|
№
вала
|
Р
|
ω
|
n
|
T
|
|
кВт
|
с-1
|
мин-1
|
Н∙м
|
|
I
|
6,98
|
152
|
1455
|
45
|
|
I I
|
6,56
|
50
|
480
|
131
|
|
I I I
|
6,3
|
12
|
120
|
525
|
2.
Расчет передачи c гибкой связью
Исходные данные для расчета: передаваемая
мощность Pтр.=6,98
кВт; частота вращения ведущего шкива nдв.=1450
мин-1 ;передаточное отношение iр=3,03;
скольжение ремня ε=0,01.
При частоте вращения меньшего шкива nдв=1455
мин-1 и передаваемой мощности Р = Ртр =6,98кВт принимаем
сечение клинового ремня А.
Определим диаметр меньшего шкива:
(2.1)
Принимаем d1=180мм.
Определим диаметр большего шкива:
(2.2)
Принимаем ближайшее стандартное значение d2=560мм.
Уточняем передаточное отношение с учетом
скольжения
(2.3)
При этом ωв=ωдв
/
iр,
(2.4)
ωв=ωдв/iр=152/3,14=48,81сек-1.
Расхождение:
что не более допускаемого ±3%.
окончательно принимаем диаметры шкивов d1=180мм
и d2=560мм.
Межосевое расстояние ар , при Т0=10,5
,следует принять в интервале:
min
= 0,55 (d1 + d2) + Т0
=0,55(180+560)+10,5=417,5мм
(2.5)max = d1 + d2=180+560=740мм
(2.6)
где Т0 = 10,5 мм высота сечения
ремня;
Принимаем ближайшее значение ар = 800
мм
Определим расчетную длину ремня:
(2.7)
Принимаем ближайшее значение по стандарту L=
2800 мм.
Уточненное значение межосевого расстояния ар
с учетом стандартной длины ремня:
(2.8)
где:
= 0,5π (d1
+d2)
= 0,5∙3,14 (180+560)=1160мм; (2.9)
y = (d2
- d1)2
=(560-180)2=146000мм; (2.10)
,
При монтаже передачи необходимо обеспечить
возможность уменьшения межосевого
расстояния на 0,01L = 0,01∙2800
= 28 мм для облегчения надевания ремней на шкивы и возможность увеличения его
на 0,025L= 0,025 ∙
2800 = 70 мм для увеличения натяжения ремней.
Определим угол обхвата меньшего шкива:
(2.11)
Коэффициент режима работы, учитывающий условия
эксплуатации передачи Ср = 1.
Коэффициент, учитывающий влияние длины ремня СL
= 1,05.
Коэффициент, учитывающий влияние угла при α1
= 153° коэффициент Сα
= 0,93.
Коэффициент,
учитывающий число ремней в передаче:
предполагая, что число ремней в передаче будет
от 2 до 3, примем коэффициент Сz
= 0,9.
Число ремней в передаче по формуле:
(2.12)
где Р0 - мощность, передаваемая одним
клиновым ремнем, Р0=5,021 кВт;
принимаем z
=2.
Натяжение ветви клинового ремня по формуле:
(2.13)
где скорость υ
=
0,5ωдвd1=
0,5 ∙ 50 ∙ 180 ∙10-3 = 4,5м/с;
Θ - коэффициент,
учитывающий влияние центробежных сил, для ремня сечения А коэффициент Θ
= 0,18;
Определим давление на валы:
(2.14)
Ширина шкивов Вш:
Вш=(z-1)e+2ʄ=(2-1)∙19+2∙12,5=44мм
(2.15)
3.
Расчет зубчатых колес редуктора
Так как в задании нет особых требований в
отношении габаритов передачи, выбираем материалы со средними механическими
характеристиками: для шестерни сталь 45, термическая обработка - улучшение,
твердость HB 200; для
колеса - сталь 40Л, термическая обработка -нормализация, но твердость на 30
единиц ниже - HB 170.
