Повышение конкурентоспособности предприятия (на примере ООО 'Новый Тверской Автоцентр')
Федеральное
агентство по образованию
Государственное
образовательное учреждение высшего
профессионального
образования «Тверской государственный университет» (ГОУВПО ТвГУ)
Кафедра
Экономики и управления производством
Повышение
конкурентоспособности предприятия
(на примере
ООО “Новый Тверской Автоцентр”)
Дипломная
работа
Тверь 2011
Содержание
Введение
Глава 1.
Теоретические особенности конкурентоспособности
1.1 Сущность
конкурентоспособности
1.2 Методы
оценки конкурентоспособности
1.3 Методы
управления оценкой конкурентоспособности
Глава 2. Анализ
экономического состояния и оценка конкурентоспособности предприятия
2.1
Характеристика предприятия
2.2 Краткая
финансовая оценка
2.3 Оценка
конкурентоспособности
Глава 3.
Разработка рекомендаций по повышению конкурентоспособности предприятия
3.1 Обоснование
общих направлений повышения конкурентоспособности
3.2
Рекомендации по повышению конкурентоспособности
Заключение
Список
используемой литературы
Введение
В процессе перехода к рынку, предприятия столкнулись со многими
проблемами выживания. Полный доступ к внешней среде принес не столько новые
возможности, сколько новые проблемы эффективного функционирования предприятия
на рынке. К внедрению маркетинга предприятия приходили, и по сей день, приходят
только вследствие бедственного положения со сбытом собственной продукции. Это
характерно для большинства отечественных предприятий. Причем зачастую, вновь
созданный отдел маркетинга превращается во второй отдел сбыта. Также, часто
руководство не до конца осознает сущность маркетинга и «привязывает» зарплату
специалистов отдела маркетинга к объемам продаж. И вследствие этого у
маркетологов не хватает ни времени ни значительной мотивации для постоянного и
всестороннего анализа рынка.
Между тем, ориентируясь исключительно на сбыт, предприятие не может
полностью контролировать ситуацию. Оно «варится в собственном соку», не
сознавая опасности стать аутсайдером отрасли.
Отсюда четко прослеживается необходимость постоянного мониторинга отрасли
и комплексного исследования своего конкурентного положения в ней, что и
обуславливает актуальность выбранной темы дипломной работы.
Конкуренция выступаете основной движущей силой товарного хозяйства, а сам
товары становится орудием конкурентной борьбы, ее видимой причиной и неизбежным
следствием. Успех в этой борьбе обеспечивает товар, который принято называть
конкурентоспособным. Именно он должен стать целью работы экспортера, его
главной заботой и стимулом. Конкурентоспособный товар одновременно должен быть
объектом особого внимания государства, центральным звеном внешнеэкономической
стратегии, ее материальной основой и наглядным критерием эффективности.
В условиях рынка выживаемость предприятия зависит во многом от
конкурентоспособности выпускаемой продукции. Поэтому целью данной дипломной
работы является: исследование и оценка конкурентоспособности ООО «Новый
Тверской Автоцентр» и разработка путей ее повышения. Для реализации данной цели
необходимо решить следующие задачи:
. Рассмотреть теоретические аспекты оценки конкурентоспособности
предприятия.
. Провести анализ конкурентоспособности ООО «Новый Тверской Автоцентр».
. Разработать рекомендации по повышению конкурентоспособности ООО «Новый
Тверской Автоцентр».
Объектом исследования в дипломной работе явилось розничное торговое
предприятия - ООО «Новый Тверской Автоцентр». Предмет исследования -
конкурентное положение ООО «Новый Тверской Автоцентр» на Тверском рынке.
Теоретические исследования в данной работе будут опираться как на труды
зарубежных специалистов в области маркетинга и конкурентоспособности (Амблер
Т., Котлер Ф, Кревенс Д. и др.), так и российских авторов (Божук С.Г., Ковалик
Л.Н., Голубков Е.П., Токарев Б.Е., Кныш М.И., Зайцев Л.В. и т.д.). Так же для
написания данной работы будут использоваться статьи в периодической литературе,
таких авторов как Кудин В., Понамарев И., Шкардун В.Д., Стерхова С.Н.
Практической основой написания данной работы стали данные,
предоставленные ООО «Новый Тверской Автоцентр», а именно годовая финансовая
отчетность, статистическая информация, прайс-листы и пр.
Глава 1. Теоретические особенности конкурентоспособности
.1 Сущность конкурентоспособности
Конкуренция означает соперничество между отдельными субъектами рыночного
хозяйства за наиболее выгодные условия производства и реализации (купли и
продажи) товаров.
В рыночной экономике такое столкновение неизбежно, ибо оно порождается
следующими объективными условиями:
· наличием множества равноправных рыночных субъектов;
· полной экономической обособленностью каждого из них;
· зависимостью рыночных субъектов от конъюнктуры рынка;
· противоборством со всеми другими рыночными субъектами за
удовлетворение покупательского спроса.
Конкурентная борьба за экономическое процветание и выживание есть
экономический закон рыночного хозяйства. Это борьба среди продавцов, среди
покупателей, между продавцами и покупателями. Продавцы хотят продать свои
продукты подороже, но конкуренция вынуждает их сбывать свою продукцию дешевле,
чтобы стимулировать покупательский спрос. Иногда на рынке применяется демпинг -
продажа товаров по чрезвычайно низким (так называемым бросовым) ценам.
В конкуренции среди покупателей побеждает тот, кто покупает больше или по
более высокой цене по сравнению с рыночной, несмотря на их естественное
стремление приобрести материальные блага по меньшей цене. В борьбе между
продавцами (стремящимися продать подороже) и покупателями (стремящимися купить
подешевле) выигрывают те, кто больше сплочен и имеет возможность навязать свою
(выгодную для них) цену.
Конкуренция - двигатель экономического прогресса. Это объясняется тем,
что рыночное соперничество приводит к успеху в том случае, если предприниматель
заботится не только о сохранении, но и расширении своего производства, для чего
стремится усовершенствовать технику и организацию, повышает качество товаров,
снижает затраты на производство единицы продукции и тем самым имеет возможность
снизить цены, расширяет ассортимент товаров, улучшает торговое и послеторговое
обслуживание покупателей.
Общества, полагающиеся на конкуренцию, успешнее других достигают своих
целей и что именно конкуренция показывает, как можно эффективнее производить
вещи. Она способствует вытеснению из производства неэффективных предприятий,
рациональному использованию ресурсов, предотвращает диктат производителей по
отношению к потребителю. В этом несомненная положительная роль конкуренции в
общественном развитии и эффективность конкурентных рынков.
Но конкуренция далека от идиллии. Во все времена глубинные корни
конкурентных отношений состояли в необходимости постоянной борьбы за лучшие
условия существования. В результате этой борьбы были не только победители -
счастливые соперники, приумножавшие свои богатства, но и побежденные. С
конкуренцией связываются такие негативные стороны ее проявления, как разорение,
обнищание определенной части населения, безработица, нестабильность,
дифференциация, социальная несправедливость, инфляция, образование монополий и
т.д.
Отсутствие возможности влиять на цену является ключевым моментом в
современной трактовке понятия конкуренции. Йозеф Шумпетер утверждал, что по
крайней мере с точки зрения экономического роста конкуренция представляет собой
соперничество старого с новым: новые товары, новые технологии, новые источники
обеспечения потребностей, новые типы организации.
Конкурентоспособность организации - это относительная характеристика,
отражающая степень отличия развития данной организации от конкурентов по
степени удовлетворения своими товарами потребностей людей, а также возможности
и динамику приспособления организации к условиям рыночной конкуренции.
Факторы конкурентного преимущества организации подразделяются на внешние,
проявление которых в малой степени зависит от организации, и внутренние, почти
целиком определяемые руководством организации. Внешние факторы конкурентного
преимущества организации характеризуются следующими показателями:
· уровнем конкурентоспособности страны;
· уровнем конкурентоспособности региона;
· уровнем конкурентоспособности отрасли;
· государственной поддержкой малого и среднего бизнеса в стране
и регионах;
· правовым регулированием функционирования экономики страны и
регионов;
· открытостью общества и рынков;
· научным уровнем управления экономикой страны и другими
системами;
· национальной системой стандартизации и сертификации;
· государственной поддержкой науки и инновационной
деятельности;
· качеством информационного обеспечения управления на всех
уровнях иерархии;
· уровнем интеграции внутри страны и в рамках мирового
сообщества;
· налоговыми ставками в стране и регионах;
· процентными ставками в стране и регионах; наличием доступных
и дешевых природных ресурсов; системой подготовки и переподготовки
управленческих кадров в стране;
· климатическими условиями и географическим положением страны
или региона;
· уровнем конкуренции во всех областях деятельности в стране.
Значение каждого преимущества можно рассчитать количественно и
проанализировать в динамике. Однако интегрировать все преимущества в единый
показатель вряд ли возможно. Чем больше организация имеет конкурентных
преимуществ, тем выше ее конкурентоспособность, живучесть, эффективность и
перспективность. Для этого необходимо повышать научный уровень управления и
наращивать новые конкурентные преимущества.
Внутренние факторы конкурентного преимущества включают несколько
составляющих.
. Структурные:
· производственная структура организации;
· миссия организации;
· организационная структура организации;
· специализация и концентрация производства;
· уровень унификации и стандартизации выпускаемой продукции и
составных частей производства;
· учет и регулирование производственных процессов;
· персонал;
· информационная и нормативно-методическая база управления;
· сила конкуренции на входе и выходе системы.
Ресурсные:
· поставщики;
· доступ к качественному дешевому сырью и другим ресурсам;
· учет и анализ использования всех видов ресурсов по всем
стадиям жизненного цикла крупных объектов организации;
· оптимизация эффективности использования ресурсов.
Технические:
· патентованный товар;
· патентованная технология;
· оборудование;
· качество изготовления товаров.
Управленческие:
· менеджеры;
· анализ выполнения законов организации;
· организация поставки сырья, материалов и комплектующих по
принципу «точно в срок»;
· формирование системы менеджмента;
· функционирование системы управления качеством в организации;
· проведение внешней и внутренней сертификации продукции и
систем.
. Рыночные:
· доступ к рынку ресурсов, необходимых организации;
· доступ к рынку новых технологий; S значительная доля рынка;
· эксклюзивность товара организации;
· эксклюзивность каналов распределения;
· эксклюзивность рекламы товаров организации;
· эффективная система сбыта и послепродажного обслуживания;
· прогнозирование политики ценообразования и рыночной
инфраструктуры.
. Эффективность функционирования организации:
· показатели доходности (по показателям рентабельности продукции,
производства, капитала, продаж);
· интенсивность использования капитала (по коэффициентам
оборачиваемости видов ресурсов или капитала);
· финансовая устойчивость.
Конкурентоспособность организации определяется шестью факторами:
) качеством продукции и услуг;
) наличием эффективной стратегии маркетинга;
) уровнем менеджмента и квалификации персонала;
) технологическим уровнем производства;
) налоговой средой, в которой действует организация;
) доступностью источников финансирования.
Конкурентоспособность организации зависит от ряда факторов, таких как
емкость рынка (количество ежегодных продаж), легкий доступ на рынок, вид
производимого товара, однородность рынка, конкурентные позиции организаций, уже
работающих на этом рынке, возможность использования технических новшеств.
Оценка конкурентной позиции организации на отраслевом рынке позволяет:
· разработать меры по повышению конкурентоспособности;
· выбрать партнеров для организации совместного выпуска
продукции;
· привлечь инвестиции в перспективное производство;
· составить программы выхода организации на новые рынки сбыта.
Выявление условий конкурентной борьбы на рынке выступает необходимой
процедурой для каждого конкретного предприятия. Поскольку состояние
конкурентной среды, с одной стороны, определяется процессами развития в
социальной, технологической, политической сферах, а с другой - действиями
субъектов рынка, применяющих в своей деятельности достижения современной науки
и опыт предпринимательской и управленческой деятельности, то знание
конкурентной среды становится тем источником, использование которого дает
конкретной фирме возможность спрогнозировать и реализовать собственную
конкурентную позицию. Конкурентная позиция в таком случае становится одним из
обобщающих оснований действий всех отделов и подразделений фирмы.
Рыночный механизм - это сложная система связи и взаимодействия основных
элементов рынка: предложения, спроса и цены. Особенности рыночного механизма
состоят в том, что элементы рынка через цену связаны между собой определенной
зависимостью: с повышением цены спрос может сократиться, а с повышением
предложения - цены могут упасть.
Если в конкурентном позиционировании среди покупателей побеждает тот, кто
предлагает более высокую, чем рыночная, цену, то в конкурентном
позиционировании среди продавцов усиление конкуренции определяет превышение
предложения товаров над спросом покупателей. В целом конкурентное
позиционирование и конкурентное противостояние выступают в качестве
конкурентной силы.
При рассмотрении вопросов, касающихся конкурентных сил, выделяют
следующие моменты:
ü конкуренция возникает прежде всего между соперничающими в
настоящий момент сторонами;
ü покупатели могут как помочь, так и помешать фирме повысить
конкурентоспособность, кроме того, они могут создать ситуацию появления новых
конкурентов;
ü покупатели и поставщики сами конкурируют между собой.
Эти положения подробно изложены в трудах М. Портера, который выделил 5
факторов, определяющих конкуренцию:
ü наличие текущих конкурентов;
ü опасность появления новых конкурентов;
ü опасность появления заменителей товара;
ü способность потребителя идти на сделки;
ü способность поставщика идти на сделки.
Конкурентные силы, в конечном счете, приводят к установлению равновесных
цен. Ни одна фирма не может себе позволить игнорировать фактические и возможные
реакции своих конкурентов.
Одним из значимых показателей оценки динамики конкуренции является
изменение доли рынка во времени. С его помощью определяется, опережает ли фирма
в своем конкурентном поведении темпы роста рынка и соответствует ли им или
отстает.
Чтобы понять механизм управления предприятием в конкурентной среде,
следует учитывать, что показатели оценки конкурентоспособности, помимо рыночной
доли (доли пространства, занимаемого торговой маркой в средствах массовой
информации, процента потребителей, которые называют определенную марку товара
своей, доли расходов компании на НИОКР и др.), обогащают представления об
оценке конкурентной среды и расстановке сил в рыночном пространстве.
Различают понятия «конкурентная среда», «конкурентное преимущество»,
«конкурентное позиционирование», «конкурентная стратегия».
Конкурентная среда - это деятельностная область рынка при наличии в ней
конкурентов, в которой совершается маркетологическое событие.
Конкурентные преимущества - это положительно значимые в качественном
отношении линии поведения фирмы, которые по различным параметрам обеспечивают
ее превосходство над конкурентами.
Компания имеет конкурентное преимущество, если уровень ее работы с
покупателями выше, чем у конкурентов, и она в состоянии противодействовать
влиянию конкурентных сил. Существует множество способов достижения
конкурентного преимущества: закупка высококачественной продукции, отличное
обслуживание покупателей, включая предложение дополнительного сервиса, более
низкие, чем у конкурентов, цены, удобное географическое расположение фирмы в
регионе, собственные технологии, разработка и внедрение нового продукта в
короткие сроки, продвижение известных торговых марок фирм с высокой репутацией.
