Синтез системы автоматического управления
МОСКОВСКИЙ
АВИАЦИОННЫЙ ИНСТИТУТ
РАДИОВТУЗ
МАИ
Курсовая
работа
По
дисциплине: «Основы теории управления»
По
теме:
«Синтез
системы автоматического управления»
Москва
год
1. Описание объекта в переменных
состояниях
Получили систему
В матричном виде
А - матрица системы, В - матрица
управления
В конце управления
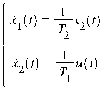
Введём новый вектор состояние
Учтём, что
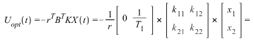
. Поиск оптимального управление
объектом для перевода выхода объекта из нуля в состояние f(t)=const по критерию
- весовой коэффициент
ошибки управления, он задан матрицей
R - весовой коэффициент
энергетических затрат на управление
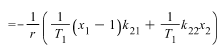
Запишем оптимальное управление для
этого случая

Решим алгебраическое
уравнение Риккати:
Из (2) и (3)
Из (1)
Из (4)


3. Переход от полученной структурной
схемы к схеме следящей САУ
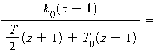
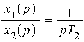
Определение дискретной передаточной
функции замкнутой линеаризованной аналого-цифровой системы.
,
где
Билинейное
преобразование:



Схема замкнутой системы
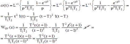
График переходной
характеристики и сигнала управления
Частотная характеристика
замкнутой системы
Схема разомкнутой
системы
Частотная характеристика
разомкнутой системы
. Определение частоты
дискретизации. Оценка устойчивости полученной дискретной системы


По полученным характеристикам имеем:
ωср = 70 Гц.
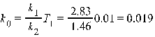
Тогда T 

→ T 
0,0286с
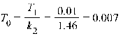
Интервал дискретизации
берём следующий:д1 ≈ 0,2/ωср

0,002 c,д2 ≈
0,02/ωср 
0,0003 c.
Проведём оценку
устойчивости системы по критерию Гурвица. Устойчивость системы определяется
знаменателем передаточной функции Wз(z), который представлен
полиномом второй степени. В этом случае система будет устойчива, когда будет
выполнено следующее условие:
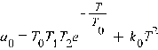
Рассчитаем передаточную
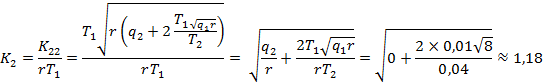
функцию Wз(z) и оценим её устойчивость при заданных коэффициентах:1
= 0,01;2 = 0,04;1 = 8;2 = 0;= 1;
Произведя расчёты в предыдущих
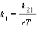
пунктах, получили следующие значения коэффициентов:






Рассчитываем
коэффициенты при различных степенях z с учетом интервала дискретизации
аналого-цифровой САУ T=1мс:
Так как условие для устойчивости
выполняется, то данная система является устойчивой.
Графики для интервалов дискретизации
Tд1 = 2мc и Tд2 = 0,3 мс представлены ниже.
График переходных процессов
Частотная характеристика
автоматическое управление аналоговый
цифровой
Вывод
В результате проделанной работы было
выявлено, что с уменьшением интервала дискретизации Tд дискретная
система становится ближе к аналоговой и более точно передает её характер.