядрах. Эти магнитные поля направлены противоположно внешнему
магнитному полю и как бы “’экранируют” ядро от него.
Рисунок 7. Спектр ЯМР йодистого
метила (частота 90 МГц) в шкале времени (а) и частот (б).
Таким образом, результирующее
магнитное поле Beff отличается от внешнего поля B0 на
величину индуцированного поля σB0:
Величина σ называется
константой экранирования. С учетом явления экранирования условие резонанса
выглядит как:
Чем больше величина σ, тем сильнее
экранировано ядро от внешнего магнитного поля, тем больше - при постоянной
частоте - должно быть внешнее поле, чтобы наблюдался резонанс. Если же сила
магнитного поля постоянна, то чем больше экранировано ядро, тем меньше
резонансная частота.
Поскольку резонансная частота 
и сила магнитного поля B0
взаимосвязаны, то удобно представлять спектр ЯМР не в абсолютных величинах 
или B0 , а в
относительных единицах.
Для построения такой относительной
шкалы в качестве начала отсчета используют сигнал какого-либо стандартного
вещества. В спектроскопии ЯМР 1H и C13 им обычно
служит тетраметилсилан (ТМС). Он дает единственный сигнал ЯМР, поскольку все
его двенадцать протонов (и четыре атома углерода) эквивалентны. При этом в
молекуле ТМС они экранированы сильнее, чем в большинстве других органических
соединений. ТМС можно непосредственно добавлять к пробе в качестве внутреннего
стандарта. Поскольку температура кипения ТМС составляет всего 26,5⁰C, после
проведения анализа его легко можно удалить из пробы.
Для определения химического сдвига
ядер следует измерить разность между величинами В для изучаемого ядра Х и ТМС:
При использовании шкалы частот 
поступают аналогично:
Полученную разность преобразуют в
безразмерную относительную величину. Она и называется химическим сдвигом δ. При
использовании ТМС в качестве стандарта

и 
Спектр ЯМР представляют в виде
зависимости интенсивности сигнала от безразмерного значения химического сдвига,
выраженного в миллионных долях (м.д.). В соответствии с традицией величины
химических сдвигов возрастают справа налево.
Значения химических сдвигов не
зависят от используемой частоты и абсолютных значений напряженности магнитного
поля. Она является характеристической величиной для данного ядра в данном
химическом окружении. В спектроскопии ЯМР 1H величины химических
сдвигов обычно составляют от 0 до 10, а в спектроскопии ЯМР 13C - от 0 до
220 (в отдельных случаях до 400) м.д.
Рисунок 8. Спектр ЯМР 1H (90 МГц)
для CH3Br, CH2Br2 и CHBr3.
На рисунке 8 показан спектр ЯМР 1H
для бромоформа, бромистого метилена и бромистого метила. Резонансная частота
для неэкранированного протона в этих условиях равна 90 МГц. Измеренные частоты
составляют 90 000 614 Гц для CHBr3.
Отсюда, химический сдвиг протонов составляет
(и аналогично для других соединений).
При более детальном рассмотрении экранирования
ядер следует различать диамагнитную, парамагнитную и анизотропную составляющие.
Диамагнитная составляющая экранирования возникает за счет магнитного поля,
индуцируемого в электронной оболочке под действием внешнего поля и
направленного противоположно ему. Близкие к ядру электроны экранируют сильнее,
чем удаленные.
Диамагнитная составляющая экранирования
уменьшается с ростом электроотрицательности элемента.
Парамагнитная составляющая экранирования
обусловлена возбуждением p-электронов под действием магнитного поля. Ее
действие направленно противоположно действию диамагнитной составляющей. В
спектроскопии протонного магнитного резонанса она не играет никакой роли. В
спектроскопии же ядер 13C
этот эффект является основным.
Наконец рассмотрим анизотропную составляющую
экранирования. Для соединений с двойными и тройными связями величины химических
сдвигов протонов не могут объяснены действием одних лишь локальных диамагнитных
эффектов.
Спин-спиновое взаимодействие
В спектрах ЯМР высокого разрешения можно
наблюдать много деталей, связанных с различными дополнительными
взаимодействиями частиц в молекуле. К ним в первую очередь следует отнести взаимодействия
между ядерными спинами. Они, как правило, передаются по системе химических
связей. В спектрах ЯМР твердых тел можно наблюдать и эффекты, вызванные прямым
взаимодействием спинов через пространство.
Эффекты спин-спинового взаимодействия накладываются
на эффекты экранирования (химические сдвиги) и проявляются в форме расщепления
сигнала на несколько линий. Величина спин-спинового взаимодействия не зависит
от силы внешнего магнитного поля и характеризуется константой спин-спинового
взаимодействия J (Гц).
В спектрах замещенных метанов (рис. 8) не
наблюдается никакого расщепления сигналов. Однако в спектре замешенного этана
наблюдается типичный эффект расщепления линий, вызванный спин-спиновым
взаимодействием протонов (рис. 9).
Рисунок 9. Спектр ЯМР 1H раствора
бромистого этила в дейтерохлороформе (J = 7,5 Гц).
