Смеситель УКВ-радиовещательного приемника

  • Вид работы:
    Дипломная (ВКР)
  • Предмет:
    Информатика, ВТ, телекоммуникации
  • Язык:
    Русский
    ,
    Формат файла:
    MS Word
    1,71 Мб
  • Опубликовано:
    2012-06-04
Вы можете узнать стоимость помощи в написании студенческой работы.
Помощь в написании работы, которую точно примут!

Смеситель УКВ-радиовещательного приемника

МИНИСТЕРСТВО ОБРАЗОВАНИЯ И НАУКИ РОССИЙСКОЙ ФЕДЕРАЦИИ

Государственное образовательное учреждение высшего профессионального образования

"САНКТ-ПЕТЕРБУРГСКИЙ ГОСУДАРСТВЕННЫЙ УНИВЕРСИТЕТ АЭРОКОСМИЧЕСКОГО ПРИБОРОСТРОЕНИЯ"







ПОЯСНИТЕЛЬНАЯ ЗАПИСКА

к выпускной квалификационной работе на тему

Тема: "Смеситель УКВ-радиовещательного приемника"

Выпускную квалификационную работу выполнил (а)

студент А.А. Бадоев

Руководитель выпускной квалификационной работы

Доцент, к. т. н. С.А. Якушенко




Санкт-Петербург 2010

Содержание

 

Введение

1. Анализ методов и средств укв связи

1.1 Методы УКВ связи

1.2 Амплитудная и частотная модуляции

1.3 Структура радиоприёмника

1.4 Принципы функционирования

3. Расчет и моделирование элементов смесителя

3.1 План выполнения работы по разделу

3.2 Краткие теоретические сведения

3.3 Выбор схемы смесителя и его обоснование

3.4 Расчет параметров элементов контура L, С, R для схемы смесителя

3.5 Определение АЧХ смесителя с применением функции АС Analysis

3.6 Определение оптимальной величины напряжения источника питания Е с применением функции Parameter Sweep

3.7 Определение режимов элементов схемы по постоянному току с применением функции DC Operating Point

3.8 Расчет передаточных характеристик смесителя с применением функции Transfer Function

3.9 Измерение спектра сигналов на входе и выходе смесителя с применением анализатора спектра

3.10 Анализ спектра внутренних шумов с применением функции Noise Analysis

3.11 Анализ интермодуляционных искажений с применением функции Distortion Analysis

3.12 Анализ устойчивости смесителя с применением функции Pole-Zero

4. Расчет и моделирование элементов фильтра сосредоточенной селекции

4.1 Выбор схемы ФСС и его обоснование

4.2 Расчет и подбор параметров элементов ФСС

4.3 Измерение частотных характеристик ФСС

4.4 Статистический анализ влияния производственных опусков элементов ФСС на его АЧХ с применением функции Monte Carlo

Заключение

Список использованной литературы

Приложения

Введение

Радиоприемники предназначены для приема и воспроизведения аналоговых и цифровых сигналов. Они должны обеспечивать прием сигналов в диапазонах ДВ, СВ, КВ, УКВ с различными видами модуляции - АМ, ЧМ и т.д. Кроме того, они должны, имея достаточно высокие качественные показатели, обладать приемлемой стоимостью. К ним предъявляются и повышенные требования по надёжности, поскольку они эксплуатируются неквалифицированными пользователями.

По типу построения различают приёмники прямого усиления, супергетеродинные и детекторные приемники.

Современные радиоприёмники, как правило, строят по супергетеродинной схеме. Прямое усиление используется лишь в миниатюрных переносных приёмниках с низкими показателями качества.

1. Анализ методов и средств укв связи


На рисунке 1 приведена классификация приемных устройств по принципу действия:

Виды сигналов: AM - амплитудно-модулированный, Тлг - телеграфный (незатухающие колебания), ЧМ - частотно-модулированный, ФМ - фазомодулированный, ОБП - однополосный.

