Проницаемость и пористость горных пород
Курсовая работа
Проницаемость и пористость горных пород
СОДЕРЖАНИЕ
1. Введение
2. Цели
и задачи
3. Теоретическая
часть
3.1
Пористость
.2
Проницаемость
.3
Зависимость проницаемости от пористости и размера пор
.4
Метод определения проницаемости
.
Расчетная часть
6. Вывод
. Список литературы
1.
ВВЕДЕНИЕ
В работах Л.С.
Лейбензона, И. Козени, К. Терцаги, Д. Слихтера и других ученых, создавших
теорию фильтрации, установлена функциональная зависимость между пористостью и
проницаемостью, но только для фиктивных и идеальных грунтов. Что же касается
реальных горных пород, то, как указывают многие исследователи, функциональной
связи пористости с проницаемостью не обнаружено. Порода может обладать высокой
пористостью и быть при этом слабопроницаемой, как это имеет место для глин и
других тон к о дисперсных пород. Известно, что породы одной пористости могут
иметь разные значения коэффициента проницаемости. Ф.А. Требин на основе
анализов большого числа кернов из нефтяных месторождений отмечает, что аналитической
зависимости между пористостью и проницаемостью не существует. Такие же мнения
высказываются в работах М. Маскета, А. Шейдеггера, А.А. Ханина и др. Для
отдельных типов пород может иметь место корреляционная зависимость между
пористостью и проницаемостью. Это отмечают А.А. Ханин, У. Рассел и др.
Установлено, что проницаемость растет гораздо быстрее пористости. Так, по А.А.
Ханину, при увеличении пористости песчаных отложений в 1,5-2 раза (от 5 до 10
%) проницаемость возрастает почти в 10 раз (от 0,01 до 0,1 мкм2). Проницаемость
зависит главным образом от размера и характера поровых каналов (сквозные, поры
или тупиковые), которые в свою очередь определяются литологией пород, их
происхождением, составом цемента, наличием коллоидных фракций и т. д. Движение
жидкости в пористой среде происходит не по всем порам, а только по тем, которые
в своей совокупности составляют активную (или эффективную) пористость. Поэтому
в общем случае следует говорить о связи проницаемости не с общей, а с
эффективной пористостью. В хорошо проницаемых породах (песках, песчаниках)
эффективная пористость незначительно отличается от общей.
Наоборот, в
тонкодисперсных связанных грунтах различие очень велико. Поэтому проницаемость
глин формируется только за счет эффективной пористости. Характер изменения
проницаемости глин в зависимости от пористости следует рассматривать с учетом
их минерального состава, определяющего микро- и макроструктуру порового
пространства. Глины по минеральному составу делятся на каолиновые,
гидрослюдистые и монтмориллонитовые. В силу особенностей строения
кристаллических решеток породообразующих минералов эти глины резко различаются
по своим физическим и, в частности, фильтрационным показателям. Коэффициент
проницаемости каолиновых глин, как правило, на порядок и более выше
монтмориллонитовых (гидрослюдистые глины занимают промежуточное положение). В
то же время пористость каолиновых глин ниже пористости монтмориллонитовых.
Поэтому неправомерно сопоставлять, например, проницаемость монтмориллонитовых
глин с пористостью каолинитовых глин. Выявление корреляционных зависимостей
между проницаемостью и пористостью следует проводить для глин преимущественно
одного минерального состава и, по крайней мере, раздельно для
монтмориллонитовых и каолинитовых глин, занимающих крайние позиции по всем
свойствам, в том числе водно-физическим. Для полиминеральных глин выявление
таких зависимостей выполняется отдельно. Таким образом, при установлении
корреляционной зависимости между проницаемостью и пористостью необходимо
учитывать минеральный состав глин. Говоря о зависимости для глин проницаемости
от пористости, следует подчеркнуть, что проницаемость зависит не от общей
пористости, а от эффективной пористости глин. Общая пористость очень слабо
сказывается на проницаемости глин.
2. ЦЕЛИ И ЗАДАЧИ
В данной курсовой
работе необходимо изучить структуру, строение и размеры пор, зависимость между
проницаемостью и пористостью горных пород. Определить от каких факторов зависит
проницаемость, изучить методы определения содержания в пористой среде пор
различного размера.
