Теория электрической связи

  • Вид работы:
    Курсовая работа (т)
  • Предмет:
    Информатика, ВТ, телекоммуникации
  • Язык:
    Русский
    ,
    Формат файла:
    MS Word
    941,14 Кб
  • Опубликовано:
    2012-11-25
Вы можете узнать стоимость помощи в написании студенческой работы.
Помощь в написании работы, которую точно примут!

Теория электрической связи

ФЕДЕРАЛЬНОЕ АГЕНТСТВО СВЯЗИ

Государственное образовательное учреждение

высшего профессионального образования

Московский технический университет связи и информатики

Волго-Вятский филиал







Курсовая работа

«Теория электрической связи»

Техническое задание

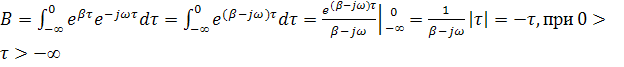
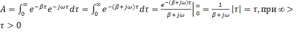
Непрерывное сообщение , наблюдаемое на выходе источника сообщений (ИС), представляет собой реализацию стационарного гауссовского случайного процесса с нулевым средним и известной функцией корреляции . Данное сообщение передается в цифровом виде в системе электросвязи, изображенной на рис. 1.

Рис. 1

В передающем устройстве (ПДУ) системы на основе аналого-цифрового преобразователя (АЦП) сообщение преобразуется в первичный цифровой сигнал импульсно-кодовой модуляции, который модулирует один из информационных параметров высокочастотного гармонического переносчика. В результате формируется канальный сигналдискретной амплитудной (ДАМ), дискретной частотной (ДЧМ) или дискретной относительной фазовой модуляции (ДОФМ).

Сигнал дискретной модуляции передается по узкополосному гауссовскому непрерывному каналу связи (НКС), в котором действует аддитивная помеха.

В приемном устройстве (ПРУ) системы принятая смесь сигнала и помехи

 подвергается при детектировании либо когерентной (КП), либо некогерентной (НП) обработке с последующим поэлементным принятием решения методом однократного отсчета. Прием сигналов ДОФМ осуществляется либо методом сравнения фаз (СФ), либо методом сравнения полярностей (СП).

Восстановление (оценка) переданного сообщения по принятому с искажениями сигналу ИКМ осуществляется на основе цифро-аналогового преобразования (ЦАП) с последующей низкочастотной фильтрацией (ФНЧ).

В курсовой работе требуется выполнить следующие задания:

1.   Изобразить структурную схему системы электросвязи и пояснить назначение её отдельных элементов.

2.       По заданной функции корреляции исходного сообщения:

а) рассчитать интервал корреляции, спектр плотности мощности и начальную энергетическую ширину спектра сообщения;

б) построить в масштабе графики функции корреляции и спектра плотности мощности; отметить на них найденные в предыдущем пункте параметры.

.     Считая, что исходное сообщение воздействует на идеальный фильтр нижних частот (ИФНЧ) с единичным коэффициентом передачи и полосой пропускания, равной начальной энергетической ширине спектра сообщения:

а) рассчитать среднюю квадратическую погрешность фильтрации (СКПФ) сообщения, среднюю мощность отклика ИФНЧ, частоту и интервал временной дискретизации отклика ИФНЧ ;

б) качественно, с учетом найденных в предыдущем пункте параметров изобразить сигналы и спектры на входе и выходе дискретизатора АЦП.

.     Полагая, что последовательность дискретных отсчетов на выходе дискретизатора далее квантуется по уровню с равномерной шкалой квантования:

а) рассчитать интервал квантования, пороги и уровни квантования, среднюю квадратическую погрешность квантования (СКПК);

б) построить в масштабе характеристику квантования.

.     Рассматривая отклик квантователя как случайный дискретный сигнал с независимыми значениями на входе L - ичного дискретного канала связи (ДКС):

а) рассчитать закон и функцию распределения вероятностей квантованного сигнала, а также энтропию, производительность и избыточность L - ичного дискретного источника;

б) построить в масштабе графики рассчитанных закона и функции распределения вероятностей.

