Двухступенчатый цилиндрический редуктор с раздвоенной косозубой быстроходной ступенью и прямозубой тихоходной
Двухступенчатый
цилиндрический редуктор с раздвоенной косозубой быстроходной ступенью и
прямозубой тихоходной
Введение
Привод - устройство, предназначенное для приведения в действие машин и
механизмов. Привод состоит из источника энергии (двигателя электрического) и
механизма для передачи энергии (движения). Проектируемый в данной работе привод
состоит из электродвигателя, двухступенчатого цилиндрического редуктора с
раздвоенной косозубой быстроходной ступенью и прямозубой тихоходной, открытой
клиноременной передачи. Выходной вал редуктора соединен с конвейером цепной
однорядной муфтой.
Техническое
задание
Проектирование привода цепного конвейера.
Схема привода:
Дано:
Ft=5000 H, V=0.5 м/с, z=11, T=125, L=5 лет, Ксут=0,58, Кгод=0,8.
Серийность: 5шт.
График нагрузки:
1.
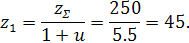
Кинематический и силовой расчет привода. Выбор электродвигателя
. Мощность на выходном валу привода, кВт:
Вт.
.
Коэффициент полезного действия (КПД) привода
.
.
Расчетная (требуемая) мощность электродвигателя, кВт:
Вт.
.
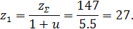
Частота вращения выходного вала, об/мин:
об/мин.
.
Передаточное число привода:
;
.
6.
Расчетная max и min частота вращения вала электродвигателя, об/мин:
;
об/мин;
.
об/мин.
. Выбор электродвигателя (по ГОСТ):
,;
.;
Выбираем
электродвигатель 4А71АУ3;
кВт;
об/мин.
.
Действительное передаточное число привода:
.
.
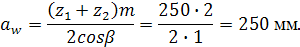
Разбивка передаточного числа привода по ступеням:
;
10. Силовые и кинематические параметры валов привода:
об/мин;
об/мин;
Вт;
об/мин;
Вт;
об/мин;
Вт;
с-1;
Нм;
с-1;
Нм;
с-1;
Нм;
с-1;
Нм;
Таблица
1. Силовые и кинематические параметры привода
|
Тип двигателя 4А71АУ3 Рном=4 кВт; nном=1435 об/мин
|
|
Пара-метр
|
Передача
|
Параметр
|
Вал
|
|
Закрытая (редуктор)
|
Откры-тая
|
|
Двига-теля
|
Редуктора
|
Приводной рабочей машины
|
|
I
|
II
|
|
|
|
Быстро-ходный
|
Промежу-точный
|
Тихо-ходный
|
|
|
Передаточное число u
|
4,5
|
4,5
|
3,2
|
Расчетная мощность Р, кВТ
|
3
|
2,8
|
2,7
|
2,5
|
2,5
|
|
|
|
|
Угловая скорость ω, 1/с
|
150
|
33,3
|
8,34
|
2,3
|
2,3
|
|
КПД
|
0,96
|
0,95
|
0,95
|
Частота вращения n, об/мин
|
1435
|
318
|
79,7
|
22
|
22
|
|
|
|
|
Вращаю-щий момент Т, Н*м
|
20
|
86
|
326
|
1118
|
1118
|
2.
Эскизный проект
2.1 Выбор
материала зубчатых передач. Определение допускаемых напряжений
2.1.1 Определение
числа циклов перемены напряжений:
2.1.2 Определение допускаемых контактных напряжений: а)
Первая ступень:
Шестерня быстроходного вала (300 НВ)
Колесо промежуточного вала (270 НВ)
Вторая ступень:
Шестерня промежуточного вала (270 НВ)
Колесо тихоходного вала (240 НВ)
Таблица 2. Механические характеристики материалов зубчатой передачи
|
Элемент передачи
|
Марка стали
|
Dперед
|
Термооб-работка
|
НВ1 ср.