пора
проницаемость горная порода
3. ТЕОРИТИЧЕСКАЯ ЧАСТЬ
3.1
ПОРИСТОСТЬ
Под пористостью горной породы
понимается наличие в ней пор (пустот). Пористость характеризует способность
горной породы вмещать жидкости и газы.
В зависимости от происхождения различают
следующие виды пор:
Поры между зёрнами обломочного материала
(межкристаллические). Это первичные поры, образовавшиеся
одновременно с формированием породы.
Поры растворения - образовались в результате
циркуляции подземных вод.
Пустоты и трещины, образованные за счёт
процессов растворения минеральной составляющей породы активными флюидами и
образование карста.
Поры и трещины, возникшие под влиянием
химических процессов, например, превращение известняка (СаСО3) в
доломит (МgСО3) -
при доломитизации идёт сокращение объёмов породы на 12%.
Пустоты и трещины, образованные за счёт
выветривания, эрозионных процессов, закарстовывания.
Виды пор (2)-(5) - это так называемые вторичные
поры, возникшие при геологохимических процессах.
Объём пор зависит от:
· формы зёрен;
· сортировки зёрен (чем лучше отсортирован
материал, тем выше пористость);
размера зёрен;
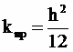
· укладки зёрен - при кубической укладке
пористость составляет » 47,6%, при ромбической укладке -
25,96% (см. рис. 1.1);
однородности и окатанности зёрен в виде цемента рис.
2.
Рис. 1. Различная укладка сферических зёрен
одного размера, составляющих пористый материал: а - менее плотная кубическая
укладка, б - более компактная ромбическая укладка
Рис. 2. Разновидности цемента горных пород
Не все виды пор заполняются флюидами, газами,
нефтью. Часть пор бывает изолирована, в основном, это внутренние поры.
Виды пористости
Общая
(полная, абсолютная) пористость - суммарный объём всех пор (Vпор),
открытых и закрытых.
Пористость открытая эквивалентна
объёму сообщающихся (Vсообщ)
между собой пор.
На практике для характеристики пористости
используется коэффициент пористости (m),
выраженный в долях или в процентах.
Коэффициент общей (полной, абсолютной)
пористости (mп)
в процентах зависит от объема всех пор:
.(1)
Коэффициент открытой пористости (mо)
зависит от объёма сообщающихся между собой пор:
.(2)
Коэффициент эффективной пористости
(mэф.)
оценивает фильтрацию в породе жидкости или газа, и зависит от объёма пор (Vпор
фильтр), через которые идёт фильтрация.
(3)
Для зернистых пород, содержащих малое или
среднее количество цементирующего материала, общая и эффективная пористость
примерно равны. Для пород, содержащих большое количество цемента, между эффективной
и общей пористостью наблюдается существенное различие.
Для коэффициентов пористости всегда выполняется
соотношение:
mп
> mo
> mэф.(4)
Для хороших коллекторов пористость лежит в
пределах 15-25%
Поровые каналы нефтяных пластов условно
подразделяются на три группы: субкапиллярные (размер пор < 0,0002 мм) -
практически непроницаемые: глины, глинистые сланцы, эвапориты (соль, гипс,
ангидрит);
капиллярные (размер пор от 0,0002 до 0,5 мм);
сверхкапиллярные > 0,5 мм.
По крупным (сверхкапиллярным) каналам и порам
движение нефти, воды, газа происходит свободно, а по капиллярам - при
значительном участии капиллярных сил.
В субкапиллярных каналах жидкость удерживается
межмолекулярными силами (силой притяжения стенок каналов), поэтому практически
никакого движения не происходит.
Породы, поры которых представлены в основном
субкапиллярными каналами, независимо от пористости практически непроницаемы для
жидкостей и газов (глины, глинистые сланцы).
