Совершенствование системы логистики снабжения в организации (на примере ООО 'Приоритет')

  • Вид работы:
    Дипломная (ВКР)
  • Предмет:
    Маркетинг
  • Язык:
    Русский
    ,
    Формат файла:
    MS Word
    2,19 Мб
  • Опубликовано:
    2012-12-11
Вы можете узнать стоимость помощи в написании студенческой работы.
Помощь в написании работы, которую точно примут!

Совершенствование системы логистики снабжения в организации (на примере ООО 'Приоритет')

ОГЛАВЛЕНИЕ

ВВЕДЕНИЕ

ГЛАВА I. ТЕОРЕТИЧЕСКИЕ И МЕТОДИЧЕСКИЕ ОСНОВЫ ЛОГИСТИКИ СНАБЖЕНИЯ

.1 Понятие и сущность логистики снабжения

.2 Пути совершенствования системы логистики снабжения

.3 Методы исследования, применяемые в логистике снабжения

ГЛАВА II. АНАЛИЗ СИСТЕМЫ ЛОГИСТИКИ СНАБЖЕНИЯ ООО «ПРИОРИТЕТ»

.1 Краткая экономическая характеристика объекта исследования

.2 Анализ организации системы логистики снабжения

.3 Анализ показателей эффективности системы логистики снабжения

ГЛАВА III. СОВЕРШЕНСТВОВАНИЕ СИСТЕМЫ ЛОГИСТИКИ СНАБЖЕНИЯ В ООО «ПРИОРИТЕТ»

.1 Предложения по совершенствованию организации системы логистики снабжения

.2 Предложения по оптимизации размера заказа

.3 Экономическая оценка (затрат, эффектов, эффективности) реализации предложений

ЗАКЛЮЧЕНИЕ

БИБЛИОГРАФИЧЕСКИЙ СПИСОК

Введение

 

Тема ВКР - «Совершенствование системы логистики снабжения в организации (на примере ООО «Приоритет»)».

Актуальность выбранной темы обусловлена следующими факторами:

.За последние несколько лет логистике в большинстве компаний стали уделять значительно больше времени, нежели раньше. И это неудивительно, ведь от стабильности поставок, оптимальности маршрутов зависит прибыль бизнеса.

.При использовании логистических инструментов планирование становится более понятным и позволяет организации оставаться в выигрыше за счет ускоренной оборачиваемости товара, снижения издержек и оперативного реагирования на запросы потребителей.

.Конкуренция во всех ведущих отраслях в наши дни достигает глобальных масштабов, и потому менеджмент организаций стремится вперед, превращая простые логистические цепочки поставок из обычных обслуживающих инструментов в стратегические активы бизнеса. Такая функциональная часть компании позитивно влияет на конечный результат, в том числе на ее капитализацию.

Чтобы использовать службу логистики как стратегический инструмент, организации необходимо четко контролировать свои затраты и источники прибыли, а самой службе необходимо выстроить цепочки поставок, которые бы соответствовали общей стратегии бизнеса. Менеджменту необходимо четко понять разницу между созданием ложного имиджа «важности» службы логистики и необходимостью реального управления ресурсами и компетенциями, дабы оптимизировать логистические процессы службы и повысить их эффективность.

Фрагментация и децентрализация управления логистическими процессами очень часто препятствует эффективности материальных потоков в глобальной бизнес-среде. Но также нет системы, которая могла бы достичь пика своего потенциала без эффективных инструментов измерения и регулирования результативности системы логистики.

Объект исследования - организация ООО «Приоритет».

Предмет исследования - система логистики снабжения данной организации.

Цель исследования - разработка мероприятий по совершенствованию системы логистики снабжения ООО «Приоритет».

Данная цель подразумевает решение следующего ряда задач:

.Рассмотреть понятие и сущность логистики.

.Обобщить пути совершенствования системы логистики снабжения.

.Изучить методы исследования, применяемые в логистике снабжения.

.Дать краткую характеристику исследуемой организации.

.Проанализировать организацию системы логистики снабжения ООО «Приоритет».

.Проанализировать эффективность системы логистики снабжения ООО «Приоритет».

.Предложить меры по совершенствованию системы логистики снабжения для ООО «Приоритет».

.Рассчитать экономический эффект предложенных мероприятий.

Вопросам логистики снабжения организаций посвящено большое количество трудов отечественных и зарубежных авторов. Таких, как Доналд Дж. Бауэрсокс, Г.Л. Бродецкий, Штефан М.Вагнер, А.М. Гаджинский, Дж. Гатторна, М. Джиллингем, В.В. Дыбская, Д.А. Иванов, Дэйвид Дж. Клосс, М. Кристофер, К. Лайсонс, Дуглас М. Ламберт, Ю.М. Неруш, В.И. Сергеев, Джеймс Р.Сток, И.П. Эльяшевич. Однако, несмотря на это, в научной литературе проблематике оптимизации закупок товаров, работ и услуг при многих критериях с учетом рисков уделено недостаточное внимание. Такие авторы как В.И.Сергеев и И.П.Эльяшевич указывают на целесообразность многокритериальной оценки поставщиков с целью минимизации рисков снабжения. Тем не менее, методы многокритериальной оптимизации с учетом рисков применительно к закупочной деятельности организаций и механизмы их внедрения в научной литературе пока описаны не достаточно полно. Методы нахождения наилучших решений для задач такого типа при многих критериях только начинают разрабатывать.

В ходе исследования предполагается использование метода системного анализа; кибернетический метод; методы экономико-математического моделирования; ABC-метод и др.

Теоретической и методической базой ВКР послужили труды отечественных и зарубежных ученых по вопросам теории и практики логистики и управления цепями поставок, управления снабжением, многокритериальной оптимизации, в том числе с учетом рисков, а также законодательные и нормативные акты Российской Федерации.

Информационной базой ВКР послужили данные Госкомстата РФ, статистические данные ООО «Приоритет», данные управленческой отчетности ООО «Приоритет».

Глава I. Теоретические и методические основы логистики снабжения

 

.1 Понятие и сущность логистики снабжения


Логистика - наука, изучающая закономерности и принципы поточной организации материи [2, с.9].

Логистика как отдельное направление научной мысли сложилась в середине XX столетия. Она относится к наукам, возникшим на базе тектологии - учения о всеобщей организованности. При описании логистических систем необходимо исходить из общей характеристики тектологических систем. На построение логистических объектов влияют всеобщие законы организации - закон подбора и закон меры.

Выделяются три вида логистики - экономическая логистика, военная логистика и математическая логистика; они различаются по сферам применения и областям знания.

При исследовании системы логистики предприятия речь идет об экономической логистике, которая исследует потоковую форму организации экономической материи.

Различаются два состояния логистики: логистика - область научного знания и логистика - специфический вид хозяйственной деятельности. Наука «логистика» вырабатывает знания о поточной форме организации экономической материи, она формирует общую теорию логистики, которая служит теоретической и методологической базой для отраслевых и функциональных логистик; к последним относится и логистика снабжения.

В практической экономике под логистикой понимается специфический способ управления материальными и связанными с ними информационными, финансовыми и сервисными потоками в сферах производства и обращения.

Практическая логистика занимается организацией и управлением экономическими потоками в разных сферах хозяйственной системы.

Логистика снабжения - часть общей учебной дисциплины «Логистика», которая изучает закономерности потоковой формы движения экономической материи [4, с.20].

Рассмотрим подробнее основные логистические операции снабжения (рис.1.1).

Рис.1.1. Функциональный цикл снабжения

Методологические подходы к определению понятия поток разработаны политической экономией в теории кругооборота и оборота капитала. В процессе кругооборота и оборота авансированные средства образуют поток, поочередно принимают и сбрасывают вещественную и стоимостную форму. В политической экономии поток рассматривается как экономический процесс, проходящий непрерывно во времени и измеряемый в единицах за некоторый период времени. В данном определении учтены две важные черты: поток отнесен к экономическим процессам и акцент сделан на его временной характеристике, что вполне достаточно для теории кругооборота и оборота капитала [3, с.11].

В науке «логистика» поток - основная категория. Термин «основная категория» означает, что речь идет об исходном понятии, которое содержит в зародыше все дальнейшее развитие логистики в целостную систему научного знания. Поток в логистической системе относится к высшей ступени организованности. Это и особая форма организованности, приспособленная для постоянного пребывания в состоянии динамики. Для нее характерно:

а) внутреннее изменение форм;

б) постоянная борьба форм;

в) взаимные переплетения форм (элемент, цепь, сеть и т. п.)

Поток - неограниченно дробящийся в своих частях, но непрерывный и не разрывный в целом. И еще одна характеристика. В экономическом потоке представлены формы первичные, основные и формы вторичные, производные от основных [7, с.8].

Чаще первичной формой является материальный поток. Но сложная система организованности не исключает возможности взаимоперехода первичных и вторичных форм.

Материальный поток приводит в движение сопутствующие ему потоки. Образуется взаимосвязь потоков, разных по содержанию и сложности индивидуальной организованности, что позволяет оформить различие внутри экономической логистики: выделяется коммерческая логистика, финансовая логистика, информационная логистика и сервисная логистика, которые образуют ее внутренние подсистемы. Центром всей этой совокупности является материальный поток. Его обслуживает коммерческая логистика, которая в свою очередь включает в себя ряд функциональных логистик.

Поток - единство связно текущих процессов. Он протекает в постоянно обновляющейся среде, это - движение в развитии. В нем синтезированы различные по природе, но взаимообусловленные характеристики:

а) количественные и качественные изменения в экономической материи;

б) изменения, происходящие в самой форме движения, - включение поэтапности. Поэтапность - это уже иная, более сложная форма движения. Она одновременно задействует две противоположные силы - одна возникает при упорядочении связей, другая - при разрыве связей. В состоянии, когда связи упорядочены, происходит накопление энергии подъема, наблюдается количественный рост. Разрыв связей - исчерпание энергии подъема, спад. Подъем и спад образуют единство, единый цикл движения экономического потока. В поэтапности учитывается предыдущее и последующее состояния экономического явления, их взаимодействие, переход из одного состояния в другое. Прерывность течения порождается и внутренними причинами - процессом движения самих потоков. Перемещение материальных масс в пространстве из одного места в другое сопровождается изменениями состояния внешней экономической среды и внутреннего состояния потока. В логистике данные изменения конкретизированы в понятиях «поток-перемещения» и «поток-изменения». Паузы, иначе прерывность течения в пространстве, наступают при создании запасов товарной массы в определенных пунктах их сосредоточения.

При складировании прекращается перемещение материального потока в пространстве, но изменение его внутреннего состояния продолжается. Прервав перемещение в пространстве, поток теряет часть энергии. Но преобразования, а они затрагивают и физическое состояние вещества, и стоимость товара, и формы организации рынка, позволяют компенсировать потери и накопить энергию для нового этапа движения. Поточная форма организации улавливает, пульсацию экономической материи, в том числе такое состояние, когда пространственного перемещения нет, и вся энергия переходит во внутрипотоковые изменения, и наоборот.

В логистическом потоке может быть представлена организованность разной степени сложности, которая опосредствует разнообразие его формы: элементы, цепи, сети, каналы. Поток - это общность, которая течет и формируется во времени. Он - проявление единства трех состояний времени - прошлого, настоящего и будущего. Течение возникает, развивается и завершается; следовательно, оно имеет начало и конец. В потоке течение связное и постоянное, в пространстве и во времени. В таком контексте логистическая система есть поток организующих активностей.

Выделив признаки-характеристики категории «поток», дадим ему такое определение: поток - проявление триединого времени, форма организации экономической материи, самодвижение, когда все само собою несется, течет по руслу связно и постоянно. Эта простая целостность выходит за пределы отдельных логистических актов, развивается по своим особым нормам и проявляется как некоторая общая функция, вносящая единство и связность в разрозненные хозяйственные акты.

В практическом плане организация поточной формы - весьма сложное дело, требующее наличия определенных экономических, технических, организационных и юридических условий; функционирование потока (например, поточное пространственное перемещение материальных ресурсов) требует значительной концентрации труда и средств.

Поэтому в потоке должны преобладать созидающие активности.

У материального потока имеется два источника силы, две первопричины. Роль первотолчка, первопричины товарно-денежных потоков выполняет торговая сделка. Началом потока могут стать и распределительные процессы - распределение материальных ресурсов и сопутствующих им денежных средств. Обе первопричины могут проявляться единовременно (это характерно для военной логистики); иногда материальный поток вызывает одна из них. Данное теоретическое положение, подтвержденное исторической практикой, имеет принципиальное значение для понимания природы логистики и ее отличия, например, от коммерции.

Наличие у логистики двух источников силы позволяет применять ее в рыночных и нерыночных экономических системах, а так же в системах с неполным рыночным насыщением, что особо важно для современного российского хозяйства.

В логистическом знании поток должен быть представлен как более сложная целостность. Он здесь рассматривается не в готовом виде, а в процессе развития, перехода от простого состояния к сложному.

Каждая наука имеет свой предмет, который она познает: выделяет сущность из явления, отдельно рассматривает форму и содержание, выявляет закономерности развития, определяет степень его влияния на общее эволюционное движение. Предметом логистики является поток. Однако поток как явление не ограничивается областью хозяйственной деятельности. Логистика в отличие, например, от физики, познающей законы природы, относится к конкретным экономическим (общественным) наукам, изучает вполне определенный срез символической реальности, то есть реальность, которую творит человек [6, с.25]. Она исследует не потоковую форму организации как таковую, а экономические потоки в системе хозяйства.

