Линейная алгебра
МИНИСТЕРСТВО
ОБРАЗОВАНИЯ И НАУКИ РОССИЙСКОЙ ФЕДЕРАЦИИ
ФГБОУ ВПО
«Уральский государственный экономический университет»
Центр
дистанционного образования
Переаттестация
по
дисциплине: Линейная алгебра
Исполнитель: студент
Байдин
П.А.
Направление: Управление качеством
Группа : УК-12СВ
Североуральск
Тема 1 «Матрицы и определители»
Вычислить АВ-ВА если элементы матриц А и В
заданы:
|
2
|
-3
|
0
|
|
1
|
5
|
-4
|
|
2
|
-3
|
1
|
|
-2
|
-1
|
3
|
|
1
|
0
|
4
|
|
3
|
-4
|
7
|
|А| = |B| =
Вычислим отдельно произведения т.к. произведение
матриц не коммутативно АВ не равно ВА
Произведение матриц есть матрица
поэтому
произведение матриц АВ назовем матрицей С.Вычислим каждый элемент матрицы С
отдельно.
c1,1 =2*(-2) +(-3)*1+0*3=
(-4)+(-3)+0=-7,2
=2 *(-1) +(-3)*0+0*(-4)=(-2)+0+0=-2,3
= 2* 3+(-3)*4+0*7=
6+(-12)+0=
-6,1 =1 *(-2) +5*1+(-4)*3=
(-2)+ 5+(-12)=
-9,2 =1*(-1) +5*0+(-4)*(-4)=(-1)+0+16=15,3
=1*3 +5*4+(-4)*7=3+ 20 +(-28)=
-5,1 =2 *(-2) +(-3)*1+1*3=(-4)+(-3)+3=-4,2
=2 *(-1) +(-3)*0+1*(-4)=
(-2)+0+ (-4)
=-6,3 =2 *3 +(-3)*4+1*7=6+(-12)+7=1
|
-7
|
-2
|
-6
|
|
-9
|
15
|
-5
|
|
-4
|
-6
|
1
|
АВ
= С =
Аналогично вычисляем произведение ВА и
полученную матрицу назовем матрицаD.
d1,1 = (-20) *2+ (-1) *1+3*2 =
(-4)+(-1)+6 = 1,2 =(-2)*(-3)+(-1)*5+3*(-3)=6+(-5)+(-9) =-8,3 =(-2)*0+(-1)*(-4) +3*1=0+4+3=7,1
=1*2+0*1+4*2 = 2+0+8 =10,2 =1*(-3)+0*5+4*(-3)=(-3)+0+(-12)=-15,3
=1*0+0*(-4)+4*1=0+0+4=4,1 =3*2+(-4)*1+7*2 =6+(-4)+14 =16,2
=3*(-3)+(-4)*5+7*(-3)=(-9)+(-20)+(-21)=-50,3 =3*0+(-4)*(-4)+7*1=0+16+7=23
|
1
|
-8
|
7
|
|
10
|
-15
|
4
|
|
16
|
-50
|
23
|
BA
=D =
Разность матриц есть матрица, значит разность
матрицAB-BAбудет
матрицаE.
|
-7
|
-2
|
-6
|
|
-9
|
15
|
-5
|
|
-4
|
-6
|
1
|
|
1
|
-8
|
7
|
|
10
|
-15
|
|
16
|
-50
|
23
|
AB-BA = C - D = E = =
|
(-7)-1
|
(-2)-(-8)
|
(-6)-7
|
|
(-9)-10
|
15-(-15)
|
(-5)-4
|
|
(-4)-16
|
(-6)-(-50)
|
1-23
|
|
-8
|
6
|
-13
|
|
|
-16
|
30
|
-9
|
|
|
-20
|
44
|
-22
|
|
|
|
|
|
|
|
=
=
|
-8
|
6
|
-13
|
|
-16
|
30
|
-9
|
|
-20
|
44
|
-22
|
Ответ:
AB-BA
=
Тема 2.
Системы линейных уравнений
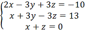
Решить систему линейных уравнений методом
Крамера.
Метод Крамера (формулы
Крамера ) - способ решения систем линейных уравнений, у которых количество
переменных равно количеству уравнений. Применение метода Крамера возможно, если
определитель, составленный из коэффициентов при переменных, не равен нулю.
Главный определитель ∆ =
(разлагаем по третьей
|
3
|
3
|
|
3
|
-3
|
|
2
|
3
|
|
1
|
-3
|
|
1
|
3
|
|
1
|
0
|
строке) = 1* +0* +1* =
=1*(3*(-3)-3*3)+0+1*(2*3-3*1)=1*(-9-9)+1*(6-3)=1*(-18)+1*3=-18*3=-15
Главный определитель отличен от нуля, значит
система имеет единственное решение.
определитель ∆x
= (разлагаем по третьей строке
умножение на ноль опустим) =1* =
1*(10*3-3*0)=1*(-30-0)=
=1*(-30)=-30
определитель ∆y
= = (разлагаем по второмустолбцу
умножение на ноль опустим) = -(-10)*
= -(-10)*(1*1-(-3)*1)=
= 10*4=40
определитель ∆z
== (разлагаем по третьей строке
умножение на ноль опустим)= 1* =
1*(3*0-(-10)*3)=1*30=30
x=∆x/∆=-30/-15=2
y=∆y/∆=40/-15=-2,6667
z=∆z/∆=30/-15=-2
Ответ: x=2;
y=-2.6667; z=-2;
Тема 3-4.
Векторная алгебра. Уравнение прямой
По координатам вершин треугольника ABC найти:
. уравнения сторон AB и АC;
. уравнение высоты AD;
. угол ВAC;
. периметр треугольника;
. площадь треугольника.
