Непрерывная зависимость решений от начальных данных и параметров
Оглавление
Непрерывная зависимость решений от
начальных данных и параметров
. Дифференциальное уравнение
с начальными данными
. Свойства предельных
множеств автономных систем
. Приближенное решение
дифференциальных уравнений
Список использованных источников
Непрерывная зависимость решений от начальных
данных и параметров
дифференциальное
уравнение множество
1. Дифференциальное уравнение с начальными
данными
Рассмотрим дифференциальное уравнение, зависящее
от параметра:


где f: 
, 
область. Предположим, что в области

удовлетворяет условию Липшица по x локально:

.
По теореме (существования и
единственности) G =
область единственности для системы 
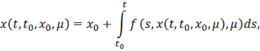
при каждом фиксированном μ. Рассмотрим
функцию 
решение системы 
с начальными данными 
определенную на множестве
где 
максимальный интервал
существования.
Теорема 1. При сделанных
предположениях 
область и 
непрерывна в 
.
Д о к а з а т е л ь с т в о. Прежде
всего покажем, что 
связно. Пусть 
, 
. Построим путь γ, лежащий в 
и соединяющий 
и 
. Из определения 
следует, что 
по 
. Кроме того, так как по смыслу
понятия максимального интервала существования 
, то множество
область гиперплоскости 
, лежащая в 
. Отсюда получаем следующий способ
построения γ:
точки

и 
соединяем отрезками прямых с
точками 
и 
соответственно, а эти последние
точки соединяем любым путем, лежащим в 
.
Теперь нужно доказать, что
существует 
такое, что если 
, то и ее 
окрестность 
также принадлежит 
и 
непрерывна в 
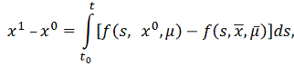
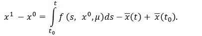
. Пусть 
решение с начальными данными 
, соответствующее

. По определению 
оно определенно при 
. Образуем 
при 
и 
при 
. Продолжая 
было определено на 
.
Отсюда следует, что достаточно
доказать следующее утверждение, равносильное теореме 1.
Теорема 
. Пусть в предположениях теоремы 1
дифференциальное уравнение 
имеет решение 
, определенное на отрезке 
. Тогда существует 
такое, что решение 
при 
:
определено при 
и функция 
непрерывна на множестве 
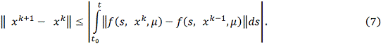
Д о к а з а т е л ь с т в о. Выберем
и зафиксируем столь малое 
, чтобы замкнутая область
принадлежала 
. Поскольку 
компакт в силу леммы f
удовлетворяет на 
условию Липшица по 
( глобально) с некоторой постоянной
Липшица L. Далее, так как f непрерывна в области 
, то она равномерно непрерывна на
. Следовательно, любому 
соответствует множество чисел 
, обладающих свойством
Пусть теперь 
удовлетворяет неравенству


а 
любое число из множества 
такое, что


Покажем, что выбранное таким образом

искомое. Пусть 
Решение 
будем строить методом
последовательных приближений Пикара. За нулевое приближение 
возьмем



-e приближение 
определяется рекуррентным
соотношение
Лемма 1. При всех 
последовательные приближения 
, определяемые формулами 
, 
, обладают следующими свойствами:
1) 
непрерывная функция.
) 
) 
Лемму 1 докажем индукцией по 
. Сначала докажем 1), 2), 3) при 
. Справедливость 1) при 
вытекает из 
. Справедливость 2) при 
следует из 
и 
, так как


Докажем справедливость 3) при 
. В силу 
Учитывая, что 
решение уравнения 
при 
, имеем
следовательно,
Очевидно, что 
Кроме, того в силу справедливости
2) при 

. Используя определение 
, получаем, что при 
откуда и вытекает 3) при 
.
Предположим теперь, что утверждения
1) - 3) леммы 1
Справедливы для приближений с
номерами 0, 1, … , 
. Докажем их справедливость для -го
приближения.
а) Согласно п.2) индукционного
предположения аргумент подынтегральной функции в 
принадлежит 
, согласно п.1) функция 
непрерывна, следовательно,
подынтегральной функция непрерывна как суперпозиция непрерывных функций, откуда
и следует непрерывность 
.
б) Достаточно доказать, что
Имеем
Отсюда, используя п.3) индукционного
предположения , 
,
, получаем оценку
в) В силу 
Используя утверждение п.2) леммы для
приближений с номерами 
и 
и учитывая, что 
удовлетворяет на 
условию Липшица с постоянной 
, из 
имеем
при 
. В силу п.3) индуцированного
предположения
что и доказывает справедливость п.в)
для приближений с номером 
. Лемма 1 доказана.
Вопрос о сходимости
последовательности заменяем эквивалентным вопросом о сходимости ряда
где 
, 