Предмет и научное основание экономической логистики - материальные потоки в хозяйственных системах.

Формы организации самого потока различаются по степени сложности. Материальный поток приводит в движение сопутствующие ему потоки, оставаясь центром потокового движения. Новое образование принимает форму экономического потока. Его обслуживает коммерческая логистика.

Разное содержание интегрированных потоков проявляется в виде различия внутри коммерческой логистики; так образуются функциональные логистики.

Выводы по параграфу:

Выявлено, что логистика снабжения как функциональная область коммерческой логистики изучает закономерности материального потока при организации обеспечения внутрипроизводственных потребностей в материально-технических ресурсах в нужное время, в нужной форме и по конкурентной цене. Основные задачи логистики снабжения - осуществление закупок, снабжение и физическое товародвижение. Объектной областью логистики снабжения является поток материальных ресурсов и услуг, циркулирующих в функциональном цикле снабжения. Объектом изучения учебной дисциплины «Логистика снабжения» являются: материальный поток и сопутствующие ему информационные, финансовые и сервисные потоки в функциональном цикле снабжения; формы организации материального потока (логистические сети, логистические цепи, логистические каналы).

1.2 Пути совершенствования системы логистики снабжения


В нынешних условиях при формировании логистических хозяйственных связей применяются современные методы программирования и информационно - телекоммуникационные системы, способствующие их рационализации и оптимизации.

Например, RP - Requirements / resource planning - планирование потребностей (ресурсов) используется при проектировании хозяйственных связей в системах «толкающего» типа. Эти системы позволяют оптимизировать параметры материального потока за счет контроля запасов материальных ресурсов, путем оперативной коррекции производственных планов и взаимодействия участников хозяйственных связей в режиме текущего времени [14, с.10].

Существенно снизить запасы через учет потребностей в ресурсах позволяет использование информационно-компьютерной поддержки «тянущего» типа «JIT» - Just-in-time - (точно-во-время). Она послужила основой для внедрения технологии «LP» - «Lean Production» (Lean Manufacturing). Буквальный перевод с английского названия этой технологии - «экономное производство». Экономия достигается за счет работы производства на минимальном запасе и сокращения промежуточных операций. Эта технология, так же, как и ее производные, не реализуется без постановки на предприятии системы управления качеством (TQM - Total Quality Management - комплексное управление качеством). Тактика этой технологии в том, чтобы планомерно избавляться от потерь в звеньях, выясняя, оптимальны ли движение материалов, действия рабочих, можно ли уменьшить время обработки деталей, оптимален ли технологический процесс и т. д. Технология «Value added logistics», в русской интерпретации - «логистика добавленной стоимости», определяет целесообразность операций со стороны потребителя и позволяет контролировать экономическую целесообразность затрат в логистической цепи. Эта технология позволяет учитывать при формировании хозяйственных связей показатели необходимого и достаточного уровня логистического сервиса.

Информационные технологии типа «Time-based logistics» или «Логистика в реальном масштабе времени» базируются на идее сокращения продолжительности логистического цикла заказа. В данном случае наибольшей ценностью выступает время, которое тратится на исполнение полного цикла оборота. Оптимизация достигается за счет сокращения потери времени на всех этапах жизненного цикла продукта. Формирование хозяйственных связей происходит и с помощью технологий «E-logistics» (электронная логистика) и «Virtual logistics» (виртуальная логистика), которые позволяют обеспечить выполнение особых требований к объемам, качеству и скорости передачи данных и обработки информации. Информационная технология «ECR - Efficient Customer Response» (Эффективная реакция на запросы потребителей) фокусируется на распределении, продвижении, продаже товаров. Применение компьютерных технологий интеграции систем поставщика / продавца и оптового покупателя позволяет продавцу более эффективно использовать торговую площадь магазинов, а производителю - быстрее реагировать на изменения спроса, снижать запасы в цепи поставок и увеличивать объемы продаж.

В процессе эволюции компьютерных технологий функционал информационных систем значительно расширился, да и сами технологии претерпели изменения. Эти изменения позволили обеспечить условия взаимодействия различных информационных технологий в рамках технологии « SCM - Supply chain management» (Управление цепями поставок). В информационно-технологическом плане такая технология поддерживает корпоративную стратегию компании, она составляет часть информационной системы «ERP - Enterprise Resource Planning» (Интегрированное планирование ресурсов). В отличие от предшествующих технологий при ее использовании под управление и оптимизацию попадают не локальные блоки, а вся цепь поставок [16, с.164].

Алгоритм применения методов оптимизации закупок при многих критериях в условиях риска в службе логистики предприятия представлен на рис.1.2 [21, с.201].

Рис. 1.2 Алгоритм применения методов многокритериальной оптимизации

Для внедрения методов многокритериальной оптимизации логистики снабжения предполагается межфункциональное взаимодействие между службами предприятия, в том числе в части обмена информацией для расчета показателей частных критериев и определения оптимальных вариантов закупок товаров, работ и услуг.

Необходимо также упомянуть в данном параграфе об инновациях в логистике.

В общем виде под инновационной логистикой понимается такая качественная структурная характеристика и организационные приемы логистики, где преобладают инновационные формы организации управления и технологий, обеспечивающие устойчивое генерирование и внедрение нововведений во всех ее функциональных областях.

Предметом инноваций в логистике является оптимизация траектории экономических потоков, циркулирующих в цепи (сети), с целью сокращения времени логистического цикла, рационализации общих издержек товародвижения, повышения эффективности развития логистической цепи.

К основным направлениям инновационного развития логистики относятся: инновации, касающиеся продуктовых характеристик материальных потоков, и инновации, нацеленные на совершенствование формы потоков. В первом случае инновации связаны с генерированием идей создания инновационных продуктов (услуг), внедрением «ноу-хау», научно-исследовательскими разработками. Во втором случае инновации решают сложнейшие проблемы постоянного обновления информационных технологий, организационных структур, форм материальных потоков, логистических систем.

Инновациям отводится главная роль в развитии научно-технического прогресса.

Внедрение новшеств включает, как правило, три основные стадии: первая - от исследований до первого производственного освоения; вторая - от первого освоения до развертывания выпуска в масштабах, достаточных для удовлетворения потребности всего народного хозяйства; третья - от производства новшества до его использования конечным потребителем, включая техническое обслуживание и утилизацию отработанного изделия. Прохождение нововведений через эти стадии называют инновационным процессом.

Поскольку инновации должны осуществляться не как разовые акции, а как непрерывное развитие, качественное совершенствование, то осуществление инновационного процесса предполагает активную логистическую поддержку, которая должна соответствовать сути нововведений.

При этом сама логистическая деятельность претерпевает качественные изменения. Успешность выполнения инновационной функции логистики в значительной степени зависит от согласованной работы всех ее функциональных областей. Способность логистики к инновациям составляет инновационный потенциал логистики.

Под инновационным потенциалом логистики понимается способность логистической цепи (сети) или какой-либо функциональной области логистики осуществить впервые или воспроизвести (воспринять) ту или иную инновацию [15, с.103].

Инновационный потенциал логистики не стоит смешивать с «потенциалом инновации». Под ним подразумеваются возможности дальнейшего совершенствования самой инновации, появление на ее основе других новшеств, а также распространение ее на новые области и получение дополнительного эффекта.

Инновации протекают во времени и различаются по содержанию. Можно выделить инновации как явление, инновации как процесс, инновации как деятельность.

Инновации как явление представляют собой результат внедрения новшеств (осуществление процесса инноваций), материализованный в продуктовых характеристиках товара, услугах, технологиях, организационной структуре, производственном оборудовании.

Инновации как процесс - это совокупность действий, осуществляемых для последовательного изменения инноваций как явления.

Инновации как деятельность характеризуются новыми формами объединения науки, техники, производства. Они включают постановку цели, выбор средств и достижение результата.

Распространение получают так называемые диверсифицированные научные центры - мощные научно-технические комплексы по разработке и ускорению внедрения инноваций. Такие центры способны проводить исследования в широком диапазоне научных направлений, концентрируя творческий потенциал и финансовые ресурсы на приоритетных направлений и ориентируясь на междисциплинарные, межфункциональных исследования. Такого рода разработки выполняются силами программно-целевых групп.

При этом не только обеспечивается перелив знаний из одной научной сферы в другую, но и преодолеваются негативные тенденции чрезмерной дифференциации научно-технических знаний, что способствует созданию новых видов техники, технологий, материалов, решаются проблемы ускоренного внедрения нововведений.

Инновации в логистике снабжения можно классифицировать по следующим признакам: по содержанию - технические, организационные, экономические; по степени новизны и глубины вносимых изменений - абсолютно новые (радикальные), относительно новые (базовые), частично новые (улучшающие и модификационные); по инновационному потенциалу - радикальные, комбинированные, модифицированные; по особенностям инновационного процесса - внутриорганизационные, межорганизационные; по этапам жизненного цикла инновации - от идеи до осуществления, по технологии осуществления; по организации управления; по длительности этапов инновационного процесса - в процессе осуществления проекта, периодически, постоянно; в зависимости от степени использования научных знаний - НИР с ограниченной областью применения, в рамках существующих технических знаний, путем комбинирования различных областей и типов знаний, использование одной инновации в различных функциональных областях, применение уже известных технологий в новой сфере; по способу разработки - экспериментальные, прямые; по уровню управления - макроуровень, мезоуровень, микроуровень; по отношению к логистической системе - инновации на входе, инновации на выходе, инновации системной структуры; по сферам разработки - отдельная функциональная область, частный заказ, промышленная, торговая, финансовая и др.; по типу новизны - новые для отрасли в стране, новые для данного предприятия (группы предприятий).

Такая дифференциация инноваций предоставляет возможность выработать подходы к их оценке и определения целесообразности использования в тот или иной момент времени.

Инновационная логистика снабжения создает предпосылки для обновления всего логистического потенциала предприятия и повышения конкурентных преимуществ проектируемых сетей поставок. На практике логистика снабжения может осуществлять одновременно несколько инновационных процессов. Совокупность инновационных процессов характеризует инновационную политику снабжения.

Разработка инновационной политики является составной частью стратегии инновационного развития логистики и предприятия в целом.

Применительно к логистике снабжения стратегии инновационного развития подразумевают нацеленность на внедрение оригинальных технологий, освоение новых моделей взаимодействия с поставщиками материальных ресурсов, использование новых информационных технологий и программных продуктов.

Выводы по параграфу:

Рассмотрены следующие современные методы программирования и информационно - телекоммуникационные системы: RP - Requirements / resource planning, Just-in-time, Total Quality Management, Efficient Customer Response и мн.др. При этом выявлено и показано, что применение компьютерных технологий интеграции систем поставщика / продавца и оптового покупателя позволяет продавцу более эффективно использовать торговую площадь магазинов, а производителю - быстрее реагировать на изменения спроса, снижать запасы в цепи поставок и увеличивать объемы продаж. Также изучена современная модель алгоритма применения методов многокритериальной оптимизации. Раскрыты основные направления инновационного развития логистики: инновации, касающиеся продуктовых характеристик материальных потоков, и инновации, нацеленные на совершенствование формы потоков. Подчёркивается, что логистическим инновациям отводится важнейшая роль в развитии научно-технического прогресса.

 

.3 Методы исследования, применяемые в логистике снабжения


Совершенствование логистических хозяйственных связей базируется на «прозрачности» и «предсказуемости» их развития. Решение такой задачи невозможно без сбора достоверной информации и последующего ее анализа. По этой причине в общей теории логистики повышенное внимание уделяется новому научному направлению - логистические исследования.

Логистические исследования хозяйственных связей включают анализ содержания товарных потоков, сопровождающих экономические, социальные, коммуникативные процессы на макро- и микроуровне.

Разработка общего подхода к проведению логистических исследований хозяйственных связей предполагает использование разных методов анализа и проектирования логистических потоков, включая научную базу таких дисциплин, как: экономическая теория, маркетинг, менеджмент, математика, исследование операций, экономическая кибернетика и другие.

Одним из наиболее универсальных способов описания логистических потоков при исследовании хозяйственных связей являются экономико-математические методы и моделирование. Это набор формализованных средств, реализуемых в информационных технологиях на основе компьютеров и коммуникационной техники, используемый для решения управленческих задач в логистике.

При решении задач рационализации логистических хозяйственных связей используют графический метод. Графическая схема движения логистических потоков позволяет проследить пути перемещения, выявить моменты их генерации, преобразования и поглощения, операции, которые с ними осуществляются. В результате анализа схемы потока можно установить объем, характер и сроки выполнения работ для каждого звена логистической системы, наличие контроля за ними, или полное его отсутствие, причины излишне длительного хранения продукции и неоправданных задержек при поставках ее потребителю. Простота, универсальность, наглядность и экономичность графического метода описания логистических потоков способствуют его широкой известности и частоте практического использования. Но необходимо отметить ряд ограничений применения данного метода на практике. Во-первых, при увеличении звеньев в логистической системе и сложности самой системы графическая схема может быть настолько велика, что потеряет свою ценность как средство анализа. Во-вторых, графические схемы анализа логистических потоков в процессе их реализации отличаются значительной трудоемкостью, что при динамичном характере логистических процессов отражается на сроках проведения анализа и ценности его результатов. В-третьих, графические приемы, в виду отсутствия соответствующего критерия, не позволяют качественно и количественно оценить степень эффективности используемых мер по оптимизации потоков [12, с.30].