|
σB
|
σ-1
|
[σ]H
|
[σ]F
|
|
|
Sперед
|
|
НВ2 ср.
|
|
|
Шестерня Колесо
|
Сталь 40Х Сталь 40Х
|
125 80
|
У У
|
300 270
|
900 900
|
410 410
|
522
|
278
|
|
Шестерня Колесо
|
Сталь 40Х Сталь 40Х
|
125 125
|
У У
|
270 240
|
900 790
|
410 375
|
473
|
272
|
2.2 Расчет
закрытой цилиндрической ЗП
2.2.1
Первая ступень
А) Межосевое расстояние;
Согласно ряду R40 принимаем
.
Б) Модуль зацепления:
Т.к. модуль 1.5 не подходит, а модуль 2.0 слишком большой, то принимаем
.
В) Угол наклона зубьев:
Г) Суммарное число зубьев:
Д) Действительная величина угла наклона зубьев:
Е) Число зубьев шестерни:
Ж) Число зубьев колеса:
З) Фактическое передаточное отношение
И) Фактическое межосевое расстояние:
К) Фактические геометрические параметры передачи:
Таблица 3.
|
Параметр
|
Шестерня
|
Колесо
|
|
Диаметр
|
Делительный
|
|
|
|
Вершин зубьев
|
|
|
|
Впадин зубьев
|
|
|
|
Ширина венца
|
|
|
Т.к. ступень раздвоенная, то ширину венца шестерни и колеса берем в 2
раза меньше:
Л) Проверка межосевого расстояния:
М) Проверка годности заготовок колес:
Условия пригодности:
;
Данное неравенство выполняется.
Н) Проверка контактных напряжений:
;
;
Окружная сила в зацеплении -
Окружная скорость колес
Условие прочности выполняется, т.к. перегрузка не превышает 5%.
О) Проверка напряжения изгиба зубьев шестерни
и колеса
:
П) Проверка зубьев при действии пиковой нагрузки:
Максимальное контактное напряжение:
Максимальное напряжение изгиба:
Таблица 4. Параметры зубчатой цилиндрической передачи.
|
Проектный расчет
|
|
Параметр
|
Значение
|
Параметр
|
Значение
|
|
Межосевое расстояние
|
130
|
Угол наклона зубьев
|
9,2674
|
|
Модуль зацепления
|
1,75
|
Диаметр делительной окружности: Шестерни Колеса
|
48 212
|
|
Ширина зубчатого венца: Шестерни Колеса
|
22,5 21
|
Диаметр окружности вершин: Шестерни Колеса
|
52 216
|
|
Число зубьев: Шестерни Колеса
|
27 120
|
Диаметр окружности впадин: Шестерни Колеса
|
44, 208
|
|
Вид зубьев
|
Косые
|
|
|
|
Проверочный расчет
|
|
Параметр
|
Допускаемые значения
|
Расчетные значения
|
Примечания
|
|
Контактные напряжения
|
522
|
543
|
Перегрузка 4%
|
|
Напряжения изгиба,
|
|
309
|
163
|
|
|
|
278
|
154
|
|
2.2.2
Вторая ступень
А) Межосевое расстояние;
Согласно ряду R40 принимаем
.
Б) Модуль зацепления:
Принимаем
.
В) Суммарное число зубьев:
Г) Число зубьев шестерни:
Д) Число зубьев колеса:
Е) Фактическое передаточное отношение
Ж) Фактическое межосевое расстояние:
З) Фактические геометрические параметры передачи:
Таблица 5.
|
Параметр
|
Шестерня
|
Колесо
|
|
Диаметр
|
Делительный
|
|
|
|
Вершин зубьев
|
|
|
|
Впадин зубьев
|
|
|
|
Ширина венца
|
|
|
И) Проверка межосевого расстояния:
К) Проверка годности заготовок колес:
Условия пригодности:
;
Данное неравенство выполняется.