смеситель радиовещательный приемник

1.1 Методы УКВ связи


Рисунок 1. Классификация приемных устройств по принципу действия

В любом методе электромагнитной связи всегда можно выделить, во - первых, среду, которая будет переносить информацию, - несущую, во - вторых, саму информацию. Дальнейшее обсуждение будет сосредоточиваться на различных методах переноса информации, т.е. способах объединения информации (или слияния) с несущей, а именно на схемах модуляции.

Существуют три основные схемы модуляции:

1)      амплитудная модуляция (AM);

2)      угловая модуляция, подразделяющаяся на два очень похожих метода: частотную модуляцию (ЧМ) и фазовую модуляцию (ФМ);

3)      импульсная модуляция (ИМ).

Различные схемы модуляции совмещают два этих метода или более, образуя сложные системы связи. Импульсная модуляция совмещается с амплитудной, образуя импульсную амплитудную модуляцию (АИМ), и т.д. Не всегда возможно найти четко выраженные основания для использования того или иного метода модуляции. Необходимо строго придерживаться правил и инструкций независимо от того, какая схема модуляции используется.

1.2 Амплитудная и частотная модуляции


С качественной стороны амплитудная модуляция (AM) может быть определена как изменение амплитуды несущей пропорционально амплитуде модулирующего сигнала (рис.2а). Для модулирующего сигнала большой амплитуды.

Соответствующая амплитуда модулируемой несущей должна быть большой и для малых значений AM. Это преобразование основано на тригонометрическом тождестве.

Тип модуляции с подавленной несущей иногда преднамеренно проектируется в системах связи, так как это ведет к снижению излучаемой мощности. В большинстве таких систем излучается некоторая часть мощности на частоте несущей, позволяя тем самым приемному устройству настраиваться на эту частоту. Можно также передавать лишь одну боковую полосу, так как она содержит всю существенную информацию о модулирующем сигнале. При обычной модуляции с двумя боковыми полосами, используемой в радиовещании, информация передается исключительно в боковых полосах. Для того чтобы получить, например, хорошее качество звука, необходимо работать в полосе частот шириной 2М, где М - ширина полосы высококачественного воспроизведения звука (20-20 000 Гц). Это означает, что стандартное АМ-радиовещание, к примеру, с частотами до 20 кГц должно иметь ширину полосы ±20 кГц (всего 40 кГц), учитывая верхнюю и нижнюю боковые полосы.

Амплитудно-модулированный сигнал

Рисунок 2. Амплитудная и частотная модуляция

Для радиосвязи на УКВ в последнее время все чаще применяется частотная модуляция. Это объясняется несколькими ее преимуществами. Так, мощность ЧМ передатчика не изменяется при модуляции, она постоянна и равна пиковой (тогда как при AM, например, мощность несущей в четыре раза меньше). ЧМ усилитель мощности может быть нелинейным, что особенно важно для транзисторных устройств.

При связи с использованием ЧМ перекрестная модуляция не возникает. Наличие сильного сигнала приводит лишь к уменьшению коэффициента усиления ретранслятора при сохранении возможности проведения связи. По этой же причине ЧМ передатчики почти не создают помех радиоприему.

Рисунок 3. Спектры ЧМ сигнала с m = 1 и m = 2

Если при AM излучаемая полоса равна удвоенной наивысшей частоте модуляции, то при ЧМ зависимость получается более сложной, а полоса частот шире, чем при AM. Частота ЧМ передатчика изменяется во время модуляции от значения f0 - Δf до f0 + Δf. Средняя частота f0 соответствует частоте немодулированной несущей, а девиация частоты Δf прямо пропорциональна амплитуде модулирующего сигнала.

Отношение максимальной девиации Δfmax к частоте модулирующего сигнала F называется индексом модуляции m. От численно равен отклонению фазы несущей, выраженному в радианах. При обычной ЧМ индекс модуляции обратно пропорционален F.

Спектры ЧМ сигнала с m = 1 и m = 2 изображены на рис.3, а и б. В обоих спектрах содержатся боковые частоты первого порядка f0 ± F и высших порядков f0 ± nF.