. В силу п.3) леммы 1 ряд 
сходится равномерно относительно 
к предельной функции 
. Так как 
непрерывны, то и 
непрерывная функция. Далее, так как
f
удовлетворяет на 
условию Липшица по 
, то
.
Следовательно, в 
можно перейти к пределу под знаком
интеграла. Имеем
т. е. 
решение уравнения 
с начальными данными 
. Теорема 1 доказана.
Следствие. Если 
, где 
временный интервал,
область пространства 
, и все решения продолжим на
интервал 
, то функция 
непрерывна в области 
.
В частности, для линейной системы
где 
непрерывная функция,
фундаментальная матрица Φ
, нормированная при 
, непрерывна в области 
.
2. Свойства предельных множеств
автономных систем
Рассмотрим автономную систему

f
где 

область фазового пространства.
Переформулируем теорему 1 на языке
траекторий.
Теорема 2. Пусть 
решение системы 
, причем 
,
Для любого 
можно указать 
, обладающее следующим свойством:
любая траектория 
системы 
, проходящая при 
через точку из 
окрестности точки 
, определена на промежутке 
и расстояние 
при

. В частности, точка 
принадлежит 
окрестности точки 
. Если 
, то аналогичное утверждение
справедливо при 
С помощью теоремы 2 можно установить
еще одно свойство предельных множеств автономных систем.
Теорема 3. Предельные множества
траекторий автономных систем состоят из целых траекторий.
Доказательство проведем для случая 
предельного множества. Пусть 
есть 
предельное множество траектории 
системы 
и q
. Пусть 
определена как функция 
на 
. По теореме 2 для любых 
и 
можно указать 
такое , что
Пусть 
фиксировано, 
при 
. Так как 

- предельная точка траектории 
, то для каждого можно указать 
такое, что 
. Отсюда и из 
имеем
Так как 
, следовательно,
Это означает, что 
, так как 
при 
.
Теорема доказана.
Свойство предельного множества,
выраженное теоремой 3, называется его инвариантностью. Такое название
объясняется тем, что в силу теоремы 3 предельное множество инвариантно
относительно преобразования 
. Из теоремы 2 вытекает также, что 
гомеоморфизм области 
.
3. Приближенное
решение дифференциальных уравнений
Рассмотри систему в векторной записи
где 
, 
. Пусть в рассмотренной области
вектор-функция 
непрерывна по 
и удовлетворяет условию Липшица по 
Через 
обозначается любая из обычно
применяемых норм вектора:
или
Пусть 
решение системы 
, а 
вектор-функция, удовлетворяющая
неравенствам
Тогда имеет место оценка

. 
Это неравенство можно принять для
грубой оценки ошибки приближенного решения 
системы 
, а так же для оценки сверху
разности решения 
системы 
и решения 
системы 
если 
.
Пример. Оценим ошибку приближенного
решения на указанном отрезке.

, 
t
, 
1, 
, 
, 
= 
, 
.
Пусть 
= 


, 
δ , 
= f(t, 
).



= 
, 
= t

Следовательно, по формуле
, получим

= 
+ 
=


.
Используя формулы 
, получим
то постоянная Липшица 
Рассчитывая по формуле

,
получим
Тогда ответом будет являться данное
неравенство
Список использованных источников
1. Бибиков Ю. Н. Курс обыкновенных
дифференциальных уравнений.- М.:Высшая школа, 1991.
2. Филиппов А. Ф. Сборник
задач по дифференциальным уравнениям.- Москва-Ижевск: НИЦ « Регулярная и
хаотическая динамика», 2004
. Филиппов А. Ф. Введение в
теорию дифференциальных уравнений.-
М.: КомКнига, 2007
. Зайцев В.Ф., Полянин А.Д.
Справочник по обыкновенным дифференциальным уравнениям. - М.: ФИЗМАТЛИТ, 2001