Допускаемые контактные напряжения:
[
H]
=
H
lim
b·KHL
/[SH],
где (3.1)
H
lim
b
- предел контактной выносливости при базовом числе циклов;
H
lim
b
= 2HB+70; (3.2)
HL
- коэффициент долговечности; при числе циклов нагружения больше базового, что
имеет место при длительной эксплуатации редуктора, принимают KHL
= 1; [SH]
- коэффициент безопасности; [SH]
= 1,1;
для шестерни:
[
H1] = (2HB1+70)·KHL /[SH]
= (2·200+70)·1/1,1 ≈ 427 МПа;
для колеса:
[
H2]
= (2HB₂+70)·KHL
/[SH]
= (2·170+70)·1/1,1 ≈ 373 МПа;
Межосевое расстояние из условия контактной
выносливости активных поверхностей зубьев:
аω
= Ka·(u+1)·
= 43·(4+1)·
= 198,8 мм (3.3)
Ближайшее значение межосевого расстояния по ГОСТ
2185-66 аω = 200 мм
Нормальный модуль зацепления:
n
= (0,01÷0,02)·аω
= (0,01÷0,02)·200
= 2÷4
мм (3.4)
Принимаем по ГОСТ 9563-60* mn
= 2,5 мм
Примем предварительно угол наклона зубьев β=300.
Определяем число зубьев шестерни и колеса:
(3.5)
Принимаем z1=28,
тогда
(3.6)
принимаем z2=112.
Уточняем значения угла наклона зубьев:
(3.7)
Принимаем угол β=28054΄.
Определим основные размеры шестерни и колеса:
делительные диаметры:
(3.8)
Проверим межосевое расстояние:
диаметры вершен зубьев:
(3.9)
Определим ширину колеса:
2
= ψba·aω
= 0,4·200 = 80 мм; (3.10)
ширина шестерни:
1
= b2
+ 5 мм = 80 + 5 = 85 мм; (3.11)
Определяем коэффициент ширины шестерни по
диаметру:
ψbd
=
=
=
1,0625 (3.12)
Окружная скорость колес и степень точности
передачи:
ѵ =
=
=
2 м/с (3.13)
При такой скорости для шевронных колес следует
принять 8-ю степень точности
Коэффициент нагрузки:
H
= KHβ·KHα·KHѵ
(3.14)
Значения KHβ
даны в [5,с 69]; при ψbd
= 1,0625, твердости HB
350 и несимметричном расположении колес относительно опор с учетом изгиба
ведомого вала от натяжения цепной передачи KHβ
= 1,1225.
При ѵ
= 2 м/с и 8-й степени точности KHα
= 1,0675. По [5,с 93] для шевронных колес
при ѵ
< 2 м/с имеем KHѵ
= 1.
Таким образом, KH
= 1,1225·1,0675·1 = 1,198
Проверка контактных напряжений:
H
=
·
=
=
334 МПа (3.15)
H=
H]-
H/
H]
·100%=
7,2%
Силы, действующие в зацеплении:
окружная Ft
=
=
=
3275 H; (3.16)
радиальная Fr
= Ft
·
=3275 ·
= 1347 Н; (3.17)
осевая Fa
= Ft·tgβ
= 3275·0,2095= 686 H; (3.18)
Проверяем зубья на выносливость по напряжениям
изгиба:
F
=
H]
(3.19)
Здесь коэффициент нагрузки KF
= KFβ·KFѵ.
При ψbd
1,0625, твердости HB
350 и несимметричном расположении зубчатых колес относительно опор KFβ
= 1,25, KFѵ
= 1,1 по [5,с 90]. Таким образом, коэффициент KF
= 1,25·1,1 = 1,375; YF
- коэффициент, учитывающий форму зуба и зависящий от эквивалентного числа
зубьев zѵ:
у шестерни zѵ1
=
=
=
42 (3.20)
у колеса zѵ2
=
=
=
167
F1
= 3,708 и YF2
= 3,60
Допускаемое напряжение:
F]
=
.
(3.21)
По [2,с 85] для стали 45 улучшенной при твердости
HB
350
F
lim
b
= 1,8HB.