Л) Проверка контактных напряжений:
;
;
Окружная сила в зацеплении
Окружная скорость колес
Условие прочности выполняется, т.к. недогрузка не превышает 10%.
М) Проверка напряжения изгиба зубьев шестерни
и колеса
:
H)
Проверка зубьев при действии пиковой нагрузки:
Максимальное контактное напряжение:
Максимальное напряжение изгиба:
Таблица 6. Параметры зубчатой цилиндрической передачи.
|
Проектный расчет
|
|
Параметр
|
Значение
|
Параметр
|
Значение
|
|
Межосевое расстояние
|
250
|
Угол наклона зубьев
|
|
|
Модуль зацепления
|
2
|
Диаметр делительной окружности: Шестерни Колеса
|
90 410
|
|
Ширина зубчатого венца: Шестерни Колеса
|
83 80
|
Диаметр окружности вершин: Шестерни Колеса
|
94 414
|
|
Число зубьев: Шестерни Колеса
|
45 205
|
Диаметр окружности впадин: Шестерни Колеса
|
85 405
|
|
Вид зубьев
|
прямые
|
|
|
|
Проверочный расчет
|
|
Параметр
|
Расчетные значения
|
Примечания
|
|
Контактные напряжения
|
473
|
426
|
|
|
Напряжения изгиба,
|
|
278
|
126
|
|
|
|
272
|
124
|
|
2.3 Расчет
и проектирование открытой передачи
. Исходные данные:
Мощности P1=3012 кВт, P2=2861 кВт; частоты вращения n1=1435 об/мин, n2=318 об/мин; передаточное отношение u=3.2; вращающие моменты T1=20 Нм, T2=86 Нм (параметры с индексом 1
относятся к ведущему (входному) валу передачи, с индексом 2 - к ведомому
(выходному)).
Выбираем тип сечения ремня А(А).
. Диаметр ведущего (малого) шкива:
Kd=3.5;
dmin=90 мм.
. Диаметр ведомого (большого) шкива:
Принимаем d2=315 мм.
. Действительное передаточное отношение;
. Межосевое
расстояние;
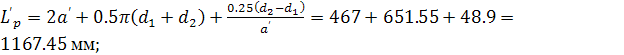
6. Расчётная длина ремня;
Lp=1250 мм.
. Действительное межосевое расстояние;
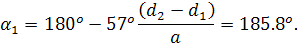
8. Угол обхвата ремнем ведущего шкива;
. Скорость
ремня;
10. Число ремней передачи;
P0=1.2 кВт; Cp=1.1; Cl=0.97; Ca=0.84; Ck=0.8.
СР- коэффициент, учитывающий динамичность передачи и режим её
работы;
СL- коэффициент, учитывающий длину
ремня;
Ca-
коэффициент, учитывающий угол обхвата
малого
шкива;
CK- коэффициент, учитывающий число ремней z;
Берем 4 ремня.
. Сила начального натяжения одного клинового ремня;
12.
Силы натяжения ведущей
и ведомой
ветвей
одного ремня;
13. Сила,
нагружающая валы передачи;
Таблица 7. Параметры клиноременной передачи.
|
Параметр
|
Значение
|
Параметр
|
Значение
|
|
Тип ремня
|
клиновой
|
Диаметр ведущего шкива d1
|
100 мм
|
|
Сечение ремня
|
А(А)
|
|
|
|
Количество ремней z
|
4 шт
|
Диаметр ведомого шкива d2
|
315 мм
|
|
Межосевое расстояние a
|
277.525 мм
|
Предварительное натяжение F0
|
100 Н
|
|
Длина ремня Lp
|
1250 мм
|
|
|
|
Угол обхвата малого шкива a1
|
185,8о
|
Сила давления ремня на вал Fоп
|
700 Н
|
2.4
Конструирование валов
2.4.1
Определение сил в зацеплении
1) Первая ступень. а) Окружная сила на колесе и шестерне:
б) Радиальная сила на колесе и шестерне:
в) Осевая сила на колесе и шестерне:

2) Вторая ступень. а) Окружная сила на колесе и шестерне:
б) Радиальная сила на колесе и шестерне:
3) Ременная
передача.
