Проект привода для горизонтального вала
Введение
В условиях рыночной
экономики, у производителей различных областей промышленности, возникает
проблема конкурентоспособности выпускаемой продукции. Конкурентоспособность
зависит от цены и качества изделия. Качество и цена изделия напрямую зависит от
грамотного и правильного проектирования и конструирования. При конструировании
задача состоит в создании машин, отвечающих потребностям рынка, дающих
наибольший экономический эффект и обладающих высокими технико-экономическими и
эксплуатационными показателями.
Основные
требования, предъявляемые к конструируемой машине - высокая надёжность,
ремонтопригодность, технологичность, минимальные габариты и масса, удобство
эксплуатации.
Дисциплина «Детали
машин» охватывает теорию, расчёт и конструирование наиболее распространённых
видов деталей, их соединений и узлов машин, т.е. основы конструирования машин.
Целью курсовой
работы является: систематизировать, закрепить и расширить теоретические знания,
а также развить расчётно-графические навыки. Ознакомиться с конструкциями
типовых деталей машин и узлов, научиться рассчитывать и конструировать
механизмы и детали общего назначения. Овладеть техникой разработки
конструкторской документации на различных стадиях проектирования и
конструирования.
В настоящей
курсовой работе проектируется привод к горизонтальному валу. Привод состоит из
рамы, силового агрегата, редуктора, соединительных звеньев, промежуточных
передач.
Рама предназначена
для установки и крепления всех компонентов привода.
Силовой агрегат
служит для приведения в движение всего механизма.
Редуктор - агрегат,
при помощи которого достигаются необходимые кинематические и силовые параметры.
Соединительные
звенья служат для соединения вращающихся частей различных агрегатов.
Промежуточные
передачи предназначены для достижения необходимых выходных параметров, если это
невозможно достичь при помощи основных узлов и агрегатов.
1. Выбор
электродвигателя и кинематический расчёт
1. Электродвигатель
. Передача гибкой связью
. Редуктор цилиндрический
прямозубый
. Муфта компенсирующая
. Плита (рама)
Двигатель является одним из основных
элементов машинного агрегата. От типа двигателя, его мощности, частоты вращения
зависят конструктивные и эксплуатационные характеристики рабочей машины и ее
привода.
Для приводов механизмов, имеющих
постоянную нагрузку при длительном режиме работы и большую пусковую нагрузку
применяют трёхфазные асинхронные короткозамкнутые двигатели серии 4А либо
электродвигатели серии АИР.
Рпр=2,6 кВт; nпр=210 об/мин.
Требуемая мощность электродвигателя:
КПД привода:
полезного действия клиноременной
передачи, цилиндрической передачи, муфты, подшипников качения (по
кинематической схеме в редукторе две пары подшипников).
ηпр=
ηкл·
ηцп· ηм·
η2подш = 0,97· 0,96· 0,98· 0,9801 = 0,894
Рэл = 
= 2,908 кВт
Выбираем
электродвигатель с Рэл=5.5 кВт марки 4АМ112МА6У3, с nном=955 об/мин.
Основное назначение привода
обеспечить снижение высокой частоты вращения двигателя до сравнительно низкой,
а также соответственное повышение передаваемых крутящих моментов
При этом передаточное число привода uпр. равно:
uпр=
=
=
4,548
uцп = 3,5 (ГОСТ)
uкл=
=
=
1,3
Расчёт скоростей
вращения и мощностей на валах: Р, n,
, Т
1 вал:
Р1=Рэл=2,908
кВт;
n1=nэл=955 об/мин;
ω1
=
=
=
99,96 с-1;
Т1 =
=
=
29,09 Н·м;
вал:
Р2 = Р1·
ηкл· η2подш = 2,908· 0,97·0,9801 = 2,76 кВт;
n2
=
=
=
735,18 об/мин;
ω2
=
=
=
76,95 с-1
Т2=
=
=105.075
Н·м;
3 вал:
Р3 = Р2
· ηцп · η2подш = 2,76· 0,98 · 0,9801 = 2,597 кВт;
n3
=
=
=
210 об/мин
ω3
=
=
=
21,98 с-1
Т3 =
=
=
118 Н·м;
4 вал:
Р4 = Р3 ·
ηм = 2,597 · 0,98 = 2,545 кВт;
n4
= n3 = 210 об/мин;
ω4 =
ω3 = 21,98 с-1;
Т4 =
=
=
115,79 Н·м
Т4<Т3.
2. Подбор материалов
Сталь в настоящее время - основной
материал для изготовления зубчатых колёс. В условиях крупносерийного
производства, в мало- и средненагруженных передачах, а также в открытых
передачах с большими колёсами применяют зубчатые колёса с твердостью материала
Н≤350 НВ. При этом обеспечивается чистое нарезание зубьев после
термообработки, высокая точность изготовления и хорошая прирабатываемость
зубьев.
Выбираем материал в зависимости от
номинальной мощности двигателя (Рном=3кВт).
Возьмём для шестерни и колеса Сталь
45, но с различной твёрдостью, т.к. твёрдость зубьев шестерни должна быть
больше твёрдости зубьев колеса.
|
Шестерня - Сталь 45
|
Колесо - Сталь 45
|
|
Основные характеристики:
|
|
Dпред=80мм;
Sпред=50мм;
|
Dпред=125мм;Sпред=80мм;
|
|
Термообработка
|
|
Улучшение
|
Улучшение
|
|
Твёрдость
|
|
НВср1=300
|
НВср2=260
|
|
σв,
Н/мм2
|
|
890
|
780
|
|
στ, Н/мм2
|
|
650
|
540
|
|
σ-1,
Н/мм2
|
|
380
|
335
|
3. Расчёт закрытой цилиндрической
зубчатой передачи
Редуктор - передача, установленная в
закрытом корпусе и служащая для снижения угловой скорости и повышения
вращающего момента на ведомом валу.
