Подземная гидравлика пласта

  • Вид работы:
    Курсовая работа (т)
  • Предмет:
    Геология
  • Язык:
    Русский
    ,
    Формат файла:
    MS Word
    1 Мб
  • Опубликовано:
    2012-04-06
Вы можете узнать стоимость помощи в написании студенческой работы.
Помощь в написании работы, которую точно примут!

Подземная гидравлика пласта

Введение

За последние годы значительно улучшились и уточнились методы исследования скважин и пластов. Мы теперь обладаем регистрирующими глубинными манометрами, способными с точностью до 0,5 am фиксировать пластовое давление до 200-250 am; мы имеем герметичные глубинные пробоотборники, которые позволяют отбирать пробу нефти из скважины с сохранением высокого давления и высокой температуры; мы имеем аппаратуру, которая позволяет анализировать отобранную пробу без снижения давления и температуры. Для определения параметров пласта ныне используется не только электрокароттаж скважин, но и гаммакароттаж и нейтроновый кароттаж. Для изучения нефтеодогазонасыщенности отобранных в процессе бурения кернов и для некоторых иных целей используются новейшие достижения ядерной физики.

При любом способе добычи нефти и газа возбуждается их движение в пласте; поэтому без знания подземной гидравлики нельзя обоснованно решить важнейшие задачи технологии нефтедобычи и добычи газа - нельзя выбрать систему разработки месторождения и режим эксплуатации скважин, которые были бы наиболее рациональны для данных пластовых условий и в то же время наиболее удовлетворяли планово-экономическим требованиям. Указывая на необходимость знания законов подземной гидравлики для решения проблем технологии нефтедобычи, нужно подчеркнуть, что знания только этих законов недостаточно для изучения сложных процессов фильтрации жидкостей и газов в пластовых условиях. Действительно, громадная удельная поверхность пористой среды (величина поверхности стенок поровых каналов, приходящаяся на единицу объема образца пористой горной породы) и малые диаметры зерен и поровых каналов указывают на то, что роль молекулярных сил может быть относительно велика. Поэтому необходимо считаться с прямым и косвенным влиянием поверхностных явлений на процессы движения жидкости в гористой среде. Кроме того, для очень многих месторождений характерны высокие и снижающиеся в процессе разработки пластовые давления, высокие пластовые температуры; часто в одних и тех же порах пласта одновременно находятся не нефть, газ и вода, причем иногда физико-химические свойства законтурной (краевой) воды сильно отличаются от свойств связанной (сингенетичной, реликтовой, погребенной) воды, пленка которой обволакивает зерна нефтесодержащей породы. По мере падения пластового давления, выделения газа из раствора и продвижения краевой воды внутрь контура нефтеносности в пласте могут развиваться сложные физико-химические процессы, оказывающие существенное влияние на особенности движения жидкостей и газов в пластах. Не менее сложные физико-химические явления возникают при закачке в нефтеносный пласт воды, воздуха или газа, например для поддержания или восстановления пластового давления. Следовательно, физика и физикохимия пласта столь же важны для изучения поведения нефтегазоносного месторождения в процессе его разработки и эксплуатации, как и подземная гидравлика.

Подземная гидравлика - наука о движении нефти, газа и воды в пластах, сложенных пористыми и трещиноватыми горными породами.

Если учесть буквальный смысл термина гидравлика, то было бы правильнее науку о движении нефти, газа и воды в пластах назвать механикой жидкостей и газов в пористой среде1. Последнее название более верно и потому, что при изучении фильтрации жидкостей и газов в пористой среде используются не только упрощенные методы гидравлики, но и математически строгие, общие методы гидромеханики. Однако для простоты сохраним за упомянутой наукой более привычное название, укоренившееся уже и как название соответствующей учебной дисциплины - Подземная гидравлика.

Итак, подземная гидравлика, физика и физикохимия пласта являются (наряду с промысловой геологией и отраслевой экономикой) основами современной технологии нефтедобычи. Без комплексного развития этих наук и внедрения их достижений в нефтепромысловую практику невозможен прогресс технологии нефтедобычи.