Поэтому сложность формализации логистических процессов с помощью графических методов часто затрудняет их использование на практике.

При исследовании логистических хозяйственных связей применяется метод теории графов. Этот метод обеспечивает наглядность движения потоков. Появляется возможность проследить динамику управления и движения логистических потоков, оптимизировать хозяйственные связи. Основными направлениями использования теории графов в практике логистических исследований являются: исследование потока на основе его сетевой модели; графические методы исследования потоков; описание потоков с помощью графов типа «дерево».

Исследование логистических хозяйственных связей нередко предполагает предварительное изучение процесса выработки рациональных маршрутов перевозки и составление оптимальных графиков доставки продукции потребителям. В этих целях применяют и сетевые модели. Анализ сетевых моделей осуществляется способом нахождения критического пути, резервов времени, определения узких мест, перераспределения ресурсов и т. д. В системе логистического менеджмента сетевые модели в бόльшей степени известны как оптимизационные методы PERT-анализа (PERT - Program Evaluation and Review Technique). Они имеют несколько разновидностей, в том числе: PERT-cost -оптимизация по затратам; PERT-time - оптимизация по времени; PERT-reliability - оптимизация по надежности.

Методология, заложенная в основе сетевого моделирования, позволяет использовать ее при организации поставок продукции от поставщиков потребителям в логистике снабжения, при построении дистрибутивных каналов и сетей в логистике обмена, при проектировании мест дислокации оптовых складов, сервисных центров и других звеньев логистической системы. Например, для проектирования эффективных дистрибутивных каналов и сетей в розничной торговле целесообразно использовать подход, который можно охарактеризовать как «линия баланса». Он предполагает оценку проектируемых дистрибутивных каналов и сетей с позиций комплексного учета параметров времени, стоимости и уровнях готовности. Параметры сетевой модели легко рассчитываются с помощью базовых алгоритмов оптимизации модели. Это позволяет с меньшими затратами и в наиболее сжатые сроки выполнить весь комплекс запланированных сетевым графиком работ, повысить качество обслуживания потребителей [11, с.31].

Применение матричного моделирования при формировании логистических хозяйственных связей, как правило, ассоциируется с использованием модели межотраслевого баланса. Эта модель позволяет провести анализ взаимосвязи отраслей народного хозяйства, распределения между ними выпуска продукции, услуг, формирование конечного продукта и ряд других аспектов. Она применяется и при проведении логистических исследований межрегиональных хозяйственных связей и позволяет рассматривать отдельные отрасли в разном качественном состоянии: с одной стороны, - как выразителей совокупного спроса и стоящих за ними покупателей материальных благ, предложенных другими отраслями (а в терминах модели «затраты»); с другой стороны, - как выразителей совокупного предложения и стоящих за ним продавцов, - производителей материальных благ, представляемых ими самими («выпуск»). Количественная взаимосвязь между отраслями в межотраслевом балансе выражается в научно обоснованных коэффициентах прямых затрат и коэффициентах полных затрат продукции.

В межотраслевом балансе отражаются основные зависимости между элементами воспроизводства - производством, распределением, обменом и потреблением. С помощью этой модели можно осуществить многовариантные расчеты развития экономики, совершенствовать пропорции ее развития, рационализировать межотраслевые связи, обеспечить структурные связи в сфере материального производства.

Межотраслевой баланс - это развитие балансового метода и он тесно связан с расчетом материальных балансов, применяемых в материально-техническом снабжении.

Таким образом, в практике логистических исследований хозяйственных связей соединены воедино графические, графоаналитические методы, сетевое моделирование, методы матричного моделирования, математического программирования.

Одним из наиболее распространенных методов логистического анализа и контроля состояния запасов является АВС-метод.

Это классификационный метод. При его использовании запасы группируются на основе сопоставления количественно-стоимостных характеристик материальных ресурсов, при этом предполагается разделение потребляемых предприятием материальных ресурсов на три неравномерных подмножества - А, В и С. В экономической литературе при упоминании метода АВС-анализа проводится аналогия с «принципом Парето» или «правилом 20/80» [20, с.29].

Принцип Парето рассматривается как базовый для оптимизации какой-либо деятельности. Применяя принцип Парето, нужно учитывать, что фундаментальными являются не приводимые числовые значения, а сам факт их существенного различия. На этом принципе фактически основан и метод ABC-анализа. В маркетинге метод ABC применяется к определению объектов предпочтения. К группе «А» можно отнести ключевых (основных) потребителей товара, на долю которых приходится более половины продаж и почти вся прибыль; к группе «В» - клиентов, доля которых составляет от четверти до трети продаж, но обслуживание которых практически не приносит прибыли; к группе «С» - тех клиентов, доля которых занимает незначительную часть продаж и обслуживание их не выгодно предприятию и может даже приносить убыток.

Различия в распределении доходов и объектов собственности в пропорциональном соотношении практически совпадают с признаками, по которым общественное производство и бизнес подразделяются на крупный, средний и мелкий. В коммерции метод ABC может быть интерпретирован следующим образом: 20% крупнейших промышленных компаний выпускают 80% общего объема продукции; 20% компонентов товара определяют 80% его стоимости; 20% рабочего времени затрачивается на производство 80% объема продукции; 20% позиций номенклатуры хранимых на складе запасов определяют 80% связанных с запасами затрат и т. д.

В логистике снабжения при управлении материальными ресурсами принцип Парето применяется для иллюстрации закупленных изделий, количества действующих поставщиков и ряда других аспектов. Его часто называют правилом 20/80, или АВС-анализом.

Алгоритм АВС-анализа базируется на том, что вся номенклатура материальных ресурсов в процессе снабжения и производства и готовая продукция (в процессе дистрибуции) располагается в порядке убывания суммарной стоимости всех позиций на складах предприятия.

Процентное соотношение классификационных групп А, В, С можно представить следующим образом (табл.1.1).

Таблица 1.1 Классификация метода АВС


Данное процентное соотношение для разных предприятий различно. Они часто используют другие подходы при выделении классов. Вообще принцип разделения материальных ресурсов на классы существенен, поскольку позволяет предприятиям концентрировать усилия в области наибольшей потенциальной рентабельности. Он универсален, может быть применен к анализу поставщиков материальных ресурсов и, наверняка, покажет, что на долю малого числа поставщиков приходится значительная часть стоимости всех поставок.

Общая стоимость закупки есть произведение цены единицы закупаемого материального ресурса и его количества, потребляемое в рассматриваемом периоде. Поэтому относить данный вид ресурса к тому или иному классу только на основании одного из этих компонентов недостаточно. Нужно рассчитать годовую стоимость закупки и дифференцировать ее по классам в порядке убывания их удельного веса.

Необходимо отметить, что отнесение к категории «А» всех наименований ресурсов, представленных в списке, начиная с первого и заканчивая тем, который в сумме нарастающего итога даст результат 80%, является механическим, шаблонным и не отражает сути явления.

Отметим разницу между правилом «20/80» и АВС-анализом. Так, если мы воспользуемся «правилом 20/80» при классификации запасов, то у нас будет предусмотрено выделение двух классификационных групп. Однако в таком случае очень большое количество ресурсов оказывается во второй группе, причем идентичный логистический менеджмент по отношению к этим группам вряд ли возможен.

Категория «А» включает материальные ресурсы с высокой годовой стоимостью и большим годовым объемом потребления. Они требуют детального планирования, постоянного (ежедневного) учета и контроля их наличия. Материальные ресурсы класса «А» особенно критичны по финансовым характеристикам. Это обстоятельство ставит во главу угла финансовые аспекты их анализа. Данные ресурсы часто заказываются и подвергаются переучету.

Категория «В» включает значительную по численности группу материальных ресурсов, годовые объемы потребления которых, находятся на среднем уровне. Они образуют промежуточный класс материальных ресурсов, находящийся между классами «А» и «С». Хотя данные ресурсы закупаются систематически, они подвергаются переучету реже, чем ресурсы класса «А». Для этой категории ресурсов необходим обычный подход в планировании, учете и контроле, например ежемесячно.

Категория «С» составлена из большого числа менее ходовых материальных ресурсов, для которых могут использоваться упрощенные методы планирования, учета, контроля, например, ежеквартально или ежегодно.

Долевые границы классов «А», «В», «С» для каждого предприятия различные и определяются отраслевыми, производственными, техническими и технологическими особенностями их деятельности. Возникают ситуации, когда к материальным ресурсам классов «В» и «С» следует относиться как к ресурсам класса «А», например, если они не подлежат длительному хранению или по другим особенностям их физико-химических характеристик.

На практике для большинства производственных и коммерческих структур характерно такое соотношение этих категорий: «А» - 10-20% всех номенклатурных (ассортиментных) позиций; «В» - 20-30% всех номенклатурных (ассортиментных) позиций; «С» - 60-70% всех номенклатурных (ассортиментных) позиций. Такое группирование материальных ресурсов позволяет отделить малочисленные по составу, но главные номенклатурные группы ресурсов от многочисленных по составу, но второстепенных и сосредоточить внимание на главных.

Следует иметь в виду, что группировка ресурсов по классам не всегда бывает четкой. Цель такой группировки состоит в том, чтобы отделить основные номенклатурные позиции от менее значимых.

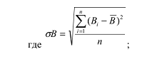
АВС-анализ весьма эффективен в сочетании с XYZ-анализом, который позволяет произвести классификацию ресурсов предприятия по характеру их потребления и с бóльшей точностью прогнозировать изменения в их потребности. Такой анализ осуществляется способом ранжирования номенклатурных позиций материальных ресурсов на основании коэффициента вариации по формуле [27, с.5]:

 (1.1)


Кв - коэффициент вариации;

Вi - текущее потребление продукции в i-м периоде наблюдения;ср. - среднее арифметическое значение потребления продукции за рассматриваемый период;=1, 2 … n - совокупность периодов, за которую производится классификация продукции;- среднеквадратическое отклонение потребления продукции за рассматриваемый период.

К категории «Х» относят ресурсы, у которых коэффициент вариации составляет менее 10%. Они отличаются стабильной величиной потребления, незначительными колебаниями в их расходе, а прогнозные оценки по объемам их потребления характеризуются достаточно высокой точностью.

К категории «Y» относят ресурсы с ярко выраженными особенностями их потребления (например, сезонные). Возможности их прогнозирования характеризуются средними значениями точности.

Коэффициент вариации по этим ресурсам колеблется в диапазоне от 10 до 25%.

К категории «Z» относят ресурсы, потребление которых носит нерегулярный, эпизодический характер и точность прогнозирования объемов их потребления невысокая. Коэффициент вариации по ресурсам, отнесенным к категории «Z», более 25%. Так же, как и для «АВС-анализа», долевые границы номенклатуры потребляемых материальных ресурсов имеют свои особенности для каждого предприятия.

Необходимо учитывать, что при использовании «XYZ-анализа» большую роль играет временной интервал анализа (квартал, месяц, декада, неделя, сутки, смена). Здесь действует общее правило: чем короче период потребления материалов, тем выше значение коэффициентов вариации по каждой категории номенклатурной группы товарно-материальных ресурсов.

Использование «АВС-анализа» и «XYZ-анализа» позволяет провести позиционирование материальных ресурсов в системе управления запасами и сформировать группы, для которых возможны типовые подходы к учету, планированию и контролю. Результаты такого позиционирования материальных ресурсов иногда представляют в виде таблицы-матрицы.

Таким образом, классификация запасов материальных ресурсов по классам АВС отражает коммерческий аспект управления запасами с точки зрения их влияния на экономический результат. Классификация по категориям XYZ базируется на анализе спроса и уровня обслуживания потребителей. Здесь в бόльшей степени учтена маркетинговая составляющая управления материальными ресурсами. Позиционирование материальных ресурсов в процессе управления запасами позволяет систематизировать результаты методов анализа.

На оценку логистической деятельности в снабжении большое влияние оказывает социальная эффективность, что предопределяет необходимость учета социальных, экологических факторов, показателей безопасности жизнедеятельности и др.

При оценке эффективности логистики снабжения необходимо отталкиваться от показателей, характеризующих общую эффективность работы предприятия, учитывать показатели общей эффективности логистической деятельности и, наконец, переходить к выработке показателей оценки эффективности логистики снабжения. Эти показатели должны работать на успешную реализацию стратегии развития предприятия на рынке во взаимосвязи с логистической, маркетинговой, инновационной и другими стратегиями развития предприятия. Необходимо проводить сравнение результатов различных функциональных областей деятельности предприятия.

Сравнительные характеристики показателей оценки эффективности различного уровня (работы предприятия, общей логистики, логистики снабжения) могут привести к неоднозначным выводам. Например, предприятие в целом сработало не очень хорошо, но логистика показала высокие результаты и выполнила все задания. Или, наоборот, логистика не достигла намеченных результатов, а предприятие, использовало другие источники и в целом сработало успешно. С учетом такого рода сложностей в логистике снабжения разрабатываются оценочные показатели эффективности [8, с.284].

К таким показателям могут быть отнесены: результативность труда работников, занятых в снабжении, коэффициенты использования различного оборудования, рентабельность деятельности и др. Кроме того, можно использовать и обобщенные показатели эффективности, рассчитываемые как отношение затрат к эффекту. К ним относятся:

.срок окупаемости капитальных вложений;

.себестоимость единицы продукции, или логистические затраты на выполнение одного заказа и др.

Каждый из применяемых для оценки эффективности логистики показателей неполон и отражает только те обобщенные и измеряемые характеристики процесса, которые в нем заложены.