.1 Проектный расчёт
) Определим главный параметр -
межосевое расстояние αw, мм:
-
вспомогательный коэффициент: для прямозубых - Ка = 49,5 ;
-
коэффициент ширины венца колеса равный 0,28…0,36 - для шестерни, расположенный
симметрично относительно опор в проектируемых нестандартных одноступенчатых
цилиндрических редукторах ,
-
передаточное число редуктора: u = 3,5;
-
вращающий момент на тихоходном валу редуктора или на приводном валу рабочей
машины для открытой передачи : Т3 = 118 Нм;
-
допускаемое контактное напряжение колеса с менее прочным зубом или среднее
допускаемое контактное напряжение, Н/мм2
-
коэффициент неравномерности нагрузки по длине зуба для прирабатывающихся
зубьев:
Определим среднее допускаемое
контактное напряжение для зубьев шестерни и колеса [σн]:
[σн]
= 1,8·НВср + 67 = 1,8·
+ 67 = 571.
КнL -
коэффициент долговечности;
КнL1 -
;
КнL2 =
,
где NH0
- число циклов перемены напряжений, соответствующее пределу выносливости N1, N2
- число циклов перемены напряжений за весь срок службы (наработка).
Для шестерни: NH0
= 25 млн. циклов
N1
= 573 · ω1 · LH,
где
ω1=ω2, LH
- срок службы редуктора в часах= 15·103.
N1
= 573 · 76,95· 15000 = 661385250 циклов
КнL1 =
=
=
0,579
КнL1: [1,2,6]
→ КнL1 = 1 - для нормализованных или улучшенных колёс
Для колеса:
N2
= 60· ω3 · LH
, где NH0
= 25 млн. циклов; ω2
= ω3
N2
= 573·21,98· 15000 = 188918100 циклов
КнL2 =
=
=
0,714≈ 1
aw ≥ 49,5 ·(3,5+1) ·
aw ≥ 99,35 мм
aw ≈100 мм
2) Определим модуль зацепления m, мм:
-
вспомогательный коэффициент для прямозубых колёс: Кm = 6,8;
- делительный диаметр колеса, мм:
=
=
156 мм;
- ширина венца колеса,
мм:
b2
= 0,3 · 100 = 30 мм;
- допускаемое
напряжение изгиба материала колеса с менее прочным зубом Н/мм2:
Т2 = Т3
= 118 Н·м
Определим допускаемые
напряжения изгиба для зубьев шестерни [σ]F1 и колеса [σF2]:
Для шестерни:
[σF1]=
KFL1
[σFO1],
где KFL1
- коэффициент долговечности, [σFO1]
- допускаемое напряжение изгиба
[σFO1]
= 1,03 НВср = 1,03 · 300 = 309 Н/мм
KFL1
=
=
≤ KFL ≤
2,08
[σ]F1 = KFL1·
[σ]FO1
= 1 · 309 = 309 Н/мм2
Для колеса:
[σ]F2 = KFL2·
[σ]FO2
[σ]FО2 = 1,03 НВср = 1,03· 260 = 267,8 Н/мм
KFL2
= 1 [σ]F2
= 1 ·267,8 = 267,8 Н/мм2
m ≥
=
=
1,28 мм ≈ 1,5 мм
) Определим суммарное
число зубьев шестерни и колеса для прямозубых колёс:
ZΣ= Z1
+ Z2 =
ZΣ = 134
) Определим число зубьев
шестерни:
Z1
=
Z1
=
=
30 (Z1≥18)
) Определим число зубьев
колеса: Z2 = 134 - 30 = 104
) Определим фактическое
передаточное число uф
и проверить его отклонение ∆u
от заданного u:
uф=
=
=3,46
;
∆u =
≤
4%
∆u =
=
1,14% ≤ 4%
) Определим фактическое
межосевое расстояние:
aw
=
aw
=
=
100,5 ≈ 100 мм
Определим основные
геометрические параметры передачи, мм:
|
Параметр
|
Шестерня
|
Колесо
|
|
Диаметр
|
делительный
|
d1=
m·z1; d1= 1,5·30= 45
|
d2 = m·z2;
d2 = 1,5·
104 = 156
|
|
вершин зубьев
|
;
da1 = 45 + 2·1,5 = 48
|
;
da2 = 156+ 2·1,5 = 159
|
|
впадин зубьев
|
;
df1 = 45-2,4·1,5 = 41,4
|
;
df2 = 155-2,4·1,5 = 152,4
|
|
Ширина венца
|
b1
= 30+2 = 32
мм
|
;
b2 = 0,3·100 = 30мм
|
.2 Проверочный расчёт и расчёт сил в
зацеплении
) Проверим контактные напряжения
, Н/мм2.
К - вспомогательный коэффициент: для
прямозубых: К=436;
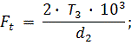
Ft - окружная сила в зацеплении, Н:
Ft
=
=
1512,8 Н
-
коэффициент, учитывающий распределение нагрузки между зубьями. Для прямозубых
= 1;
-
коэффициент неравномерности нагрузки по длине зуба:
-
коэффициент динамической нагрузки, зависящий от окружной скорости колёс и
степени точности передачи.
