Исследование демографической ситуации в Челябинской области
Федеральное
агентство по образованию Российской Федерации
Факультет
дистанционного обучения
Томский
государственный университет
систем
управления и радиоэлектроники (ТУСУР)
Кафедра АОИ
Исследование
демографической ситуации в Челябинской области
Контрольная
работа по дисциплине «Демография»
Студент ФДО
ТУСУР
гр.: з-476-а
специальности
80504
Тунин В.В.
августа 2011
г.
Руководитель
преподаватель
кафедры АОИ
А.А. Сидоров
г. Тюмень
2011г
Введение
В самом общем виде демографию можно определить как науку о населении.
Однако этого общего определения недостаточно для понимания того, что такое
демография, каковы ее собственные, отличные от других наук объект и предмет.
Практически лишь в наши дни демографам удалось выработать общее убеждение, что
предметом демографии является воспроизводство населения, т.е. процесс
непрерывного возобновления его численности и структур через смену поколений,
через процессы рождаемости и смертности [1].
На протяжении всей истории существования России, власти часто скрывали от
собственного народа демографическую правду. До 1985 года сведения о численности
населения, о количестве родившихся и умерших приводились лишь в специальных
изданиях, однако данные о продолжительности жизни, детской смертности и числе
абортов не публиковались никогда и нигде. И понятно почему: ведь именно эти
данные как ничто иное отражают состояние государства.
В настоящее время демографическая ситуация в России стала одной из самых
злободневных социально-экономических проблем нашего общества.
Правильное представление о демографической ситуации в стране позволяет
принимать обоснованные решения при прогнозировании структуры и динамики
социально-экономических процессов. Далеко не всегда эта взаимосвязь четко
осознается, так как демографические процессы протекают очень медленно. Но по
прошествии длительного времени они могут привести к необратимым последствиям,
которые при наличии интеграции будут общемировыми, требующими адекватных мер не
только по приспособлению к ним, но и по предотвращению на уровне, как отдельных
государств, так и всего мирового хозяйства в целом. Поэтому в современных
условиях одной из важнейших задач науки демография является получение
информации для принятия обоснованных экономических, социальных и политических
решений, и в этой связи население является объектом всестороннего изучения.
Демографическая статистика разрабатывает методы статистического учета и
анализа демографических явлений и процессов. Ее основными задачами являются:
определение численности населения, анализ размещения его по территории страны,
изучение процессов воспроизводства населения, определение перспективной
численности и состава населения [2].
К числу демографических процессов относятся:
процессы естественного движения населения и смены поколений, т.е.
воспроизводства;
процессы изменения структуры населения (по полу, возрасту, социальному и
экономическому составу, уровню образования и грамотности, этническим группам);
процессы изменения размещения населения по территории;
процессы миграции населения.
Целью исследования данной работы является описание демографической
ситуации в Челябинской области, используя методы исследования демографических
показателей.
В ходе работы были поставлены следующие задачи:
рассмотреть демографическую проблему;
раскрыть связь между численностью населения, рождаемостью, смертностью,
миграцией и эмиграцией;
охарактеризовать демографическую ситуацию в субъекте Российской
Федерации;
охарактеризовать политику, направленную на улучшение демографической
ситуации.
1.
Социально-экономическая характеристика Челябинской области
Дадим краткую характеристику субъекта Российской Федерации:
местоположение на карте России, описание отраслей хозяйственного комплекса,
основные социально-экономические проблемы.
Челябинская область составляет 0,5 % от территории страны. Регион входит
в Уральский Федеральный округ, общая площадь - 88,5 тыс.кв.км. А большая часть
всех земель региона - 58,8%, это земли сельскохозяйственного назначения.
Челябинская область является одним из наиболее крупных в экономическом отношении
субъектов Российской Федерации. Среди регионов РФ область занимает 5 место по
объему отгруженной продукции в обрабатывающих производствах, 11 место по
обороту розничной торговли, 12 место по объему продукции сельского хозяйства.
Кроме того, Челябинская область в экономике России на начало 2010 года занимала
5 место по объему иностранных инвестиций, 9 место - по численности населения,
10 - по вводу жилья и 36 - по территории [5].
Челябинская область расположена на склонах Южного Урала и в Зауралье.
Граничит: на юге - с Оренбургской областью, на юго-западе, западе и
северо-западе - с Республикой Башкортостан, на севере - со Свердловской
областью, на северо-востоке и востоке - с Курганской областью, на востоке и
юго-востоке - с Казахстаном.
По территории Челябинской области проходят федеральные автотрассы и
Южно-Уральская железная дорога, являющаяся веткой Транссибирской магистрали.
Регион располагает богатейшими туристскими ресурсами, представляющими
природные, исторические и культурные ценности южноуральской земли.
Главные реки: Урал (верховье), Миасс. На территории области находится
много озер (Увильды, Тургояк), несколько водохранилищ. На большей части Южного
Урала отмечаются благоприятные климатические условия.
В Челябинской области свыше 200 охраняемых территорий, так же действует
развитая система санаторно-курортного обслуживания.
В области насчитывается 316 муниципальных образований (на 1 января 2011
г.), в т. ч. 27 муниципальных районов, 16 городских округов, 27 городских
поселений и 246 сельских поселений. Наиболее крупные города (оценка на 1 января
2010 г., тыс. человек): областной центр, Челябинск - 1092,5; Магнитогорск -
409,0; Златоуст - 188,8; Миасс - 152,6; Копейск - 137,2; Озерск - 86,9; Троицк
- 82,4 [приложение А, таблица 14].
Население области по данным на 1 января 20011 г. составляет 3508,4 тыс.
человек в т. ч.: городское - 2851,8 и сельское - 656,6 тыс. человек.
Национальная структура населения (по переписи на 9 октября 2002 г.), %: русские
- 82,3, татары - 5,7, башкиры - 4,6, другие национальности - 7,1 [6].
Основные отрасли промышленности: черная и цветная металлургия,
машиностроение и металлообработка, химическая, горнодобывающая (добыча руд
черных и цветных металлов, магнезита, бурого угля, минеральных
стройматериалов), легкая, пищевая промышленность, производство стройматериалов
и т.д. На территории области действуют Троицкая, Южно-Уральская, Челябинская
ГРЭС [приложение А, рисунок 7].
В области выращивают зерновые и зернобобовые культуры. Развиты
животноводство мясомолочного направления, свиноводство и птицеводство.
Инвестиционный рейтинг региона - 2В, что означает средний потенциал -
умеренный риск. Среди регионов России по инвестиционному риску область занимает
24-е место, по инвестиционному потенциалу - 12-е место. Наименьший инвестиционный
риск - финансовый, наибольший - экологический. Наибольший потенциал -
инновационный [9].
По рейтингу финансовой устойчивости регион относится к группе глубокого
спада, по рейтингу экономической устойчивости - к группе умеренного спада, по
рейтингу социальной устойчивости - к группе глубокого спада и по комплексному
рейтингу антикризисной устойчивости - к группе глубокого спада.
В декабре 2010 года Корпорацией Standard & Poor's Челябинской области
присвоен долгосрочный кредитный рейтинг «ВВ+» и рейтинг по национальной шкале
«ruAA+». Прогноз - «Стабильный», что отражает высокую кредитоспособность
региона.
Рассмотрим экономические преимущества и недостатки данного региона.
Минрегионразвития РФ проанализировало социально-экономическое положение
регионов за 11 месяцев 2010 года. По этим данным в январе-ноябре 2010 года
Челябинская область вошла в число 35 регионов России, сводный индекс
социально-экономического положения которых сложился лучше среднероссийского
[10].
Челябинская область относится к числу наиболее промышленно и
сельскохозяйственно развитых регионов России с относительно высоким уровнем
жизни населения [приложение А, таблица 15]. Область обладает значительным
производственным, трудовым и научным потенциалом, разнообразной ресурсной
базой, развитой инфраструктурой и выгодным транспортно-географическим
положением, уникальными природно-климатическими условиями.
Но экономические перспективы Челябинской области при сохранении нынешней
узкой промышленной специализации региона выглядят достаточно неопределенно и
зависят от конъюнктуры внутреннего и мирового рынка металла. Промышленность
области нуждается в диверсификации, создании новых конкурентоспособных
производств на базе местного сырья и металла.
Основные недостатки - слабое развитие транспортной инфраструктуры,
затрудняющей сообщение между отдельными частями области, дефицит водных
ресурсов, а также неблагоприятная экологическая обстановка в ряде крупных
городов области (Челябинск, Магнитогорск, Златоуст и др.). Идёт явная и скрытая
деградация сельской местности, малых и средних городов, особенно занимающих
периферийное транспортно-географическое положение.
Демографический и экономический потенциал перераспределяется в пользу
крупнейших центров - Челябинск, Магнитогорск. Но градостроительные, транспортные,
водохозяйственные и экологические проблемы чрезвычайно остры и в них. При этом
происходит огромное ресурсное перепотребление. До 40 % всех ресурсов,
вовлекаемых в общественное воспроизводство, нерационально используются,
бесцельно теряются на разных стадиях производства.
2. Изменение
общей численности населения
Исследуем изменение общей численности населения и рассмотрим изменение
численности городского и сельского населения. Рассчитаем темпы роста и прироста
населения, используя линейную и экспоненциальную функции. Рассчитаем период
полураспада численности населения.
Численность населения Уральского района занимает второе место после
Центрального района. Урал - один из высокоурбанизированных экономических
районов страны. Около 3/4 его населения проживают в городах и посёлках
городского типа. Причиной тому высокая концентрация промышленного производства.
Челябинская область - наиболее плотно населённая на Урале (занимает 1
место из 8 регионов Урала - плотность населения 39,6 чел. на кв. км) и вторая
по уровню урбанизации (удельный вес городского населения - 81,3 %). При этом в
районе наблюдается естественная убыль населения. В целом по району рост
численности населения носит нестабильный характер и обусловлен в основном
миграционными процессами. Высок уровень смертности, особенно в трудоспособном
возрасте. В промышленных регионах продолжительность жизни ниже, чем в регионах
с более высокой долей сельского населения.
Для анализа изменения численности городского и сельского населения
использовались Статистические бюллетени о численности населения Российской
Федерации [6, 8, 11, 12]. Подобный бюллетень содержит оценку численности
населения республик, краев, областей, автономной области и автономных округов
Российской Федерации за интересующий период по различным критериям.
Численность населения - показатель моментный, т. е. относится всегда к
точному моменту времени. В статистических справочниках численность населения
приводится обычно либо на 1 января (на начало года), либо на 1 июля (на
середину года), либо на 31 декабря (на конец года).
Данные об абсолютной численности населения получают в результате
проведения переписей населения или расчетным путем, исходя из информации о
числе родившихся, умерших, а также о сальдо миграции. Изменение численности городского
и сельского населения Челябинской области представлены в таблице 1. За основу
брались данные таблицы 16 из приложения Б.
Расчет населения производится следующим образом: НН = ПН + ВП - ВО.
В данном случае численность наличного населения за период получается как
сумма постоянного населения, естественного прироста и миграционного прироста.
Значение 2 колонки берется как сумма значений 3 и 4 колонок. Численность
городского и сельского населения берется на начало года из таблицы 16. Величина
абсолютного прироста численности населения определяется по формуле:
где
- величина абсолютного прироста за период (год), в
таблице показана в отношении на 1000 человек населения области,
-
численность населения на конец года (то же самое, что и начало следующего),
-
численность населения на начало года.
Там
где численность населения уменьшается, абсолютный прирост является
отрицательным. Процентные показатели брались по отношению к общей численности
на начало года.
