Амплитудная, частотная модуляции
Содержание
Введение
Задача№1
Задача№2
Заключение
Список использованной литературы
Введение
Данная курсовая работа предусматривает изучение различных видов
модуляции: амплитудной, фазовой, частотной, импульсной. При выполнении этой
работы необходимы знания принципов работы составных элементов системы связи:
модулятора и демодулятора, АЦП и ЦАП, кодера и декодера.
Существуют три основные схемы модуляции: 1) амплитудная модуляция(AM); 2)
угловая модуляция, подразделяющаяся на два очень похожих метода: частотную
модуляцию (ЧМ) и фазовую модуляцию (ФМ); 3) импульсная модуляция (ИМ).
Различные схемы модуляции совмещают два этих метода или более, образуя сложные
системы связи. Телевидение, например, использует как AM, так и ЧМ для различных
типов передаваемой информации. Импульсная модуляция совмещается с амплитудной,
образуя импульсно-амплитудную модуляцию (АИМ), и т.д. Не всегда возможно найти
четко выраженные основания для использования того или иного метода модуляции. В
некоторых случаях этот выбор предписывается законом (в США контроль
осуществляет Федеральная комиссия по связи - ФКС). Необходимо строго
придерживаться правил и инструкций независимо от того, какая схема модуляции
используется.
Задача оптимизации систем передачи информации сводится к нахождению
наилучшего варианта системы при заданных условиях и ограничениях, при котором
потребителю в единицу времени доставляется максимальное количество информации
при заданной верности передачи. Для повышения эффективности систем используются
сокращение избыточности источника, помехоустойчивое кодирование и др.
Задача 1
Заданы: несущее колебание

(1.1)
модулирующий
сигнал

(1.2)
где

-
амплитуда несущего колебания;

-
частота несущего колебания;

-
начальная фаза несущего колебания;

-
амплитуда модулирующего колебания;
- частота
модулирующего колебания;

-
начальная фаза модулирующего колебания.
Требуется:
а)
в соответствии с вариантом записать аналитическое выражение
амплитудно-модулированного колебания с коэффициентом глубины модуляции М;
частотно-модулированного колебания с девиацией частоты 
;
фазо-модулированного колебания с индексом модуляции m.
б)
колебаний изобразить качественно графики модулирующего и модулированного
сигналов АМ, ЧМ, ФМ (временные диаграммы колебаний);
в)
построить амплитудно-частотный и фазо-частотный спектры АМ, ЧМ и ФМ колебаний.
Исходные
данные (см. таблица 1.2 и 1.3) выбираем по номеру зачетной книжки.
Исходные
данные
Таблица
1 - Исходные данные к задаче 1
|
 , В1,5
|
|
|
 ,
МГц3,6
|
|
|
|
|
|
 , В0,5
|
|
|
 , кГц0,8
|
|
|
 , рад
|
|
|
 , кГц1,3
|
|
|
m
|
2
|
|
Глубина модуляции  65
|
|
Решение
задачи 1
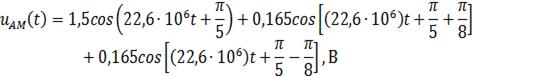
а) Рассчитаем частоты несущего и модулирующего колебаний:

рад/с

рад/с
Несущее
колебание

Модулирующий
сигнал

Коэффициент
модуляции

Аналитическое
выражение для мгновенных значений тонально-модулированных колебаний в общем
случае имеет вид
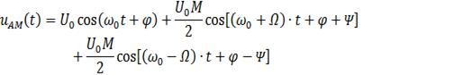
АМК:


(1)
ФМК:

)

(2)
ЧМК:

, В (3)
б)
изобразить качественно графики модулирующего и модулированного сигналов АМ, ЧМ,
ФМ (временные диаграммы колебаний);
Рисунок
1.1а
Рисунок
1.1б
оптимизация связь амплитудный импульсный
Рисунок
1.1а - Временная диаграмма модулирующего сигнала; Рисунок 1.1б - Временная
диаграмма несущей.
Рисунок
1.2 - Временная диаграмма колебаний модулируемого сигнала АМ