Снабжение предприятия включает в себя две основные целевые функции: управление закупками и управление поставщиками. Оценка эффективности логистики снабжения проводится в разрезе каждой функции. Логистика снабжения осуществляет координацию и интеграцию в функционале «снабжение» логистических видов деятельности с маркетинговыми и коммерческими для достижения корпоративных целей предприятия с оптимальными затратами ресурсов. Основными целями логистики снабжения являются:

.обеспечение производственных сбытовых подразделений предприятия товарно-материальными ценностями и услугами в соответствии с их требованиями; обеспечение нормального функционирования предприятия за счет бесперебойного снабжения его всеми необходимыми видами ресурсов и услугами; оптимизация затрат на закупки материальных ресурсов в составе себестоимости продукции; обеспечение закупки материальных ресурсов и услуг, соответствующих установленных стандартам качества; осуществление эффективного управления поставщиками;

.поддержание корпоративной стратегии предприятия.

Для оценки эффективности логистики снабжения необходимо ответить на следующие основные вопросы: насколько эффективны стратегии снабжения материальными ресурсами с точки зрения максимального увеличения отдачи на оборотный капитал, вложенный в закупки? Насколько эффективен сам процесс управления снабжением при осуществлении этих стратегий? Как изменилась эффективность процесса управления снабжением в этом году в сравнении с предыдущим? Насколько эффективен процесс управления снабжением по сравнению с процессами организации снабжения у конкурентов по отрасли либо предприятий отраслей близких по профилю?

При оценке экономической эффективности логистики снабжения исследователи сталкиваются с методологическими трудностями, которые присутствуют и при оценке результативности других сфер деятельности. Эти трудности состоят в следующем:

.Разные варианты создания одного и того же логистического объекта дают качественно неодинаковый эффект.

Различия проходят по степени влияния на развитие инфраструктуры, транспортных сетей, по воздействию на побочную продукцию и не одинаковым социальным последствиям. Эффект планируемых затрат, как правило, состоит из ряда разнородных элементов, которые иногда не поддаются формализации. Сложность определения эффективности логистики снабжения и в том, что не всегда ее можно выразить количественно: одни ее составляющие в отдельности измеримы, но несоизмеримы друг с другом, другие - вообще не поддаются измерению;

.наличие не только прямых, но и обратных зависимостей между затратами на создание различных видов логистических объектов. Например, первый вариант менее затратный, чем второй вариант создания того же объекта, может привести к повышению затрат на третьем объекте, или переплаты на организацию побочных производств могут превзойти экономию на основном объекте. В силу обратной зависимости между затратами совмещение проектных вариантов, дающих минимумы затрат по каждому объекту в отдельности, не обеспечивает общий минимум всех затрат.

Этот вывод, сформулированный В.В. Новожиловым еще в 1970-е годы, применительно к оценке эффективности плановой экономики, взят на вооружение нынешними логистами и используется при проектировании и администрировании цепей поставок, а также при анализе общих логистических издержек в полном логистическом цикле;

. денежные затраты не являются достаточно точным отражением затрат овеществленного труда. В частности, это касается затрат, связанных с природопользованием. Напрашивается вывод: количественные оценки эффективности логистики снабжения не могут дать абсолютно точной информации для принятия безошибочного управленческого решения. Однако они могут служить первичным материалом для содержательного анализа экономической ситуации в процессе принятия управленческого решения.

Для расчета эффекта можно воспользоваться формулой дисконтированного денежного потока (интегрального эффекта) [8, с.292].:

 (1.2)

где Эi - интегральный эффект;

Рti - денежный результат, полученный при осуществлении инноваций в году t;

Зti - затраты (капитальные и текущие за вычетом амортизации на реновацию), связанные с осуществлением инноваций в году t;- норма дисконта. Норма амортизации на реновацию при сроке службы оборудования t служ. рассчитывается по формуле:

 (1.3)

Если сравнивается несколько различных альтернативных инновационных проектов, то наилучшим признается тот, который в определенном периоде принесет максимальный интегральный эффект. Чем раньше получен эффект, тем более он ценен. Этим обстоятельством обусловлена необходимость дисконтирования эффектов, получаемых в разные периоды времени.

Выводы по параграфу:

Рассмотрены следующие современные методы, используемые в логистике снабжения: метод теории графов, оптимизационные методы PERT-анализа, балансовый метод (межотраслевой баланс), метод логистического анализа и контроля состояния запасов "АВС", принцип Парето, расширенный метод "АВС" - "АВС-XYZ". Детально изучены оценке экономической эффективности логистики снабжения.

Глава II. Анализ системы логистики снабжения ООО «Приоритет»

 

.1 Краткая экономическая характеристика объекта исследования


Общество руководствуется в своей деятельности Гражданским кодексом Российской Федерации, Федеральным законом "Об обществах с ограниченной ответственностью", а также Учредительным договором о создании Общества и Уставом.

Полное наименование Общества - Общество с ограниченной ответственностью «Приоритет».

Сокращенное наименование: ООО «Приоритет».

Основной целью создания Общества (дата создания - 15.02.2002 г.) является осуществление коммерческой деятельности для извлечения прибыли.

Основной вид деятельности предприятия - деревообработка в целях производства упаковки, тары из всех видов древесного сырья.

Деревообрабатывающее производство ООО «Приоритет» представляет собой законченный производственный цикл с использованием следующего состава основных производственных фондов: сушильные камеры, строгально-калевочные станки, линия сращивания, шлифовальные станки, линия для облицовки кромки, линия отделки.

Производится транспортировочная тара из твердых и мягких пород древесины. Тара из более мягкого материала не так прочна, но при всем том она более устойчива против расколов и трещин. Это основное отличие от ящиков, изготовленных из твердых сортов дерева, которые склонны к трещинам и расколам больше, однако существенно крепче, к тому же, её защитные свойства гораздо выше.

Промышленная тара также в основной своей массе изготавливается именно из древесины. Хотя габариты перевозимых в ней грузов имеют большие размеры. К тому же изготовление тары из этого материала не вызывает затруднений, как и ее приобретение.

Применение деревянной тары в разгрузочных-погрузочных работах и перевозке удобно как при автоматизированном способе, так и использовании человеческой силы. Ведь дерево - самый надежный материал, способные защитить груз от ударов, повреждений, грязи и деформирования, кроме того, гарантирует его целостность и сохранность. Классическая четырехугольная форма дает возможность компактно разместить тару и сэкономить место в транспорте и складскую площадь. За счет простоты и скорости изготовления производство и продажа ящиков возможны на заказ под нестандартный груз.

Если во время перевозки вероятна большая тряска, либо сам груз довольно хрупкий, то тару деревянную дополнительно укрепляют с помощью металлической ленты, добавляют металлические скобы или устанавливают дополнительные бруски. Обязательно при этом уплотнять свободное внутреннее пространство прокладочными материалами, гасящими воздействие тряски и вибрации.

Производственная программа ООО «Приоритет» включает следующие виды продукции:

1.   Коробки из коробочного картона.

2.       Коробки и ящики из гофрированного картона.

.        Коробки и ящики из гофрированного картона с перегородками.

.        Коробки и ящики из гофрированного картона с амортизационными прокладками.

.        Коробки и ящики из гофрированного картона с амортизационными прокладками, укрепленные на деревянном поддоне.

.        Фанерные ящики.

.        Деревянные ящики, деревянная обрешетка.

.        Неклейменые поддоны деревянные Евростандарт 1200х800.

.        Поддоны деревянные Евро-экспорт 1200х800.

.        Поддоны деревянные российской стандартизации ГОСТ 9078-84.

.        Поддоны деревянные облегченной конструкции.

.        Поддон деревянный средней грузоподъемности.

.        Поддоны из древесины 1200х1000 с выступающими настилами.

.        Обвязачная модификация поддона.

Тара из древесноволокнистый плиты в соответствии с действующим законодательством ООО «Приоритет» является юридическим лицом; имеет в собственности обособленное имущество, учитываемое на его самостоятельном балансе; отвечает по своим обязательствам этим имуществом; от своего имени приобретает и осуществляет имущественные и личные неимущественные права, несет обязанности; выступает в качестве истца и ответчика в судах общей юрисдикции, арбитражных и иных судах.

Уставный капитал ООО «Приоритет» составляет 150 тыс. руб.

Организационная структура управления ООО «Приоритет» представлена на рис. 2.1.

Рис.2.1. Организационная структура управления ООО «Приоритет»

Высшим органом управления ООО «Приоритет» являются учредители, в количестве двух человек. Учредители ООО «Приоритет» уполномочены принимать решения по любым вопросам деятельности общества. Исполнительным органом ООО «Приоритет» является генеральный директор, который осуществляет руководство текущей деятельностью, назначается и освобождается общим собранием участников. В своей деятельности директор подотчетен общему собранию участников ООО «Приоритет».

Главный инженер осуществляет организацию всего цикла производства, взаимодействие с поставщиками лесо- и пиломатериалов.

Энергетик предприятия осуществляет энергообеспечение и освещением производственных линий и административного корпуса.

Начальник производства непосредственно руководит производственным процессом в цехах предприятия.

Технолог предприятия осуществляет технологический контроль производства, соблюдение качества продукции, соблюдение норм ГОСТов и СНиПов, проводит обучение сотрудников.

Финансовый отдел осуществляет составление текущих и прогнозных финансовых планов, контрольно-аналитическую работу по финансовому управлению предприятием.

Главный бухгалтер подчиняется руководителю предприятия, осуществляет организационное и методологическое руководство бухгалтерией, контроль и учет хозяйственных операций и утверждает служебные обязанности для подчиненных ему работников. Организует расчеты по зарплате с работниками предприятия; производит начисление и перечисление платежей в бюджеты всех уровней; принимает меры по предупреждению недостач, незаконного расходования денежных средств и товарно-материальных ценностей, нарушений финансового и хозяйственного законодательства; обеспечивает своевременное составление бухгалтерской отчетности на основе данных первичных документов и бухгалтерских записей. Главный бухгалтер разрабатывает учетную политику предприятия и осуществляет формирование годовой отчетности ООО «Приоритет».

Заведующий складом осуществляет организацию и ведение суммового и количественного учета материально-производственных запасов и готовой продукции на складах, прием-отпуск запасов и продукции, обеспечивает оптимальную организацию хранения материалов и готовой продукции. В складском хозяйстве занято 5 работников.

Отдел продаж предприятия осуществляет формирование и ведение клиентской базы ООО «Приоритет». Клиентская база ООО «Приоритет» представляет собой оптовые и мелкооптовые производственные предприятия, занимающиеся строительством, осуществляющие ремонтные работы и розничную торговлю строительными материалами.

ООО «Приоритет» имеет стабильный сегмент потребителей, 95% всего товарооборота составляют оптовые продажи.

Анализ финансово-экономической деятельности ООО «Приоритет» за 2010-2011 годы приведен в таблице 2.1.

Таблица 2.1 Основные показатели финансово-хозяйственной деятельности ООО «Приоритет»

Показатели, тыс.руб.

2010г.

2011г.

Изм. за 2011 год




абс., т.руб.

отн., %

А

1

2

3

4

1.Выручка

57500

55894

-1606

-2,79

2.Себестоимость

48300

47653

-647

-1,34

3.Валовая прибыль

9200

8241

-959

-10,42

4.Прибыль от продаж

7302

6380

-922

-12,62

5.Чистая прибыль

4446

3572

-874

-19,66

6.Среднегодовая стоимость активов

12042

17495

5450

45,25

7.Среднегодовая величина собственного капитала, т. руб.

6317

6847

530

8,39

8.Среднегодовая величина ОС

3976

6335

2359

59,33

9.Среднегодовая стоимость оборотных активов, тыс. руб.

8013

11092

3079

38,42

10.Среднесписочная численность

79

82

3

3,8

11.Затраты на 1 руб. проданной продукции

0,87301

0,88586

0,01

1,47

Данные в таблице 2.1 получены из формы отчетности «Бухгалтерский баланс» и формы «Отчет о прибылях и убытках» ООО «Приоритет» за 2010-2011 годы.

Анализ данных в таблице 2.1 позволяет сделать выводы о том, что к концу 2011 года все показатели выручки и прибыльности предприятия снизились. Снижение чистой прибыли достигло 19,7%, что свидетельствует либо о падении спроса на продукцию и изменении ценовой политики предприятия, либо об управленческих просчетах менеджмента предприятия.

Стоимость имущества предприятия за исследуемый период увеличилась на 45,3%, среднегодовой стоимости оборотных активов - на 38,4%, увеличился собственный капитал на 8,4%, что является положительной тенденцией и свидетельствует о стремлении предприятия к расширению деятельности.

Наглядное представление о динамике основных показателей финансово-экономической деятельности ООО «Приоритет» дает диаграмма на рис. 2.2.

Рис.2.2. Динамика основных показателей ООО «Приоритет» за 2010-2011г.г. в тыс. руб.

Основные показатели эффективности финансово-хозяйственной деятельности ООО «Приоритет» в 2011 году представлены в табл. 2.2.

Таблица 2.2 Основные показатели эффективности финансово-хозяйственной деятельности ООО «Приоритет»

Показатели

2010 г.

2011 г.

Абс. изм.





