Товароведение и экспертиза продовольственных товаров

  • Вид работы:
    Контрольная работа
  • Предмет:
    Маркетинг
  • Язык:
    Русский
    ,
    Формат файла:
    MS Word
    258,03 Кб
  • Опубликовано:
    2012-04-28
Вы можете узнать стоимость помощи в написании студенческой работы.
Помощь в написании работы, которую точно примут!

Товароведение и экспертиза продовольственных товаров

Федеральное агентство по образованию

Государственное образовательное учреждение

высшего профессионального образования

"Красноярский государственный торгово-экономический институт"

Кафедра товароведения и экспертизы продовольственных товаров.

 

 

 

 

 

 

 

Контрольная работа

По дисциплине: Товароведение продовольственных товаров


Проверила: доц. Батурина И.А.

Выполнил:

Студент 3 курса

ЗФ гр. ЭКТ-09-1

Зоря Н.А.



Красноярск 2012г.

гидрогенизация потребительский сыр качество жир

1. Процесс гидрогенизации. Сущность, использование в производстве жировых товаров

. Процессы созревания сыра - сущность, влияние на потребительские достоинства сыров

. Сделайте заключение о качестве говяжьего топленого жира по следующим показателям:

цвет - белый, с желтоватым оттенком;

запах и вкус - приятный, поджаристый;

консистенция - плотная;

кислотное число - 2, 0 мг КОН

Библиографический список

1. Процесс гидрогенизации. Сущность, использование в производстве жировых товаров

Метод гидрогенизации жиров предложен Норманом и С.А.Фокиным в 1902-03; впервые в промышленности применен в 1908 в России.

Процесс гидрогенизации - эта важная отрасль жироперерабатывающей промышленности получила в наше время широкое развитие в связи с тем, что для производства маргарина и кулинарных жиров, а также некоторых других технических продуктов требуются в основном твердые жиры. Растущая потребность в последних большей частью удовлетворяется путем применения отвержденных жидких жиров, получаемых путем гидрогенизации.

В промышленности для гидрогенизации применяют хлопковое, подсолнечное, соевое и другие растительные масла, в которых содержатся в виде глицеридов олеиновая, линолевая, линоленовая и другие ненасыщенные жирные кислоты и в небольших количествах насыщенные кислоты. Из жиров морских животных больше других гидрируют китовый жир, содержащий глицериды жирных кислот с четырьмя и пятью двойными связями. Отвержденный продукт гидрогенизации называют саломасом.

Подготовка жиров к гидрогенизации сводится к проведению рафинации для освобождения их от свободных жирных кислот и различных природных примесей, отрицательно влияющих на активность катализатора и нарушающих технологический режим гидрогенизации.

В качестве катализатора для ускорения процесса насыщения в промышленности применяют никелевые и медно-никелевые соли в виде высокодисперсных порошков, увеличивающих поверхность соприкосновения жира с водородом. Процесс насыщения жира водородом происходит при температуре 190-220°С для получения пищевого саломаса. Сущность процесса отверждения жиров заключается в том, что глицериды ненасыщенных жирных кислот, входящие в состав жидких жиров, насыщаются водородом и переходят в твердые глицериды насыщенных кислот. Реакция протекает таким образом, что на каждую двойную связь присоединяется одна молекула водорода.

Характер реакции присоединения водорода в присутствии катализаторов обусловливает ее обратимость, т. е. наряду с процессом гидрогенизации может возникнуть обратный процесс - дегидрогенизация.

Реакция присоединения водорода протекает в гетерогенной среде, где реагирующие вещества находятся в трех агрегатных состояниях (жидкое - масло, твердое - катализатор и газообразное - водород). Насыщение идет в местах одновременного столкновения этих трех веществ. Реакция может идти в обратную сторону, если в местах контакта жира и катализатора не будет водорода. При таких условиях возникает дегидрогенизация.

Техническая гидрогенизация в своей основе является процессом селективным, так как скорость ее различна и зависит от числа двойных связей и их положения в глицеридах гидрируемоего жира. Происходит избирательное насыщение водородом радикалов наиболее ненасыщенных жирных кислот, содержащихся в данном жире. В первую очередь гидрируются более ненасыщенные жирные кислоты по сравнению с менее ненасыщенными. Так, линолевая кислота, содержащая две двойные связи, гидрируется в олеиновую кислоту быстрее, нежели олеиновая кислота в насыщенную стеариновую. У линоленовой кислоты двойная связь в положении 15-16 гидрируется быстрее, чем в положении 12-13, а двойная связь 9-10 гидрируется наиболее медленно. У жиров морских животных и рыб в первую очередь насыщаются водородом ненасыщенные кислоты с четырьмя и пятью двойными связями без заметного образования насыщенных кислот. Пальмитиновая и стеариновая кислоты начинают образовываться лишь после того, как йодное число жира достигнет 84-85. Глицериды жирных кислот с большей молекулярной массой и одинаковой степенью ненасыщенности гидрируются медленнее, чем глицериды с меньшей молекулярной массой.