Рисунок
1.4 - Временная диаграмма колебаний модулируемого сигнала ЧМ
в)
построить амплитудно-частотный и фазо-частотный спектры АМ, ЧМ и ФМ колебаний.
Для
построения спектров аналитические выражения (1), (2) и (3) следует представить
в развернутом виде.
для
АМ:
АЧ и ФЧ спектры АМК, построенные в MathCad 14, будут выглядеть следующим образом (рисунки 1.5 и
1.6):
Рисунок 1.5 - График АЧ спектра АМ колебания
Рисунок 1.6 - График ФЧ спектра АМ колебания
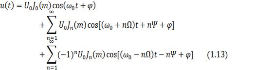
Для фазовой модуляции воспользуемся соотношениями функций Бесселя и
получим:
где
Jn(m) - функция Бесселя первого рода порядка n с
индексом модуляции m в качестве аргумента. Значение функций Бесселя для
разных n и m=2 приведены в таблице 2, а также амплитуды и фазы.
Таблица2
- Функции Бесселя для m=6, амплитуды и фазы
|
N
|
Jn(2)
|
|U0*Jn(2)|,
B
|
|
|
|
|
|
0
|
0,224
|
0.336
|
22600
|
22600
|
π/5
|
π/5
|
|
1
|
0,577
|
0.8655
|
22605
|
22595
|
13π/40
|
3π/40
|
|
2
|
0,353
|
0.53
|
22610
|
22580
|
18π/40
|
-2π/40
|
|
3
|
0,129
|
0.19
|
22615
|
22585
|
23π/40
|
-7π/40
|
|
4
|
0,034
|
0.051
|
22620
|
22580
|
24π/40
|
|
5
|
0,007
|
0,01
|
22625
|
22575
|
33π/40
|
-17π/40
|
АЧ и ФЧ спектры ФМК, построенные в MathCad 14, будут выглядеть следующим образом (рисунки 1.7 и
1.8):
Рисунок 1.7 - График АЧ спектра ФМ колебания
Рисунок 1.8 - График ФЧ спектра ФМ колебания
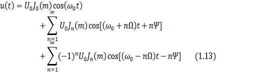
Для получения аналитического выражения ЧМ-колебания вычислили индекс угловой модуляции m, равный 0.146. Воспользуемся соотношениями функций Бесселя и получим:
где
Jn(m) - функция Бесселя первого рода порядка n с
индексом модуляции m в качестве аргумента. Значение функций Бесселя для
разных n и m=2 приведены в таблице 2, а также амплитуды и фазы.
Таблица2
- Функции Бесселя для m=6, амплитуды и фазы
|
NJn(2)|U0*Jn(2)|, B  
|
|
|
|
|
|
|
|
0
|
0,224
|
0.336
|
22600
|
22600
|
0
|
0
|
|
1
|
0,577
|
0.8655
|
22605
|
22595
|
π/8
|
-π/8
|
|
2
|
0,353
|
0.53
|
22610
|
22580
|
2π/8
|
-2π/8
|
|
3
|
0,129
|
0.19
|
22615
|
22585
|
3π/8
|
-3π/8
|
|
4
|
0,034
|
0.051
|
22620
|
22580
|
4π/8
|
-4π/8
|
|
5
|
0,007
|
0,01
|
22625
|
22575
|
5π/8
|
-5π/8
|
АЧ и ФЧ спектры ЧМК, построенные в
MathCad 14, будут выглядеть следующим
образом (рисунки 1.9 и 1.10):
Рисунок 1.9 - График АЧ спектра ЧМ колебания
Рисунок 1.10 - График ФЧ спектра ЧМ колебания
Задача №2
Разработать структурную схему системы связи и рассчитать основные ее
параметры, а именно:
а) разработать структурную схему системы связи для заданного вида
модуляции и способа приема;
б) предполагая, что передаваемый информационный сигнал является
аналоговым с шириной спектра F,
описать преобразования, которым он подвергается в АЦП при переходе к цифровому
ИКМ сигналу (число уровней квантования М, код двоичный);
в) определить тактовый интервал ТТ длительность единичного элемента
кодовой комбинации и скорость передачи информации ИКМ сигнала в N-канальной цифровой системе передачи
(в качестве положительного импульса взять число, равное двум последним цифрам
зачетной книжки, а в качестве отрицательного символа взять половину выбранного
числа) шаг квантования равен Δ=2 у. е.;
г) определить полосу пропускания канала системы связи.
Ø Вид дискретной модуляции - ДАМ;
Ø Способ приема - неоптимальный прием;
Ø Ширина спектра аналогового сигнала - ∆F=60 кГц;
Ø Число уровней квантования - М=512;
Ø Шаг квантования ∆=2 у.е;
Ø Количество каналов системы N=6;
a)
Структурная схема системы связи.
На рисунке 2.1 представлена структурная схема простейшей системы связи:
Рис.2.1 - Структурная схема системы связи.
- источник сообщений а;
- преобразователь непрерывных сообщений а, в непрерывный аналоговый
сигнал Ua(t);
- АЦП - аналого-цифровой преобразователь, преобразующий аналоговый
первичный сигнал Ua(t) в цифровой Uц(t);