.     Закодировать значения L - ичного дискретного сигнала двоичным блочным примитивным кодом, выписать все кодовые комбинации кода и построить таблицу кодовых расстояний кода; кроме того:

а) рассчитать априорные вероятности передачи по двоичному ДКС символов нуля и единицы, начальную ширину спектра сигнала ИКМ;

б) изобразить качественно на одном графике сигналы в четырех сечениях АЦП: вход АЦП, выход дискретизатора, выход квантования, выход АЦП.

.     Полагая, что для передачи ИКМ сигнала по непрерывному каналу связи (НКС) используется гармонический переносчик:

а) рассчитать нормированный к амплитуде переносчика спектр модулированного сигнала и его начальную ширину спектра;

б) построить в масштабе график нормированного спектра сигнала дискретной модуляции и отметить на нем найденную ширину спектра.

.     Рассматривая НКС как аддитивный гауссовский канал с ограниченной полосой частот, равной ширине спектра сигнала дискретной модуляции, и заданными спектральной плотностью мощности помехи и отношением сигнал - шум:

а) рассчитать приходящиеся в среднем на один двоичный символ мощность и амплитуду модулированного сигнала, дисперсию (мощность) аддитивной помехи в полосе частот сигнала, пропускную способность НКС;

б) построить в масштабе четыре графика функций плотности вероятностей (ФПВ) мгновенных значений и огибающих узкополосной гауссовской помехи (УГП) и суммы гармонического сигнала с УГП.

.        С учетом заданного вида приема (детектирования) сигнала дискретной модуляции:

а) рассчитать среднюю вероятность ошибки в двоичном ДКС, скорость передачи информации по двоичному симметричному ДКС, показатель эффективности передачи сигнала дискретной модуляции по НКС;

б) изобразить схему приемника сигналов дискретной модуляции и коротко описать принцип его работы, пояснить случаи, когда он выносит ошибочные решения.

.        Рассматривая отклик декодера ПРУ как случайный дискретный сигнал на выходе L - ичного ДКС:

а) рассчитать распределение вероятностей дискретного сигнала на выходе декодера, скорость передачи информации по L - ичному ДКС, относительные потери в скорости передачи информации по L - ичному ДКС;

б) построить в масштабе графики закона распределения вероятностей отклика декодера и сравнить его с законом распределения вероятностей отклика квантователя.

.        Полагая ФНЧ на выходе ЦАП приёмника идеальным с полосой пропускания, равной начальной энергетической ширине спектра исходного сообщения:

а) рассчитать дисперсию случайных импульсов шума передачи на выходе интерполятора ЦАП, среднюю квадратическую погрешность шума передачи (СКПП), суммарную начальную СКП восстановления непрерывного сообщения (ССКП), относительную СКП (ОСКП);

б) качественно изобразить сигналы на выходе декодера и интерполятора ЦАП, а также восстановленного сообщения на выходе системы электросвязи.

Таблица с исходными данными для варианта №20

ИС; АЦП; L = 8

ПДУ

НКС

ПРУ

Функция корреляции сообщения

Способ передачи

Частота, мГц

Способ приема









4.2

6

ЧМ

2.9 2.95

0.0016

11.5

НП

  


 - мощность (дисперсия) сообщения,  - показатель затухания функции корреляции,

- число уровней квантования,  - постоянная энергетического спектра шума НКС,

 - отношение сигнал - шум (ОСШ) по мощности на входе детектора.

Задание № 1

Для передачи непрерывного сообщения по дискретному каналу используется метод импульсно-кодовой модуляции ( ИКМ). Структурная схема передачи непрерывного сообщения методом ИКМ изображена на рис.1 (см. страницу 3).

Источник сообщения - некоторый объект или система, от которого передается информация в виде её физического представления, например, в виде изменяющегося во времени тока или напряжения.

ФНЧ - предназначен для фильтрации сигнала с целью ограничения спектра сигнала сообщения верхней частотой .

Дискретизатор - позволяет представить отклик ФНЧ в виде последовательности отсчетов.