Таблица 1 Коэффициенты пористости некоторых
осадочных пород
|
Горная
порода
|
Пористость,
%
|
|
Глинистые
сланцы
|
0,54-1,4
|
|
Глины
|
6,0-50,0
|
|
Пески
|
6,0-52
|
|
Песчаники
|
|
Известняки
|
до
33
|
|
Доломиты
|
до
39
|
|
Известняки
и доломиты, как покрышки
|
0,65-2,5
|
Пористость пород продуктивных пластов определяют
в лабораторных условиях по керновому материалу. Пористость пласта на больших
участках определяется статистически по большому числу исследованных образцов
керна.
С пористостью связаны величины насыщения пласта
флюидами: водонасыщенность (Sв),
газонасыщенность (Sг),
нефтенасыщенность (Sн),
величины, выраженные в долях или в процентах.
Связь пористости и коэффициента насыщенности в
долях:
. (5)
Sнасыщ
= 1; Sг
= 1 - (SB
+ SH).(6)
Рис. 3. Влияние естественного уплотнения пород
на их пористость: 1. - песчаники, 2. - глины
Общая и открытая пористость зависят от:
глубины залегания, падает с увеличением глубины
рис. 3.; от плотности пород; количества цемента и др.
3.2
ПРОНИЦАЕМОСТЬ
Проницаемость
- это фильтрующий параметр горной породы, характеризующий её способность
пропускать через себя жидкости и газы при перепаде давления.
Абсолютно непроницаемых тел в природе нет. При
сверхвысоких давлениях все горные породы проницаемы. Однако при сравнительно
небольших перепадах давления в нефтяных пластах многие породы в результате
незначительных размеров пор оказываются практически непроницаемыми для
жидкостей и газов (глины, сланцы и т.д.).
Хорошо проницаемыми породами являются: песок,
песчаники, доломиты, доломитизированные известняки, алевролиты, а так же глины,
имеющие массивную пакетную упаковку рис. 4.
Рис. 4. Пример массивной пакетной упаковки глин
- фильтрация происходит через каналы между пакетами
Рис. 5. Пример упорядоченной пакетной упаковки
глин - фильтрация практически не происходит
К плохо проницаемым относятся: глины, с
упорядоченной пакетной упаковкой, глинистые сланцы, мергели, песчаники, с
обильной глинистой цементацией рис. 5.
Виды проницаемости
Проницаемость абсолютная (физическая)
- проницаемость пористой среды для газа или однородной жидкости при следующих
условиях:
Отсутствие физико-химического взаимодействия
между пористой средой и этим газом или жидкостью.
Полное заполнение всех пор среды этим газом или
жидкостью.
Для продуктивных нефтяных пластов эти условия не
выполняются.
Проницаемость фазовая
(эффективная) - проницаемость пористой среды для данного газа или жидкости при
одновременном наличии в порах другой фазы или системы (газ-нефть,
газ-нефть-вода).
При фильтрации смесей коэффициент фазовой
проницаемости намного меньше абсолютной проницаемости и неодинаков для пласта в
целом.
Относительная проницаемость
- отношение фазовой проницаемости к абсолютной.
Проницаемость горной породы зависит от степени
насыщения породы флюидами, соотношения фаз, физико-химических свойств породы и
флюидов.
Фазовая и относительная проницаемости для
различных фаз зависят от нефте, газо и водонасыщенности порового пространства
породы, градиента давления, физико-химических свойств жидкостей и пористых фаз.
Насыщенность
-
ещё один важный параметр продуктивных пластов, тесно связанный с фазовой
проницаемостью.
Предполагается, что продуктивные пласты сначала
были насыщены водой. Водой были заполнены капилляры, трещины, каналы.
При миграции углеводороды, вследствие меньшей
плотности, стремятся к верхней части пласта, выдавливая вниз воду. Вода легче
всего уходит из трещин и каналов, из капилляров вода не уходит в силу
капиллярных явлений. Таким образом, в пласте остаётся связанная вода.
Чтобы определить количество углеводородов,
содержащихся в продуктивном пласте, необходимо определить насыщенность порового
пространства породы нефтью, водой и газом.
Водонасыщенность
SВ
- отношение объёма открытых пор, заполненных водой к общему объёму пор горной
породы. Аналогично определение нефте и газонасыщенности:
.(7)
Обычно для нефтяных месторождений SВ
= 6-35%; SН
= 65-94%, в зависимости от созревания пласта.