υ =
=
= 1,71 м/с
КFv = 1,78
Кнv = 1,4
- допускаемое
контактное напряжение колеса:
= 571 Н /мм2
σн
= 436 · 
≤ 571 МПа
σн
= 581 МПа
[σH]
≤ σн
Разница допускаемых
контактных напряжений:
Δ=
=
=
1,75%, перегруз
) Проверим напряжения
изгиба зубьев шестерни
и
колеса
,
Н/мм2:
m
- модуль зацепления, мм: m=2;
- ширина зубчатого
венца колеса, мм:
b2
= 30 мм;
- окружная сила в
зацеплении, Н: Ft
=1512,8 Н;
- коэффициент,
учитывающий распределение нагрузки между зубьями.
Для прямозубых
= 1
- коэффициент
неравномерности нагрузки по длине зуба:
;
- коэффициент
динамической нагрузки, зависящий от окружной скорости колес и степени точности
передачи: КFυ
= 1,78;
- коэффициенты формы
зуба шестерни и колеса. Определяются в зависимости от числа зубьев шестерни z1 и колеса z2
;
Следовательно, YF1 =
3,8 (для шестерни), YF2
= 3,61 (для колеса);
- коэффициент,
учитывающий угол наклона зуба: для прямозубых: Yβ =
1
и
-
допускаемые напряжения изгиба шестерни и колеса, Н/мм2:
[σF1]
= 309 Н/мм2; [σF2] = 267,8 Н/мм2
σF2 =
≤
[σ]F2
σF2 = 216 ≤ [σF2]
σF1 =
≤
[σ]F1
σF1 = 227 Н/мм2
3) Определим силы
зацепления:
β = 0º;
α = 20º, tg α = 0,36
Fα = 0.(т.к.
β
= 0º)
) Составим табличный
ответ к задаче:
|
Проектный расчёт
|
|
Параметр
|
Значение
|
|
Параметр
|
Значение
|
|
Межосевое расстояние, aw
|
100 мм
|
|
Угол наклона зубьев β
|
-
|
|
Модуль зацепления, m
|
1,5 мм
|
|
Диаметр делительной окружности: шестерни d1 колеса d2
|
45
мм 156 мм
|
|
Ширина зубчатого венца: шестерни d1
колеса d2
|
32 мм 30 мм
|
|
Диаметр окружности вершин: шестерни da1
колеса da2
|
48
мм 159 мм
|
|
Число зубьев: шестерни z1
колеса z2
|
30 104
|
|
Диаметр окружности впадин: шестерни df1
колеса df2
|
41,4мм
152,4 мм
|
|
Вид зубьев
|
эвольвентное прямозубое
|
|
|
|
Проверочный расчёт
|
Параметр
|
Допустимые значения
|
Расчётные значения
|
|
Контактные напряжения σн,
Н/мм2
|
571 Н/мм2
|
581 Н/мм2
|
|
Напряжения изгиба, Н/мм2
|
309 Н/мм2 267,8 Н/мм2
|
227 Н/мм2 216 Н/мм2
|
|
σF1
|
|
|
|
σF2
|
|
|
4. Компоновка и расчёт валов
. Выбор материала валов
В проектируемых редукторах
рекомендуется применять термически обработанные среднеуглеродистые и
легированные стали 45, 45Х.
. Выбор допускаемых напряжений на
кручение
Проектный расчет валов выполняется
по напряжениям кручения, т. е. при этом не учитывают напряжения изгиба,
концентрации напряжений и переменность напряжений во времени. Поэтому для
компенсации приближенности этого метода расчета допускаемые напряжения на
кручение применяют заниженными: [t]к= 25...30 Н/мм2.
. Определение геометрических
параметров ступеней валов
Редукторный вал представляет собой
ступенчатое цилиндрическое тело, количество и размеры ступеней которого зависят
от количества и размеров установленных на вал деталей. Проектный расчет ставит
целью определить ориентировочно геометрические размеры каждой ступени вала: ее
диаметр d и длину l.
. Предварительный выбор подшипников
качения
Выбор наиболее рационального типа
подшипника для данных условий работы редуктора весьма сложен и зависит от
целого ряда факторов: передаваемой мощности редуктора, типа передачи,
соотношения сил в зацеплении, частоты вращения внутреннего кольца подшипника,
требуемого срока службы, приемлемой стоимости, схемы установки.
Для цилиндрической и червячной
передач, в связи с наличием осевых сил предварительно выбираем
радиально-шариковые однорядные подшипники.
