Технология пароциклического метода интенсификации вязких и высоковязких нефтей
ВВЕДЕНИЕ
Актуальность темы
В течение последних лет в нефтяной
промышленности наблюдается устойчивая тенденция к ухудшению структуры запасов
нефти, что проявляется в росте трудноизвлекаемой нефти, увеличении количества
вводимых в разработку месторождений с осложненными геолого- физическими
условиями, повышении удельного веса карбонатных коллекторов с высокой вязкостью
нефти, наличии большого количества залежей с обширными нефтегазовыми зонами и
подстилаемых подошвенной водой и т. д. Создание и внедрение в производство
новых способов и технологий воздействия на нефтяной пласт с целью получения
высоких технико-экономических показателей разработки месторождений в таких
условиях является одной из самых актуальных задач.
Реализация новых методов
повышения нефтеотдачи пластов является одним из важнейших направлений
научно-технического прогресса в нефтяной промышленности.
Проблемой увеличения
нефтеотдачи пластов усиленно занимаются все нефтедобывающие страны мира, так
как повышение нефтеотдачи на разрабатываемых месторождениях равносильно
открытию новых. Если принять во внимание, что методы повышения нефтеотдачи, как
правило, реализуются на действующих месторождениях, в обжитых регионах со
сложившейся инфраструктурой, то эффективность их во много раз возрастает по сравнению
с поисками и разведкой новых месторождений, особенно в районах Восточной
Сибири, Татарстана, Удмуртии, Башкирии и т.д.
Из всех новых методов повышения
нефтеотдачи как в России, так и за рубежом наиболее подготовленными в
технологическом и техническом отношении являются термические методы. Они могут
применяться в наиболее сложных физико-геологических условиях и позволяют
добывать нефть вязкостью до 10 000 мПа
с. При этом конечная нефтеотдача
увеличивается с 6 - 20% до 30 - 50%, что недоступно никаким другим новым
методам. Например, на месторождении Каражанбас за счет термического воздействия
нефтеотдача была увеличена с 6,9 до 41,2%; на Усинском месторождении - с 7,6 до
27,4%, на месторождении Кенкияк - с 16,5 до 44,5%, на Гремихинском
месторождении с 6,1 до 35,6%.
Особый вклад в развитие термических
методов внесли крупномасштабные работы на перечисленных выше базовых объектах.
Эти месторождения характеризуются широким диапазоном глубин залегания
продуктивных отложений, различных типов и свойств коллекторов и насыщающих их
жидкостей, что позволяет перенести накопленный опыт применения термических
методов на многие аналогичные объекты. Отличительной особенностью базовых
объектов является то, что на них проектируются гибкие, многофункциональные
системы испытания различных технологий и технических средств в расчете на
перспективу.
Наиболее эффективным методом
интенсификации вязких и высоковязких нефтей является пароциклическое воздействие
на нефтяной пласт. Технология пароциклического метода позволяет положительно
решать ряд недостатков, имеющихся в других известных тепловых технологиях.
Основные преимущества технологии пароциклического метода следующие:
ускоряется процесс
рассредоточения ввода теплоносителя в продуктивный пласт, в результате чего
повышается темп теплового воздействия и тепловая эффективность процесса;
повышается продуктивная
характеристика добывающих скважин, что приводит к интенсификации добычи нефти и
повышению темпа выработки запасов нефти;
повышается охват коллектора
тепловым воздействием и, как результат, повышается конечная выработка запасов
нефти;
создаются условия для
применения более редких сеток скважин, за счет чего значительно снижаются
капитальные вложения.
Разработка моделей, прогнозирующих процесс
данного метода, является весьма актуальной задачей на сегодняшний день.
Цели и задачи работы
Необходимо ознакомиться с технологией процесса
пароциклического воздействия на призабойную зону пласта. Для оценки эффективности
данного технологического процесса, необходимо создать оптимальную модель,
описывающую пароциклическое воздействие, и оценить ее эффективность на примере
реального объекта. Учитывая теплопотери в кровлю и подошву пласта, а также
процесс конденсации пара, решим задачу на отыскание оптимальных параметров
пароциклического метода ( время закачки, время паротепловой пропитки,
эффективное время добычи). Опираясь на эти параметры, построим оптимальную
модель, описывающую пароциклическое воздействие на призабойную зону скважины.
ГЛАВА
1. ОБЗОР РАЗЛИЧНЫХ МЕТОДОВ ТЕРМИЧЕСКОГО ВОЗДЕЙСТВИЯ НА ПЛАСТ
В настоящее время различные технологии
термических методов получили самостоятельное развитие. Одни уже приобрели
промышленные масштабы, другие проходят опытно-промышленные испытания, третьи -
лабораторные исследования.
К основным технологиям
термического воздействия на пласт относятся:
воздействие горячей водой
(ВГВ);
паротепловое воздействие (ПТВ);
внутрипластовое горение ( ВГ);
пароциклическое воздействие на
призабойную зону пласта;
1.1 Воздействие
горячей водой (ВГВ)
пароциклический
нефтяной пласт скважина
Для повышения нефтеотдачи
несомненно целесообразно увеличивать температуру всего нефтеносного пласта.
Этот вывод можно сделать, анализируя влияние теплового воздействия на
физические свойства жидкостей в местах их залегания (воздействие на
динамическую вязкость, плотность, на межфазное взаимодействие).
Первое, что можно предложить
при решении данной задачи, - нагнетание нагретой жидкости. Необходимо заметить,
что вода - наиболее часто используемая для вытеснения жидкость - обладает
замечательным свойством переносить гораздо большее количество тепла,
приходящегося на единицу массы, чем любая другая жидкость в том же агрегатном
состоянии (жидком или газообразном).
Нагнетаемая в пласт вода
охлаждается при контакте с несущей породой и имеющимися в пласте жидкостями.
При достаточно установившемся процессе различают две основные рабочие зоны,
нумерацию которых принято начинать от начала течения в направлении его развития.
Однако для лучшего понимания начнем их описание в обратном порядке (рис.
1.1.1.). В зоне 2 нефть вытесняется водой, температура которой равна
температуре пласта. Нефтенасыщенность в заданной точке снижается с течением
времени и при определенных условиях может достигнуть величины остаточного
насыщения, зависящей от температуры в зоне 2.
В каждой точке зоны 1
температура непрерывно растет, что обычно приводит к снижению остаточной
нефтенасыщенности. Кроме того, расширение породы-коллектора и заполняющей его
жидкости приводит к снижению (при неизменном насыщении) массы нефти,
содержащейся в порах. Если нефть содержит легколетучие углеводороды, они могут
быть вытеснены при помощи последовательных процессов испарения и конденсации -
в этом случае в сравнительно узкой зоне может существовать состояние насыщения
газовой фазы углеводородами.
Рис.1.1.1.Профили
водонасыщенности (а) и температуры (б) при одномерном вытеснение нефти горячей
водой в отсутствии испарения легких фракций нефти.
.2 Паротепловое
воздействие (ПТВ)
Применяемый традиционный способ
паротеплового воздействия на нефтяной пласт заключается в закачке расчетного
объема теплоносителя через нагнетательные скважины, создание тепловой оторочки
и последующее продвижение ее по пласту в сторону добывающих скважин
закачиваемой ненагретой водой.
Увеличение нефтеизвлечения из
продуктивною пласта при нагнетании в него теплоносителя происходит за счет
изменения свойств нефти и воды, находящихся в пласте, в результате повышения
температуры. С увеличением температуры вязкость нефти, ее плотность и
межфазовое отношение понижаются, а упругость паров повышается, что положительно
влияет на нефтеизвлечение. В качестве рабочего агента применяется водяной пар,
который обладает высокой удельной теплоемкостью и хорошими нефтевытесняющими
способностями.
В процессе закачки пара
нефтяной пласт нагревается в первую очередь за счет использования скрытой
теплоты парообразования. При этом пар, поступая в поровое пространство,
конденсируется. Нагрев пласта в дальнейшем осуществляется уже за счет
использования теплоты горячего конденсата, вследствие чего он охлаждается до
начальной температуры пласта. При вытеснении нефти паром имеет место улучшение
испарения углеводородов за счет снижения их парциального давления.
Снижение парциального давления
связано с наличием в зоне испарения паров воды. Из остаточной нефти испаряются
легкие компоненты и переносятся к передней границе паровой зоны, где они снова
конденсируются и растворяются в нефтяном валу, образуя оторочку растворителя,
которая обеспечивает дополнительное увеличение нефтеизвлечения. При температуре