При индексах модуляции, меньших единицы, боковые частоты второго порядка практически исчезают, а амплитуда боковых частот первого порядка быстро уменьшается.

Полный выигрыш ЧМ по сравнению с AM, с учетом четырехкратного увеличения мощности передатчика и коррекции, оценивается в 10 - 15 дБ.


Рисунок 1 - Структурная схема супергетеродина

Отличительной особенностью супергетеродинного приема является преобразование (перенос) спектра принимаемого сигнала из области несущей частоты в область промежуточной частоты с помощью местного маломощного генератора (гетеродина). Достоинством такой технологии приема является то, что при изменении несущей частоты принимаемого сигнала нет необходимости изменять параметры настройки многокаскадного усилителя радиочастот, достаточно изменить частоту гетеродина. Технически это гораздо проще, чем добиваться одинакового изменения параметров в каскадах со сложными характеристиками. В конечном итоге это дает возможность строить приемники радиосигналов с хорошими показателями чувствительности и избирательности, так как основное усиление сигнала осуществляется в постоянном диапазоне частот.

1.4 Принципы функционирования


Супергетеродинный приемник работает следующим образом. На вход усилителя радиочастот (УРЧ) поступает вся совокупность сигналов и помех, наведенных в антенне в месте приема. Усилитель радиочастот выполняет предварительную селекцию (отбор) сигналов с частотой, равной частоте полезного (принимаемого) сигнала. Усиление сигналов в УРЧ обычно невелико (в простейших приемниках на радиочастоте совсем нет усиления).

Основное усиление сигнал получает в усилителе промежуточной частоты (УПЧ), на вход которого поступают продукты преобразования, получаемые в преобразователе частоты при смешивании принимаемого сигнала с выхода УРЧ и колебаний гетеродина. Преобразователем частоты называют устройство, с помощью которого переносится спектр принимаемого сигнала, расположенный в районе частоты несущего колебания, называемый радиочастотой, в область несущих колебаний с другим значением частоты, называемой промежуточной частотой. Если преобразование сигнала выполнено без искажений, то спектр принимаемого сигнала переместится параллельно по оси частот, на величину, равную частоте гетеродина, а значение промежуточной частоты fПЧ будет равно

ПЧ = |fС - fГ|,

где fС и fГ - частоты, соответственно, сигнала и гетеродина.

Преимущества супергетеродина:

наличие малого количества перестраиваемых контуров;

возможность получения большего усиления по сравнению с приёмником прямого усиления <#"564248.files/image004.gif">

Смеситель на полевом транзисторе


Балансный смеситель на диодах

Рисунок 3.3 - Балансный смеситель на диодах

Балансные диодные мосты просты, надежны и не требуют источников питания. Однако, они ослабляют преобразованный сигнал. Коэффициент передачи диодных мостов лежит в пределах 0.2-0.3. При полной симметрии схемы шумы гетеродина практически не попадают на выход балансного смесителя.

Кольцевой смеситель на диодах


Кольцевой смеситель представляет собой два балансных смесителя, у которых зажимы включены параллельно и противофазно. В кольцевом смесителе на контуре промежуточной частоты отсутствуют сигналы несущей частоты fc и частоты гетеродина fr. Недостаток - сложность симметрирования схемы.

Обоснование выбора схемы смесителя

В данной работе предлагается разработать смеситель для УКВ диапазона (30 МГц - 55 МГц), обеспечивающие низкие уровни шумов и искажений. Промежуточная частота составляет 15 МГц. Поэтому для его реализации выберем на биполярном транзисторе.

3.4 Расчет параметров элементов контура L, С, R для схемы смесителя


Электрический расчет параметров

LC контур смесителя должен быть рассчитан на резонансную частоту 15 МГц. Полоса пропускания должна равняться 200 кГц.

С2=7,5пФ;

R6=10 Ом;

L1=15 мкГн

3.5 Определение АЧХ смесителя с применением функции АС Analysis


Раздельно рассчитываются АЧХ и ФЧХ.