В подземной гидравлике приходится иметь дело со многими из тех законов движения жидкостей и газов в пористой среде (с законами фильтрации), которые имеют важное значение не только в области технологии добычи нефти и газа, но и в гидрогеологии, инженерной геологии, гидротехнике, химической технологии и т. д. В самом деле, теория фильтрации является основой для решения, например, следующих важнейших проблем водоснабжения и ирригации: расчет притоков жидкости к искусственным водосборам и дренажным сооружениям, изучение режима естественных источников и подземных потоков и т. д. В гидротехническом строительстве и при проведении крупных инженерно-геологических работ приходится рассчитывать фильтрацию вод под плотинами и в обход плотин, фильтрацию через тело земляных плотин, осуществлять искусственное понижение уровня грунтовых вод, бороться с грунтовыми водами при оползнях. При проведении подземной газификации (в каменноугольной промышленности) необходимо учитывать особенности движения газов в пористой среде. В керамической промышленности возникает задача о фильтрации жидкостей и газов через стенки сосудов, в химической промышленности - задача о движении реагентов в пористой среде катализатора, о движении реагентов через специальные фильтры, о шламовой фильтрации и т. д.

-25 лет назад большинство вопросов технологии нефтедобычи (особенно в области технологии пласта) решалось без должного научного анализа, но традиции или только на основании производственного чутья. Объясняется это тем, что сведения по подземной гидравлике и физике пласта в то время были еще мало систематизированы и совсем не известны широким кругам нефтепромысловых работников. Кроме того, многие практически важные и ныне решенные проблемы в области упомянутых наук в то время были далеки от своего разрешения (см. приведенный в конце курса исторический очерк развития подземной гидравлики). Нельзя не отметить, что за последние четверть века сами практические задачи эксплуатации и разработки нефтяных и газовых месторождений сильно усложнились. Ныне (в 1949 г.) разрабатываются месторождения нефти и газа, глубина залегания которых превосходит м (наиболее глубокое 4420 м), а глубины некоторых разведочных нефтяных скважин достигли почти 5500 м (в июне 1949 г. 6228 м, на 1/1 56 г. 6800 м); в 1947 г. уже более 100 скважин отбирали нефть с глубин, превосходящих 3000 м (в 1949 г. - 610 скважин с глубинами более 3660 м). Стоимость бурения и эксплуатации таких скважин очень велика. Поэтому возникает острая необходимость в научно обоснованном решении многих вопросов, связанных с добычей нефти и газа; без этого невозможна рациональная разработка нефтяных и газовых месторождений. Если раньше из пласта добывали лишь 20-25% находившейся в нем нефти, то теперь, применяя различные методы интенсификации, стремятся повысить коэффициент нефтеотдачи до 80-90%.

Итак, несомненно, за последние годы проблемы добычи нефти и газа, во-первых, резко усложнились и, во-вторых, выросли в проблемы огромной политической и экономической важности. Решать эти проблемы кустарными, старыми методами уже нельзя, а потому развитию научно обоснованных методов технологии добычи нефти и газа уделяется особое внимание; совершенствование же технологии добычи нефти и газа немыслимо без учета достижений подземной гидравлики.

Вполне понятно, что достижения подземной гидравлики в полной мере не могут быть использованы в условиях раздробленного частнокапиталистического хозяйства, при наличии конкурирующих владельцев отдельных участков единого нефтяного или газового месторождения. Известно, какие заведомо нерациональные системы разработки месторождений и неправильные режимы эксплуатации скважин встречаются в США, когда каждый владелец старается разрабатывать и эксплуатировать свой участок, исходя из интересов только личной наживы. Известны также трудности, возникающие в США при попытках отдельных владельцев и отдельных нефтяных фирм объединиться для осуществления научно обоснованных систем разработки новых крупных газовых и нефтяных месторождений. Социалистическая система хозяйства в СССР не только дает возможность, но и настоятельно требует внедрения научно обоснованных методов добычи нефти и газа.

Перед промысловой геологией, теорией эксплуатации нефтяных и газовых скважин, отраслевой экономикой, подземной гидравликой и физикой пласта возникают задачи: установить принципы, на базе которых можно составлять генеральные схемы разработки вновь открываемых месторождений нефти и газа и в соответствии с государственным планом осуществлять наиболее рациональный режим их эксплуатации.