4) Муфта на
тихоходном валу.
2.3.2
Определение размеров ступеней валов
1) Быстроходный
вал
Конструктивно принимаем d=35
мм;
d1=d+2t=35+5=40 мм;
d2=d1+5мм=45 мм;
l=1.5d1=1.5*35=52 мм;
l1=1.5d1=1.5*40=60 мм;
l2=219 мм.
2)
Промежуточный вал
Конструктивно принимаем d1=50 мм;
d2=d1+5=55 мм;
d3= d2+5=60 мм;
l1=1.5d1=1.5*50=75мм;
l2=b2=42 мм;
L3=5 мм.
В виду конструктивных особенностей принимаем l1=53 мм.
3) Тихоходный
вал
d1=d+5мм=70 мм;
d2= d1+5мм=75 мм;
d3= d2+5мм=80 мм;
l=1.5*d1=1.5*65=97 мм;
l1=180 мм;
l2=b2=80 мм;
L3=94 мм.
2.5
Расчетная схема валов редуктора
2.5.1
Быстроходный вал
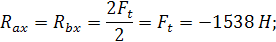
Дано: Ft1=1538 H; Fr1=505 H; Fa1=226 H; Fоп=700 H.
1) Вертикальная плоскость:
а) определение опорных реакций:
Проверка: -307+505+505-1403+700=0.
б) Построение эпюры изгибающих моментов относительно оси Х:
2) Горизонтальная плоскость
а) определение опорных реакций
б) построение эпюры изгибающих моментов относительно оси Y в характерных сечениях 1…3:
3) Построение эпюры крутящих моментов:
4) Определение суммарных радиальных реакций:
) Определение суммарных изгибающих моментов в наиболее нагруженных
сечениях:
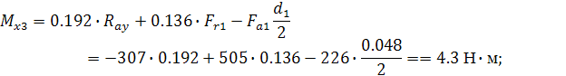
2.5.2
Промежуточный вал
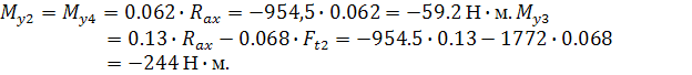
Дано: Ft2=1538 H; Ft3=15453 H; Fr2=505 H; Fa2=226 H; Fr3=1772 H.
1) Вертикальная плоскость
а) определение опорных реакций:
Проверка: -505-505-381-381+1772=0.
б) Построение эпюры изгибающих моментов относительно оси Х:
2) Горизонтальная плоскость
а) определение опорных реакций
Проверка: -954,5-954,5+5453-1772-1772=0.
б) построение эпюры изгибающих моментов относительно оси Y:
3) Построение эпюры крутящих моментов:

) Определение суммарных радиальных реакций:
5) Определение суммарных изгибающих моментов в наиболее нагруженных
сечениях:
2.5.3
Тихоходный вал
Дано: Ft4=5453 H; Fr4=1772 H; Fм=4180 H.
1) Вертикальная плоскость
а) определение опорных реакций:
Проверка: 886+886-1772=0.
б) Построение эпюры изгибающих моментов относительно оси Х в характерных
сечениях 2…4:
Таблица 8. Основные размеры и эксплуатационные характеристики подшипников
|
Вал
|
Подшипник
|
Размеры dxDxB, мм
|
Динамическая грузоподъемность, Н
|
Долговечность, ч
|
|
Принят предварительно
|
Выбран окончательно
|
|
Crp
|
Cr
|
L10h
|
Lh
|
|
Б
|
1000908
|
208
|
40x80x18
|
14511
|
32000
|
107229
|
10000
|
|
П
|
2210
|
2210
|
50x90x20
|
4517
|
45700
|
10352444
|
10000
|
|
Т
|
50143
|
50314
|
70x150x35
|
25955
|
104000
|
15068
|
10000
|
2.6 Расчет шпонок
2.6.1
Быстроходный вал
Шпонка под шкив: b=6
мм; h=6 мм; t1=3 мм; t2=2.3 мм; l=22 мм.