При анализе вначале линеаризированные малосигнальные модели всех нелинейных элементов. Затем составляются комплексные матрицы, содержащие вещественные и мнимые части. При формировании матриц все источники постоянного тока в схеме обнуляются, а источники переменного тока, емкости и индуктивности заменяются их частотными моделями. Нелинейные компоненты представляются их линеаризированными малосигнальными моделями. Все внешние источники представляются в виде источников сигналов синусоидальной формы, конкретные значения частоты не учитываются. Например, если к схеме подключен функциональный генератор в режиме сигналов прямоугольной или треугольной формы, при анализе он автоматически будет переключен в режим генерации синусоидального сигнала.

Область применения:

Исследование аналоговых устройств в режимах малого сигнала. Цифровые компоненты представляются как большие сопротивления по отношению к точкам заземления.

Рисунок 3.7 - АЧХ смесителя

3.6 Определение оптимальной величины напряжения источника питания Е с применением функции Parameter Sweep


С помощью данной процедуры можно оперативно провести анализы исследуемой схемы по постоянному току (DC Operating Point Analysis), переменному току (AC Analysis) и временной анализ (Transient Analysis) в зависимости от параметра компонента схемы или его модели. Перед проведением анализов для выбранного компонента должны быть установлены начальное и конечное значения и шаг изменения параметра.

Количество варьируемых параметров зависит от вида компонента. Для активных компонентов, таких как, операционные усилители, транзисторы, диоды и др. имеется значительно больше возможностей изменения их внешних и внутренних (модельных) параметров, чем для пассивных компонентов. Например, для катушек индуктивности можно варьировать только величину индуктивности, в то время как для диода установлено около 25 параметров, подлежащих варьированию (обратный ток, омическое сопротивление, напряжение пробоя и др.).


Проведено исследование влияния напряжения питания на АЧХ смесителя, выявлено что АЧХ оптимальна при Е=11 В, так как при меньшем напряжении АЧХ смещается в область нижних частот, а с увеличением резко возрастает.

3.7 Определение режимов элементов схемы по постоянному току с применением функции DC Operating Point


С помощью данного анализа определяются величины напряжения постоянного тока в узлах схемы. При этом все источники переменного тока обнуляются, и устанавливается равновесное состояние, при котором все емкости схемы разомкнуты, а индуктивности закорочены.

Таблица 3.1: Результаты анализа схемы с помощью функции "DC Operating Point"


3.8 Расчет передаточных характеристик смесителя с применением функции Transfer Function


Данная функция анализа рассчитывает малосигнальные параметры передачи по постоянному току между входным источником и двумя выходными узлами (для напряжения) или одним варьируемым выходом (для тока). Одновременно определяются входное и выходное сопротивления.

Все нелинейные компоненты схемы представляются их линеаризированными моделями по постоянному току, а затем проводится малосигнальный анализ.

В качестве выходного узла может быть выбран любой узел схемы, в то время как к входному узлу должен быть подключен независимый источник.

Коэффициент передачи в данном анализе рассчитывается как производная напряжения постоянного тока на выходном узле к входному:


Входное и выходное сопротивления являются также соответствующими производными. Например, для расчета входного сопротивления применяется формула:


Таблица 3.2-Результаты расчета передаточных характеристик анализатора с помощью функции "Transfer Function"


3.9 Измерение спектра сигналов на входе и выходе смесителя с применением анализатора спектра




Из рисунков видно, что на вход подаются частоты 42 МГц и 41,5 МГц, а на выходе их разностная частота 15,0 МГц.

3.10 Анализ спектра внутренних шумов с применением функции Noise Analysis


Анализ шума часто применяется при диагностике систем связи.

