Исследование замещенных тиониланилина в качестве диеновых компонентов реакции Дильса-Альдера
МИНИСТЕРСТВО ОБРАЗОВАНИЯ И НАУКИ РФ
ФЕДЕРАЛЬНОЕ ГОСУДАРСТВЕННОЕ
АВТОНОМНОЕ ОБРАЗОВАТЕЛЬНОЕ УЧЕРЕЖДЕНИЕ
ВЫСШЕГО ПРОФЕССИОНАЛЬНОГО ОБРАЗОВАНИЯ
«БАЛТИЙСКИЙ ФЕДЕРАЛЬНЫЙ УНИВЕРСИТЕТ
ИМЕНИ ИММАНУИЛА КАНТА»
ХИМИКО - БИОЛОГИЧЕСКИЙ ИНСТИТУТ
Кафедра химии
КВАЛИФИКАЦИОННАЯ РАБОТА
ИССЛЕДОВАНИЕ ЗАМЕЩЕННЫХ ТИОНИЛАНИЛИНА
В КАЧЕСТВЕ ДИЕНОВЫХ КОМПОНЕНТОВ РЕАКЦИИ ДИЛЬСА - АЛЬДЕРА
по специальности 020100 - химия
Калининград 2013
Оглавление
Введение
1. Литературный обзор
1.1 Сульфамидные препараты
1.2 Реакции Дильса Альдерса
1.3 Спектрофотометрия инфракрасного диапазона
1.4 Спектроскопия ядерного магнитного резонанса
2. Методика эксперимента
2.1 Получение п-нитротиониланилина
2.2 Получение и выделение аддукта 1 п-нитротиониланилина и
мирцена
2.3 Получение и выделение аддукта 2 п-нитротиониланилина
и б-пинена
2.4 Получение и выделение
аддукта 3 п-нитротиониланилина и в-пинена
2.5 Получение и выделение
аддукта 4 3-карена и п-нитротиониланилина
.6 Получение аддукта 5
п-нитротиониланилина с норборненом
.7 Получение аддукта 6
п-нитротиониланилина с норборнадиeном
2.8 Синтез м-тионилтолуидина
2.9 Получение аддукта 7 м-тионилтолуидина с норборненом
2.10 Получение аддукта 8 м-тионилтолуидина с норборнадиeном
.11 Получение и выделение аддукта 9 м-тионилтолуидина и мирцена
.12 Получение аддукта 10 м-нитротиониланилина с норборненом
3. Результаты эксперимента
и их обсуждение
3.1 Характеристика
оборудования
3.2 Рассмотрение данных для
аддуктов мирцена и п-нитротиониланилином
3.3 Рассмотрение данных для аддуктов п-нитротиониланилина
и б-пинена
3.4 Рассмотрение данных для аддуктов п-нитротиониланилина и в-пинена
.5 Рассмотрение данных для аддуктов 3-карена и
п-нитротиониланилина
.6 Рассмотрение данных для аддуктов п-нитротиониланилина с
норборненом
.7 Рассмотрение данных для аддуктов п-нитротиониланилина с
норборнадиeном
3.8 Рассмотрение данных для аддуктов м-тионилтолуидина с
норборненом
3.9 Рассмотрение данных для аддуктов м-тионилтолуидина с
норборнадиeном
.10 Рассмотрение данных для аддуктов м-тионилтолуидина и
мирцена
.11 Рассмотрение данных для аддуктов м-нитротиониланилина с
норборненом
Основные итоги и выводы
Библиографический список
Приложения
Введение
В данной работе производился
синтез сульфамидных препаратов нового типа полученных реакцией
циклоприсоединения по Дильсу-Альдеру. Выбор исходных веществ обусловлен их
достаточно высокой реакционной способностью в реакциях циклоприсоединения с
различными диенофилами. На основе полученных аддуктов был синтезирован ряд
производных.
Целью данной квалификационной
работы является:
· Синтез соединений с прогнозируемой структурой;
· Определение строения полученных соединений методами ИК и ЯМР
спектроскопии.
Задачи:
· проведение синтеза в максимально мягких условиях с целью
уменьшения образования побочных продуктов;
· проведение реакций с соблюдением принципов «Green Chemistry»[1,2];
· выделение и очистка целевых продуктов синтеза;
· проведение Физико-химического анализа;
· подтверждение структуры полученного вещества;
· обработка результатов.
Кроме того, был произведен краткий литературный обзор, включающий в себя
описание механизма и кинетики реакции циклоприсоединения по Дильсу-Альдеру, а
также данные по исходным терпенам и обзор физических методов исследования,
применяемых в ходе работы.
Порядок изложения материала в данной работе продиктован хронологической
последовательностью выполнения работ.
1. Литературный обзор
.1 Сульфамидные препараты
Сульфамидные препараты - эффективные
химиотерапевтические средства, которые первыми стали систематически
использоваться для предупреждения и лечения бактериальных инфекций у человека.
Первоначально, с момента синтеза в 1908 г. сульфаниламида, и до 1932 г.
исследования этого класса соединений были связаны с химией красителей. Для
увеличения стойкости коричневого красителя хризоидина в конце 20-х - начале
30-х годов специалисты фирмы И. Г. Фарбениндустри (Германия) синтезировали в
числе других его производных и сульфаниламидный аналог хризоидина. Полученные
вещества, помимо прямого назначения, были подвергнуты скринингу на
антибактериальное действие in vitro и оказались неактивными. Однако в
экспериментах на мышах, зараженных смертельной дозой гемолитического
стрептококка, получившее название пронтозил, спасло от гибели более 80 %
животных, а в клинике проявило высокую эффективность при таких тяжелых
стрептококковых инфекциях, как родовой сепсис. Такая особенность биологического
действия оказалась связана с ферментативным расщеплением в организме
млекопитающих по N = N-связи с образованием сульфаниламида,
ответственного за химио-терапевтическое действие препарата, и второго вещества,
неактивного в отношении микроорганизмов, но токсичного для человека и
животных,- 1,2,4-триаминобензола. Синтетический сульфаниламид показал высокий
терапевтический эффект в опытах in vivo и подавлял развитие микроорганизмов in
vitro. Положительные результаты лечения общего сепсиса и менингококковых
инфекций послужили толчком к широкому использованию сульфамидов в клинике.[3]
В этот период, продолжавшийся до первой половины 40-х
годов, было синтезировано и изучено несколько тысяч разнообразных аналогов
сульфамидных препаратов. Сформулирована общая гипотеза о механизме действия на
микробную клетку сульфаниламида как конкурентного антагониста п-аминобензойной
кислоты, необходимого компонента нормального фолиевого обмена. В дальнейшем
было установлено, что сульфаниламидные препараты ингибируют
дигидрофолатсинтетазу. Выяснены определенные закономерности связи
Строения и биологической активности в ряду сульфаниламидов: показана
необходимость наличия в их структуре сульфамидной группы, связанной через атом
серы с бензольным кольцом, в п-положении которого находится свободная NН-группа. Последняя может быть
замещена только такими остатками (ациламино-, азо- и др.), которые в организме
способны превращаться в NН2-группу.
Другие варианты замещения первичной ароматической аминогруппы, ее перемещение в
иные положения бензольного ядра, а также введение в это ядро любых
дополнительных заместителей приводят к потере антибактериальных свойств.
Заместители у азота сульфамидного остатка, не подавляя химиотерапевтической
активности, влияют на спектр, продолжительность и силу антимикробного действия.
[2] Это влияние подробно рассмотрено в ряде обзоров , в которых, в частности,
подчеркивается наибольшая эффективность сульфаниламидодиазинов и
пролонгирование их действия при введении в диазиновую часть молекулы
метокси-групп .
Наряду с сульфаниламидами общего действия были созданы
препараты, эффект которых локализуется в определенных органах и системах.
Найдены вещества с уменьшенной абсорбируемостью из желудочно-кишечного тракта
для лечения инфекционных заболеваний пищеварительных органов, препараты, хорошо
растворимые в моче с малой ренальной токсичностью для борьбы с инфекциями
мочевых путей и др.