Для нефтяных месторождений справедливо следующее
соотношение:
SН
+ SВ
= 1. (8)
Для газонефтяных месторождений:
SВ
+ SН
+ SГ
= 1.(9)
Пласт считается созревшим для разработки, если
остаточная водонасыщенность SВ
< 25%.
Остаточная водонасыщенность, обусловленная
капиллярными силами, не влияет на основную фильтрацию нефти и газа.
При водонасыщенности до 25% нефте и
газонасыщенность пород максимальная: 45-77%, а относительная фазовая проницаемость
для воды равна нулю.
При увеличении водонасыщенности до 40%, фазовая
проницаемость для нефти и газа уменьшается в 2-2,5 раза. При увеличении
водонасыщенности до 80% фильтрация газа и нефти в пласте стремится к нулю.
Экспериментально изучался поток при
одновременном содержании в пористой среде нефти, воды и газа. Опытами
установлено, что в зависимости от объёмного насыщения порового пространства
различными компонентами возможно одно-, двух- и трёхфазное движение. Результаты
исследования представлены в виде треугольной диаграммы (рис. 6).
Рис. 6. Области распространения одно, двух и
трёхфазного потоков: 1. - 5% воды; 2. - 5% нефти; 3. - 5% газа.
Вершины треугольника соответствуют
стопроцентному насыщению породы одной из фаз; стороны, противолежащие вершинам,
- нулевому насыщению породы этой фазой. Кривые, проведённые на диаграмме,
ограничивают возможные области одно, двух, и трёхфазного потока.
3.3 ЗАВИСИМОСТЬ ПРОНИЦАЕМОСТИ ОТ ПОРИСТОСТИ И РАЗМЕРА ПОР
Проницаемость -
фильтрационный параметр горной породы, характеризующий ее способность
пропускать к забоям скважин нефть, газ и воду. Абсолютно непроницаемых тел в природе нет. Однако при
сравнительно небольших перепадах давлений в нефтяных пластах многие породы в
результате незначительных размеров пор в них оказываются практически мало или
совсем непроницаемыми для жидкостей и газов (глины, сланцы и др.).
Большая часть
осадочных пород обладает той или иной проницаемостью. Поровое пространство этих
пород, кроме пространства с субкапиллярными порами, слагается порами большого
размера. По экспериментальным данным, диаметры подавляющей части пор
нефтесодержащих коллекторов больше 1 мкм. В процессе разработки нефтяных и
газовых месторождений встречаются различные виды фильтрации в пористой среде
жидкостей и газов или их смесей - совместное движение нефти, воды и газа или
воды и нефти, нефти и газа или только нефти или газа. При этом проницаемость
одной и той же пористой среды для данной фазы в зависимости от количественного
и качественного состава фаз в ней будет различной. Поэтому для характеристики
проницаемости пород нефтесодержащих пластов введены понятия абсолютной,
эффективной (фазовой) и относительной проницаемостей.
Для характеристики
физических свойств пород используется абсолютная проницаемость.
Под абсолютной
принято понимать проницаемость пористой среды, которая определена при наличии в
ней лишь одной какой-либо фазы, химически инертной по отношению к породе.
Абсолютная проницаемость - свойство породы, и она не зависит от свойств
фильтрующейся жидкости или газа и перепада давления, если нет взаимодействия
флюидов с породой. На практике жидкости часто взаимодействуют с породой
(глинистые частицы разбухают в воде, смолы забивают поры). Поэтому для оценки
абсолютной проницаемости обычно используется воздух или газ, так как
установлено, что при движении жидкостей в пористой среде на ее проницаемость
влияют физико-химические свойства жидкостей.
Фазовой называется проницаемость
пород для данного газа или жидкости при наличии или движении в порах
многофазных систем. Значение ее зависит не только от физических свойств пород,
но также от степени насыщенности перового пространства жидкостями или газом и
от их физико-химических свойств.
Относительной проницаемостью пористой
среды называется отношение фазовой проницаемости этой среды для данной фазы к
абсолютной.