Шпонка выбрана верно.
2.6.2
Промежуточный вал
1) Шпонка под зубчатое колесо: b=6 мм; h=6 мм; t1=3.5 мм; t2=2.8 мм; l=36 мм.
Шпонка выбрана верно.
2.6.3
Тихоходный вал
1) Шпонка под зубчатое колесо: b=6 мм; h=6 мм; t1=3.5 мм; t2=2.8 мм; l=56 мм.
Шпонка выбрана верно.
) Шпонка под муфту:
b=6
мм; h=6 мм; t1=3.5 мм; t2=2.8 мм; l=56 мм.
Шпонка выбрана верно.
2.7
Проверочный расчет валов на статическую прочность
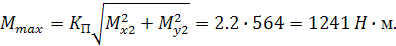
Коэффициент перегрузки Кп принимаем равным 2.2 (зависит от
типа двигателя).
2.7.1
Быстроходный вал
а) Суммарный изгибающий момент во втором сечении вала (см. п. 2.5.1.):
б) Суммарный крутящий момент:
в) Моменты сопротивления :
Изгибу
Кручению
г) Нормальное напряжение:
зубчатый передача вал подшипник
д) Касательное напряжение:
) Частные коэффициенты запаса прочности:
ж) Общий коэффициент запаса прочности:
2.7.2
Промежуточный вал
а) Суммарный изгибающий момент в третьем сечении вала (см. п. 2.5.2.):
б) Суммарный крутящий момент:
в) Моменты сопротивления :
Изгибу
Кручению
г) Нормальное напряжение:
д) Касательное напряжение:
) Частные коэффициенты запаса прочности:
ж) Общий коэффициент запаса прочности:
2.7.3
Тихоходный вал
а) Суммарный изгибающий момент во втором сечении вала (см. п. 2.5.3.):
б) Суммарный крутящий момент:
г) Нормальное напряжение:
д) Касательное напряжение:
) Частные коэффициенты запаса прочности:
ж) Общий коэффициент запаса прочности:
2.8
Проверочный расчет валов на сопротивление усталости
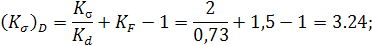
.8.1
Быстроходный вал
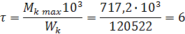
Допустимый коэффициент запаса прочности принимаем [s]=1.7.
Наиболее нагруженный участок вала в сечении подшипника 4 (см. п. 2.5.1.)
) Определяем напряжения в опасном сечении: Нормальное напряжение
Касательное напряжение
2) Определяем коэффициент нормальных и касательных напряжений:
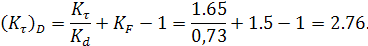
Радиус галтели r=2
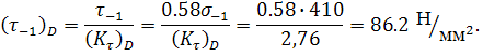
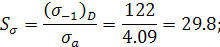
мм; буртик t=2,5 мм; σв=900 Н/мм2 => Kσ=2; Kτ=1.65.
Вал изготовлен из легированной стали 40Х => Kd=0.73.
KF=1.5
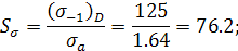
3) Определяем пределы выносливости:
.
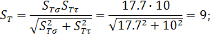
4) Определяем коэффициенты запаса прочности:
5) Определяем общий коэффициент запаса прочности в опасном сечении:
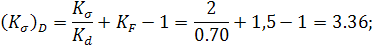
2.8.2
Промежуточный вал
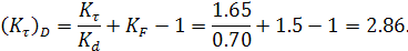
Допустимый коэффициент запаса прочности принимаем [s]=1.7.