А

1

2

3

1.Рентабельность продаж: ROS = ПП (прибыль от продаж)/ Выручка* 100%

12,70

11,41

-1,28

2.Рентабельность продукции ROM = ПП/ Себестоимость*100%

15,12

13,39

-1,73

3.Рентабельность активов ROA = ПП/ Активы *100%

60,03

34,95

-25,08

4.Рентабельность собственного капитала: ROE = ПП/ СК *100%

117,13

101,11

-16,02

5.Рентабельность оборотных активов: RCA = ПП/ Оборотные средства*100%

89,76

55,33

-34,43

6.Рентабельность основных средств ROFA = ПП/Основные средства*100%

183,65

95,65

-88,00

7.Фондоотдача: Фо=V вып.прод./ ОС

14,46

8,38

-6,08

8.Фондоемкость

0,07

0,12

0,05

9.Фондовооруженность (Фв = ОС / Численность персонала)

41,42

63,52

22,11

10.Фондорентабельность: Фр=ПП/ОСср

2,03

1,20

-0,83

11.Производительность труда работн.

598,96

532,32

-66,63

12.Финансовый леверидж: Финансовый рычаг = ЗК / СК, %

95,12

189,29

94,16

Выводы по параграфу:

Выявлено, что снижение чистой прибыли достигло 19,7%, что свидетельствует либо о падении спроса на продукцию и изменении ценовой политики предприятия, либо об управленческих просчетах менеджмента предприятия. В ООО «Приоритет» наблюдается снижение показателей рентабельности всех активов, в том числе и оборотных, что связано с большим темпом снижения прибыли по сравнению с темпами снижения выручки, при этом темп этого снижения к концу 2011 года увеличивается, что свидетельствует о снижении эффективности деятельности предприятия в анализируемой динамике. При росте фондоёмкости и фондовооруженности предприятия, то есть при росте стоимости основных фондов на каждого работника предприятия на 22,11% в конце 2011 г., наблюдается снижение фондорентабельности и производительности труда, что свидетельствует о неэффективном использовании основных средств. В ООО «Приоритет» доля собственного капитала имеет тенденцию к снижению. «Плечо финансового рычага» (финансовый леверидж) - размер отношения заемного капитала к собственному капиталу - увеличилось на 94,6%. Это свидетельствует о том, что финансовая зависимость предприятия от внешних источников финансирования значительно повысилась за 2011 год.

 

.2 Анализ организации системы логистики снабжения

логистический снабжение поток закупка

При выборе стратегии управления закупками начальник сектора логистики ООО «Приоритет», принимающий решение (далее ЛПР), должно руководствоваться сразу множеством критериев.

К ним относятся:

.снижение издержек, обуславливаемых поставками товаров, хранением товаров;

.минимизация средств, замороженных в запасах товаров;

.обеспечение требуемого качества продукции, логистического сервиса;

.минимизация закупочных цен;

.повышение оборачиваемости товарного запаса;

.улучшение условий оплаты от поставщиков;

.соблюдение сроков и стоимости поставки товаров на склад;

.точное выполнение спецификации заявки поставщиками и др.

В теории принятия решений при многих критериях их называют частными. Частные критерии могут быть также обусловлены дополнительными требованиями снижения различных рисков для соответствующих цепей поставок.

Факторы риска, которые требуется учитывать, весьма разнообразны: они могут быть обусловлены просрочкой поставки товара, потерями качества товара, штрафами и др. При решении задач с учетом рисков оказывается, что из-за влияния не зависящих от ЛПР случайных воздействий или факторов конечный экономический результат заранее не определен.

В ООО «Приоритет» задачи управления закупками формализованы как задачи принятия решений при многих критериях в условиях риска. Для оптимизации закупочной деятельности на примере выбора поставщика древесины рассмотрим методику учета множества критериев при выборе наилучшего решения в закупках материальных ресурсов для ООО «Приоритет» в условиях риска.

Рис.2.3 Алгоритм выбора поставщика, действующий в ООО «Приоритет»

Одним из наиболее эффективных методов выбора наилучшего решения при многих критериях с учётом рисков является метод дерева решений, который применяется в ООО «Приоритет».

Общий алгоритм выбора поставщика для ООО «Приоритете» представлен на рис.2.3.

Модель оптимизации представлена на примере древесного сырья (ДС). Частные критерии представляют минимизацию следующих показателей:

С - стоимости закупки товара;

Д - издержек доставки товара;

З - средних ожидаемых потерь в результате задержек поставки товара;

П - издержек, связанных с просрочкой платежа;

Б - издержек, связанных с поставкой бракованных или некачественных товаров.

Если Аi - анализируемые альтернативы (их множество конечно и представлено ниже), то в формате такой модели задача выбора наилучших решений может быть представлена как многокритериальная задача:

 (2.1)

Причем минимизация достигается за счет выбора альтернативы. Требуется определить наилучшее решение, оптимизирующее закупки ДС. Оно включает выбор:

. посредника или изготовителя;

. доставку самовывозом или с использованием транспорта поставщика.

Анализируются следующие четыре альтернативы:

ИС - закупка у изготовителя, доставка самовывозом;

ИП - закупка у изготовителя, доставка транспортом поставщика;

ПС - закупка у посредника, доставка самовывоза;

ПП - закупка у посредника, доставка транспортом поставщика.

Для удобства иллюстрации специфики задач выбора наилучших решений с учетом рисков при многих критериях примем, что учитываемые риски обусловлены следующими факторами:

.случайными задержками поставок;

.случайной просрочкой платежа;

.случайными потерями из-за брака.

Показатели альтернатив по частным критериям (руб.) представлены в табл.2.3.

Таблица 2.3 Показатели альтернатив по частным критериям (руб.) для закупочной партии ООО «Приоритет»


С

Д

З

П

Б

ИС

5000

16,3

19

62,95

160

ИП

5000

25,1

18,3

76,925

171,25

ПС

5050

16,3

24,25

78,5375

18,5

ПП

5050

25,1

22,95

81,7625

15,5


На рис.2.4 дано схематичное представление модели многокритериальной оптимизации закупок на основе дерева решений: фрагмент закупки ДС у изготовителя. Рассматриваемые сценарии и вероятности их наступления (для случайных событий, соотносимых с задержками поставок, просрочек платежа, возможного брака) формализуются на основе статистического материала ООО «Приоритет».

Рис.2.4 Фрагменты дерева решений по выбору наилучшего варианта осуществления закупок ДС (древесного сырья) для ООО «Приоритет»

При оптимизации по методу дерева решений реализуются процедуры свертки и блокировки. Полученные после процедур свертки показатели частных критериев (рис.2.5) на последнем этапе блокировки представляются таблицей (табл. 2.3 для рассматриваемой модели (см.выше)).

Рис.2.5 Фрагмент дерева решений после процедуры свертки

В результате последнего этапа процедуры блокировки останется незаблокированной альтернатива с наилучшим набором показателей частных критериев.

Выводы по параграфу:

В ООО «Приоритет» при выборе поставщика используется метод дерева решений, механизм которого на практическом примере раскрыт в параграфе. Потенциал совершенствования этого подхода - учесть опыт лица, принимающего решение о выборе поставщика. В настоящее время метод не учитывает экспертное мнение опытного сотрудника.

2.3 Анализ показателей эффективности системы логистики снабжения


Данные ООО «Приоритет» показывают увеличение удельного веса сырья и материалов в составе оборотных активов ООО «Приоритет» за 2011 год, по этой причине необходим анализ обеспеченности и использования материально-производственных запасов, как значительной части оборотных активов предприятия (25,7%), что показывает табл.2.4.

Таблица 2.4 Состав и структура оборотных активов ООО «Приоритет»

Показатель

Значение показателя

Изменение


2010 г.

2011 г.

Абс. откл., тыс.руб.

Темп прироста, %







ф.1

к валюте баланса

ф.1

к валюте баланса

гр.5-гр.1

гр.5/ (гр.1* 100) - 100









т.р.

%

т.р.

%

т.р.

%

А

1

2

3

4

5

6

Внеоборотные активы

4029

33,1

6723

36,8

2694

66,9

Оборотные активы, в т.ч.:

8135

66,9

11531

63,2

3396

41,7

Запасы, в т.ч.:

3324

27,3

6783

37,1

3459

104

-сырье и материалы

2950

24,2

4697

25,7

1747

59,2

- готовая продукция

343

2,8

1975

10,8

1632

476

-прочие запасы и затраты

31

0,3

111

0,6

80

258

НДС по приобретенным ценностям

337

2,8

594

3,3

257

76,3

Дебиторская задолженность

3798

31,2

3621

19,8

-177

-4,7

Денежные средства

676

5,6

533

2,9

-143

-21,2

Валюта баланса

12164

100,)

18254

100

6090

50,1


Условием бесперебойной работы ООО «Приоритет», как производственного предприятия является полная обеспеченность материально-производственными запасами.

Обеспеченность предприятия запасами в днях исчисляется по формуле:

, (2.2)

где Здн - запасы сырья и материалов в днях;

Змi - запасы i-вида материальных ресурсов в натуральных или стоимостных показателях;

Р1дi - однодневный расход i-го вида материальных ресурсов в тех же единицах измерения.

Уровень обеспеченности предприятия сырьем и материалами определяется сравнением фактического количества закупленного сырья с их плановой потребностью. Большое значение имеет наличие и фактическое выполнение договор на поставку сырья и материалов.

Степень обеспеченности потребности в материальных ресурсах ООО «Приоритет» договорами на их поставку оценим с помощью следующих показателей:

коэффициент обеспеченности по плану Кобпл:

 (2.3)

где Сд - сумма по заключенным договорам;

Пп - плановая потребность.

коэффициент обеспеченности фактический Кобф:

, (2.4)

где Сф - стоимость фактически поставленных материальных ресурсов;

Пп - плановая потребность.

На основе данных ведомостей, смет на выполнение работ и договоров поставок на древесные, лакокрасочные и клеевые материалы рассчитаем коэффициенты обеспеченности ООО «Приоритет» материально-производственными запасами в 2011 году (табл. 2.5).

Таблица 2.5 Обеспечение потребности в запасах договорами на поставку и фактическим их выполнением в ООО «Приоритет»

Вид материально-производственных запасов

Плановая потребность, т. р.

Заключено договоров, т. р.

Поступило от поставщиков, т. р.

Средний однодневный расход, тыс. руб.

Обеспеченность запасами по плану, (Кобпл)

Обеспеченность запасами факт, (Кобф)

Обеспеченность материалами в днях, (Здн)

А

1

2

3

4

5

6

7

I квартал 2011 г.

Древесные материалы

2500

2300

2300

28,93

0,92

0,92

79,50

Лакокрасоч. материалы

1960

1960

1900

16,35

1,00

0,97

116,20

Клеевые материалы

400

395

390

4,24

0,99

0,98

91,90

Итого

4860

4655

4590

49,53

0,96

0,94

92,68

II квартал 2011 г.

Древесные материалы

2600

2700

2550

29,69

1,04

0,98

85,90

Лакокрасоч. материалы

2000

1900

2000

19,36

0,95

1,00

103,30

Клеевые материалы

420

405

390

4,79

0,96

0,93

81,40

Итого

5020

5005

4940

53,84

1,00

0,98

91,76

 III квартал 2011 г.

Древесные материалы

2950

2800

2700

33,46

0,95

0,92

80,70

Лакокрасоч. материалы

2100

2050

2000

24,66

0,98

0,95

81,10

Клеевые материалы

450

420

400

5,31

0,93

0,89

75,30

Итого

5500

5270

5100

63,43

0,96

0,93

80,40

IV квартал 2011 г.

Древесные материалы

3360

3200

3100

37,58

0,95

0,92

82,50

Лакокрасоч. материалы

2400

2350

2330

26,94

0,98

0,97

86,50

Клеевые материалы

540

520

500

6,17

0,96

0,93

81,10

Итого

6300

6070

5930

70,68

0,96

0,94

83,90


Рассчитанные коэффициенты позволяют сделать вывод о недостаточной обеспеченности материально-производственными запасами ООО «Приоритет» в 2011 году, поскольку обеспеченность запасами как по плану, исходя из заключенных договоров, так и исходя из фактических поставок, оказалась ниже 1. Это вызывает рост затрат по хранению запасов на складе, так как при этом увеличивается размер запаса в днях.

Для оценки ритмичности поставок рассчитаем коэффициент неравномерности поставок материалов по формуле:

, (2.5)

где xi - процент выполнения плана поставки по периодам (дням, кварталам, месяцам);

f - план поставки за те же периоды.

На основе данных таблицы 2.5 рассчитаем показатели неритмичности поставок и необеспеченности ООО «Приоритет» материально-производственными запасами в 2011 году.

7,01

Лакокрасочные материалы:

3,4

Клеевые материалы:

7,6

Таким образом, наибольший коэффициент неритмичности поставок принадлежит клеевым материалам КнерК=7,6, наименьший коэффициент неритмичности поставок принадлежит лакокрасочным материалам КнерЛК=3,4. На протяжении 2011 года в ООО «Приоритет» наблюдается устойчивая тенденция неритмичности поставок всех видов материально-производственных запасов, что порождает простои, потери рабочего времени, необходимость сверхурочных работ. Простои не по вине рабочих оплачиваются, сверхурочные работы оплачиваются по повышенной тарифной ставке. Все это увеличивает себестоимость готовой продукции и соответственно снижает прибыль ООО «Приоритет».

Одним из проявлений нарушений графиков поставки материальных ресурсов является необеспеченность материально-производственными запасами. Необеспеченность предприятия запасами материальных ресурсов определяется умножением среднесуточного расхода материалов на необеспеченность в днях:

, (2.6)

Рассчитаем показатели необеспеченности ООО «Приоритет» материально-производственными запасами в 2011 году (таблица 2.6). Показатели среднесуточного расхода и обеспеченности запасов в днях взяты из таблицы 2.5.