При этом, чтобы преуспеть в создании конкурентного преимущества, компания
должна предлагать покупателям то, что они считают наиболее приемлемым для себя
- хороший товар по низкой цене или товар улучшенного качества, но чуть-чуть
дороже.
Рассмотрим виды и методы конкуренции при функционировании компании на
рынке (рис. 1).
Рис. 1. Основные виды и методы конкуренции
Конкурентное позиционирование - это выбор позиции на рынке, исходя из
оценки конкурентной среды, собственных и чужих преимуществ и недостатков, и ее
корректирование в зависимости от влияния факторов окружающей среды.
При всем многообразии методов конкуренции различают два основных вида:
ценовую и неценовую конкуренцию.
Ценовая конкуренция - это те ценовые тенденции, которые с течением
времени при конкурентном поведении фирмы могут обеспечить перепозиционирование
товарного ассортимента и формирование конкурентных преимуществ. Они также могут
служить отражением проблем, возникающих в управлении издержками, при понимании
того, что конкурент устанавливает цены по схеме «издержки + конкурентный
паритет». Это позволяет реагировать на конкурентное поведение рынка и
регулировать конкурентные стратегии.
Метод ценовой конкуренции основан на использовании правил, когда
установление размера цены не ограничивается только его покупной ценой.
Маркетолог - управленец должен производить оценку размера цены с обязательной
коррекцией оценки стоимости жизненного цикла товара конкурента. Другими
словами, цена, предлагаемая конкурентом, может быть очень выгодной, однако в
силу высокой стоимости обслуживания товара и текущих издержек она может
оказаться слишком высокой относительно фазы жизненного цикла товара по
сравнению с ценой товара нашей компании или наоборот. Обычно в управлении
конкурентоспособностью такой анализ может быть положен в основу конкурентного
преимущества продавца, производящего качественные и очень надежные товары.
Неценовые методы конкуренции включают очень широкий спектр приемов
конкурентного поведения. К ним относятся:
ü инновации и автоматизация производственных процессов;
ü использование перспективных каналов распределения товаров;
ü принципы стимулирования продаж, реклама и др.
Особое место в арсенале методов оценки конкурентного поведения занимает
диагностика финансового положения компаний на рынке. Этот показатель может
давать прогноз относительно агрессивности или пассивности того или иного
конкурента.
Проблемы, связанные с оборотами наличности, могут повысить вероятность
того, что конкурент начнет сбывать свой товарный запас по более низким ценам
или заключать торговые сделки, посредством которых этот запас снизится,
растекаясь по каналам распределения. Для управленца-маркетолога это может также
означать, что конкурент будет не в состоянии противостоять агрессивной атаке на
свою долю рынка.
Потенциальный доступ конкурента к долгосрочному капиталу может идти
прежде всего через инвестиции и расчет плана кредитной политики или через
выпуск дополнительных акций, который определяется коэффициентом доходности
акции и ее ценой.
Окружающее фирму экономическое пространство развивается согласно своим
собственным закономерностям. Для современной фирмы познание этих
закономерностей является гарантией ее существования и развития. Закономерности,
как правило, скрываются за массой внешних проявлений, т.е. за массой явлений,
которые выступают следствием конкретных причин развития рыночных процессов.
Данное положение верно и для закономерностей развития конкурентной среды, очень
емкого и динамичного пространства. Для фирмы изучение этого пространства
приводит к значительным затратам на количественные исследования, но ведущую
роль играет качественный аспект исследований, поскольку только знание
причинно-следственных взаимосвязей, т.е. выявление причин поступков субъектов
рынка, дает фирме конкретное конкурентное преимущество и позволяет построить
адекватную конкурентную стратегию.
Анализ этой информации позволяет управленцу-маркетологу сделать прогноз
относительно того, будет конкурент вкладывать капитал в расширяющийся рынок или
в новую производственную технологию.
Таким образом, конкурентная среда определяется процессами развития в
социальной, технологической, политической сферах, а так же действиями субъектов
рынка. Одним из значимых показателей конкурентоспособности фирмы является
изменение доли рынка во времени. Компания имеет конкурентное преимущество, если
уровень ее работы с покупателями выше, чем у конкурентов, и она в состоянии
противодействовать влиянию конкурентных сил. При всем многообразии методов
конкуренции различают два основных вида: ценовую и неценовую конкуренцию.
1.2 Методы оценки конкурентоспособности
Оценка конкурентного положения фирмы предполагает совокупность действий,
рационально раскрывающих содержание деятельности фирмы в рыночном пространстве.
Она позволяет выявить ключевые моменты несовпадения линий поведения фирмы и
поведения рынка. При этом определяется не только условие, характеризующее
воздействие рыночной среды на деятельность организации, но и условия,
отражающие степень влияния деятельности организации на рынок. Отметим, что
показатели качества руководства и регулирования жизнедеятельности фирмы
коррелируют с показателями эффективности мероприятий, проводимых ею на рынке.
При анализе конкурентоспособности фирмы, выделяют четыре последовательных
этапа.
. Выбор целевого рынка. Этот этап является результирующей частью процесса
маркетингового исследования внешней среды. Осуществляя его. фирма из множества
доступных выделяет рынок, на который в дальнейшем будет ориентирована ее
деятельность, т.е. фирма устанавливает границы своих интересов, а также
принимает решение о выборе сегмента потребителей.
. Выявление потенциальных конкурентов. Потенциальными конкурентами
(соперниками) объявляют тех, кто обслуживает рынок, выбранный фирмой в качестве
своей цели, и кто непосредственно может влиять на количество потенциальных
потребителей (покупателей, клиентов), реально уменьшая его.
. Анализ конкурентных возможностей рынка. Исходя из общего потенциала
рынка определяются характер, жесткость и динамика рыночной конкуренции.
. Анализ выгод от конкурентной борьбы. В перспективе каждый руководитель
должен иметь четкое представление о выгоде, которую он получит, осуществляя
деятельность на рынке в условиях делового соперничества. Это подразумевает
оценку ее конкурентного положения с точки зрения получения доходов, а также
оценку приобретаемого опыта и навыка - элементов, лежащих в основе эффективной
деятельности любого хозяйствующего субъекта.
Рассмотрим подробнее названные выше этапы оценки конкурентного положения
фирмы на рынке.
Определение позиции фирмы в отношении целевого рынка, на который в
дальнейшем будет ориентирована деятельность фирмы, рассматривается как
стратегически важный момент в управлении конкурентоспособностью. Рисунок 2 дает
представление о стратегии выбора целевого рынка, акцентирует внимание на
факторе регулирования рынка. Принятие управленческого решения об изменении
сегмента целевого рынка должно базироваться на результатах изучения собственно
рынка и их углубленном анализе.
Рис. 2. Стратегия выбора целевого рынка на основе сегментарного анализа
Эта работа включает реальный анализ рисков, связанных с выходом на
конкретный рынок; оценку рыночного и потенциального спроса; ранжирование рынка
по степени привлекательности и оценку уровня конкурентоспособности (рис. 3) и
обеспечивает первый пласт информации, необходимой для оценки реального
положения фирмы.
Рис. 3. Соотнесение реального положения фирмы с положением конкурентов
Конкурентная среда заставляет обратить внимание на углубленный анализ
рынка как особую позицию этого анализа, когда в алгоритм изучения включаются:
анализ стратегии конкурентов, поведения потребителей, рассмотрение возможностей
и опасностей, анализ каналов распределения товаров и определение основных
опасностей и возможностей по каждому рынку для того, чтобы сформировать
представление о наиболее привлекательных рынках для компании. Этот выбор может
осуществляться на уровнях:
) конкурирующих фирм, производящих одну группу товаров;
) конкурирующих групп товаров внутри одного класса товарной продукции;
) конкурирующих классов товарной продукции на фоне общего товарного
рынка. Целевой рынок - это рынок (или его часть), в обслуживании которого
заинтересована данная компания. Он определяется желанием удовлетворить
потребности покупателей вообще (например, удовлетворить потребность в отдыхе),
учесть специфические требования клиента (например, производя велосипеды для туристических
походов) или требования отдельных сегментов рынка (например, удовлетворение
группы потребителей, являющихся умеренными новаторами, в возрасте от 21 до 40
лет) и т.д.
Изучение конкурентов и условий конкуренции в отрасли требуется фирме в
первую очередь для того, чтобы определить в чём её преимущества и недостатки
перед конкурентами и сделать выводы для выработки фирмой собственной успешной
конкурентной стратегии и поддержания конкурентного преимущества.
Определение собственной конкурентоспособности предприятия является
неотъемлемым элементом маркетинговой деятельности любого ХС.
Оценка конкурентной позиции фирмы требуется для:
· разработки мероприятий по повышению конкурентоспособности;
· выбора предприятием партнера для организации совместного выпуска
продукции;
· привлечения средств инвестора в перспективное производство;
· составление программы выхода предприятия на новые рынки сбыта
и др.
В любом случае проведение оценки преследует цель: определить положение
предприятия на отраслевом рынке.
Достижение этой цели возможно лишь при наличии оперативной и объективной
методики оценки конкурентоспособности.
Наиболее известные методики оценки конкурентоспособности:
) Матричный метод (разработан «Бостонской консалтинговой группой»).
В основе методики - анализ конкурентоспособности с учетом жизненного
цикла товара/услуги. Сущность оценки состоит в анализе матрицы, построенной по
принципу системы координат: по горизонтали-темпы роста/сокращения количества
продаж в линейном масштабе; по вертикали-относительная доля товара/услуги на
рынке. Наиболее конкурентоспособными считаются предприятия, которые занимают
значительную долю на быстрорастущем рынке.
Преимущества метода: при наличии достоверной информации об объёмах
реализации метод позволяет обеспечить высокую репрезентативность оценки.
Недостатки метода: исключает проведение анализа причин происходящего и
осложняет выработку управленческих решений.
) Метод, использующий в качестве основного подхода оценку товара/услуги
предприятия.
Этот метод базируется на рассуждении о том, что конкурентоспособность
предприятия тем выше, чем выше конкурентоспособность его продукции. В качестве
показателя, оценивающего конкурентоспособность товара/услуги используют
соотношение двух характеристик: цены и качества. Наиболее конкурентоспособен
товар, имеющий оптимальное соотношение этих характеристик:
КТ=К/Ц
где: К- показатель качества товара;
Ц- показатель цены товара;
Кт - показатель конкурентоспособности товара.
Чем выше разница между потребительской ценностью товара для покупателя и
ценой. которую он за него платит, тем выше запас конкурентоспособности товара
доля потребителя.
Преимущество метода: он учитывает наиболее важный критерий, влияющий на
конкурентоспособность предприятия - конкурентоспособность товара.
Недостатки метода: позволяет получить весьма ограниченное представление о
преимуществах и недостатках в работе предприятия, так как конкурентоспособность
предприятия принимает вид конкурентоспособности товара и не затрагивает другие
аспекты.
) Метод, основанный на теории эффективной конкуренции.
Согласно этой теории наиболее конкурентоспособными являются те
предприятия, где наилучшим образом организована работа всех подразделений и
служб. На эффективность деятельности каждой из служб оказывает влияние
множество факторов - ресурсов фирмы. Оценка эффективности работы каждого из
подразделений предполагает оценку эффективности использования им этих ресурсов.
В основе метода лежит оценка четырёх групповых показателей или критериев
конкурентоспособности.
Таблица 1
Критерии и показатели конкурентоспособности предприятия
|
Критерии и показатели конкурентоспособности
|
Роль показателя в оценке
|
Правило расчета показателя
|
|
1
|
2
|
3
|
|
1. Эффективность деятельности предприятия. 1.1.Издержки на
единицу продукции, руб. 1.2.Фондоотдача, тыс. руб. 1.3.Рентабельность
товара, %. 1.4.Производительность труда, тыс. руб./ чел.
|
Отражает эффективность затрат при выпуске продукции.
Характеризует эффективность использования основных производственных фондов.
Характеризует степень прибыльности производства товара. Отражает
эффективность организации производства и использования рабочей силы.
|
Себестоимость / объём реализации продукции. Объём
реализации продукции / среднегодовая стоимость основных производственных
фондов. Прибыль от продаж / Полная себестоимость продукции. х 100 %; Объём
реализации продукции / Среднесписочная численность работников.
|
|
2.Финансовое положение предприятия. 2.1.Коэффициент
автономии. 2.2.Коэффициент платёжеспособности. 2.3.Коэффициент
абсолютной ликвидности. 2.4.Коэффициент оборачиваемости оборотных средств
|
Характеризует независимость предприятия от заемных
источников. Отражает способность предприятия выполнять свои финансовые
обязательства и измеряет вероятность банкротства. Отражает качественный
состав средств, являющихся источниками покрытия текущих обязательств.
Характеризует эффективность использования оборотных средств. Соответствует
времени, в течение которого оборотные средства проходят все стадии
производства и обращения.
|
Собственные средства предприятия / Общая сумма источников
финансирования. Собственный капитал / Общие обязательства. Денежные
средства и быстрореализуемые ценные бумаги / Краткосрочные обязательства.
Выручка от реализации продукции / Среднегодовой остаток оборотных средств.
|
|
3. Эффективность организации сбыта и продвижения товара.
3.1.Рентабельность продаж, %. 3.2.Коэффициент затоваренности готовой
продукцией. 3.3.Коэффициент загрузки производственной мощности.
3.4.Коэффициент эффективности рекламы и средств стимулирования сбыта.
|
Характеризует степень прибыльности работы предприятия
на рынке, правильность установления цены товара. Отражает степень
затоваренности готовой продукцией. Рост показателя свидетельствует о снижении
спроса. Характеризует деловую активность предприятия, эффективность работы
службы быта Характеризует экономическую эффективность рекламы и средств
стимулирования сбыта.
|
Прибыль от реализации / Объём продаж. х 100 %; Объём
нереализованной продукции / Объём продаж. Объём реализации продукции /
Производственная мощность. Затраты на рекламу и стимулирование сбыта /
Прирост прибыли от реализации.
|
В первую группу входят показатели, характеризующие эффективность
управления производственным процессом: экономичность производственных затрат,
рациональность эксплуатации основных фондов, совершенство технологии
изготовления товара, организацию труда на производстве.
Во вторую группу объединены показатели, отражающие эффективность
управления оборотными средствами: независимость предприятия от внешних
источников финансирования, способность предприятия расплачиваться по своим
долгам, возможность стабильного развития предприятия в будущем.
В третью группу включены показатели, позволяющие получить представление
об эффективности управления сбытом и продвижением товара на рынке средствами
рекламы и стимулирования.
В связи с тем, что каждый из этих показателей имеет разную степень
важности для расчета коэффициента конкурентоспособности предприятия (ККП),
экспертным путём были разработаны коэффициенты весомости критериев.