Наиболее нагруженный участок вала в сечении шестерни 3 (см. п. 2.5.2.).
) Определяем напряжения в опасном сечении: Нормальное напряжение
Касательное напряжение
2) Определяем коэффициент нормальных и касательных напряжений:
Радиус галтели r=2,5
мм; буртик t=3 мм; σв=900 Н/мм2 => Kσ=2; Kτ=1.65.
Вал изготовлен из легированной стали 40Х => Kd=0.70.
KF=1.5
3) Определяем пределы выносливости:
4) Определяем коэффициенты запаса прочности:
5) Определяем общий коэффициент запаса прочности в опасном сечении:
2.8.3
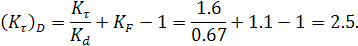
Тихоходный вал
Допустимый коэффициент запаса прочности принимаем [s]=1.7.
Наиболее нагруженный участок вала в сечении подшипника 2 (см. п. 2.5.3.)
) Определяем напряжения в опасном сечении: Нормальное напряжение
Касательное напряжение
2) Определяем коэффициент нормальных и касательных напряжений:
Радиус галтели r=2,5
мм; буртик t=3 мм; σв=790 Н/мм2 => Kσ=1.95; Kτ=1.6.
Вал изготовлен из легированной стали 40Х => Kd=0.67.
Выбран вид механической обработки - обточка => KF=1.1
3) Определяем пределы выносливости:
4) Определяем коэффициенты запаса прочности:
5) Определяем общий коэффициент запаса прочности в опасном сечении:
Т.к. конвейер ленточный, Kp=1.35.
Выбираем цепную однорядную муфту с цепью ПР-50.8-22700 (T=2000 Нм; ωмах=75 с-1).
Посадочное отверстие муфты d=65
мм; l=97 мм.
2.10 Смазывание
Смазочные устройства Для смазывания зубчатого зацепления применим способ
непрерывного смазывания жидким маслом окунанием. В редукторе будем использовать
масло И-Г-С-100 ГОСТ 17479.4-87 для 600 Н/мм2<sН<1000 Н/мм2 и окружной скорости до 2
м/с. Для контроля уровня масла применим жезловый маслоуказатель, так как он
достаточно надежен и удобен для обзора. Для слива загрязненного масла
предусмотрено сливное отверстие, закрываемое пробкой. Для осмотра зацепления и
заливки масла в крышке корпуса выполним одно окно. Окно закроем крышкой с
отдушиной. Отдушина необходима для соединения внутреннего объема редуктора с
внешней атмосферой. Т.к. окружная скорость на шестерне быстроходного вала
>1м/с, то колесо промежуточного вала должно быть погружено в масляную ванну на
глубину hм.
hм принимаем равным 10 мм.
Объем масляной ванны равен 0.718х0.117х0.206=0,0173 м3=17,3 л.
2.11 Конструирование корпуса редуктора
В качестве материала корпуса выбираем СЧ15. Толщина стенки корпуса:
Минимальное расстояние между рабочими органами и стенкой корпуса примем
с=11 мм
Крепление крышки редуктора к корпусу:
а) Диаметр болтов
Выбираем болты М14.
б) Ширина фланца
Список литературы
1. Дунаев П. Ф.,
Леликов О. П. Конструирование узлов и деталей машин: Учеб. пособие для техн.
спец. вузов. - 5-е изд., перераб. и доп. - М.: Высш. шк., 1998.
2. Шейнблит А.Е. Курсовое проектирование деталей машин: Учебное пособие.
Изд-е 2.-Калининград: Янтарный сказ,1999.
3. Чернавский С.А. Проектирование механических передач. - М.:
Машиностроение, 1988.
4. Анурьев В.И. Справочник конструктора -машиностроителя. - М.:
Машиностроение, 1982.