Таблица 2.6 Показатели необеспеченности МПЗ ООО «Приоритет»

Показатель

Древесные материалы

Лакокрасочные материалы

Клеевые материалы


I кв.

II кв.

III кв.

IV кв.

I кв.

II кв.

III кв.

IV кв.

I кв.

II кв.

III кв.

IV кв.

1

2

3

4

5

6

7

8

9

10

11

12

13

1.Среднесуточный расход, тыс. руб.

28,9

29,7

33,5

37,6

16,4

19,4

24,7

26,9

4,2

4,8

5,3

6,2

2. Обеспеченность, в днях

79,5

85,9

80,7

82,5

116,2

103,3

81,1

86,5

91,9

81,4

75,3

81,1

3. Необеспеченность, в днях (90-[2]), 90 - число дней в квартале

10,5

4,1

9,3

7,5

-26,2

-13,3

8,9

3,5

-1,9

8,6

14,7

8,9

4. Необеспеченность, в тыс.руб., [1]*[3]

303,8

121,7

311,2

281,9

-428,4

-257,5

219,5

94,3

-8,1

41,2

78,1

54,9



Показатели необеспеченности запасов в днях определяются как разность числа дней в квартале (90 дн.) и фактическим показателем обеспеченности запасов в днях. На основе рассчитанных показателей обеспеченности ООО «Приоритет» можно сделать вывод, что размер поставок материально-производственных запасов не оптимизирован, так, как наряду с недостатком древесных материалов в течение 2011 года, клеевых материалов в I квартале и лакокрасочных материалов в I и II квартале выявлен избыток.

Среди систем контроля за движением запасов в странах с развитой экономикой наиболее широкое применение получила "Система ABC". Суть этой контролирующей системы состоит в разделении всей совокупности запасов товарно-материальных ценностей на три категории исходя из их стоимости, объема и частоты расходования, отрицательных последствий их нехватки для хода операционной деятельности и финансовых результатов и т. п.

В управлении запасами классификация проводится на основе денежной ценности (стоимость единицы запасов умножают на потребность в натуральных единицах).

При ранжировании используют «правило любителей пива» - «20% людей выпивают 80% пива» или «на небольшое количество позиций запасов приходится значительная денежная ценность». При этом выделяют 3 основные категории запасов (табл. 2.7):

Таблица 2.7 Содержание категорий АВС-анализа

Категория А

Категория В

Категория С

Небольшое количество позиций, имеющих наибольшую денежную ценность

среднее количество позиций, имеющих среднюю денежную ценность

Большое количество позиций, имеющих небольшую денежную ценность


На категорию «А» единиц наименований приходится высокий годовой объём. Эти единицы могут представить только около 15% общего объёма единиц запаса, но они представляют 70-80% от общей стоимости запасов. Сюда включают наиболее дорогостоящие виды запасов с продолжительным циклом заказа, которые требуют постоянного мониторинга в связи с серьезностью финансовых последствий, вызываемых их недостатком. Частота завоза этой категории запасов определяется, как правило, на основе "Модели EOQ". Круг конкретных товарно-материальных ценностей, входящих в категорию "А", обычно ограничен и требует еженедельного контроля.

В категорию "В" включают товарно-материальные ценности, имеющие меньшую значимость в обеспечении бесперебойного операционного процесса и формировании конечных результатов финансовой деятельности. Запасы этой группы контролируются обычно один раз в месяц. Это запас единиц, на который приходится средняя величина годового объёма. Эти наименования могут представить около 30% от общего числа наименований и 15-25% общего объёма.

В категорию "С" включают все остальные товарно-материальные ценности с низкой стоимостью, не играющие значимой роли в формировании конечных финансовых результатов. Объем закупок таких ценностей может быть довольно большим, поэтому контроль за их движением осуществляется с периодичностью один раз в квартал.

Рис. 2.6 График АВС-анализа

Таким образом, основной контроль запасов по «Системе ABC» концентрируется на наиболее важной их категории с позиций обеспечения бесперебойности операционной деятельности предприятия и формирования конечных финансовых результатов.

Политика, базирующаяся на АВС-анализе, включает следующее:

.Закупки ресурсов у значительно более надёжных поставщиков по группе наименований А, чем по группе С.

. Наименования группы А в противоположность наименованиям групп В и С должны подвергаться более тщательному физическому контролю складирования и по возможности размещаться в наиболее надёжных местах, точность записей наименований изделий группы А должны подвергаться более частым проверкам.

.Прогнозирование потребности наименований А-группы должно проводиться более тщательно, чем прогнозирование потребности в остальных наименованиях.

Более тщательное прогнозирование, физический контроль, надёжность поставок и максимальная надёжность учёта сохранности - всё это даёт метод управления запасами, известный как АВС-анализ.

Группировка запасов по методу АВС является одним из факторов управления запасами. Для принятия решения о пополнении запасов ресурса необходимо систематически проверять состояние запасов. Наименования единиц группы А подвергаются проверке чаще всего, возможно один раз в месяц; наименования В-группы будут просматриваться и просчитываться менее часто, возможно раз в квартал; единицы наименований группы С проверяются каждые шесть месяцев.

Проведём классификацию запасов по методу АВС для нашего предприятия ООО «Приоритет».

. Подсчитаем денежную стоимость каждой единицы сырья и удельный вес в процентах каждого вида запасов.

.Сгруппируем все виды материалов основных и вспомогательных в порядке убывания денежной ценности и выделим основные категории материальных запасов. Данные и расчёты представлены в табл.2.8.

Таблица 2.8 АВС - калькуляция запасов ООО «Приоритет» на конец 2011 года

Наименование вида сырья

Стоимость сырья, тыс.руб.

Уд. вес, %

Категория

Уд. вес накоп., %






1

2

3

4

5

1. Основные материалы:





1.1.Древесные материалы

3 271,00

48,22

А

48,22

1.2.Лакокрасочные материалы

1 754,00

25,86

А

74,08

Итого:

5 025,00

74,08



2.Клеевые материалы

1 275,00

18,80

В

92,88

3. Пресс-формы

82,00

1,21

В

94,09

4. Гофроящики

72,00

1,06

В

95,15

5. Полистирол

60,00

0,88

В

96,03

6. Отходы для переработки

15,00

0,22

В

96,26

7. Мешки полипропиленовые

30,00

0,44

В

96,70

Итого:

1 534,00

22,62



8. Другие запасы

12,00

0,18

С

96,87

9. Канц. товары

40,00

0,59

С

97,46

10.Спец. одежда

90,00

1,33

С

98,20

11.Лек. средства

82

1,21

С

99,41

Итого:

224,00

3,30



Всего:

6 783,00

100,00


100


Итак, все запасы материалов, которые используются на предприятии в процессе производственной деятельности, разделены на 3 категории.

Категория «А» включает дорогостоящие виды запасов, стоимость которых влияет на цену готовой продукции. В данном случае, это 2 различных видов запасов. Они составляют 74% от общей стоимости запасов. Категория «В» - это запасы, имеющие меньшую значимость в обеспечении бесперебойного производственного процесса. Стоимость этих запасов составляет 22,62% общей стоимости. В категорию «С» включены запасы, имеющие меньшую стоимость и не влияющие на общий объём финансовых потоков в данном цикле, но и эти запасы необходимы для деятельности предприятия. И их ценность равна 3,3% от общей стоимости запасов.

Эффективность использования материально-производственных запасов, как части оборотных средств, характеризуется, прежде всего, их оборачиваемостью. Анализ оборачиваемости материально-производственных запасов в ООО «Приоритет» за 2010-2011 г.г. приведен в табл. 2.9.

Таблица 2.9 Показатели оборачиваемости запасов в ООО «Приоритет»

Показатель

2010г.

2011г.

Абс. изм.

Темп прироста, %






А

1

2

3

4

Выручка, т. руб. (Np)

57500

55894

-1606

-2,79

Среднегодовая стоимость запасов, т. руб.

3312

5979

2667

80,53

Продолжительность одного оборота запасов, дней (Тоб)

21

39

18

85,71

Коэффициент оборачиваемости, обороты (Коб)

4,8

2,6

-2,2

-45,83

Коэффициент загрузки запасов в обороте (Кз)

5,8

10,7

4,9

84,48


По данным табл. 2.9 можно сделать вывод, что период оборота запасов ООО «Приоритет» за 2011 г. увеличился на 18 дней. Это привело к снижению коэффициента оборачиваемости запасов с 4,8 в 2010 г. до 2,6 оборотов в 2011 г., коэффициент снижался в каждом квартале 2011 года., что является отрицательной тенденцией, а также увеличился коэффициента загрузки средств в обороте - с 5,8 до 10,7 коп., то есть оборотные средства имеют тенденцию к менее рациональному использованию. Величину отрицательного экономического эффекта, полученного от снижения оборачиваемости материально-производственных запасов в ООО «Приоритет», можно определить, используя коэффициент загрузки материально-производственных запасов в обороте. Так как в ООО «Приоритет» коэффициент загрузки уменьшился на 4,9 коп., то общая сумма увеличения расхода материально-производственных запасов от всего объема выручки составит: (4,9*55894)/ 100 = 2738,8 тыс. руб. Таким образом, отрицательный экономических эффект в результате замедления оборачиваемости материально-производственных запасов в ООО «Приоритет», составил 2738,8 тыс. руб.

Выводы по параграфу:

Важнейшей частью оборотных активов ООО «Приоритет» являются запасы. Логистика снабжения как система может быть оценена именно по эффективности управления запасами. Коэффициенты обеспеченности позволяют сделать вывод о недостаточной обеспеченности материально-производственными запасами ООО «Приоритет» в 2011 году, поскольку обеспеченность запасами как по плану, исходя из заключенных договоров, так и исходя из фактических поставок, оказалась ниже 1. Это вызывает рост затрат по хранению запасов на складе, так как при этом увеличивается размер запаса в днях. Выявлено, что наибольший коэффициент неритмичности поставок принадлежит клеевым материалам КнерК=7,6, наименьший коэффициент неритмичности поставок принадлежит лакокрасочным материалам КнерЛК=3,4. На протяжении 2011 года в ООО «Приоритет» наблюдается устойчивая тенденция неритмичности поставок всех видов материально-производственных запасов, что порождает простои, потери рабочего времени, необходимость сверхурочных работ. Простои не по вине рабочих оплачиваются, сверхурочные работы оплачиваются по повышенной тарифной ставке. Все это увеличивает себестоимость готовой продукции и соответственно снижает прибыль ООО «Приоритет». Также получено, что размер поставок материально-производственных запасов не оптимизирован, так, как наряду с недостатком древесных материалов в течение 2011 года, клеевых материалов в I квартале и лакокрасочных материалов в I и II квартале выявлен избыток. Также проведён АВС-анализ. Получено ранжирование запасов. Период оборота запасов ООО «Приоритет» за 2011 г. увеличился на 18 дней. Это привело к снижению коэффициента оборачиваемости запасов с 4,8 в 2010 г. до 2,6 оборотов в 2011 г., коэффициент снижался в каждом квартале 2011 года., что является отрицательной тенденцией, а также увеличился коэффициента загрузки средств в обороте - с 5,8 до 10,7 коп., то есть оборотные средства имеют тенденцию к менее рациональному использованию.

Полученные данные говорят о том, что система логистики снабжения нуждается в модернизации и повышении эффективности.

 


Глава III. Совершенствование системы логистики снабжения в ООО «Приоритет»


3.1 Предложения по совершенствованию организации системы логистики снабжения


1.Использование рейтингового метода выбора поставщика.

Выбор поставщика - одна из важнейших задач ООО «Приоритет». Поэтому помимо используемого метода можно предложить более простой способ оценки поставщика - рейтинговый.

На выбор поставщика существенное влияние оказывают результаты работы по уже заключенным договорам, на основании выполнения которых осуществляется расчет рейтинга поставщика. Следовательно, система контроля исполнения договоров поставки должна позволять накапливать информацию, необходимую для такого расчета.

Перед расчетом рейтинга следует определить, на основании каких критериев будет приниматься решение о предпочтительности того или иного поставщика. Как правило, в качестве таких критериев используется цена, качество поставляемых товаров и надежность поставки. Однако этот перечень может быть шире, в частности, рассмотрим 6 критериев.

Следующим этапом решения задачи выбора поставщика является оценка поставщиков по намеченным критериям. При этом вес того или иного критерия в общей их совокупности определяется экспертным путем.

Расчет рейтинга условных поставщиков представим в таблице 3.1. Допустим, что в течение определенного периода ООО «Приоритет» получало от трех поставщиков один и тот же товар. Допустим также, что принято решение в будущем ограничиться услугами одного поставщика.

Сначала необходимо оценить каждого из поставщиков по каждому из выбранных критериев, а затем умножить вес критерия на оценку.

Для расчета рейтинга предложим 6 критериев, значимость которых установлена экспертным путем. Далее необходимо оценить каждого из поставщиков в разрезе выбранных критериев, а затем найти произведение значимости на оценку. Вес критерия и оценка в данном случае определяются экспертным путем.