Для быстроходного вала редуктора
№107 d=35мм, D=62мм, В=14мм, r=1,5 мм, Cr=15,9 кН, Cor= 8,5 кН
Для тихоходного вала редуктора №105 d=25 мм, D=47 мм, В=12мм, r=1мм, Cr=11,2 кН, Cor= 5,6 кН
4.1 Проектный расчёт валов
Расчёт тихоходного вала
редуктора
Определим размеры ступеней валов
одноступенчатого редуктора, мм:
1) Диаметр под элемент открытой передачи или полумуфту:
Где
=
-
крутящий момент, равный вращающему моменту на валу, Н
м;
= 118
Н
м;
=
25…30
;
= 30
МПа
dв1=
=
26,99 ≈
27 мм
-
длина ступени под полумуфту;
= (1…1,5)
=
27
1,5
= 40,5 мм
2)
Диаметр под уплотнение крышки с отверстием и подшипник:
t - значение высоты буртика;
t=2,2
мм
dв2=27+2·2,2=31,4
мм
кратно 5 мм
=
35 мм;
l2=
1,25·35 = 43,75 мм≈44 мм
3) Диаметр
под шестерню, колесо:
r - координата фаски подшипника;
r=2
мм
dв3=35+3,2·2=41,4=42
l3 = 37
мм (из компоновки)
lcт=
(1,1…1,5)
=
42 ·1,1=46,2мм
) Диаметр под подшипник:
d4=
35 мм
= 14 мм;
- диаметр ступени;
=35 мм;
= 62 мм;
1,5 мм;
= размер фаски;
= 1 мм;
l4=14+1=15
мм
5) Диаметр упорный или
под резьбу
f - ориентировочная величина фаски ступицы;
ƒ=1,6
dв5=42+3·1,6=46,8
= 47мм
Расчёт быстроходного
вала редуктора
Определим размеры ступеней валов
одноступенчатого редуктора, мм:
2) Диаметр под элемент открытой передачи или полумуфту:
Где,
- крутящий момент, равный вращающемуся моменту на валу, Н
;
=
35,87 Н
;
=
25…30
;
= 30
МПа;
dв1=
=19,14
мм
dв1=20
мм
Где,
- длина ступени под полумуфту;
= (1
1,5)
=
30 мм
) Диаметр под уплотнение
крышки с отверстием и подшипник:
,
-
значение высоты буртика;
t=2
мм
dв2=20+2·2=
24 мм
кратно 5 мм
=
25 мм;
l2=1,5·25=37,5
мм
) Диаметр под шестерню,
колесо:
- координата фаски
подшипника;
r=2
мм
dв3=25+3,2·2=31,4
= 32мм
l3=
44мм(из компоновки)
4) Диаметр под
подшипник:
d4=25
мм
В=12 мм
- диаметр ступени;
= 25 мм;
D
= 47 мм;
r
= 1 мм;
c
= 1мм
l4=12+1=13
мм
.2 Расчетная схема и
эпюры нагрузок тихоходного вала
На вал действуют
окружная сила Ft1=1594,2
H, осевая сила Fa1=556
H, радиальная сила Fr1=796
H, крутящий момент Т=118 Н·м, диаметр d2=35
мм.
.3 Проверочный расчёт
(тихоходный вал)
1) Консольная сила от муфты:
Fm=
=
125 · 10,9= 1362,5
Где Т3 - вращающий момент;
зубчатый передача вал подшипник
Ft=
=
1512,8 H
) Строим эпюры
изгибающих моментов в вертикальных и горизонтальных плоскостях, суммарную эпюру
и эпюры крутящих моментов:
yA=yB=
=
=475.5
H
r=2642·tg20=2642·0.36=951 H
=
;
где
и
-
соответственно изгибающие моменты в горизонтальной и вертикальной плоскостях;
= (
=
= 290,63
;
F=125·
=2131 H
а=l3+B=86+27=113 мм
b=l2+l1-
-
=
l2+
-
b=63+
-
=81
мм
xв=
=
=1573,8
Н
xа=F-Ft- xв=2131-2642-1573,8=-2084,8
H
Mx=(-2084.8·113)+(2131·81)=-58.8
Н/мм
y=475.5·113=53.732H/м
=
H·мм
= 60 мм;
b = 18 мм;
= 7 мм;
Wнетто=0,1·603-
мм3
σа=σи=
H/мм2
Определим напряжения в опасных
сечениях вала,
Нормальные напряжения изменяются по
симметричному циклу, при котором амплитуда напряжения
равна расчетным напряжениям изгиба
:
-
суммарный изгибающий момент в рассматриваемом сечении, Нм:
-
осевой момент сопротивления сечения вала, мм3:
2) Касательные напряжения изменяются
по отнулевому циклу, при котором амплитуда цикла
равна половине расчетных напряжений кручения
, Н/мм2:
-
крутящий момент тихоходного вала, Нм:Т3=290,63 H/мм
-
полярный момент инерции сопротивления сечения вала, мм:
в=18 мм
t1=7 мм
dв3=60 мм
Wρнетто=0,2·603-
мм3
τа=
H/мм
3) Определим коэффициент
концентрации нормальных и касательных напряжений для расчетного сечения вала:
и
- коэффициенты концентрации напряжений. Они зависят от размеров
сечения, механических характеристик материала.
=1.825 ;
=1.6
-
коэффициент влияния абсолютных размеров поперечного сечения: Kd=0.785
-
коэффициент влияния шероховатости:
;
-
коэффициент влияния поверхностного упрочнения:
(Kσ)D=
·
=2.40
(Kτ)D=
2.11
4) Определим пределы выносливости в
расчетном сечении вала, Н/мм2:
и
- пределы выносливости гладких образцов при симметричном цикле
изгиба и кручения, Н/мм2:
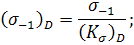
(σ-1)D=
H/мм
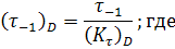
(τ-1)D=
H/мм
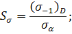
5) Определим коэффициенты запаса
прочности по нормальным и касательным напряжениям:
Sσ=
Sτ=
6) Определим общий коэффициент
запаса прочности в опасном сечении:
S=
S=32.18≥([S]=1.5...2)
Подбор и расчет подшипников качения
Для тихоходного вала цилиндрической
прямозубой передачи выбираем шариковые радиальные однорядные подшипники средней
серии.
Основные параметры подшипников:
|
Обозначение
|
Размеры, мм
|
Грузоподъемность, кН
|
|
d
|
D
|
B
|
r
|
Cr
|
C0r
|
|
310
|
50
|
100
|
27
|
3
|
61.8
|
36
|
Пригодность подшипников определяется
сопоставлением расчетной динамической грузоподъемности
, H, с базовой
, Н или
базовой долговечности
, ч,
млн. оборотов, с требуемой
, ч, по условиям:
или
Базовая динамическая
грузоподъемность подшипника
,
представляет собой постоянную радиальную нагрузку, которую подшипник может
воспринять при базовой долговечности
составляющей 106 оборотов внутреннего кольца.