Для оценки
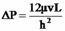
проницаемости горных пород обычно пользуются линейным законом фильтрации Дарси,
согласно которому скорость фильтрации жидкости в пористой среде пропорциональна
градиенту давления и обратно пропорциональна динамической вязкости:
(10)
где v - скорость линейной фильтрации; Q - объемный расход
жидкости в единицу времени; F - площадь фильтрации; μ- динамическая
вязкость жидкости; Δp - перепад давления; L длина пористой среды.
В этом уравнении
способность породы пропускать жидкости и газы характеризуется коэффициентом
пропорциональности k, который называют
коэффициентом проницаемости:
(11)
При измерении
проницаемости пород по газу в формулу (11) следует подставлять средний расход
газа в условиях образца:
(12)
где
- объемный расход газа, приведенный к среднему давлению и средней
температуре газа в образце. Необходимость использования среднего расхода газа в
этом случае объясняется непостоянством его объемного расхода при уменьшении
давления по длине образца.
Среднее давление по
длине керна

Здесь Qo - расход газа при атмосферном давлении р0.
Тогда формула для
определения проницаемости пород по газу запишется в виде
(13)
Единицы измерения
проницаемости. В Международной системе единиц величины, входящие в формулу
проницаемости, имеют размерности
Следовательно,
(14)
При L = 1 м; F = l м2; Q = l м3/с; p = 1 Па и μ= 1 Па•с получим значение коэффициента проницаемости k=l м2.
Таким образом, в
Международной системе (СИ) за единицу проницаемости в 1 м2
принимается проницаемость такой пористой среды, при фильтрации через образец
которой площадью 1 м2, длиной 1 м и перепаде давления 1 Па расход
жидкости вязкостью 1 Па∙с составляет 1 м3/с.
Физический смысл
размерности k (площадь) заключается в том, что проницаемость характеризует
площадь сечения каналов пористой среды, по которым в основном происходит
фильтрация.
Как уже отмечалось,
формула (10) соответствует закону Дарси при линейном (плоскопараллельном)
потоке. Иногда необходимо определять проницаемость образца при радиальной
фильтрации жидкости и газа, т. е. как бы при воспроизведении условий притока их
в скважину. В этом случае образец породы имеет вид цилиндрического кольца с
отверстием в осевом направлении - «скважиной». Фильтрация жидкости или газа в
нем происходит в радиальном направлении от наружной поверхности к внутренней.
Тогда проницаемость пород по данным опыта определяют по следующим формулам.
При фильтрации
жидкости
(15)
При фильтрации газа
(16)
Здесь
и
-
вязкость жидкости и газа; Qж - расход жидкости; QГ, QГ - расходы газа при
атмосферном и среднем давлениях в образце;
и
-
наружный и внутренний радиусы кольца; рн и рв -
давления у наружной и внутренней поверхностей кольцевого образца; Н -
высота цилиндра
Прямая
зависимосьи между проницаемостью и пористостью горных пород
Прямой зависимости
между проницаемостью и пористостью горных пород не существует. Например,
трещиноватые известняки, имеющие незначительную пористость, часто обладают
большой проницаемостью и, наоборот, глины, иногда характеризующиеся высокой
пористостью, практически непроницаемы для жидкостей и газов, так как их поровое
пространство слагается каналами субкапиллярного размера. Однако на основании
среднестатистических данных можно сказать, что более проницаемые породы часто и
более пористые.
Проницаемость пористой
среды зависит преимущественно от размера поровых каналов, из которых слагается
поровое пространство. Поэтому изучению структуры, строения и размеров пор
уделяется большое внимание.
Зависимость
проницаемости от размера пор можно получить с учетом законов Дарси и Пуазейля.
Пористую среду представим в виде системы прямых трубок одинакового сечения с
длиной L, равной длине пористой
среды. По закону Пуазейля расход Q жидкости через такую пористую среду составит
(17)
где п -
число пор, приходящихся на единицу площади фильтрации; R - радиус поровых каналов (или средний радиус пор среды); F - площадь фильтрации; Δр - перепад давления; μ-динамическая вязкость жидкости; L - длина пористой среды.