- кодер - для преобразования цифрового сигнала Uц(t) в кодовые
комбинации простого двоичного помехоустойчивого кода с проверкой на четность Uцк(t);
- модулятор - для преобразования первичного закодированного цифрового
сигнала Uцк(t) во вторичный высокочастотный сигнал Uм(t), лучше проходящий по линии связи. Это дискретный модулятор,
в котором информация вкладывается в изменение параметра несущего гармонического
сигнала, по закону изменения значений первичного, информационного цифрового
сигнала Uцк(t);
- выходное устройство, формирующее сигнал UПРД(t), включающее в большинстве случаев усилитель сигналов,
полосовой фильтр, ограничивающий полосу частот сигнала для уменьшения помех
взаимного влияния в различных каналах, согласующее устройство передатчика с
линией связи;
- линия связи - физическая среда для передачи сигнала;
- источник помех ξ (t), вызывающий отклонения принятых
сигналов от переданных (к приемнику приходит не сигнал UПРД(t), а сигнал UПРМ=UПРД(t)+ξ(t));
- входное устройство, производящее фильтрацию входного сигнала UПРМ для уменьшения уровня помех на
входе демодулятора, усиление сигнала и согласование приемника с линией связи
для получения сигнала Ûм(t);
- демодулятор, служащий для обратного преобразования принятого ВЧ сигнала
Ûм(t) в первичный цифровой низкочастотный сигнал Ûцк(t), несущий информацию (информационный сигнал выделяется из
того параметра ВЧ сигнала, в который он был заложен при модуляции);
- декодер, который декодирует кодовые комбинации помехоустойчивого кода Ûцк(t) с целью обнаружения ошибок в ней Ûц(t) (код с проверкой на четность сигнализирует о наличии ошибки
в принятой кодовой комбинации, но не может указать количество ошибок их
местоположение);
- ЦАП - цифро-аналоговый преобразователь, который преобразует цифровой
сигнал Ûц(t) в аналоговый сигнал Ûa(t);
- преобразователь аналогового сигнала Ûa(t) в сообщение â;
- получатель сообщений.
Схема модулятора
АМн сигнал для любого момента времени t можно записать в виде:
,
где А0, ω0 - амплитуда и частота радиосигнала; φ
- начальная фаза
радиосигнала, Θ(t) - информационный параметр, принимающий значение 0 или 1. Часто
используется другая форма записи:
(t) = 0 при Θ = 0
которая применяется при анализе АМн сигналов на отрезке времени, равном
одному тактовому интервалу Т. Так как сигнал S(t)=0 при Θ=0,
то АМн называют
манипуляцией с пассивной паузой. Форма АМн радиосигнала представлена на рисунке
3.
Рисунок 2.2 - Схема модулятора ДАМ
Рисунок 2.3 - Амплитудная манипуляции видеоимпульсов
Схема демодулятора
На практике используются простые схемы приема.
Рисунок 2.4 - Схема приемника АМн сигналов
В качестве ПФ используют обычный фильтр с полосой пропускания,
согласованной с длительностью сигнала. При полосе Δf=l,37/T,
где Т - длительность
радиоимпульса, обеспечивается наибольшее отношение сигнал-шум, которое всего на
0,8 дБ меньше, чем при использовании СФ. Такой фильтр почти оптимальный при
приеме одиночных посылок становится неоптимальным, когда радиоимпульсы следуют
друг за другом без паузы. Поэтому наименьшая вероятность ошибок в схеме с
полосовым фильтром достигается при более широкой полосе пропускания, примерно
равной
Δf ≈ 3/T.
Схема приема АМн радиосигнала с СФ является оптимальной. В случае, если
сигнал на выходе СФ (ПФ) в момент окончания элемента сигнала t=T превышает
порог h принимается решение, что
= 1, если не превышает, то
= 0.
С одной стороны ПФ должен быть согласован с сигналом, но в этом случае
проявляется межсимвольная интерференция. Поэтому на практике полоса пропускания
фильтра увеличивается. Схему приема с ПФ используют в случае низкой частотной
стабильности или проявлении эффекта Доплера при связи с движущимися объектами.
б) Преобразование сигнала из аналогового в цифровой
Предполагая, что передаваемый информационный сигнал является аналоговым с