Для шестерни
F
lim
b
= 1,8·200 = 360 мПа; для колеса
F
lim
b
= 1,8·170 = 306МПа.
[SF]
= [SF]´[SF]´´
- коэффициент безопасности, где [SF]´
= 1,75, [SF]
= 1. Следовательно, [SF]
= 1,75.
Допускаемые напряжения:
для шестерни
F1]
=
=
206 МПа;
для колеса
F2]
=
=
175 МПа;
Находим отношения
для шестерни
=
55,5 МПа;
для колеса
=
48,6 МПа;
Дальнейший расчет следует вести для зубьев
колеса, для которого найденное отношение меньше.
Определяем коэффициенты Yβ
и KFα:
Yβ
= 0,8;
KFα
= 0,92 ;
Проверяем прочность зуба колеса:
F2
=
H]
(3.22)
F2
=
≈
59,6 мПа
175
МПа
Условие прочности выполнено.
4.
Предварительный расчет валов редуктора
Предварительный расчет проведем на кручение по
пониженным допускаемым напряжениям.
Ведущий вал:
Диаметр выходного конца при допускаемом
напряжении [τк]
= 20 МПа.
в1 =
=
≈ 32 мм. (4.1)
Принимаем
dв1 = 32 мм.
Примем под подшипники dп1 = 40 мм.
Шестерню выполним за одно целое с валом.
Ведомый
вал:
Учитывая
влияние изгиба вала от натяжения цепи, принимаем [τк] = 25 МПа.
Диаметр
выходного конца вала
в1 =
=
≈ 48 мм.
Принимаем
ближайшее большее значение из стандартного ряда [2, с 123]: dв2 = 48 мм.
Диаметр вала под подшипниками принимаем dп2 = 55 мм,
под зубчатым колесом dк2 = 60 мм.
Диаметры
остальных участков валов назначают исходя из конструктивных соображений при
компоновке редуктора.
5. Конструктивные размеры шестерни и колеса
Шестерню
выполним за одно целое с валом; её размеры определены выше: d1 = 80 мм; da1 = 85 мм; b1 = 85 мм.
Колесо
кованое: d2 = 320 мм; da2 = 325 мм; b2 = 80 мм.
Диаметр
ступицы dст = 1,6· dк2 = 1,6·60 =
96 мм; длина ступицы lст = (1,2
1,5)·dк2 = (1,2
1,5)·60 =
72
90 мм,
принимаем lст = 80 мм.
Толщина обода δ0
= (2,5
4)·mn
= (2,5
4)·2,5=
11,35
18,16
мм, принимаем δ0
= 10 мм.
Толщина диска C
= 0,3·b2
= 0,3·80 = 24 мм.
6.
Конструктивные размеры корпуса редуктора
Толщина стенок корпуса и крышки: δ
= 0,025·a + 1 = 0,025·200 +
1 = 6 мм, принимаем δ = 8 мм;
δ1
= 0,02·a + 1 = 0,02·200 + 1
= 5 мм, принимаем δ1
= 8 мм.
Толщина фланцев поясов корпуса и крышки:
верхнего пояса корпуса и пояса крышки
= 1,5·δ
= 1,5·8 = 12 мм; b1
= 1,5·δ1
= 1,5·8 = 12 мм;
нижнего пояса корпуса
p
=
2,35·δ = 2,35·8 =
19 мм; принимаем p = 20 мм.
Диаметр болтов: фундаментных d1
= (0,03
0,036)·a
+ 12 = = (0,03
0,036)·200 + 12 =
18
19,2
мм; принимаем болты с резьбой М20;
крепящих крышку к корпусу у подшипников d2
= (0,7
0,75)·d1
= = (0,7
0,75)·20
= 14
15
мм; принимаем болты с резьбой М16;
соединяющих крышку с корпусом d3
= (0,5
0,6)·d1
= (0,5
0,6)·20
= 10
12
мм
принимаем болты с резьбой М12.
7.