Коэффициент
пористости среды
Подставляя в
формулу (17) вместо nπR2 значение пористости т, получим
(18)
По закону Дарси
расход жидкости через эту же пористую среду
(19)
Здесь k - проницаемость пористой среды.
Приравнивая правые
части формул (19) и (18), получим
откуда
(20)
Если выразить
проницаемость в мкм2, то радиус поровых каналов R (в мкм) будет равен
(21)
Величина R, определенная по формуле (21), характеризует радиус пор идеальной
пористой среды, обладающей пористостью т и проницаемостью k. В приложении к реальной пористой среде величина R имеет условный смысл и не определяет среднего размера пор, так как
не учитывает их извилистое и сложное строение.
По предложению Ф.
И. Котяхова средний радиус пор реальных пористых сред
(22)
где φ- структурный коэффициент,
характеризующий отличительные особенности строения порового пространства
реальных коллекторов. Значение φ можно оценить путем измерения электросопротивления пород. Для
керамических пористых сред при изменении пористости от 0,39 до 0,28 по
экспериментальным данным φ изменяется от 1,7 до 2,6. Структурный коэффициент для зернистых
пород можно приблизительно определить по эмпирической формуле
(23)
Другим широко применяемым
методом исследования структуры и строения высокодисперсных пористых тел является
экспериментальная пирометрия - измерение размеров и характера распределения пор
по размерам.
3.4 МЕТОДЫ ОПРЕДЕЛЕНИЯ ПРОНИЦАЕМОСТИ
Известны три группы методов в
определении проницаемости коллекторов:
1. лабораторные (по кернам);
. гидродинамические (по
результатам исследования скважин на приток);
3. через корреляционные
зависимости (опосредствованные через лабораторные данные);
. гидродинамический каротаж
(ГДК);
5. профильный метод по
полноразмерному керну.
Следует иметь в виду, что
проницаемость горных пород зависит от многих факторов - горного давления,
температуры, степени взаимодействия флюидов с породой и т.д. Например,
газопроницаемость коллектора при давлениях низких (близких к атмосферному)
существенно выше проницаемости пород даже для неполярных углеводородных
жидкостей, которые практически не взаимодействуют с породой. Иногда
проницаемость некоторых пород для газа при атмосферных условиях превышала их
проницаемость при давлении 10 МПа в два раза.
Но с увеличением температуры
среды газопроницаемость породы уменьшается: по данным Н. С. Гудок, рост
температуры с 20 до 90°С может сопровождаться уменьшением проницаемости на 20¸30
%.
Лабораторные
методы.
Влияние на проницаемость пород
давления, температуры, степени взаимодействия флюидов с породой и необходимость
измерения проницаемости пород по газу и различным жидкостям привели к
необходимости сконструировать приборы, позволяющие моделировать различные
условия фильтрации с воспроизведением пластовых давлений и температур. Для
определения абсолютной (эталонной) проницаемости при низких давлениях (до 0,5
МПа) служит установка ГК-5, входящая в комплекс лабораторного оборудования АКМ.
Рабочим флюидом в ней служит сжатый воздух (или азот).
Определение фазовых
проницаемостей по различным флюидам при разных насыщенностях в пластовых
условиях производится на установке УИПК.
Для обеих установок разработаны
технические условия ведения работ (см. лабораторный практикум).
Определение
проницаемости по результатам гидродинамических исследований скважин
основывается на законах фильтрации в первую и вторую фазы.
Решение обратных
гидродинамических задач позволило разработать технологию исследования скважин
на неустановившихся и установившихся режимах фильтрации и получить формулы,
связывающие параметры пластов, флюидов и технологические показатели работы
скважин (С.Н. Бузинов, И.Д. Умрихин, 1982г.).
Известны две группы методов:
)исследование скважин на основе
интерпретации результатов
наблюдения неустановившихся процессов (метод
кривой восстановления забойного давления в добывающих скважинах или падения
забойного давления в нагнетательных скважинах);
2)метод исследования на
установившихся режимах.
В первом случае используется
формула обработки бланка глубинного манометра, в простейшем случае формула
обработки КВД без учета притока жидкости в ствол скважины после закрытия ее на
устье:
(24)
где Q
- дебит скважины до остановки;
h
- эффективная работающая толщина пласта;
χ
- пьезопроводность пласта;
rc
- радиус скважины (с учетом ее гидродинамического несовершенства);
t
- время после остановки.