Квантователь - осуществляет нелинейное преобразование отсчетов в квантовые уровни.

Кодер-осуществляет кодирование квантовых уровней двоичным безызбыточным кодом, т.е. образует последовательность кодовых комбинаций (сигнал ИКМ).

Модулятор-формирует канальный сигнал, электрическое колебание, параметр которого изменяется по закону модулирующего сигнала ИКМ.

Выходное устройство- осуществляет фильтрацию и усиление модулированного колебания для предотвращения внеполосных излучений и для установления требуемого значения сигнал/шум на входе приемника. Усиленный сигнал передается в линию связи.

Линия связи - среда, по которой распространяется сигнал с выхода ПДУ до входа ПРУ. В линии связи на сигнал накладывается помеха.

Входное устройство-осуществляет фильтрация принятого сигнала, смеси переданного сигнала и помехи.

Детектор - позволяет выделить из принятого сигнала закон изменения информационного параметра, пропорционального сигналу ИКМ. Для опознания переданных двоичных символов на вход детектора подключается решающее устройство (РУ), на выходе которого присутствует принятая кодовая комбинация.

Декодер - служит для восстановления L-ичных уровней из двоичных кодовых комбинаций.

Интерполятор- производит восстановление непрерывного сигнала из последовательности L-ичных уровней.

Получатель сообщения -объект (или система), которому передается информация в виде её физического представления, т.е. в виде изменяющегося во времени сигнала.

Задание № 2

По техническому заданию исходное непрерывное сообщениепредставляет собой стационарный гауссовский случайный процесс с нулевым матожиданием, мощность и функция корреляции которого заданы в таблице с исходными данными.

Во временной и спектральной областях стационарный случайный процесс определяется функцией корреляции  и спектром плотности мощности , где . Эти характеристики связанны между собой парой преобразований Винера -Хинчина:

 

.1 Интервал корреляции исходного сообщения

Интервал корреляции - промежуток времени между сечениями случайного процесса, в пределах которого наблюдается их корреляция.

 

 

 

 

 

Т.к. в 6 раз больше  частотное заполнение можно не учитывать.

узкополосный гауссовский цифровой канал

2.2 Спектр плотности мощности

 

 

 

 

2.3 Начальная энергетическая ширина спектра сообщения

Ширина энергетического спектра - полоса частот, в пределах которой заключена основная доля энергии случайного процесса.

 

2.4 Графики функции корреляции и спектра плотности мощности

Рис. 2 - функция корреляции

На рис.2 пунктиром обозначено значение интервала корреляции, отложенное в обе стороны от нуля по оси времени.

Рис.3 - энергетический спектр.

На рис.3пунктиром обозначена величина ширины энергетического спектра.

Задание № 3

Будем считать, что сообщение воздействует на идеальный ФНЧ с единичным коэффициентом передачи и полосой пропускания, равной начальной ширине энергетического спектра сообщения.

.1 Средняямощность отклика ИФНЧ

 

 

.2 Средняяквадратическая погрешность фильтрации сообщения

 

 

.3 Интервал и частота дискретизации

По условию курсовой работы фильтр нижних частот идеален, и пропускает частоты . Учтём также, что частота дискретизации равна удвоенной верхней частоте. Тогда в соответствии с теоремой Котельникова имеем

 

 

3.4 Сигналы и спектры на входе и выходе дискретизатора

Рис. 4 - сигнал на входе и выходе дискретизатора.

На рис. 5 вертикальными линиями с маркерами обозначен сигнал на выходе дискретизатора.

Рис.5 - спектр сигнала на входе дискретизатора АЦП.

Рис.6 - спектр сигнала на выходе дискретизатора АЦП

Задание № 4

Далее последовательность дискретных отчетов на выходе дискретизатора квантуется по уровню равномерной шкалой квантования.Гауссовский случайный процесс с вероятностью 0.997 находится в диапазоне

.1 Интервал квантования

 

.2 Пороги квантования

 

0

1

2

3

4

5

6

7

8

-4.91505

-3.2767

-1.63835

0

1.63835

3.2767

4.91505


4.3 Уровни квантования

 

0

1

2

3

4

5

6

7

-5.73422

-4.09587

-2.45752

-0.81917

0.81917

2.45752

4.09587

5.73422


4.4 Средняяквадратическая погрешность квантования

 - ФПВ гауссовского случайного процесса в любой момент времени.