Таблица
1 - Численность постоянного населения Челябинской области
|
Годы
|
Все население, тыс. человек
|
в том числе:
|
Абсолютный прирост, на 1000
чел. населения
|
В общей численности
населения, %
|
|
|
|
|
|
|
|
городское
|
сельское
|
городское
|
сельское
|
городское
|
сельское
|
|
1990
|
3701,7
|
3065,9
|
635,8
|
1,7
|
3,0
|
82,8
|
17,2
|
|
1991
|
3706,4
|
3067,6
|
638,8
|
-27,2
|
24,3
|
82,8
|
17,2
|
|
1992
|
3703,5
|
3040,4
|
663,1
|
-29,4
|
25,9
|
82,1
|
17,9
|
|
1993
|
3700,1
|
3011
|
689,1
|
-16,5
|
-0,9
|
81,4
|
18,6
|
|
1994
|
3682,7
|
2994,5
|
688,2
|
7,4
|
0,9
|
81,3
|
18,7
|
|
1995
|
3690,9
|
3001,9
|
689
|
-7,7
|
-3,9
|
81,3
|
18,7
|
|
1996
|
3679,3
|
2994,2
|
685,1
|
-6,5
|
-4,6
|
81,4
|
18,6
|
|
1997
|
3668,2
|
2987,7
|
680,5
|
2,1
|
-0,2
|
81,4
|
18,6
|
|
1998
|
3670,2
|
2989,9
|
680,3
|
2,0
|
-0,2
|
81,5
|
18,5
|
|
1999
|
3672
|
2991,9
|
680,1
|
-8,9
|
-3,0
|
81,5
|
18,5
|
|
2000
|
3660,1
|
2983
|
677,1
|
-10,1
|
-6,1
|
81,5
|
18,5
|
|
2001
|
3644
|
2972,9
|
671,1
|
-13,2
|
-9,3
|
81,6
|
18,4
|
|
2002
|
3603,3
|
2947,7
|
655,6
|
-15,9
|
-7,8
|
81,8
|
18,2
|
|
2003
|
3597,7
|
2943,8
|
653,9
|
-17,9
|
-6,2
|
81,8
|
18,2
|
|
2004
|
3573,5
|
2925,8
|
647,7
|
-15,9
|
-6,2
|
81,9
|
18,1
|
|
2005
|
3551,4
|
2910
|
641,4
|
-34,3
|
14,1
|
81,9
|
18,1
|
|
2006
|
3531,3
|
2875,7
|
655,6
|
-11,8
|
-3,1
|
81,4
|
18,6
|
|
2007
|
3516,4
|
2864
|
652,4
|
-6,2
|
0,9
|
81,4
|
18,6
|
|
2008
|
3511
|
2857,7
|
653,3
|
-3,3
|
1,1
|
81,4
|
18,6
|
|
2009
|
3508,7
|
2854,4
|
654,3
|
-2,6
|
2,3
|
81,4
|
18,6
|
|
2010
|
3508,4
|
2851,8
|
656,6
|
-2,6
|
2,4
|
81,3
|
18,7
|
В эпоху демографического кризиса регион вступил с 1992 года. За это время
область пережила глубокую демографическую яму. Как видно из таблицы - все
экономические изменения в регионе сразу же приводили к изменению численности
городского и сельского населения (1991, 1994, 1998, 2005, 2009 гг.). Так же в
последнее время наблюдается тенденция переселения городского населения в
сельскую местность и рост сельского населения (2009, 2010 гг.).
Для расчета показателей роста и прироста населения в таблице 2
использовались методы исследования демографических показателей. Формулы для
расчета взяты из учебного пособия [1, 2, 3].
Таблица 2 - Компоненты изменения общей численности населения Челябинской
области
|
Годы
|
Численность населения на 1
января
|
Численность населения на
31декабря
|
Абсолютный прирост
населения
|
Среднее население за год
|
Темпы прироста
|
Темп роста
|
Непрерывный прирост
|
|
|
|
|
|
|
|
|
|
1990
|
3701692
|
3706382
|
4690
|
3704037
|
0,1267
|
100,1267
|
0,1266
|
|
1991
|
3706382
|
3703519
|
-2863
|
3704951
|
-0,0772
|
99,9227
|
-0,0773
|
|
1992
|
3703519
|
3700060
|
-3459
|
3701790
|
-0,0934
|
99,9066
|
-0,0934
|
|
1993
|
3700060
|
3682683
|
-17377
|
3691372
|
-0,4696
|
99,5303
|
-0,4707
|
|
1994
|
3682683
|
3690953
|
8270
|
3686818
|
0,2246
|
100,2245
|
0,2243
|
|
1995
|
3690953
|
3679352
|
-11601
|
3685153
|
-0,3143
|
99,6856
|
-0,3148
|
|
1996
|
3679352
|
3668239
|
-11113
|
3673796
|
-0,3020
|
99,6979
|
-0,3025
|
|
1997
|
3668239
|
3670185
|
1946
|
3669212
|
0,0530
|
100,0530
|
0,0530
|
|
1998
|
3670185
|
3671995
|
1810
|
3671090
|
0,0493
|
100,0493
|
0,0493
|
|
1999
|
3671995
|
3660124
|
-11871
|
3666060
|
-0,3233
|
99,6767
|
-0,3238
|
|
2000
|
3660124
|
3643957
|
-16167
|
3652041
|
-0,4417
|
99,5582
|
-0,4427
|
|
2001
|
3643957
|
3621437
|
-22520
|
3632697
|
-0,6180
|
99,3819
|
-0,6199
|
3621437
|
3597659
|
-23778
|
3609548
|
-0,6566
|
99,3434
|
-0,6588
|
|
2003
|
3597659
|
3573514
|
-24145
|
3585587
|
-0,6711
|
99,3288
|
-0,6734
|
|
2004
|
3573514
|
3551424
|
-22090
|
3562469
|
-0,6182
|
99,3818
|
-0,6201
|
|
2005
|
3551424
|
3531272
|
-20152
|
3541348
|
-0,5674
|
99,4325
|
-0,5691
|
|
2006
|
3531272
|
3516355
|
-14917
|
3523814
|
-0,4224
|
99,5775
|
-0,4233
|
|
2007
|
3516355
|
3510990
|
-5365
|
3513673
|
-0,1526
|
99,8474
|
-0,1527
|
|
2008
|
3510990
|
3508733
|
-2257
|
3509862
|
-0,0643
|
99,9357
|
-0,0643
|
|
2009
|
3508733
|
3508447
|
-286
|
3508590
|
-0,0082
|
99,9918
|
-0,0082
|
В графе «Абсолютный прирост населения» отображено соотношение между
наличным и постоянным населением, т. е. сумма общего прироста городского и
сельского населения таблицы 16 в соответствующем году.
В условиях естественной убыли населения миграция стала единственным
источником восполнения его численности. Однако объемы миграции таковы, что
только в «пиковый» 1994 г. были достаточны не только для компенсации
естественной убыли, но и для обеспечения прироста численности россиян.
Увеличение миграционного прироста в последующие годы при сокращении
естественной убыли привели к замедлению темпов сокращения численности
населения. В 2008 г. естественная убыль была на 71,0% замещена миграционным
приростом (в 2007 г. - на 54,9%, в 2006 г. - на 22,5%), что можно увидеть по
таблице 16 в приложении Б.
Абсолютный прирост, среднее население, темпы прироста, темп роста,
непрерывный темп прироста и период полураспада рассчитывались с помощью табличного
процессора Excel, для проведения вычислений
использовались формулы:
,
,
,
,
где
- величина абсолютного прироста за период (год),
берется как разница между столбцами 3 и 2, результат заносится в 4 столбец
соответствующего года,
-
численность населения на конец года (3 столбец),
-
численность населения на начало года (2 столбец),
-
среднее население (сумма 2 и 3 столбцов деленная на 2, значения в 5 столб.),
- темп
прироста населения за год (значения 4 столбца делятся на значение 2 столбца и
умножаются на 100, результат в 6 столб.),
- темп
роста населения за год (значение 3 столбца делится на значение 2 столбца и
умножается на 100, результат в 7 столб.).
Для
более правильного (точного) расчета среднегодовых темпов роста и прироста нужно
использовать показательную функцию (формула сложных процентов), а для того,
чтобы учесть эффект непрерывности, для расчета среднегодовых темпов применяется
формула непрерывного темпа прироста:
Пересчитаем
прирост с учетом непрерывности, используя показательную функцию, в основании
которой лежит число ℮. Разницу логарифмов численности населения на конец
года и на начало года умножим на 100, полученные значения будут в 8 столбце.
Темпы прироста - отношение абсолютных величин прироста к численности населения
на начало года, для которого он исчисляется, отличаются от среднегодовых темпов
прироста населения за этот же год, рассчитанных с использованием показательной
функции. Как правило, величина непрерывного прироста выше темпов прироста, это
говорит о том, что население меняет свою численность нелинейно и непрерывно.
Как
мы видим из таблицы, численность населения то возрастает, то снижается, что
характеризует состояние не только региона, но и страны в целом. Так, в 2009
году по сравнению с 2000 годом численность населения уменьшилась на 4%.
Положительные
тенденции в демографической ситуации в 2009 году приобрели устойчивый характер.
В результате естественная убыль населения в 2010 году сократилась на 25,6% и
составила 3,3 тыс. человек против 4,4 тыс. человек в 2009 году. При этом
численность населения области уменьшается более быстрыми темпами, чем общая
численность населения России [12].
В
случае, когда темпы прироста являются отрицательными, т.е. наблюдается убыль
населения, то говорят о так называемом периоде «полураспада». Этот период
характеризует время, необходимое при сохранении имеющихся темпов прироста, а в
данном конкретном случае - темпов убыли, для сокращения вдвое численности
населения. Для расчета периода полураспада достаточно -70 разделить на величину
среднегодового непрерывного коэффициента прироста, выраженную в процентах. Для
нашего примера период полураспада на 2009 год будет равен 85,36 лет.
Тенденции
естественного движения и миграции позволяют сделать предварительный прогноз о
сокращении численности населения Челябинской области. По данным пресс-службы УФМС
по Челябинской области до 2026 года сокращение количества жителей региона
составит 6,5%.
Главной
причиной сокращения численности населения Челябинской области является
превышение смертности над рождаемостью, то есть его естественная убыль (будет
рассмотрена далее). За последние 15 лет смертность росла почти в полтора раза
быстрее, чем рождаемость, то есть наблюдался процесс депопуляции населения.
Однако, хотя величина естественной убыли населения остается значительной, можно
говорить о том, что в последнее время возникли предпосылки перехода от убыли
населения к его приросту: достигнув максимального значения в 2002 году,
естественная ежегодная убыль начала снижаться.
. Структуры
населения Челябинской области
Рассмотрим различные структуры населения: половую, возрастную, семейную,
брачную, этническую, для сравнения используем среднероссийские показатели.
Построим на полученных данных половозрастную пирамиду, объясним ее структуру.
Рассчитаем коэффициенты демографической нагрузки.
Специфическая демографическая ситуация складывается в России, где почти
три десятилетия не обеспечивалось простое воспроизводство населения. К 1992
году демографический потенциал полностью исчерпался, и естественную убыль
населения не смог перекрыть возросший миграционный приток из стран ближнего
зарубежья. Более подробно роль миграционного прироста в изменении общей
численности населения области будет рассмотрена в разделе 8.
Изменения в национальном составе в стране обусловлены действием трех
факторов. Первый фактор связан с различиями в естественном движении населения.
Второй фактор - это процессы во внешней миграции, сложившиеся под влиянием
распада СССР. Третий фактор связан с процессами смены этнического самосознания
под влиянием смешанных браков и других явлений.
Русское население по-прежнему является наиболее многочисленным и
составляет 80% от общей численности населения. Второе место по численности
населения в стране занимают татары, численность которых составляет 4% населения
страны.
Главным образом за счет миграционного прироста значительно увеличилась
численность армян (с 0,53 млн. человек до 1,13 млн.), азербайджанцев (с 0,34
млн. до 0,62 млн.), таджиков (с 0,04 млн. до 0,12 млн.), китайцев (с 5 тыс.
человек до 35 тыс.). Согласно Всероссийской переписи населения 2002 года [6],
национальный состав населения Челябинской области имел следующий вид, что можно
увидеть на рис. 1.
Кроме того нас интересуют структуры, которые непосредственно связаны с
воспроизводством населения. Таковыми являются половая структура, возрастная
структура, брачная и семейная структуры населения. За основу взят ежегодный
«Статистический бюллетень» прошлого года.
В таблице 3 представлено простое определение абсолютных численностей и
долей мужчин и женщин во всем населении и в отдельных возрастных группах.
Важными показателями, характеризующими возрастную структуру населения, являются
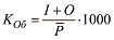
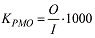
коэффициенты демографической нагрузки.
Рис. 1 - Этническая структура
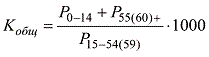
Расчет коэффициентов демографической нагрузки населения трудоспособного
возраста производился в соответствии с источниками [1, 2, 3] по следующим
формулам [11]:
где Кобщ - коэффициент общей демографической нагрузки населения 2009 г
трудоспособного возраста, (564293 + 750599)/ 2193841*1000 (все население:
мужчин и женщин);
КД - коэффициент демографической нагрузки детьми, (564293)/ 2193841*1000;
КП - коэффициент демографической нагрузки пожилыми людьми, (750599)/ 2193841*1000;
Р0-14 - численность населения младше трудоспособного возраста (0-14 лет),
564293;
-
численность населения трудоспособного возраста, 2193841;
-
численность населения старше трудоспособного возраста (для женщин старше 55
лет, для мужчин старше 60 лет), 750599.