На рисунке 9 сигнал протонов метильной группы
состоит из трех компонентов с соотношением интенсивностей 1 : 2 : 1, а
метиленовой из четырех компонентов с соотношением 1 : 3 : 3 : 1. Происхождение
такой структуры спектра состоит в следующем. Каждый из эквивалентных протонов
метильной группы взаимодействует с двумя протонами метиленовой группы. При этом
существуют четыре возможности для ориентации спинов метиленовых протонов.
Если оба спина ориентированы
противоположно внешнему магнитному полю, то действие поля ослабляется. В этом
случае сигнал наблюдается в области более сильных полей (при меньшем значении
). Наоборот, спины, ориентированные
в направлении поля, усиливают его действие. В случае антипараллельной
ориентации спинов (один - вдоль, другой - противоположно полю) их влияние
отсутствует. Существуют две равноценные возможности для такой ориентации,
поэтому соответствующий сигнал имеет вдвое большую интенсивность.
Для расщепленных (мультиплетных )
сигналов за величину химического сдвига принимают среднее взвешенное (центр
тяжести) химических сдвигов отдельных компонентов. В рассматриваемом случае 
CH3 = 1,67; 
CH2 = 3,43.
Устройство ЯМР-спектрометра
Спектрометр ЯМР состоит из держателя
пробы, магнита, одного или нескольких радиочастотных излучателей и приемника
радиочастотного излучения (рис. 10).
Рисунок 10. Схема устройства
ЯМР-спектрометра
Образец помещают в небольшую пробирку или ампулу
и располагают между полюсами магнита. Для обеспечения однородности поля ампулу
вращают вокруг вертикальной оси. Как правило, излучаемое вещество растворяют в
растворе с малой вязкостью. Распространенными растворителями являются CCl4,
CS2 и дейтерированные
растворители - дейтерохлороформ CDCl3,
дейтеробензол C6D6.
С помощью специальной аппаратуры можно изучать и
твердые образцы. В спектроскопии на ядрах 13C
чаще всего применяют дейтерохлороформ. При этом резонансный сигнал ядер
дейтерия используют в качестве опорного сигнала для стабилизации соотношения
сила поля - частота.
Для возбуждения ядер и регистрации сигнала
служат, соответственно, излучатель и приемник излучения, работающие в
высокочастотном радиоволновом диапазоне.
Исторически наиболее ранний способ регистрации
спектров ЯМР состоял в непрерывном изменении частоты излучения или силы
магнитного поля. В настоящее время преобладают импульсные спектрометры с
Фурье-преобразованием.
Применение спектроскопии ЯМР 1H
Самая важная область применения спектроскопии
ЯМР на ядрах 1H - установление
структуры органических, биоорганических и металлоорганических соединений.
Основными данными, которые можно извлечь из спектров первого порядка для
решения этой задачи, являются следующие.
· Число сигналов химически
неэквивалентных протонов.
· Величины химических сдвигов
сигналов.
· Мультиплетности групп пиков.
· Значения констант спин-спинового
взаимодействия.
· Площади пиков как показатели
относительного числа протонов.
Диапазоны примерных значений химических сдвигов
протонов для различных структурных фрагментов приведены на рис. 11. В качестве
примера рассмотрим интерпретацию изображенного на рис. 12 спектра ЯМР
неизвестного вещества. Оно представляет собой бесцветную жидкость, состоящую
только из углерода и водорода и являющуюся одним из изомеров триметилбензола C9H12.

Наличие синглетного пика при δ
= 7,2 м.д.
указывает на ароматических характер соединения. Относительная интенсивность
этого пика равна 5, что свидетельствует о наличии пяти протонов, связанных с
бензольным кольцом. Таким образом - это монозамещенный бензол. При δ
= 2,9 м.д.
находиться мультиплет, состоящий из 7 компонентов (наблюдается при
соответствующем увеличении масштаба), а при δ = 1,2 м.д.
- дублет. Если принять во внимание их относительные интенсивности (1 и 6
соответственно), то легко нарисовать структуру соединения.
Таким образом, неизвестное соединение имеет
следующее строение:
Рисунок 12. Спектр ЯМР 1H
неизвестного соединения.
Это кумол - один из изомеров триметилбензола,
применяемый для промышленного получения фенола.
Количественный анализ
Определение концентрации веществ в растворе
методом ЯМР основано на наличии прямо пропорциональной зависимости между
площадью пика и числом соответствующих ядер. Для построения градуировочной
зависимости используют внутренние стандарты. Необходимо чтобы пики внутреннего
стандарта не перекрывались с другими сигналами.
Для определения содержания с использованием
внутреннего стандарта служит следующая формула:

,
где m - масса
вещества,
N - число
протонов в группе, для которой измерен сигнал,
A - площадь
пика,
M - молярная
масса вещества,
а индексы x и ст
обозначают определяемое вещество и внутренний стандарт.
В качестве внутреннего стандарта
можно использовать и сам растворитель, например, бензол или воду. Особенно
удобны в качестве внутренних стандартов кремнийорганические соединения,
поскольку их сигналы расположены в области сильных полей и редко перекрываются
с другими сигналами.