Определим расчетную динамическую
грузоподъемность:
-
эквивалентная динамическая нагрузка, Н:
) определяем отношение
, где
-
осевая нагрузка подшипника, Н:
, т.е
оба подшипника вала испытывают от осевой силы в зацеплении редукторной пары
одинаковое и равное этой силе осевое нагружение
;
= 0 Н,
т.к. в зацеплении отсутствует осевая сила;
-
радиальная нагрузка подшипника, Н;
=
;
Т.к. радиальная нагрузка
подшипникаRr1>Rr2,
то выбираем подшипник с радиальной нагрузкой Rr1
- коэффициент вращения:
=
2) определяем коэффициенты e и Y по отношению
; где
-
осевая нагрузка подшипника, Н;
= 0 Н;
-
статическая грузоподъемность, Н;
e
- коэффициент влияния осевого нагружения;
e
= 0,19;
Y
- коэффициент осевой нагрузки;
Y
= 2,30;
3) по результату сопоставления
e выбираем соответствующую формулу и
определяем эквивалентную динамическую нагрузку
:
= 0,
e
=
e = 0,19;
=
где
-
коэффициент радиальной нагрузки:
-
коэффициент вращения:
-
радиальная нагрузка подшипника, Н:
= 2138.22 Н;
-
коэффициент безопасности: Kσ=1
-
температурный коэффициент:
RE=0.56·1·2138.22·1·1=1197.4 H
m - показатель степени: m=3;
-
коэффициент надежности:
-
коэффициент, учитывающий влияние качества подшипника и качества его
эксплуатации:
-
долговечность, млн. оборотов:
L10h=
млн
оборотов
Crp=
2) Определим базовую долговечность:
L10h=1·0.7·
L10h≥[ Lh]; (137419.6≥6000)
Crp≤ Cr; (11219.64≤52700)
5. Расчет шпоночных соединений
Подбор муфты
В редукторах следует применять
шпонки призматические по ГОСТ 23360-78.
|
Диаметр вала d
|
Сечение шпонки
|
Фаска
|
Глубина паза
|
Длина l
|
|
b
|
H
|
|
Вала t1
|
Ступицы t2
|
|
|
60
|
18
|
11
|
0,4…0,6
|
1.7
|
4.4
|
50…200
|
В зависимости от
диаметра вала d выбираются размеры шпонки, а длина шпонки 1р
принимается из условия прочности шпонки на смятие и срез.
Условие прочности на смятие:
;
где
-
окружная сила на шестерне или колесе, Н;
=
;
А - площадь смятия
;
А =
A =
);
- рабочая
длина шпонки,
lp=50-18=32 мм
T - передаваемый крутящий момент: Т=290630 Н
мм;
h - сечение шпонки;
b - сечение шпонки;
-
диаметр вала:d =60 мм
-
допускаемое напряжение смятия:
σсм=
[
σсм]
σсм=32,55
МПа≤[ σсм]=100-150 МПа
Для соединения выходных
концов двигателя и быстроходного вала редуктора, а также выходных концов
тихоходного вала редуктора и приводного вала рабочей машины используют упругие
и жесткие комплектующие муфты.
Основной характеристикой
для выбора муфты является номинальный вращающий момент Т, Нм. Муфты выбирают по
большему диаметру концов соединяемых валов и расчетному моменту Тр,
который должен быть в пределах номинального:
-
коэффициент режима нагрузки:Кр=1,1
-
вращающий момент на тихоходном валу:T3=290.63 Hм
-
номинальный вращающий момент:Т=500Нм
Тр=1,1·290,63≤Т
Тр=319.7Нм≤Т=500Нм
Выберем упругую втулочно-пальцевую
муфту. Эти муфты получили широкое распространение благодаря простоте
конструкции и удобству замены других элементов. Они имеют небольшую
компенсирующую способность.
Основные параметры муфты
|
Момент Т, Нм
|
Угловая скорость, , с-1
|
Отверстие
|
Габаритные размеры
|
Смещение осей валов, не более
|
|
|
d, d1
|
lцил
|
L
|
D
|
dо
|
радиальное r
|
Угловое
|
|
500
|
380
|
40
|
82
|
169
|
170
|
36
|
0,3
|
1о
|
Полумуфты изготовляют из чугуна
марки СЧ 20 (ГОСТ 1412 - 85) или стали 30Л (ГОСТ 977 - 88); материал пальцев -
сталь 45 (ГОСТ 1050 - 88), материал упругих втулок - резина с пределом
прочности не менее 8 Н/мм2.
Определим радиальную силу, вызванную
радиальным смещением:
-
радиальное смещение, мм:
-
радиальная жесткость муфты, Н/мм:
6. Подбор смазки редуктора. Расчет
размеров корпуса
Смазывание зубчатых
и червячных зацеплений и подшипников применяют в целях защиты от коррозии,
снижения коэффициента трения. Уменьшения износа. Отвода тепла и продуктов
износа от трущихся поверхностей, снижения шума и вибраций.
В качестве
основного вида смазки зубчатых зацеплений применим непрерывное смазывание
жидким маслом картерным непроточным способом (окунанием).
Смазка подшипников
происходит путем разбрызгивания масла зубчатой передачей.
Вязкость масла
выбирается в зависимости от контактного напряжения и окружной скорости. При ов
- 315,36 МПа и V = 4,41 м/с по каталогу выбираем масло И-Г-А-46 ГОСТ 174 79.4-8 7.
Для исключения
вытекания масла из редуктора и непопадания в редуктор пыли снаружи через места
сопряжения вращающего вала с крышкой установлены резиновые армированные
манжеты.
Для отделения узла
подшипника от общей системы смазки применяют мазеудерживающие кольца,
предохраняющие пластичные смазки от вымывания.
Контроль уровня
масла, производится жезловым маслоуказателем, установленном в крышке редуктора.
Слив отработанного
масла производится через маслоспускную пробку установленную в корпусе на уровне
его дна.