В программе Multisim рассчитывается "шумовой" вклад каждого резистора и полупроводникового прибора в сигнал шума на выходе системы. Предполагается, что источники шума не взаимосвязаны друг с другом и для каждого источника шума расчет производится независимо. Общий уровень шума в выходном узле рассчитывается как сумма среднеквадратичных значений шумов каждого источника. Расчет шума может проводиться относительно заземленного вывода или любого другого узла схемы.

Шумы являются нежелательными напряжениями или токами, возникающими на выходе системы. Один из наиболее характерных примеров проявления шумов - "снег" на экране телевизионного приемника, являющийся результатом флуктуаций всех частотных составляющих тракта ТВ приемника при слабом полезном сигнале или его отсутствии.

В программе Multisim моделируются 3 вида шумов:

"Белый" шум или шум Джонсона (Johnson)

Вызывается тепловым взаимодействием свободных электронов и возбужденных ионов в проводниках. Частотные компоненты белого шума равномерно распределены по всему спектру. Мощность генерируемого шума Р определяется по формуле Джонсона:

 

P = k*T*Δf (2.3)

где к - постоянная Больцмана (1,38 - 10-23 Дж/К); Т - температура в К; Δf - полоса частот в Гц. "Тепловое" напряжение может быть представлено как среднеквадратичное значение в серии измерений резистора:

 

е2 = 4k*T*Δf*R (2.4)

Аналогичное выражение для тока:

 

i2 = 4k*T*Δf/R (2.5)

Дробовый шум Обусловлен дискретной природой носителей заряда в полупроводниковых материалах. В большинстве случаев это шумы транзисторов.

Формула для расчета дробового шума диода:

 

i = (2q*Idc*Δf) 1/2

где i - дробовый ток;

q - заряд электрона (1,6 - 10-19Кл);

Тепловые шумы и дробовые являются аддитивными.

"Розовый" шум или 1/f шум

(также известен под названием фликкер-шум или избыточный шум)

Проявляется в биполярных и полевых транзисторах на частотах ниже 1 кГц. Уровень такого шума обратно пропорционален частоте и прямо пропорционален температуре и величине постоянного тока.

Таблица 3.3 - Таблица с результатом работы смесителя с применением функции "Noise Analysis"


3.11 Анализ интермодуляционных искажений с применением функции Distortion Analysis


Искажения сигнала являются обычно результатом нелинейности коэффициента передачи или фазовой характеристики устройств. Нелинейность коэффициента передачи вызывает гармонические искажения, тогда как несовершенство фазовой характеристики - интермодуляционные искажения.

Анализ искажений в программе Multisim является успешным при исследовании небольшого количества составляющих появляющихся при анализе временных процессов. Программа рассчитывает гармонические и интермодуляционные искажения для аналоговых устройств в малосигнальном режиме.

Если в устройстве имеется источник переменного тока, то с помощью такого анализа можно определить комплексные значения 2-й и 3-й гармоник для каждого узла схемы.

При наличии двух источников переменного тока можно определить комплексные значения в 3-х различных комбинациях частот:

для суммарных частот;

для разностных частот;

для разностных частот между наименьшим и наивысшим частотными составляющими двух гармоник.

Рисунок 3.12: Результат анализа работы смесителя для суммарных частот.

Рисунок 3.13: Результат анализа работы смесителя для разностных частот

Рисунок 3.14: Результат анализа работы смесителя для разностных частот между наименьшим и наивысшим частотными составляющими двух гармоник.

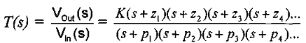
3.12 Анализ устойчивости смесителя с применением функции Pole-Zero


Данный анализ проводится при изучении устойчивости работы устройств радиоэлектроники. На стадии разработки изделий важно исследовать взаимосвязи выходного и входного узлов схемы. Выявление нежелательных положительных обратных связей на стадии моделирования и их устранение позволяет избежать выхода из строя оконечных, как правило, наиболее дорогостоящих компонентов устройств в реальных условиях работы.

В программе Multisim рассматриваемый анализ проводится надежно только при наличии пассивных компонентов в схеме. При его проведении производится расчет полюсов и нулей передаточной функции. Передаточная функция является наиболее подходящей для анализа устойчивости устройств. Процедура ее определения основана на вычислении отношения преобразований Лапласа для выходного и входного сигналов устройства.