Появление к середине 40-х годов большого числа
суль-фаниламидоустойчивых штаммов микроорганизмов, широкое внедрение в
медицинскую практику высокоэффективных антибиотиков вызвало определенное
снижение интереса к сульфаниламидам, «вытеснение» их антибиотиками. Этот период
продолжался до середины 50-х годов, когда недостатки лечения антибиотиками
(побочные реакции, необходимость частых введений препаратов парентерально,
появление антибиотикоустойчивых штаммов) привели к «ренессансу»
сульфаниламидотерапии.
Особенно возрос интерес к сульфаниламидам в связи с
созданием первого пролонгированного препарата этого класса - сульфапиридазина
(кинекса). За короткий срок (с 1956 по 1965 г.) были внедрены в медицинскую
практику 12 сульфаниламидов с полупериодом выведения из организма до 60-120 ч,
что создало возможность принимать эти препараты от 1 раза в сутки до 1 раза в
неделю[4].
Большое внимание уделяется комбинированному применению
сульфаниламидов с различной длительностью действия, комбинации сульфаниламидов
с антибиотиками, использованию серебряных солей сульфаниламидов.
Важную роль в развитии современной
сульфаниламидотерапии сыграло открытие синергизма сульфаниламидных препаратов и
производных диаминопиримидина, в частности триметоприма. При этом за счет
ингибирования ферментов двух последовательных стадий фолиевого обмена
микроорганизмов - дигидрофолатсинтетазы, сульфаниламидами и
дигидрофолатредуктазы - диамино-пиримидинами имеет место не только усиление
антимикробного действия, но и переход от бактериостатического эффекта к
бактерицидному:
В Советские времена исследования в области
антибактериальных сульфаниламидных препаратов начались в 1935 г. Уже через
несколько месяцев после первых публикаций о пронтозиле во ВНИХФИ был разработан
метод синтеза этого препарата, получившего в СССР название красный стрептоцид,
и с 1936 г. было налажено его промышленное производство. Одновременно началось
изучение зависимости между строением и биологической активностью в ряду
сульфамидных производных. В результате были созданы оригинальные препараты
сульфантрол, сульцимид и дисульформин:
Сульфантрол, показавший хорошие результаты при лечении
нутталиоза в ветеринарной практике, и дисульформин , применяющийся при острой и
хронической дизентерии, производятся химико-фармацевтической промышленностью
СССР и в настоящее время.
Большая работа была проведена по созданию в нашей
стране производства наиболее эффективных известных сульфаниламидных препаратов,
выбору исходного сырья для их промышленного получения, совершенствованию путей
синтеза и технологии.
В качестве сырья для выпуска сульфаниламидов в промышленности
были изучены, кроме ацетанилида, применяемого за рубежом, также форманилид,
дифенил-мочевина, хлорбензол, нитробензол, фе-нилуретилан. В связи с
доступностью и дешевизной фенилуретилана, значительно большей устойчивостью
фенилуретилансульфохлорида по сравнению с другими арил-сульфонилхлоридами к
сушке, хранению и транспортировке многотоннажное производство сульфаниламидных
препаратов в СССР основывается на фенилуретилане. При конденсации
фенилуретилансульфохлорида с аминогете-роциклами наряду с проведением процесса
в пиридине был разработан метод взаимодействия в водной среде. Работы по
совершенствованию сульфаниламидных производств, химиотерапевтическим и
клиническим исследованиям в этой области обобщены в ряде обзоров.
1.2 Реакции Дильса-Альдера
Присоединение олефиновых систем к диенам является очень ценным методом
построения шестичленных карбоциклических соединений. Это превращение известно
как реакция Дильса-Альдера [5]. Открыта эта реакция была еще в 1928 г. [4]. В
1950 г. Отто Дильс и Курт Альдер были удостоены Нобелевской премии по химии за
это открытие. С тех пор диеновый синтез нашел огромное применение в
препаративной органической химии [5,6]. Реакция диенового синтеза применяется
для получения разнообразных промежуточных продуктов органического синтеза, для
анализа и разделения непредельных соединений. В ряде случаев для получения и
очистки органических веществ используется обратимость реакции диеновой
конденсации [7].
Интерес представляет не только сама реакция, но и механизм, которому посвящено
большое число специальных исследований [8].
Изучение механизма важно для предсказания строения образующихся при
реакции продуктов. Отличительной особенностью реакции Дильса-Альдера является
её избирательность, что имеет очень широкое и общее значение для всей
органической химии.
Первая попытка объяснения механизма реакции Дильса-Альдера была сделана в
1935 году Вассерманом [9]. Он предположил согласованный механизм с длиной
образующихся С-С связей в переходном состоянии 2,0 Е. Вскоре после этого Литтман
[10] предположил наличие дирадикального механизма в реакциях диенового синтеза.
Асинхронный согласованный механизм был предложен Вудвордом и Катцем [8]
на основе их исследований продуктов перегруппировки Коупа и реакций
циклоприсоединения (рис. 1.1). Как видно из схемы, оба вещества, которые
образуются в результате перегруппировки, могут быть получены реакцией
Дильса-Альдера из одних и тех же исходных реагентов. На основе изучения этих
реакций, Вудворд и Катц сделали вывод, что циклоприсоединение проходит в две
стадии, каждая из которых является отдельным, но пересекающимся процессом.
Рис. 1.1. Взаимодействие по реакции Дильса-Альдера и перегруппировка
Коупа
Реакция Дильса-Альдера стала одной из первых, к которой были применены
методы новой в то время молекулярной механики. Еще в 1938 г. Эване и Вархурст
сообщили о своих вычислениях энергии активации циклоприсоединения по
Дильсу-Альдеру [11]. В качестве модельных соединений ими были выбраны
бутадиен-1,3 и этилен. На основе проведенных теоретических изысканий была
вычислена энергия активации равная 36 ккал/моль. Согласно Эвансу, электронная
структура переходного состояния схожа со структурой бензола. Это была первая
попытка количественного описания переходного состояния реакции Дильса -
Альдера.
В период с 1965 по 1969 гг. Вудворд и Гофман разрабатывали концепцию
перициклических реакций. Они открыли принцип соответствия орбитальной
симметрии, согласно которому разрешенные по симметрии реакции должны быть
согласованными, в то время как несогласованные таковыми быть не могут [12].
Принцип Вудворда-Гофмана и гласит: согласованные реакции, в которых заполненные
молекулярные орбитали исходных реагентов и продуктов полностью соответствуют
друг другу по свойствам симметрии (коррелируют между собой), протекают легче,
чем реакции, в которых указанное соответствие нарушается.
Важность симметрии орбиталей была также отмечена в работах К. Фукуи.
[13,14] Он сделал фундаментальное обобщение, что большинство химических реакций
должно происходить при условии и в направлении максимального перекрывания ВЗМО
и НСМО реагирующих частиц.
Подход к селективности реакций циклоприсоединения заключался в развитии
идей Эванса о протекании этих процессов через ароматические электронные
структуры. Так, Дьюаром было выведено «правило Эванса»: перициклические реакции
в термических условиях идут через ароматическое переходное состояние [15]. В
работах Цимермана разрешенность реакций зависит от топологической природы
переходного состояния: если число электронов в системе Хюккеля равно (4n+2), тогда реакция разрешена [16].
Более поздние квантово - химические расчеты ab initio на модели реакции бутадиена и этилена с полной
оптимизацией геометрии путем использования градиентов энергии системы показали,
что реакция все же идет по согласованному синхронному механизму [17].
Впоследствии результаты этой работы были подтверждены [18]. Более того, расчеты
проведенные Дьюаром и сотр. по новому полуэмпирическому методу также
предсказали согласованный и симметричный путь реакции [19]. Таким образом,
экспериментальные и теоретические доказательства сошлись к 1986 г. на
симметричном согласованном механизме для реакции Дильса-Альдера.
Реакции Дильса-Альдера можно проводить в присутствии катализаторов.
Таковыми являются кислоты Льюиса. Наилучшими катализатором по сумме выхода
продукта и селективности реакции являются кислоты средней силы, такие как ZnCl2. Слабые кислоты (CuCl2) в недостаточной
мере катализируют затрудненные реакции, а также дают невысокий показатель селективности.
Сильные же кислоты (AlCl3), давая самую высокую
региоселективность, в то же время заметно снижают выход, катализируя побочные
реакции полимеризации по двойным связям. Тем не менее, сильные кислоты могут
применяться с малоактивными реагентами.