При длительной
работе в связи с нагревом масла и воздуха повышается давление внутри корпуса.
Это приводит к просачиванию масла через уплотнения и стыки. Во избежание этого
в крышке установлена отдушина.
Корпус редуктора служит для
размещения и координации деталей передачи, защиты их от загрязнения, организации
системы смазки, а также воспринятия сил, возникающих в зацеплении редукторной
пары, подшипниках, открытой передачи.
В проектируемых одноступенчатых
редукторах принята в основном конструкция разъемного корпуса, состоящего из
крышки и основания.
Корпус цилиндрического
одноступенчатого редуктора
. Форма корпуса. Определяется в
основном технологическими, эксплуатационными и эстетическими условиями с учетом
его прочности и жесткости. Этим требованиям удовлетворяют корпуса прямоугольной
формы, с гладкими наружными стенками без выступающих конструктивных элементов;
подшипниковые бобышки и ребра внутри; стяжные болты только по продольной
стороне корпуса в нишах; крышки подшипниковых узлов преимущественно врезные; фундаментные
лапы не выступают за габариты корпуса.
Форма корпуса цилиндрического
одноступенчатого горизонтального редуктора
а) Габаритные (наружные размеры
корпуса). Определяются размерами расположенной в корпусе редукторной пары и
кинематической схемой редуктора. При этом вертикальные стенки редуктора
перпендикулярны основанию, верхняя плоскость крышки корпуса параллельна
основанию - редукторная пара вписывается в параллелепипед. Поэтому
конструированию редукторной пары, валов и подшипниковых узлов, проектные
размеры которых предварительно определены в эскизном проекте, выполняется во
взаимосвязи с конструированием корпуса.
Габаритные размеры корпуса
цилиндрического одноступенчатого редуктора
б) Толщина стенок корпуса и ребер
жесткости. В проектируемых в малонагруженных редукторах (Т3≤500
Нм) с улучшенными передачами толщины стенок крышки и основания корпуса
принимаются одинаковыми:
δ=1,12
≥6
мм,
δ=1,12
≥6
мм,
δ=
15,68 мм ≥ 6 мм,
где Т3 -
вращающий момент на тихоходном валу, Нм
Внутренний контур стенок
корпуса очерчивается по всему периметру корпуса с учетом зазоров Х и У между
контуром и вращающимися деталями.
) Фланцевые соединения.
Фланцы предназначены для соединения корпусных деталей редуктора. В корпусах
проектируемых одноступенчатых редукторах конструируют пять фланцев:
1-фундаментный основания корпуса; 2-подшипниковые бобышки основания и крышки
корпуса; 3-соединительный основания и крышки корпуса; 4-крышки подшипникового
узла; 5-крышки смотрового люка.
Конструктивные элементы
фланца: К - ширина; С - координата оси отверстия под винт (болт); D0
и b0 - диаметр и высота опорной поверхности под головку винта (болта);
d0 - диаметр отверстия под винт (болт) выбирают в зависимости от
диаметра d соответствующего крепежного винта (болта). Диаметр d винта (болта) определяется в зависимости от значения главного
геометрического параметра редуктора. Высота фланца h,
количество винтов (болтов) n
и расстояние между ними L
определяют в зависимости от назначения фланца.
а) Фундаментный
фланец основания корпуса. Предназначен для крепления редуктора к фундаментной
раме (плите). Опорная поверхность фланца выполняется в виде двух длинных
параллельно расположенных четырех небольших платиков. Места крепления располагают на возможно большем (но
в пределах корпуса) расстоянии друг от друга L1. Длина опорной
поверхности платиков
L = L1+b1;
ширина b1 = 2,4d01 +1,5δ = 2,4∙16 + 1,5∙15,68
= 61,92; высота h1 = (2,3...2,4)δ. Проектируемые редукторы крепятся к раме (плите) четырьмя болтами
(шпильками), расположенными в нишах корпуса. Высота ниш ho1=(2,0...2,5)d при креплении шпилькам, h01 = 2,5 (d1+δ) - болтами. Форма ниши (угловая или боковая определяется размерами, формой
корпуса и расположением мест крепления.
б) Фланец
подшипниковой бобышки крышки и основания корпуса. Предназначен для соединения крышки и основания разъемных корпусов.
Фланец расположен в месте установки стяжных подшипниковых болтов (винтов) на продольных
длинных сторонах корпуса: в крышке - наружу от ее стенки, в основании - внутрь от стенки.
В цилиндрическом
горизонтальном редукторе винт, расположенный между отверстиями подшипники,
помещают посередине между этими отверстиями.
При этом наружные
торцы подшипниковых бобышек, расположенные на внешних боковых стенках
редуктора, для удобства обработки выполняют в одной плоскости.
в) Соединительный
фланец крышки и основания корпуса
Разъемный корпус.
Для соединения крышки корпуса с основанием по всему контуру разъема выполняют
соединительный фланец. Количество соединительных винтов n3 и расстояние между ними принимают по конструктивным соображениям
в зависимости от размеров продольной стороны редуктора и размещения
подшипниковых стяжных винтов. При сравнительно небольшой длине продольной
стороны можно принять d3 = d2 и h3 = h2 и поставить один-два соединительных винта. При длинных продольных
сторонах принимают h3=1,5δ=1,5∙18=27 для
болтов, h3 = 2,5δ=2,5∙18=45 для винтов, а количество винтов (болтов) n3 и расстояние между ними L3 определяют конструктивно.
Соединительные
винты (болты) можно разместить в боковых нишах.
г) Фланец для
крышки подшипникового узла. подшипникового узла В комплекте деталей
подшипникового узла разъемных корпусов чаще применяется врезная крышка.