шириной спектра F, описать
преобразования, которым он подвергается в АЦП при переходе к цифровому ИКМ
сигналу (число уровней квантования М, код двоичный);
Для преобразования аналогового сигнала в цифровой ИКМ сигнал, в АЦП
осуществляются последовательно три операции:
- дискретизация
аналогового сигнала во времени, то есть замена исходного аналогового сигнала Ua(t) его дискретными отсчетами Uд(nТд),взятыми через
интервал времени (интервал дискретизации) Тд, который выбирается согласно
теореме Котельникова:
Тд £ 1/(2∙DF), с
где DF - ширина спектра аналогового сигнала,
Гц.
Для НЧ сигнала в спектре которого есть постоянная составляющая, интервал
дискретизации выбирается из соотношения:
Тд £1/(2∙Fв), с
где Fв - верхняя частота спектра
аналогового сигнала, Гц.
- квантование
дискретных отсчетов сигнала по амплитуде (по уровню), т.е. замена значений
дискретных отсчетов Uд(n∙Tд) на значения ближайших разрешенных
уровней квантованияUкв(n∙Tд).
-кодирование
номеров уровней, соответствующих значениям квантованных отсчетов сигналов.
Кодирование заключается в замене квантованных отсчетов кодовыми комбинациями
двоичного кода номера уровня квантования, которому соответствует значение
квантованного отсчета.
Рис. 2.5 - Преобразование сигнала из аналогового в цифровой
Импульсно - кодовый модулирований сигнал (ИКМ) - это последовательность
К-разрядных кодовых комбинаций двоичного кода. Код симметричный двоичный. В нем
1-й элемент кодирует знак напряжения (полярность): положительное напряжение -
«1», отрицательное напряжение - «0». Последующие (К-1) элементов кодируют
информационный символ и определяются по номеру уровня квантования. Общее
количество элементов (разрядов) кодовой комбинации определяется числом уровней
квантования - М по формуле: K =log2М+1.
в) В реальных цифровых системах частоту дискретизации Fд выбирают
большей, чем 2ΔF-Fд>2ΔF для создания полосы расфильтровки в
спектре дискретизованного АИМ сигнала, что облегчает восстановление аналогового
сигнала по дискретным отсчетам на приемной стороне. Кроме того Fд выбирают
кратной частоте 8 кГц для унификации цифровых систем передачи.
Например, если ΔF= 60 кГц, М=512, то:
частота дискретизации по формуле Fд>2ΔF равна 2×60=120 кГц, а с учетом полосы расфильтровки
и кратности 8 кГц, частота дискретизации равна Fд=120 кГц;
интервал дискретизации (период, шаг дискретизации) определяется по
формуле Tд=1/Fд и равен Tд = 1/(120×103)= 0,83×10-5с =8,33 мкс;
длина кодовой комбинации с учетом знака полярности равна K=log2512+1=10 элементов.
. Если в качестве импульса положительной полярности, который необходимо
закодировать (соответствующего двум последним цифрам зачетной книжки) выбрано
число 32, а в качестве импульса отрицательной полярности выбрано вдвое меньшее
число, т. е. 16, тод1= 32 y.e. Uд2= -16 y.e. Uкв1= 32 y.e. Uкв2= -16 y.e.
Кодовые комбинации номера уровней квантования соответственно равны:
у.е.: так как шаг квантования равен Δ=2 у.е., кодируем число 16.
=100002, разрядность с учетом знака полярности равна 10, следовательно,
кодовая комбинация имеет вид 1000010000;
у. е.: Δ=2 у.е., кодируем число-8 .
=10002, дополняем полученное число знаковым символом и нулями для
получения разрядности 10. Получим 0000001000.
Изобразим временные диаграммы кодовых комбинаций в виде импульсов (1 -
импульс есть, 0 - импульс отсутствует), как показано на рис.2.6.
Uикм(t)
1 0 0 0
0 1 0 0 0 0 0 0 0 0 0 0 1 0 0 0
8,33 16,67
t, мкс
Рис. 2.6 - Временные диаграммы кодовых комбинаций простого кода.
Графические кодовые комбинации номеров уровней квантования показаны на
рис. 2.7.
М(U(t)
у.е.)
Диапазон возможных значений аналогового
сигнала: -512
у.е. - 512 у.е.
1000000010 2 4
3
1000000001
1 2
1
8,33
0
t, мкс
-1
0000000001
-1 -2
0000001000 -8