1.2 Спектрофотометрия инфракрасного диапазона
Инфракрасное (ИК) излучение относится к той части электромагнитного
спектра, которая находится между видимой и микроволновой областями. В
органической химии наибольшее применение нашла только его ограниченная часть
между 4000 и 400 см-1[33]. При взаимодействии органических молекул с
излучением происходит возбуждение их колебательных движений (уровней).
При колебаниях атомов в молекуле происходит колебательное изменение длин
химических связей и колебательное изменение валентных углов. Изменения
происходят с определенной частотой. Молекулярные колебания подразделяются на
два типа:
1. Валентные ( stretching) (изменения длин связей, н) - это такое ритмическое движение вдоль
связи, когда межатомное расстояние периодически увеличивается или уменьшается.
. Деформационные (bending)
(изменения валентных углов, д) - это колебания, заключающиеся в изменении
валентного угла (т.е. угла, образованного связями у общего атома).
Валентные колебания могут быть симметричными (нs)
и асимметричными (нas); классификация деформационных колебаний более
разнообразна и менее строга, поэтому ее часто не определяют [33].
В обычных условиях молекула находится в основном
колебательном состоянии. При поглощении ею кванта энергии инфракрасного диапазона,
молекула переходит в первое возбужденное колебательное состояние - возрастает
амплитуда колебаний. Энергия колебательного перехода или частота данного
колебания прямо пропорциональна кратности связи и обратно пропорциональна массе
атомов, связанных этой связью. Интенсивность соответствующего перехода (полоса
поглощения) прямо пропорциональна полярности связи. Все это относится к
валентным колебаниям [34].
Одинарные связи имеют силовые валентные постоянные
менее 8·105, двойные связи (8-12)·105 , а тройные связи
(13-18)·105 дин/см.
Энергия колебательного перехода или частота данного
колебания прямо пропорциональна кратности связи и обратно пропорциональна массе
атомов, связанных этой связью. Интенсивность соответствующего перехода (полоса
поглощения) прямо пропорциональна полярности связи. Все это относится к
валентным колебаниям.
При облучении вещества инфракрасным светом с
непрерывно меняющейся частотой определенные участки спектра излучения должны
поглощаться молекулой, вызывая увеличение амплитуды колебания соответствующих
связей. Луч, проходящий через вещество, ослабляется в области поглощения и при
регистрации интенсивности его после прохождения через образец в зависимости от
волнового числа (или длины волны) записывается инфракрасный спектр.
Колебательные движения атомов в молекулах происходят
таким образом, что колебания отдельных пар атомов, образующих химические связи
(>C=C<, >C=O, -C≡N, -OH), или групп атомов, образующих
характерные функциональные группы (-SO2, -NO2) в первом
приближении можно считать независимыми. Каждая функциональная группа имеет
собственную, ей присущую частоту колебаний, которая очень незначительно
меняется при переходе от молекулы к молекуле, называемую характеристической
частотой данной группы. Для анализа органических соединений обычно используется
инфракрасный диапазон излучения от 650 до 5000 см-1.
Частота колебания группы атомов прямо пропорциональна
кратности их связи и обратно пропорциональна приведенной массе атомов. Это
значит, что характеристические частоты валентных колебаний функциональных групп
с участием легких атомов (-О-Н , >N-H) будут иметь большие значения
(3000-5000 см-1), чем функциональные группы тяжелых атомов (500-700
см-1 для C-C-Cl, -C-S-). В свою очередь, частоты колебания тройных
связей (2000-2300 см-1) будут больше частот колебаний двойных связей
(1500-1800 см-1), а последние больше частот колебаний одинарных
связей (500-1200 см-1) атомов одной и той же массы.
Частота валентных колебаний значительно превосходит
частоту деформационных колебаний (∆н ≈ 1000 см-1).
За счет взаимодействия функциональных групп друг с
другом и соответственно взаимодействия колебаний между собой в ИК-спектрах
молекул наблюдается ряд дополнительных полос (обычно существенно меньшей
интенсивности) или аномальных изменений основных полос поглощения, которые
имеют следующую классификацию:
. Обертоны, имеющие удвоенную частоту по
сравнению с нормальным колебанием (2н).
. Составные частоты, являющиеся суммой или
разницей частот двух основных колебаний (н1+н2 и н1-н2).
. Взаимодействие двух близко расположенных
групп близкой симметрии с близкими частотами основных колебаний часто приводит
к существенному смещению их характеристических полос поглощения и изменению
интенсивности.
. Резонанс Ферми проявляется в аномальном
увеличении интенсивности полосы обертона или составной частоты, если она
расположена близко от полосы основного колебания.
Основное правило отбора следующее: чтобы молекула
поглощала энергию инфракрасного излучения, при колебаниях молекулы должен
меняться ее дипольный момент. Поэтому те колебания, которые не меняют
распределение заряда в молекуле, в ИК-спектрах не проявляются. Второе правило
отбора гласит, что при поглощении ИК излучения реализуются только переходы на
соседние колебательные уровни, т.е. н0→1, а перехода н0→2
и т.д. не имеют места.
ИК спектры органических соединений могут быть
измерены: в газе (для летучих веществ), в жидком состоянии, в твердой фазе
(кристаллическое вещество смешивают с порошком КВr и прессуют из этой смеси таблетку, или растирают кристаллическое
вещество с вазелиновым маслом до однородного состояния) и в растворе. При
применении последнего способа регистрации ИК спектра необходимо всегда знать
области спектра, в которых поглощают растворители. Вода как растворитель в ИК
спектроскопии не используется, поскольку кюветы инфракрасных спектрометров
изготавливаются из неорганических солей (КВr, NaCl, LiF).
Наиболее высокой характеристичностью обладают
валентные колебания групп С-Н. Валентные колебания связей С=С часто бывают
слабыми, если молекула симметрична. Деформационные колебания групп С-Н в
олефинах и ароматических соединениях несут информацию о типах замещения.
По интенсивности колебания групп ≡С-Н часто
относятся к средним, но иногда являются очень интенсивными.
Спирты, фенолы и амины, характеризуются наличием групп
-О-Н и -N-Н. Валентные колебания этих групп обычно находятся в области 3200
-3600 см-1, они достаточно интенсивны, но их интенсивность, как и
значения частот, очень изменчивы из-за способности этих групп образовывать водородные
связи.
Двойную связь углерод-кислород, карбонильную функцию
(>С=0), содержат довольно обширные группы соединений. Полоса поглощения
валентного колебания карбонильной группы имеет диапазон частот от 1600 до 1900
см-1. Чувствительность этого вида колебаний на ближайшие структурные
изменения позволяет получать информацию о таких деталях строения молекул, как
сопряжение и конформация, помогает при определении строения неизвестных
соединений.
Полосы поглощения гетероатомных групп, н(NO2)
и н(SO2), как симметричные, так и ассиметричные, имеют высокую
интенсивность и легко узнаваемы, они находятся в области спектра(1100-1500 см-1).
В тех случаях, когда соединение не имеет достаточно
характеристичных групп, часто используют метод «отпечатков пальцев». Суть его
заключается в сравнении ИК-спектра неизвестного вещества со спектром вещества
предполагаемой структуры.
.3 Спектроскопия ядерного магнитного резонанса
Спектроскопия ядерного магнитного резонанса (далее
ЯМР) по сути является одним из методов абсорбционной спектрометрии подобно
инфракрасной и ультрафиолетовой спектроскопии. В соответствующих условиях в
магнитном поле образец может поглощать электромагнитное излучение в
радиочастотной области, причём частоты поглощения определяются свойствами
образца. График в координатах частота поглощения - интенсивность сигнала
представляет собой спектр ЯМР [33].
Все ядра несут заряд. В некоторых ядрах этот заряд «вращается»
относительно оси ядра, и это вращение ядерного заряда генерирует магнитный
диполь вдоль оси. При вращении положительно зараженного ядра вокруг собственной
оси индуцируется некоторое локальное магнитное поле, т. е. ядро обладает
магнитным моментом. Вектор ядерного магнитного момента, согласно законам
микромира, во внешнем магнитном поле может занимать только определенные
разрешенные (квантованные) ориентации, которые различаются по энергии. Угловой
момент вращающегося заряда может быть описан его спиновым квантовым числом I.