и атмосферном давлении может
дистиллироваться (перегоняться) до 10% нефти плотностью 934 кг/м3.
При паротепловом воздействии в
пласте образуются три зоны (рис.1.2.1):
) зона вытеснения нефти паром;
) зона горячего конденсата, где
реализуется механизм вытеснения нефти водой в неизотермических условиях;
) зона, не охваченная тепловым
воздействием, где происходит вытеснение нефти водой пластовой температуры.
Рис.1.2.1. Профиль температуры (б)
паро- (в) и водонасыщенности (а) при одномерном вытеснении нефти водяным паром.
Все эти зоны испытывают взаимное
влияние. Повышение нефтеизвлечения из продуктивного пласта при закачке пара
достигается за счет снижения вязкости нефти, в результате чего улучшается охват
пласта воздействием; за счет расширения нефти, перегонки ее паром и
экстрагирования растворителем, что повышает коэффициент вытеснения. Вязкость
нефти значительно снижается с увеличением температуры, особенно в интервале
30-80° С. Сравнительно высокая скорость снижения вязкости нефти наблюдается при
начальном увеличении температуры (выше пластовой). С повышением температуры
вязкость нефти уменьшается более интенсивно, чем вязкость воды, что также
положительно влияет на повышение нефтеизвлечения. Снижение вязкости нефти при
ее нагреве приводит к увеличению коэффициента подвижности нефти, что существенно
влияет на коэффициент охвата пласта вытесняющим агентом как по толщине пласта,
так и по площади.
В результате, увеличению
нефтеизвлечения при ПТВ способствуют несколько факторов. Влияние отдельных
факторов на нефтеизвлечение при вытеснении нефти паром примерно принято считать
следующее:
за счет снижения вязкости нефти;
за счет эффекта термического
расширения;
за счет эффекта дистилляции;
за счет газонапорного режима;
за счет увеличения подвижности
нефти.
1.3
Внутрипластовое горение (ВГ)
Термический метод добычи нефти
с применением внутрипластового горения применяется для увеличения
нефтеизвлечения на месторождениях с вязкой и высоковязкой нефтью. Первым в
нашей стране внес предложение о воздействии на нефтяной пласт внутрипластовым
движущимся очагом горения (ВДОГ) А. Б. Шейнман в 1932 г. По результатам
лабораторных исследований и опытов по внутрипластовому горению впервые в мире у
нас в стране были проведены работы на Ширванском месторождении Краснодарского
края в 1934 году. В последующем экспериментальные работы были проведены на
промыслах Павлова Гора - Краснодарский край, в Старогрозненском,
Нефтяно-Ширванском районе и других.
Внутрипластовое горение у нас в
стране и за рубежом в промышленных масштабах применяется с пятидесятых годов
прошлого столетия, в основном на месторождениях тяжелой нефти.
Внутрипластовое
горение - это физико-химический окислительный процесс,
при котором происходят химические превращения веществ с выделением больших
количеств теплоты и образованием продуктов реакции.
Физической стадией процесса
являются смешение топлива с окислителем и нагрев горючей смеси.
Химической стадией процесса
является реакция горения, которая протекает по формуле:

(1.3.1)
где 
- коксообразный остаток,
образующийся при разложении нефти. Процесс внутрипластового горения - это
способ разработки месторождений вязкой нефти с целью увеличения конечного
нефтеизвлечения, который основывается на использовании энергии, получаемой при
частичном сжигании тяжелых фракций нефти (кокса) в пластовых условиях при
нагнетании в пласт окислителя (воздуха). Процесс внутрипластового горения
обладает всеми преимуществами термических методов вытеснения нефти горячей
водой и паром, а также смешивающегося вытеснения, происходящего в зоне
термического крекинга, в которой все углеводороды переходят в газовую фазу.
В простейшем случае для создания
внутрипластового движущегося очага горения (ВДОГ) необходимо пробурить две
скважины, одна из них нагнетательная, другая - добывающая.
Перед началом процесса необходимо
создать циркуляцию воздуха между этими скважинами. Затем в призабойной зоне
зажигательной (нагнетательной) скважины создают условия, необходимые для
инициирования и образования устойчивого очага горения в пласте. Для этого
применяют забойные электрические нагреватели, забойные топливные горелки,
химические реагенты и так далее, с помощью которых зажигают нефть в пласте.
При получении стабильного горения в
пласте, когда очаг горения начал передвигаться к добывающим скважинам,
зажигательная скважина становится только нагнетательной. Для этого забой
скважины охлаждается, и из скважины извлекается нагревательный прибор на
поверхность, а в скважину начинают постоянно подавать окислитель (обычно
воздух). При температуре около 260°С происходит горение некоторых
углеводородов, входящих в состав нефти, с образованием воды, а также
образование коксообразного остатка (топлива). При температуре 370°С
воспламеняется и начинает гореть коксообразный остаток, образуя продукты
горения (вода, углекислый газ, окись углерода). Горение происходит на участке
пласта небольшой протяженности, образуя фронт горения, который при непрерывном
нагнетании воздуха (окислителя) перемещается в направлении от нагнетательной к
добывающей скважине. Скорость перемещения фронта горения, по промысловым
данным, колеблется в пределах 0,03-1,07 м/сутки.
Температура фронта горения обычно
находится в пределах 400-500° С и более.
Участок продуктивного пласта,
находящийся между нагнетательной и добывающей скважинами, можно разделить на
несколько температурных зон (рис.1.3.1.).
Рис. 1.3.1. Схема процесса
внутрипластового горения: а - температурные зоны в пласте; б - зоны
распространения процесса; 1,2- нагнетательная и добывающая скважины; 3, 4, 7, 8
- зоны соответственно выжженная, испарения, конденсации и пара; 5 - легкие
углеводороды; 6 - нефтяной вал; 9 - фронт горения
Имеются два варианта внутрипластового
горения - прямоточный и противоточный. При прямоточном варианте
внутрипластового горения зажигание пласта и подача окислителя производится
через одну и ту же скважину. Окислитель и фронт горения при этом движутся в
направлении от зажигательной (нагнетательной) скважины к добывающим скважинам.
При противоточном варианте зажигание пласта и нагнетание окислителя в пласт
осуществляют в разные скважины.
1.4 Пароциклическое
воздействие на пласт
Этот метод, используемый иногда
наравне с методом непрерывного вытеснения нефти, включает три последовательные
фазы, образующие цикл, который может быть повторен.
Фаза нагнетания.
Развитие процесса в этой фазе, когда пар нагнетают в область залегания
нефтяного пласта, идентично развитию процесса вытеснения.
Рис. 1.4. 1. Схема
двух циклов паротеплового воздействия на скважину: 1 - нагнетание пара; 2 -
время ожидания; 3 - добыча нефти
Фаза извлечения
нефти. Уровень добычи нефти после откачки части
сконденсировавшейся воды заметно превышает уровень ее добычи до нагнетания
пара. В этот период (в отличие от процесса непрерывного вытеснения нефти) все
текучие вещества - сначала сконденсировавшаяся вода, а затем нефть -
нагреваются по мере приближения к нефтяной скважине. Часть поступившего к
месторождению тепла возвращается обратно. Эффективность процесса зависит от
существования в этой зоне повышенной температуры, максимум которой достигается
в непосредственной близости от скважины, т.е. в области, где тепловые потери
при нагнетании пара наиболее существенны.
Таким образом, при одинаковом давлении
на забое скважины уровень добычи (вследствие снижения вязкости добываемой
нефти) после пароциклического воздействия превышает уровень добычи до него.
Что касается других
составляющих энергетического баланса, отметим полное преобразование механической
энергии, подведенной к месторождению вместе с паром в процессе конденсации, в
тепловую.
При пароциклическом воздействии
количество механической энергии слишком незначительно для повышения
нефтедобычи. Механическая энергия для проталкивания нефти на каждой скважине
обеспечивается соответствующими факторами (собственно тепловой энергией,
нагнетанием и т.д.). Естественно предположить, что при повторениях такого цикла
добыча нефти возрастает от цикла к циклу (если не рассматривать влияние очистки
и засорения скважины) прежде всего вследствие постепенного повышения средней
температуры в окрестности скважины, и лишь затем уровень добычи начинает
снижаться в результате истощения месторождения. Однако такое положение, отчасти
подтверждаемое некоторыми лабораторными исследованиями, не всегда согласуется с
данными промысловых испытаний. В частности, это замечание относится к первым
трем циклам, где необходимо учитывать влияние побочных эффектов.
ГЛАВА 2. ТЕХНОЛОГИЯ И МЕТОДЫ РАСЧЕТА
ПАРОЦИКЛИЧЕСКОГО ВОЗДЕЙСТВИЯ НА ПРИЗАБОЙНУЮ ЗОНУ ПЛАСТА. АНАЛИЗ ПРОМЫСЛОВОГО
ОПЫТА
.1 Технология пароциклического
воздействия
Циклическое нагнетание пара в
пласты, или пароциклические обработки добывающих скважин, осуществляются
периодическим нагнетанием пара в нефтяной пласт через добывающие скважины,
некоторой выдержкой их в закрытом состоянии и последующей их эксплуатацией
(рис.2.1.1.).
Цель этой технологии
заключается в увеличении притока нефти к скважинам за счет снижения вязкости
нефти, повышения забойного давления, облегчения условия фильтрации.
Рис.2.1.1.
Схематическое представление 3-х основных этапов пароциклического воздействия
(нагнетание, пропитка, добыча).
Механизм процессов,
происходящих в пласте, довольно сложный и сопровождается теми же явлениями, что
и вытеснение нефти паром, но дополнительно происходит противоточная капиллярная
фильтрация, перераспределение в микронеоднородной среде нефти и воды (
конденсата) во время выдержки без отбора жидкости из скважины.
При нагнетании пара в пласт он,
естественно, внедряется в наиболее проницаемые слои и крупные поры пласта. Во
время выдержки в прогретой зоне пласта происходит активное перераспределение
насыщенности за счет капиллярных сил: горячий конденсат вытесняет, замещает
маловязкую нефть из мелких пор и слабопроницаемых линз ( слоев) в крупные поры
и высокопроницаемые слои, то есть меняется с ней местами.
Именно такое перераспределение
насыщенности пласта нефтью и конденсатом и является физической основой процесса
извлечения нефти при помощи пароциклического воздействия на пласты. Без
капиллярного обмена нефтью и конденсатом эффект от пароциклического воздействия
был бы минимальным и исчерпывался бы за первый цикл. Обычно на одной скважине
проводят не менее 3-х циклических паротепловых обработак.
При проектировании и проведении
пароциклического воздействия необходимо рассмотреть следующие вопросы:
оценить целесообразность
проведения пароциклического воздействия с точки зрения технологического
эффекта.
провести термогидравлический
расчет выбранной скважины, с целью определения возможных темпов и параметров
нагнетаемого пара, оценить температурные условия крепи скважины, обосновать
параметры пароциклического воздействия.
выбрать оборудование.
разработать схему обустройства.
составить программы проведения
пароциклической обработки призабойной зоны пласта и комплекса исследований.
2.2
.Методы расчета и анализа процесса паротеплового воздействия на нефтяные пласты
Закачка пара один из
термических методов увеличения нефтеотдачи пластов, который широко используется
во всем мире. Основные этапы непрерывной закачки пара, с целью вытеснения
высоковязких нефти тщательно анализировались в лабораторных исследованиях и в
промысловых испытаниях. Наряду с лабораторными исследованиями и промысловыми
испытаниями математическое моделирование так же помогает продвинуться в
понимании и проектировании процесса вытеснения нефти паром.
Инженерные оценки движения пара
в призабойной зоне пласта часто основаны на упрощенном математическом описании
разогрева пласта закачкой теплоносителя, которую впервые разработали Marx J.W.
(1959) и Langerheim R.H. (1959), а в дальнейшем развили Mandl G. (1969) и Volek
C.W. (1969). Эта теория рассматривает процесс вытеснения нефти теплоносителем,
с целью увеличения нефтеотдачи пластов, как простой процесс замещения флюидов в
одномерном случае. Neumen C.H. (1975) и Lookeren L. (1977) развили описание
процесса вытеснения нефти паром, основанного на простых аналитических формулах,
но для трехмерного случая, учитывающего гравитационные эффекты.
Процесс вытеснения нефти паром так же
исследовался на основе прямого численного расчета. Трехфазные численные модели
были созданы на основе одно- и двухмерных моделей, которые разработал
ShutlerN.D. (1969). Abdalla A. (1971)и Coats K.H. (1971) разработали модели
нагнетания пара для двухмерного случая, учитывая дистилляцию нефти паром.
Всестороннее численное моделирование нашло
применение в первую очередь как научно-исследовательский инструмент, помогающий
проектировать и оптимизировать процесс вытеснения нефти паром, а также
оценивать достоверность простых математических моделей. Аналитические модели в
первую очередь используются при инженерных расчётах процессов вытеснения нефти
паром.
С точки зрения описания конкретных этапов
процесса (увеличение зоны охваченной паром) использование надежной
аналитической модели более выгодно, нежели очень подробные и дорогие численные
модели, требующие подробной информации об исследуемом объекте.
Классическая аналитическая модель (Marx J.W.
(1959)), описывающая вытеснение нефти паром в одномерном случае, основана на
балансе тепла закачиваемого с теплоносителем и накопленного в пористой среде.
Допущения о кусочно-постоянном распределении температуры в пласте и
пренебрежение кондуктивным переносом тепла в направлении распределения
теплового фронта позволяют записать интегральные балансовые соотношения для