1

2

3

4

5

6

7

-4.91505

-3.2767

-1.63835

0

1.63835

3.2767

4.91505

0.00271

0.03295

0.14769

0.2435

0.14769

0.03295

0.00271


 

 

 

0

1

2

3

4

5

6

7

0.00132

0.0214

0.13591

0.34134

0.34134

0.13591

0.0214

0.00132


 

 

 

4.5 Характеристика квантования

 

Рис. 7 - характеристика квантователя

Задание №5

.1 Функция распределения вероятностей квантованного сигнала

 

0

1

2

3

4

5

6

7

0.00132

0.02272

0.15862

0.49997

0.84131

0.97722

0.99862

0.99994


5.2 Закон распределения вероятностей квантованного сигнала

Закон распределения вероятностей  был найден в пункте 4.4

0

1

2

3

4

5

6

7

0.00132

0.0214

0.13591

0.34134

0.34134

0.13591

0.0214

0.00132


5.3 Энтропия L - ичного дискретного источника

 

.4 Производительность L - ичного дискретного источника

 

.5 Избыточность L - ичного дискретного источника

 

 

5.6 Графики рассчитанных закона и функции распределения вероятностей

Рис. 8 - функция распределения вероятностей

Рис.9 - закон распределения вероятностей

Задание №6


000

001

010

011

100

101

110

111

000

0

1

1

2

1

2

2

3

001

1

0

2

1

2

1

3

2

010

1

2

0

1

2

3

1

2

011

2

1

1

0

3

2

2

1

100

1

2

2

3

0

1

1

2

101

2

1

3

2

1

0

1

110

2

3

1

2

1

2

0

1

111

3

2

2

1

2

1

1

0

Рис.10 - таблица кодовых расстояний

Значения сигнала на выходе дискретизатора

3.33333

-0.26466

2.96281

-3.08415

Значения сигнала на выходе квантователя

4.09587

-0.81917

2.45752

-2.45752

Соответствующий код

110

011

101

010

Комбинация на выходе кодера

110 011 101 010

Рис. 11 - таблица значений сигналов на выходе дискретизатора, квантователя и кодера

.1 Априорные вероятности передачи по двоичному ДКС символов нуля и единицы

Так как среднее число нулей и среднее число единиц в сигнале ИКМ одинаково (что справедливо для гауссовского сообщения и данного способа кодирования), то и вероятности их появления одинаковы:

 

.2 Начальная ширина спектра сигнала ИКМ

На интервале дискретизации  при блочном безызбыточном кодировании должно уместиться три элементарных кодовых символа. Следовательно, их ширина равна:

 

Ширина спектра элементарного прямоугольного импульса обратно пропорциональна длительности:

 

 

 

6.3 Сигналы на входе дискретизатора, на выходах дискретизатора, квантователя и кодера

Рис.12

На рис. 13 толстой линией обозначен сигнал на выходе кодера, вертикальными линиями обозначены сигналы на выходе дискретизатора и квантователя (круглые маркеры соответствуют сигналу с выхода дискретизатора, квадратные - сигналу с выхода квантователя).

Задание № 7

Для передачи ИКМ сигнала по непрерывному каналу связи используется гармонический переносчик.

.1 Нормированный к амплитуде переносчика спектр модулированного сигнала

 

Сигнал ДЧМ представляется в виде

 

 

 - частота переносчика;  - девиация частоты.

Разложение по гармоническим составляющим для такого сигнала имеет вид:

 

 

-9

-7

-5

-3

-1

1

3

5

7

9

Рис.13 - таблица значений нормированных амплитуд гармоник

.2 Начальная ширина спектра модулированного сигнала

 

 

.3 График нормированного спектра сигнала дискретной модуляции.