Переход ядра из одного энергетического состояния в другое связано с
переориентацией его магнитного момента (спина ядра) относительно силовых линий
внешнего, магнитного поля. Такие переходы можно вызвать, если воздействовать на
ядро переменным магнитным полем H0 с частотой н.
Разность энергий двух уровней записывается как:
Где
h - постоянная планка, 
-
напряжённость магнитного поля. Фундаментальное уравнение ЯМР, связывающее
прикладываемую частоту (
) с
величиной напряжённости магнитного поля, записывается виде:
Существенным
условием наблюдения ядерных переходов является наличие у ядра ненулевого
магнитного момента. К таковым относятся 1Н, 13С, 31Р,
19F и др., т.е. ядра с нечетным числом протонов и
нейтронов. Такие ядра имеют не нулевой суммарный спиновый момент - спиновое
квантовое число как протонов, так и нейтронов равно 1/2, и в зависимости от
того, спарены в ядре спины этих частиц или нет, ядро может характеризоваться
нулевым или ненулевым ядерным спиновым квантовым числом J.
Ядра с четным числом нейтронов и протонов обычно не имеют магнитного момента,
так как суммарный спиновый момент таких ядер равен нулю.
Очень
важно для органической химии, что обычный изотоп водорода 1Н
является магнитным, тогда как обычный изотоп углерода 12С магнитного
момента не имеет, а содержание магнитного изотопа 13С в естественных
образцах соединений, к сожалению, невелико ( ~ 1%). Поэтому ядерные переходы
(ядерный магнитный резонанс) осуществить на ядрах водорода технически
значительно проще. Для получения информации о ядерном резонансе на ядрах 13С,
требуется всегда большее количество вещества, более совершенная аппаратура или
специальные синтезы для обогащения соединений магнитно-активным изотопом 13С.
Магнитный резонанс на ядрах 31Р и 19F,
естественно, может быть использован только при исследовании фосфорорганических
и фторорганических соединений.
Ядра всех атомов в молекулах, в том числе и водородные ядра, окружены
электронной оболочкой, которая экранирует ядро от воздействия внешнего
магнитного поля Н0, и электронная плотность вокруг каждого ядра
различная. Поэтому непосредственно на ядро, на его магнитный момент будет
действовать эффективное магнитное поле, ослабленное в какой-то степени
"электронным экраном". Чтобы создать условия для возбуждения
протонного магнитного перехода необходимо увеличить напряженность внешнего
магнитного поля как раз на величину, преодолевающую экранирование ядра атома
водорода. Поэтому атомы водородов, имеющие различное экранирование, будут
совершать энергетические переходы при различной напряженности внешнего
магнитного поля. Энергия этого перехода, частота при которой происходит резонанс,
определяется следующей формулой:
,
где
- гиромагнитное соотношение,
- константа экранирования.
Из
вышеприведенного соотношения видно, что относительная частота, при которой
будут резонировать водородные ядра в молекуле, определяется константой их
экранирования (
). Если атомы водорода химически эквивалентны, т.е.
имеют одинаковое геометрическое положение и электронное окружение, то они
резонируют при одной частоте, например протоны в молекуле метана или протоны в
молекуле бензола. В тоже время протоны этилового спирта CH3-CH2-OH не
все одинаковы - их можно разделить на три группы: протоны метильной группы (-СН3),
протоны метиленовой группы (-CH2-) и
протон гидроксила (-ОН). Все они будут резонировать при различных частотах
радиомагнитного излучения. Также не одинаково экранированы протоны различных
молекул, при своей эквивалентности внутри молекул - протоны метана, бензола,
ацетона имеют различные энергии резонанса.
Таким образом, помещая образец вещества в сильное однородное магнитное
поле с постоянной напряженностью, и плавно меняя частоту радиочастотного
излучения, можно ввести в резонанс все протоны один за другим в порядке
изменения величин их констант экранирования, и их сигналы резонанса образуют
спектр протонного магнитного резонанса соединения.
Радиочастотная энергия может вводиться либо в режиме непрерывной
развёртки в некотором диапазоне частот (continuous - wave (CW)
или непрерывный режим), либо в виде короткого радиочастотного импульса,
содержащего весь набор частот (импульсный режим). Эти два способа соответствуют
двум разным типам спектрометров ЯМР.
В спектрометрах стационарного типа (CW- типа) образец помещают в магнитное поле и облучают путём
медленной развёрстки частоты в требуемом диапазоне частот. В импульсном
спектрометре образец помещают в магнитное поле и облучают мощным импульсом
радиочастотной энергии, содержащим широкий диапазон частот, достаточный для
облучения всего требуемого диапазона. Этот импульс возбуждает все ядра
одновременно. Непосредственно вслед за импульсом ядра начинают возвращаться в
основное состояние и излучают поглощенную энергию[18]. Детектор собирает эту
энергию в виде сигнала спада свободной индукции (ССИ или FID, free induction decay), который является суммой излучения всех ядер в
зависимости от времени (рис. 1.2.). Информация, содержащаяся в ССИ как функция
времени, с помощью преобразования Фурье (FT) превращается в результирующий спектр, который является
функцией частоты.
Рис. 1.2 Сигнал спада свободной индукции (ССИ).
В
спектроскопии ПМР (как и ЯМР, вообще) принято на оси ординат спектра
откладывать величину химического сдвига в единицах миллионных долей поля
(м.д.), которая пропорциональна частоте резонанса, а, следовательно, и степени
экранирования ядер (
). За точку отсчета в спектроскопии ПМР принят
резонансный сигнал тетраметилсилана (Si(СН3)4,
= 0,00 м.д.). Протоны этого соединения экранированы в
очень большой степени, поэтому их резонанс наступает при большой напряженности
поля (говорят, в сильном поле). Резонанс протонов, связанных с более
электроотрицательными атомами, чем кремний и углерод, оказываются в большей
степени дезэкранированными и поэтому резонируют при меньшей напряженности поля
(в слабых полях).
Интенсивность сигнала в спектрах ПМР прямо пропорциональна количеству
протонов, участвующих в резонансе на данной частоте. Определяется интенсивность
по площади сигнала (интегральная интенсивность). Измерение интенсивностей линий
в спектре индивидуального соединения позволяет определить количество протонов
каждого типа, что облегчает идентификацию вещества. Измерение интенсивностей
линий в спектре смеси нескольких веществ, позволяет определить их соотношение.
Измерение спектра ПМР обычно проводят в жидкой фазе. Образец (в рутинных
исследованиях - это раствор в дейтерированном растворителе в стеклянной ампуле
внешнем диаметром 5 мм) помещают в датчик, который содержит переданную и
приёмную катушки и трубку для вращения ампулы вокруг её вертикальной оси, чтобы
усреднять неоднородности поля (рис. 1.9).
Далеко не всегда сигнал одной группы протонов является простой синглетной
линией. В тех случаях, когда атомы водорода разделены двумя химическими
связями, Н-С-Н, или тремя химическими связями, Н-С-С-Н, между ними имеет место
существенное спин-спиновое взаимодействие, т.е. взаимодействие их магнитных
моментов - каждый протон со своим магнитным моментом является внешним магнитным
полем по отношению к другому протону. Взаимодействие их магнитных моментов
приводит к дополнительному расцеплению энергетических уровней ядер, а
соответственно и расщеплению сигналов им соответствующих. Полученный в таком
случае спектр называется спектром «первого порядка». Расщепление сигнала
измеряют в герцах (Гц), величину расщепления называют константой спин-спинового
взаимодействия (КССВ). Величина КССВ (JHH) зависит от нескольких факторов: от расстояния между
взаимодействующими протонами (2JHH, 3JHH по количеству химических связей
между ядрами), от геометрии молекулы и молекулярных фрагментов (цис-, транс-,
экваториальное или аксиальное положение протонов).
Мультиплетность сигнала, т.е. степень расщепления сигнала определенного
атома водорода зависит от количества соседних с ним атомов водорода и
определяется по правилу (n +
1), где n и есть количество этих соседей.