Первый этап компоновки редуктора
Компоновку обычно проводят в два этапа. Первый
этап служит для приближенного определения положения зубчатых колес и мувты
относительно опор для последующего определения опорных реакций и подбора
подшипников.
Компоновочный чертеж выполняем в одной проекции
- разрез по осям валов при снятой крышке редуктора; желательный масштаб 1:1,
чертить тонкими линиями.
Примерно посередине листа параллельно его длинной
стороне проводим горизонтальную осевую линию; затем две вертикальные линии -
оси валов на расстоянии aω
= 200 мм.
Вычерчиваем упрощенно шестерню и колесо в виде
прямоугольников; шестерня выполнена за одно целое с валом; длина ступицы колеса
равна ширине венца и не выступает за пределы прямоугольника.
Очерчиваем внутреннюю стенку корпуса:
а) принимаем зазор между торцом шестерни и
внутренней стенкой корпуса
А1 = 1,2·δ; при
наличии ступицы зазор берется от торца ступицы;
б) принимаем зазор от окружности вершин зубьев
колеса до внутренней стенки корпуса А = δ;
в) принимаем расстояние между наружным кольцом
подшипника ведущего вала и внутренней стенкой корпуса А = δ;
если
диаметр окружности вершин зубьев шестерни окажется больше наружного диаметра
подшипника, то расстояние А надо брать от шестерни.
Предварительно намечаем радиальные
шарикоподшипники средней серии для ведущего вала и особолёгкой серии для
ведомого; габариты подшипников выбираем по диаметру вала в месте посадки
подшипников dп1
= 40 мм и dп2
= 55 мм.
Решаем вопрос о смазывании подшипников.
Принимаем для подшипников пластичный смазочный материал. Для предотвращения
вытекания смазки внутрь корпуса и вымывания пластичного смазочного материала
жидким маслом из зоны зацепления устанавливаем мазеудерживающие кольца. Их
ширина определяет размер y
= 8
12
мм. Принимаем y = 10 мм.
Таблица 2 - Основные размеры подшипников
|
Условное обозначение
подшипника
|
d
|
D
|
B
|
Грузоподъемность, кН
|
|
Размеры,
мм
|
С
|
Со
|
|
308
|
40
|
90
|
23
|
41
|
22,4
|
|
111
|
55
|
90
|
18
|
28,1
|
17
|
Измерением находим расстояния на ведущем валу l1
= 71 мм и на ведомом l2
= 71 мм.
Примем окончательно l1
= l2
= 71 мм.
Глубина гнезда подшипника lг
≈ 1,5·В; для подшипника 308 В = 21 мм;
lг
= 1,5·21 = 31,5 мм; примем lг
= 32 мм.
Толщину фланца ∆ крышки подшипника
принимают примерно равной диаметру d0
отверстия; в этом фланце ∆ = 12 мм. Высоту головки болта примем
0,7·dб
= 0,7·12 = 8,4 мм. Устанавливаем зазор между головкой болта и торцом
соединительного пальца цепи в 10 мм. Длину пальца l
примем на 5 мм больше шага t.
Таким образом, l = t
+ 1 = 25,4 + 5 = 30,4 мм.
Измерением находим расстояние l3
= 62 мм, определяющее положение шкива относительно ближайшей опоры ведомого
вала.
8.
Проверка долговечности подшипников
Ведущий вал: Из предыдущих расчетов имеем Ft
= 3275 Н, Fr
= 1347 Н, Fa
=
686 H Нагрузка на вал от
цепной передачи Fb
=
2908 H и; из первого
этапа компоновки l1
= 71 мм и l3
= 62 мм, b1 =
80 мм.
Реакции опор:
Рассмотрим силы, действующие в горизонтальной
плоскости:
а.
H
б.
в. Проверка
-
- Верно
Рассмотрим силы, действующие в вертикальной
плоскости:
а.
Н
б.
Н
в. Проверка
Суммарные реакции
. (8.1)
Намечаем радиальные
шариковые подшипники 308: d = 40 мм; D =
90 мм;
= 23 мм; C =
41 кН и С₀ = 22,4 кН.