Рис.14 - график нормированного спектра сигнала

Задание № 8

.1 Мощность, в среднем приходящаяся на один символ модулированного сигнала.

 

 

 

.2 Амплитуда, в среднем приходящаяся на один символ модулированного сигнала

 

.3 Мощность аддитивной помехи в полосе частот сигнала

Мощность аддитивной помехи в полосе частот сигнала мы нашли в пункте 8.1:

 

.4 Пропускная способность НКС

 

8.5 Графики ФПВ мгновенных значений и огибающих УГП и суммы гармонического сигнала с УГП

 

 

 

 

Рис. 15 - графики ФПВ мгновенных значений УГП и суммы гармонического сигнала и УГП

Рис. 16 - графики огибающих УГП и суммы гармонического сигнала и УГП

Задание № 9

.1 Средняя вероятность ошибки в двоичном ДКС

 

 

 

 

.2 Скорость передачи информации по двоичному симметричному ДКС

 

 

9.3 Показатель эффективности передачи сигнала дискретной модуляции по НКС

 

9.4 Схема приемника сигналов дискретной модуляции и краткое описание принципа его работы, пояснение случаев, когда он выносит ошибочные решения

Рис.17 - схема приемника сигнала ДЧМ (метод детектирования: некогерентный приём)

При передаче сигналов ДЧМ символ 0 соответствует передаче сигнала на частоте f0, а символ 1 - передаче сигнала на частоте f1. При передаче 0 через ПФ, настроенный на частоту f0, будет проходить сигнал с несущей частотой f0 и шум в полосе пропускания этого ПФ. Через ПФ, настроенный на частоту f1, при передаче 0 будет проходить только шум в полосе пропускания этого ПФ. Аналогичная картина наблюдается при передаче символа 1.

Ошибка решения здесь будет тогда, когда отклик детектора в канале, по которому сигнал не передается, превзойдет значение отклика детектора в канале, по которому сигнал передается.

Задание № 10

.1 Распределение вероятностей дискретного сигнала на выходе декодера.

 

0

1

2

3

4

5

6

7

0.00132

0.0214

0.13591

0.34134

0.34134

0.13591

0.0214

0.00132

0.00132

0.0214

0.13591

0.34134

0.34134

0.13591

0.0214

0.00132


10.2 Скорость передачи информации по L - ичному ДКС

 

 

.3 Относительные потери в скорости передачи информации по L - ичному ДКС

 

10.3 Построить график и сравнить ЗРВ отклика декодера и ЗРВ отклика квантователя

Рис.18 - ЗРВ отклика декодера и ЗРВ отклика квантователя

На графике видно, что ЗРВ отклика декодера почти не отличается от ЗРВ отклика квантователя.

Задание № 11

.1 Дисперсия случайных импульсов шума передачи на выходе интерполятора

 

 

 

 

.2 Средняяквадратическая погрешность шума передачи

 

.3 Суммарная начальная СКП восстановления непрерывного сообщения

 

.4 Относительная СКП

 

.5 Сигналы на выходе декодера и интерполятора, а также восстановленное сообщение на выходе системы электросвязи

Будем, считать, что сообщение, переданное по каналу связи, безошибочно принято приёмником и декодировано, т.е. сигнал на выходе квантователя совпадает с сигналом на выходе декодера.

Рис. 19 - сигнал на выходе декодера

Рис. 20 - сигнал на выходе интерполятора

Cигнал на выходе системы электросвязи.

На рис.18,19,20 пунктиром обозначен входной сигнал. На рис. 20 видно, что выходной сигнал хорошо повторяет входной.

Заключительный вывод

В данной работе были изучены принципы построения систем электросвязи и расчёта их параметров. Произведён анализ статических характеристик и параметров передаваемого сообщения, аналогово-цифрового и цифро-аналогового преобразований сообщения, сигналов дискретной модуляции, узкополосного непрерывного гауссовского канала связи.

Похожие работы на - Теория электрической связи

 

Не нашли материал для своей работы?
Поможем написать уникальную работу
Без плагиата!
Без нейросетей!