Таблица 3 - Численность населения по полу и возрасту на 1 января 2009 г
|
Возраст (лет)
|
Все население
|
Городское население
|
Сельское население
|
|
мужчин и женщин
|
мужчин
|
женщин
|
мужчин и женщин
|
мужчин
|
женщин
|
мужчин и женщин
|
мужчин
|
женщин
|
|
|
|
|
|
|
|
|
|
|
|
0
|
44644
|
22989
|
21655
|
34359
|
17760
|
16599
|
10285
|
5229
|
5056
|
|
1
|
40971
|
20932
|
20039
|
31704
|
16235
|
15469
|
9267
|
4697
|
4570
|
|
2
|
37620
|
19469
|
18151
|
29411
|
15214
|
14197
|
8209
|
4255
|
3954
|
|
0-2
|
123235
|
63390
|
59845
|
95474
|
49209
|
46265
|
27761
|
14181
|
13580
|
|
3
|
36467
|
18808
|
17659
|
28810
|
14838
|
13972
|
7657
|
3970
|
3687
|
|
4
|
37581
|
19304
|
18277
|
29791
|
15316
|
14475
|
7790
|
3988
|
3802
|
|
0-4
|
197283
|
101502
|
95781
|
154075
|
79363
|
74712
|
43208
|
22139
|
21069
|
|
5
|
36919
|
18881
|
18038
|
29355
|
14935
|
14420
|
7564
|
3946
|
3618
|
|
3-5
|
110967
|
56993
|
53974
|
87956
|
45089
|
42867
|
23011
|
11904
|
11107
|
|
6
|
35453
|
18161
|
17292
|
28518
|
14641
|
13877
|
6935
|
3520
|
3415
|
|
1-6
|
225011
|
115555
|
109456
|
177589
|
91179
|
86410
|
47422
|
24376
|
23046
|
|
7
|
32262
|
16497
|
15765
|
25631
|
13124
|
12507
|
6631
|
3373
|
3258
|
|
8
|
31943
|
16367
|
15576
|
25166
|
12805
|
12361
|
6777
|
3562
|
3215
|
|
9
|
30969
|
15908
|
15061
|
24281
|
12458
|
11823
|
6688
|
3450
|
3238
|
|
5-9
|
167546
|
85814
|
81732
|
132951
|
67963
|
64988
|
34595
|
17851
|
16744
|
|
10
|
32567
|
16693
|
15874
|
25426
|
13064
|
12362
|
7141
|
3629
|
3512
|
|
11
|
30856
|
15664
|
15192
|
24148
|
12333
|
11815
|
6708
|
3331
|
3377
|
|
12
|
32081
|
16410
|
15671
|
24911
|
12717
|
12194
|
7170
|
3693
|
3477
|
|
13
|
33288
|
17069
|
16219
|
25761
|
13129
|
12632
|
7527
|
3940
|
3587
|
|
8-13
|
191704
|
98111
|
93593
|
149693
|
76506
|
73187
|
42011
|
21605
|
20406
|
|
0-13
|
493621
|
253152
|
240469
|
387272
|
198569
|
188703
|
106349
|
54583
|
51766
|
|
14
|
35507
|
18118
|
17389
|
27385
|
13980
|
13405
|
8122
|
4138
|
3984
|
|
10-14
|
164299
|
83954
|
80345
|
127631
|
65223
|
62408
|
36668
|
18731
|
17937
|
|
0-14
|
529128
|
271270
|
257858
|
212549
|
202108
|
114471
|
58721
|
55750
|
|
15
|
35165
|
18165
|
17000
|
27014
|
13950
|
13064
|
8151
|
4215
|
3936
|
|
14-15
|
70672
|
36283
|
34389
|
54399
|
27930
|
26469
|
16273
|
8353
|
7920
|
|
16
|
41859
|
21583
|
20276
|
32083
|
16524
|
15559
|
9776
|
5059
|
4717
|
|
17
|
45611
|
23443
|
22168
|
34844
|
17846
|
16998
|
10767
|
5597
|
5170
|
|
16-17
|
87470
|
45026
|
42444
|
66927
|
34370
|
32557
|
20543
|
10656
|
9887
|
|
0-17
|
651763
|
334461
|
317302
|
508598
|
260869
|
247729
|
143165
|
73592
|
69573
|
|
18
|
51224
|
25721
|
25503
|
39399
|
19799
|
19600
|
11825
|
5922
|
5903
|
|
19
|
52955
|
25628
|
27327
|
40755
|
19681
|
21074
|
12200
|
5947
|
6253
|
|
15-19
|
226814
|
114540
|
112274
|
174095
|
87800
|
86295
|
52719
|
26740
|
25979
|
|
20
|
59415
|
29337
|
30078
|
46059
|
22605
|
23454
|
13356
|
6732
|
6624
|
|
21
|
63809
|
31806
|
32003
|
49984
|
24805
|
25179
|
13825
|
7001
|
6824
|
|
22
|
64634
|
32457
|
32177
|
51161
|
25256
|
25905
|
13473
|
7201
|
6272
|
|
23
|
64362
|
32194
|
32168
|
52799
|
25983
|
26816
|
11563
|
6211
|
5352
|
|
24
|
67261
|
33777
|
33484
|
56479
|
28143
|
28336
|
10782
|
5634
|
5148
|
|
20-24
|
319481
|
159571
|
159910
|
256482
|
126792
|
129690
|
62999
|
32779
|
30220
|
|
25
|
68243
|
34943
|
33300
|
58471
|
30402
|
28069
|
9772
|
4541
|
5231
|
|
26
|
61853
|
30794
|
31059
|
52958
|
26585
|
26373
|
8895
|
4209
|
4686
|
|
27
|
58455
|
29150
|
29305
|
49688
|
24722
|
24966
|
8767
|
4428
|
4339
|
|
28
|
57368
|
28333
|
29035
|
49016
|
24204
|
24812
|
8352
|
4129
|
4223
|
|
29
|
55216
|
27408
|
27808
|
47157
|
23402
|
23755
|
8059
|
4006
|
4053
|
|
25-29
|
301135
|
150628
|
150507
|
257290
|
129315
|
127975
|
43845
|
21313
|
22532
|
|
20-29
|
620616
|
310199
|
310417
|
513772
|
256107
|
257665
|
106844
|
54092
|
52752
|
|
16-29
|
812265
|
406574
|
405691
|
660853
|
329957
|
330896
|
151412
|
76617
|
74795
|
|
30
|
54705
|
26897
|
27808
|
46751
|
22938
|
23813
|
7954
|
3959
|
3995
|
|
31
|
55084
|
27178
|
27906
|
47035
|
23200
|
23835
|
8049
|
3978
|
4071
|
|
32
|
54233
|
26738
|
27495
|
46348
|
22815
|
23533
|
7885
|
3923
|
3962
|
|
33
|
53411
|
26114
|
27297
|
45570
|
22286
|
23284
|
7841
|
3828
|
4013
|
|
34
|
51737
|
25573
|
26164
|
44013
|
21810
|
22203
|
7724
|
3763
|
3961
|
|
30-34
|
269170
|
132500
|
136670
|
229717
|
113049
|
116668
|
39453
|
19451
|
20002
|
|
15-34
|
1116600
|
557239
|
559361
|
917584
|
456956
|
460628
|
199016
|
100283
|
98733
|
|
35
|
49657
|
24372
|
25285
|
42114
|
20733
|
21381
|
7543
|
3639
|
3904
|
|
36
|
50996
|
24798
|
26198
|
43222
|
21007
|
22215
|
7774
|
3791
|
3983
|
|
37
|
47956
|
23544
|
24412
|
40526
|
19926
|
20600
|
7430
|
3618
|
3812
|
|
38
|
47357
|
23186
|
24171
|
39619
|
19391
|
20228
|
7738
|
3795
|
3943
|
|
39
|
44536
|
21726
|
22810
|
36730
|
18794
|
7806
|
3790
|
4016
|
|
35-39
|
240502
|
117626
|
122876
|
202211
|
98993
|
103218
|
38291
|
18633
|
19658
|
|
20-39
|
1130288
|
560325
|
569963
|
945700
|
468149
|
477551
|
184588
|
92176
|
92412
|
|
40
|
42960
|
20906
|
22054
|
35320
|
17089
|
18231
|
7640
|
3817
|
3823
|
|
41
|
42422
|
20507
|
21915
|
34677
|
16803
|
17874
|
7745
|
3704
|
4041
|
|
42
|
42855
|
20572
|
22283
|
34984
|
16737
|
18247
|
7871
|
3835
|
4036
|
|
43
|
43167
|
20650
|
22517
|
34917
|
16628
|
18289
|
8250
|
4022
|
4228
|
|
44
|
45970
|
21802
|
24168
|
36984
|
17453
|
19531
|
8986
|
4349
|
4637
|
|
40-44
|
217374
|
104437
|
112937
|
176882
|
84710
|
92172
|
40492
|
19727
|
20765
|
|
45
|
50594
|
23763
|
26831
|
40686
|
18870
|
21816
|
9908
|
4893
|
5015
|
|
46
|
54276
|
25381
|
28895
|
43565
|
20102
|
23463
|
10711
|
5279
|
5432
|
|
47
|
55225
|
25660
|
29565
|
43890
|
20169
|
23721
|
11335
|
5491
|
5844
|
|
48
|
58493
|
27180
|
31313
|
46478
|
21319
|
25159
|
12015
|
5861
|
6154
|
|
49
|
56077
|
25563
|
30514
|
44795
|
20167
|
24628
|
11282
|
5396
|
5886
|
|
45-49
|
274665
|
127547
|
147118
|
219414
|
100627
|
118787
|
55251
|
26920
|
28331
|
|
15-49
|
1849141
|
906849
|
942292
|
1516091
|
741286
|
774805
|
333050
|
165563
|
167487
|
|
50
|
55613
|
25249
|
30364
|
44357
|
19805
|
24552
|
11256
|
5444
|
5812
|
|
51
|
55812
|
25247
|
30565
|
44515
|
19828
|
24687
|
11297
|
5419
|
5878
|
|
52
|
53368
|
23945
|
29423
|
42818
|
18803
|
24015
|
10550
|
5142
|
5408
|
|
53
|
54168
|
23953
|
30215
|
43649
|
18922
|
24727
|
10519
|
5031
|
5488
|
|
54
|
54596
|
23970
|
30626
|
44431
|
19148
|
25283
|
10165
|
4822
|
5343
|
|
50-54
|
273557
|
122364
|
151193
|
219770
|
96506
|
123264
|
53787
|
25858
|
27929
|
|
55
|
49007
|
21574
|
27433
|
40122
|
17324
|
22798
|
8885
|
4250
|
4635
|
|
56
|
52789
|
22700
|
30089
|
43304
|
18360
|
24944
|
9485
|
4340
|
5145
|
|
57
|
50161
|
21505
|
28656
|
41264
|
17313
|
23951
|
8897
|
4192
|
4705
|
|
58
|
47185
|
20380
|
26805
|
39178
|
16684
|
22494
|
8007
|
3696
|
4311
|
|
59
|
48034
|
20149
|
27885
|
40002
|
16563
|
23439
|
8032
|
3586
|
4446
|
|
55-59
|
247176
|
106308
|
140868
|
203870
|
86244
|
117626
|
43306
|
20064
|
23242
|
|
60
|
38261
|
15886
|
22375
|
31975
|
13098
|
18877
|
6286
|
2788
|
3498
|
|
61
|
37831
|
15361
|
22470
|
31572
|
12734
|
18838
|
6259
|
2627
|
3632
|
|
62
|
33798
|
13524
|
20274
|
28165
|
11073
|
17092
|
5633
|
2451
|
3182
|
|
63
|
20430
|
8032
|
12398
|
17242
|
6696
|
10546
|
3188
|
1336
|
1852
|
|
64
|
14305
|
5669
|
8636
|
12025
|
4713
|
7312
|
2280
|
956
|
1324
|
|
60-64
|
144625
|
58472
|
86153
|
120979
|
48314
|
72665
|
23646
|
10158
|
13488
|
|
65
|
13465
|
5163
|
8302
|
11181
|
4236
|
6945
|
2284
|
927
|
1357
|
|
66
|
20145
|
7397
|
12748
|
16564
|
5989
|
3581
|
1408
|
2173
|
|
67
|
30374
|
11141
|
19233
|
24891
|
9036
|
15855
|
5483
|
2105
|
3378
|
|
68
|
33682
|
12071
|
21611
|
27439
|
9804
|
17635
|
6243
|
2267
|
3976
|
|
69
|
37366
|
13120
|
24246
|
30217
|
10485
|
19732
|
7149
|
2635
|
4514
|
|
65-69
|
135032
|
48892
|
86140
|
110292
|
39550
|
70742
|
24740
|
9342
|
15398
|
|
70
|
37183
|
12688
|
24495
|
30243
|
10211
|
20032
|
6940
|
2477
|
4463
|
|
71
|
34985
|
12072
|
22913
|
28587
|
9780
|
18807
|
6398
|
2292
|
4106
|
|
72
|
29811
|
9914
|
19897
|
23897
|
7836
|
16061
|
5914
|
2078
|
3836
|
|
73
|
25486
|
8405
|
17081
|
20372
|
6687
|
13685
|
5114
|
1718
|
3396
|
|
74
|
18548
|
5903
|
12645
|
15181
|
4805
|
10376
|
3367
|
1098
|
2269
|
|
70-74
|
146013
|
48982
|
97031
|
118280
|
39319
|
78961
|
27733
|
9663
|
18070
|
|
75
|
15857
|
4936
|
10921
|
12771
|
3971
|
8800
|
3086
|
965
|
2121
|
|
76
|
19916
|
5898
|
14018
|
16069
|
4651
|
11418
|
3847
|
1247
|
2600
|
|
77
|
18369
|
5288
|
13081
|
14844
|
4194
|
10650
|
3525
|
1094
|
2431
|
|
78
|
20045
|
5709
|
14336
|
16098
|
4490
|
11608
|
3947
|
1219
|
2728
|
|
79
|
18163
|
4884
|
13279
|
14735
|
3960
|
10775
|
3428
|
924
|
2504
|
|
75-79
|
92350
|
26715
|
65635
|
74517
|
21266
|
53251
|
17833
|
5449
|
12384
|
|
80 лет и старше
|
91711
|
20822
|
70889
|
75919
|
17417
|
58502
|
15792
|
3405
|
12387
|
|
85 лет и старше
|
24419
|
4503
|
19916
|
20530
|
3890
|
16640
|
3889
|
613
|
3276
|
|
Все население
|
3508733
|
1610674
|
1898059
|
2854375
|
1302451
|
1551924
|
654358
|
308223
|
346135
|
|
моложе трудоспособного
|
564293
|
289435
|
274858
|
441671
|
226499
|
215172
|
122622
|
62936
|
59686
|
|
трудоспособного
|
2193841
|
1117356
|
1076485
|
1795091
|
910086
|
885005
|
398750
|
207270
|
191480
|
|
старше трудоспособного
|
750599
|
203883
|
546716
|
617613
|
165866
|
451747
|
132986
|
38017
|
94969
|
|
коэффициент общей
демографической нагрузки
|
599,356
|
441,504
|
763,200
|
590,100
|
431,129
|
753,576
|
641,023
|
487,060
|
807,682
|
|
коэффициент демографической
нагрузки детьми
|
257,216
|
259,035
|
255,329
|
246,043
|
248,876
|
243,130
|
307,516
|
303,642
|
311,708
|
|
коэффициент демографической
нагрузки пожилыми
|
342,139
|
182,469
|
507,871
|
344,056
|
182,253
|
510,445
|
333,507
|
183,417
|
495,973
|
По Челябинской области показатели демографической нагрузки практически
совпадают с общероссийскими. Снижение произошло за счет уменьшения показателя
нагрузки детьми, как в городской, так и в сельской местности. Согласно
международным критериям население считается старым, если доля людей в возрастах
65 лет и более во всем населении превышает 7%. Этот порог был пройден Россией в
1967 году. В настоящее время 14% жителей страны находится в этом возрасте.