Цель и задачи

Определить закон распределения давления, градиента давления и скорости фильтрации по длине пласта, дебит галереи, закон движения частиц жидкости и средневзвешенное по объёму порового пространства пластовое давление при следующих исходных данных: LК - длина пласта; B - ширина пласта; h - толщина пласта; k - проницаемость; PК - давление на контуре; PГ - давление на стенки галереи; μ - динамическая вязкость.

Теоретическая часть

Для целей данной работы формулы дебита и соответствующие им условия притока жидкостей и газов к скважинам имеет смысл разделить на четыре типа:. Плоский радиальный приток к скважинам по линейному закону фильтрации.

II. Плоский радиальный приток к скважинам по нелинейному закону фильтрации.. Сферический радиальный приток к скважинам по линейному закону фильтрации.. Сферический радиальный приток к скважинам по нелинейному закону фильтрации.

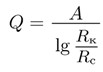
Для фильтрационных потоков первого типа зависимость дебита скважины Q от ее радиуса Rc и от радиуса RK контура области питания имеет вид:


где А - величина, равная произведению группы множителей, отражающих влияние проницаемости и мощности пласта, вязкости жидкости или газа, статического и динамического пластовых давлений и т. д.

Чтобы выяснить влияние радиуса скважины на ее дебит, допустим, что при прочих неизменных условиях радиус скважины изменен в п' раз. Сохраним обозначение Q для дебита скважины с радиусом Rc и обозначим буквой Q дебит скважины с измененным радиусом R'c = п'Rc. Из формулы (1, XIV) получим:


Рис. 1. График зависимости дебита скважины от ее радиуса Rc и от радиуса RK контура области питания случай плоскорадиального притока к скважине по линейному закону фильтрации.

Формулы (1, XIV)-(2, XIV) справедливы для несжимаемой и сжимаемой жидкости, для газа и газированной жидкости при любом режиме пласта, лишь бы установившийся приток любой из перечисленных жидкостей (или газа) к скважине был плоско-радиальным и подчинялся линейному закону фильтрации. Природа жидкости и режим пласта оказывают влияние лишь на характер зависимости величины А от статического и динамического пластовых давлений в скважине и от тех факторов, которые неодинаковым образом входят в формулы (28, XI), (21, IX), (21, X), (33, XII), (26, XIII).

Таблица 1


На основании формулы (1, XIV) составлена табл. 1 и построена кривая линия на рис. 1; таблица и график отражают зависимость величины  от отношения радиусов . При А = const упомянутые А Нс таблицы и график отражают зависимость дебита скважины от , т. е. либо от Rc при RK = const, либо от RK при Rc = const. Последняя строка таблицы приведена лишь для пояснения тенденции изменения величины дебита скважины при Rc → RK.

Рис. 2. Графики, характеризующие изменения забойного давления и дебита скважины при изменении ее радиуса в п΄ раз; случай плоско-радиального притока к скважине по линейному закону фильтрации.

1 - график  при =106;

- график  при -=104;

- график  при =106;

- график  при =104;

На основании формулы (2, XIV) составлена табл. 1 и построены графики рис. 2для случаев =106; и =104; если принять Rc = 10 см, т.е. диаметр скважины примерно равен 8", то упомянутые случаи соответствуют значениям радиуса контура области питания RK = 100 км и RK = 1 км.

Проанализируем таблицы и графики.

Из табл. 1 и графика рис. 1 видно, что дебит скважины изменяется очень медленно в практически наиболее интересном диапазоне изменения отношения  от 103 до 106.

Рис. 1 построен на полулогарифмической сетке, причем масштабы осей абсцисс и ординат разные.