Передаточная функция отражает в основном комплексные величины амплитуды и фазы сигналов. Один из путей определения передаточной функции заключается в следующем:


где Vout (s) и Vin (s) соответственно преобразования Лапласа выходного и входного сигналов;

 

s=σ+jω

Числитель дроби содержит нули передаточной функции (z1, z2, z3, z4.), знаменатель - полюса (р1, р2, р3, р4.).

В общем случае нули и полюса могут содержать действительные, комплексные или чисто мнимые числа.

Рисунок 3.15: Результата анализа схемы с применением анализатора "Pole-Zero"

Результат анализа показывает, что все вещественные части полюсов имеют отрицательные значения, а комплексные корни попарно сопряжены. Таким образом можно сделать вывод что разработанный смеситель обладает необходимой устойчивостью.

4. Расчет и моделирование элементов фильтра сосредоточенной селекции


План выполнения работы по этапу

·        Выбор схемы ФСС и его обоснование;

·        Расчет и подбор параметров элементов ФСС с учетом варианта задания;

·        Измерение частотных характеристик ФСС;

·        Статистический анализ влияния производственных допусков элементов ФСС на его АЧХ с применением функции Monte Carlo.

4.1 Выбор схемы ФСС и его обоснование


Основные технические параметры

-        Центральная частота

-        Полоса пропускания

-        Вносимые потери

-        Неравномерность АЧХ в полосе пропускания

-        Затухание в полосе заграждения

Краткие теоретические сведения о возможных вариантах

а)                                                     б)                                           в)

Рисунок 4.2 - Связанные контуры с трансформаторно-емкостной (а), резистивной (б) и автотрансформаторной связью исполнения

Рисунок 4.1 - Связанные контуры с трансформаторной связью (а), с внутренней (б) и внешней (в) емкостными связями

Используется в усилителях приемо-передающих устройств. Наибольшее распространение получили двухконтурные системы, приведенные на рисунках 4.1 и 4.2и Uo - напряжения на входе и выходе контуров; М - коэффициент взаимной индукции; Ro,Co,Lo - элементы связи; L1,C1,R1,L2,C2,R2 - элементы контуров.

Одной из важнейших характеристик данных устройств является коэффициент связи К:

К=√К1-К2 (4.1)

где К1, К2 коэффициенты связи для первого и второго контуров. Коэффициент связи служит для количественной оценки взаимного влияния контуров и в практических конструкциях составляет величину менее 1.

Для рисунка 4.1 а:

 

K1=M/L1 (4.2), K2=M/L2 (4.3)

K=M/√L1*L2 (4.4)

 

Для рисунка 4.1 б:

 

К1=С1/ (С1+Со) (4.5)

К2=С2/ (С2+Со) (4.6)

 

Для рисунка 4.1 в

К1=Со/ (С2+Со) (4.7)

К2=Со/ (С1+Со) (4.8)

 

Для рисунка 4.2 а:

К1= (ωМ-1/ωСо) / (ωL1) (4.9)

К2= (ωМ - 1/ωСо) / ωL2 (4.10)

 


Kl=Ro/ (Ro+R2) (4.11)

К2 - Ro/ (Ro+R1) (4.12)

Для рисунка 4.2 в:

К1 =Lo/ (L2+Lo) (4.13)

K2=Lo/ (L1+Lo) (4.14)

Обоснование выбора варианта цепи

Фильтр должен обладать центральной частотой 15 МГц. Поэтому наиболее эффективным (качество-цена) является 5-ти контурная система подходящая для УКВ диапазона.

4.2 Расчет и подбор параметров элементов ФСС


Для расчета рассматриваемого ФСС можно воспользоваться соотношениями для двухконтурных связанных систем.