Рисунок 2 демонстрирует нам деформированную возрастно-половую пирамиду
России и старение населения (снижения рождаемости и роста средней
продолжительности жизни).
Рисунок 2 - Возрастная пирамида населения России на начало 2009 г., тыс.
чел.
Возрастно-половая структура населения - результат длительной истории
изменений демографических компонент вследствие как нормальной исторической
эволюции этих процессов, так и демографических катастроф. Общий контур
возрастной пирамиды населения России сильно изломан по причине колоссальных
прямых и косвенных потерь населения, понесенных в годы социальных катастроф.
Под прямыми демографическими потерями понимается повышенная гибель людей
в годы социально-демографических кризисов: во время войн, репрессий, голода и
массовых эпидемий. Косвенные демографические потери - это, в первую очередь,
потери, связанные с резким снижением рождаемости в те же кризисные годы. В
результате огромных прямых и косвенных потерь, понесенных в особо трудные
исторические периоды, в возрастном составе населения России соседствуют
поколения, резко отличающиеся друг от друга по численности (ВОВ, Целина, Корея,
Карибский кризис, Вьетнам, освоение космоса, БАМ, Афганистан, Чернобыль и т.
д.). Кроме того, малочисленные поколения родителей производят на свет
малочисленные поколения детей, которые в свою очередь дают жизнь малочисленным
поколениям своих детей. Процесс циклического воспроизводства серии
«демографических волн», возникших по причине социальных катаклизмов,
растягивается на многие десятилетия, дестабилизируя динамику общей численности
населения и его отдельных возрастных групп.
Асимметрия мужской и женской частей пирамиды Челябинской области также
ярко выражена (рисунок 3). На ее контуре отложили четкие следы уникально
высокий перевес смертности мужчин над смертностью женщин, значительный перевес
численности женщин над мужчинами старше трудоспособного возраста, общая
тенденция к снижению рождаемости четырех последних десятилетий и ее
конъюнктурные колебания в последней четверти века. Это существенным образом
сказывается на ежегодных демографических показателях брачности, рождаемости и
смертности. Для построения возрастно-половой пирамиды Челябинской области за
основу взята таблица 3, построение производилось в Excel. Для построения взята численность мужского и женского
населения по годичным интервалам.
Существующая диспропорция в половой структуре населения Челябинской
области представлена в таблице 4. Определение абсолютных численностей и расчет
в таблице долей мужчин и женщин во всем населении производился в приложении Excel. Данные о численности населения,
мужчин и женщин взяты из демографического ежегодника.
Рисунок 3 - Возрастная пирамида населения Челябинской области
Процентное соотношение мужского и женского населения бралось по отношению
к общему населению области за соответствующий год. Расчет соотношения полов, а
именно соотнесение численности населения одного пола с численностью населения
противоположного пола, производился с последующим умножением частного на 1000.
Таблица 4 - Численность мужчин и женщин по Челябинской области
|
Годы
|
Все население человек
|
в том числе:
|
Удельный вес в общей
численности населения, в %
|
На 1000 мужчин приходится
женщин
|
Rм/Rж*1000 соотношение
полов
|
Rж/Rм*1000 соотношение
полов
|
|
|
мужчины
|
женщины
|
мужчины
|
женщины
|
|
|
|
|
1959
|
2969147
|
1367045
|
1602102
|
46
|
54
|
1172
|
853,282126
|
1171,94533
|
|
1970
|
3281821
|
1515204
|
1766617
|
46,2
|
53,8
|
1166
|
857,686754
|
1165,92683
|
|
1979
|
3430929
|
1533848
|
1847081
|
44,7
|
53,8
|
1204
|
830,417291
|
1204,21385
|
|
1989
|
3617752
|
1693825
|
1923927
|
46,8
|
53,2
|
1136
|
880,399828
|
1135,84756
|
|
1990
|
3701692
|
1734050
|
1967642
|
46,8
|
53,2
|
1135
|
881,283282
|
1134,70892
|
|
1991
|
3706383
|
1736884
|
1969499
|
46,9
|
53,1
|
1134
|
881,891283
|
1133,92662
|
|
1992
|
3703519
|
1736078
|
1967441
|
46,9
|
53,1
|
1133
|
882,404098
|
1133,26763
|
|
1993
|
3700060
|
1735741
|
1964319
|
46,9
|
53,1
|
1132
|
883,63499
|
1131,689
|
|
1994
|
3682683
|
1955029
|
46,9
|
53,1
|
1132
|
883,697377
|
1131,60911
|
|
1995
|
3690953
|
1732554
|
1958399
|
46,9
|
53,1
|
1130
|
884,678761
|
1130,3538
|
|
1996
|
3679352
|
1723451
|
1955901
|
46,8
|
53,2
|
1135
|
881,154517
|
1134,87474
|
|
1997
|
3668239
|
1714973
|
1953266
|
46,8
|
53,2
|
1139
|
878,002791
|
1138,94854
|
|
1998
|
3670185
|
1713658
|
1956527
|
46,7
|
53,3
|
1142
|
875,867289
|
1141,72548
|
|
1999
|
3671994
|
1712992
|
1959002
|
46,7
|
53,3
|
1144
|
874,420751
|
1143,61421
|
|
2000
|
3660124
|
1705384
|
1954740
|
46,6
|
53,4
|
1146
|
872,435209
|
1146,21692
|
|
2001
|
3643957
|
1694300
|
1949657
|
46,5
|
53,5
|
1151
|
869,024654
|
1150,71534
|
|
2002
|
3603339
|
1666565
|
1936774
|
46,3
|
53,7
|
1162
|
860,485013
|
1162,13529
|
|
2003
|
3597659
|
1663298
|
1934361
|
46,2
|
53,8
|
1163
|
859,869487
|
1162,96719
|
|
2004
|
3573514
|
1649122
|
1924392
|
46,1
|
53,9
|
1167
|
856,957418
|
1166,91912
|
|
2005
|
3551424
|
1636255
|
1915169
|
46,1
|
53,9
|
1170
|
854,365855
|
1170,45876
|
|
2006
|
3531272
|
1623961
|
1907311
|
46
|
54
|
1174
|
851,440064
|
1174,48079
|
|
2007
|
3516355
|
1615629
|
1900726
|
45,9
|
54,1
|
1176
|
850,006261
|
1176,46192
|
|
2008
|
3510990
|
1612652
|
1898338
|
45,9
|
54,1
|
1177
|
849,507306
|
1177,15291
|
|
2009
|
3508733
|
1610674
|
1898059
|
45,9
|
54,1
|
1178
|
848,59006
|
1178,42531
|
|
2010
|
3508447
|
1610258
|
1898189
|
45,9
|
54,1
|
1179
|
848,312787
|
1178,81048
|
Преобладание численности женщин над численностью мужчин в Челябинской
области отмечается уже с 18-летнего возраста (таблица 3), и чем старше возраст,
тем более преобладание численности женщин над численностью мужчин.
Незначительное превышение численности женщин над численностью мужчин в
возрастных группах от 20 до 35 лет, в последующих возрастных группах имеет
тенденцию значительного роста (исключение - возраста 40-49 лет в сельской
местности). В возрастных группах старше 75 лет соотношение женщин и мужчин
составляет несколько раз (от 2-х до 5).
Брачная структура населения Челябинской области схожа с общероссийской
[приложение В, таблица 17]. При этом существуют возрастно-половые различия
брачного состояния населения области. Так, из числа мужчин в возрасте 16 лет и старше
64,1% состоят в браке; среди женщин - лишь 53,1%.
В то же время, среди молодежи (16-29 лет) лишь 29,8% мужчин женятся
(состоят в браке), у девушек этот уровень (число замужних) выше и составляет
40,2%. Эти данные подтверждают наблюдения, которые свидетельствуют о том, что
закономерностью нашего времени становится вступление в брак в более позднем
возрасте, и в большей степени это характерно для мужчин. Мы имеем дело с
осознанным поведением молодёжи, направленным на более позднее формирование
семьи. Ответственность за последствия, которые возникают в результате
взаимоотношения полов, несомненно, повышается среди молодых людей.
Уровень брачности в Челябинской области выше, чем в целом по России, но
ниже, чем в Уральском федеральном округе [приложение В, таблица 18]. Но главную
озабоченность у демографов и экономистов вызывает необратимый долговременный
процесс общего старения населения. Быстрое повышение в обществе доли пожилых и
старых влечет за собой неизбежность структурных преобразований в экономике,
институциональной среде, изменение потоков социальных благ.
.
Естественное движение населения
Проанализируем естественное движение населения, рассмотрев общие
коэффициенты рождаемости, смертности и естественного прироста. Проследим их
динамику за последние годы.
Естественная убыль населения РФ в 2010г. уменьшилась по сравнению с
2009г. на 7,4 тыс. человек. Миграционный прирост на 65,5% компенсировал
численные потери населения. Естественный прирост населения в 2010г.
зафиксирован в 24 субъектах Российской Федерации. В 2010г. по сравнению с
2009г. число умерших детей в возрасте до 1 года уменьшилось на 830 человек, а
показатель младенческой смертности на 1000 родившихся снизился на 7,4%. В целом
по стране превышение числа умерших над числом родившихся осталось на том же
уровне, что и в 2009г. - 1,1 раза, в 23 субъектах Российской Федерации оно
составило 1,5-2,0 раза [11].
Главная причина сокращения населения - сверхсмертность. В России ежегодно
умирают около 15 человек на 1000 человек населения. Сокращение численности
населения в 2000-2010 гг. составило уже 5 млн. человек [13].
Рождаемость в России в целом находится на нормальном для европейской
страны уровне - примерно 11 новорожденных на 1000 человек населения в год. В
стране сегодня рождаются около 1 млн.600 тыс. младенцев в год, тогда как
умирают - около 2 млн. 100 тыс. граждан [приложение Г, рисунок 8].
Рост смертности в России начался еще в 1970-е годы, и продолжался вплоть
до середины 1990-х. С 1995 года смертность в России пошла на спад и в 1998 году
опустилась до уровня ниже 2 млн. человек в год [приложение Г, рисунок 9].