Расчет критериев и коэффициента конкурентоспособности предприятия
производится по формуле средней взвешенной арифметической:
ККП=0,15 ЭП + 0,29 ФП + 0,23 ЭС + 0,33 КТ
где: ККП - коэффициент конкурентоспособности предприятия;
ЭП - значение критерия эффективности производственной деятельности
предприятия;
ФП - значение критерия финансового положения предприятия;
ЭС - значение критерия эффективности организации сбыта и продвижения
товара на рынке;
КТ - значение критерия конкурентоспособности товара;
,15; 0,29; 0,23; 0,33 - коэффициенты весомости критериев.
ЭП = 0,31И + 0,19Ф + 0,40РТ + 0,10П
где: ЭП - критерий эффективности производственной деятельности
предприятия;
И - относительный показатель издержек производства на единицу продукции;
Ф - относительный показатель фондоотдачи;
РТ - относительный показатель рентабельности товара;
П - относительный показатель производительности труда;
,31; 0,19; 0,40; 0,10 - коэффициенты весомости показателей.
ФП = 0,29 КА + 0,20 КП 0,36 КЛ + 0,15 КО
где: ФП - критерий финансового положения предприятия ;
КА - относительный показатель автономии предприятия;
КП - относительный показатель платежеспособности предприятия;
КЛ - относительный показатель ликвидности предприятия;
КО - относительный показатель оборачиваемости оборотных средств;
,29; 0,20; 0,36; 0,15 - коэффициенты весомости показателей.
ЭС = 0,37РП + 0,29КЗ + 0,21КМ + 0,14КР
где: ЭС - критерий эффективности организации сбыта и продвижения товара;
РП - относительный показатель рентабельности продаж;
КЗ - относительный показатель затоваренности готовой продукцией;
КМ - относительный показатель загрузки производственных мощностей;
КР - относительный показатель эффективности рекламы и средств
стимулирования сбыта;
,37; 0,29; 0,21; 0,14 - коэффициенты весомости показателей.
Расчёт критерия конкурентоспособности товара проводится по формуле,
представленной в первом методе.
В общем виде алгоритм расчета коэффициента конкурентоспособности
предприятия предусматривает три последовательных этапа:
Этап 1-й. Расчет единичных показателей конкурентоспособности предприятия
и перевод показателей в относительные величины (баллы).
Для перевода показателей в относительные величины производится их
сравнение с базовыми показателями. В качестве базовых показателей (базы для
сравнения) могут выступать:
· среднеотраслевые показатели;
· показатели любого конкурирующего предприятия или
предприятия-лидера на рынке;
· показатели оцениваемого предприятия за прошлые отрезки
времени.
В целях перевода показателей в относительные величины используется 15-ти
балловая шкала. При этом 5-ю баллами оценивается показатель, имеющий значение
хуже, чем базовый; 10-ю баллами - на уровне базового; 15-ю баллами - лучше, чем
базовый.
Расчёт критериев конкурентоспособности предприятия по представленным выше
формулам.
Расчет коэффициента конкурентоспособности предприятия (ККП).
Данная оценка конкурентоспособности предприятия охватывает все наиболее
важные оценки хозяйственной деятельности предприятия, исключает дублирование
отдельных показателей, позволяет быстро и объективно получить картину положения
предприятия на отраслевом рынке. Использование в ходе оценки сравнения
показателей за разные промежутки времени дает возможность применять этот метод
как вариант оперативного контроля отдельных служб.
Оценка конкурентоспособности может производится путем сопоставления
параметров анализируемой продукции с параметрами базы сравнения. Сравнение
проводится по группам технических и экономических параметров.
При оценке используются дифференциальный и комплексный методы оценки.
Дифференциальный метод оценки конкурентоспособности, основанный на
использовании единичных параметров анализируемой продукции и базы сравнения и
их сопоставлении.
Результат оценки:
· достигнут ли уровень в целом;
· по каким параметрам он не достигнут;
· какие из параметров наиболее сильно отличаются от базовых.
Если за базу оценки принимается потребность, расчет единичного показателя
конкурентоспособности производится по формуле:
(i = 1,
2, 3,...,n), (1)
где
qi - единичный параметрический показатель конкурентоспособности по
i-му параметру;i - величина i-го параметра для анализируемой
продукции;iо - величина i-го параметра, при котором потребность
удовлетворяется полностью;- количество параметров.
Анализ
результатов оценки:
· при оценке по нормативным параметрам единичный показатель может принимать
только два значения - 1 или 0. Если анализируемая продукция соответствует
обязательным нормам и стандартам, показатель равен 1, если параметр продукции в
нормы и стандарты не укладывается, то показатель равен 0;
· при оценке по техническим и экономическим параметрам
единичный показатель может быть больше или равен единице, если базовые значения
параметров установлены нормативно-технической документацией, специальными
условиями, заказами, договорами;
· если анализируемая продукция имеет параметр, значение
которого превышает потребности покупателя, обусловленные характером
использования (эксплуатации) этой продукции, социальными условиями, традициями,
физиологическими особенностями, то указанное повышение не будет оцениваться
потребителем как преимущество и единичный показатель по данному параметру не
может иметь значения больше 100% и при расчетах должна использоваться
минимальная из двух величин - 100% или фактически значение этого показателя.
Если за базу оценки принимается образец, расчет единичного показателя
конкурентоспособности проводится по формуле:
(i = 1,
2, 3,...,n), (2)
, (3)
где
qi`, qi - единичный показатель конкурентоспособности по
i-му техническому параметру;i - величина i-го параметра для
анализируемой продукции;i 0 - величина i-го параметра для изделия,
принятого за образец.
Анализ
результатов оценки:
· из формул (2) и (3) выбирают ту, в которой росту единичного показателя
соответствуют повышение конкурентоспособности (например, для оценки
производительности - формула (2), а для удельного расхода топлива - формула
(3);
· если технические параметры продукции не имеют физической меры
(например: комфортность, внешний вид, соответствие моде), для придания этим
параметрам количественных характеристик необходимо использовать экспертные
методы оценки в баллах.
Дифференциальный метод позволяет лишь констатировать факт
конкурентоспособности анализируемой продукции или наличия у нее недостатков по
сравнению с товаром - аналогом. Он может использоваться на всех этапах
жизненного цикла продукции, особенно при ее сравнении с гипотетическим
образцом. Он не учитывает влияние на предпочтение потребителя при выборе товара
весомости каждого параметра.
Комплексный метод оценки конкурентоспособности. Основывается на
применении комплексных (групповых, обобщенных и интегральных) показателей или
сопоставлении удельных полезных эффектов анализируемой продукции и образца.
.1.2.1 Расчет группового показателя по нормативным параметрам
производится по формуле:
, (4)
где
Iнп - групповой показатель конкурентоспособности по нормативным
параметрам;нi - единичный показатель конкурентоспособности по i-му
нормативному параметру, рассчитывается по формуле (1);- число нормативных
параметров, подлежащих оценке.
Анализ
результатов:
если
хотя бы один из единичных показателей равен 0 (то есть продукция по какому-либо
параметру не соответствует обязательной норме), то групповой показатель также
равен 0, что говорит о неконкурентоспособности данного товара на
рассматриваемом рынке.
Расчет
группового показателя по техническим параметрам (кроме нормативных)
производится по формуле:
, (5)
где
Iтп - групповой показатель конкурентоспособности по техническим
параметрам;i - единичный показатель конкурентоспособности по i-му
техническому параметру, рассчитывается по формулам (1), (2), (3);i -
весомость i-го параметра в общем наборе из n технических параметров,
характеризующих потребность;- число параметров, участвующих в оценке.
Анализ
результатов:
а)
полученный групповой показатель Iтп характеризует степень
соответствия данного товара существующей потребности по всему набору
технических параметров, чем он выше, тем в целом полнее удовлетворяются запросы
потребителей;
б)
основой для определения весомости каждого технического параметра в общем наборе
являются экспертные оценки, основанные на результатах рыночных исследований,
спросов потребителей, семинаров, выставок образцов;
в)
в случае трудностей, возникающих при проведении рыночных исследований, а также
в целях упрощения расчетов и проведения ориентировочных оценок из технических
параметров может быть выбрана наиболее весомая группа или применен комплексный
параметр - полезный эффект, который в дальнейшем участвует в сравнении (для
повышения точности оценки необходимо учесть влияние на его величину
эргономических, эстетических и экологических параметров).
Расчет
группового показателя по экономическим параметрам производится на основе
определения полных затрат потребителя на приобретение и потребление
(эксплуатацию) продукции.
Полные
затраты потребителя определяются по формуле:
, (6)
где
З - полные затраты потребителя на приобретение и потребление (эксплуатацию)
продукции;
Зс
- единовременные затраты на приобретение продукции;
Сi
- средние суммарные затраты на эксплуатацию продукции, относящиеся к i-му
году ее службы;
Т
- срок службы;
i - год по
порядку.
При
этом,
, (7)
где
Сj - эксплуатационные затраты по j-ой
статье;
n - количество
статей эксплуатационных затрат.
В
том случае, если продукция может быть продана после эксплуатации, полные
затраты должны быть уменьшены на величину выручки за нее (соответственно
показатель для данной статьи вводится в формулу со знаком минус).
Расчет
группового показателя по экономическим параметрам производится по формуле:
, (8)
где
Iэп -
групповой показатель по экономическим параметрам;
З,
Зо - полные затраты потребителя соответственно по оцениваемой
продукции и образцу.
Формулы
(2.6) и (2.8) не учитывают коэффициента приведения эксплуатационных затрат к
расчетному году, так как отношения полных затрат в определенной степени
компенсирует влияние коэффициента приведения на величину Iэп.
В
случае необходимости учета коэффициента приведения эксплуатационных затрат
формулы (2.6) и (2.8) принимают вид:
(9)
Соответственно
подсчет группового показателя по экономическим параметрам проводится по
формуле:
, (10)
где
Iэп -
групповой показатель по экономическим параметрам;
З,
З0 - единовременные затраты на приобретение соответственно
анализируемой продукции и образца;
Сi,
С0i - суммарные затраты на эксплуатацию или потребление
соответственно анализируемой продукции и образца в i-ом году;
Т
- срок службы товара;
ai - коэффициент приведения эксплуатационных затрат к
расчетному году.
Величина
срока службы для изделий промышленного назначения принимается равной
амортизационному периоду. Для продукции потребительского назначения оценка
срока службы должна проводится на основе сведений о фактических сроках службы
аналогических изделий, а также скорости морального старения товаров данного
класса.
Расчет
интегрального показателя конкурентоспособности производится по формуле:
(11)
где
К - интегральный показатель конкурентоспособности анализируемой продукции по
отношению к изделию-образцу;
Анализ
результатов. По смыслу показатель К отражает различие между сравниваемой
продукцией в потребительском эффекте, приходящемся на единицу затрат покупателя
по приобретению и потреблению изделия.
Если
К<1, то рассматриваемый товар уступает образцу по конкурентоспособности, а
если К>1, то превосходит, при равной конкурентоспособности К=1.
Если
анализ проводится по нескольким образцам, интегральный показатель
конкурентоспособности продукции по выбранной группе аналогов может быть
рассчитан как сумма средневзвешенных показателей по каждому отдельному образцу:
(12)
где
Кср - интегральный показатель конкурентоспособности продукции
относительно группы образцов;
Кi
- показатель конкурентоспособности относительно i-го образца;
Ri -
весомость i-го образца в группе аналогов;
N - количество
аналогов.
При смешанном методе оценки конкурентоспособности используется часть
параметров рассчитанных дифференциальным методом и часть параметров рассчитанных
комплексным методом.
Таким образом, анализ конкурентоспособности фирмы базируется прежде всего
на оценке целевого рынка и классом решений об изменении сегмента целевого
рынка. Углубленный анализ рынка позволяет выделить наиболее привлекательные его
доли, произвести взвешивание опасностей и возможностей по каждой из них,
принять решение об изменении сегмента целевого рынка. Приняв подобное решение,
руководитель на следующем этапе проводит его уточнение, используя оценку
конкурентов, т.е. выявляя наиболее сильных и значимых противников,
осуществляющих деятельность в пределах границ интересов фирмы.
1.3 Методы управления оценкой конкурентоспособности
Конкурентоспособность интегрирует (синтезирует) все аспекты, стороны,
факторы функционирования и развития объекта управления. В соответствии с
определением системы управления как системы, состоящей из внешнего окружения
(первично взгляд вовнутрь) и внутренней структуры (вторично, взгляд изнутри),
факторы конкурентоспособности следует подразделять на всеобщие внешние и
специфические внутренние.
В соответствии с сущностью системного подхода, система управления
организацией (или система менеджмента) состоит из внешнего окружения (за
«черным ящиком») и внутренней структуры (внутри «черного ящика»). Внутренняя
структура состоит из пяти подсистем:
) научное обоснование системы;
) целевая подсистема;
) обеспечивающая подсистема;
) управляемая подсистема;
) управляющая подсистема.
По структуре все системы друг от друга не отличаются, а содержание у
каждой системы свое. Структура системы управления организацией, ориентированной
на конкурентоспособность представлена на рисунке 4.
Рис.4. Структура системы управления организацией, ориентированной на
конкурентоспособность
К внешнему окружению организации относятся «вход», «выход», связи с
внешней средой и обратная связь.
Внутренняя структура системы состоит из пяти подсистем, нумерация которых
установлена исходя из очередности их анализа (применения, формулирования).
Например, качество применяемых решений по любому вопросу определяется
количеством и глубиной анализа механизмов действия экономических законов и
законов организации, соблюдения научных подходов и принципов, применения
современных методов и моделей. При решении любого вопроса по любой подсистеме
приходится нередко обосновывать процесс принятия решений. Поэтому первая
подсистема «Научное обоснование системы» расположена в центре «черного ящика»,
является первичной и связана со всеми подсистемами.
К «входу» системы относится всё, что получает организация для разработки
и реализации стратегии повышения конкурентоспособности: методические документы,
финансовые, трудовые, материальные, информационные и другие виды ресурсов.
Задача органов управления сводится к обеспечению конкурентоспособного «входа»
системы путем проведения маркетинговых исследований и отбора наиболее
конкурентоспособных поставщиков. Если «вход» будет неконкурентоспособным, то
при любом уровне процесса по переработке «входа» в «выход» параметры «выхода»
системы тоже будут неконкурентоспособными. Допустим, организация обладает
высококвалифицированными кадрами, прогрессивной технологией, новейшим
оборудованием, отлаженной системой управления. Однако, отдельные виды
комплектующих изделий, получаемых организацией по кооперации, из-за низкой
квалификации маркетологов по показателям качества (прежде всего, безотказности)
неконкурентоспособны, не отвечают требованиям потребителей. Другими словами,
если «вход» системы оценивается на удовлетворительно, а процесс - на отлично, тогда
и выход системы будет удовлетворительным, неконкурентоспособным. Отсюда вывод:
сначала обеспечить конкурентоспособный «вход», потом - конкурентоспособный
процесс, тогда и «выход» системы будет конкурентоспособным.