гидропроводности
(25)
и относительной
пьезопроводности
(26)
Подставив в
вязкость
и эффективную толщину пласта, можно определить проницаемость пласта. Во втором
случае (при построении индикаторной диаграммы по 3-4 режимам работы скважины)
используют формулу Дюпюи в условиях соблюдения справедливости линейного закона
фильтрации Дарси:
(27)
где Рпл - пластовое
давление на период исследования скважины;
Рзаб - забойные
давления соответствующих режимов работы скважины;
Rк
- радиус контура питания (обычно в группе интерферирующих скважин берется
половина расстояний между ними; в случае одиночно работающей скважины в
бесконечном пласте (на разведочных площадях) его величина гидродинамически
обоснована для конкретных условий);
rс
- радиус гидродинамически несовершенной скважины (с учетом несовершенства
ее по степени вскрытия и по характеру вскрытия пласта).
Методика данных исследований
излагается в специальных курсах.
Рис. 8. Зависимость
коэффициента проницаемости kпр от коэффициента пористости kп по
данным керна для пластов ПК2-ПК20 Самотлорского
месторождения
Следует иметь в виду, что
проницаемость по формуле Дюпюи характеризует узкую прискважинную зону пласта
(кольцо толщиной в несколько см). Метод КВД обладает большей «глубинностью»
исследования, что зависит от длительности записи КВД (до нескольких метров и
даже десятков метров).
Определение коэффициента
проницаемости по корреляционным связям.
Проницаемость характеризует фильтрационные
свойства коллекторов, при этом не участвуя в формуле подсчёта запасов. Однако,
она, как необходимый параметр, используется при составлении технологической
схемы разработки залежей.
Например, продуктивные нефтенасыщенные отложения пластов ПК Самотлорского
месторождения практически не охарактеризованы керном. Поэтому для расчёта kпр в этих отложениях была использована зависимость kпр(kп), полученная Г.В.
Таужнянским по керну пластов ПК нескольких месторождений Тюменской области
(Губкинское, Комсомольское, Северо-Комсомольское и Западно-Таркосалинское). Для
пластов ПК2 - ПК20 по данным керна, отобранного из этих отложений, была
построена зависимость kпр(kп). Как видно, связь имеет довольно высокий
коэффициент корреляции, что позволило использовать ее для расчета проницаемости
пластов ПК2-ПК20 (по Бересневу Н.Ф.,2001г). Полученная
зависимость по аналогии была перенесена для решения вопросов по пластам группы
ПК Самотлорского месторождения.
Гидродинамический каротаж осуществляется
с помощью каротажного оборудования. Этот вид каротажа позволяет изучить
гидродинамические параметры пласта, которые используются для решения
геологических задач.
Применяются два типа аппаратуры ГДК: АИПД 7 - 10
и ГДК - 1.
Весь процесс гидродинамических исследований
подразделяется на три последовательные стадии:
- возникновение и распространение
гидродинамического возмущения в пласте;
приток флюида из пласта;
восстановление пластового давления в зоне
исследования после прекращения активного притока.
При проведении ГДК на стенке скважины на стенке
скважины образуется небольшой участок (сток).
В процессе ГДК определяются следующие параметры
пласта:
- гидростстическое давление в скважине;
- пластовое давление;
- коэффициент проницаемости или коэффициент
подвижности пластового флюида;
коэффициент турбулентности.
Коэффициент проницаемости определяется из
выражения :
К = Vµ /AΔPΔt,
(28)
где V -отобранный объём пластовой жидкости;
Δt
- время фильтрации;
ΔP - депрессия;
µ - вязкость пластовой жидкости.
Для определения коэффициента проницаемости
необходимо знать объёмы флюида Vi
(определяется конструкцией пробоприёмника), отобранного при различных
депрессиях ΔPi,
величинах и времени Δti,
геометрический коэффициент А (определяется геометрической формой отверстия
стока) и µ - вязкость пластовой жидкости. Уравнение справедливо только
при соблюдении линейного закона фильтрации.