Процесс убыли населения в Челябинской области, начавшийся в 1990-е годы,
совпадает с общероссийским и носит долговременный и устойчивый характер
[приложение Г, таблица 19]. Данные взяты с официального сайта субъекта РФ. В
отличие от предыдущих периодов сокращения населения, когда убыль была
обусловлена недемографическими факторами, нынешнее положение предопределено
внутренними механизмами демографического воспроизводства (Раздел 2).
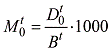
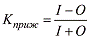
Показатели, характеризующие естественную убыль можно рассчитать согласно
общим коэффициентам (отношение абсолютного числа рождений, смертей и т. д. к
средней численности населения за период, обычно за год, и переводится в
промилле). Естественный прирост берется как разница между рождаемостью и
смертью. Коэффициенты младенческой смертности рассчитываются по-другому
(соотношение числа умерших в возрасте до одного года в периоде t к числу
родившихся живыми в этом периоде: m0=M0/N, за 2009 г. 381/45550=8,36). Предварительные
данные взяты из Демографического Ежегодника России [8]. Результаты расчетов
находятся в таблице 5. Более подробно о младенческой смертности в разделе 6.
Общий принцип при этом таков: прописными буквами обозначаются абсолютные
показатели, строчными буквами - относительные. Отсюда N - число родившихся в
расчетный период (обычно это календарный год); соответственно п - общий
коэффициент рождаемости; M -
число умерших в расчетный период; т - общий коэффициент смертности; ЕП -
естественный прирост, определяемый как разность между числом родившихся и
умерших, a kЕП - коэффициент естественного прироста. Обозначение общей
численности населения - Р - нам уже известно. Добавим к этому еще Т - длину
расчетного периода в целых годах - и можем теперь записать формулы
математически.
Общий коэффициент рождаемости:
На 2009
г. 45550/3508733*1000=12,98
Общий коэффициент смертности:
На 2009
г. 50034/3508733*1000=14,25
Общий коэффициент естественного прироста
На 2009
г. 12,98-14,25= -1,27
При расчете коэффициентов за один календарный год Т = 1, естественно,
опускается. Поскольку частное от деления числа демографических событий на
численность населения - величина очень малая, ее умножают на 1000 (т.е.
выражают число демографических событий, приходящихся на 1000 человек
населения). В итоге получаем показатель, выраженный в промилле, от лат. pro mille - на 1000 (единица, в десять раз меньшая, чем более
привычный нам процент).
Таблица 5 - Общие коэффициенты естественного прироста Челябинской области
|
ЧИСЛЕННОСТЬ НАСЕЛЕНИЯ
(оценка на конец года; тысяч человек)
|
|
1990
|
1995
|
2000
|
2001
|
2002
|
2003
|
2004
|
2005
|
2006
|
2007
|
2008
|
2009
|
|
3706
|
3680
|
3644
|
3622
|
3598
|
3574
|
3551
|
3531
|
3517
|
3511
|
3508
|
3509
|
|
КОЭФФИЦИЕНТЫ ЕСТЕСТВЕННОГО
ПРИРОСТА НАСЕЛЕНИЯ (на 1000 человек населения)
|
|
2,9
|
-5,8
|
-6,6
|
-6,3
|
-6,2
|
-6,1
|
-5,5
|
-5,9
|
-4,6
|
-3,1
|
-2,2
|
-1,3
|
|
ОБЩИЕ КОЭФФИЦИЕНТЫ
РОЖДАЕМОСТИ (на 1000 человек населения)
|
|
13,4
|
9,0
|
8,8
|
9,3
|
10,1
|
10,4
|
10,7
|
10,4
|
10,8
|
11,8
|
12,8
|
13
|
|
ОБЩИЕ КОЭФФИЦИЕНТЫ
СМЕРТНОСТИ (на 1000 человек населения)
|
|
10,5
|
14,8
|
15,4
|
15,6
|
16,3
|
16,5
|
16,2
|
16,3
|
15,4
|
14,9
|
15
|
14,3
|
|
КОЭФФИЦИЕНТЫ МЛАДЕНЧЕСКОЙ
СМЕРТНОСТИ (число детей, умерших в возрасте до 1 года, на 1000 родившихся
живыми)
|
|
16,5
|
16,6
|
16,5
|
15,5
|
14,3
|
12,7
|
12,5
|
10,8
|
9,1
|
9,1
|
8,7
|
8,4
|
По последним данным показатель рождаемости в области по сравнению с 2009
годом вырос на 2,9 процента. На девятнадцать процентов сократилась естественная
убыль населения. Снижается постепенно и младенческая смертность.
Естественная убыль населения области обусловлена тем режимом
воспроизводства населения с относительно низкими уровнями смертности и
рождаемости, который сложился в России уже к 1960-м годам. В 1960-1980-х годах
естественный прирост еще оставался относительно высоким - в основном из-за
высокой доли лиц молодого репродуктивного возраста. Но по мере того, как в силу
длительного снижения рождаемости на смену более многочисленным поколениям
приходили менее многочисленные, потенциал демографического роста исчерпывался.
Согласно демографическим законам, в населении, где уровень рождаемости
устойчиво не обеспечивает режим простого замещения поколений (в России с 1964
года), примерно через три десятка лет число умерших начинает превышать число
родившихся, что и произошло в России в начале 1990-х годов.
Поэтому сокращение естественной убыли населения Челябинской области в
последние годы - явление, скорее всего, временное, обусловленное преходящими
факторами [приложение Г, рисунок 10]. Фактически же по показателям область
вышла на уровень 1991 г.
Один из факторов, внесший вклад в сокращение естественной убыли населения
России в самое последнее время, - благоприятные изменения самих демографических
процессов, рождаемости и смертности в результате активизации социально-демографической
политики.
5.
Коэффициенты рождаемости
Рассмотрим повозрастные и суммарный коэффициенты рождаемости. Отобразим
повозрастные коэффициенты рождаемости на графике совместно с общероссийскими
повозрастными коэффициентами рождаемости. Исследуем изменение общих
коэффициентов рождаемости с помощью индексного метода.
Рождаемость играет главную роль в процессе воспроизводства населения. Ее
динамика в России на протяжении всего 20 столетия в первую очередь складывалась
под влиянием демографического перехода. Теория демографического перехода
основывается на том, что он может быть разбит на три основные временные фазы:
для первой фазы характерны высокие рождаемость и смертность; для второй -
высокая рождаемость при существенно снизившейся смертности; для третьей -
низкие рождаемость и смертность. Демографический переход в России
осуществляется гораздо более высокими темпами, чем в большинстве высокоразвитых
в экономическом отношении стран, и за относительно короткий период с начала ХХ
века и до 70-х годов процесс воспроизводства населения в нашей стране «успел
шагнуть» от первой до третьей фазы, где и находится в настоящее время. Снижение
рождаемости в демографическом переходе в России не носило плавного характера, а
серьезно нарушалось глубокими демографическими кризисами, последствия которых
сказываются на динамике воспроизводства населения и в первую очередь на
рождаемости в течение многих лет [приложение Г, рисунок 9].
На данном этапе в Челябинской области отмечается рост рождаемости и
сокращение младенческой смертности. Сокращение естественной убыли населения
области в последние годы - явление, обусловленное преходящими факторами. Среди
них - значительный рост числа женщин детородного возраста (эхо повышения
рождаемости в 1980-е годы), способствующий увеличению числа рождений, а также
приостановка роста и даже сокращение числа пожилых людей, что тормозило рост
числа смертей.
Влияние обоих этих факторов уже ослабевает. В начале следующего
десятилетия число потенциальных матерей вернется к уровню начала 1990-х годов,
а рост числа пожилых с 2009 года уже начинает набирать силу за счет самых
многочисленных послевоенных поколений. В результате структурные факторы, весьма
благоприятные с точки зрения формирования естественного прироста в первом
десятилетии XXI века, во втором его десятилетии станут, напротив, крайне
неблагоприятными.
Причинами ухудшения демографической ситуации в нашей стране эксперты
считают:
падение уровня и качества жизни;
смену ценностей - для многих женщин гораздо важнее стала работа, чем
семья и дети;
смену традиционного жизненного уклада;
доминирование городского образа жизни над сельским;
растущее глобальное неравенство в распределении ресурсов и благ между
богатыми и бедными.
Для измерения рождаемости применяется система показателей, позволяющих
определить как общий ее уровень и динамику, так и интенсивность, а также ее
величину в различных социально-экономических и демографических группах.
Рождаемость как массовый процесс следует отличать от индивидуальных
рождений детей у отдельных женщин или в отдельных семьях. Она складывается из
массы индивидуальных случаев рождения, но не сводится к ним.
Информацию об абсолютных числах рождений получают в ходе учета
естественного движения населения, обрабатывая статистические регистрационные формы
свидетельств о рождении. В нашем случае данные о числе рождений взяты из
Демографического Российского Ежегодника.
Показатели рождаемости для условного поколения отражают уровень
рождаемости какого-либо конкретного периода, чаще всего года. Они выражаются
через отношение числа рождений, имевших место в течение данного периода
времени, к численности населения, в котором произошли эти рождения. Обычно
выделяют следующие классы таких показателей:
общий коэффициент рождаемости
В
2010 г. 46767/3508447*1000=13,32;
специальный
коэффициент рождаемости
В
2010 г. 46767/942292*1000=49,63, результаты в таб. 6 - налицо рост показателей
за 10 лет;
повозрастные
коэффициенты рождаемости
рассчитываются,
как отношение числа родившихся за период у матерей возраста x к средней
численности всех женщин этого возраста или берутся готовые из Ежегодника;
суммарный
коэффициент рождаемости
сумма
второй колонки таб. 7 умножается на 5 и делится на 1000 - суммирование
возрастных коэффициентов рождаемости с умножением их на длину возрастного
интервала.
Эти
коэффициенты рассчитывают, используя или данные, относящиеся к определенному
году, или усредняя данные, относящиеся к периоду той или иной длительности
(5-летним интервалам времени).
Достаточно
эффективным средством анализа повозрастных коэффициентов рождаемости является
их графическое представление на рисунке 4. Данные взяты из Демографического
Ежегодника в сравнении с общероссийскими, построение произведено в Excel.
Анализируя данные последних 3 лет, можно сказать, что рождаемость в Челябинской
области выше, чем в целом по России.
Большее
количество рождений приходится на 20-30 летний возраст матерей, тогда как
количество рождений с 35 летнего возраста преобладают по общероссийским
показателям, так же происходит рост общего числа женщин детородного возраста.
Рисунок
4 - Повозрастные коэффициенты рождаемости
Вернемся
к показателям рождаемости, все эти коэффициенты связаны друг с другом, при этом
каждый из них отражает тот или иной аспект процесса деторождения и благодаря
этому обладает самостоятельной ценностью.
Общий
и специальный коэффициенты рождаемости связаны между собой следующим
соотношением - общий коэффициент рождаемости равен специальному (
), скорректированному на долю женщин репродуктивного
возраста (
), доля женщин - последняя строчка таб. 6, для 2010 г.
942292/3508447*100=26,85:
Эту связь мы используем для расчета индексов структурных изменений общего
коэффициента рождаемости в Челябинской области за 2000-2010 гг. (таблицы 6 и
7).
Специальный коэффициент рождаемости далее представляется в виде суммы
повозрастных коэффициентов рождаемости, взвешенных по долям женщин каждой
соответствующей возрастной группы женщин в составе женского репродуктивного
контингента.
где
- повозрастные коэффициенты рождаемости,
- доля
женщин возрастной группы
лет в численности женщин репродуктивного возраста (
), в 2000 г. 15-19 лет 164243/995599=0,16496
-
средняя численность женщин репродуктивного возраста (996 тыс.чел. в 2000 г.).
Далее,
чтобы измерить изменения коэффициента N за период времени (увеличение
рождаемости за 10 лет), обозначим коэффициент в начале периода верхним индексом
«0», в конце периода - «1». Тогда изменение коэффициента за период времени от 0
до 1 будет следующим:
Для
облегчения расчетов введем в числитель и знаменатель дроби одно и то же число,
равное
(сумма последней колонки таб. 7), и произведем
перестановку элементов.