шевронный редуктор
подшипник вал
Эквивалентная нагрузка:
, (8.2)
= 1 (вращается внутреннее кольцо); коэффициент
безопасности ленточных
Конвейеров. (Примем Кб = 1,2,
учитывая, что клиноременная передача усиливает неравномерность нагружения.)
.
Отношение
этой
величине соответствует e
= 0,22.
Отношение
;
X = 1; Y
= 0. 
= 5923 H
Расчетная долговечность:
=
=328
млн.об. (8.3)
Расчетная долговечность:
ч. (8.4)
Ведомый вал несет такие же нагрузки, как и
ведущий:
Ft
= 841 Н, Fr
= 305,2 Н, Fa
=686H,
d2=320мм.
Из первого этапа компоновки l2
= 71 мм.
Реакции опор:
Рассмотрим силы, действующие в вертикальной
плоскости:
а.
б.
в. Проверка
- Верно
Рассмотрим силы, действующие в горизонтальной
плоскости:
а.
б.

в. Проверка
- Верно
Суммарные реакции:
(8.5)
Намечаем радиальные
шариковые подшипники 111: d =55 мм; D =
90 мм;
B = 18 мм; C =
28,1 кН и С₀ = 17кН.
Отношение
этой
величине соответствует e
= 0,24.
Отношение
;
X = 1; Y
= 0.
Поэтому
=
2184
(8.6)
Расчетная долговечность, млн. об.
=
=
2097 млн.об. (8.7)
Расчетная долговечность, ч.
(8.8)
здесь n = 120 мин-1 - частота
вращения ведомого вала.
Для зубчатых редукторов ресурс работы
подшипников может превышать 36000 ч (таков ресурс самого редуктора), но не
должен быть менее 10000 ч. (минимально допустимая долговечность подшипника). В
нашем случае подшипники ведущего вала 308 имеют ресурс Lh = 11188 ч,
а подшипники ведомого вала 111 имеют ресурс Lh = 291250
9.
Проверка прочности шпоночных соединений
Шпонки призматические со скругленными торцами.
Размеры сечений шпонок и пазов и длины шпонок - по ГОСТ 23360-78 [1, с 132]:
Материал шпонок - сталь 45 нормализованная.
Напряжения смятия и условие прочности по [2, с
128]:
σсмmах
≈
[σсм].
(9.1)
Допускаемые напряжения смятия при стальной
ступице [σсм]
= 100
120
МПа,
при
чугунной [σсм]
= 50
70
МПа.
Ведущий вал: d
= 32 мм; b
h
= 12
8
мм; t1
= 5 мм; длина шпонки l
= 50 мм;
[3,
с 23]; момент на ведущем валу T2
= 131·103 H·мм;
σсм
=
=
71,8 МПа
[σсм]
Ведомый вал.
Из двух шпонок - под зубчатым колесом и на
выходе редуктора - более нагружена вторая (меньше диаметр вала и поэтому меньше
размеры поперечного сечения шпонки).
=
48 мм; b
h = 16
10 мм; t1 = 6 мм;
длина шпонки l = 80 мм; T3 = 525·103
H·мм;
σсм =
= 85,4 МПа
[σсм]
Условие
σсм
[σсм] выполнено.
10. Уточненный расчет валов
Примем,
что нормальные напряжения от изгиба изменяются по симметричному циклу, а
касательные от кручения - по от нулевому.
Уточненный
расчет состоит в определении коэффициентов запаса прочности s для опасных
сечений и сравнений их с требуемыми значениями [s]. Прочность
соблюдена при s
[s].
Будем
производить расчет для предположительно опасных сечений каждого из валов.
Ведущий
вал [1, с 322]:
Рассчитаем
вал на изгиб и кручение:
Строим эпюру
плоскости:
Строим эпюру
в
вертикальной плоскости:
Строим эпюру
:
Строим эпюру
:
Строим эпюру
=0
=131 H
=0
Материал вала тот же, что и для шестерни, т.е.