Необходимо отметить, что тонкая структура сигналов ПМР наблюдается только в том
случае, если взаимодействующие водороды химически неэквивалентны.
По мультиплетности сигналов часто можно определить строение изомерных
углеводородных радикалов - изопропильный и н-пропильный радикалы при одинаковом
количестве атомов водорода практически неразличимые по химическим свойствам
имеют существенно различающиеся спектры ПМР.
Правило (n + 1)
распространяется только на эквивалентные соседние атомы, если же имеется
несколько неэквивалентных соседних групп атомов водорода, то каждая из них
учитывается последовательно. Так например может образовываться дублет
триплетов.
Кроме мультиплетности сигналов в спектре ПМР, очень информативной во
многих случаях является величина константы спин-спинового взаимодействия.
Оказалось, что вицинальная константа спин-спинового взаимодействия (3JHH для фрагмента Н-С-С-Н) очень
чувствительна к взаимному пространственному расположению атомов водорода, т.е.
к геометрии молекулы. Эта зависимость имеет максимум соответствующий 15-18 Гц
при величине двугранного угла равной 180°. При величине угла 90° расщепление
практически отсутствует, т.е. 3JHH стремится к нулю. В случае же
трансоидного положения протонов (угол 0°) 3JHH принимает средние значения 8-11 Гц
[34, 35, 36].
2. Методика эксперимента
Рис. 2.1 Схема реакции:
Выполнение синтеза:
К раствору п-нитроанилина 48г. в 250 мл бензола, помещённых в литровую
трёхгорлую колбу, снабжённую электрической мешалкой, капельной воронкой и
обратным холодильником, прибавляли при перемешивании тионилхлорид (0,68 моль;
82г) в 100 мл бензола. Раствор тионилхлорида в бензоле прибавляли небольшими
порциями через делительную воронку. Образовывалась соль анилина. Полученный
осадок нагревали до кипения бензола (порядка 800С) и грели в течение
4 часов. Обратный холодильник снабженный хлоркальциевой, смотрели выделение HCl, реакция прекращается только в том
случае, когда прекращается выделение хлороводорода. После нагревания осадок
растворялся и образовывался окрашенный раствор. Раствору давали время остыть, а
затем проводили отгонку бензола и избыточного тионилхлорида на ротационном
испарителе в течение 2,5 - 3 часов. Далее п - нитротианиланилин перегоняли под
вакуумом. Конечные вещества представляют собой игольчатые кристаллические
вещества желтого цвета. Продукт реакции перекристаллизовывали из петролейного
эфира и высушивали в эксикаторе над слоем хлористого кальция. Так как вещества
на воздухе легко гидролизуются. Вещества хранили в герметичной таре в атмосфере
аргона.
.2 Получение и выделение аддукта 1 п-нитротиониланилина и мирцена
Реакция проводилась при эквимолярном соотношении реагентов в соответствии
со схемой показанной на рис. 2.2.
Рис.2.2.
Реакция между мирценом и п-нитротиониланилином.
Реакция
велась с использованием растворителя бензола при температуре 20 °С в атмосфере
аргона без доступа света в течение 3 месяцев. О прохождении реакции позволило
судить образование игольчатых кристаллов на стенках стакана. Продукт был
отделен от раствора, промыт и перекристаллизован из петролейного эфира и
получен в виде темно-желтого мелкокристаллического порошка с температурой
плавления 72-74°С.
.3 Получение и выделение аддукта 2 п-нитротиониланилина и б - пинена
Реакция проводилась в соответствии со схемой показанной на рис. 2.3.
Рис.2.3. Реакция между б-пиненом и п-нитротиониланилином.
Реакция велась с использованием растворителя бензола без нагревания и
доступа солнечного света в атмосфере аргона в течение 2 месяцев. Вывод о
прохождении реакции был сделан на основе образования в реакционной колбе
кристаллического осадка. Данный осадок был отделен от остальной смеси, промыт и
перекристаллизован из петролейного эфира. Выход составил 10%. Продукт получен в
виде темно-коричневых кристаллов с температурой плавления 71-73 °С.
.4 Получение и выделение аддукта 3 п-нитротиониланилина и в - пинена
Реакция между п-нитротианиланилином и в - пиненом изображена на рис. 2.4.
Рис.2.4. Реакция между в - пиненом и п-нитротиониланилином.
Реакция велась запаянной ампуле в течение 2 месяцев без нагревания в
атмосфере аргона и без доступа солнечного света. В качестве растворителя
использовался бензол о прохождении реакции позволило судить образование на
стенках стакана. Осадок был отделен от остальной смеси, промыт и дважды
перекристаллизован из петролейного эфира. Выход составил 7%. Продукт получен в
виде коричневых кристаллов с температурой плавления 70-72 °С.
2.5 Получение и выделение аддукта 4 3-карена и п-нитротиониланилина
Реакция проводилась при эквимолярном соотношении реагентов в соответствии
со схемой показанной на рис. 2.5.
Рис.2.5.
Реакция между 3- кареноми п-нитротиониланилином.
Реакция
велась с использованием растворителя бензола при температуре 20 °С в атмосфере
аргона без доступа света в течение 4 месяцев. О прохождении реакции позволило
судить образование темно-серых кристаллов на стенках колбы. Продукт был отделен
от раствора, промыт и перекристаллизован из петролейного эфира и получен в виде
темного мелкокористаллического порошка с температурой плавления. Выход составил
5%.
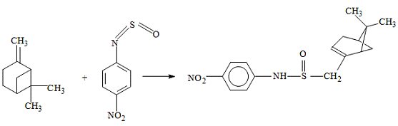
2.6 Получение аддукта 5 п-нитротиониланилина с норборненом
Схема синтеза:
Рис. 2.6. Реакция между норборненом и п-нитротиониланилином
Выполнение синтеза:
Реакция велась в ампуле, в которую было добавлено 4 г.
п-нитротиониланилина и 6,2 г. норборнена, оставшеюся атмосферу заполняют
аргоном. Ампулу запаивают и оставляют в темном месте при комнатной температуре
в течение двух месяцев с момента запайки. Об окончании реакции свидетельствует
выпадение бело-жёлтых кристаллов. Кристаллы были промыты петролейным эфиром,
высушены. Тпл. = 96о С.
2.7 Получение аддукта 5 п-нитротиониланилина с норборнадиeном
Схема синтеза:
Рис.2.7.
Реакция между п-нитротиониланилином и норборнадиеном.
Выполнение
синтеза:
г.
п-нитротиониланилина и 7,4 г. норборнадиeна помещают в ампулу для прохождения
реакции, после чего незаполненное пространство заполняют аргоном. Ампулу
запаивают и оставляют без нагревания при комнатной температуру на три месяца.
После прохождения трех месяцев мы можем наблюдать выпадение желтых кристаллов,
что подтверждает о прохождение реакции. После чего была вскрыта ампула, полученный
аддукт был промыт петролейным эфиром и высушен. Температура плавления аддукта
составила 95о С.
2.8 Синтез м-тионилтолуидина
Схема реакции:
Рис.
2.8
Выполнение
синтеза:
К 100г. раствора м-толуидина в 250 мл. абсолютированного бензола,
медленно добавляют раствор 150 г. тионилхлорида в 100 мл. абсолютированного
бензола. Реакцию проводят в трехгорлой колбе на 1 литр оснащенную электрической
мешалкой, капельной воронкой и обратным холодильником, с кальциевой трубкой на
конце. В начале реакции происходит осаждение гидрохлорида анилина, о чем
свидетельствует появление тяжело тягучей массы. Затем полученный раствор греют
на плитке в течении 3-4 часа, до полного прекращения выделения хлороводорода.
Для удаления следов тионилхлорида к веществу добавлялось ещё приблизительно 200
мл растворителя и отгоняют на ротационном испарителе. Затем продукт реакции
перекристаллизовывали из петролейного эфира и высушивали в эксикаторе над слоем
хлористого кальция.
.9 Получение аддукта 7 м-тионилтолуидина с норборненом
Схема реакции:
A B
Рис.2.9. Реакция между м-тионилтолуидина и норборненом.