На «входе» структуры системы управления организацией, ориентированной на
конкурентоспособность будет стратегия повышения конкурентоспособности
организации.
Основными условиями обеспечения потенциальной конкурентоспособности
«выхода» являются:
. Высокое качество стратегических маркетинговых исследований и
обоснованность нормативов конкурентоспособности будущих товаров, услуг,
новшеств.
. Обеспечение конкурентоспособных параметров «входа» системы в процессе
её функционирования.
. Обеспечение конкурентоспособных параметров процесса в системе.
К компонентам обратной связи относят дополнительные требования к
рекламации потребителей, новая информация по научно-техническому прогрессу и
коньюктуре рынка и т. д. обратная связь может быть как с
организацией-изготовителем непосредственно, так и с поставщиками «входа»
системы.
Модель управления конкурентоспособностью любой организации можно
представить в форме определенного «черного ящика», «вход» которого
обеспечивается эффективным механизмом управления конкурентоспособностью
(включая его основные элементы), а «выход» представляет собой перечень
возможных результатов (рис. 5).
Рис. 5. Формирование механизма управления конкурентоспособностью
Таким образом, управление конкурентоспособностью организации представляет
собой сложную систему элементов, включающую разработку механизма управления конкурентоспособностью.
Рассмотрим механизм управления конкурентоспособностью организации более
детально.
Для того, чтобы эффективно управлять собственной конкурентной позицией
фирме необходимо проводить анализ деятельности конкурентов. Целями такого
анализа являются:
. Выявление существующих и возможных товаров-конкурентов.
. Определение настоящих и потенциальных конкурентов-производителей этих
товаров.
. Исследование сильных и слабых сторон всех конкурирующих товаров.
. Разработки прогнозов вероятной стратегии конкурентов.
В итоге анализа фирма получает возможность понять, почему конкуренты
действуют именно так, а не иначе, и выработать собственную реакцию (табл. 2).
Таблица 2
Возможные реакции фирмы на действия конкурентов
|
Возможная реакция
|
Область применения
|
|
Сдержанная реакция
|
- при уверенности в своих клиентах; - при завершении
деятельности на данном рынке; - при дефиците средств реагирования
|
|
Избирательная реакция
|
Выборочная ответная реакция на поведение конкурентов
(например, реакция на снижение цен, но безразличие на увеличение активности
конкурентов в рекламной деятельности); позволяет вести конкурентною борьбу на
нескольких направлениях и рынках одновременно
|
|
Малопредсказуемая реакция
|
Ответная реакция не связана прямо с экономическим
положением и конкретной ситуацией у конкурентов. Как правило, является
результатом действия причин личного характера или отсутствия коммерческого
опыта.
|
Функции управления конкурентоспособностью:
Планирование собственной стратегии для достижения высокой эффективности и
конкурентных преимуществ.
Организация мероприятий по выполнению сформулированной конкурентной
стратегии.
Воздействие на сотрудников организации различными методами стимулирования
для достижения конкурентных преимуществ организации.
Контроль и координирование выполнения конкурентной стратегии.
Для понимания механизма конкурентоспособномти большое значение имеет
правильная идентификация причин, за счет которых удается обойти конкурентов. В
практике бизнеса в качестве таких причин принято выделять цену и неценовые
факторы, а также соответствующие им виды конкуренции (табл. 3).
Таблица 3
Виды конкуренции
|
Тип
|
Характеристика вида конкуренции
|
|
Ценовая конкуренция
|
Предполагает продажу товаров или предложение услуг по более
низким ценам, чем другие конкуренты. В условиях. централизованного рынка
снижение цены происходит либо за счет снижения издержек производства либо за
счет уменьшения: прибыли. Мелкие и средние фирмы, чтобы удержаться на данном
рынке, обычно претендуют лишь на небольшую долю прибыли. Крупные монополии
иногда вообще отказываются от получения прибыли, с тем, чтобы с помощью
низких цен на соответствующий товар полностью вытеснить конкурентов с рынка,
в дальнейшем повысить цены и тем самым компенсировать понесенные убытки:.
Также ценовая конкуренция используется фирмами у которых нет достаточных сип
и возможностей в сфере неценовой конкуренции, а также в ходе проникновения на
рынки с новыми товарами, при укреплении позиции в случае внезапного
обострения проблемы сбыта. При прямой ценовой конкуренции фирма широко
оповещают о снижении цены на выпускающиеся и имеющиеся на рынке товары. При
скрытой ценовой конкуренции на рынок выводятся новые товары с существенно
улучшенными потребительскими свойствами, а цена при этом повышается не
значительно.
|
|
Неценовая конкуренция
|
Предполагает предложение товара более высокого качества, с
лучшими показателями надежности и сроком службы, с более высокой
производительностью, а также более широкого ассортимента. Особое значение
приобретают такие параметры продукции, как экологичность, энергоемкость,
эргономические и эстетические показатели, ее безопасность. Все большею роль
стали играть в конкурентной борьбе надежность и репутация фирмы-
производителя: или поставщика товара, ее престижность. Важным инструментом
конкурентной борьбы на рынке становятся. тортовые знаки и торговые фирмы. От
сознания созидательной силы конкуренции, приводящей к снижению издержек
производства, быстрому обновлению ассортимента продукции, улучшению ее
качества и тем самым повышению конкурентоспособности данной продукции и
фирмы, ее про изводящей, побуждает государство обеспечить ее правовую защиту
путем разработки законодательства, ограничивающего монополистическую
деятельность.
|
Таблица 4
Принципы управления конкурентоспособностью
Конкурентные преимущества не являются вечными, они завоевываются и
удерживаются при постоянном совершенствовании всех сфер деятельности, что
является трудоемким и дорогостоящим процессом. Возможности сохранения
конкурентоспособности зависят от ряда факторов (рис. 6) и определяются
следующими принципами (табл. 4).
Рис. 6. Факторы сохранения конкурентных преимуществ
В таблице 5 представлена матрица, отражающая механизм управления
конкурентоспособностью организации в разрезе функций управления и направлений
деятельности.
Таблица 5
Матрица управления конкурентоспособностью организации в разрезе функций
управления и направлений деятельности
|
Принципы
|
Характер влияния
|
|
Информированность
|
Компании, стремящиеся сохранить конкурентоспособность,
должны относится к информации как к своему главному конкурентному
преимуществу, а к адаптивности - как к своему главному оружию. Процесс
планирования важен для выработки информации, выявления проблем, налаживания
отношений, подъема культуры, поддержания финансового контроля выявления
возможных кризисных точек
|
|
Делегирование полномочий
|
Компании, стремящиеся сохранить конкурентоспособность,
должны относится к каждому сотруднику как к источнику вклада. Их управляющий
очерчивает границы, а персонал прокладывает наилучшие пути для выполнения
своей работы в пределах этих границ
|
|
Благожелательный контроль
|
Компании, стремящиеся сохранить конкурентоспособность,
должны рассматривать все события как благожелательные Компании, стремящиеся
сохранить конкурентоспособность, а финансовый контроль - как средство
высвобождения ресурсов. сотрудники должны считать контроль не проявлением
автократии, а поводом, позволяющим им работать творчески и плодотворно
|
|
Создание рабочих группы
|
Целенаправленные изменения возможны только при наличии
рабочих группы, разделяемость деловых ценностей. В эффективной управленческой
команде должно существовать распределение ролей и полномочий. При этом в
коллективе должна царить атмосфера доверия и благожелательности.
|
|
Мотивация
|
Компании, стремящиеся сохранить конкурентоспособность,
должны постоянно опираться на мотивы поведения(желание гибко реагировать на
конъюнктуру рынка, выпускать только качественную продукцию и т.д.). однако
мотивы должны постоянно меняться в свете основных проблем и возможностей,
которые со временем даются.
|
|
Стабильность в движении
|
Компании, стремящиеся сохранить конкурентоспособность,
должны быть очень мобильными, как на рынке, так и внутри компании
|
Таким образом, конкурентоспособность организации отражает продуктивность
использования её ресурсов. Этот принцип справедлив как на уровне отдельной
фирмы, так и на уровне экономики страны в целом. Исходя из него, можно
утверждать, что для обеспечения конкурентоспособности, фирмы должны постоянно заботиться
об имеющихся в их распоряжении, а также приобретаемых для будущего производства
всех видов ресурсов.
Глава 2. Анализ экономического состояния и оценка
конкурентоспособности предприятия
.1 Характеристика предприятия
Группа компаний «КАМАЗ» - крупнейшая автомобильная корпорация Российской
Федерации. ОАО «КАМАЗ» занимает 11-е место среди ведущих мировых производителей
тяжелых грузовых автомобилей и 8-е место в мире по объемам выпуска дизельных
двигателей.
Система качества продукции ОАО «КАМАЗ» отвечает требованиям
международного стандарта ИСО 9001-2000 и одобрена органом по сертификации
систем управления «Русский регистр».
Двигатели КАМАЗ-740.60-360, КАМАЗ-740.61-320 и КАМАЗ-740.62-280
соответствуют требованиям международных экологических стандартов «Евро-3».
ОАО «КАМАЗ» имеет сборочные предприятия во Вьетнаме, Иране, Казахстане,
Пакистане, Северной Корее. Сборка производится полностью из комплектующих
изделий, поставляемых с «КАМАЗа».
В Тверском регионе реализацию и обслуживание продукции ОАО «КАМАЗ»
осуществляет ООО «Новый Тверской Автоцентр», созданный в 2002 году. В настоящее
время основные виды деятельности ООО «НТАЦ»:
· продажа автомобилей КамАЗ;
· продажа запасных частей к автомобилям КамАЗ, МАЗ;
· сервисное и гарантийное обслуживание автомобилей КамАЗ;
· ремонт агрегатов (двигателей, КПП, редукторов, ТНВД) к
автомобилям КамАЗ, МАЗ.
Основными партнёрами центра являются: ЗАО "Красногорский
автоцентр", ОАО «ТФК «КамАЗ», ЗАО "Авто-Трейд", ООО
"Авто-Альянс", ООО "Агролайн", ЗАО "Ремдизель".
Организационная структура управления ООО «Новый Тверской Автоцентр»
представлена на рис. 1.
Рис. 7. Организационная структура ООО «Новый Тверской Автоцентр»
По данным рис. 7 видно, что во главе предприятия стоит директор. Он
представляет интересы организации во всех отечественных предприятиях, фирмах и
организациях. В пределах предоставленного ему права, распоряжается имуществом
предприятия, заключает договора, в том числе по найму работников.
В ООО «Новый Тверской Автоцентр» существует финансово-экономический блок,
который состоит из главного бухгалтера, бухгалтерии и отдела выписки счетов, а
так же коммерческий блок, в состав которого входят выставочный зал и
инженер-консультант.
В ООО «Новый Тверской Автоцентр» нет собственного отдела маркетинга. На
сегодняшний день функции маркетинга в компании разбросаны по разным
подразделениям. В своей деятельности отделы руководствуются действующим
законодательством, приказами, распоряжениями по предприятию, стандартами.
Заместитель директора по коммерческим вопросам выполняет опосредствующие
функции между подразделениями и сотрудниками предприятия, занимающимися
стимулированием продаж, доведением продуктов до потребителей, послепродажным
обслуживанием, с одной стороны, и потребителями продукции - с другой.
Заместитель директора по коммерческим вопросам отслеживают состояние внешней
среды, обращая в первую очередь внимание на деятельность конкурентов. Задача
сотрудников выполняющих маркетинговую деятельность заключается в том, чтобы держать
курс на потребителя, постоянно следить за тем, что ему нужно, а также следить
за деятельностью конкурентов, определять слабые и сильные их стороны и
возможные рыночные действия. Исходя из этого - определять направление
совершенствования маркетинговой деятельности, разрабатывать и добиваться
выполнения планов и программ маркетинговой службы, а также доводить
маркетинговую информацию до всех других подразделений предприятия.
2.2 Краткая финансовая оценка
Далее проведем анализ финансового состояния ООО «Новый Тверской
Автоцентр».
Таблица 6
Горизонтальный и вертикальный анализ актива и пассива баланса.
|
Показатели
|
2009 г.
|
2010 г.
|
Отклонения
|
|
Тыс. руб.
|
В % к валюте баланса
|
Тыс. руб.
|
В % к валюте баланса
|
Тыс. руб.
|
В % к величине на 20097 г.
|
|
1
|
2
|
3
|
4
|
5
|
6
|
7
|
|
Актив
|
|
|
|
|
|
|
|
I. Внеоборотные активы:
|
843
|
9,8
|
724
|
9,3
|
-119
|
-14,1
|
|
-основные средства
|
843
|
9,8
|
611
|
7,9
|
-232
|
-27,5
|
|
-отложенные налоговые активы
|
|
0,0
|
113
|
1,5
|
113
|
-
|
|
II.Оборотные активы:
|
7741
|
90,2
|
7057
|
90,7
|
-684
|
-8,8
|
|
-запасы
|
1910
|
22,3
|
2701
|
34,7
|
791
|
41,4
|
|
-НДС по приобретенным ценностям
|
6
|
0,1
|
1
|
0,0
|
-5
|
-83,3
|
|
-дебиторская задолженность
|
3507
|
40,9
|
3100
|
39,8
|
-407
|
-11,6
|
|
-денежные средства
|
2318
|
27,0
|
1255
|
16,1
|
-1063
|
-45,9
|
|
Баланс
|
8584
|
100,0
|
7781
|
100,0
|
-803
|
-9,4
|
|
Пассив
|
|
|
|
|
|
|
|
III. Капитал и резервы
|
8579
|
99,9
|
7460
|
95,9
|
-1119
|
-13,0
|
|
-уставный капитал
|
10
|
0,1
|
10
|
0,1
|
0
|
0,0
|
|
-нераспределенная прибыль (непокрытый убыток)
|
8569
|
99,8
|
7460
|
95,9
|
-1109
|
-12,9
|
|
IV. Краткосрочные обязательства
|
5
|
0,1
|
321
|
4,1
|
316
|
6320,0
|
|
-займы и кредиты
|
1
|
0,0
|
1
|
0,0
|
0
|
0,0
|
|
-кредиторская задолженность
|
4
|
0,0
|
320
|
4,1
|
316
|
7900,0
|
|
Баланс
|
8584
|
100,0
|
7781
|
100,0
|
-803
|
-9,4
|
Из данных таблицы можно сделать следующие выводы:
За анализируемый период валюта баланса сократилась на 803 тыс. руб. или
9,4%, что свидетельствует о снижении темпов развития предприятия.
За анализируемый период доля внеоборотных активов сократилась с 9,8% до
9,3%. В 2010 году величина внеоборотных активов уменьшилась на 119 тыс. руб.
это составляет 14,1%. Сокращение внеоборотных активов произошло за счет
снижения величины основных средств на 232 тыс. руб. или на 27,5%.