Табл. 1 подтверждает, что изменение радиуса скважины сравнительно мало отражается на изменении ее дебита. Так, например, при RK = 104Rc нужно было бы увеличить радиус скважины в 100 раз, чтобы ее дебит увеличился вдвое, при увеличении же радиуса скважины вдвое ее дебит увеличивается только на 8%. Если RK = 106RC, влияние изменения радиуса сказывается еще меньше

Таблица 2


Из рис. 2 видно, что правее оси ординат, т.е. при п΄ > 1, подъем кривых 1 и 2 интенсивнее, чем слева от той же оси (т. е. при п < 1). Следовательно, увеличение радиуса скважины в какое-то число раз сильнее сказывается на дебите, чем уменьшение радиуса в то же число раз.

Так, например, при RK = 104Rc увеличение радиуса скважины в 10 раз вызывает увеличение дебита на 33%, а уменьшение радиуса в 10 раз вызывает уменьшение дебита на 20%. Чем больше величины отношения  и чем ближе величина n' к 1 , тем меньше разница между приростом и уменьшением дебита скважины при увеличении или уменьшении ее радиуса в одно и то же число раз.

До сих пор, пользуясь формулами (1, XIV)-(2, XIV), мы выясняли влияние изменения радиуса скважины на изменение ее дебита при сохранении постоянного перепада давления (т. е. при сохранении забойного динамического давления) и при всех прочих одинаковых условиях. Перейдем к выяснению влияния радиуса скважины на изменение перепада давления при сохранении постоянного дебита.

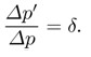
Допустим, что перепад давления (разность между статическим и динамическим давлениями на забое скважины) равен Δр при радиусе скважины Rc; перепад давления обозначим через Δр' при сохранении прежнего дебита и всех прочих одинаковых условиях, но при измененном в п' раз радиусе скважины R'c, так что R'c = п'Rc.

Из формулы (21, IX), справедливой в случае плоско-радиального притока несжимаемой жидкости к скважине по линейному закону фильтрации в условиях водонапорного режима, получим:


На основании формулы (3, XIV) можно утверждать, что Δр' < Δр при п' > 1, т.е. при увеличении радиуса скважины требуется создать меньшее понижение давления на ее забое для получения того же дебита, что и при первоначальном малом радиусе.

В табл. 3 приведены результаты подсчетов по формуле (3, XIV), иллюстрирующие влияние радиуса скважины на понижение ее забойного давления.

С помощью табл. 3 построены линии 3 и 4 на рис. 2; линия 3 для случая RK = 106Rс, линия 4 -для случая RK = 104Rc. В полулогарифмической сетке обе линии 3 и 4 оказались прямыми, что и следовало ожидать, ибо отношение  линейно зависит от lg n΄ - см. формулу (3, XIV).

Из прямолинейности линий 3 и 4 следует, что увеличение радиуса в некоторое число раз на столько же уменьшает перепад давления в скважине, на сколько его увеличивает уменьшение радиуса в то же число раз.

Из сравнения формул (2, XIV) и (3, XIV) и табл. 2 и 3 видно, что увеличение радиуса скважины во столько раз увеличивает ее дебит при сохранении перепада давления, во сколько раз уменьшается перепад давления при сохранении дебита.

Формула (3, XIV) справедлива и для установившегося плоско-радиального притока к скважине сжимаемой жидкости по линейному закону фильтрации в условиях водонапорного режима, ибо дебит сжимаемой жидкости также (с точностью до величин, которыми вследствие их малости пренебрегают) зависит от перепада давления, как и дебит скважины при притоке к ней абсолютно несжимаемой жидкости, ср. формулы (21, IX) и (28, XI).

Таблица 3


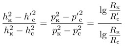
Наоборот, в случае плоско-радиального (приближенно) притока к скважине жидкости со свободной поверхностью в условиях гравитационного режима и когда справедлив линейный закон фильтрации, формула (3, XIV) не может быть применена. Действительно, сохраняя принятые выше обозначения, из формул (21, X), (22, X) получим:


или


где hK - высота начального статического уровня; hK - высота динамического уровня в скважине; s - понижение уровня в скважине, а рк , рс и Δр - соответствующие давления и перепад давления, причем все эти величины отвечают радиусу скважины Rc; теми же буквами, но с акцентами отмечены соответствующие величины для радиуса скважины Rc, измененного по сравнению с прежним в п' раз (Rc = n΄Rc), причем дебит скважины и все прочие условия сохранены неизменными.