Таблица 6 - Основные показатели рождаемости в Челябинской области в 2000
и 2010 гг.
|
Показатель
|
2000 г.
|
2010 г.
|
|
Общий коэффициент
рождаемости, ‰
|
8,8
|
13,3
|
|
Специальный коэффициент
рождаемости, ‰
|
33,5
|
49,6
|
|
Доля женщин репродуктивного
возраста в населении, %
|
26,1
|
26,8
|
Таблица 7 - Расчет индексов динамики общего коэффициента рождаемости в
Челябинской области в 2000-2010 гг.
|
Возрастные группы
|
Повозрастные коэффициенты
рождаемости в 2010 г. (Fx2010), ‰
|
Возрастная структура женщин
на середину 2000 г. (wx2000),
в долях единицы
|
Условный элемент Fx2010*wx2000
|
|
15-19
|
35,4
|
0,16496
|
5,83958
|
|
20-24
|
96,3
|
0,14603
|
14,0627
|
|
25-29
|
95,9
|
0,13579
|
13,0223
|
|
30-34
|
65,9
|
0,12079
|
7,96006
|
|
35-39
|
27,9
|
0,12179
|
3,39794
|
|
40-44
|
5
|
0,15649
|
0,78243
|
|
45-49
|
0,2
|
0,15411
|
0,03082
|
|
1,6
|
1
|
45,0958
|
Далее анализ динамики уровня рождаемости производится с помощью
индексного метода
;
,
где
- индекс относительного изменения величины общего
коэффициента рождаемости, из таб. 6 - соотношение общего к-та рождаемости 2010
г. к 2000 г;
- индекс
изменения доли женщин репродуктивного возраста, из таб. 6 последняя строчка;
- индекс
переменного состава, характеризующий изменение общего коэффициента рождаемости
за счет изменения только возрастной структуры женщин, специальный к-т 2010 г.
деленный на сумму последней колонки таб. 7;
- индекс
постоянного состава, характеризующий изменение общего коэффициента рождаемости
за счет изменения повозрастных коэффициентов рождаемости, сумма последней
колонки таб. 7 деленная на специальный к-т 2000 г.
и 1,51=
1,02 х 1,09 х 1,35
Далее
из каждого индекса нужно вычесть 1 (1 берется за 100%). Результаты покажут,
насколько изменился общий коэффициент за счет каждого из факторов:
- 1 =
+51,1;
- 1 =
+2,7;
- 1 =
+9,9;
- 1 =
+34,6.
Алгебраическая
сумма отклонений индексов от единицы должна равняться отклонению от единицы
индекса динамики общего коэффициента рождаемости:
В
нашем случае разность между общим отклонением индекса динамики коэффициента
рождаемости (+51,1%) и суммой частных отклонений (+47,3%) составляет 1,3.
Выразим ее в виде индекса
α = 51,1/47,3 = 1,08, на который и
перемножим все частные отклонения. Произведя расчеты, получаем
скорректированные отклонения:
a(
- 1) = +2,91;
a(
- 1) = +10,69;
a(
- 1) = +37,37.
Таким
образом, за 2000-2010 гг. общий коэффициент рождаемости в Челябинской области
повысился на 51,1%. За счет повышения процентной доли женщин репродуктивного
возраста в общей численности населения, коэффициент рождаемости увеличился на
2,9%. За счет улучшения возрастной структуры внутри женского репродуктивного
контингента увеличился на 10,7%, т.е. увеличение количества женщин по сравнению
с 2000 г. возраста до 35 лет и уменьшению их количества старше 35 летнего
возраста. Так же изменение общей величины коэффициента рождаемости было
следствием увеличения рождаемости на 37,4 % (увеличение повозрастных
коэффициентов). Суммарный коэффициент рождаемости равен 1,6. Критическое
значение суммарного коэффициента рождаемости, соответствующее границе простого
замещения поколений, 2,08 (а для современной России - 2,12), определяется в
расчете на одну женщину в среднем без различия ее брачного состояния. При всех
улучшениях простого замещения поколений в области пока не получается.
6. Смертность
в Челябинской области
Исследуем смертность в субъекте. Рассмотрим повозрастные коэффициенты
смертности. Произведем стандартизацию коэффициентов смертности. Построим
таблицы смертности для мужского и женского населения.
В Челябинской области уровню жизни населения нельзя дать высокую оценку,
что связано со снижением уровня жизни населения области в 90-е годы. Снизился
объем и качество социальных услуг: образования, здравоохранения, культуры и
искусства. Большая их часть становится платной. Существенно подорожали
жилищно-коммунальные услуги, услуги связи, транспорта и так далее.
Экологическая обстановка, условия труда, уровень преступности - все это
негативно влияет на развитие области. Снижение численности населения области и
его старение обусловлено неблагоприятной динамикой показателей рождаемости и
смертности. За период, прошедший после переписи населения 2002 года,
естественная убыль российского населения составила более 4,0 млн. человек.
С 2004 года происходит тенденция к сокращению естественной убыли
населения [приложение Д, таблица 20]. Вследствие снижения смертности населения
по сравнению с 2008г. показатель ожидаемой продолжительности жизни при рождении
вырос у мужчин на 2,4 года, у женщин - на 1,5 лет. Это объясняется существенным
снижением показателя младенческой смертности [приложение Д, рисунок 11].
Снижение смертности произошло по всем основным классам причин смерти
кроме новообразований, в связи с чем в структуре смертности этот класс уверенно
поднялся на второе место после болезней системы кровообращения, которое до 2006
года удерживали внешние причины смерти [приложение Д, таблица 20].
Анализ демографических показателей Челябинской области за период
2005-2009 годов выявил следующие позитивные результаты государственной
демографической политики: общий коэффициент рождаемости повысился до 13,0 в
расчете на 1 000 населения, (в 2005 год - 10,4), а общий коэффициент смертности
снизился до 14,3 промилле (2005 год - 16,3), что является соответственно
наибольшим и наименьшим значениями с 2005 года (таблица 5).
Динамика смертности населения определяется социально-экономическим
развитием региона. За период 2005-2009 годов наблюдается тенденция снижения
смертности в трудоспособном возрасте и младенческой смертности.
Показатель младенческой смертности (число умерших детей в возрасте до
одного года на 1000 родившихся живыми) составил в 2009 году 8,4 [приложение Д,
таблица 21] и находится на уровне среднероссийского (8,2). Несмотря на то, что
этот показатель имеет положительную динамику (что свидетельствует об
эффективной организации медицинской помощи беременным женщинам, роженицам,
новорожденным и детям до 1 года), он остается выше, чем в странах Европейского
Союза.
Смертность является вторым после рождаемости важнейшим демографическим
процессом. Изучение смертности имеет своим предметом влияние, которое смерть
оказывает на население, на его численность и структуру. Анализ смертности
необходим не только для целей демографических исследований, но и для практики,
прежде всего для органов здравоохранения и социальной политики.
Данные о смертности необходимы как для анализа прошлых демографических
тенденций, так и для разработки демографических прогнозов. Последние, как
известно, используются практически во всех сферах деятельности: для
планирования развития жилищных служб, системы образования, здравоохранения, для
реализации программ социальной защиты, для производства товаров и услуг для
различных групп населения. Статистика смертности необходима для анализа
заболеваемости, как на национальном, так и на региональном уровнях. Органы
здравоохранения используют данные статистики смертности для мониторинга и
совершенствования своей деятельности.
Смертность определяется так же, как и рождаемость, - это частота случаев
смерти в социальной среде. Измеряется системой показателей, из которых самый
простой - общий коэффициент смертности (раздел 4). Его недостаток - зависимость
от половозрастной структуры населения.
Возрастные коэффициенты, рассчитываются раздельно для мужского и женского
полов, являются наилучшими для анализа состояния и тенденций уровня смертности.
Они рассчитываются по однолетним или пятилетним возрастным группам. Если не
требуется высокая точность расчетов показателей смертности, то в большинстве
случаев для анализа тенденций уровня смертности вполне можно обойтись и
пятилетними коэффициентами. Рассчитываются они по формуле
где
- повозрастной коэффициент смертности,
- число
умерших возраста x, берем из таблицы 22,
- длина
периода, 5 лет,
-
средняя численность населения (мужчин или женщин) возраста x лет, из
статистического ежегодника (таблица 9). Например, М40-44 для мужчин 2010 г.
979/(104064*5)*1000=1,88, количество смертей на 1000 человек этого возраста.
Среди
повозрастных коэффициентов смертности особое место занимает коэффициент
младенческой смертности - показатель, характеризующий смертность детей в
возрасте до одного года. В таблице 23 находятся коэффициенты за 2010 г.
Простейшим
методом, дающим самую грубую, приблизительную оценку, является расчет
коэффициента младенческой смертности по следующей формуле
где
- число родившихся живыми в периоде
, на 2010г. М0=364/46767*1000=7,78. Это меньше на 7%,
чем в 2009 г. На самом деле этот к-т вычисляется гораздо сложнее.
Для
анализа состояния и тенденций уровня смертности чаще всего бывает достаточным
использование кратких таблиц смертности, т.е. по пятилетним возрастным
интервалам. Для их построения необходимо:
Статистические
бюллетени о численности населения Российской Федерации 2010 г. (распределение
численности по полу и возрасту);
данные
об умерших в Челябинской области по полу и возрасту по основным классам причин
смерти, 2010 год [приложение Д, таблица 22].
В
таблицах смертности используются следующие обозначения:
- длина
возрастного интервала;
-
повозрастной коэффициент смертности, из таб. 23;
-
вероятность для доживающих до возраста
лет
дожить до возраста
;
-
вероятность умереть в возрасте
лет (в
возрастном интервале от
до
);
- числа
умирающих в возрасте
лет (в возрастном интервале от
до
);
- числа
доживающих до возраста
лет;
- числа
живущих в возрасте
лет (в возрастном интервале от
до
);
- числа
живущих в возрасте
лет и старше (числа человеко-лет предстоящей жизни
для данного поколения);
- средняя
ожидаемая продолжительность жизни для достигших возраста
лет.
Построение
таблиц смертности связано с переходом от реальных показателей смертности к
табличным вероятностям умереть в данном возрасте. Для перехода от повозрастных
коэффициентов смертности
к вероятностям смертности
используется две формулы
,
Мы
для работы выберем метод расчета по показательной функции, потому, что она
лучше, чем первая, учитывает кривизну изменения чисел доживающих lx.
При этом вместе с колонкой вероятностей смерти qx будем
рассчитывать колонку ее дополнения до единицы, т.е. вероятность дожития до
следующего возраста, px. При ее использовании в расчетах мы избежим большого
числа вычитаний из единицы.
Но
сначала нужно возрастные коэффициенты смертности разделить на 1000 (т.е.
перевести их из промилле в доли единицы) и перемножить на длину соответствующих
возрастных интервалов. Для первого возрастного интервала 0 лет множитель будет
равен 1, для второго интервала 1 - 4 года - 4, для остальных интервалов - 5.
Пример для мужской таблицы смертности
М0-1=8,91/1000*1=0,00891
М1-4=0,16/1000*4=0,00064
М5-9=0,08/1000*5=0,0004.
Затем,
возводя основание натурального логарифма «е» в отрицательную степень, равную
произведению возрастного коэффициента смертности на длину возрастного
интервала, находим значения колонки вероятностей дожития px.
p0-1=e-1*0,00891=0,99113.
Следующая
интересная колонка - чисел доживающих «lx». Первое
значение числа доживающих для возраста 0 лет - основание таблицы смертности
100000. Умножив 100000 на вероятность дожития p0-1, получаем
число доживающих l1-4 (100000*0,99113 =99113), умножив l1-4
на p1-4, получаем l5-9
(99113*0,99744=98860), и так - все значения колонки чисел доживающих до
возраста «85 лет и старше».
Затем
рассчитываем значения колонки dx как разность между соседними числами доживающих, т.е.
100000 - l1-4 = d0-1 (100000-99113=887); l1-4 - l5-9
= d1-4 (99113-98860=253) и т.д.
Далее
рассчитываем числа живущих, числа человеко-лет, среднюю ожидаемую
продолжительность жизни согласно формулам из источников.
;
;
.
Величина
показывает, какое количество человеко-лет предстоит
прожить данной совокупности родившихся, если в будущем сохранится тот же
уровень смертности, который существовал на момент разработки таблицы. Т0-1 это
сумма всего столбца Lx.
Средняя
ожидаемая продолжительность предстоящей жизни - это число лет, которое проживет
один человек в среднем из данного поколения родившихся при условии, что на всем
протяжении жизни этого поколения вероятность смерти в каждой возрастной группе
будет оставаться неизменной на уровне расчетного периода.
е0-1=6182599/100000=61,83.
Важным
моментом при расчетах кратких таблиц смертности является определение значения β. Для самого младшего возрастного интервала обычно
принимается, что β0-1 равно 0,3 - для стран с высокой смертностью. Значение
β для возраста 1-4 принимается равным 0,4, все прочие
значения этого параметра - 0,5.
Результаты
расчетов краткой таблицы смертности для мужского и женского населения
Челябинской области в 2010 г. приведены в таблицах 8.1 и 8.2.