Рис.2.7 - Графическое изображение уровней квантования (уровни
дискретизированного сигнала), которые необходимо закодировать.
2. При кодировании помехоустойчивым (корректирующим) кодом, с проверкой
на четность, который позволяет обнаружить наличие ошибки в кодовой комбинации,
к информационной кодовой комбинации длиной «К» элементов добавляется один
проверочный элемент, доводящий число единиц в полной кодовой комбинации до
четного числа. Проверочный элемент ставится в конце кодовой комбинации после
информационных элементов. Длина кодовой комбинации кода с проверкой на четность
равна n =K+1 , где К - длина кодовой комбинации простого кода.
Проверочный элемент r
определяется суммой по модулю два информационных элементов кодовой комбинации
простого кода
,
где
- сумма по модулю два;
К1, К2 , Кk - элементы
кодовой комбинации простого двоичного кода.
Для кодовой комбинации 100001000: r= 1+0+0+0+0+1+0+0+0+0=0.
Полная кодовая комбинация кода с проверкой на четность имеет вид (длина кодовой комбинации n=k+r) = 10000100000
K=10, n=11 Код(11,10).
Для кодовой комбинации 0000010000: r= 0+0+0+0+0+0+1+0+0+0+0=1.
Полная кодовая комбинация 00000100001.
Uикм(t)
1 0 0 0 0
1 0 0 0 0 0 0 0 0 0 0 1 0 0 0 0 1
t, мкс
8,33 16,67
Рис. 2.8 - Временные диаграммы кодовых комбинаций кода с проверкой на
четность.
3. Кодирование осуществляется в кодерах, структурная схема которого с
проверкой на четность показана на рис.2.9.
Рис.2.9 Структурная схема кодера кода с проверкой на четность.
. Длительность единичного элемента кодовой комбинации цифрового ИКМ
сигнала с проверкой на четность определяется, исходя из величин интервала
дискретизации - Тj и длины кодовой комбинации кода с проверкой на четность n.
Ее называют тактовым интервалом - Ттакт, а частоту следования элементов -
тактовой частотой - Fтакт.
Ттакт = Тд/n, c; Fтакт = 1/Ттакт, Гц; или Fтакт =nFд, Гц и Ттакт=
1/Fтакт, с;
такт = 6×120×103 = 0,72 МГц.
Ттакт = 1/(0,72×106) = 1,39×10-6 = 1, 39 мкс;
Полоса пропускания канала определяется исходя из ширины спектра
модулированного сигнала:
дчм = 4/T;
где Т - длительность единичного элемента.
FДАМ=4/(1,39×10-6)=2,88 МГц
Заключение
В данной курсовой работе было рассмотрено несколько видов модуляции:
амплитудная, угловая (фазовая и частотная). Были записаны аналитические
выражения для этих видов модуляции, построены амплитудно-и фазочастоные спектры
и временные диаграммы несущего, модулирующего и модулированного колебаний.
Во втором задании была разработана структурная схема системы связи для
дискретной амплитудной модуляции с неоптимальным приемом и рассчитаны основные
её параметры. В работе использовался некогерентный прием, при котором сведения
о фазе сигнала не используются, а решения о принимаемом сигнале выносятся по
значениям огибающей. Когерентные методы приема требуют значительного усложнения
схем приемника, для оценки фазы принимаемого сигнала. Поэтому здесь
целесообразно использовать ДФМ, дающую наибольшую помехоустойчивость, а
некогерентный прием лучше совмещать с ДАМ (как было использовано в этой работе)
и ДЧМ, что упрощает схемы приемников и определяет менее жесткие требования к
стабильности частоты сигнала.
Список
литературы
1. Теория
электрической связи. Задание и методические указания на курсовую работу.-
Алматы: АИЭС, 1998.- 11 с.
. ФС РК
10352-1910-У-е-001-2002 - Фирменный стандарт. Работы учебные. Общие требования
к построению, изложению, оформлению и содержанию. - Алматы: АИЭС, 2002. - 34 с.
. Панфилов
И.П., Дырда В.Е. Теория электрической связи.- М.: Радио и связь,1991.-344 с.
. Пенин П.И.
Системы передачи цифровой информации.- М.: Советское радио, 1976-368 с.
. Баева Н.Н.
Многоканальная электросвязь и РРЛ. - М.: Радио и связь, 1988. - 312 с.
. Емельянов
Г.А., Шварцман В.О. Передача дискретной информации - М.: Радио и связь, 1982. -
240