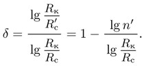
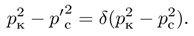
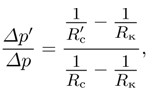
Обозначим для краткости буквой δ отношение логарифмов, входящее в правую часть формул (4, XIV) и (5, XIV):


Сравнивая формулы (3, XIV) и (6, XIV) видим, что их правые части одинаковы, а потому табл. 3 можно использовать для определения значений величины δ.

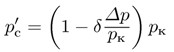
Из формул (4, XIV) и (б, XIV) получим:


Решая уравнение (7, XIV), после несложных преобразований найдем:


Конечно, тот же результат мог бы быть получен из формул (5, XIV) - (6, XIV).

Проанализируем формулу (8, XIV) применительно к двум крайним случаям: очень большого и очень малого понижения забойного давления (понижения уровня) в скважине.

Допустим сначала, что динамическое забойное давление в скважине понижено столь сильно, т. е. величина рс настолько мала, что квадратом отношения можно пренебречь.

Тогда из выражения (8, XIV) получим:


Понятно, что формула (9, XIV) справедлива лишь при S < 1, т. е. при п' > 1, ибо, приняв рс = 0, нельзя требовать сохранения дебита скважины при уменьшении ее радиуса.

Как видно из табл. 3, δ = 0, 83 - 0,75 при десятикратном увеличении радиуса скважины. Подставляя это значение δ в формулу (9, XIV), найдем:


или, учитывая, что Δр' = рк - p΄c и что в данном случае Δр = рк:


Даже при двукратном увеличении радиуса скважины получаем:


Следовательно, при большом понижении уровня в скважине увеличение ее радиуса довольно заметно сказывается на уменьшении понижения уровня при сохранении постоянного дебита.

Рассмотрим теперь другой крайний случай, допустим, что перепад давления Δр настолько мал, что квадратом величины  можно пренебречь. Учитывая это и раскладывая правую часть равенства (8, XIV) в ряд по формуле бинома Ньютона (для дробного показателя степени), получим:


Или


Формулы (3, XIV) и (14, XIV) совпадают, а следовательно, при малом понижении уровня в скважине, к которой притекает жидкость со свободной поверхностью, влияние изменения радиуса сказывается на изменении перепада давления (при сохранении дебита) так же, как и в условиях водонапорного режима.

Следует заметить, что формула (33, XII) дебита газовой скважины такова же, как и формула (21, X) дебита скважины, эксплуатирующейся в условиях гравитационного режима. Поэтому все формулы (4, XIV)(14, XIV), отражающие влияние изменения радиуса скважины на изменение перепада давления (при сохранении дебита), в равной мере справедливы и для плоско-радиального притока газа к скважине по линейному закону фильтрации.

Перейдем к исследованию влияния радиуса скважины на ее производительность в условиях фильтрационных потоков второго типа, см. начало данного параграфа.

Рис. 3. Графики, характеризующие изменение забойного давления и дебита скважины при изменении ее радиуса в п раз; случаи плоско-радиального притока к скважине по закону Краснопольского.

При плоско-радиальном притоке газа или жидкости к скважине по нелинейному закону фильтрации влияние радиуса скважины следует учитывать по формуле типа (75, IX). Рассмотрим крайний возможный случай нарушения закона фильтрации - движение жидкости или газа во всем пласте по закону Краснопольского. На основании формулы (75, IX) при n0 = 2 или из аналогичной формулы для дебита газовой скважины получим:


где Q΄ и Q - дебиты скважины, отвечающие соответственно, радиусам Rc и RK, где R΄c = n'Rc; предполагается, что понижение забойного давления в скважине сохраняется постоянным.

Учитывая, что RK » Rc, последнюю формулу упростим так:


Вторая колонка табл. 4, составленная на основании формулы (16, XIV), иллюстрирует влияние изменения радиуса скважины на ее дебит при сохранении неизменного перепада давления. С помощью табл. 4 построена кривая 1 на рис. 3; эта кривая - парабола, ось которой совпадает с осью абсцисс и вершина лежит в начале координат, служит графиком формулы (16, XIV).