Выполнение синтеза:
Для прохождения реакции между м-тионилтолуидином и норборненом. В колбу
помещают 3 г. м-тионилтолуидина и 6 г. норборнена. После чего свободное
пространство, для избежания попадания воздуха, заполняют аргоном, плотно
закрывают, горлышко колбы смазывают вакуумной смазкой и оставляют при комнатной
температуре на 2 месяца. Об окончании реакции свидетельствуют желтые кристаллы
на стенках колбы. Кристаллы необходимо промыть петролейным эфиром. Продукт
реакции хранят в эксикаторе над слоем хлористого кальция. Температура плавления
86о С.
2.10 Получение аддукта 8 м-тионилтолуидина с норборнадиeном
Выполнение синтеза:
Реакция выполняется в плоскодонной колбе, на 250 мл. К 4.5 граммам
м-тионилтолуидина добавляют 6.8 г. норборнадиена, после смешивания веществ
между собой колбу заполняют аргоном, плотно закрываем, смызываем вакуумной
смазкой, и оставляем на месяц для прохождения реакции. Об окончании реакции
свидетельствует образования кристаллов на дне колбы, кристаллы промываем,
высушиваем. Т пл.= 84о С.
Схема реакции:
A B
Рис. 210. Реакция между м-тионилтолуидина и норборнадиеном
.11 Получение и выделение аддукта м-тионилтолуидина и мирцена
Схема реакции:
Рис.2.11. Реакция между м-тионилтолуидина и мирценом.
Реакция велась без использования растворителей при температуре 20°С в
запаянной ампуле в атмосфере аргона без доступа света в течение шести месяцев.
О прохождении реакции позволило судить образование пластинчатых кристаллов на
стенках ампулы. Продукт был отделен от маточного раствора, промыт и
перекристаллизован из петролейного эфира и получен в виде бесцветного
мелкокористаллического порошка с температурой плавления 62-63 °С.
.12 Получение аддукта 10 м-нитротиониланилина с норборненом
Схема реакции:

Рис.2.12. Реакция между м-нитротиониланилином и норборненом.
Выполнение синтеза:
Реакция выполняется в плоскодонной колбе, на 250 мл.. К 5 г.
м-нитротианиланилина добавляем 7 г. норборнена, колбу продуваем аргоном, плотно
закрываем, смызываем вакуумной смазкой, и оставляем на месяц, до выпадения
кристаллов, после чего кристаллы промываем, высушиваем. Т пл.= 82о
С.
3. Результаты эксперимента и их обсуждение
.1 Характеристика оборудования
Для всех новых синтезированных веществ были получены спектры ЯМР 1Н,
ИК-спектры. В случае веществ, для которых оказалось возможным выращивание
кристаллов, пригодных для РСА, этот анализ был проведен. Также для некоторых
веществ был проведен элементный анализ. Для кристаллических веществ была
определена температура плавления. Для жидкостей - коэффициент преломления.
Спектры ЯМР были сняты на спектрометре высокого разрешения Bruker Fourier 300 с рабочей частотой 300 МГц и разрешением 0,01 Гц.
ИК-спектры были сняты на спектрометре Bruker VERTEX 70 с максимальным диапазоном длин волн от 15 см-1
до 23000 см-1 и разрешением 0, 1 см-1.
Рентгеноструктурный анализ проводился на приборе Bruker SMART APEX II для химической кристаллографии.
Определение температуры плавления производилось на приборе Barnstead Mel-Temp 3.0 с точностью определения 0,1 °С.
.2 Рассмотрение данных для аддуктов мирцена и п-нитротиониланилином
В ИК-спектре аддукта мирцена и п-нитротиониланилина (прил. 1), можем
наблюдать колебания в 3377,92 см-1 , что должно соответствовать N-H группе, также присутствует характерный набор полос
поглощения для колебаний С-Н связей бензольного кольца 3073см-1.
Система полос в диапазоне 2970-2830 см-1 соответствует валентным
колебаниям групп -CH3, -CH2- и С-Н. Полоса 1600,07 см-1 характерна для
колебаний бензольного кольца. Очень интенсивная полоса 1069,3 см-1
характерна для валентных колебаний связи S=O.
В спектре ЯМР 1Н продукта реакции получения (прил. 2) два
дублета с химическим сдвигом 6,65 и 8,26 м.д., 2JHH = 8,7 Гц и интегральной
интенсивностью, соответствующей четырём протонам относится к протонам
бензольного кольца. Расщепление сигнала вызвано спин-спиновым взаимодействием
протонов между собой.
.3 Расмотрение данных аддукта 2 (п-нитротиониланилина и б - пинена)
В ИК-спектре аддукта б - пинена и п-нитротиониланилина (прил. 3), в
области 3361 см-1 мы наблюдает полосу характерную для -NH- колебания, присутствует характерный
набор полос поглощения для колебаний С-Н связей бензольного кольца (3050-3010
см-1). Система полос в диапазоне 2970-2830 см-1
соответствует валентным колебаниям групп -CH3, -CH2- и С-Н. Полоса 1588,2 см-1
характерна для колебаний бензольного кольца. Очень интенсивная полоса 1052,5 см-1
характерная полоса для колебаний связи S=O. Предполагаемая
структура Альдереновой реакции:
3.4 Расмотрение данных аддукта 3 п-нитротиониланилина и в - пинена
По спектру (прил. 4) мы наблюдаем колебание в районе 3121 см-1
, скорее всего которое свидетельствует -NH-, рассматривая далее, в диапазоне от 2982 до 2821 см-1,
наблюдается большой набор полос, которые соответствуют группам -CH3, -CH2-. Полоса поглощения в 1631 см-1
соответствует неплоским колебаниям фрагментов с C=C связями. Полосы
в области 1500 см-1 и менее относятся к «отпечаткам пальцев» и их
интерпретация затруднительна и неоднозначна, но по литературным данным мы можем
предположить, что интенсивная полоса поглощения 1046 см-1 может
соответствовать колебаниям связям S=O. Предполагаемая структура Альдер -
еновой реакции:
.5 Рассмотрение данных аддукта 4 (3-карена и п-нитротиониланилина)
По спектру (прил. 5) в 3362 см-1 , находится полоса
поглощения, скорее всего относящиеся к -NH- группе, наблюдаем колебания полос в диапазонах 3076 см-1
и 2925 см-1 , которые соответствуют колебаниям групп -CH3, -CH2- и СН3. Полоса поглощения
в 1602,2 см-1 соответствует неплоским колебаниям фрагментов с C=C связями. Предполагаемая структура Альдер - еновой реакции:
3.6 Рассмотрение данных аддукта 5 п-нитротиониланилина с норборненом
По спектру ИК (прил.6) мы наблюдаем полосу поглощения 3152 см-1,
предположительно это свидетельствует Ar-NH группе, в диапазоне полосы 2948 см-1
и 2865 см-1 соответствующие колебаниям групп -CH3, -CH2- и СН3. 1640 см-1
соответствует колебаниям фрагментов с C=C связями.
В спектре ЯМР 1Н продукта (прил.7) реакции расщепление сигнала
вызвано спин-спиновым взаимодействием с протоном даёт сигнал с химическим
сдвигом 1,63 м.д., 3JHH = 1,2 Гц и интенсивностью, соответствующей протонам
относится к норборненовому фрагменту.
Мультиплет с химическим сдвигом 2,24 м.д. и интегральной интенсивностью,
соответствующей одному протону относится к атомам водорода в положении
бензольного кольца.
Дублет мультиплетов в области химических сдвигов 3,10 - 3,25 м.д., 2JHH для дублета 9,9 Гц и интегральной
интенсивностью, соответствующей одному протону относится к атому водорода в
положении раскрытия кольца. Расщепление сигнала вызвано дальним спин-спиновым
взаимодействием с метильной группой и протоном в положении, а также ближним
взаимодействием с протоном.
Дуплет в области химических сдвигов 3,19 - 3,21 м.д., 2JHH = 6,1 Гц и интегральной
интенсивностью, соответствующей одному протону относится к атому водорода.
Расщепление сигнала вызвано спин-спиновым взаимодействием.
Однозамещенное бензольное кольцо дает группу сигналов в области слабого
поля: триплет (7,20 м.д., 2JHH = 7,4 Гц, один протон), триплет (7,38 м.д., 2JHH = 7,54 Гц, два протона) и дуплет
(7,58 м.д., 2JHH = 7,6 Гц, два протона).