Таблица 3.1 Пример расчета рейтинга поставщика предлагаемым методом

Критерий выбора поставщика

Вес критерия

Оценка критерия по десятибалльной шкале

Произведение веса критерия на оценку



Пост.1

Пост.2

Пост.3

Пост.1

Пост.2

Пост.3

Надежность поставки

0,30

7

5

9

2,1

1,5

2,7

Цена

0,25

6

2

3

1,5

0,5

0,75

Качество товара

0,15

8

6

8

1,2

0,9

1,2

Условия платежа

0,15

4

7

2

0,6

1,05

0,3

Возможность внеплановых поставок

0,10

7

7

2

0,7

0,7

0,2

Финансовое состояние поставщика

0,05

4

3

7

0,2

0,15

0,35

Итого

1,00

-

-

-

6,3

4,8

5,5


Рейтинг определяется суммированием произведений веса критерия на его оценку для данного поставщика. Рассчитывая рейтинг разных поставщиков и сравнивая полученные результаты, можно определить наилучшего партнера. Расчет, проведенный в таблице 3.1, показывает, что таким партнером для ООО «Приоритет» является поставщик №1 и именно с ним следует пролонгировать (продлить) срок действия договора.

Данный метод позволит учитывать опыт и личные предпочтения лица, принимающего решение о выборе, чего в настоящее время в ООО «Приоритет» нет, т.к. используется метод выбора поставщика без учёта влияния лица, принимающего решение.

2.Совершенстовование организационной структуры организации (превращение сектора логистики в отдел логистики).

В связи с тем, что стратегия логистики снабжения реализуется с помощью соответствующей организационной структуры, предложена новая организационная структура управления, включающая службу логистики с выделенным функционалом закупочной деятельности (рис.3.1), предусмотрев в ней специалиста по аналитике и др.

Отметим, что в настоящее время в ООО «Приоритет» сформирован лишь сектор логистики в составе финансового отдела.

Рис.3.1. Предлагаемая организационная структура отдела логистики

В обязанности специалиста по аналитике предлагается включить в числе прочих сбор и анализ статистических данных; взаимодействие со смежными структурными подразделениями; формирование оптимизационных моделей и осуществление процедур выбора наилучших решений при многих критериях в логистике снабжения с учетом логистических рисков и мнения лица, принимающего решение; внесение предложений в формирование политики закупок товаров, работ и услуг.

Многокритериальный подход к оптимизации закупок может быть применен специалистом по аналитике с целью принятия системных решений в закупках, основанных на статистических данных; отделом торгов с целью выбора контрагента при необходимости учета многих критериев при оценке предполагаемых поставщиков; отделом снабжения при формировании требований к закупаемым товарам, требований к поставщикам и условиям договора.

3.Предлагается внедрение «SIMPLE-System» - базовая версия программного продукта «Genobium» для научного управления товарными остатками.

Предлагается «Simple-для 1C» - пакет оптимизации управления запасами, «заточенный» для российского рынка. Полная интеграция с 1С.

Цель SIMPLE-System - рост отдачи от инвестиций в запасы посредством сокращения средних остатков запасов, издержек по заказу, дефицита и ассортиментной оптимизации.System использует наиболее точные инновационные алгоритмы в области теории управления запасами и методов MRP (Materials Requirement Planning). В ней полностью учтено действие вариативного спроса и многообразия условий пополнения запасов. SIMPLE-System содержит новую аналитическую модель взаимосвязи внешних факторов торговой фирмы и рентабельности инвестиций, а также новые методы определения оптимального ассортимента и точки заказа. SIMPLE-System является автоматизированной системой управления и имеет качественные отличия от существующих учетно-аналитических программ. SIMPLE-System не ограничивается проведением "посмертного" анализа и ретроспективными отчетами об оборачиваемости, остатках в днях обеспечения, продажах, наценках, рентабельности или списком дефицитных позиций. Напротив, SIMPLE-System рассчитывает оптимальные нормы запасов и оперативно ими управляет, выдавая в оптимальные моменты готовые заказы на пополнения запасов.

Происходит существенное высвобождение рабочего времени координатора запасов. В отличие от рутинного просмотра остатков по всем позициям и прогнозирования спроса по каждой при ручном управлении запасами, при использовании SIMPLE-System координатор запасов только контролирует используемые процедуры прогнозирования и осуществляет корректировку готовых заказов, добавляя транзитные количества товаров. SIMPLE-System обеспечивает управление более высокого уровня (по параметрам), и фирма может посвящать высвобождающееся рабочее время на работу с клиентами, исследования и рекламу.System обеспечивает оптимальные решения в области нормирования и оперативного управления запасами. Это является наиболее важным, поскольку речь идет о наиболее важном активе торговой фирмы - запасах.

Обычные результаты внедрения SIMPLE-System впечатляют:

.сокращение запасов до 50%;

.сокращение издержек по заказу на 20%;

.рост доходов на 20%, благодаря сокращению дефицитов и ассортиментной оптимизации, рост оборачиваемости в 2 раза, рост рентабельности инвестиций более, чем на 50%.System обеспечивает также одновременное сокращение запасов, улучшение уровня обслуживания и рост доходов.

На рис.3.2. показан скрин-шот предлагаемой автоматизированной системы управления для ООО «Приоритет».System универсальна и может использоваться во всех фирмах. Она может быть интегрирована с учетными программами и различными клиент-серверными технологиями. В этом случае, возможна отсылка заказов через Интернет непосредственно без участия человека.system является Windows-приложением, требует использования скорости процессора не ниже Pentium II, с оперативной памятью не менее 64 Mb.

Рис.3.2. Предлагаемая автоматизированная система управления запасами для ООО «Приоритет»

Наличие у клиента учетной программы является необходимым условием для обеспечения SIMPLE-System данными о запасах. Необходимо помнить, что система управления запасами - не просто компьютерная программа. При внедрении, требуется поддержка руководства, обучение сотрудников и понимание персоналом принципов управления запасами.

Выводы по параграфу:

Для совершенствования организации системы логистики снабжения предложены следующие меры:

.Использование рейтингового метода выбора поставщика.

.Совершенстовование организационной структуры организации (превращение сектора логистики в отдел логистики).

.Предлагается внедрение «SIMPLE-System» - базовая версия программного продукта «Genobium» для научного управления товарными остатками.

3.2 Предложения по оптимизации размера заказа


Оптимизация размера основных групп текущих запасов связана с предварительным разделением всей совокупности запасов товарно-материальных ценностей на два основных вида - производственные (запасы сырья, материалов и полуфабрикатов) и запасы готовой продукции.

Для оптимизации размера текущих запасов товарно-материальных ценностей используется ряд моделей, среди которых наибольшее распространение получила «Модель экономически обоснованного размера заказа (Economic ordering quantity - EOQ model)». Она может быть использована для оптимизации размера как производственных запасов, так и запасов готовой продукции.

В зависимости от предприятия расходы складирования достигают обычно от 3 до 50% стоимости товарных запасов. Следует отметить, что эти расходы исчисляются от средней стоимости товарных запасов. Следовательно, необходимо точно вычислять средний объём товарного запаса по количеству и по стоимости. Если хранятся материальные ресурсы с разными единицами измерения (т, кг, штуки, метры), то подсчитать средний объём товарного запаса по количеству невозможно. Но подсчитать средний объём товарного запаса по стоимости необходимо. Итак, вычисляем средний товарный запас.

Уровень товарного запаса изменяется прерывисто в соответствии с ритмом поставки и отпуска товаров со склада. Так как поставки и отпуск товаров осуществляются в разное время, то и остаток товара меняет своё значение в зависимости от дат поставок и отпуска. В бухгалтерии можно получить сведения об остатках товара только на конец месяца. По этим данным вычисляется средняя хронологическая остатков товара по стоимости (см. табл. 3.2).

Наименование вида сырья

Стоимость сырья, тыс.руб.


1 квартал

2 квартал

3 квартал

4 квартал

Древесные материалы

2500

2600

2950

3360

Лакокрасоч. материалы

1960

2000

2100

2400

Клеевые материалы

400

420

450

540

Итого:

4 860,00

5 020,00

5 500,00

6 300,00


В нашем случае средняя хронологическая будет равна:

(4 860,00*0,5+5 020,00+5 500,00+6 300,00*0,5) / (4-1) = 5366,66 тыс. руб.

Средняя хронологическая стоимости товарного ресурса не отражает тех колебаний остатков, какие естественно возникают в моменты выдачи товара или его приёмки. Таких операций в течение месяца (операций по приходу и расходу) может быть несколько или вообще не быть, поэтому средняя хронологическая величина не очень точно характеризует движение ресурса на складе. Наиболее точное значение остатков ресурса может быть получено по карточке складского учёта материалов.

Одна из проблем, решаемых на основе среднего товарного запаса, - это определение оборачиваемости товаров, которое вычисляется как частное от деления годового потребления на средний товарный запас. Это отношение верно не только для определенного товара, но и для всего товарного запаса. В этом случае годовое потребление и средние товарные запасы выражаются в стоимостных единицах.

Итак, рассчитаем оптимальный размер заказа для ООО «Приоритет».

Постановка задачи: определить размер заказа, при котором затраты, связанные с оборотом запасов сырья и материалов, будут минимальны при данных условиях:

Древесные материалы (средняя цена 1750 руб. м2):

Годовая потребность (D)

1220 м2

Стоимость выполнения заказа (Co1)

12250 руб.

Стоимость покупки единицы запасов (Сh1)

1750 руб.

Стоимость хранения 1 руб. запасов в год

0,5 (50%)

= Ö 2*D*Co1 / Ch1 (3.1)= Ö 2*D*Co1 / Ch1 = Ö 2*1220*12250/ (1750*0,5) = 184,82 м2- таков оптимальный размер заказа.

Количество заказов в год = 1220 / 184,82 = 6,6 заказа.

Построим график оптимального размера заказа для ООО «Приоритет».

Оптимальный размер заказа определён на уровне 184,82 м2.

При этом суммарные затраты минимальны и затраты на хранение равны стоимости затратам на выполнение заказа.

Сh1*Q/2 = D*Co1/Q, (3.2)

т.е. 0,5*1750*184,82/2 = 1220/184,82*12250 или 80856 руб.

Чтобы определить затраты при размере заказа больше или меньше оптимального, нужно найти уравнения прямых этих затрат.

Для затрат на хранение:- затраты на хранение, X1 - размер заказа

Сh = Ch1*Q/2 или Y1 = Ch1/2*X1= 0,5*1750/2*X1 = 437,5*X1

Данные затрат на хранение и размера заказа представлены в табл.3.3.

Таблица 3.3 Данные затрат на хранение и размера заказа для ООО «Приоритет»

X1

50

60

70

80

90

92,41

Y1

21875

26250

30625

35000

39375

40429,38

X1

100

110

120

130

140

150

Y1

43750

48125

52500

56875

61250

65625


Для затрат на выполнение заказов:- затраты на выполнение заказа,- размер заказа

Со = D*Cо1/Q или Y2 = D*Со1/X2= 1220*12250/X2 = 14945000/X2

Данные о затратах на выполнение заказа и размерах заказа представлены в табл.3.4.

Таблица 3.4 Данные о затратах на выполнение заказа и размерах заказа

X2

50

60

70

80

90

92,41

Y2

298900

249083,33

213500

186812,5

166055,556

161724,9

X2

100

110

120

130

140

150

Y2

149450

135863,64

124541,67

114961,54

106750

99633,33


График оптимального размера заказа для ООО «Приоритет» представлен на рис.3.3.

Рис. 3.3. График оптимального размера заказа для ООО «Приоритет»

Выводы по параграфу:

Таким образом, для исследуемой группы запасов получен оптимальный размер заказа, учитывающий и минимизирующий затраты, связанные с хранением и выполнением заказа, значения которых отражены в расчетах.

3.3 Экономическая оценка (затрат, эффектов, эффективности) реализации предложений


Рассчитаем эффективность внедрения автоматизированной CRM на примере сектора логистики ООО «Приоритет».

Программа будет использоваться как специалистами сектора логистики, так и специалистами финансового отдела.

Введём первоначальные параметры расчетов для внедрения системы:

Годовой объем запасов (Vz): 6783 тыс.руб.

Сумма доходов, формируемых за счет оптимального управления запасами и закупками (сектор логистики): 2347 тыс.руб.

Сумма доходов, формируемых за счет финансового менеджмента: 3377 тыс.руб.

Число задействованных в CRM специалистов (n): 4 чел. (4 чел. сектора логистики и 4 чел. финансового отдела).

Текущий средний размер 1 операции по закупке запасов (s): 120 тыс.руб.

Норма рентабельности (внедрения CRM) - 50%.

Проанализируем предполагаемые доходы:

.Высвобождение времени на расчет оптимального размера заказа, заполнение таблиц, сбор исходных данных и т.д.

Сбережение времени менеджера сектора логистики за счет автоматизации процессов (час/день), e - 3,5 ч.

Коэффициент высвободившегося времени = e/2 - 1,75 ч.

Увеличение продуктивного времени на 1 менеджера (8-часовой рабочий день),% - 10,54%.

Среднегодовая сумма доходов в расчете на 1 специалиста, тыс.руб. = (2347+3377)/8 = 715,5 тыс.руб.

Дополнительный среднегодовой доход на 1 менеджера с учетом высвободившегося времени = 715,5 *0,1054 = 75,41 тыс.руб.

Дополнительный годовой доход1 на 8 чел. = 75,41 *8 = 603,28 тыс.руб.

Ориентировочный прирост прибыли за счет применения оптимизационных схем, предлагаемых программой - 9,5%.

Дополнительный годовой доход2 = (2347+3377)*0,095 = 543,78 тыс.руб.

Предполагаемое увеличение дохода за счет сокращения затрат на выполнение заказов - 3,2%.