тепло- и массообмена. В результате было получено выражение для определения
траектории переднего фронта зоны пласта заполненной паром - «паровое плато».G.
(1969) и Volek C.W. (1969) проверили достоверность модели Маркса-Лонгенхейма и
выяснили что она описывает фактическую скорость фронта конденсации, при
постоянной скорости закачки пара только до критического времени t c .
После этого времени, нельзя не учитывать тепловой поток в зону,
охваченную тепловым воздействием, т.е. решение Маркса-Лонгенхейма применимо для
высокой скорости закачки теплоносителя. Mandl и Volek предложили приближенное
аналитическое решение для низких скоростей закачки теплоносителя, т.е. для
времен выше t c . Предположение незначительного
теплового потока в зону охваченную тепловым воздействием может быть верным пока
не достигнуто критическое время, на основании учета только конвективного
переноса тепла. Хотя модель Маркса-Лонгенхейма верна при высокой скорости
закачки теплоносителя, она приводит к существенным отклонениям, когда скорость
закачки пара низка, теплопотери доминируют над конвективным переносом тепла.
Модель Маркса-Лонгенхейма так же предсказывает развитие фронта конденсации,
даже когда закачка пара прекратилась.
Модель, которую предложил Yortsos Y.C. (1981)
описывает процесс вытеснения нефти паром в случае постоянной и переменной
закачки теплоносителя. Созданная им аналитическая модель, учитывает поток тепла
в область охваченную тепловым воздействием. Эта модель основана на интегральных
законах сохранения тепла и массы для пласта произвольной формы. Согласно
методам, которые использовал Yortsos при описании передачи тепла, он развил
математическое описание процесса для одно- и многомерных моделей пластов при
постоянной и переменной закачке теплоносителя. Им были получены приближенные и
асимптотические решения для одномерных моделей пластов при постоянной закачке
теплоносителя.
А.Ф. Зазовским (1986) и К.М. Федоровым (1986) в
рамках теории двухфазной трехкомпонентной фильтрации был исследован процесс
вытеснения нефти насыщенным паром, перегретым паром и пароводяными смесями. Ими
было показано, что особенность гидродинамического механизма вытеснения нефти
паром связано с немонотонной зависимостью вытесняющей способности теплоносителя
от его удельного теплосодержания. На основе анализа тонкой структуры фронта
конденсации пара, ими были получены дополнительные условия, которые необходимо
привлекать для построения решений в крупномасштабном приближении, т.е. в
пренебрежении капиллярными, диффузионными и неравновесными эффектами и
теплопроводностью пласта.
Предполагается, что вода и пар при их
одновременном существовании в пористой среде образуют одну пароводяную фазу
или, что одно и тоже, обладают одинаковыми подвижностями. Тогда область
трехфазного течения воды, нефти и пара сводится к псевдодвухфазной с фиктивной
водной фазой, представляющей собой смесь воды и пара. Несмотря на очевидную
приближенность такого подхода, он позволяет получить точные решения связанной
задачи тепломассопереноса без дополнительных предположений о возможной
структуре решения. При этом воспроизводятся все характерные черты паротеплового
воздействия на пласт и открывается возможность применения эффективного
численно-аналитического метода (Зазовский А.Ф., 1983) для учета влияния
теплопотерь в их простейшей форме (по Ньютону) на ход вытеснения нефти паром.
А.Ф. Зазовским и К.М. Федоровым показано, что
функция Н(Т) имеет вид кусочно-линейной кривой OLPN в плоскости (T,
H) рис 2.2.1. Вертикальный отрезок LP отвечает изменению
концентрации пара в водной фазе С от 0 до 1 (испарение / конденсация).
Рис.2.2.1. (T, H) - диаграмма для
определения структуры теплового поля.
В основу решения, полученного А.Ф.
Зазовским и К.М. Федоровым, положено предположение, что фронту конденсации пара
отвечает разрывная структура тепловой волны. Для устойчивого скачка отрезок
прямой, соединяющий точки перед «+» и за «-» разрывом (
)кривой H(T), не
должен иметь с этой кривой других точек пересечения; он должен проходить над
кривой Н(T)при
и под ней при
. Допустимыми являются скачки,
отвечающие фронту конденсации насыщенного пара, т.е. при
(
- температура фазовогоперехода).В
плоскости (T, Н) им отвечают переходы из точек отрезка LPв
точкуО (РО и ОМ). А.Ф. Зазовским и К.М. Федоровым показано, что фронт
конденсации перегретого пара неустойчив и распадается на два скачка -
медленный, отвечающий охлаждению пара до температуры фазового перехода, и
быстрый, соответствующий фронту конденсации насыщенного пара в холодную воду.
Точно так же при закачке воды в нагретый пласт (
<TS<T+) фронт
испарения устойчив, если только
= TS (переходы LN
и MN на рис. 2.2.1.). Поэтому при нагнетании в пласт «недогретой»
жидкости (
<TS)за фронтом
испарения возникает более медленный фронт нагревания воды до температуры
фазового перехода, что иллюстрируется кривой OLN на рис.2.2.1.
.3 Анализ промыслового опыта
На многопластовом месторождении
Зыбза - Глубокий Яр наибольший интерес с точки зрения проведения циклических
паротепловых обработок представляли залежи нефти, приуроченные к отложениям
миоцена: чокрак, караган и сармат. Толщина этих продуктивных горизонтов
различна и колеблется от 0 до 250 метров. В тектоническом отношении
продуктивные горизонты тяжелой нефти характеризуются моноклинным залеганием
пород. Нефтяные залежи подпираются контурными водами.
Нефть миоценовой залежи высоковязкая
(до 1000 мПа
с при 25 °С) и не содержит бензиновых
фракций. Плотность ее в поверхностных условиях колеблется от 943 до 984 кг/м3.
Массовое содержание смол в нефти 45-50%. Минерализация пластовых вод
(450-500)
моль/л. Начальный
газовый фактор 
. Глубина залегания пластов
500-1000 м. Средняя пластовая температура 40 °С.
Применяемые ранее известные методы
воздействия на призабойную зону пласта не давали существенных результатов. Из
четырех опробованных способов тепловых обработок (циклическое паровоздействие,
обработка призабойной зоны горячей водой, прогрев забоя скважины с помощью
установки СУЕПС-1200 и циклическое нагнетание в скважины горячей нефти)
наиболее эффективным оказались пароциклические обработки (Антониади Д.Г.
(1995)).
Проведенные на площади Зыбза
исследования в процессе реализации пароциклических обработок показали, что для
достижения наибольшей эффективности температуру в призабойной зоне скважины
необходимо доводить до 120-130°С. В диапазоне 25-120°С происходит резкое
изменение свойств нефти - снижение вязкости, изменяются упругие свойства и т.п.
Технология реализации паротепловых
обработок заключалась в следующем: в течение 15-45 сут в скважину
нагнетался пар, в последующем 2-3 сут скважину закрывали для
паропропитки, затем пускали в эксплуатацию.
По большинству скважин, подвергнутых
парообработке, дебиты нефти возросли с 0,1-0,5 m/сут до 5-15 m/сут. Период
эффективной работы скважин колебался от 60 до 500 сут, а в отдельных
случаях и более. В среднем на одну эффективно обработанную скважину было добыто
845 т нефти дополнительно. Обводненность продукции обрабатываемых
скважин не превышала 50%.
Проведенные исследования показали,
что в пределах температур 125-200°Сосновной объем нефти может быть
извлечен за первые 2-3 цикла. Об этом свидетельствуют и исследования,
проведенные Н.К. Байбаковым (1977) и А.Р. Гарушевым (1977), когда анализу
эффективности многократных паротепловых обработок были подвержены результаты
промышленных экспериментов по 30 скважинам, находящимся в равноценных условиях.
Заслуживают внимания
крупномасштабные работы, проведенные на месторождениях Мидуэй-Сансет и Керн
Ривер (Дошер Т.М. (1984)). Месторождение Керн Ривер представляет собой монокль
с углами падения пластов до 
. Продуктивные отложения
представлены чередованием пачек песка и глинистых сланцев, которые практически
непрерывны на протяжении всей залежи. На этом месторождении площадью 1800 га
паротепловым обработкам были подвержены около 1500 скважин.
На основании статистической
обработки результатов циклического паротеплового воздействия здесь были
обоснованы объемы закачки пара - 1035 т/скв (15,4 т/м), и
продолжительность закачки - 5 сут (8,6 т/ч).
Не менее крупные промышленные работы
осуществлялись и на месторождениях Мидуэй-Сансет. По основному фонду здесь было
проведено по 8 и более скважино-операций (Дошер Т.М. (1984)).
На месторождениях Венесуэлы методами
циклического паротеплового воздействия обработано более 1650 скважин с годовой
добычей около 8,4 млн. т нефти. Суммарный объем добытой нефти за счет
обработок составил 80 млн. т при суммарной закачке пара 20 млн. т (Антониади
Д.Г., 1995).
На месторождении Боскан так же
широко применялась циклическая обработка призабойных зон паром (Дошер Т.М.
(1984)). Месторождение разрабатывалось на естественном режиме. Начальное пластовое
давление составляло 22,75 МПа. К моменту проведения пароциклических
обработок оно снизилось до 5,6 МПа. Нефтенасыщенная толщина составляет
30,5-76,2 метра. Плотность нефти 996,5 
, вязкость - 220 мПа
с при пластовой температуре 82
°С.
Объем закачки теплоносителя в
скважины составил 4560 т, темп нагнетания - 160 m/сут. На устье степень
сухости пара составляла 82%, температура около 320 °С и давление 11,27 МПа. Нефтенасыщенная
толщина 15,2 м.
В течение первой недели эксплуатации
дебит одной из скважин составил 72 
. В следующие два месяца
производительность скважины была 52,5
. В течение 7 месяцев после
увеличения числа обработок дебит скважины равнялся 32
. Общая производительность других
скважин оказалась на 30% выше средней продуктивности участка.
На залежи Вака месторождения Оксард
применение пароциклической обработки позволило добыть дополнительно 819 т нефти
за один цикл воздействия (Антониади Д.Г. (1995)). Глубина залегания пласта 560 м,
эффективная нефтенасыщенная толщина - от 23 до 130 м, пористость
-34,3%, проницаемость - 5,5 мкм2, пластовая температура -
23°С. Время нагнетания пара составляло 18 сут. Время выдержки - 3 суток.
Добыча нефти осуществлялась в течение 45 дней (Антониади Д.Г. (1995)).
Опыт, накопленный при извлечении
тяжелых нефтей на месторождениях Тиа Хуана, Лагунилас и Бачакеро, показывает,
что коэффициент нефтеотдачи только за счет парообработок призабойных зон
добывающих скважин может быть увеличен на 5-8%. Более 20 пароциклических
обработок позволило добыть до 100 тыс.т/год (Дошер Т.М. (1984)).
На месторождениях Канады, таких как
Атабаска, КолдЛейк, Вабаска и Пис Ривер, с глубинами залегания 60, 600, 300,
750 метров и нефтенасыщенными толщинами 21, 12, 8, 11 метров соответственно,