Для плоско-радиального притока несжимаемой жидкости к скважине по закону фильтрации Краснопольского влияние радиуса на перепад давления можно оценить на основании формулы (75, IX) при nо = 2 следующим образом:

скважина приток давление фильтрация


где Δр и Δр΄ - перепады давления, отвечающие соответственно радиусам R'c и Rc при сохранении постоянного дебита скважины. Учитывая, что RK » Rc, последнюю формулу упростим так:


Правая колонка табл. 21 рассчитана на основании формулы (18, XIV); на рис. 114 ей соответствует кривая 2 - равнобочная гипербола, оси которой совпадают с осями координат.

Из сравнения правой и средней колонок табл. 4, видно, что изменение радиуса скважины меньше сказывается на изменении ее дебита, чем на изменении перепада давления. Кроме того, из сопоставления табл. 2 и 3 с табл. 4 можно сделать следующий вывод: в условиях движения жидкостей по линейному закону фильтрации влияние изменения радиуса скважины оказывается значительно менее интенсивным, чем в условиях движения жидкостей по закону Краснопольского. Так, например, двукратное увеличение радиуса скважины в первом случае (см. табл.2) вызывает увеличение дебита на 5 - 8% (в зависимости от отношения величин RK и Rc) при сохранении перепала давления, тогда как во втором случае (см. табл. 4) дебит увеличивается на 40%.

Таблица 21


Ранее было установлено, что в практически интересных случаях плоско-радиального движения нельзя ожидать нарушения линейного закона фильтрации во всем фильтрационном потоке; размеры области кризиса этого закона тем больше, чем больше дебит скважины.

Отсюда следует, что в реальных условиях, когда этот закон фильтрации нарушается в призабойной зоне, влияние изменения радиуса скважины на ее дебит должно быть более интенсивным, чем на то указывает формула (2, XIV), и менее интенсивным, чем указывает формула (16, XIV). Эти формулы дают как бы крайние пределы интенсивности влияния радиуса скважины в условиях плоско-радиального движения.

Далее, поскольку с увеличением размеров области кризиса линейного закона фильтрации растет влияние нарушения этого закона на дебит скважины, постольку справедлив следующий вывод: с увеличением дебита скважины интенсивность влияния ее радиуса на дебит и на перепад давления должна (если при рассматриваемых величинах дебита линейный закон в призабойной зоне нарушен) возрастать; см. по этому поводу Щелкачев.

Перейдем к исследованию влияния радиуса скважины на ее производительность в условиях сферического радиального потока жидкостей по линейному закону фильтрации; это соответствует потоку третьего типа.

Из формулы (51, IX) для жидкости и, следовательно, для газа и газированной жидкости получим следующее соотношение:


В этой формуле, иллюстрирующей влияние изменения радиуса скважины на ее дебит при сохранении перепада давления, приняты те же обозначения, которые были использованы в предыдущих формулах данного параграфа.

Учитывая, что RK » Rc, получим упрощенную формулу:


Из последней формулы ясно видно, что в рассматриваемых условиях потока третьего типа влияние изменения радиуса скважины на ее дебит значительно интенсивнее, чем в условиях потоков первых двух типов. В предыдущих главах отмечалось, что в практически интересных случаях сферическое радиальное движение если приближенно иногда и существует, то во всяком случае оно не может выдерживаться в пласте на большом протяжении. Все же только что сделанный теоретический вывод позволяет сформулировать следующее заключение, представляющее несомненный интерес для практики: чем сильнее скважина отклоняется от гидродинамически совершенной по степени вскрытия пласта, тем сильнее радиус скважины влияет на ее дебит.

Для тех же условий потока третьего типа, но ограничиваясь только случаем притока к скважине несжимаемой жидкости, выясним влияние радиуса скважины на перепад давления.

Принимая во внимание, что RK » Rc, из формулы (55, IX) получим ту же формулу (18, XIV), для которой была построена кривая 2 на рис. 3 и были выполнены подсчеты, приведенные в табл. 4.

Обратимся к исследованию потоков четвертого типа.