Дополнительный годовой доход3 = (2347+3377)*0,032 = 183,16 тыс.руб.

Суммарное увеличение дохода = 603,28+543,78+183,16 = 1330,22 тыс.руб.

Дополнительная прибыль от внедрения CRM = 0,5*1330,22 = 665,11 тыс.руб. в год.

Предполагаемые расходы на период 3 года (для рассматриваемого ООО «Приоритет»):

Затраты на CRM 1 год ввода в эксплуатацию и эксплуатации - 1200,00 тыс.руб.

Затраты на CRM 2 год эксплуатации - 700,00 тыс.руб.

Затраты на CRM 3 год эксплуатации - 95,33 тыс.руб.

Окупаемость 1 год = 1330,22 - 1200 = 130,22 тыс.руб.

Окупаемость 2 год = 1330,22 - 700 = 630,22 тыс.руб.

Окупаемость 3 год = 1330,22 - 95,33 = 1234,89 тыс.руб.

Совокупный эффект в течение 3 лет эксплуатации = 130,22 + 630,22 +1234,89 = 1995,33 тыс.руб.

Срок окупаемости = 1330,22 /1995,33*12 = 8 мес.за 3 года после внедрения системы, в % = 1995,33/(1200 +700+95,33)*100% = 100%.

Вывод по параграфу:

Приведен расчет экономической эффективности и окупаемости проекта CRM исходя из заданных параметров: годовой объем продаж, доходы, расходы, окупаемость (коэффициент ROI). Отметим, что применение CRM позволило высвободить 3,5 часа времени специалиста ООО «Приоритет» за счет автоматизации и направить это время на другие задачи. В вязи с этим производительность одного специалиста отделения ООО «Приоритет» увеличилась более чем на 10%. Общая стоимость реализации проекта ООО «Приоритет» составила 1995,33 тыс.руб. за 3 года. Коэффициент ROI за 3 года составил для ООО «Приоритет» - 100%, то есть на 1 руб. вложенных инвестиций организация за три года получит 1 руб. прибыли.

Заключение


Выявлено, что логистика снабжения как функциональная область коммерческой логистики изучает закономерности материального потока при организации обеспечения внутрипроизводственных потребностей в материально-технических ресурсах в нужное время, в нужной форме и по конкурентной цене. Основные задачи логистики снабжения - осуществление закупок, снабжение и физическое товародвижение. Объектной областью логистики снабжения является поток материальных ресурсов и услуг, циркулирующих в функциональном цикле снабжения. Объектом изучения учебной дисциплины «Логистика снабжения» являются: материальный поток и сопутствующие ему информационные, финансовые и сервисные потоки в функциональном цикле снабжения; формы организации материального потока (логистические сети, логистические цепи, логистические каналы).

Рассмотрены следующие современные методы программирования и информационно - телекоммуникационные системы (в качестве механизма совершенствования предмета исследования): RP - Requirements / resource planning, Just-in-time, Total Quality Management, Efficient Customer Response и мн.др. При этом выявлено и показано, что применение компьютерных технологий интеграции систем поставщика / продавца и оптового покупателя позволяет продавцу более эффективно использовать торговую площадь магазинов, а производителю - быстрее реагировать на изменения спроса, снижать запасы в цепи поставок и увеличивать объемы продаж. Также изучена современная модель алгоритма применения методов многокритериальной оптимизации. Раскрыты основные направления инновационного развития логистики: инновации, касающиеся продуктовых характеристик материальных потоков, и инновации, нацеленные на совершенствование формы потоков. Подчёркивается, что логистическим инновациям отводится важнейшая роль в развитии научно-технического прогресса.

Рассмотрены следующие современные методы, используемые в логистике снабжения: метод теории графов, оптимизационные методы PERT-анализа, балансовый метод (межотраслевой баланс), метод логистического анализа и контроля состояния запасов "АВС", принцип Парето, расширенный метод "АВС" - "АВС-XYZ". Детально изучены оценке экономической эффективности логистики снабжения.

Выявлено, что снижение чистой прибыли достигло 19,7%, что свидетельствует либо о падении спроса на продукцию и изменении ценовой политики предприятия, либо об управленческих просчетах менеджмента предприятия. В ООО «Приоритет» наблюдается снижение показателей рентабельности всех активов, в том числе и оборотных, что связано с большим темпом снижения прибыли по сравнению с темпами снижения выручки, при этом темп этого снижения к концу 2011 года увеличивается, что свидетельствует о снижении эффективности деятельности предприятия в анализируемой динамике. При росте фондоёмкости и фондовооруженности предприятия, то есть при росте стоимости основных фондов на каждого работника предприятия на 22,11% в конце 2011 г., наблюдается снижение фондорентабельности и производительности труда, что свидетельствует о неэффективном использовании основных средств. В ООО «Приоритет» доля собственного капитала имеет тенденцию к снижению. «Плечо финансового рычага» (финансовый леверидж) - размер отношения заемного капитала к собственному капиталу - увеличилось на 94,6%. Это свидетельствует о том, что финансовая зависимость предприятия от внешних источников финансирования значительно повысилась за 2011 год.

В ООО «Приоритет» при выборе поставщика используется метод дерева решений, механизм которого на практическом примере раскрыт в параграфе. Потенциал совершенствования этого подхода - учесть опыт лица, принимающего решение о выборе поставщика. В настоящее время метод не учитывает экспертное мнение опытного сотрудника.

Важнейшей частью оборотных активов ООО «Приоритет» являются запасы. Логистика снабжения как система может быть оценена именно по эффективности управления запасами. Коэффициенты обеспеченности позволяют сделать вывод о недостаточной обеспеченности материально-производственными запасами ООО «Приоритет» в 2011 году, поскольку обеспеченность запасами как по плану, исходя из заключенных договоров, так и исходя из фактических поставок, оказалась ниже 1. Это вызывает рост затрат по хранению запасов на складе, так как при этом увеличивается размер запаса в днях. Выявлено, что наибольший коэффициент неритмичности поставок принадлежит клеевым материалам КнерК=7,6, наименьший коэффициент неритмичности поставок принадлежит лакокрасочным материалам КнерЛК=3,4. На протяжении 2011 года в ООО «Приоритет» наблюдается устойчивая тенденция неритмичности поставок всех видов материально-производственных запасов, что порождает простои, потери рабочего времени, необходимость сверхурочных работ. Простои не по вине рабочих оплачиваются, сверхурочные работы оплачиваются по повышенной тарифной ставке. Все это увеличивает себестоимость готовой продукции и соответственно снижает прибыль ООО «Приоритет». Также получено, что размер поставок материально-производственных запасов не оптимизирован, так, как наряду с недостатком древесных материалов в течение 2011 года, клеевых материалов в I квартале и лакокрасочных материалов в I и II квартале выявлен избыток. Также проведён АВС-анализ. Получено ранжирование запасов. Период оборота запасов ООО «Приоритет» за 2011 г. увеличился на 18 дней. Это привело к снижению коэффициента оборачиваемости запасов с 4,8 в 2010 г. до 2,6 оборотов в 2011 г., коэффициент снижался в каждом квартале 2011 года., что является отрицательной тенденцией, а также увеличился коэффициента загрузки средств в обороте - с 5,8 до 10,7 коп., то есть оборотные средства имеют тенденцию к менее рациональному использованию.

Полученные данные говорят о том, что система логистики снабжения нуждается в модернизации и повышении эффективности.

Для совершенствования организации системы логистики снабжения предложены следующие меры:

.Использование рейтингового метода выбора поставщика.

.Совершенстовование организационной структуры организации (превращение сектора логистики в отдел логистики).

.Предлагается внедрение «SIMPLE-System» - базовая версия программного продукта «Genobium» для научного управления товарными остатками.

Также для исследуемой группы запасов получен оптимальный размер заказа, учитывающий и минимизирующий затраты, связанные с хранением и выполнением заказа, значения которых отражены в расчетах.

Приведен расчет экономической эффективности и окупаемости проекта CRM, исходя из заданных параметров: годовой объем продаж, доходы, расходы, окупаемость (коэффициент ROI). Отметим, что применение CRM позволило высвободить 3,5 часа времени специалиста ООО «Приоритет» за счет автоматизации и направить это время на другие задачи. В вязи с этим производительность одного специалиста отделения ООО «Приоритет» увеличилась более чем на 10%. Общая стоимость реализации проекта ООО «Приоритет» составила 1995,33 тыс.руб. за 3 года. Коэффициент ROI за 3 года составил для ООО «Приоритет» - 100%, то есть на 1 руб. вложенных инвестиций организация за три года получит 1 руб. прибыли.

 


Библиографический список

1.     Андрийчук С. Логистика в управлении финансового директора // Консультант. 2010. №11. С. 22 - 24.

2.       Афанасенко И.Д. Организационная идея в логистике // Стратегии развития инструментов коммерции. - СПб.: Изд-во СПбГЭУФ, 2010. - С. 9-34.

.        Бауэрсокс Д. Дж., Клосс Д. Дж. Логистика: интегрированная цепь поставок: Учебник. - М., 2001.

.        Борисова В.В. Логистический менеджмент в межрегиональном товарообмене. - Ростов н/Д.: Изд-во РГЭУ, «РИНХ», 2008. - С. 6.20.

.        Борисова В.В. Конфигурирование логистических потоков // Стратегии развития инструментов коммерции. - СПб.: Изд-во СПбГЭУФ, 2010. - С. 34-56.

6.       Ван Гок, Р. Логистика. Стратегия управления и конкурирования через цепочки поставок [Текст]: учебник / Ван Гок Ремко, Гаррисон Алан. - Москва: Дело и сервис <http://www.chtivo.ru/chtivo=8&cmpid=5352.htm>, 2010. - 368 с.

.        Волков В. Д. Системно-операционные основы логистики и управления цепями поставок // Интегрированная логистика. - 2011. - №2. - С. 6-10.

.        Гаджинский А. М. Логистика: учебник для студентов вузов. - М.: Дашков и К°, 2011. - 481с.

.        Глушкова Ю. О. Информационная поддержка потоков логистической системы предприятия // Интегрированная логистика. - 2010. - №6. - С. 37-38.

.        Додон Д.П. Менеджмент финансово-логистического потока в современных реалиях // Международные банковские операции. 2009. №6. С. 68 - 77.

.        Дугин Г. С. Система управления складом TopLog в логистической цепочке // Интегрированная логистика. - 2011. - №3. - С. 30-32.

.        Кристофер М. Логистика и управление цепочками поставок. - СПб.: «Питер», 2004. - С. 30.

.        Калашников С. Информационные системы управления в логистических системах строительного комплекса // РИСК: ресурсы, информация, снабжение, конкуренция. - 2011. - №2. - Ч. 1. - С. 119-122.

.        Каптерев А. Совершенствование информационного обслуживания складского хозяйства // РИСК: ресурсы, информация, снабжение, конкуренция. - 2010. - №4. - С. 8-12.

.        Ковалёв, К. Логистика в розничной торговле: как построить эффективную сеть [Текст] / К. Ковалев, С. Уваров, П. Щеглов. - Санкт-Петербург: Питер, 2007. - 272 с.

16.   Назаренко И.С. Разработка информационного обеспечения логистической системы современной организации на основе процессного подхода // Вестник Томского государственного университета. - 2011. - №350 (сентябрь). - С. 163-165.

17.     Негомедзянов Ю.А. Интегрированная координация логистических звеньев на микроуровне по материальным и информационным потокам // Вестник Тверского государственного университета. - 2010. - №12 (Экономика и управление). - С. 96-106.

.        Некрасова М. Об адаптивном управлении цепями поставок // Логистика. - 2009. - №4. - С. 14-15.

19.   Немцева Л. Логистику заказывали?: как построить оперативный учет при помощи системы "Галактика ERP" // Бухгалтер и компьютер. - 2007. - №3. - С. 29-33.

20.     Парфенов А.В., Гаранов И.Б. Электронная коммерция: Учебное пособие. - СПб.: Новый век, 2008.

.        Пашутин, С. Б. Эффективная дистрибьюция. Организация и управление собственной сетью / С. Б. Пашутин. - Москва: Альфа- Пресс, 2006. - 288 с.

.        Соловьев В.А. Маркетинг: Учебник. - М.: ИНФРА-М, 2005. - С. 86.

.        Стаханов В.Н., Украинцев В.Б. Теоретические основы логистики. - Ростов н/Д.: Феникс, 2001. - С. 78.

.        Степанов В.И. Логистика: Учебник. - М.: ТК Велби, Изд-во «Проспект», 2006. - С. 125.

.        Сток Дж.Р., Ламберт Д.М. Стратегическое управление логистикой. - М., 2005. - С. 90.

.        Холинов А. Выбор программного обеспечения для складского комплекса // Логистика сегодня. - 2007. - №6.

.        Челышков Д. Построение эффективной системы складской логистики компании с использованием информационной системы 1С в качестве WMS // Логистика сегодня. - 2007. - №4.

.        Чернышева С. В. Информационное обеспечение транспортно-логистических цепей // Интегрированная логистика. - 2011. - N 5. - С. 3-4.

.        Шутова П.А. Понятие "трансакционные издержки" в логистике // Экономический анализ: теория и практика. 2012. №31. С. 60 - 63.

Похожие работы на - Совершенствование системы логистики снабжения в организации (на примере ООО 'Приоритет')

 

Не нашли материал для своей работы?
Поможем написать уникальную работу
Без плагиата!
Без нейросетей!