д) Фланец для
крышки смотрового окна. Размеры сторон фланца, количество винтов в n5 и расстояние между ними L5 устанавливают конструктивно в зависимости от места расположения
окна и размеров крышки; высота фланца h5=3…5 мм.
е) Опорные платики.
Для прикрепления к корпусу сливных пробок, отдушин, маслоуказателей на крышке и
основании корпуса предусмотрены опорные платики (фланцы). Размеры сторон
платиков должны быть на величину с = 3…5 мм больше размеров опорных поверхностей
прикрепляемых деталей. Высота платика h = с.
. Подшипниковые
бобышки. Предназначены для размещения комплекта деталей подшипникового узла.
Бобышки тихоходных валов в основании корпуса расположены внутри его, а в крышке
корпуса - снаружи. Однако в зависимости от конструкции крышки и основания
корпуса возможно расположение всей бобышки тихоходного вала внутри корпуса.
. Детали и элементы
корпуса редуктора.
а) Смотровой люк.
Служит для контроля сборки и осмотра редуктора при эксплуатации. Для удобства
осмотра его располагают на верхней крышке корпуса, что позволяет также
использовать люк для заливки масла. Смотровой люк делаю прямоугольной или
(реже) круглой формы максимальной возможных размеров. Люк закрывают крышкой.
Широко применяют стальные крышки из листов толщиной. Для того чтобы внутрь
корпуса извне не засасывалась пыль, под крышку ставят уплотняющие прокладки из
картона (толщиной 1…1,5 мм) или полосы из резины (толщиной 2…3 мм). Если с
такой крышкой совмещена пробка-отдушина, то ее приваривают к ней или
прикрепляют развальцовкой. Крышки крепятся к корпусу винтами с полукруглой или
полупотайной головкой. Если смотровой люк отсутствует или расположен в боковой
стенке корпуса, то в верхней плоскости крышки корпуса предусматривают
отверстие под отдушину. Иногда по конструктивным соображениям контроль уровня
смазки зацепления осуществляют жезловым маслоуказателем, установленным в крышке
корпуса, для чего предусматривается специальное отверстие. Эти отверстия можно
использовать и для заливки масла.
б) Установочные
штифты. Расточку отверстий под подшипники крышки и оснований корпуса производят
в сборе. Перед расточкой отверстий в этом соединении устанавливают два
фиксирующих штифта на возможно большем расстоянии друг от друга для фиксации
относительного положения крышки корпуса и основании при последующих сборках.
Диаметр штифта d=(0,7…0,8) d3, где d3- диаметр соединительного винта.
в) Отжимные винты.
Уплотняющее покрытие плоскости разъема склеивает крышку и основание корпуса.
Для того чтобы обеспечить их соединение, при разборке рекомендуют применять
отжимные винты, которые ставят в двух противоположных местах крышки корпуса.
Диаметр отжимных винтов принимают равным диаметру соединительных d3 или подшипниковых d2 стяжных винтов.
г) Проушины. Для
подъема и транспортировки крышки корпуса и собранного редуктора применяют
проушины, отливая их заодно с крышкой. Выбор конструкции проушины зависят от
размеров и формы крышки корпуса.
д) Отверстия под
масло-указатель
и сливную пробку. Оба отверстия желательно располагать рядом на одной стороне
основания корпуса в доступных местах. Нижняя кромка сливного отверстия должна
быть на уровне днища или несколько ниже его. Дно желательно делать с уклоном
1…20 в сторону отверстия. У самого отверстия отливки основания
корпуса выполняют местное углубление для стока масла и отстоявшейся грязи.
Отверстие под масло-указатель должно располагаться на высоте, достаточной для точного
замера верхнего и нижнего уровней масла. Форма и размеры отверстий зависят от
типа маслоуказателя и сливной пробки. Наружные стороны отверстий оформляют
опорными платиками.
7. Описание открытой передачи
Ременная передача в
наиболее общем виде (рис. 11.1, а) состоит из ведущего и ведомого шкивов,
расположенных на некотором расстоянии друг от друга и соединенных ремнем
(ремнями), надетым на шкивы с натяжением. Вращение ведущего шкива преобразуется
во вращение ведомого благодаря трению, развиваемому между ремнем и шкивами.
По форме
поперечного сечения различают плоские (рис. 11.1,6), клиновые (рис. 11.1, е),
поликлиновые (рис. 11.1, г) и круглые (рис. 11.1,3) приводные ремни. Плоские
ремни в поперечном сечении имеют форму прямоугольника шириной, значительно
превосходящей толщину. Чем тоньше ремень, тем он гибче. Клиновые ремни в
сечении представляют собой трапецию. Рабочими поверхностями клинового ремня
являются его боковые стороны, которыми он соприкасается с боковыми сторонами
канавки (желоба) шкива. Глубину канавок шкивов принимают больше высоты сечения
ремня, чтобы между нижним основанием ремня и дном желоба шкива был зазор. Эти
ремни благодаря клиновому взаимодействию со шкивами характеризуются повышенным
сцеплением с ними и, следовательно, повышенной тяговой способностью.
Поликлиновые ремни - плоские ремни с продольными клиновыми выступами-ребрами на
рабочей поверхности, входящими в клиновые канавки шкивов.
Эти ремни сочетают достоинства
плоских ремней - гибкость и клиновых - повышенную сцепляемость со шкивами.
Соответственно
форме поперечного сечения ремня различают плоскоременные, клиноременные,
поликлиновые и круглоременные передачи. Наиболее распространены плоскоременные
и клиноременные передачи. Плоскоременная передача проще, но зато клиноременная,
обладает повышенной тяговой способностью и вписывается в меньшие габариты.