Таблица
8.1 - Расчет краткой таблицы смертности для мужского населения
|
Возрастной интервал
|
N
|
      
|
|
|
|
|
|
|
|
|
|
|
|
|
|
|
|
|
|
|
|
|
0-1
|
1
|
0,00891
|
0,99113
|
0,00885
|
887
|
100000
|
0,3
|
99379
|
6182599
|
61,83
|
|
1-4
|
4
|
0,00064
|
0,99744
|
0,00256
|
253
|
99113
|
0,4
|
395844
|
6083220
|
61,38
|
|
5-9
|
5
|
0,0004
|
0,99800
|
0,00200
|
198
|
98860
|
0,5
|
493804
|
5687377
|
57,53
|
|
10-14
|
5
|
0,0003
|
0,99850
|
0,00150
|
148
|
98662
|
0,5
|
492940
|
5193573
|
52,64
|
|
15-19
|
5
|
0,0013
|
0,99352
|
0,00648
|
638
|
98514
|
0,5
|
490975
|
4700632
|
47,72
|
|
20-24
|
5
|
0,00285
|
0,98585
|
0,01415
|
1385
|
97876
|
0,5
|
485917
|
4209657
|
43,01
|
|
25-29
|
5
|
0,00495
|
0,97555
|
0,02445
|
2359
|
96491
|
0,5
|
476558
|
3723740
|
38,59
|
|
30-34
|
5
|
0,00765
|
0,96247
|
0,03753
|
3533
|
94132
|
0,5
|
461830
|
3247182
|
34,50
|
|
35-39
|
5
|
0,00825
|
0,95959
|
0,04042
|
3661
|
90600
|
0,5
|
443845
|
2785352
|
30,74
|
|
40-44
|
5
|
0,0094
|
0,95409
|
0,04592
|
3992
|
86938
|
0,5
|
424713
|
2341507
|
26,93
|
|
45-49
|
5
|
0,01225
|
0,94059
|
0,05943
|
4928
|
82947
|
0,5
|
402414
|
1916794
|
23,11
|
|
50-54
|
5
|
0,01925
|
0,90824
|
0,09183
|
7159
|
78019
|
0,5
|
372196
|
1514380
|
19,41
|
|
55-59
|
5
|
0,0273
|
0,87241
|
0,12778
|
9041
|
70860
|
0,5
|
331695
|
1142184
|
16,12
|
|
60-64
|
5
|
0,0508
|
0,77569
|
0,22538
|
13866
|
61818
|
0,5
|
274426
|
810489
|
13,11
|
|
65-69
|
5
|
0,03985
|
0,81935
|
0,18120
|
8663
|
47952
|
0,5
|
218103
|
536063
|
11,18
|
|
70-74
|
5
|
0,0762
|
0,68318
|
0,32003
|
12448
|
39289
|
0,5
|
165327
|
317960
|
8,09
|
|
75-79
|
5
|
0,2208
|
0,33154
|
0,71134
|
17942
|
26842
|
0,5
|
89352
|
152633
|
5,69
|
|
80-84
|
5
|
0,0162
|
0,92219
|
0,07785
|
692
|
8899
|
0,5
|
42764
|
63281
|
7,11
|
|
85 и старше
|
5
|
0,0351
|
0,83904
|
0,16134
|
8207
|
8207
|
0,5
|
20517
|
20517
|
2,50
|
Таблица 8.2 - Расчет краткой таблицы смертности для женского населения
|
Возрастной интервал
|
N
|
      
|
|
|
|
|
|
|
|
|
|
0-1
|
1
|
0,00671
|
0,99331
|
0,00668
|
669
|
100000
|
0,3
|
99532
|
7218404
|
72,18
|
|
1-4
|
4
|
0,00048
|
0,99808
|
0,00192
|
191
|
99331
|
0,4
|
396868
|
7118872
|
71,67
|
|
5-9
|
5
|
0,00045
|
0,99775
|
0,00225
|
223
|
99141
|
0,5
|
495147
|
6722004
|
67,80
|
|
10-14
|
5
|
0,00025
|
0,99875
|
0,00125
|
124
|
98918
|
0,5
|
494281
|
6226858
|
62,95
|
|
15-19
|
5
|
0,0005
|
0,99750
|
0,00250
|
247
|
98794
|
0,5
|
493355
|
5732577
|
58,03
|
|
20-24
|
5
|
0,0009
|
0,99551
|
0,00449
|
442
|
98548
|
0,5
|
491632
|
5239222
|
53,16
|
|
25-29
|
5
|
0,0016
|
0,99203
|
0,00797
|
782
|
0,5
|
488572
|
4747590
|
48,39
|
|
30-34
|
5
|
0,00215
|
0,98931
|
0,01069
|
1041
|
97323
|
0,5
|
484016
|
4259019
|
43,76
|
|
35-39
|
5
|
0,0027
|
0,98659
|
0,01341
|
1291
|
96283
|
0,5
|
478187
|
3775003
|
39,21
|
|
40-44
|
5
|
0,0034
|
0,98314
|
0,01686
|
1601
|
94992
|
0,5
|
470956
|
3296816
|
34,71
|
|
45-49
|
5
|
0,00415
|
0,97946
|
0,02054
|
1918
|
93391
|
0,5
|
462158
|
2825861
|
30,26
|
|
50-54
|
5
|
0,00605
|
0,97020
|
0,02980
|
2726
|
91473
|
0,5
|
450549
|
2363703
|
25,84
|
|
55-59
|
5
|
0,00995
|
0,95147
|
0,04854
|
4307
|
88747
|
0,5
|
432967
|
1913153
|
21,56
|
|
60-64
|
5
|
0,0175
|
0,91622
|
0,08383
|
7074
|
84440
|
0,5
|
404513
|
1480186
|
17,53
|
|
65-69
|
5
|
0,0155
|
0,92543
|
0,07461
|
5769
|
77365
|
0,5
|
372404
|
1075672
|
13,90
|
|
70-74
|
5
|
0,0356
|
0,83694
|
0,16345
|
11674
|
71596
|
0,5
|
328795
|
703269
|
9,82
|
|
75-79
|
5
|
0,1955
|
0,37625
|
0,65659
|
37376
|
59922
|
0,5
|
206168
|
374474
|
6,25
|
|
80-84
|
5
|
0,0014
|
0,99302
|
0,00698
|
157
|
22546
|
0,5
|
112335
|
168306
|
7,47
|
|
85 и старше
|
5
|
0,00255
|
0,98733
|
0,01267
|
22388
|
22388
|
0,5
|
55971
|
55971
|
2,50
|
Стандартизация общих коэффициентов смертности мужского и женского
населения Челябинской области в 2010 г. косвенным методом приведена в таблице
9.
Таблица 9 - Стандартизация общих коэффициентов смертности мужского и женского
населения Челябинской области в 2010 г. косвенным методом
|
Возрастные группы (лет)
|
Численность населения на
середину 2010 г. (тыс. человек) Рх
|
Возрастные коэффициенты
смертности стандарт населения в промилле mx0
|
Условное число умерших Рх х
тх
|
Всего умерших от всех
причин смерти
|
|
|
|
|
|
|
|
|
|
|
|
Мужчины
|
Женщины
|
|
Мужчины
|
Женщины
|
Мужчины
|
Женщины
|
|
|
|
|
|
|
|
|
|
0-4
|
101502
|
95781
|
0,5
|
50751
|
47890,5
|
262
|
186
|
|
5-9
|
85178
|
81127
|
0,1
|
8517,8
|
8112,7
|
32
|
36
|
|
10-14
|
83332
|
79750
|
0,1
|
8333,2
|
7975
|
25
|
19
|
|
15-19
|
114384
|
110750
|
0,2
|
22876,8
|
22150
|
146
|
53
|
|
20-24
|
158789
|
158326
|
0,4
|
63515,6
|
63330,4
|
449
|
139
|
|
25-29
|
149912
|
148993
|
0,7
|
104938
|
104295,1
|
743
|
241
|
|
30-34
|
131919
|
135258
|
1,0
|
131919
|
135258
|
1007
|
290
|
|
35-39
|
117155
|
121566
|
1,1
|
128871
|
133722,6
|
966
|
330
|
|
40-44
|
104064
|
111700
|
1,3
|
135283
|
145210
|
979
|
381
|
|
45-49
|
127002
|
145629
|
1,6
|
203203
|
233006,4
|
1558
|
602
|
|
50-54
|
121858
|
149673
|
2,4
|
292459
|
359215,2
|
2343
|
902
|
|
55-59
|
105921
|
139424
|
3,5
|
370724
|
487984
|
2890
|
1387
|
|
60-64
|
58439
|
85115
|
6,2
|
362322
|
527713
|
2969
|
1491
|
|
65-69
|
48930
|
85102
|
4,9
|
239757
|
416999,8
|
1949
|
1321
|
|
70-74
|
49019
|
95913
|
9,9
|
485288
|
949538,7
|
3735
|
3414
|
|
75-79
|
26916
|
64750
|
40,6
|
1092790
|
2628850
|
5943
|
12659
|
|
80-84
|
21068
|
69964
|
1,1
|
23174,8
|
76960,4
|
427
|
122
|
|
85 и старше
|
4870
|
19368
|
1,1
|
5357
|
21304,8
|
85
|
24
|
|
Всего
|
1610258
|
1898189
|
14,3
|
3730080
|
6369517
|
26508
|
23597
|
Возрастные коэффициенты смертности дают наилучшие возможности для анализа
уровня смертности. Но у них есть недостаток, такой же как у всех других
возрастных коэффициентов: их много, с ними трудно работать. Нужен один,
обобщающий показатель. Но такого показателя смертности, аналогичного суммарному
коэффициенту рождаемости, нет (в определенной степени эту роль выполняет
показатель средней ожидаемой продолжительности жизни, но для его получения
нужно строить довольно трудоемкие таблицы смертности).
Можно компенсировать трудности анализа возрастных коэффициентов
смертности, повышая возможности общего коэффициента смертности с помощью
методов стандартизации коэффициентов. В данном случае мы используем косвенный
метод стандартизации. Используя возрастные коэффициенты смертности населения
области, принятого за стандарт, получаем условные числа умерших, т. е. числа
умерших, какими они были бы при условии, что повозрастная смертность во всех
сравниваемых группах населения одинакова и такая, как в населении, принятом за
стандарт. В виде формулы это можно изобразить таким образом: М0 = åPx х тх0, где M0 - условное число умерших, Рх - фактические возрастные
структуры сравниваемых населений, и тх0 - возрастные коэффициенты смертности
населения, принятые за стандарт. Сравнивая затем фактическое число умерших в
каждом населении с соответствующим этому населению условным числом умерших,
получаем индекс, показывающий, насколько фактическая повозрастная смертность в
сравниваемом населении (или группе населения) отличается от смертности
стандарт-населения. Умножая этот индекс на общий коэффициент смертности
стандарт-населения (т0), получаем в итоге стандартизованный коэффициент
смертности для каждого сравниваемого населения
где
тCТ - стандартизованный общий коэффициент смертности; Рх
- возрастные группы сравниваемого населения; М - общее число умерших в
сравниваемом населении; тх0 - возрастные коэффициенты смертности населения,
принятого за стандарт, и т0 - общий коэффициент смертности населения, принятого
за стандарт.
муж=14,3*26508/3730080=0,101,
жен=14,3*23597/6369517=0,052.
Сама
по себе величина стандартизованных коэффициентов носит условный характер,
зависит от выбранного стандарта, поэтому она не имеет никакого самостоятельного
значения. Имеет значение только разница между стандартизованными
коэффициентами, которая в идеале остается неизменной при любом стандарте.
На
самом деле вполне можно ограничиться расчетом индексов, выражающих соотношение
фактических и условных чисел умерших, с последующим сравнением между собой уже
этих индексов:
JmСТ
В качестве примера сравним уровни смертности мужского и женского
населения Челябинской области в 2010 г. (таблица 9). Общие коэффициенты
смертности мужского и женского населения составили соответственно 16,46 и
12,43‰.
Отсюда определяем, что по предварительным расчетам уровень смертности
мужчин выше, чем женщин, на 32% (16,46/12,43 = 1,32). Окончательный расчет
будет таким: JmСТ = 26508/3730080*6369517/23597 = 1,
91827.
Результат расчета показывает, что на самом деле смертность мужчин выше,
чем смертность женщин, не на 32%, а почти в 2 раза. Это разница в
продолжительности жизни, имеющая далеко идущие и многообразные демографические
и другие социальные последствия. Описанные процессы характеризуют демографическую
ситуацию в Челябинской области как типичную для стадии устойчивой депопуляции,
что по результатам анализа региональных особенностей демографических процессов
позволило отнести Челябинскую область к группе регионов с устойчивым состоянием
демографической стагнации. Что собственно, подтверждает источник: Южноуральская
панорама, спецвыпуск № 13, 2011 год.
.
Воспроизводство населения
Охарактеризуем режим воспроизводства населения. Рассчитаем брутто- и
нетто-коэффициенты воспроизводства.
Рождаемость в России не достигает уровня, необходимого для простого
воспроизводства населения. Суммарный коэффициент рождаемости составляет 1,6,
тогда как для воспроизводства населения без прироста численности необходим
суммарный коэффициент рождаемости 2,11 - 2,15.