сталь 45, термическая обработка - улучшение. среднее значение
в=570
МПа .
Предел выносливости при симметричном цикле
изгиба:
(9.2)
(9.3)
Сечение А-А. Диаметр вала в этом сечении 40.
Концентрация напряжений обусловлена посадкой подшипника с гарантированным
натягом. При
=
и
=
коэффициенты
=
0,2 и
=
0,1 [2,с. 166].
Коэффициент запаса прочности:
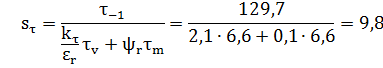
, (9.4)
где амплитуда и среднее напряжение от нулевого
цикла:
. (9.5)
Коэффициент запаса прочности по нормальным
напряжениям:
, (9.6)
(9.7)
где
мм³.
Wp
= 2
W
= 2
6280
= 12560 мм³.
(9.8)
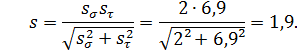
Результирующий коэффициент запаса прочности:
(9.9)
Сечение Л - Л. Концентрация напряжений
обусловлена переходом от
к,
мм:
при
=
=
1,25 и
=
=
0,08 коэффициенты концентрации напряжений
и
[1,
с 146]:. Масштабные факторы [1, с 182]:
;
Осевой момент сопротивления сечения:
Амплитуда нормальных напряжений:
Полярный момент сопротивления:
p
= 2
W
= 2
3200
= 6400 мм³.
Амплитуда и среднее значение цикла касательных
напряжений:
Коэффициенты запаса прочности:
Результирующий коэффициент запаса прочности для
сечения Л - Л:
Ведомый вал: [2, с 321]:
Рассчитаем вал на изгиб и кручение:
Строим эпюру
плоскости:
Н·м
Строим эпюру
в
вертикальной плоскости:
Н·м
Н·м
Строим эпюру
:
Н·м
Н·м
Строим эпюру
:
.
Строим эпюру
:
=0
=154 Н
м
=
=
Н
м
=524
=0
Материал вала - сталь 40Л нормализованная;
в=520
МПа [1, с 156]:
Пределы выносливости
и
Сечение А - А: Диаметр вала в этом сечении 60
мм. Концентрация напряжений обусловлена наличием шпоночной канавки [1,с. 124]:
=
1,6 и
=
1,5; масштабные факторы
= 0,79;
=
0,675 коэффициенты
= 0,2 и
=
0,1 [2,с. 166]
Крутящий момент Т3 = 525
10³
Н
мм.
Момент сопротивления кручению (d
= 60 мм, b = 18 мм, t1
= 7 мм)
Момент сопротивлению изгибу:
Амплитуда и среднее напряжение цикла касательных
напряжений:
= 6,6 МПа.
Коэффициент запаса прочности по нормальным
напряжениям:
МПа
Коэффициент запаса прочности по касательным
напряжениям:
Результирующий коэффициент запаса прочности для
сечения А - А:
11. ПОСАДКИ ДЕТАЛЕЙ РЕДУКТОРА
Посадки и квалитеты точности назначаются в
соответствии с рекомендациями [6,
с. 327,328]. Шейки валов
на подшипники выполняют с отклонением вала к6; Для
посадочного места вала под манжетное уплотнение h6;
Для
монтажного размера под распорную или дистанционную втулку a11;
Для ширины шпоночного паза Р9;
Для линейных размеров, определяющих положение
опор, фиксирующих положение вала h12;
Посадка крышек подшипников Н7/d11;
Посадка колеса на вал Н7/р6;
Отклонение вала на месте посадки подшипников к6.
12. ВЫБОР
СОРТА МАСЛА
Смазывание передач редуктора осуществляется
окунанием зубчатого колеса в масло, которое заливают внутрь на всю длину зуба.
При контактных напряжениях σН
= 334 МПа и окружной скорости= 2 м/с, вязкость масла должна быть приблизительно
равна 28 м/с [5, с.253]. Принимаем масло индустриальное И-30A ГОСТ 17479.4-87
[5, с.253].