Величина оборотных активов сократилась на 684 тыс. руб. это составляет
8,8 %. Величина запасов по сравнению с 2009 годом увеличилась на 791 тыс. руб.
или на 41,4%. За анализируемый период произошло сокращение дебиторской задолженности
на 407 тыс. руб. или на 11,6 %. Уменьшились денежные средства на 1063 тыс. руб.
это составляет 45,9 %.
В 2010 году величина собственного капитала сократилась на 1119 тыс. руб.
или 13 %. Выросла сумма краткосрочных обязательств на 316 тыс. руб., что
связано с ростом кредиторской задолженности, которая увеличилась так же на 316
тыс. руб.
Далее проведем анализ финансовых результатов ООО «Новый Тверской
Автоцентр» за 2009-2010 гг. в табл. 7.
Таблица 7
Анализ финансовых результатов ООО «Новый Тверской Автоцентр» за 2009-2010
гг.
|
Показатели
|
2009 г. тыс. руб.
|
2010 г. тыс. руб.
|
Отклонения (+, - ), тыс. руб.
|
Темп роста прибыли,%
|
|
1. Выручка от продажи продукции
|
83393
|
32614
|
-50779
|
-60,9
|
|
2.Себестоимость проданной продукции
|
59503
|
19650
|
-39853
|
-67,0
|
|
3. Валовая прибыль
|
23890
|
12964
|
-10926
|
-45,7
|
|
4. Коммерческие расходы
|
18945
|
13390
|
-5555
|
-29,3
|
|
5. Прибыль от продаж
|
495
|
-426
|
-921
|
-186,1
|
|
6. Сальдо прочих операций
|
-1130
|
-806
|
324
|
-28,7
|
|
7. Прибыль до налогообложения
|
3815
|
-1232
|
-5047
|
-132,3
|
|
8. Налог на прибыль
|
1133
|
0
|
-1133
|
-100,0
|
|
9. Чистая прибыль
|
2682
|
-1119
|
-3801
|
-141,7
|
Выручка от продажи продукции в 2010 году снизилась на 50779 тыс. руб. или
на 60,9 %, что свидетельствует о снижение темпов развития предприятия и
сокращения спроса на продукцию предприятия. Себестоимость продукции снизилась
на 39853 тыс. руб. или 67%. В связи с данной динамикой валовая прибыль
снизилась на 10926 тыс. руб. или на 45,7%.
Коммерческие расходы предприятия снизились на 5555 тыс. руб. или на
29,3%. В связи с данной динамикой прибыль от продаж сократилась на 921 тыс.
руб. и предприятие в 2010 году получило убыток от продаж в размере 426 тыс.
руб.
По сравнению с 2009 годом прибыль до налогообложения сократилась на 5047
тыс. руб. и предприятие в 2010 году имело убыток до налогооблажения в размере
1232 тыс. руб. Произошло увеличение чистой прибыли на 3801 тыс. руб. и
предприятие в 2010 году получило чистый убыток в размере 1119 тыс. руб.
Далее проведем оценку показателей деловой активности. Исходные данные для
оценки деловой активности организации ООО «Новый Тверской Автоцентр» взяты из
годовых балансов организации и отчетов о прибылях и убытках за 2009-2010 гг.
Исходные данные для расчета показателей деловой активности организации за
2009-2010 гг. представлены в таблице 8.
Таблица 8
Данные для расчета показателей деловой активности ООО «Новый Тверской
Автоцентр» за 2009-2010 гг.
|
Показатели
|
2009
|
2010
|
Изменения, +,-
|
Изменения, %
|
|
1
|
2
|
3
|
4
|
5
|
|
Выручка от реализации, тыс. руб.
|
83393
|
32614
|
-50779
|
-60,9
|
|
Себестоимость , тыс. руб.
|
59503
|
19650
|
-39853
|
-67,0
|
|
Среднесписочная численность работников, чел.
|
34
|
22
|
-12
|
-35,3
|
|
Величина активов, тыс. руб.
|
8584
|
7781
|
-803
|
-9,4
|
|
Величина основных средств, тыс. руб.
|
843
|
611
|
-232
|
-27,5
|
|
Величина запасов, тыс. руб.
|
1910
|
2701
|
791
|
41,4
|
|
Величина оборотного капитала, тыс. руб.
|
7741
|
7057
|
-684
|
-8,8
|
|
Величина дебиторской задолженности, тыс. руб.
|
3507
|
3100
|
-407
|
-11,6
|
|
Величина кредиторской задолженности, тыс. руб.
|
4
|
320
|
316
|
7900,0
|
|
Величина собственного капитала, тыс. руб.
|
8579
|
7460
|
-1119
|
-13,0
|
По данным табл. 8 идно, что за анализируемый период сократилась выручка
от реализации. Численность персонала организации так же сократилась. Произошло
сокращение величины всех активов организации, кроме величины запасов и
кредиторской задолженности.
Таблица 9
Показатели оборачиваемости ООО «Новый Тверской Автоцентр» за 2009-2010
гг.
|
Показатели
|
2009
|
2010
|
Изменения, +,-
|
|
1
|
2
|
3
|
4
|
|
Производительность труда, тыс. руб.
|
2452,7
|
1482,5
|
-970,2
|
98,9
|
53,4
|
-45,5
|
|
Общая оборачиваемость капитала, о.
|
9,7
|
4,2
|
-5,5
|
|
Средний срок оборота капитала, дн.
|
38
|
87
|
49
|
|
Оборачиваемость оборотного капитала, об.
|
10,8
|
4,6
|
-6,2
|
|
Средний срок оборота оборотного капитала, дн.
|
34
|
79
|
45
|
|
Оборачиваемость запасов, об.
|
43,7
|
12,1
|
-31,6
|
|
Средний срок оборота запасов, дн.
|
8
|
30
|
22
|
|
Оборачиваемость собственного капитала, об.
|
9,7
|
4,4
|
-5,3
|
|
Коэффициент оборачиваемости дебиторской задолженности, об.
|
23,8
|
10,5
|
-13,3
|
|
Средний срок оборота дебиторской задолженности, дн.
|
15
|
35
|
20
|
|
Коэффициент оборачиваемости кредиторской задолженности, об.
|
20848,2
|
101,9
|
-20746,3
|
|
Средний срок оборота кредиторской задолженности, дн.
|
0,01
|
4
|
3,99
|
За анализируемый период сократилась эффективность использования трудовых
ресурсов. За весь анализированный период производительность труда снизилась на
970,2 руб.
За анализируемый период фондоотдача сократилась и в 2010 году на один
рубль, вложенный в основные средства, предприятие получало 53,4 руб. выручки,
что на 45,5 руб. меньше 2009 года.
Значение показателя общей оборачиваемости в 2009 г. больше единицы, что
говорит о том, полный цикл производства и обращения совершается менее чем за 1
год. В целом оборачиваемость в 2010 году снизилась по сравнению с 2009 годом на
5,5 оборота. В связи с замедлением оборачиваемости капитала произошло
увеличение продолжительности оборота всего капитала на 49 дней.
Оборачиваемость оборотного капитала за анализируемый период сократилась.
Так в начале периода один рубль, вложенный в оборотные активы организации
приносил 10,8 руб. выручки, то в конце анализируемого периода уже - 4,6 руб.
выручки. В связи с замедлением оборачиваемости оборотного капитала произошло
увеличение продолжительности оборота на 45 дней.
Показатель оборачиваемости запасов в 2010 г по сравнению с 2009 г. имел
тенденцию к снижению на 31,6 оборота. Оборачиваемость собственного капитала на
протяжении 2009-2010гг. имела тенденцию к снижению. Сокращение произошло на 5,3
оборота.
Оборачиваемость дебиторской задолженности сократилась на 13,3 оборота,
что повлекло за собой увеличение нахождения дебиторской задолженности в обороте
на 20 дней.
Оборачиваемость кредиторской задолженности сократилась, что повлекло за
собой увеличение нахождения кредиторской задолженности в обороте на 4 дня.
2.3 Оценка конкурентоспособности
Оценка конкурентоспособности ООО «Новый Тверской Автоцентр» начинается с
получение необходимой для маркетинга информации, проведение необходимых научных
исследований.
Сотрудники ООО «Новый Тверской Автоцентр» регулярно проводят
маркетинговое исследование рынка с целью выявления конкурентов.
В Твери и Тверской области конкурентами Нового Автоцентра являются: ООО
«Авто Дом Камаз»; ООО «Автозапчасти «Континент»; ООО ТПК «Тверца»; ООО
«Автотехкомплект»; И П Шадрин.
К числу основных конкурентов следует также отнести торговые предприятия
Москвы, занимающиеся продажей подержанных и новых автомобилей зарубежных
товаропроизводителей. Как было показано выше, подавляющее большинство этих
автомобилей представлено такими моделями как: Скания, Волво, Ман, Ивеко, Рено,
Мерседес и Даф. Суммарный ежегодный объём продаж этих моделей грузовых
автомобилей в России приближается к объёму продаж отечественных автомобилей.
Тем не менее, доля большегрузных отечественных автомобилей остаётся
исключительно высокой - около 80%. В Тверской области общее количество тяжёлых
грузовых автомобилей в настоящее время составляет около 9 000 шт. В это число
входит примерно 55% грузовиков марки КамАЗ, 21% - МАЗ, примерно 19% грузовиков
зарубежных моделей и 5% - прочих моделей.
По возрастному составу отечественные автомобили распределены так, как
показано на рисунке 8.
Рис
8. Возрастной состав тверского регионального парка отечественных большегрузных
автомобилей
Общее
состояние конкурентной среды рассмотрим при помощи оценки пяти сил конкуренции
Портера. Результаты этой оценки, выполненной специалистами ОАО КАМАЗ и Нового
Тверского Автоцентра приведены на рисунке 9.
По
мнению экспертов, состояние сил конкуренции не слишком благоприятно для Нового
Автоцентра. Это обусловлено, во-первых, снижением платежеспособности потребителя,
а во-вторых, угрозой со стороны продавцов новых и подержанных иномарок.
Следует, однако, отметить, что фактор платежеспособности потребителя негативно
влияет на каждого из конкурентов, а степень такого влияния в значительной
степени зависит от цены приобретения и эксплуатации автомобиля.
Рис.
9. Результаты оценки профиля сил конкуренции на Тверском рынке большегрузных
автомобилей
Видимо,
именно по этой причине, несмотря на кризис, Новый Автоцентр продолжает
удерживать лидирующие позиции по продажам тяжёлых грузовых автомобилей в
Тверском регионе. Его доля на региональном рынке к началу 2010 года составляла
около 40%, что в 3 раза превышает долю ближайшего конкурента. Вместе с тем,
общий объём продаж в 2009 году сократился практически в три раза.
Чтобы
понять, за счёт каких факторов Новый Автоцентр может не только сохранить свою
долю на региональном рынке, но и обеспечить приемлемый уровень продаж,
рассмотрим более детально запросы реальных потребителей в отношении различных
моделей автомобилей, а также их мнение о достоинствах и недостатках продукции
и услуг Автоцентра в сопоставлении с конкурентами.
Поскольку
основная продукция, предлагаемая центром потребителю - автомобили КАМАЗ,
проанализируем вначале структуру спроса на различные модели этих автомобилей.
Результаты статистической обработки спроса представлены на рисунке. 10.
Рис.
10. Структура спроса тверских потребителей на автомобили КамАЗ
Как
видно из рисунка, у Тверских потребителей практически отсутствует спрос на
автомобили с грузоподъёмностью свыше 20 т. Основную массу потребителей
привлекают самосвалы (КамАЗ 65115, 55111 и 43255), бортовые тягачи (КамАЗ 53215
и 4308), а также седельные тягачи КамАЗ 54115. На эти модели приходится более 70%
спроса. Спрос на любую из остальных моделей не превышает 3 процентов.
Перечисленные модели автомобилей выполняют работы в интересах строительных и
дорожно-строительных предприятий, лесозаготовителей и деревообработчиков,
сельхозпредприятий, а также в интересах крупных промышленных предприятий
региона для поставок сырья и вывоза готовой продукции. При этом примерно 67%
предприятий выполняют такие работы самостоятельно, 22% - с помощью
специализированных автотранспортных предприятий и около 9% прибегают к услугам
физических лиц и индивидуально-частных предприятий. Как правило, цикл работы
автомобилей - однодневный.
Рассмотрим
далее основные потребительские характеристики наиболее популярных моделей
автомобилей КамАЗ в сопоставлении их с зарубежными заменителями. При этом
следует оговориться, что иностранные автомобили, которые можно рассматривать в
качестве конкурентов перечисленным выше отечественным моделям в большинстве
своём имеют более высокую грузоподъёмность. В качестве конкурирующих для них
можно считать соответствующие по функциональному назначению модели автомобилей
Скания, Вольво, МАН и Ивеко.
Перечень
потребительских характеристик, сформулированный самими потребителями, оказался
таким:
1. цена;
. надёжность (в российских условиях);
. безопасность;
. комфортабельность;
. экономичность;
. экологичность;
. наличие ТО, сервисной службы и гарантийного обслуживания;
. доступность запчастей;
. стоимость типового ремонта.