Сделать чертеж.
А(-3;4); В(-3;0); С(3;0).
Сделаем чертеж с которым будем работать при
выполнении данного задания.
Рисунок 1 Треугольник ABC.
Найти уравнение стороны AB
Известны координаты точек A
(-3, 4) и B (-3, 0).
По чертежу видим, что прямая AB
параллельна оси Y.
Любая произвольная точка, принадлежащая прямой AB,
имеет координату по оси X
равной -3.
А если точка не принадлежит прямой AB,
то ее координата по оси X
не равна -3, т.е. уравнение
прямой AB имеет вид:
x = -3
Найти уравнение прямой AC
Уравнение прямой проходящей через точки A
(xa, ya)
и C (xc,
yc) в общем виде:
x - xay
- y a
xc
- x ay c - y a
Подставим
координаты точек A (-3, 4) и
C (3, 0) в уравнение
прямой
x - (-3) y
- 4
=
- (-3) 0 - 4
x + 3 y
- 4
-4
x + 3
y - 4
=
3 -2
В знаменателях пропорции стоят числа 3 и -2.
Вектор SAC
= (3, -2) направляющий вектор прямой AC.(Рис.
1)
Он параллелен
прямой AC.
( x
+ 3 ) = 3 ( y - 4 )
2 x
- 6 = 3 y - 12
уравнение прямой AC
имеет вид
2 x - 3 y + 6 = 0
Коэффициенты при переменных х и y в уравнении
прямой AC равны -2 и -3. (Рис.1) Вектор NAC
= (-2, -3) нормальный вектор прямой AC он перпендикулярен прямой AC.
Найти уравнениевысоты
AD
Треугольник ABCпрямоугольный
высота опущенная из углаАк стороне BC.
Точка Dсовпадает с точкой Bи
имеет общие с ней координаты.
Очевидно, высотаAD
параллельна оси Y.
Если мы возьмем абсолютно произвольную точку,
принадлежащую AD, то ее
координата по оси X равна -3.
А если точка не принадлежит прямой AD,
то ее координата по оси X
не равна -3, т.е. уравнение
высотыAD имеет вид:
x = -3
Найти угол ВAC.
Напишем формулу скалярного умножения для
векторов AB и AC
AB * AC= | AB | * | AC | * cos A
Для нахождения угла BАC,
нам достаточно найти косинус данного угла. Запишем выражение для косинуса угла
А.
AB
*AC угла
ВAС
=
|
AB | * | AC
|
A (x a, y a) = (-3, 4) ; B (x b, y
b) = (-3, 0) ; C (x c, y c) = (3, 0)= ( xb - x a, y b - y a) = ( -3 - (-3), 0 -
4 ) = ( 0, -4)= ( xc - x a, y c - y a) = ( 3 - (-3), 0 - 4 ) = ( 6, -4)
AB * AC
= 0 * 6 + (-4) * (-4) = 16
Найдем длины векторов AB
и AC.
| AB | 2 = ( xb - x a) 2 + ( y b - y
a) 2 = 0 2 + (-4) 2 = 16
| AB | = 
= 4- длина вектора (длина стороны AB)
|AC| 2 = (
xc - xa) 2 + ( yc - ya) 2 = 6 2 + (-4) 2 = 52
| AC | = 
= 7.21 - длина вектора (длина
стороныAC)
Найти периметр треугольника
Из предыдущего задания мы знаем длины двух
сторон треугольника ABCэто
сторона AC = 7.21 и
сторона AB = 4. Для
нахождения периметра следует узнать длину стороны BCона
равна длине вектора | BC
|.Найдем длину данного вектора.
Координаты точек B (x b, y b) = (-3, 0) и C (x
c, y c) = (3, 0)
| BC
| 2 = ( xb - x
c) 2 + ( y
b - y
c)2 = (-6) 2 + 0 2 =
36
| BC | = 
=6
Периметр треугольника равен сумме
всех его сторон.
PABC= AB +
BC + AC = 4 + 6 + 7.21 = 17.21= 17.21
Найти площадь треугольника
Треугольник ABCпрямоугольный
значит его площадь равна половине произведения его катетов (произведению высоты
на основание)
Высота это сторона AB = 4 ,
основание сторона BC = 6
Тема 5. Кривые
второго порядка
Дано 25x2+9y2=255
Определить тип кривой второго
порядка и ее основные геометрические характеристики. Сделать
чертеж.
Преобразуем заданное уравнение к
виду
x29y2
255
+ = 225
255 255
x2
9y2
+ = 1
*25 9*25
x2y2
+
=
1
9 25
x2y2
+ =
1
32
52
Отсюда следует, что это эллипс с полуосями a=3и
b = 5
Зная полуоси для целых чисел:
x = ± 3 y
= 0
x = 0 y
= ± 5
матрица
линейное уравнение кривая
Решение для переменной y
25x2
+ 9y2
= 255
y2=
255 - 25x2
255-25x2
y2
=
9
=

9
5 

3
для отрицательных значений
5 
y= -
3
Построим чертеж
|
x
|
±3
|
±2.4
|
±1.8
|
0
|
|
y
|
0
|
±3
|
±4
|
±5
|
Чертеж построен средствами MSEXCEL (Приложение
1)
Графические характеристики
Большая полуось a = 5
Малая полуось b = 3
Центр ( 0 ; 0 )
Фокусное расстояние c = 
= 
= 4
Фокус F1 = ( 0 ; 4 )F2 = ( 0 ; - 4 )
Эксцентриситет эллипсаe = c/a =4 / 5