Ранее был указан метод, на основании которого легко выводится формула дебита для сферического радиального потока жидкости к скважине по закону фильтрации Краснопольского. Пропуская промежуточные выкладки, запишем окончательную формулу, иллюстрирующую влияние радиуса скважины на ее дебит при сохранении постоянного перепада давления:


Эта формула справедлива для притока не только жидкости, но и газа к скважине в только что упомянутых условиях фильтрационных потоков четвертого типа. Влияние радиуса скважины на ее дебит сказывается в данном случае еще сильнее, чем во всех ранее разобранных случаях, хотя и здесь следует напомнить, что допущение справедливости закона фильтрации Краснопольского во всем пласте преувеличивает возможности нарушения линейного закона фильтрации.

Перейдем к заключительным выводам, вытекающим из анализа формул, выведенных в данном параграфе.

. При плоско-радиальном движении жидкостей и газов в пласте по линейному закону фильтрации влияние радиуса скважины на её дебит и на перепад давления оказывается наиболее слабым. Однако в реальных условиях скважины чаще всего бывают гидродинамически несовершенными и по степени и по характеру вскрытия пласта.

Это нарушает в призабойной зоне плоско-параллельность потока, делает его трехмерным и, кроме того, облегчает возможности нарушения линейного закона фильтрации. Поведение скважины особенно сильно зависит от условий движения жидкостей и газов именно в призабойной зоне. Нарушения линейного закона фильтрации и двухмерности потока вызывают значительно более сильное влияние радиуса скважины на ее дебит и перепад давления, чем то обнаруживается из исследований потоков первого типа (см. начало данного параграфа).

Отсюда следует, что нельзя, как это часто делают, обосновывать на формуле типа (1, XIV) якобы универсальный вывод о слабом влиянии радиуса скважины на ее производительность.

. Влияние изменения радиуса скважины на ее дебит не остается постоянным, а может возрастать с увеличением дебита (при росте области кризиса линейного закона фильтрации).

. Влияние изменения радиуса скважины на перепад давления при сохранении постоянного дебита либо столь же интенсивно (в условиях водонапорного режима при движении жидкости по линейному закону фильтрации, когда дебит пропорционален перепаду давления и, следовательно, индикаторные линии прямолинейны), как и влияние радиуса на дебит при сохранении постоянного перепада давления, либо еще более интенсивно (при притоке к скважине газа и газированной жидкости, при притоке несжимаемой жидкости со свободной поверхностью в условиях гравитационного режима, а также в условиях водонапорного режима при нарушении линейного закона фильтрации).

. До сих пор слишком мало внимания уделяли возможному влиянию радиуса скважины на перепад давления.

Обычно, ссылаясь на промысловые наблюдения, утверждали, что дебиты скважин разного диаметра в однородном пласте оказывались приблизительно одинаковыми. Однако не учитывали, ценой создания какого перепада давления достигали равенства дебитов.

. Следует всемерно поощрять новые практические решения вопроса об увеличении диаметра забоя скважины, ибо это во многих случаях способствует увеличению ее дебита и снижению перепада давления.

В пластах, сложенных известняками, увеличение диаметра скважины может значительно способствовать увеличению ее производительности не только по причинам, рассмотренным выше, но и потому, что это часто бывает связано со включением новых трещин в систему микроканалов пласта, питающих скважину.

Наконец, рассмотрим еще одно соображение, впервые высказанное проф. Б. Б. Лапуком, по поводу влияния радиуса скважины на ее производительность. Именно, во многих случаях добыча жидкости и газа из пласта лимитируется следующим требованием: нельзя превосходить некоторую величину скорости фильтрации (ее максимальное значение в обычных условиях всегда бывает у стенки скважины), при которой начинается интенсивный вынос песка в скважину.

Назовем упомянутое критическое [максимально допустимое для данной породы и данной жидкости (или газа)] значение скорости фильтрации через υmax. Тогда максимальный допустимый дебит скважины определится так:


где F - поверхность стенки скважины, все остальные обозначения сохранены прежние, причем предполагается, что приток жидкости (или газа) к скважине плоско-радиальный.