Благодаря
эластичности ремней ременные передачи работают плавно и бесшумно. Они
предохраняют механизмы от перегрузки вследствие возможного проскальзывания
ремней. Плоскоременные передачи применяют при больших межосевых расстояниях.
Существуют плоскоременные передачи, работающие при высоких скоростях ремня (до
100 м/с). При малых межосевых расстояниях, больших передаточных отношениях и
передаче вращения от одного ведущего шкива к нескольким ведомым
предпочтительнее клиноременные передачи.
Варьирование нагрузочной способности
в плоскоременной передаче осуществляют изменением размеров ширины ремня, в
клиноременной при принятом сечении ремней - изменением их числа.
При большом числе
ремней сложнее получить равномерную загрузку, (неизбежна неодинаковая длина ремней,
вызывающая неодинаковое натяжение). Поэтому рекомендуют устанавливать в
передаче не более 8... 12 клиновых ремней.
Для создания трения между шкивом и
ремнем создают натяжение ремней путем предварительного упругого деформирования,
перемещения одного из шкивов передачи и с помощью натяжного ролика (шкива).
На рис. 11.3, а, б
показаны способы натяжения ремней, осуществляемые перемещением ведущего шкива,
установленного на валу электродвигателя. На рис. 11.3, а электродвигатель,
установленный на салазках 1, перемещается вместе со своим шкивом по
направляющим салазок с помощью отжимных винтов 2. На рис. 11.3, б положение
электродвигателя, установленного на качающейся плите 2, фиксируется
установочным винтом 3. Схема ременной передачи с натяжным роликом показана на
рис. 11.3, в; натяжной ролик вращается на оси, закрепленной в рычаге 2, свободно
качающемся вокруг оси, закрепленной в стойке 3. Нажатие ролика на ремень
осуществляется либо с помощью груза, как показано на рисунке, либо с помощью
пружины. Пользуются также натяжными роликами, оси которых после регулировки
затяжения ремня закрепляют неподвижно. Эти ролики проще, но зато ролики с
подвижными осями автоматически обеспечивают требуемое натяжение ремня. Натяжные
ролики применяют в плоскоременных и сравнительно редко в клиноременных
передачах при малом межосевом расстоянии и больших передаточных отношениях в
целях увеличения угла обхвата ремнем меньшего шкива.
Достоинства передач с натяжным
роликом по сравнению с обыкновенной ременной передачей при одних и тех же
габаритах: передача большей мощности, силы давления на валы меньшие, нет
необходимости в частой перешивке плоского ремня из-за его вытягивания, ремни
легко надевать на шкивы. Но так как ремни на роликах имеют дополнительный изгиб
и в большинстве случаев в другую сторону, чем на рабочих шкивах, то
долговечность их значительно меньше. К достоинствам ременных передач,
определяющим области их применения, относятся: возможность осуществления
передачи между валами, расположенными на относительно большом расстоянии;
плавность и безударность работы передачи, так как внезапное увеличение момента
на одном из валов приводит лишь к увеличению скольжения ремня на шкивах;
предельность нагрузки, т.е. способность ремня передать лишь определенную
нагрузку, свыше которой происходит буксование (скольжение) ремня по шкиву,
благодаря чему машина с данной передачей предохраняется от вредного влияния
перегрузок и поломок; простота устройства, небольшая стоимость и легкость ухода
за передачей. Недостатки ременных передач: громоздкость; непостоянство
передаточного отношения передачи из-за проскальзывания ремня; повышенные силы
давления на валы и подшипники, так как суммарное натяжение ветвей ремня
значительно больше окружной силы передачи. Встречаются ременные передачи
мощностью до 1500 кВт и выше, но в большинстве случаев их применяют для
передачи мощностей 0,3...50 кВт.
8. Техника безопасности
Конструкция привода
включает в себя открытые вращающие элементы такие как: ременная передача и
муфта. Во избежание попадания в них сторонних предметов, что может привести к
поломке привода или травмированию человека, необходимо в целях безопасности
закрыть их защитными кожухами.
Установка привода
включает в себя асинхронный электродвигатель питающийся от трёх фазной сети. В
процессе работы на корпусе электродвигателя образуется электростатическое поле
(статическое электричество), которое может привести к травмированию человека и
возникновению искрения которое может быть пожароопасным в помещениях
«повышенной пожароопасности», во избежание данного явления необходимо
нейтрализовать статическое электричество путём «заземления».
Заключение
Выполнение
курсового проекта по «Деталям машин» дало возможность закрепить знания,
полученные в ранее изученных дисциплинах, научиться применять в проектировании
машин готовые и стандартные изделия, проводить расчеты по определению
фактических и допускаемых напряжений, и, исходя из этого, определять
оптимальные размеры изделий.
В настоящем
курсовом проекте разработан привод к горизонтальному валу. Был выбран
необходимый электродвигатель, рассчитан под данные условия цилиндрический
одноступенчатый редуктор.
Список использованной литературы
1. Шахнюк Л.А., Тихомиров В.П. «Детали машин»
Технология проектирования: Учебное пособие . - Брянск: Издательство БГИТА, 2001
344с.
2. Проектирование механических
передач: Учебно - справочное пособие для втузов /
С.А. Чернавский, Г.А. Снесарев, Б.С. Козинцов и др. - 5-е изд.
Перераб. и доп. - М.: Машиностроение, 1984. - 560 с, ил.
3.
А.Е. Шеинблит. Курсовое проектирование деталей машин. - М.:
«Высшая школа», 1991. - 432 с.
4.
Решетов Д.Н. Детали машин. -М.: Машиностроение, 1989. - 496 с.
5.
Иванов М.Н. Детали машин. -М.: Высшая школа, 1984. - 336 с.