Подшипники качения смазываются из картера в
результате разбрызгивания масла зубчатым колесом, образуется масляный туман и
растекание масла по валам.
Для редукторов при смазывании окунанием объем
масляной ванны определяется из расчета 0,4…0,8 л. Масла на 1 кВт. передаваемой
мощности.
V = (0,4…0,8)P1 (12.1)= (0,4…0,8)∙6,98 =
2,79…5,58 л.
принимаем V = 3,0 л.
13.
СБОРКА РЕДУКТОРА
Перед сборкой внутреннюю полость редуктора
тщательно очищают и покрывают маслостойкой краской.
Сборку производят в соответствии со сборочным
чертежом редуктора, начиная с узлов валов:
На быстроходный вал напрессовывают правый
подшипник и маслоотбойную шайбу до упора в бурт, после чего устанавливают вал в
стакан, и напрессовывают левый подшипник и крепят гайкой со стопорной шайбой.
(перед монтажом подшипники нагревают в масле до температуры 80…100 °С).
В тихоходный вал вкладывают шпонку и
напрессовывают зубчатое колесо до убора в бурт вала. Затем насаживают распорное
кольцо и напрессовывают подшипники качения, предварительно нагретые в масле до
температуры 80…100 °С, а также со стороны выходного конца вала устанавливают
регулировочную шайбу и врезную крышку, в которую предварительно было запрессовано
манжетное уплотнение.
Собранные валы укладывают в основание корпуса
редуктора, а также укладывают шайбу регулирующую подшипники и глухую крышку
подшипника, после чего на основание корпуса устанавливают крышку, покрывая
предварительно поверхности стыка спиртовым лаком. Для центровки устанавливают
крышку на корпус с помощью двух конических штифтов, затем затягивают болты,
крепящие крышку к корпусу.
После этого проворачиванием валов проверяют
отсутствие заклинивания подшипников (валы должны проворачиваться от руки).
После этого закрепляют крышку ведущего вала болтами.
Далее ввертывают пробку маслоспускного отверстия
с прокладкой и монтируют жезловый маслоуказатель, заливают в редуктор масло
И-30А ГОСТ 17479.4-87 объемом 3л., после чего ввертывают пробку регулирующее
уровень масла, закрывают смотровое окно крышкой-отдушиной, которую фиксируют
винтами. Собранный редуктор обкатывают и подвергают испытанию на стенде по
программе, установленной технической характеристикой.
СПИСОК ИСПОЛЬЗОВАННЫХ ИСТОЧНИКОВ
1 Дунаев, П.Ф., Леликов, О.П.
Конструирование узлов и деталей машин: учебное пособие/ Дунаев, П.Ф., Леликов -
Москва.: Академия, 2004.-407 с.
Кузьмин, А.В., Чернин, И.М.,
Козенцов, Б.С. Расчет деталей машин:
Справочное пособие/ Кузьмин, А.В.,
Чернин, И.М., Козенцов, Б.С- Москва.: Высшая школа, 1986.-415 с.
Куклин, Н.Г. Куклина Г.С., Житков,
В.К. Детали машин: учебник/ Куклин, Н.Г. Куклина, Г.С., Житков, В.К. -Москва.:
Высшая школа,2005.-445 с.
Скойбеда, А.Т., Кузьмин, А.В.,
Макейчик, Н.Н. Детали машин и основы
конструирования: учебное пособие/
Скойбеда, А.Т., Кузьмин, А.В., Макейчик, Н.Н.- Москва.: Высшая школа,
2006.-345с
Чернавский, С.А., Боков, К.Н.,
Чернин, И.М., Ицкович, Г.М., Казинцов, В.П. Курсовое проектирование деталей
машин: учебное пособие/ Чернавский, С.А., Боков, К.Н., Чернин, И.М., Ицкович,
Г.М., Казинцов, В.П. - Москва.: Машиностроение, 1988.-312 с.
Шейнблит, А.Е. курсовое
проектирование деталей машин: учебник/ Шейнблит, А.Е.- Курск .: Янтарный сказ,
2005.-434с.