При гидрировании природных жиров существует интересная закономерность в очередности насыщения кислот в разнокислотных глицеридах. Например, в хлопковом масле полное замещение до тристеарина происходит только после насыщения глицеридов, содержащих пальмитиновую кислоту. Это указывает на то, что стеариновая кислота по сравнению с пальмитиновой и другими более низкомолекулярными кислотами уменьшает скорость насыщения олеиновой кислоты. Замедленный процесс гидрогенизации рапсового масла объясняется наряду с некоторыми другими причинами тормозящим влиянием высокомолекулярной эруковой кислоты на гидрирование линолевой кислоты, содержащейся в этом масле в виде разнокислотных глицеридов.

Селективность (изберательность) гидрогенизации жиров зависит от природы жира и условий проведения процесса. Абсолютной селективности при этом практически не наблюдается. Селективность гидрогенизации жиров при повышении температуры возрастает, что отражается на увеличении скорости насыщения глицеридов линолевой кислоты и уменьшении у глицеридов олеиновой кислоты.

Повышение активности катализатора ускоряет реакцию гидрогенизации, но снижает ее селективность. Это прежде всего влияет на уменьшение скорости насыщения глицеридов линолевой кислоты и на возрастание скорости насыщения глицеридов олеиновой кислоты.

При большой интенсивности подачи водорода на катализатор, особенно под давлением, гидрогенизация идет со значительным отклонением от абсолютной селективности.

При гидрогенизации жиров наряду с процессом насыщения двойных связей одновременно происходит образование позиционных и геометрических изомеров ненасыщенных кислот как за счет элаидирования, так и за счет миграции двойных связей.

В основном миграция проходит со смещением двойных связей на одно место и в значительно меньшей мере на два места вправо или влево от их первоначального положения. Изомеризация жирноки-слотных радикалов в процессе гидрогенизации ведет к образованию изоолеиновых, изоэлаидиновых, сопряженных и несопряженных диеновых кислот цис-, транс-, транс-цис- и транс-трансконфигураций. Количество транскислот растет с увеличением температуры гидрогенизации, а сопряженных диеновых кислот - уменьшается. Чем выше температура гидрогенизации, тем больше образуется изоолеиновых кислот. Повышение же давления приводит к снижению накопления изоолеиновых кислот из-за подвода к поверхности катализатора большего количества водорода. По этой причине такой же эффект наблюдается и при увеличении интенсивности перемешивания компонентов реакции.

При гидрогенизации кроме основных процессов отверждения жира протекают и побочные реакции, обусловливающие некоторые производственные потери. Так, при термическом распаде жира могут образовываться свободные жирные кислоты, акролеин и кетоны. Акролеин легко реагирует с водой, образуя гидракриловый альдегид. При высокой температуре гидрирования последний, взаимодействуя с водой, дает ацетальдегид, формальдегид, муравьиную кислоту и метанол. Попадание влаги делает возможным гидролитическое расщепление жира с образованием свободных жирных кислот и глицерина. Примеси водорода, поступающего на гидрогенизацию, С02 и СО в присутствии катализатора восстанавливаются до метана и воды.

В процессе технической гидрогенизации вследствие присоединения водорода к ненасыщенным радикалам жирных кислот происходит некоторое увеличение массы жира на 0,05-0,20%. Однако общая величина потерь масла при рафинации и гидрогенизации перекрывает прирост массы от реакции присоединения водорода. В то же время при гидрогенизации жиров имеют место следующие потери: с летучими веществами, образующимися в результате термического и гидролитического расщепления жира; с водой, уходящей из жироловушек; с салфетками фильтр-прессов; при регенерации катализатора; механические.

2. Процессы созревания сыра - сущность, влияние на потребительские достоинства сыров

Сыроделие - сложный и трудоемкий производственный процесс, на всех этапах которого требуется автоматический контроль, регулирование и управление технологическими параметрами.

Сыр получаются путем свертыванием молока и последующей его длительной обработкой с технологическим удалением влаги из полученного сгустка. Технология производства сыра завершается формованием сырной массы и последующей посолкой полученных головок сыра. Свои особенные свойства сыр приобретает после длительного процесса созревания в специальных помещениях, с созданными в них условиями для накопления в сырных головках вкусовых и ароматических веществ.