Результаты оценки значений этих характеристик потребителями приведены в
таблице 9, 10 и 11. (в баллах от 0 до 10: 0- плохо; 10- отлично)
Таблица 9
Значения потребительских характеристик наиболее привлекательных новых
отечественных самосвалов и их зарубежных заменителей
|
Модель Хар-ки
|
КАМАЗ 65115
|
Скания Р380CB6X4EHZ
|
Вольво FM 6х4
|
МАН NGA41.390
|
Ивеко МЗ 380 Е 38 H Tipper
|
|
Цена (руб)
|
10
|
5
|
5
|
6
|
4
|
|
Надёжн (в усл России) (баллы 1-10)
|
10
|
8
|
8
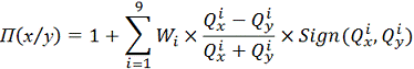
|
8
|
8
|
|
Безопасн (баллы 1-10)
|
8
|
10
|
10
|
10
|
10
|
|
Комфорт (баллы 1-10)
|
6
|
10
|
10
|
10
|
10
|
|
Экономичность
|
7
|
10
|
10
|
9
|
9
|
|
Экологичность (Евро)
|
6
|
10
|
10
|
10
|
10
|
|
Гарантия,сервис, ТО (в Твери)(баллы 1-10)
|
10
|
0
|
0
|
0
|
0
|
|
Доступность запчастей в Твери (баллы 1-10)
|
10
|
5
|
5
|
4
|
2
|
|
Стоимость типового ремонта в Твери
|
10
|
3
|
3
|
3
|
3
|
Таблица 10
Значения потребительских характеристик наиболее привлекательных новых
отечественных седельных тягачей и их зарубежных заменителей
|
Модель Хар-ки
|
КАМАЗ 54115
|
Скания Р380Lana
|
Вольво FH
|
МАН 6x4
|
Ивеко Stralis
|
|
Цена (руб)
|
10
|
3
|
4
|
4
|
2
|
|
Надёжн (в усл России) (баллы 1-10)
|
10
|
8
|
8
|
8
|
8
|
|
Безопасн (баллы 1-10)
|
8
|
10
|
10
|
10
|
10
|
|
Комфорт (баллы 1-10)
|
6
|
10
|
10
|
10
|
10
|
|
Экономичность
|
7
|
10
|
10
|
9
|
9
|
|
Экологичность (баллы)
|
3
|
10
|
10
|
10
|
10
|
|
Гарантия, сервис, ТО (в Твери) (баллы 1-10)
|
10
|
5
|
5
|
5
|
5
|
|
Доступность запчастей в Твери (баллы 1-10)
|
10
|
5
|
5
|
5
|
5
|
|
Стоимость типового ремонта в Твери
|
10
|
3
|
3
|
3
|
3
|
Таблица 11
Значения потребительских характеристик наиболее привлекательных новых
отечественных бортовых автомобилей и их зарубежных заменителей
|
Модель Хар-ки
|
КАМАЗ 53215
|
Скания R 380
|
Вольво FL
|
МАН TGM18240
|
Ивеко Euro Cargo ML 100
|
|
Цена (руб)
|
10
|
7
|
5
|
5
|
7
|
|
Надёжн (в усл России) (баллы 1-10)
|
10
|
3
|
3
|
3
|
3
|
|
Безопасн (баллы 1-10)
|
5
|
10
|
10
|
10
|
10
|
|
Комфорт (баллы 1-10)
|
5
|
10
|
10
|
10
|
10
|
|
Экономичность(баллы)
|
7
|
10
|
10
|
10
|
10
|
|
Экологичность ( баллы)
|
3
|
10
|
10
|
10
|
10
|
|
Гарантия, сервис, ТО (в Твери) (баллы 1-10)
|
10
|
5
|
5
|
5
|
5
|
|
Доступность запчастей в Твери (баллы 1-10)
|
10
|
5
|
5
|
5
|
5
|
|
Стоимость ремонта в Твери
|
10
|
3
|
3
|
3
|
3
|
Результаты оценки важности потребительских характеристик приведены в
таблице 12.
Таблица 12
Результаты оценки важности потребительских характеристик новых
автомобилей
|
Характеристика
|
Цена
|
Надёжн
|
Безоп
|
Комф
|
Экон
|
Экол
|
Серв и ТО
|
Доступн запчаст
|
Стоим типов ремонта
|
|
Важность
|
10
|
5
|
4
|
4
|
5
|
3
|
8
|
7
|
7
|
Оценка важности проводилась следующим образом: Эксперту предъявлялись
характеристики двух выбранных моделей новых автомобилей, одним из которых был
автомобиль КамАЗ, а другим - его потенциальный заменитель. Эксперт должен был
сделать выбор в пользу одного из этих автомобилей, а затем оценить в баллах от
0 до 10 важность каждой из характеристик, повлиявших на его выбор.
Как оказалось, ключевыми факторами, определяющими предпочтения тверских
потребителей, являются цена, наличие сервисного и гарантийного обслуживания, а
также скорость и стоимость типового ремонта. Такие, казалось бы, важные
факторы, как надёжность, безопасность, экономичность, экологичность,
комфортабельность оказались малозначимыми для тверских потребителей по
следующим причинам:
o Из-за слишком большой разницы в ценах на новые отечественные
и зарубежные автомобили (отечественные автомобили практически в два раза
дешевле;
o Не слишком значительная разница в характеристиках надёжности,
экономичности и безопасности в российских условиях эксплуатации, очень высокая
цена качества, которая проявляется как в существенном увеличении цены
автомобиля, так и в стоимости его ремонта ;
o Отсутствие жёстких требований к уровню экологичности;
o Преимущественно однодневный цикл работы региональных
потребителей.
Таблица 13
Цены на новые автомобили КамАЗ и их зарубежные заменители
|
Модель
|
КАМАЗ 65115
|
Скания Р380CB6X4EHZ
|
Вольво FM 6х4
|
МАН NGA41.390
|
Ивеко МЗ 380 Е 38 H Tipper
|
|
Цена (руб)
|
1 900 000
|
5 250 000
|
5 100 000
|
4 620 000
|
5 740 000
|
Приведённые выше оценки важности различных потребительских характеристик
автомобилей начинают существенным образом изменяться, как только изменяется
разница в ценах на востребованные рынком отечественные автомобили и их
зарубежные заменители. Такими заменителями являются зарубежные автомобили с
пробегом. При ценах на эти автомобили, сопоставимые с ценой на автомобили
КамАЗ, достаточно большая часть потребителей начинает отдавать предпочтение зарубежным
моделям. При примерном равенстве цен наиболее важными критериями, определяющими
предпочтения потребителей, становятся наличие сервисного обслуживания, скорость
и стоимость типового ремонта, а также надёжность, комфортабельность,
безопасность, экономичность и экологичность. Надёжность обычным потребителем
оценивается как функция пробега и условий эксплуатации. По остальным
характеристикам зарубежные модели, по мнению потребителей, превосходят
отечественные, однако это превосходство практически не оказывает заметного
влияния на принятие решения о покупке той или иной модели.
Эмпирическая формула, с помощью которой можно примерно в 84% случаев
оценить субъективную степень предпочтения потребителем одной из двух
сравниваемых моделей, разработанная по результатам опроса потребителей,
выглядит так:
Где

степень
предпочтения модели «х» по отношению к модели «у»; i - номер характеристики в
списке значимы потребительских свойств;

-
результаты количественной оценки значений этого свойства для модели х и модели
у соответственно; 
- вес,
значимость, этого свойства для потребителя; 
=1, если
значение 
более
предпочтительно для потребителя, чем значение 
и равно
-1 в противном случае.
Значения
весов, вычисленные по результатам опроса потребителей, приведены в таблице 14.
Таблица
14
Значения
весов
|
Характеристика
|
Цена
|
Надёжн
|
Безоп
|
Комф
|
Экон
|
Экол
|
Серв и ТО
|
Доступн запчаст
|
Стоим типов ремонта
|
|
Вес
|
0,50
|
0,05
|
0,05
|
0,03
|
0,04
|
0,02
|
0,15
|
0,10
|
0,.11
|
Значения весов потребительских характеристик автомобилей определены для
условий их эксплуатации потребителями тверского региона.
График изменения степени предпочтения модели КамАЗ 65115 по отношению к
модели Скания Р380, рассчитанный при условии примерного равенства значений
характеристик надёжности, безопасности и экономичности, отсутствии ТО, сервиса
и гарантийного обслуживания, двукратном превосходстве Скании по характеристикам
экологичности и комфортабельности и таком же превосходстве по стоимости
типового ремонта, приведён на рис. 11 (ряд 1 на графике). На этом же графике
(ряд 2) приведена зависимость степени предпочтения от цены Скании при наличии у
КамАЗа службы ТО и гарантийного обслуживания и прямых поставок запасных частей
Рис. 11. Зависимость степени предпочтения КамАЗа 65111 Скании Р380 от
цены Скании при наличии (ряд2) и отсутствии (ряд 1) у КамАЗа региональных
подразделений ТО, гарантийного и сервисного обслуживания и прямых поставок
запчастей
Как можно видеть из графиков, основными направлениями сохранения
конкурентных позиций КамАЗа на региональных рынках является создание центров
технического и гарантийного обслуживания своих автомобилей, прямое и
оперативное обеспечение этих центров необходимыми запасными частями и, по
возможности, снижение цен на автомобили.
Ещё одно направление повышения конкурентоспособности связано с повышением
качества отечественных автомобилей и доведением значений их основных
потребительских свойств до уровня лучших мировых образцов. С учётом критерия
оперативности это направление следует рассматривать как перспективное,
стратегическое, поскольку его реализация требует внушительных финансовых и
временных затрат и не позволит уже в ближайшее время защитить отечественный
рынок от дальнейшей экспансии зарубежных автопроизводителей. Наличие риска
потери отечественного рынка тяжёлых грузовых автомобилей требует быстрой
реакции на сложившуюся ситуацию, поэтому в качестве первоочередных для
реализации в работе были выбраны два первых направления. Дополнительным
аргументом в пользу такого выбора является низкий уровень субъективной
значимости многих характеристик качества автомобилей для отечественных
потребителей и слишком высокая цена качества, которая проявляется как в цене
автомобиля, так и в стоимости ремонта. По данным Нового Тверского Автоцентра
стоимость ремонта таких автомобилей возрастает в несколько раз.
Поскольку сформулированные направления повышения конкурентоспособности
автомобилей КамАЗ теоретически доступны любому из рассмотренных ранее
конкурентов Нового Автоцентра, сопоставим их возможности на практике
реализовать эти направления. Эти возможности зависят от величины барьеров для
вхождения на рынок запчастей и комплектующих и барьеров доступа к прямым
поставкам автомобилей КамАЗ. Поскольку для Тверского Нового Автоцентра такие
барьеры практически отсутствуют, а все основные конкуренты вынуждены
присутствовать на этих рынках как коммерческие посредники, они практически не в
состоянии конкурировать с Новым Автоцентром ни по цене на автомобили ни по
оперативности и стоимости ремонта.
То есть, используя стратегию создания региональных центров продаж,
технического и гарантийного обслуживания, обеспечивая их прямыми поставками
запасных частей, а также снижая цены на автомобили, КамАЗ обеспечит
конкурентоспособность этих центров, и, как следствие, собственную
конкурентоспособность.
конкурентоспособность
экономический финансовый
Глава 3. Разработка рекомендаций по повышению
конкурентоспособности предприятия
.1 Обоснование общих направлений повышения
конкурентоспособности
В самом общем виде выводы о направлениях повышения конкурентоспособности
автомобилей КамАЗ можно сделать, основываясь на результатах анализа,
выполненного в предыдущей главе.
Говоря о техническом и гарантийном обслуживании и ремонте автомобилей,
следует иметь в виду не только вновь продаваемую технику, но и технику,
проданную в предыдущие годы. Если учесть, что в настоящее время парк
автомобилей состоит на 80% из техники советских времён, а автомобили КамАЗ
доминируют в рассматриваемом классе машин, то нетрудно сделать вывод о реальной
потребности в запасных частях и ремонте КамАЗ-овской техники.
Так, парк КамАЗов тверского региона составляет около 5 000 единиц, из них
примерно 4 000 имеют возраст от 15 до 35 лет. Даже если предположить, что
старая техника, как и новая, требует капитального ремонта через 5 лет, то
реальная потребность только в капитальном ремонте составляет не менее 1000
единиц в год.
Даже в условиях кризиса, когда грузоперевозки сократились примерно на 40%
- 50%, капитальный ремонт ежегодно необходим для 500 грузовых автомобилей
КамАЗ. Кроме того, у потребителей возникает необходимость в текущем ремонте и
запасных частях.
Сказанное выше означает, что хорошо организованное техническое
обслуживание, продажа запасных частей от производителя, оперативный и
качественный ремонт являются не только важными факторами конкурентоспособности
КамАЗа на Тверском региональном рынке (как и на других региональных рынках), но
и самостоятельным, востребованным видом бизнеса.
Как оказалось, доходы от реализации запасных частей, даже без учёта
доходов от техобслуживания и ремонта, сопоставимы с доходами от основного вида
бизнеса ООО «Новый Тверской Автоцентр» - продажи автомобилей КамАЗ.
Возможные способы реализации второго направления повышения
конкурентоспособности автомобилей КамАЗ на региональном рынке также связаны с
составом и возрастной структурой парка грузовых автомобилей.
Основываясь на оптимистическом предположении о том, что срок жизни
грузовых автомобилей составляет 25 лет, можно сделать вывод, что примерно 20%
существующих в регионе автомобилей КамАЗ уже отжили или доживают свой век и
нуждаются в замене. В количественном выражении это около 1000 автомобилей, а в
дальнейшем, при равномерном выбывании, их число будет увеличиваться на 250 -300
автомобилей в год. Разумеется, далеко не все владельцы устаревших автомобилей
захотят и смогут заменить её на более новую технику. Но если хотя бы 10% из них
сделают это, ежегодный объём продаж грузовых автомобилей в регионе, покупаемых
с целью заменить старые КамАЗы, составит примерно 120 -130 единиц. Очевидно,
после завершения кризиса и увеличения объёмов дорожно-строительных и других
работ, это количество будет расти. Цифра 10% - это результат экспресс-опроса
владельцев устаревших автомобилей КамАЗ об их желании и возможности заменить
эти автомобили на более новые модели.
За счёт рациональной ценовой политики, а также рациональной политики в
области технического обслуживания автомобилей ООО «Новый Тверской Автоцентр»
может завоевать максимальную долю этого рынка. Важным фактором, способствующим
решению данной задачи является хорошая информированность потенциальных покупателей
автомобилей ООО «Новый Тверской Автоцентр», поскольку большинство из них уже
обращались в ООО «Новый Тверской Автоцентр» за запасными частями, или
ремонтировали с его помощью свои автомобили.
3.2 Рекомендации по повышению конкурентоспособности
Одним из возможных способов побудить владельцев устаревших моделей
автомобилей КамАЗ заменить их на новые является обмен старого автомобиля КАМАЗ
на новые модели (с зачетом стоимости старого автомобиля) на выгодных условиях
для потребителя, сервисных центров и ОАО «КАМАЗ». Практическая реализация
такого подхода требует решения целого комплекса организационных, правовых и
финансовых задач. Для исполнения данного проекта необходимо внедрить «Trade
in».
Проект «Trade in» - увязанный по ресурсам, исполнителям и срокам
исполнения комплекс организационно-хозяйственных и других мероприятий,
обеспечивающих эффективное достижение удовлетворения ожиданий потребителей,
увеличения плана реализации автомобилей КАМАЗ и продукции ООО «Новый Тверской
Автоцентр» за счет предоставления потребителю более привлекательных финансовых
схем приобретения автотехники КАМАЗ.
Целью проекта является удовлетворение желания потребителей обменять свои
старые автомобили на новые или на модернизированные в соответствии с их
требованиями к конструкции, к стоимости и к форме оплаты. К обмену принимаются
автомобили «КАМАЗ» всех комплектаций вне зависимости от года выпуска и пробега.
В результате внедрения проекта решаются следующие
задачи:
1.
Расширение
ценовой ниши ООО «Новый Тверской Автоцентр» на автомобили КАМАЗ.
2.
Обновление парка
автомобилей КАМАЗ в эксплуатации, укрепление имиджа ОАО «КАМАЗ» и ООО «Новый
Тверской Автоцентр».
3.
Снижение
себестоимости продукции ООО «Новый Тверской Автоцентр» за счет увеличения
реализации автомобилей и запасных частей.
4.
Увеличение объема
сервисных услуг проводимых в контролируемых условиях в сертифицированных
сервисных центрах и с применением соответствующего оборудования и оригинальных
запасных частей, обеспечивающих высокое качество сервиса.