В начале XX века в России наблюдался самый высокий уровень рождаемости в
Европе. Наиболее быстрое падение рождаемости происходило в 1930-е и 1940-е
годы. В 1950-х - 60-х годах сформировался современный режим воспроизводства
населения, то есть переход большей части населения России к малодетной семье
(низкая рождаемость, контролируемая внутри семьи, миграция населения в крупные
города и переход большей части населения к городскому образу жизни).
Уже к 1965 г. рождаемость в РСФСР опустилась ниже уровня простого
воспроизводства поколений. Число рождений на территории РСФСР опустилось ниже 2
млн. человек [приложение И, рисунок 12]. Если в 1950 году коэффициент
рождаемости составлял 26,9, то к 1968 году он упал до 14,08. Но пока в стране
сохранялся естественный прирост населения благодаря низкому коэффициенту
смертности, составившему в 1968 году 8,1. Новый рост рождаемости начался с 1969
года и продолжался 18 лет, что было обусловлено мерами государственной
политики. Особенно резко рождаемость возросла в 80-е годы. Ряд демографов
считает, что данный рост рождаемости был вызван не реальным увеличением
количества детей, рождённых женщиной за её жизнь, а сдвигом рождений на более
молодой возраст (после чего начался закономерный спад рождаемости).
Тем не менее, в конце 80-х число рождений достигает 2,5 млн. человек,
достигнув уровня рождаемости 1962 года. Коэффициент рождаемости составил 17,21.
С 1988 года начинается резкое снижение числа рождений, на фоне роста смертности
возникла демографическая убыль (смертность больше рождаемости), но естественный
прирост населения сохранялся до 1992 года, когда впервые число рождений
составило 1,58 млн. человек, а смертей - 1,80 млн. человек.
В Челябинской области в течение 2005-2009 годов демографическая ситуация
характеризовалась рядом положительных тенденций, прежде всего, повышением
рождаемости и снижением смертности. На фоне роста рождаемости показатель
младенческой смертности неуклонно снижался и в 2009 году составил 8,4 на тысячу
родившихся живыми [приложение Д, таблица 21].
В качестве одной из мер оценки воспроизводства населения используют
значение общего коэффициента естественного прироста населения. Он представляет
собой разность между общим коэффициентом рождаемости и общим коэффициентом
смертности (таблица 5). Более адекватными показателями воспроизводства
населения в настоящее время считаются брутто-коэффициент и нетто-коэффициент
воспроизводства населения, а также иные, вычисляемые с их помощью показатели.
Поскольку обычно исследуется воспроизводство женского населения, то весь
вопрос сводится к рассмотрению повозрастной смертности женщин и частоты
рождения девочек у женщин разного возраста (от 15 до 50 лет).
Брутто-коэффициент воспроизводства населения показывает число девочек,
которое в среднем родит каждая женщина за всю жизнь.
где
- брутто-коэффициент воспроизводства населения;
- доля
девочек среди новорожденных (из статистических таблиц 2010 г);
-
суммарный коэффициент рождаемости (из раздела 5).
Нетто-коэффициент
воспроизводства населения дает возможность оценить состояние фактически
существующего в каждый данный момент времени режима воспроизводства населения.
Он равен среднему числу девочек, рожденных женщиной за всю жизнь и доживших до
конца репродуктивного периода, при данных уровнях рождаемости и смертности.
где
- нетто-коэффициент воспроизводства населения;
- доля
девочек среди новорожденных (в 2010 г. - 0,485 от всего количества);
- числа
живущих в возрасте
лет (в возрастном интервале от 15 до 50) из женской
таблицы смертности (раздел 6);
- корень
женской таблицы смертности (100000);
-
повозрастные коэффициенты рождаемости (таблица 7).
Расчеты показателей воспроизводства женского населения Челябинской
области за 2010 г. и среднего возраста матерей при рождении дочерей приведены в
таблице 10.
Таблица 10 - Расчет нетто-коэффициента воспроизводства населения
Челябинской области за 2010 г. и среднего возраста матерей при рождении дочерей
|
Возрастные группы (лет)
|
Fx/ 1000
|
Гр. 1 х х 0,485
|
 (гр. 2 х гр. 3)х + 0,5n(х + 0,5п) х
|
|
|
|
|
15-19
|
0,0354
|
0,01717
|
0,98671
|
0,01694
|
17,5
|
0,29646
|
|
20-24
|
0,0963
|
0,04671
|
0,98326
|
22,5
|
1,03329
|
|
25-29
|
0,0959
|
0,04651
|
0,97714
|
0,04545
|
27,5
|
1,24983
|
|
30-34
|
0,0659
|
0,03196
|
0,96803
|
0,03094
|
32,5
|
1,00554
|
|
35-39
|
0,0279
|
0,01353
|
0,95637
|
0,01294
|
37,5
|
0,48529
|
|
40-44
|
0,0050
|
0,00243
|
0,94191
|
0,00228
|
42,5
|
0,09708
|
|
45-49
|
0,0002
|
0,00010
|
0,92432
|
0,00009
|
47,5
|
0,00426
|
|
=
|
0,3266
|
0,15840
|
|
0,15457
|
|
4,17175
|
|
x 5
|
1,633
|
0,79201
|
|
0,77284
|
|
20,85876
|
В графу 1 таблицы 10 выписываются из таблицы 7 возрастные коэффициенты
рождаемости, при этом они преобразуются из промилле в доли единицы.
Умножая каждый из возрастных коэффициентов рождаемости на долю девочек
среди новорожденных, получаем возрастные коэффициенты рождаемости девочек,
которые записываются в графу 2.
По таблицам смертности населения (таблица 8.2) определяются числа живущих
в каждой возрастной группе как средняя арифметическая величина из двух смежных
чисел доживающих. L15-19=(98794+98548)/2=98671. Полученные таким способом числа
живущих делятся на корень таблицы смертности l0 (100000), результат заносится в
графу 3.
=98671/100000=0,98671
Возрастные
коэффициенты рождаемости девочек перемножаются на числа живущих женщин (2 графа
умножается на 3). Результаты умножения записываются в графу 4
=
0,01717*0,98671=0,01694.
Показатели
граф 1, 2, и 4 суммируются по вертикали, их суммы умножаются на 5 (на длину
возрастных интервалов). В итоге получаем в графе 1 суммарный коэффициент
рождаемости СКР (TFR) = 1,6; в графе 2 брутто-коэффициент
воспроизводства населения, равный 0,79201, а в графе 4 нетто-коэффициент
воспроизводства населения G0 = 0,77284.
Нетто-коэффициент
воспроизводства населения характеризует замещение поколения матерей поколением
их дочерей. Если этот коэффициент равен 1,0, это означает, что соотношение
уровней рождаемости и смертности обеспечивает простое воспроизводство населения
через периоды времени, равные среднему возрасту матерей при рождении дочерей.
Если нетто-коэффициент меньше 1,0, это означает суженное воспроизводство
населения (поколение детей с учетом их дожития до среднего возраста родителей
численно меньше родительского).
Определим
теперь средний возраст матерей при рождении дочерей - длину женского поколения.
Перемножим построчно данные графы 4 на показатели возрастов в середине каждого
пятилетнего возрастного интервала (в графе 5: х=15, n=5; х + 0,5n=17,5),
и результаты этого умножения запишем в графу 6 (17,5*0,01694= 0,29646). После
суммирования полученных произведений и умножения суммы на 5, получаем числитель
дроби (20,85876), разделив который на нетто-коэффициент воспроизводства
населения (0,80601), получим показатель длины женского поколения в Челябинской
области 2010 года, равный 27 лет.
8. Роль
миграционного прироста в изменении общей численности населения
Рассмотрим роль миграционного прироста в изменении общей численности
населения. Рассчитаем общие коэффициенты миграции (прибытия, выбытия, прироста,
оборота), коэффициенты результативности миграции и коэффициенты нагрузки
вынужденной миграции.
За 2010г. число мигрантов внутри России увеличилось на 203,0 тыс.
человек, или на 11,9% по сравнению с предыдущим годом.
При этом миграционный прирост населения России снизился на 89,4 тыс.
человек, или на 36,1%, что произошло в результате уменьшившегося числа
зарегистрированных по месту жительства прибывших в Российскую Федерацию, в том
числе за счет иммигрантов из государств-участников СНГ на 89,6 тыс. человек,
или на 34,2%.
Наряду с этим отмечено увеличение числа выбывших за пределы России на 1,1
тыс. человек, или на 3,4%, в том числе в государства-участники СНГ - на 0,9
тыс. человек, или на 4,3% [приложение К, рисунок 13].
По данным ФМС России, на 1 января 2011г. в стране насчитывалось 50,3 тыс.
вынужденных переселенцев и беженцев. Более 34% из них (17,3 тыс.) составляли
бывшие жители Казахстана, 20% (9,9 тыс.) - Грузии, 12% (6,2 тыс.) -
Узбекистана, 5% (2,6 тыс.) - Таджикистана. Почти 10,5 тыс. человек (21%)
переселились внутри России из регионов с нестабильной общественно-политической
обстановкой.
Процесс расселения вынужденных мигрантов идет по всем субъектам
Российской Федерации. Наибольшее число вынужденных переселенцев и беженцев
выбирали новым местом жительства Республику Северная Осетия Алания (10,1 тыс.
человек), 6,5 тыс. - Республику Ингушетия, 2,5 тыс. - Белгородскую область, от
1,8 тыс. до 1,1 тыс. - Самарскую область, Краснодарский край, Оренбургскую область,
Ставропольский и Алтайский края.
Общая характеристика миграционной ситуации в Челябинской области
приведена в приложении К. Роль миграционного прироста в изменении общей
численности населения уже затрагивалась в разделе 2 и разделе 3.
Основными показателями миграции являются число выбывших и прибывших.
Разность между ними образует сальдо миграции. Эта разность может быть
положительной, если число прибывших превышает число выбывших, и отрицательной,
когда число выбывших превышает число прибывших [таблица 24].
Для сопоставления интенсивностей миграции различных территорий
рассчитывают общие коэффициенты миграционного прироста, прибытия, выбытия и
оборота
,
,
,
где
- общий коэффициент миграции;
- общий
коэффициент прибытия;
- общий
коэффициент выбытия;
КОб
- общий коэффициент миграционного оборота;
- число
прибывших за период 2010 г. (46734 чел.);
- число
убывших за период 2010 г. (44364 чел.);
-
среднегодовая численность населения в 2010 г. (3508477 чел.).
Общий коэффициент миграции
=(46734-44364)/3508477*1000=0,67551;
общий
коэффициент прибытия,
=46734/3508477*1000=13,32042;
общий
коэффициент выбытия,
=44364/3508477*1000=12,64491;
общий
коэффициент миграционного оборота, КОб=(46734+44364)/3508477* 1000=25,96533.
Для
оценки эффективности миграционных перемещений используется коэффициент
результативности миграционного обмена:
где КРМО - коэффициент результативности миграционного обмена;
- число
прибывших за период 2010 г. (46734 чел.);
- число
убывших за период 2010 г. (44364 чел.).
КРМО=44364/46734*1000=949,28745.
Если величина КРМО меньше 1000, то территория вселения приобретает
население.
Чем меньше сумма встречных потоков прибытия и выбытия в расчете на
единицу достигаемого результата (сальдо миграции), тем более результативной
считается миграция. Для подобной оценки используется коэффициент приживаемости
(Кприж)
Коэффициент приживаемости
Кприж=(46734-44364)/(46734+44364)=0,02602.
Учитывая проблематичность вынужденной миграции, для оценки ее масштабов
рассчитывается коэффициент нагрузки вынужденной миграции:
где КВМ - коэффициент нагрузки вынужденной миграции;
IВМ -
число прибывших беженцев и вынужденных переселенцев за 2010 г. (официально 6
чел.);
-
среднегодовая численность населения (3508477 чел.).
Коэффициент нагрузки вынужденной миграции
КВМ=6/3508477*1000=0,00171.
Имеются противоположные точки зрения на привлечение иммигрантов.
В связи с постарением населения возникнет опасность дефицита рабочей
силы, увеличения демографической нагрузки на трудоспособное население,
повысится нагрузка на систему здравоохранения, обострятся проблемы с выплатами
пенсий и социальных пособий.
Общее сокращение численности населения, сопровождающееся сокращением
численности отдельных этнических групп, особенно коренных малочисленных
народов, может привести к их полному исчезновению.
Характер миграционных процессов окажет отрицательное влияние на систему
расселения населения Российской Федерации: будет происходить замещение
иммигрантами постоянных жителей ряда регионов страны, что не отвечает
экономическим и геополитическим интересам страны. В ряде же территорий
чрезмерная концентрация вынужденных мигрантов вызовет дополнительные
экономические и социальные трудности.
9.