Примем для простоты расчетов следующие допущения:

С39= 6,8 пФ С57=6,2пФ С246810=100 пФ R1 =R2 =R3=R4=R=0,3 Ом L1=L2=L3=L4=1,1 мкГн

4.3 Измерение частотных характеристик ФСС


Рисунок 4.3-Выбранная схема ФСС

Произведем настройку ФСС с помощью катушек индуктивности. Цель настройки - максимально приблизить параметры разрабатываемого ФСС к требуемым по варианту. При проведении моделирования подключим вспомогательный источник гармонических колебаний через измерительный конденсатор, сравнимый по величине с Со.

Рисунок 4.4-АЧХ исследуемого ФСС

4.4 Статистический анализ влияния производственных опусков элементов ФСС на его АЧХ с применением функции Monte Carlo


Является статистическим анализом, который позволяет определить влияние производственных допусков компонентов схемы на ее выходные параметры. Вначале производится исследование схемы при номинальных значениях компонентов. Для остальных замеров вводится некое отклонение, добавляемое к номиналу каждого компонента. В качестве такой величины чаще всего принимается стандартное отклонение, которое в общем случае зависит от закона распределения. В программе допускается применение 2-х законов распределения равновероятного (Uniform) и нормального (Gaussian). Во втором случае закон распределения может быть представлен следующим выражением:

 (4.15)

где и - номинальная величина параметра; σ - стандартное отклонение; х - независимая переменная. Стандартное отклонение рассчитывается по формуле:

(4.16)

где D (%) - производственный допуск в процентах; N - номинальное значение. Программа позволяет провести данный анализ для n - числа испытаний (Number of runs) при исследовании схемы по постоянному току (DC Operating Point Analysis), переменному току (AC Analysis) и во временной области (Transient Analysis). Кроме того, возможно установить допуска не только на внешние параметры компонентов (Device Parameter), но и на их внутренние параметры (Model Parameter). Допуск компонента устанавливается в абсолютном (Absolute) или процентном (Percent) отношении.

Рисунок 4.5 Из результатов анализа видно, что резонансная частота ФСС сильно изменяется при заданных допусках элементов. Следовательно при изготовлении схемы нужно использовать элементы с меньшими допусками.

Краткие выводы по этапу

Спроектирован ФСС обеспечивающий частотную селекцию на частоте 15 МГц, фильтр имеет несколько звеньев, проверено, что уменьшение числа звеньев приводит к сужению полосы пропускания, причем она становится меньше полосы сигнала, что недопустимо.

Заключение


В результате данной работы был рассчитан смеситель сигналов УКВ диапазона (30 - 55 МГц).

Выбор элементов устройства объясняется такими принципами, как:

·        простота реализации того или иного элемента;

·        широким спектром применения рассматриваемого элемента;

·        удовлетворение необходимым параметрам и характеристикам, заданным в соответствующем варианте.

Список использованной литературы


1.       Карлащук В.И. Электронная лаборатория на IBM PC. Программа Electronics Workbench и ее применение. - М.: Солон-Р, 2003.

2.       Фомин Н.Н. Радиоприемные устройства. - М.: Радио и связь, 1996.

.        Бойко В.И. и др. Схемотехника электронных схем. Аналоговые и импульсные устройства. - СПб.: БХВ-Петербург, 2004

.        Хоровиц П. и др. Искусство схемотехники. - М.: Мир, 2003

.        Радиовещание и электроакустика /под ред. Ковалгина Ю.А. - М.: Радио и связь, 2002

.        Г. Ханзел. Справочник по расчету фильтров. - М.: Советское радио, 1974.

.        О.В. Головин. Радиоприемные устройства. - М.: горячая линия - Телеком, 2004.

.        Митрофанов И.С. Теория электрической связи. Расчёт и моделирование элементов супергетеродинного приёмника. Методические указания к выполнению курсовой работы. - СПб ГУАП, 2005.

Приложения


Похожие работы на - Смеситель УКВ-радиовещательного приемника

 

Не нашли материал для своей работы?
Поможем написать уникальную работу
Без плагиата!
Без нейросетей!