3.7 Рассмотрение данных аддукта 6 (п-нитротиониланилина с норборнадиeном)
В ИК-спектре (прил.8) в области 3227,6 см-1 виден сигнал NH группы, присутствует характерный
набор полос поглощения для колебаний С-Н связей бензольного кольца (3050-3010
см-1). Система полос в диапазоне 3057-2969 см-1
соответствует валентным колебаниям групп -CH2- и С-Н норборнадиенового фрагмента. Полоса 1450,8 см-1
характерна для колебаний бензольного кольца. Очень интенсивная полоса 1031,3 см-1
характерна для валентных колебаний связи S=O.
В спектре ЯМР 1Н продукта (прил.9) реакции расщепление сигнала
вызвано спин-спиновым взаимодействием с протоном даёт сигнал с химическим
сдвигом 1,2м.д. и 1,63 м.д., 3JHH = 1,2 Гц , соответствующей протонам
относится к норборнадиеновому фрагменту.
Мультиплет с химическим сдвигом 2,24 м.д. и интегральной интенсивностью,
соответствующей одному протону относится к атомам водорода в положении
бензольного кольца.
Дублет мультиплетов в области химических сдвигов 3,10 - 3,25 м.д., 2JHH для дублета 9,9 Гц и интегральной
интенсивностью, соответствующей одному протону относится к атому водорода в
положении раскрытия кольца. Расщепление сигнала вызвано дальним спин-спиновым
взаимодействием с метильной группой и протоном в положении, а также ближним
взаимодействием с протоном в положении.
Дуплет в области химических сдвигов 3,19 - 3,21 м.д., 2JHH = 6,1 Гц и интегральной
интенсивностью, соответствующей одному протону относится к атому водорода.
Расщепление сигнала вызвано спин-спиновым взаимодействием с протоном в.
Однозамещенное бензольное кольцо дает группу сигналов в области слабого
поля: триплет (7,20 м.д., 2JHH = 7,4 Гц, один протон), триплет (7,38 м.д., 2JHH = 7,54 Гц, два протона) и дуплет
(7,58 м.д., 2JHH = 7,6 Гц, два протона). Синглетный сигнал, присутствующий в
этой группе не рассматривается, так как он вызван остаточными протонами
растворителя (дейтерированный хлороформ).
Синглетный сигнал с химическим сдвигом 9,2 м.д., и интегральной
интенсивностью, соответствующей одному протону относится к атому водорода
амидной группы. Химический сдвиг характерен.
.8 Рассмотрение данных для аддукта 7 (м-тионилтолуидина с норборненом)
В ИК-спектре м-тионилтолуидина (прил.11) присутствует характерный набор
полос поглощения для колебаний С-Н связей бензольного кольца (3050-3010 см-1).
Система полос в диапазоне 2956-2867 см-1 соответствует валентным
колебаниям групп -CH3, -CH2- и С-Н. Полоса 1455.76 см-1 характерна для
колебаний бензольного кольца. Очень интенсивная полоса 1049.77 см-1
характерна для валентных колебаний связи S=O.
В спектре ЯМР 1Н продукта (прил.10) реакции расщепление
сигнала вызвано спин-спиновым взаимодействием с протоном даёт сигнал с химическим
сдвигом 1,5 м.д., интенсивностью, соответствующей протонам относится к
норборненовому фрагменту.
Рассматривая спектр ЯМР мы видим, что образуется два изомера A и B, в 0.65 при 6.57 м.д. мы видим синглет, 0.22 при 6.65 м.д
наблюдаем дублет, соответствующий изомеру A, следовательно ранее описанный синглет соответствует изомеру
A. В 6.74, наблюдаем дублет с 0.69 и
дублет при 6.82 м.д., соответствующий изомеру А. В 7,03 м.д. и 6.98 м.д.
наблюдаем дублет и триплет. Из перечисленного мы можем сделать вывод что у нас
два изомера А и В, как и предполагали, с отношением 1:3.
3.9 Рассмотрение данных для аддукта 8 (м-тионилтолуидина с
норборнадиеном)
Рассматривая (прил.14) спектр ИК аддукта м-тионилтолуидина с
норборнадиеном присутствует характерный набор полос поглощения для колебаний
С-Н связей бензольного кольца 3058 см-1. Обратим внимание на полосу
2966 см-1, полоса соответствует колебаниям групп -CH3, -CH2- и С-Н. Также наблюдаем характерные
полосы для бензольного кольца в области 1524 см-1.
По спектру ЯМР (прил.12) при 6.62 м.д. мы наблюдаем синглет 0.68, который
может соответствовать изомеру B. При
6.7 м.д. мы наблюдаем дублет с 0.31, который отнесем к изомеру А, также
обнаруживаем триплет в 7.02 м.д. и дублет при 7.1 м.д., Делаем вывод, что
изомер, В относится к изомеру А, как 2:1.
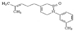
.10 Рассмотрение данных для аддукта 9 (м-тионилтолуидина с мирценом)
По спектру аддукта мирцена и м-тионилтолуидина (прил.15) мы наблюдаем
характерный полос поглощения для колебаний С-Н связей бензольного кольца
(3050-3010 см-1). Полосы в диапазоне 2970-2830 см-1
соответствует валентным колебаниям групп -CH3, -CH2- и С-Н. Полоса 1599,2 см-1
характерна для колебаний бензольного кольца. Очень интенсивная полоса 1063,2 см-1
характерна для валентных колебаний связи S=O. Предполагаемая
структура аддукта:
3.11 Рассмотрение данных аддукта 10 м-нитротиониланилина и норборнена
Рассматривая спектр Инфракрасной спектроскопии (прил.19), в первую
очередь мы видим полосу поглощения в диапазоне 3152 см-1,
предположительно это свидетельствует Ar-NH группе, далее в диапазоне полосы
2948 см-1 и 2865 см-1 соответствующие колебаниям групп -CH3, -CH2- и СН3. 1640 см-1
соответствует колебаниям фрагментов с C=C связями.
В спектре ЯМР 1Н продукта (прил.16) реакции расщепление
сигнала вызвано спин-спиновым взаимодействием с протоном даёт сигнал с
химическим сдвигом 1,1 м.д., соответствующей протонам относится к
норборненовому фрагменту. Мультиплет с химическим сдвигом 1.6 м.д. и
интегральной интенсивностью, соответствующей одному протону относится к атомам
водорода в положении бензольного кольца.
спектроскопия сульфамидный циклоприсоединение резонанс
Основные итоги и выводы
В ходе проведенной работы:
· были изучены и разработаны методики синтеза целевых продуктов имеющих в
составе молекул характерные фармакофорные бензо-тиазин-сульфамидные
группировки, в наиболее мягких условиях, большинство методик соответствуют
требованиям Green Chemistry;
· были разработаны методики выделения и очистки конечных продуктов;
· строение и изомерный состав полученных соединений были
доказаны методами ИК и ЯМР спектроскопии.
Данное направление исследований еще может послужить для дальнейших работ.
С одной стороны можно расширять спектр полученных бифильных соединений, с
другой - разрабатывать методики разделения смесей изомерных продуктов реакций,
в которых таковые образуются.
Библиографический список
1. Лунин В.В., Тундо П., Локтева Е.С. Зеленая химия в
России.-М.: Изд-во Московского Университета. - 2004. - 230 с.
2. Anastas P.T., Warner J.C. Green Chemistry:
Theory and Practice. - Oxford University Press: New York. - 1998. - p.30
. Carey F.A., Sundberg R.J. Advanced organic
chemistry. Part B. Reactions and synthesis. - Kluwer Academic/Plemum
Publlishers: New York. - 2000. - p.981
4. Кнунянц И.Л. Химический энциклопедический словарь. - М.:
Изд-во Советская энциклопедия. - 1983. - 792 с.
5. Sauer J., Sustmann R. Mechanistic aspects of
Diels-Alder reactions: a critical survey // Angew. Chem., Int. Ed. Engl. -
1980. - Vol. 19, № 1. - P. 779 - 807.
. Steven M. Weisreb, Ronald R. Staib. Synthetic
aspects of DIELS-ALDER cicloadditions with heterodienophiles// Tatrahedron. -
1982. - Vol.38, №21. - P. 3087 - 3128.