реализовано более 30 проектов пароциклической обработки призабойных зон, пять
из них имели промышленное значение с дебитом нефти 25-100 тыс.т/год и
более (Антониади Д.Г. (1995)). Самый крупный проект 800 тыс.т/год был
осуществлен на месторождении КолдЛейк. За время действия проекта на добывающих
скважинах было проведено по 8 циклов обработки. Объемы нагнетания пара
составили от 8 до 11,5 тыс. т за один цикл. Средний темп нагнетания был
равен - 230 m/сут. Средний дебит нефти составил около 8,5 m/сут. Период
паротепловой пропитки обычно не превышал 7 суток. Период повышенных отборов
нефти составлял 3-6 месяцев.
В Китае на промыслах месторождений
Гаошенг, Шугуанг-1, Хуанксилинг и Шанси опытные работы по пароциклическому
воздействию на призабойную зону позволило добыть дополнительно 73, 77, 83 и 38 тыс.т/год
соответственно (Дошер Т.М. (1984)). Глубины залегания равнялись
соответственно 1510-1700, 1000-1100, 1080-1200 и 1100-1200 метров.
Нефтенасыщенные толщины - 67, 44,25-40 и 28-85 метров. Вязкости дегазированной
нефти в пластовых условиях составляли 450-4000, 8000-14000,2000-3000и
8000-10000 МПа
с соответственно.
Паротепловые обработки призабойных
зон скважин, пробуренных на залежи высоковязких нефтей, широко используются и в
других нефтедобывающих странах. Так, на месторождении Эмлиххейм (Германия)
пароциклические методы обработки призабойных зон позволили увеличить дебиты
скважин в 2-7 раз (Антониади Д.Г. (1995)).
В Индонезии паротепловые обработки
осуществляли на месторождении Дури, конечная нефтеотдача которого без теплового
воздействия оценивалась в 10 %(Дошер М.Т. (1984)). Пористость пласта составляла
37%,пластовая температура 35-38 °С. Продолжительность закачки пара за цикл не
превышала 5 суток. Количество теплоты, введенной в пласт за цикл составляло
2646-5250 млн. кДж при давлении закачки 2,8-3,5 МПа. Температура
закачиваемого теплоносителя 204-232°С.Период паротепловой пропитки 3-5 сут
.После пуска скважина, как правило, фонтанировала в течении 10 суток.
Среднесуточный дебит после первого цикла возрастала в 4-5 раз (до 9-39 т/сут);
после второго - достигал 2-21 m/сут.
Опытные работы по пароциклическим
обработкам скважин в Кувейте позволили увеличить производительность скважин с
46-61 до 108 m/сут (Антониади Д.Г. (1995)), причем скважины работали
фонтанным способом в течение нескольких лет. Темпы нагнетания пара в скважины
колебались от 153 до 198 m/сут при давлении на устье 2,7 МПа и
температуре закачиваемого пара 223°С. Сухость пара составляла 76%. В среднем на
каждую скважину закачивалось от 2,3 до 4,3 тыс. т пара. На пропитку
скважины закрывались от 3 до 9 суток.
На месторождении Мидвей Сансет(США)
участок Буэна Фе Фее применение пароциклического метода воздействия позволило
увеличить дополнительную добычу нефти до 888 т,за один цикл
обработки (Антониади Д.Г. (1995)). Длительность нагнетания составляла 11 сут
,время паропропитки 8 сут, общая длительность цикла составляла 120
суток. Глубина залегания кровли пласта 180 метров, нефтенасыщенная толщина 62,5
метра. Пористость 30%, температура пласта 32 °С, вязкость нефти в пластовых
условиях 150 МПа 
с.
На месторождении Хантингтон Бич,
средний уровень добычи нефти за один цикл паротеплового воздействия на
призабойную зону составил 4600 т (Антониади Д.Г. (1995)). Общая
продолжительность цикла составляла 14 месяцев. Глубина залегания пласта 600-700
м, нефтенасыщенная толщина 12-18 м, пористость
коллектора 35%, температура пласта 53°С, вязкость нефти при
пластовой температуре 45,7 МПа-с.
В таблице 2.3.1 приведены данные по
общей продолжительности циклов паротеплового воздействия для месторождений США
(Антониади Д.Г.(1995)).
Таблица 2.3.1
Характеристика паротепловых
обработак призабойных зон добывающих скважин на месторождениях США.
|
Месторождение
|
Участок
|
Нефтенасыщенная
толщина, м.
|
Продолжительность
цикла, мес.
|
Добыча
нефти одной скважины, т/ сут.
|
Добыча
нефти за цикл, т.
|
|
|
|
|
Перед
обработкой
|
Всего
|
Дополнительно
|
|
|
|
|
|
Первые
30 дней
|
На
конец цикла
|
|
|
|
Хантингтон
Бич
|
ТМ
|
12
|
15
|
2,4
|
25
|
4
|
4610
|
3350
|
|
Сан
Ардо
|
Ломбарди
|
67
|
18
|
4
|
57
|
5,6
|
7950
|
6244
|
|
Керн
Ривер
|
Чайна
|
6,7
|
6
|
0,5
|
22
|
2,4
|
1840
|
1750
|
|
Мидвей
Сансет
|
Поттер
(А)
|
76
|
5
|
1,6
|
17
|
4
|
1470
|
1225
|
|
Керн
Ривер
|
Керн
Ривер
|
67
|
5
|
2,2
|
10
|
3,2
|
750
|
443
|
|
Коалинга
|
Тремблорд
|
33
|
5
|
0,5
|
8
|
2,4
|
680
|
572
|
|
Мидвей
Сансет
|
Талер
|
73
|
6
|
0,8
|
9
|
1,6
|
740
|
589
|
|
Мидвей
Сансет
|
Поттер
(Б)
|
76
|
0,8
|
6
|
1,6
|
480
|
354
|
|
ВайтВолф
|
Риф
Ридж
|
23
|
4
|
4,8
|
13
|
4,8
|
1070
|
513
|
|
ПозоКриик
|
Этчегоин
|
24
|
6
|
1,1
|
3
|
1,6
|
420
|
223
|
ГЛАВА 3. ПОСТРОЕНИЕ И ОПТИМИЗАЦИЯ
ИНТЕГРАЛЬНОЙ МОДЕЛИ ПАРОЦИКЛИЧЕСКОГО ВОЗДЕЙСТВИЯ НА ПРИЗАБОЙНУЮ ЗОНУ ПЛАСТА
Несмотря на большое количество существующих
тепловых методов добычи нефти, самыми эффективными из их являются методы,
основанные на процессе вытеснения нефти паром или смесью горячей воды и пара.
Именно это обстоятельство заставляет уделить большее внимание процессу
паротеплового воздействия на нефтяные пласты ( Боксерман А.А. (1975)). Основные
трудности, с которыми приходится сталкиваться при его теоретическом
исследовании (даже в случае решения одномерных задач), связаны с расчетом
трехфазных течений, воды, нефти, пара и учетом теплообмена с окружающими
породами. До последнего времени эти трудности оказывались непреодолимыми ,
связанные с отсутствием представления о структуре зоны вытеснения нефти паром в
условиях взаимосвязанности процессов тепло- и массопереноса. Основным подходом
к анализу процессов вытеснения нефти паром было и по прежнему остается прямое
численное моделирование (Coats K.H. (1974)). Также, наряду с численными
решениями, были получены аналитические (Боксерман А.А. (1975)); Зазовский А.Ф.
(1986)); Рубинштейн Л.И (1972)); Marx J.W. (1959)) путем искусственного расщепления
тепловой и гидродинамической задач, либо путем задания «жесткой» структуры
вытеснения в виде последовательности характерных зон с дальнейшим
удовлетворением балансовых интегральных соотношений на их границах ( Зазовский
А.Ф. (1986)).
В настоящее время имеется большое число
всевозможных моделей, описывающих процесс вытеснения высоковязкой нефти паром
или смесью пара и горячей воды. Одна из моделей будет представлена в этой
главе.
3.1 Расчет максимальной зоны
теплового воздействия и оптимального времени закачки теплоносителя при
пароциклическом воздействии
Для определения основных технологических
параметров и эффективности пароциклического воздействия на призабойную зону
скважин необходимо решить следующие задачи. Во-первых, рассчитать период
закачки теплоносителя (пара) в пласт, определить распределение температуры в
призабойной зоне и эффективные размеры зоны, охваченной тепловым воздействием.
Во-вторых, решить задачу о паротепловой пропитке, т.е. прогнозировать скорость
конденсации пара и всасывания нефти из «холодной» области пласта в прогретую
зону. И, наконец, рассчитать степень повышения продуктивности скважины за счет
разогрева нефти в призабойной зоне и закон падения дебита по мере охлаждения
призабойной зоны потоком нефти из пласта.
Моделирование и решение указанных задач является
сложной научной проблемой, достаточно указать, что теория неизотермической
трехфазной фильтрации с учетом фазовых переходов еще далека от своего
завершения, а апробированных программ расчета этих процессов пока не существует.
Полученные решения и подходы являются в основном инженерными оценками, точность
которых не велика (Боксерман А.А. (1975); Marx J.W. (1959); Yortsos Y.C.
(1981)).
В качестве таких инженерных оценок предлагается
интегральный подход, основанный на суммарном тепловом балансе потоков
теплоносителя через скважину, из пласта в окружающие породы, с учетом скрытой
теплоты конденсации пара. Таким образом, предлагаемая модель является развитием
подходов Маркса-Лонгенхейма Волека и Иортсоса. При этом основные положения о
распределении температуры в призабойной зоне основаны на результатах научных
исследований процесса вытеснения нефти паром (Федоров К.М. (1989); Зазовский
А.Ф. (1986)).
Процесс вытеснения нефти паром
происходит в три этапа (Федоров К.М. (1989); Зазовский А.Ф. (1986)). На первом
этапе формируется зона «парового плато», т.е. области фильтрации насыщенного
пара и воды при температуре кипения. Температура этой области равна температуре
насыщения при пластовом давлении. Пар при фильтрации отдает тепло пласту и
частично конденсируется. Основная часть выделяющейся воды приобретает начальную
температуру пласта и фильтруется перед фронтом конденсации. Когда
сконденсированной воды в области парового плато становится достаточно большое
количество, происходит остановка фронта конденсации и развитие зоны вытеснения
нефти горячей водой и паром за стационарным фронтом конденсации. Температура
сформированного таким образом фронта горячей воды быстро падает по мере
продвижения вглубь пласта. Развитие и затухание процесса вытеснения нефти
горячей водой составляет второй этап процесса. На заключительном этапе
формируется стационарное тепловое поле в пласте, структура которого состоит из
области парового плато, зоны вытеснения нефти горячей водой и газом и
невозмущенной (при начальной температуре пласта) зоны в глубине пласта.
Физический смысл формирования стационарного температурного поля в пласте
заключается в следующем. По мере продвижения тепловых фронтов в глубь пласта
растет площадь, с которой происходят теплопотери. На заключительном этапе темп
закачки тепла с теплоносителем равен суммарным тепловым потерям из пласта в
окружающие породы, т.е. пар, закачиваемый в пласт, фильтруется в пласте,
конденсируется, сконденсированная вода охлаждается до пластовой за счет тепловых
потерь в окружающие породы. Дальнейшая закачка теплоносителя в пласт
неэффективна, так как не приводит к росту зоны прогрева (Федоров К.М. (2004)).
Структура теплового поля представлена на рис. 3.1.1, где rs - текущая
координата парогазового фронта; 
- радиус зоны максимального
прогрева призабойной зоны; То - начальная температура пласта и
окружающих его пород.
Рис. 3.1.1. Схематический вид
структуры теплового поля при закачке пара в нефтяной пласт (Федоров К.М.,
1989). а) Ступенчатый вид распределения температуры в призабойной зоне, б)
Траектория распространения теплового фронта (сплошная кривая) и аппроксимация,
принимаемая в предлагаемом интегральном приближении (пунктирная кривая).
Будем считать, что тепловые потери подчиняются
закону Ньютона-Рихмана:

(3.1.1)
где 
удельные теплопотери из пористой
среды в кровлю и подошву пласта; 
коэффициент теплопередачи; 
температура в произвольной точке
пласта; 
пластовая температура.
Зная структуру теплового поля и
принимая, что теплосодержание пласта определяется только его температурой и
теплоемкостью, можно посчитать мощность суммарных тепловых потерь из прогретой
области в кровлю, подошву пласта по формуле:

(3.1.2)
где 
- средняя по сечению пласта
температура в произвольной точке 
, 
-радиус прогретой зоны, 
- радиус скважины.
В зоне парового плато температура
пласта постоянна и равна температуре насыщения 
, в области фильтрации горячей воды
падает по экспоненциальному закону (Федоров К.М. (1989)). С учетом этих данных
интеграл (3.1.2) можно решить аналитически.
С другой стороны, при постоянной скорости
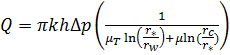
закачки пара в пласт темп ввода теплоносителя рассчитывается по элементарной
формуле:

(3.1.3)
где 
- скорость закачки пара, 
- плотность теплоносителя, 
-теплоемкость пара, 
- скрытая теплота парообразования, 
-температура насыщения теплоносителя
в пластовых условиях.
Приравнивая (3.1.2) и (3.1.3),
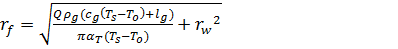
находим максимальный радиус прогрева пласта 
.

(3.1.4)
Из теории неизотермической
фильтрации известно (Yortsos Y.C. (1981)), что скорость тепловых фронтов в
линейном случае постоянна, а в радиальном пропорциональна квадрату радиуса. С
учетом этих данных можно определить время закачки теплоносителя до момента
формирования стационарного температурного распределения, т.е. далее закачка
теплоносителя неэффективна. Отсюда определяем время закачки теплоносителя в
пласт:

(3.1.5)
где 
- время закачки теплоносителя,
- мощность
пласта, 
- отношение теплосодержания пара и
насыщенной пористой среды, 
-скорость тепловых фронтов.
3.2
Расчет периода паротепловой пропитки и времени остановки скважины при
пароциклическом воздействии
На этапе паротепловой пропитки тепловые потери
из зоны парового плато также описывается формулой (3.1.2), но конденсация
приводит к всасыванию нефти из «холодной» толщи пласта, т.е. радиус парового
плато уменьшается со временем. Будем считать, что процессы теплопередачи, конденсации,
и всасывания нефти являются равновесными процессами. В этом случае давление и
температура в области парового плато не меняется, т.е. конденсация пара
приводит к мгновенному всасыванию нефти, при котором давление и температура в
зоне мгновенно выравниваются и компенсируется притоком нефти из холодной части
пласта ( Федоров К.М. (2004)).
Перепишем формулу (3.1.2) с учетом постоянства
температуры в области парового плато:

(3.2.1)
где 
- радиус зоны парового плато.
С другой стороны, мощность
теплопотерь компенсируется только конденсацией пара, следовательно, должна быть
равна теплоте выделяемой за счет конденсации пара:

(3.2.2)
где 
- масса пара в призабойной зоне, 
- концентрация пара в теплоносителе,

- теплота, выделяемая при
конденсации пара, 
- плотность теплоносителя.
Приравнивая выражения (3.2.1) и
(3.2.2) получим дифференциальное уравнение для определения скорости фронта
конденсации:

(3.2.3)
Решение этого уравнение с начальным
условием

имеет вид:

(3.2.4)
3.3
Определение времени отбора нефти при пароциклическом воздействии на скважину
Конденсация пара в периоде
паротепловой пропитки происходит за счет теплопотерь из зоны «парового плато»
сопровождается также нагреванием «холодной» нефти, поступающей из зоны
неохваченной тепловым воздействием ( Федоров К.М. (2004)). В линейном
приближении температура пласта при фильтрации через него жидкости
распространяется в виде скачков температуры от 
до 
. Таким образом замещение пара
нагретой нефтью приводит к тому, что ближайшая зона к скважине становится
заполненной нефтью при температуре 
. Определим из условий теплового
баланса размеры этой зоны. Теплосодержание нагретой нефти в этой зоне равно:

(3.3.1)
где 
подлежащий определению радиус зоны,
заполненной нагретой нефтью с температурой 
, 
коэффициент теплосодержания нефти.
Тепло, необходимое для нагрева
нефти, отбирается у скелета пористой среды, приводя к уменьшению размеров
прогретой зоны. Аналогично, можно записать выражение для количества тепла,
отобранного у скелета пласта, в виде:

(3.3.2)
где 
- эффективный коэффициент
теплосодержания насыщенной пористой породы, 
- плотность породы,
- теплоемкость породы.
Тепловой баланс, выраженный
равенством (3.3.1) и (3.3.2), позволяет получить уравнения для определения
радиуса зоны, содержащей нефть при температуре насыщения 
:

(3.3.3)
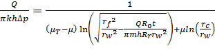
Расход жидкости в скважину с
зональным изменением температуры аналогичен выражению для формулы Дюпюи с
зональной неоднородностью, так как температура пласта определяет вязкость
фильтрующейся жидкости:

(3.3.4)
где 
- вязкость пластовой нефти, 
- вязкость нефти, нагретой до
температуры 
, 
- абсолютная проницаемость пласта, 
- радиус контура питания скважины, 
- мощность пласта,
- депрессия в призабойной зоне
пласта.
Нетривиальность этой задачи
заключается в том, что по мере фильтрации происходит охлаждение призабойной
зоны, связанное с уменьшением радиуса высокотемпературной зоны 
от времени. Скорость продвижения
фронта, заполненного горячей нефтью , при фильтрации жидкости с расходом 
равна ( Федоров К.М. (1989)):

(3.3.5)
Откуда можно определить зависимость
размера 
от времени:

(3.3.6)
Подставляя формулу (3.3.6) в закон
(3.3.4) получим трансцендентное уравнение для определения падения расхода
жидкости со временем за счет охлаждения призабойной зоны:

(3.3.7)
Также имеет смысл рассмотреть
относительную величину продуктивности скважины без теплового воздействия (
) и величину продуктивности в
активный период пароциклического воздействия. Отношение дебитов скважины
выражается формулой:

(3.3.8)
Выражение (3.3.8), описывающее
отношение дебитов до и после обработки, позволяет нам построить некую
зависимость с интересующим нас экстремумом.
По характеру данной зависимости в
активной фазе цикла и анализу экономической эффективности процесса делается
вывод о времени активной фазы отбора жидкости.
3.4
Расчет параметров пароциклического воздействия с использованием разработанной
модели на примере Ярегского месторождения
Для оценки эффективности пароциклического
воздействия необходимо иметь методику расчета основных временных интервалов:
времени закачки теплоносителя, времени выдержки скважины под паротепловой
пропиткой и временем добычи нефти. Данная методика представлена в предыдущих
параграфах. Расчет времени закачки рассчитывается исходя из условия теплового
баланса в пласте (темп ввода теплоносителя в пласт равен мощности потерь тепла
в кровлю и подошву пласта), т.е. достижения максимального прогрева призабойной
зоны пласта. Расчет интервала выдержки скважины определяется из условия
установления стационарных тепловых полей т.е. полной конденсации пара. А
интервал работы скважины на отбор нефти рассчитывается исходя из условия, что
темп отбора нефти должен превышать дебит скважины без воздействия.
Расчет основных временных параметров
пароциклического воздействия, представленный ниже, был проведен для Ягерского
месторождения. Для оптимизации данного процесса использовался базовый вариант (
дебит без воздействия, рассчитанный по формуле Дюпюи для радиального притока
нефти в скважину). Все расчетные данные взяты для реального объекта,
недостающие значения параметров взяты из специальной литературы и считаются
одинаковыми для всех объектов.
Ярегское нефтяноe месторождение -
расположено в Республике Kоми в 25 км к Юго-Западу от Ухты. Bходит в
Тимано-Печорскую нефтегазоносную провинцию. Центр добычи - пос. Ярега (см. рис.
3.4.1) Ярегское нефтяноe месторождение приурочено к широкой пологой
асимметричной антиклинальной складке в северо-западной части Ухта-Ижемского
вала на северо-восточном склоне Teманской антеклизы. Присводовая часть
антиклинали осложнена Ярегским, Южно-Ярегским, Лыаельским и Bежавожским
локальными поднятиями. Промышленно нефтеносны отложения верхнего и среднего девона.
Kоллекторы трещинно-порового типа представлены кварцевыми песчаниками (мощность
26 м) c пористостью 26%, проницаемостью 3,17 Д. Залежь пластовая сводовая,
залегает на глубине 140-200 м, многочисленными дизъюнктивными нарушениями
разбита на блоки. BHK находится в интервале от -55 до -65 м. Начальная
пластовая температура 6-80C, начальное пластовое давление 1,4 МПa.
Нефть ароматическо-нафтенового типа c плотностью 945 кг/м3,
содержанием S около 1% и парафина около 0,5%.
Рис 3.4.1. Карта Ярегского нефтяного
месторождения.
Опытная эксплуатация Ярегского
месторождения ведётся c 1935 года. До 1945 года месторождение
разрабатывалось обычным скважинным методом по треугольной сетке c расстоянием
между скважинами 75-100 м, добыто 38,5 тыс. тонн нефти, нефтеотдача не
превышала 2%. C конца 1939 года разработка велась шахтным способом (3 шахты).
Из рабочей галереи в надпластовом горизонте, расположенном на 20-30 м выше
кровли продуктивного пласта, разбуривали залежь по плотной сетке скважин через
15-25 метров. C 1954 года отработка шахтных полей велась по уклонно-скважинной
системе из рабочей галереи внутри продуктивного пласта. Длина скважин 40-280 м,
расстояние между забоями 15-20 м. K 1972 году добыто 7,4 млн. т, нефтеотдача менее
4%. C 1972 года начата термошахтная эксплуатация c закачкой в продуктивный
пласт теплоносителя через нагнетательные скважины, пробуренные из надпластовой
галереи. Oтбор нефти производится из эксплуатационных скважин рабочей галереи
продуктивного пласта.
Кроме нефти в среднедевонских
песчаниках обнаружены повышенные концентрации лейкоксена. Генетический тип
месторождения - погребённая россыпь. Продуктивный пласт мощностью 30-100 м
несогласно перекрывает метаморфические сланцы рифея, делится на два рудных
горизонта. Hижний горизонт сложен грубо- и крупнозернистыми кварцевыми
песчаниками c прослоями алевролитов и аргиллитов, верхний - полимиктовыми
конгломератами и разнозернистыми кварцевыми песчаниками, содержащими до 30%
лейкоксена, TiO2 58,5-71,9%; SiO2 20-37,8%.
При оптимизации основных
параметров пароциклического воздействия использовался итерационный метод (метод
последовательных приближений). Все необходимые расчетные параметры пласта и
теплоносителя сведены в табл. 3.4.1 и 3.4.2.
Таблица 3.4.1.
Расчетные параметры пласта Ярегского
месторождения
|
Нефтенасыщенная
толщина, м.
|
26
|
|
Вязкость
нефти, сПз.
|
4500
|
|
Продуктивность,
 .0,039
|
|
|
Пористость
|
0,26
|
|
Теплоемкость
породы,  .1500
|
|
|
Плотность
породы,  .2500
|
|
|
Коэффициент
теплопередачи,  .1.5
|
|
|
Пластовая
температура, К.
|
280
|
|
Проницаемость,
 .0,570
|
|
Таблица 3.4.2.
Расчетные параметры теплоносителя.
|
Концентрация
пара, %.
|
70
|
|
Скрытая
теплота,  .1000
|
|
|
Теплоемкость
пара,  .1000
|
|
|
Плотность
пара,  .100
|
|
|
Температура
пара, К.
|
573
|
|
Пластовая
температура, К.
|
308
|
|
Производительность
установки,  .480
|
|
|
Депрессия
при добычи, МПа.
|
7
|
|
Радиус
скважины, м.
|
0,1
|
Для расчета времени закачки и конденсации пара
воспользуемся формулами (3.1.5) и (3.2.4) . Подставляя в данные формулы
значения параметров из таблиц, получим, что оптимальное время закачки
теплоносителя составляет 24 суток, а период паротепловой пропитки 13 суток.
Для определения времени добычи нефти построим
зависимость падения дебита со временем за счет охлаждения призабойной зоны,
воспользовавшись выражением (3.3.7).
Рис.3.4.1. Динамика дебита нефти за
период пароциклического воздействия на Ярегском месторождении при интервале
закачки (24 суток) и времени выдержки (13 суток). ----------- без воздействия.
Дополнительная добыча нефти при циклическом
воздействии определяется интегралом дебита нефти за время всех циклов в течении
года за вычетом базовой добычи нефти:

(3.4.1)
где 
- количество циклов воздействия за
исследуемый период (1 год); 
- полный период воздействия.
Результаты расчета дополнительного
накопленного дебита представлены на рис. 3.4.2.
Рис. 3.4.2. Дополнительный
накопленный дебит на Ярегском месторождении в зависимости от времени активной
фазы при фиксированном времени закачки и времени паротепловой пропитки.
Из полученных результатов следует, что добычу
нефти в активной фазе нужно продолжать до тех пор, пока добыча не станет равна
базовому дебиту без воздействия.
Но, проведя дополнительные исследования рис.
3.4.3, мы видим, что добычу нефти нужно прекращать гораздо раньше. Это говорит
нам о том, что дополнительная добыча нефти со временем уменьшается и в какой-то
момент времени она становится не существенна по сравнению с первоначальным
дополнительным дебитом. Данное исследование позволяет нам говорить об
эффективном времени активной фазы добычи нефти, и в нашем случае для Ярегского
месторождения это время составляет 320 суток.
Рис. 3.4.3. Относительный
накопленный дебит в зависимости от времени активной фазы для Ярегского
месторождения при фиксированном времени закачки ( 24 суток) и паротепловой
пропитки (13 суток).
ВЫВОДЫ И РЕЗУЛЬТАТЫ
Разработана интегральная физико-математическая
модель пароциклического воздействия на призабойную зону пластов с целью
увеличения нефтеотдачи месторождений содержащих высоковязкие нефти.
Установлено, что: 1) максимальная эффективность
процесса достигается при времени закачке теплоносителя соответствующем
установлению стационарного распределения температуры в призабойной зоне; 2)
время паротепловой пропитки определяется полной конденсацией пара в призабойной
зоне охваченной тепловым воздействием; 3) процесс отбора нефти целесообразнее
заканчивать до момента полного охлаждения призабойной зоны; 4) существуют
оптимальные технологические параметры, дающие максимальную интенсификацию
дебита. 5) Применение модели с оптимальными параметрами для Ярегского
месторождения позволяет увеличить дебит добывающей скважины в среднем на 30-40%
СПИСОК ЛИТЕРАТУРЫ
1. Азиз
X., Сеттери Э. Математическое моделирование пластовых систем. Пер. с анг. М.:
Недра, 1982.- 407 с.
2. Алишаев
М.Г., Розенберг М.Д., Теслюк Е.В. Неизотермическая фильтрация при разработке
нефтяных месторождений. М.: Недра, 1985. -208 с.
. Антониади
Д.Г. Научные основы разработки нефтяных месторождений термическими методами.
М.: Недра, 1995. 314 с.
. Базаров
И.П. Термодинамика. М.: Высшая школа, 1991. 376 с.
. Бурже
Ж., Сурио П., Комбарну М. Термические методы повышения нефтеотдачи пластов. М.:
Недра, 1988. 424с.
. Баширов
В.В., Карпов В.П., Федоров K.M. Парогазотермическая обработка призабойной зоны
и пласта в целом.//Итоги науки и техники. Сер.
. Боксерман
A.A., Раковский H.JL, Глаз И.А. Разработка нефтяных месторождений путем
сочетания заводнения с нагнетанием пара.//Итоги науки и техники. Сер.
Разработка нефтяных и газовых месторождений. М.: ВИНИТИ, Т. 7, 1975. с. 3-93.
. Добрынин
В.М., и др. Промысловая геофизика. М.: Издательство "Нефть и газ" РГУ
нефти и газа им. И. М. Губкина, 2004. 315 с.
. Дошер
Т.М., Хассеми Фархад. Влияние вязкости нефти и толщины продуктивного пласта на
эффективность паротеплового воздействия.// Экспресс-информ. Сер.
Нефтепромысловое дело. М.: ВНИИОЭНГ.- 1984. с. 3-44.
. Ентов
В.М. Физико-химическая гидродинамика процессов в пористых средах
(математические модели методов повышения нефтеотдачи пластов).//Успехи
механики, т. 4, №3, 1981.с. 23-56.
. Желтов
Ю.В., Кудинов В.И., Малофеев Г.Е. Разработка сложнопостроенных месторождений
вязкой нефти в карбонатных коллекторах. М.: Недра, 1988. 313 с.
. Зазовский
А.Ф., О неизотермическом вытеснении нефти водой из нетеплоизолированных
пластов.//Изв. АН СССР, МЖГ, №5, 1983. с. 23-44.
. Зазовский
А.Ф., Федоров K.M. О вытеснении нефти паром. М.: Препринт ИПМ АН СССР, №267,
1986. 82 с.
. Кудинов
В.И. Совершенствование тепловых методов разработки месторождений высоковязких
нефтей. М.: Нефть и газ, 1996. 154 с.
. Мирзаджанзаде
А.Х., Аметов И.М. Прогнозирование промысловой эффективности методов теплового
воздействия на нефтяные пласты. М.: Недра, 1983.-222 с.
. Рубинштейн
Л.И. О температурном поле пласта при нагнетании в пласт горячего
теплоносителя.//Труды Уфимского нефтяного института, вып. 2. Уфа: Изд. УфНИ
1958. 97 с.
. Федоров
K.M., Шарафутдинов Р.Ф. К теории неизотермической фильтрации с фазовыми
переходами.//Изв. РАН. сер. МЖГ, №5, 1989. - с. 6879.
. K.M.
Федоров, А.П. Шевелёв. Моделирование работы скважины в неизотермическом
режиме.//Теплофизика, гидрогазодинамика, теплотехника: Сборник статей. Выпуск
2. Тюмень: Издательство ТюмГУ, 2004 г.- с. 82-91.
. K.M.
Федоров, А.П. Шевелёв. Инженерные оценки технологических параметров и
эффективности парогазоциклического воздействия.//Теплофизика,
гидрогазодинамика, теплотехника: Сборник статей. Выпуск 2. Тюмень: Издательство
ТюмГУ, 2004 г.- с. 91-114.
. К.
М. Федоров, А. П. Шевелёв. Расчет тепловых потерь при закачке насыщенного пара
в скважину .//Известия Высших учебных заведений. Серия нефть и газ. №4, 2005
г.- с. 37-43.
. Физические
величины: Справочник/Под ред. И.С. Григорьева, Е.З. Мейлихова. М.:
Энергоатомиздат, 1991. 340 с.
. Чарный
И.А. Нагревание призабойной зоны при закачке горячей воды в скважину./ТНефтяное
хозяйство, №2, 1953. с. 10-23.
. Щелкачев
В.Н., Лапук Б.Б. Подземная гидравлика. М.: Гостоптехиздат, 1949. -298 с.
24. Abdalla
A. Coats К.Н.
A Three-Phase Experimental and Numerical Simulation Study of the Steam Flood
Process. Paper SPE 3600 presented at the SPE 46th Annual Meeting . New Orleans.
October,
1971.
25. Coats
K.H., George W.D., Chu. C., Marcum B.E. Three-Dimensional Simulation of
Steamflooding.//SPEJ, December, 1974. p. 573-592.
. Mandl
G., Volek C.W. Heat and Mass Transport in Steam Drive Process.//SPEJ march
1969. p. 59-79.
. Marx
J.W., Langerheim R.H. Reservoir heating by hot fluid injecting. Trans.
AIME, 1959, v. 216, p. 312-315.
28. Neuman
C.H. A Mathematical Model of the Steam Drive Process