Центром ответственности за управлением, формированием
и реализацией проектов в рамках Программы «Trade in» является ОАО
«КАМАЗТЕХОБСЛУЖИВАНИЕ».
За отдельные этапы процесса управления ответственными
являются все подразделения основного общества, дочерние общества, согласно
данной процедуры, а именно: ОАО «ТФК «КАМАЗ», Департамент лизинга, ОАО
«КАМАЗТЕХОБСЛУЖИВАНИЕ», Департамент информационной политики, Департамент
правовой работы, Департамент экономической безопасности общества, Центральная
бухгалтерия общества, НТЦ.
Сервисный центр находит «Клиента №1» на новый
автомобиль и оценивает стоимость его старого автомобиля. Оценку старого
автомобиля проводит специалист сервисного центра, основываясь на методике
оценки.
Сервисный центр предлагает «Клиенту №1» варианты
приобретения нового автомобиля взамен старого:
·
покупка по 100%
предоплате с зачетом стоимости старого автомобиля;
·
приобретение
автомобиля в рассрочку с зачетом стоимости старогоавтомобиля;
•приобретение на условиях лизинга с зачетом стоимости
старого автомобиля.
В случае если «Клиент №1» выбирает покупку автомобиля
по 100 % предоплате, сервисный центр взаимодействует с ОАО «ТФК «КАМАЗ» на
основе заключенного с ним агентского договора.
В случае выбора вариантов приобретения автомобилей в
рассрочку или на условиях лизинга сервисный центр помогает «Клиенту №1»
подобрать необходимые модели автомобилей и оформить заявку на их приобретение в
Департамент лизинга.
Специалисты департамента лизинга в однодневный срок
рассчитывают предварительные параметры сделки и направляют ее «Клиенту №1».
В случае согласия с предлагаемыми параметрами проекта
сервисный центр помогает «Клиенту №1» передать в Департамент лизинга комплект
документов, необходимый для оценки финансовой устойчивости «Клиента №1».
После согласования результатов проведённого анализа
отдел по работе с корпоративными клиентами Департамента лизинга составляет
официальный ответ для «Клиента №1». Если на основании проведённого анализа
сделан вывод о невозможности сотрудничества, то в срок не более 1 (одного)
рабочего дня должен быть направлен ответ. При этом ответ должен содержать
предложения по возможным условиям, на которых Общество готово повторно
рассмотреть заявку предприятия. Ответ подписывается директором Департамента
лизинга. В случае положительного решения в течение одного дня Департамент
лизинга формирует краткое резюме проекта для представления банку и получения
кредита. Резюме проекта подписывается заместителем Генерального директора по
экономике и финансам и директором Департамента лизинга.
При получении положительного решения кредитора в срок
не более 3 (трех) дней Департамент лизинга готовит, а Департамент правовой
работы ОАО «КАМАЗ», являющаяся центром ответственности за юридическое
сопровождение проекта «Trade in», в установленном порядке проводит процедуру
согласования пакета договоров, сформированный на основе типовых договоров,
разработанных в ходе выполнения проекта. Осуществляется процедура оформления и
подписания договора лизинга. Договор визируется уполномоченным представителем
страховой компании.
ОАО «ТФК «КАМАЗ» организует приемку и передачу
автомобилей «Клиенту №1» (лизингополучателю). Передача автомобилей производится
со складов ОАО «ТФК «КАМАЗ» или сервисных центров. При передаче подписывается
акт приемки-передачи, после подписания которого вся ответственность за
сохранность автомобилей, надлежащее их использование и выполнение всех
требований к техническому состоянию переходит к «Клиенту №1».
«Клиент №1» заключает с сервисным центром договор на
гарантийное и сервисное обслуживание на период действия договора лизинга.
Центром ответственности за организацию сопровождения,
гарантийное и сервисное обслуживание автомобилей, переданных в лизинг, является
сервисный центр. Контроль за реализацией осуществляет ОАО
«КАМАЗТЕХОБСЛУЖИВАНИЕ».
Определение цены автомобиля.
·
Предварительную
оценку старого автомобиля сервисному центру рекомендуется проводить по
методике, разработанной в процессе реализации проекта.
·
В случае
несогласия «Клиента №1» с предложенной ценой ему предлагается выставить
автомобиль на комиссию по своей цене сроком на 1 месяц бесплатно.
Расчет экономического эффекта приведен в табл. 15.
Таблица 15
Эффективность проекта Trade In для «Клиента №1 (Пример
расчета по среднему автомобилю), руб.
|
Наименование статьи
|
Покупка
|
Trade In
|
Trade In лизинг
|
Примечание i
|
|
1 Стоимость нового а/м
|
750 000
|
750 000
|
750 000
|
|
|
2 Удорожание к стоимости 2.1 Проценты по кредиту (15 %
год.) 2.2 Доход Лизингодателя (1 % год.) 2.3 Налог на имущество (2,2 %) 2.4
Транспортный налог (39руб./1 л.с.) 2.5 Страхование имущества 2.6 Регистрация
в ГИБДД 2.7 Налог на прибыль (20 %)
|
399 191 0 0 62 642 21060 77 148 1 500 236 842
|
399 191 0 0 62 642 21060 77 148 1 500 236 842
|
164 397 90 343 9 491 0 21 060 40 503 3 000 0
|
15% годовых 1% от стоимости 24% от стоимости
|
|
3 ИТОГО с удорожанием или в %
|
1 149 191 53%
|
1 149 191 53%
|
914 397 22%
|
= п.1+п.2
|
|
4 Стоимость продажи (зачета) б/у а/м
|
-125 000
|
-100 000
|
-100 000
|
В зависимости , от состояния
|
|
5 Экономия расходов
|
|
|
|
|
|
От отсутствия простоев при 5.1 продажах
|
0
|
-20 790
|
-20 790
|
Средний срок продажи б/у а/м - 3 мес.
|
|
5 2 по предпродажной подготовке
|
0
|
-25 000
|
-25 000
|
Мин. Ремонт в средн. на 1 а/м
|
|
5.3 Экономия по утилизации
|
0
|
-10 000
|
-10 000
|
В среднем на 1 а/м
|
|
5.4 Экономия по стоимости Оборотных средств
|
0
|
-5 500
|
-5 500
|
По ставке рефинансир. на 3 мес.
|
|
9 ИТОГО с экономией или в %
|
1 024 191 37%
|
987 901 32%
|
753 107 0%
|
|
Таким образом, видно, что итоговая цена приобретения
нового автомобиля для клиента выгоднее через систему Trade In лизинг.
Далее проведем экономический анализ схем оформления
ООО «Новый Тверской Автоцентр» бывших в употреблении автомобилей КАМАЗ.
Таблица 16
Приобретение-восстановление-продажа через сервисный
центр ООО «Новый Тверской Автоцентр» (обычная система налогообложения), (в
рублях)
|
Наименование статьи
|
Стоимость (с НДС)
|
Стоимость (без НДС)
|
Примечание
|
|
1
|
Расходы всего
|
389 800
|
338 923
|
=п.1.1.+п.1.2+п.1.3
|
|
1.1
|
Приобретение б/у автомобиля
|
100 000
|
84 746
|
В зависимости от состояния
|
|
1.2 1.2.1 1.2.2 1.2.3 1.2.4
|
Агрегаты и запчасти РКД силовой агрегат прочие з/ч ГСМ
|
220 800 100 000 100 000 15 000 5 800
|
187 119 84 746 4 746 12 712
|
Условный перечень -j/ч
|
|
1.3
|
Услуги по восстановлению б/у а/м (230 н/ч), в том числе
|
69 000
|
67 058
|
Расценка за 1 нор-мо/час - 350 руб. (в том числе с/с-300р.)
|
|
1.3.1 1.3.2 1.3.3 1.3.4 1.3.5 1.3.6.1.3.7
|
Оплата труда основных рабочих - -разборка и дефектовка б/у
а/м -подтяжка а/м ревизия ступиц -установка силового агрегата -работа
а/электрика -доводка тормозной системы -замена ГСМ --обкатка автомобиля -
работы по восстановлению з/ч -прочие работы ЕСН с оплаты труда Расходы по
оформлению а/м Эксплуатационные расходы Расходы по утилизации
Общехозяйственные расходы Коммерческие издержки
|
3 200 2 500 1 500
|
26 000 10 000 3 000 1 500 3 000 500 500 500 1 000 5 000
1 000 7 072 3 200 2 119 1 271 15 000 5 000
|
расценка 1 ч/ч = НЮ р. 27Л %от п. 3 регистр., справки, ТО
Электроэнергия ТБО, налоги В т. ч. реклама
|
|
2
|
Доходы всего
|
478 700
|
405 678
|
=п. 2.1+п. 2.2+2.3+2.4
|
|
2.1 2.2 2.3 2.4 3
|
Продажа восстановленного а/м Доходы от утилизации (м/л) %
за реализацию новых а/м Доходы от сервисных услуг Результат операции
|
450 000 5 000 7 500 16 200
|
381 356 4 237 6 356 13 729 66 755
|
Металлолом 1%от 750,0 т.р. По закрепленному сим =п.2-п.1
|
|
4
|
Чистая прибыль
|
|
53 835
|
Минус налог на прибыль
|
|
5 5.1 5.2 5.3 5.4
|
Налоги начисленные, в т.ч. НДС к уплате Налог на прибыль
ЕСН (ПФР) ЕНВД
|
|
42 137 22 145 12 920 7 072 0 0
|
|
|
6
|
Рентабельность операции
|
|
15,9%
|
=п.4/п.1
|
Далее составим прогноз финансовых результатов
деятельности ООО «Новый Тверской Автоцентр». Необходимо отметить, что на
предприятии уже заключено 20 договоров о приобретении старых автомобилей. При
этом себестоимость приобретения составляет 339 тыс. руб. (общая сумма 6780 тыс.
руб.), выручка от реализации восстановленного автомобиля составит 406 тыс. руб.
(общая сумма 8120 тыс. руб.)
Таблица 17
Прогноз финансовых результатов ООО «Новый Тверской Автоцентр»
|
Показатели
|
2010 г. тыс. руб.
|
Прогноз.
|
Отклонения (+, - ), тыс. руб.
|
Темп роста прибыли, %
|
|
1. Выручка от продажи продукции
|
32614
|
40734
|
8120
|
24,9
|
|
2.Себестоимость проданной продукции
|
19650
|
26430
|
6780
|
34,5
|
|
3. Валовая прибыль
|
12964
|
14304
|
1340
|
10,3
|
|
4. Коммерческие расходы
|
13390
|
13390
|
0
|
0,0
|
|
5. Прибыль от продаж
|
-426
|
914
|
1340
|
-314,6
|
|
6. Сальдо прочих операций
|
-806
|
-806
|
0
|
0,0
|
|
7. Прибыль до налогообложения
|
-1232
|
108
|
1340
|
-108,8
|
|
8. Налог на прибыль
|
0
|
22
|
22
|
-
|
|
9. Чистая прибыль
|
-1119
|
86
|
1205
|
-107,7
|
Выручка от продажи продукции в прогнозном году увеличится на 8120 тыс.
руб. или на 24,9%. Себестоимость продукции увеличится на 6780 тыс. руб. или
34,5%. В связи с данной динамикой валовая прибыль увеличится на 1340 тыс. руб.
или на 10,3%. В связи с данной динамикой прибыль от продаж увеличится на 1340
тыс. руб. и предприятие в прогнозном году получит прибыль от продаж в размере
914 тыс. руб. Прибыль до налогообложения в прогнозном году составит 108 тыс.
руб., что на 13410 тыс. руб. больше 2010 года. Чистая прибыль составит 86 тыс.
руб., что больше 2010 года на 1205 тыс. руб. Таким образом, благодаря
мероприятиям по повышению конкурентоспособности предприятие получит прибыль и
перестанет быть убыточным.
Заключение
Таким образом, конкурентная среда - это область рынка при наличии в ней
конкурентов, в которой совершается маркетологическое событие. Конкурентные
преимущества - это положительно значимые в качественном отношении линии
поведения фирмы, которые по различным параметрам обеспечивают ее превосходство
над конкурентами. Компания имеет конкурентное преимущество, если уровень ее
работы с покупателями выше, чем у конкурентов, и она в состоянии
противодействовать влиянию конкурентных сил.
Окружающее фирму экономическое пространство развивается согласно своим
собственным определенным закономерностям. Для современной фирмы познание этих
закономерностей является гарантией ее существования и развития. Для фирмы
изучение этого пространства приводит к значительным затратам на количественные
исследования, но ведущую роль играет качественный аспект исследований,
поскольку только знание причинно-следственных взаимосвязей, т.е. выявление
причин поступков субъектов рынка, дает фирме конкретное конкурентное
преимущество и позволяет построить адекватную конкурентную стратегию.
Оценка конкурентного положения фирмы предполагает совокупность действий,
рационально раскрывающих содержание деятельности фирмы в рыночном пространстве.
Она позволяет выявить ключевые моменты несовпадения линий поведения фирмы и
поведения рынка.
Группа компаний «КАМАЗ» - крупнейшая автомобильная корпорация Российской
Федерации. ОАО «КАМАЗ» занимает 11-е место среди ведущих мировых производителей
тяжелых грузовых автомобилей и 8-е место в мире по объемам выпуска дизельных
двигателей.
В Тверском регионе реализацию и обслуживание продукции ОАО «КАМАЗ»
осуществляет ООО «Новый Тверской Автоцентр», созданный в 2002 году. В настоящее
время основные виды деятельности ООО «НТАЦ»:
· продажа автомобилей КамАЗ;
· продажа запасных частей к автомобилям КамАЗ, МАЗ;
· сервисное и гарантийное обслуживание автомобилей КамАЗ;
· ремонт агрегатов (двигателей, КПП, редукторов, ТНВД) к автомобилям
КамАЗ, МАЗ.
Анализ деятельности предприятия выявила, что за анализируемый период
валюта баланса сократилась на 803 тыс. руб. или 9,4%, что свидетельствует о
снижении темпов развития предприятия.За анализируемый период доля внеоборотных
активов сократилась с 9,8% до 9,3%. В 2010 году величина внеоборотных активов
уменьшилась на 119 тыс. руб. это составляет 14,1%. Величина оборотных активов
сократилась на 684 тыс. руб. это составляет 8,8 %.
В 2010 году величина собственного капитала сократилась на 1119 тыс. руб.
или 13 %. Выросла сумма краткосрочных обязательств на 316 тыс. руб., что
связано с ростом кредиторской задолженности, которая увеличилась так же на 316
тыс. руб.
Выручка от продажи продукции в 2010 году снизилась на 50779 тыс. руб. или
на 60,9 %, что свидетельствует о снижение темпов развития предприятия и
сокращения спроса на продукцию предприятия. Себестоимость продукции снизилась
на 39853 тыс. руб. или 67%. В связи с данной динамикой валовая прибыль
снизилась на 10926 тыс. руб. или на 45,7%.
Коммерческие расходы предприятия снизились на 5555 тыс. руб. или на
29,3%. В связи с данной динамикой прибыль от продаж сократилась на 921 тыс.