Спектроскопию ЯМР 1H можно
использовать для определения содержания отдельных функциональных групп,
например, спиртовых, фенольных или альдегидных.
Применение спектроскопии ЯМР 13C
Природное содержание изотопа 13C составляет
1,1%. Ядра 13C обладают
меньшим гиромагнитным отношением по сравнению с 1H. В силу
этих причин чувствительность в спектроскопии ЯМР 13C в 6000 раз
ниже, чем в спектроскопии 1H. Только развитие производства
приборов с Фурье-преобразованием позволило сделать спектроскопию ЯМР 13C
повседневным методом исследования.
Особое значение спектроскопии ЯМР 13C состоит в
том, что она дает непосредственную информацию о строении углеродного скелета
молекулы (а не ее периферии, как спектроскопии ЯМР 1H). Диапазон
химических сдвигов для ядер 13C достигает 200 м.д., что существенно
шире, чем для протонов.
В отличие от спектроскопии ЯМР 1H, в
спектроскопии на ядрах 13C гомоядерные спин-спиновые
взаимодействия не играют ни какой роли, поскольку вероятность одновременного
нахождения двух ядер 13C в одной молекуле ничтожно мала.
Развязка протонов
Основную роль в спектроскопии ЯМР 13C играют
спин-спиновые взаимодействия ядер 13C и 1H, резко
усложняющие спектр. Для упрощения спектра и облегчения его интерпретации
используют методы, называемые двойным резонансом. К ним относят широкополосной
и внерезонансной развязки.
Широкополосная развязка. В этом
методе спин-спиновые взаимодействия ядер 13C и 1H подавляют
путем одновременного облучения пробы источником широкополосного радиочастотного
излучения в области, соответствующей возбуждению всех присутствующих в молекуле
протонов. При этом происходит насыщение спинов протонов, и взаимодействия
исчезают.
На рис.13 схематически изображен
эффект широкополосной развязки. Видно, что в этом случае спектр ЯМР сильно
упрощается по сравнению с исходным. При этом, однако, вся информация о
взаимодействиях 13C - 1H теряется.
ядерный
магнитный поле молекула протон
Рисунок 13. Различные методы
развязки от протонов в спектроскопии 13C в случае
прямых взаимодействий спинов 13C и 1H.
В этом методе применяют дополнительное облучение
образца в области низких частот (1000-2000 Гц). При этом константы
спин-спинового взаимодействия уменьшаются (рис. 13), и в спектре наблюдают лишь
наиболее сильные взаимодействия.
Внерезонансная развязка бывает очень полезна при
исследовании сложных спектров, особенно высоких порядков. В исходном виде такие
спектры ввиду наличия множества налагающихся друг на друга мультиплетов часто
практически не поддаются интерпретации.
Ядерный эффект Оверхаузера.
При использовании широкополосной развязки
интенсивности сигналов ядер 13C
возрастают по сравнению с теоретическими. Это явление называется эффектом
Оверхаузера. Оно обусловлено непосредственным магнитным взаимодействием ядер
протонов и соседних ядер 13C.
Результатом является увеличение заселенности нижних энергетических уровней
ядер.
Рисунок 14. Химические сдвиги ядер 13C в
органических соединениях.
Возрастание интенсивностей сигналов вследствие
ядерного эффекта Оверхаузера позволяет соответственно сократить время
регистрации спектров. Однако при этом нарушается пропорциональная зависимость
между площадью пика и числом ядер, что препятствует количественному анализу.
Установление структуры
В спектроскопии ЯМР 13C
величины химических сдвигов используют для установления структуры органических
и биоорганических молекул точно таким же способом, как и в спектроскопии ЯМР 1H.
При этом информацию о спин-спиновых взаимодействиях используют редко. Типичные
диапазоны химических сдвигов в спектроскопии ЯМР на ядрах 13C
приведены на рис.14.
Методы интерпретации спектров с точки зрения
химического окружения ядер в спектроскопии ЯМР 13C
и 1H весьма схожи.
Однако в данном случае взаимодействия не ограничиваются ближайшим окружением, а
влияния заместителей на величины химических сдвигов иногда прослеживаются
вплоть до пятого по счету атома углерода.
Двумерная спектроскопия ЯМР
Под двумерной спектроскопией ЯМР понимают метод
исследования, результатом которого являются зависимости интенсивностей сигналов
ЯМР от двух частотных переменных. Графически двумерные спектры ЯМР представляют
в виде трехмерных диаграмм.
Спектроскопия ЯМР других ядер
Методом ЯМР можно изучать любые ядра, спин
которых отличен от нуля. Всего известно около 200 ядер, обладающих магнитным
моментом. Для исследования структуры наряду с ядрами 1H
и 13C чаще всего
используют ядра 11B, 19F
и 31P.
Список литературы:
1. Владимир Павлович Васильев
“Теоретические основы физико-химических методов анализа”. Учебное пособие для
студентов ВУЗов. М.: Высшая школа, 1979. - 184 с., ил.
. Маттиас Отто “Современные
методы аналитической химии” (в двух томах). Том 1. М.: Техносфера, 2003. -
416с., ил.