7. Онищенко А.С. Диеновый синтез. - М.: Академия Наук СССР.
- 1963. - 650 c.
8. Littman R.E. The mechanism of the diene
Synthesis // J. Am. Chem. Soc. - 1936. - Vol 56, № 7. - P. 1316-1317.
. Woodward R.B. The mechanism of the
Diels-Alder reaction // J. Am. Chem. Soc. - 1942. - Vol. 62. № 12. - P.
3058-3059.
. Dewar M.J.S. Mechanism of the Diels-Alder
Reaction // Tetrahedron Lett. - 1959. - Vol. 1, № 4. - P. 21-23.
11. Титов Ю.А. Структурная направленность диенового
синтеза // Усп. хим. - 1962. - Т. 31, № 5. - С. 529-558.
12. Коновалов А.И. Реакционная способность аддендов в
реакции диенового синтеза // Усп. хим. - 1983. - Т. 52, № 11. - С. 1852-1878.
13. Dewar M.J.S., Griffin A.C., Kirschner S.
MINDO/3 study of some Diels-Alder reactions // J. Am. Chem. Soc. - 1974. - Vol.
96, № 19. - Р. 6225-6226.
14. Наканиси К. Инфракрасные спектры и строение
органических соединений. - М.: Мир. - 1965. - 216 с.
15. Дероум Э. Современные методы ЯМР для химических
исследований. - М.: Мир. - 1992. - 402 с.
16. Dewar M.J.S., Olivella S., Rzepa H.S. Ground
states of molecules. 49. MINDO/3 study of the retro-Diels-Alder reaction of
cyclohexene // J. Am. Chem. Soc. - 1978. - Vol. 100, № 18. - Р. 5650-5659.
17. Dewar M.J.S., Pierini A. Mechanism of the
Diels-Alder reaction. Studies of the addition of maleic anhydride to furan and
methylfurans // J. Am. Chem. Soc. - 1984. - Vol. 106, № 1. - Р. 203-208.
. Townshend R.E., Rammuni G., Segal G., Hehre
W.J., Salem L. Organic transition states. V. The Diels-Alder reaction // J. Am.
Chem. Soc. - 1976. - Vol. 98, № 8. - Р. 2190-2198.
. Brown F.K., Houk K.N. The STO-3G transition
structure of the Diels-Alder reaction // Tetrahedron Lett. - 1984. - Vol. 25, №
11. - P. 4609-4612.
20. Племенков В.В., Аширов Р.В., Лодочникова О.А.
3-Метил-3-цианоциклопролпен в качестве пренилирующего реагента // Матер. V всероссийской конф. «Химия и
технология растительных веществ». - Уфа: Институт химии Коми НЦ УрО РАН. -
2008. - с. 232.
. Лодочникова О.А., Аширов Р.В., Апполонова С.А.,
Литвинов И.А., Племенков В.В. 1-Метилциклопроп-2-ен-1-карбонитрил в тандемных
реакциях Альдер-енового присоединения и циклоприсоединения по Дильсу-Альдеру //
Журн. орг. химии. - 2010. - Т. 46, № 1. - С. 49-53.
23. Woodward R.B., Katz T. The mechanism of the
Diels-Alder reaction // Tetrahedron Lett. - 1959. - Vol. 1, № 5. - P. 19-21.
. Wolinsky J., Chollar B., Baird М.D. Thermal Rearrangement of 1,3-Dienes // J. Am. Chem. Soc. - 1962.
- Vol. 84, №
14. - P. 2775 - 2779.
25. Mitzner B. M., Theimer E. T., Steinbach L.,
Wolt J. б-Myrcene (2-Methyl-6-methylene-1,7-octadiene) // J. Org. Chem. - 1962.
- Vol. 30, №
2. - P. 646 - 648.
26. Sasaki T., Eguchi S., Ishii T. Reactions of
isoprenoids. IV. Reactivity of myrcene in 1,4-сycloaddition reactions // J. Org. Chem. - 1969. - Vol. 34, №
12. - P. 3749 - 3753.
27. Наканиси К. Инфракрасные спектры и строение
органических соединений. - М.: Мир. - 1965. - 216 с.
28. Физер Л., Физер М. Реагенты для органического синтеза: в
7 ч. Ч.4: (у-я): Пер. с англ.- М.: МИР,1971.-288с.
29. Kappe C.O., Murphree S.S., Padwa A. Synthetic
applications of furan Dils-Alder chemistry// Tetrahedron.-1997-Vol.53,N 42.
-p.14179-14233.
30. Кутакова Н.А., Александрова Н.А. Термическая и
каталитическая изомеризация пиненов // Матер. всероссийской конф. «Химия и
технология растительных веществ». - Казань. - 2002. - с. 21-22.
31. Stolle A., Ondruschka B., Findeisen M.
Mechanistic and Kinetic Insights into the Thermally Induced Rearrangement of б-Pinene // J. Org. Chem. - 2008. - Vol. 73, № 21. - P. 8228 - 8235.
32. Boger D.L., Weinreb S.M. Hetero Diels-Alder
methodology in organic synthesis. ACADEMIC PRESS, INC.: New York,1987.-189p.
33. Тице Л., Айхер Т. Препаративная органическая химия:
Реакции и синтезы в практикуме органической химии и научно-исследовательской лаборатории:
Пер. с нем. - М.: Мир, 2009.-704с.
34. Thompson H.W. The mechanism of the catalyzed
Diels-Alder reaction // J. Am. Chem. Soc. - 1970. - Vol. 92, № 10. - Р. 3218-3220.
35. Donghong Y., Dulin Y., Zaihui F., Quianhe L.
The regioselectivity of myrcene with carbonil-containing deinophiles catalyzed
by Lewis acids // J. Mol. Catal. A - Chemical. - 1999. - Vol. 148, № 1. - P. 87-95.
36. Plemenkov V.V., Veremeychik Ya.V.,Shurpik D.N.,
Litvinov I.A., Lodochnikova O.A., Krivolapov D.B. Thionilanilines as Diene
Structures in Diels-Alder Reactions // International Congress on Organic
Chemistry (Kazan,18-25 Sept. 2011). - Kazan. Russia., 2011 - p.175.
. Weinreb S.N., Staib R.R. Syntetic aspects of
Diels-Alder cycloadditions with heterodienophiles// Tetrahedron.-1997-Vol.38,N
21. -p.3087-1982.
. Fringuelli F., Taticchi A. The Diels-Alder
reaction: selected practical methods: Wiley, 2002. - 349p.
Приложение 1
Спектр ИК аддукта п-нитротиониланилина и мирцена.
Приложение 2
Спектр ЯМР аддукта п-нитротиониланилина и мирцена.
Приложение 3
ИК-спектр аддукта п-нитротиониланилина и б-пинена.
Приложение 4
ИК-спектр аддукта п-нитротиониланилина и в-пинена.
Приложение 5
ИК-спектр аддукта п-нитротиониланилина и 3 - карена.
Приложение 6
ИК-спектр аддукта п-нитротиониланилина и норборнена.
Приложение 7
ЯМР-спектр аддукта п-нитротиониланилина и норборнена.
Приложение 8
ИК-спектр аддукта п-нитротиониланилина и норборнадиена.
Приложение 9
ЯМР-спектр аддукта п-нитротиониланилина и норборнадиена.
Приложение 10
Спектр ЯМР м-тионилтолуидина с норборненом.
Приложение 11
Спектр ИК м-тионилтолуидина с норборненом.
Приложение 12
Спектр ЯМР м-тионилтолуидина с норборнадиеном.
Приложение 13
Спектр ЯМР м-тионилтолуидина с норборнадиеном.
Приложение 14
Спектр ИК м-тионилтолуидина с норборнадиеном.
Приложение 15
ИК-спектр аддукта
мирцена и тионилтолуидина
Приложение 16
ЯМР спектр аддукта
мета-нитротианиланилина+НБ
Приложение 17
ЯМР спектр аддукта мета-нитротианиланилина+НБ
Приложение 18
ИК спектр аддукта
мета-нитротианиланилина+НБ
ИК спектр аддукта
мета-нитротианиланилина+НБ