Измерение проницаемости по профилю
полноразмерного керна.
Результаты измерений профильной проницаемости
привлекаются для оперативной оценки коллекторских свойств горных пород и
необходимы при выборе точек отбора образцов для определения фильтрационно -
емкостных свойств коллекторов.
Профильная газопроницаемость на керне измеряется
на автоматизированном сканирующем параметре Autoscan.
Измерения осуществляется через плоскую боковую грань колонки керн, после
продольной распиловки полноразмерного керна диаметром 80, 100, и 110мм, при
фильтрации газа - азота. Измерения производятся с шагом 5 - 10см по глубине.
Шаг сканирования зависит от литологического состава пород.
Определение проницаемости производится в
условиях нестационарной фильтрации азота по скорости падения давления на входе
зонда приложенного к образцу. При этом методе измеряется проницаемость
сегмента, прилегающего к зонду. Время измерения проницаемости составляет от 3
до 120сек. Диапазон измерения проницаемости - от 0,01 до 3000мД.
4.
РАСЧЕТНАЯ ЧАСТЬ
Для реальных
коллекторов в общем случае более пористые породы являются более проницаемыми.
Зависимость
проницаемости от размера пор для фильтрации через капиллярные поры идеально
пористой среды оценивается из соотношения уравнений Пуазейля и Дарси. В этом
случае пористая среда представляется в виде системы прямых трубок одинакового
сечения длиной L, равной длине пористой среды.
Уравнение Пуазейля
описывает объёмную скорость течения жидкости через такую пористую среду:
, (1.22)
где r - радиус
порового канала; - длина порового канала;- число пор, приходящихся на единицу
площади фильтрации;- площадь фильтрации;- вязкость жидкости;Р - перепад
давлений.
Коэффициент
пористости среды, через которую проходит фильтрация:
. (1.23)
Следовательно,
уравнение (1.22) можно переписать следующим образом:
. (1.24)
Из уравнения Дарси
следует, что:
. (1.25)
Приравняв правые
части уравнений (1.24) и (1.25) получим взаимосвязь пористости и проницаемости:
. (1.26)
Из чего следует,
что размер порового канала будет равен:
. (1.27)
Если выразить проницаемость в мкм2, то радиус поровых каналов (в
мкм) будет равен:
. (1.28)
Оценка
проницаемости для фильтрации через трещиноватые поры оценивается из соотношения
уравнений Букингема и Дарси.
Потери давления при
течении жидкости через щель очень малой высоты оцениваются уравнением
Букингема:
, (1.29)
где h - высота
трещины;- линейная скорость фильтрации.
Подставив это
выражение в уравнение Дарси, получим:
. (1.30)
Соотношения (1.25)
и (1.26) справедливы только для идеальной пористой среды (например, кварцевый
песок). Для реальных условий используется эмпирическое уравнение Котяхова:
, (1.31)
где R - радиус пор;
Значение j можно оценить путём измерения электросопротивления пород. Для
керамических пористых сред при изменении пористости от 0,39 до 0,28, по экспериментальным
данным, j изменяется от 1,7 до 2,6.
Структурный коэффициент для зернистых пород можно приблизительно оценить по
эмпирической формуле:
.(1.32)
Вывод
В данной курсовой
работе изучили структуру, строение и размеры пор, зависимость между
проницаемостью и пористостью горных пород. Определили, от каких факторов
зависит проницаемость, изучили содержания в пористой среде пор различного
размера. В расчетной части рассмотрели зависимость проницаемости от размера пор
для фильтрации через капиллярные поры идеально пористой среды.
СПИСОК
ЛИТЕРАТУРЫ
1. Гиматудинов
Ш.К., Ширковский А.И. «Физика нефтяного и газового пласта»
. Котяхов Ф.И.
«Физика нефтяных и газовых коллекторов»
3. В.Н. Николаевский, К.С. Басниев,
А.Т. Горбунов, Г.А. Зотов «Механика насыщенных пористых сред»
. В.Н. Щелкачев, Б.Б Лапук
«Подземная гидравлика»
5. Чарный И.А. «Подземная
гидромеханика»