Созревание сыра - это совокупность сложных микробиологических изменений составных частей сырной головки, результатом которой становится формирование органолептических свойств и повышение физиологических и товарных ценностей продукта.

По технологии сыры созревают на стеллажах. Длительность созревания колеблется от нескольких дней (мягкие сыры) до 2-6 месяцев (твердые сыры) при определенных температурно-влажностных условиях (конкретные для каждого вида продукции). А именно:

при температуре 12-16 (10-12) °С

относительной влажности воздуха 80-85%.

При созревании сыров должен быть обеспечен 3-5 кратный суточный обмен воздуха, равномерный по всему объему помещения.

Несоблюдение температурно-влажностных характеристик технологии производства могут отрицательно сказаться на вкусовых качествах сыра.

Так, например: созревание сыров при высоких температурах (выше 15 С) и повышенной относительной влажности воздуха (выше 90%) в камерах для созревания приводят к появлению излишне аммиачного вкуса и запаха.

Повышенная влажность и не просушенные стеллажи при созревании способствует заражению сырной корки гнилостными бактериями.

При повышение влажности и температуры происходит размягчение сыра, и он приобретает расплывшуюся форму.

На деятельность ферментов и процесс производства сыра оказывает влияние активность воды. Снижение влагосодержания тормозит ферментативную активность. Таким образом, в процессе созревание сыра активностью бактериальных ферментов можно управлять с помощью вентиляции и автоматизированной системы регулирования состава воздуха в сырохранилищах, изменяя влажность воздуха и температуру созревания. Для контроля и регулирования этих параметров идеально подходят датчики влажности Galltec+MELA серии RC, а также датчики серии (T)FG 80, предназначенные для применения в пищевой промышленности в высоких диапазонах влажности.

В заключительной фазе созревания сыров в большинстве случаев они подвергаются хранению. Здесь недопустимо изменение технологических параметров, так как это приводит к порче уже готовой продукции и изменению органолептических свойств. Требования, предъявляемые к условиям хранения сыров:

при температуре 0..8°С относительная влажность воздуха 80 до 85%

недопустимо хранение с пищевыми продуктами со специфическим запахом

вентилирование помещения с соблюдением постоянных свойств и состава воздуха.

При несоблюдении режима хранения в сырах могут происходить следующие процессы, влияющие на вкус, консистенцию, а следовательно на качество сыра в целом:

подпревание корки, заражение корки гнилостными и слизистыми бактериями, развитие плесени на поверхности сырной головки. Этому способствует повышенная влажность.

оседание сыров и их деформация как результат высокой влажности и высокой температуры

усушка сыров (при пониженной относительной влажности воздуха и высокой температуре)

Осыпание парафиново-полимерного слоя, покрывающего сырные головки в результате пониженной влажности и повышенной температуре.

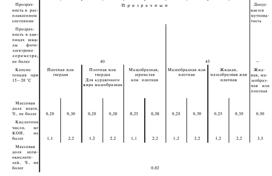
3. Сделайте заключение о качестве говяжьего топленого жира по следующим показателям:

цвет - белый, с желтоватым оттенком;

запах и вкус - приятный, поджаристый;

консистенция - плотная;

кислотное число - 2, 0 мг КОН.

Заключение: руководствуясь с ГОСТом 25292-82 - "Жиры животные топленые пищевые. Технические условия" можно сделать вывод, что говяжий топленый жир является жиром I сорта (см. таблица №1).


Библиографический список

1. Николаева М.А. Теоретические основы товароведения. Учебник для вузов.-М.: Норма, 2006..

. Лифиц, Иосиф Моисеевич Стандартизация, метрология и сертификация : учебник для вузов / Иосиф Моисеевич Лифиц. - 2-е изд., перераб. и доп. - М. : Юрайт, 2003.

. Позняковский В.М. Гигиенические основы питания, качество и безопасность пищевых продуктов : учебник для вузов / В.М.

. Товароведение и экспертиза продовольственных товаров : учебник для вузов/ред. Л. Г. Елисеева. - М.: МЦФЭР, 2006.

. http://vsegost.com/Catalog/13/13484.shtml - ГОСТ 25292-82 Жиры животные топленые пищевые. Технические условия

Похожие работы на - Товароведение и экспертиза продовольственных товаров

 

Не нашли материал для своей работы?
Поможем написать уникальную работу
Без плагиата!
Без нейросетей!