руб. и предприятие в 2010 году получило убыток от продаж в размере 426 тыс.
руб.
По сравнению с 2009 годом прибыль до налогообложения сократилась на 5047
тыс. руб. и предприятие в 2010 году имело убыток до налогооблажения в размере
1232 тыс. руб. Произошло увеличение чистой прибыли на 3801 тыс. руб. и
предприятие в 2010 году получило чистый убыток в размере 1119 тыс. руб.
За анализируемый период сократилась эффективность использования трудовых
ресурсов. За весь анализированный период производительность труда снизилась на
970,2 руб.
За анализируемый период фондоотдача сократилась и в 2010 году на один
рубль, вложенный в основные средства, предприятие получало 53,4 руб. выручки,
что на 45,5 руб. меньше 2009 года.
Значение показателя общей оборачиваемости в 2009 г. больше единицы, что
говорит о том, полный цикл производства и обращения совершается менее чем за 1
год. В целом оборачиваемость в 2010 году снизилась по сравнению с 2009 годом на
5,5 оборота. В связи с замедлением оборачиваемости капитала произошло
увеличение продолжительности оборота всего капитала на 49 дней.
Оборачиваемость оборотного капитала за анализируемый период сократилась.
Так в начале периода один рубль, вложенный в оборотные активы организации
приносил 10,8 руб. выручки, то в конце анализируемого периода уже - 4,6 руб.
выручки. В связи с замедлением оборачиваемости оборотного капитала произошло увеличение
продолжительности оборота на 45 дней.
Показатель оборачиваемости запасов в 2010 г по сравнению с 2009 г. имел
тенденцию к снижению на 31,6 оборота. Оборачиваемость собственного капитала на
протяжении 2009-2010гг. имела тенденцию к снижению. Сокращение произошло на 5,3
оборота.
Оборачиваемость дебиторской задолженности сократилась на 13,3 оборота,
что повлекло за собой увеличение нахождения дебиторской задолженности в обороте
на 20 дней.
Оборачиваемость кредиторской задолженности сократилась, что повлекло за
собой увеличение нахождения кредиторской задолженности в обороте на 4 дня.
Сотрудники ООО «Новый Тверской Автоцентр» регулярно проводят
маркетинговое исследование рынка с целью выявления конкурентов.
В Твери и Тверской области конкурентами Нового Автоцентра являются: ООО
«Авто Дом Камаз»; ООО «Автозапчасти «Континент»; ООО ТПК «Тверца»; ООО
«Автотехкомплект»; И П Шадрин.
К числу основных конкурентов следует также отнести торговые предприятия
Москвы, занимающиеся продажей подержанных и новых автомобилей зарубежных
товаропроизводителей. Как было показано выше, подавляющее большинство этих
автомобилей представлено такими моделями как: Скания, Волво, Ман, Ивеко, Рено,
Мерседес и Даф. Суммарный ежегодный объём продаж этих моделей грузовых
автомобилей в России приближается к объёму продаж отечественных автомобилей.
Тем не менее, доля большегрузных отечественных автомобилей остаётся
исключительно высокой - около 80%. В Тверской области общее количество тяжёлых
грузовых автомобилей в настоящее время составляет около 9 000 шт. В это число
входит примерно 55% грузовиков марки КамАЗ, 21% - МАЗ, примерно 19% грузовиков
зарубежных моделей и 5% - прочих моделей.
Состояние сил конкуренции не слишком благоприятно для Нового Автоцентра.
Это обусловлено, во-первых, снижением платежеспособности потребителя, а
во-вторых, угрозой со стороны продавцов новых и подержанных иномарок. Следует,
однако, отметить, что фактор платежеспособности потребителя негативно влияет на
каждого из конкурентов, а степень такого влияния в значительной степени зависит
от цены приобретения и эксплуатации автомобиля.
Видимо, именно по этой причине, несмотря на кризис, Новый Автоцентр
продолжает удерживать лидирующие позиции по продажам тяжёлых грузовых
автомобилей в Тверском регионе. Его доля на региональном рынке к началу 2010
года составляла около 40%, что в 3 раза превышает долю ближайшего конкурента.
Вместе с тем, общий объём продаж в 2009 году сократился практически в три раза.
Ключевыми факторами, определяющими предпочтения тверских потребителей,
являются цена, наличие сервисного и гарантийного обслуживания, а также скорость
и стоимость типового ремонта. Такие, казалось бы, важные факторы, как
надёжность, безопасность, экономичность, экологичность, комфортабельность
оказались малозначимыми для тверских потребителей по следующим причинам:
o Из-за слишком большой разницы в ценах на новые отечественные
и зарубежные автомобили (отечественные автомобили практически в два раза
дешевле;
o Не слишком значительная разница в характеристиках надёжности,
экономичности и безопасности в российских условиях эксплуатации, очень высокая
цена качества, которая проявляется как в существенном увеличении цены
автомобиля, так и в стоимости его ремонта ;
o Отсутствие жёстких требований к уровню экологичности;
o Преимущественно однодневный цикл работы региональных
потребителей.
Главными факторами успеха в конкуренции с другими автопроизводителями и
продавцами оказались цена автомобилей, возможность ремонта, технического и
гарантийного обслуживания, стоимость и сроки выполнения этих работ.
Таким образом, хорошо организованное техническое обслуживание, продажа
запасных частей от производителя, оперативный и качественный ремонт являются не
только важными факторами конкурентоспособности КамАЗа на Тверском региональном
рынке (как и на других региональных рынках), но и самостоятельным,
востребованным видом бизнеса.
Как оказалось, доходы от реализации запасных частей, даже без учёта
доходов от техобслуживания и ремонта, сопоставимы с доходами от основного вида
бизнеса ООО «Новый Тверской Автоцентр» - продажи автомобилей КамАЗ.
Возможные способы реализации второго направления повышения
конкурентоспособности автомобилей КамАЗ на региональном рынке также связаны с
составом и возрастной структурой парка грузовых автомобилей.
За счёт рациональной ценовой политики, а также рациональной политики в
области технического обслуживания автомобилей ООО «Новый Тверской Автоцентр»
может завоевать максимальную долю этого рынка. Важным фактором, способствующим
решению данной задачи является хорошая информированность потенциальных
покупателей автомобилей ООО «Новый Тверской Автоцентр», поскольку большинство
из них уже обращались в ООО «Новый Тверской Автоцентр» за запасными частями,
или ремонтировали с его помощью свои автомобили.
Одним из возможных способов побудить владельцев устаревших моделей
автомобилей КамАЗ заменить их на новые является обмен старого автомобиля КАМАЗ
на новые модели (с зачетом стоимости старого автомобиля) на выгодных условиях
для потребителя, сервисных центров и ОАО «КАМАЗ». Практическая реализация
такого подхода требует решения целого комплекса организационных, правовых и
финансовых задач. Для исполнения данного проекта необходимо внедрить «Trade
in».
Проект «Trade in» - увязанный по ресурсам, исполнителям и срокам исполнения
комплекс организационно-хозяйственных и других мероприятий, обеспечивающих
эффективное достижение удовлетворения ожиданий потребителей, увеличения плана
реализации автомобилей КАМАЗ и продукции ООО «Новый Тверской Автоцентр» за счет
предоставления потребителю более привлекательных финансовых схем приобретения
автотехники КАМАЗ.
Целью проекта является удовлетворение желания потребителей обменять свои
старые автомобили на новые или на модернизированные в соответствии с их
требованиями к конструкции, к стоимости и к форме оплаты. К обмену принимаются
автомобили «КАМАЗ» всех комплектаций вне зависимости от года выпуска и пробега.
В результате внедрения проекта решаются следующие
задачи:
1.
Расширение
ценовой ниши ООО «Новый Тверской Автоцентр» на автомобили КАМАЗ.
2.
Обновление парка
автомобилей КАМАЗ в эксплуатации, укрепление имиджа ОАО «КАМАЗ» и ООО «Новый
Тверской Автоцентр».
3.
Снижение
себестоимости продукции ООО «Новый Тверской Автоцентр» за счет увеличения
реализации автомобилей и запасных частей.
4.
Увеличение объема
сервисных услуг проводимых в контролируемых условиях в сертифицированных
сервисных центрах и с применением соответствующего оборудования и оригинальных
запасных частей, обеспечивающих высокое качество сервиса.
Итоговая цена приобретения нового автомобиля для
клиента выгоднее через систему Trade In лизинг.
Необходимо отметить, что на предприятии уже заключено
20 договоров о приобретении старых автомобилей. При этом себестоимость
приобретения составляет 339 тыс. руб. (общая сумма 6780 тыс. руб.), выручка от
реализации восстановленного автомобиля составит 406 тыс. руб. (общая сумма 8120
тыс. руб.).
Выручка от продажи продукции в прогнозном году увеличится на 8120 тыс.
руб. или на 24,9%. Себестоимость продукции увеличится на 6780 тыс. руб. или
34,5%. В связи с данной динамикой валовая прибыль увеличится на 1340 тыс. руб.
или на 10,3%. В связи с данной динамикой прибыль от продаж увеличится на 1340
тыс. руб. и предприятие в прогнозном году получит прибыль от продаж в размере
914 тыс. руб. Прибыль до налогообложения в прогнозном году составит 108 тыс.
руб., что на 13410 тыс. руб. больше 2010 года. Чистая прибыль составит 86 тыс.
руб., что больше 2010 года на 1205 тыс. руб. Таким образом, благодаря
мероприятиям по повышению конкурентоспособности предприятие получит прибыль и
перестанет быть убыточным.
Список используемой литературы
1. Гражданский
кодекс Российской Федерации. Части I и II. - М.: Проспект, 2007.Налоговый
кодекс Российской Федерации. Часть 2. Федеральный закон от 05.08.2000 г. № 118-ФЗ
(в ред. Федерального закона от 29.12.2000 г. № 166-ФЗ).
2. Трудовой
кодекс Российской Федерации. Федеральный закон РФот30.12.01г.№197-ФЗ.
. Федеральный
закон РФ №108-ФЗ О рекламе. Принят государственной думой 14 июня 1995 года
. Федеральным
законом РФ от 21.11.96 г. № 129-ФЗ «О бухгалтерском учете»
. Федеральный
закон РФ от 8 февраля 1998 г. № 8-ФЗ «Об обществах с ограниченной
ответственностью»
. Федеральный
Закон РФ от 26.10.02. №127 - ФЗ «О несостоятельности (банкротстве»)
. Азоев
Г.А., Челенков А.Ч. Конкурентоспособность фирмы. - М., 2010
. Амблер
Т. Практический маркетинг. - М., 2010
. Артеменко
В.Г. Беллендер М.В. Финансовый анализ: Учебное пособие. - М.,2009
. Баканов
М.И., Шеремет А.Д. Теория экономического анализа. - М., 2007
. Басовский
Л.Е. Маркетинг. Курс лекций. - М., 2010
. Божук
С.Г., Ковалик Л.Н. Маркетинговые исследования. - СПб., 2010
. Гиляровская
Л.Т., Вехорева А.А. Анализ и оценка финансовой устойчивости коммерческого
предприятия. - СПб., 2007
. Голубков
Е.П. Маркетинговые исследования: теория, практика и методология. - М., 2010
. Голубков
Е.П. Основы маркетинга. - М., 2008
. Данько
Т.П. Управление маркетингом. - М., 2010
. Дей
Дж Стратегический маркетинг. - М., 2008
18. Ефимова
О.В. Финансовый анализ. - М., 2007
19. Журавлев
В.И., Говдя С.Е. Комплексный анализ. - М.. 2010
20. Зайцев
Л.Г. Стратегический маркетинг. - М., 2007
. Карпунин
М.Г. Функционально-стоимостной анализ в отраслевом управлении эффективностью. -
М., 2008
22. Катернюк
Е. Рекламные технологии. Коммерческая реклама. - М., 2007
23. Кныш
М.И. Конкурентные стратегии. - СПб., 2007
. Кнышова
Е.Н. Маркетинг. - М., 2010
25. Ковалев
В.В. Финансовый анализ: методы и процедуры. - М., 2007
. Котлер
Ф., Основы маркетинга. - М., 2007
. Кревенс
Д. Стратегический маркетинг. - М., 2008
. Круглов
М.И. Стратегическое управление компанией. - М., 2007
. Крылов
И.В. Антология рекламы. - М., 2010
. Мазилкина
Е.И., Паничкина Т.Г. Управление конкурентоспособностью - М., 2007
. Маркетинг
/ под ред. Бейкера. - СПб., 2007
32. Маркетинг
в отраслях и сферах деятельности. - М., 2010
33. Маркетинг/
под ред. А.Н. Романова. - М., 2010
. Маркетинг/
под ред. Н.Д. Эрлашвили. - М., 2010
. Маркетинг:
принципы и технология маркетинга в свободной рыночной системе / под ред. Н.Д.
Эрлашвили. - М., 2010
. Матанцев
А.Н. Стратегия, тактика и практика маркетинга. - М., 2007. -378 с.
. Мачадо
Р. Маркетинг для малых предприятий. - СПб. - 2010
. Моисееве
Н.К. Управление маркетингом. - М., 2010
39. Паттен
Д. Успешный маркетинг для малого бизнеса. - М., 2008
40. Портер
М.Э. Конкуренция: Пер. с англ: Учебное пособие. - М., 2000
41. Раицкий
К. Экономика управления: Учебник. М., 2009
42. Рэпп
С., Коллинз Т.Л. Новый максимаркетинг. - Челябинск, 2010
. Титова
Е.Н. Маркетинг. - М., 2008
. Токарев
Б.Е. Методы сбора и использования маркетинговой информацией. - М., 2010
. Фатхутдинов
Р.А. Конкурентоспособность организации в условиях кризиса: экономика,
маркетинг, менеджмент. - М.: Маркетинг, 2007
. Фатхутдинов
Р.А. Управление конкурентоспособностью организации. Учебное пособие / Р.А.
Фатхутдинов. - М., 2009.
. Фатхутдинов
Р.А. Стратегическая конкурентоспособность. Учебник. - М., 2010
. Фатхутдинов
Р.А. Стратегический маркетинг. - М., 2007
. Федько
В.П., Федько Н.Г. Инфраструктура товарного рынка. - Ростов н/Д, 2010.
. Черчилль
Г.А. Маркетинговые исследования. - СПб., 2007
. Экономическая
стратегия фирмы / под ред. А.П. Градова. - СПб. - 2008
52. Кудин
В., Понамарев И. Влияние системы управления маркетингом на результаты
хозяйственной деятельности. -// Маркетинг. - 2007. - №5. - с. 30-36
53. Ратникова
Н.В. Управление конкурентоспособностью розничных торговых организаций на
региональных рынках России // Ползуновский альманах. - 2009. - №1. - с . 83-86
54. Шкардун
В.Д., Стерхова С.Н. Исследование рынка - источник принятия управленческих
решений// Маркетинг и маркетинговые исследования. - 2010. - №6. - с.14-21