Из последней формулы следует, что в соответствующих случаях, когда добыча жидкости и газа из скважины ограничивается упомянутыми геологическими факторами, максимальный допустимый дебит скважины прямо пропорционален радиусу ее забоя.

В заключение коснемся вопроса о влиянии радиуса RK контура области питания на производительность скважины.

В формулы (1, XIV)-(14, XIV) радиус RK входит под знаком логарифма. Следовательно, для фильтрационных потоков первого типа влияние радиуса контура области питания столь же ничтожно, как и влияние радиуса самой скважины. В условиях потоков II-IV типов влияние радиуса RK почти совсем не чувствуется - величина RK не входит в соответствующие формулы, если справедливо допущение о том, что RK » Rc, и если (в потоках II и IV типов) закон фильтрации значительно отличается от линейного закона.

Следовательно, ошибка в оценке величины RK весьма мало отражается на подсчетах дебита скважины. Последнее замечание очень существенно, ибо на практике трудно точно оценить величину RK, но, повторяем, это не вносит заметных погрешностей в расчеты подземной гидравлики (по крайней мере в те подсчеты, которые связаны с практически установившимися потоками).

Расчётная часть

Дано:

LК=9 км=9·103 м

B=140 м

k=0,8 мкм2=0,8·10-12 м2

PК=9,6 МПа=9,6·106 Па

PГ=7,1 МПа=7,1·106 Па

μ=2 мПа·с=2·10-3 Па·с

m=18%=0,18

Найти:

1)      Закон распределения давления P(x) - ?

2)      Градиент давления dP/dx - ?

)        Скорость фильтрации u - ?

)        Дебит галереи Q - ?

)        Закон движения жидкости t(x) - ?

6)      Средневзвешенное по объёму порового пространства давление  - ?

Расчёты

)        Закон распределения давления для галереи записывается


Отсюда следует, что закон с учётом данных запишется в виде:

 Па

2)      Градиент давления для галереи определим из формулы:


Подставляя известные данные для PK. PГ и LK получим:

 Па/м

3)      Скорость фильтрации определяем из закона Дарси:


После подстановки числовых значений получаем:

м/с

4)      Дебит галереи можем определить также из закона Дарси:


Так как к галерее осуществляется прямолинейно-параллельный поток, то

F=Bh тогда получим:


отсюда


Подставляя известные и полученные данные в формулу получаем:

м3/с

5)      Закон движения жидкости может быть записан в виде:


Подставляя известные параметры получим:


6)      Средневзвешенное по объёму порового пространства пластовое давление определяется по формуле:

 


Подставив известные числовые значения получим:

Па

Выводы

.        Закон распределения давления для галереи при заданных параметрах записывается в виде:

 Па

2.       Градиент давления для галереи при заданных параметрах определён и равен:

 Па/м

3.       Скорость фильтрации при заданных параметрах будет равна:

м/с

4.       Дебит галереи при заданных параметрах определён и равен:

м3/с

5.       Закон движения жидкости при заданных параметрах записывается в виде:


6.       Средневзвешенное по объёму порового пространства пластовое давление при заданных параметрах равно:

Па

Список использованной литературы

1.   Говорова Г. Л. Перераспределение давления в процессе заводнения. Доклад на Всесоюзном Совещании, посвященном Вторичным методам добычи нефти и методам поддержания пластового давления на промыслах СССР. Труды Совещания. Гостоптехиздат, Москва, 1950 г., с. 275-294.

2.       Гиматудинов Ш. К., Ширковский А. И. Физика нефтяного и газового пласта. Изд. третье. Издательство Недра, Москва, 1989 г., 311 с.

.        Пыхачев Г. Б., Исаев Р. Г. Подземная гидравлика. Издательство Недра, Москва, 1973 г., 359 с.

4.   В. Н. Щелкачёв, Б. Б. Лапук Подземная гидравлика.- Москва 2001.

Желтое Ю. П. Разработка нефтяных месторождений. Изд-во Недра, 1986 г., 332 с.

.     Чарный И. А. Подземная гидрогазодинамика. Гостоптехиздат, Москва, 1962 г., 396 с.


Не нашли материал для своей работы?
Поможем написать уникальную работу
Без плагиата!
Без нейросетей!