Исследование и оценка действия витаминов группы В на процесс приготовления йогурта

  • Вид работы:
    Дипломная (ВКР)
  • Предмет:
    Другое
  • Язык:
    Русский
    ,
    Формат файла:
    MS Word
    2,51 Mb
  • Опубликовано:
    2011-12-12
Вы можете узнать стоимость помощи в написании студенческой работы.
Помощь в написании работы, которую точно примут!

Исследование и оценка действия витаминов группы В на процесс приготовления йогурта

Содержание

 

Введение

1. Аналитический обзор литературы

2. Экспериментальная часть

2.1 Математическое планирование и организация эксперимента

2.2 Методы исследования

2.2.1 Определение органолептических показателей

2.2.2 Определение активной кислотности

2.2.3 Определение титруемой кислотности

2.2.4 Определение общего количества молочнокислых микроорганизмов (согласно ГОСТ 3526-84)

2.2.5 Определение антагонистической активности микроорганизмов (согласно ГОСТ 6312-78)

2.3 Обсуждение результатов экспериментальных исследований

2.3.1 Результаты органолептических исследований

2.3.2 Результаты измерения активной кислотности

2.3.3 Результаты измерения титруемой кислотности

2.3.4 Результаты определения общего количества молочнокислых микроорганизмов

2.3.5 Результаты оценки антагонистической активности

2.4 Выводы к экспериментальной части

3. Технологическая часть

3.1 Правила приготовления кисломолочных напитков

3.2 Производство йогурта с добавлением витаминов группы В

4. Экология

4.1 Краткая характеристика антропогенного влияния предприятия на экологическую обстановку

4.2 Характеристика источников выбросов в атмосферу

4.3 Характеристика воды, используемой в технологических процессах

4.4 Характеристика твердых отходов

4.5 Характеристика экологической безопасности сырья и продуктов

4.6 Выводы

5. Безопасность жизнедеятельности

5.1 Правовые и организационные вопросы

5.2 Производственная санитария и гигиена труда

5.3 Техника безопасности

5.4 Противопожарная профилактика

5.5 Расчет освещенности кисломолочного цеха

6. Экономическая часть

6.1 Анализ экономической эффективности

Заключение

Список использованной литературы

 

Введение

В настоящее время биотехнология становится все более важной составной частью экономики мира, в том числе и агропромышленного производства. Все больше внимания уделяется вопросу разработки и освоению новейших биотехнологий в растениеводстве, животноводстве, ветеринарной медицине, хранении, транспортировке и переработке сельскохозяйственной продукции, получению и использованию биологически активных веществ, кормовых добавок и др. В современной биотехнологии видят одно из средств для преодоления продовольственных, энергетических, сырьевых и экологических проблем [30].

В связи с постоянным и интенсивным развитием молочной промышленности возникает необходимость в разработке более целесообразных и экономически рентабельных способов производства молочных продуктов. Цель данной дипломной работы - исследовать влияние витаминов группы В на процесс приготовления йогурта. Задачами исследования являются анализ и оценка действия витаминов группы В на:

. Органолептические показатели продукта;

. Нарастание кислотности и скорости сквашивания молока;

. Динамику развития молочнокислых микроорганизмов;

. Антагонистическую активность продукта.

В настоящее время использование усовершенствованных технологических схем в производстве молочных продуктов является актуальным вопросом в современной пищевой биотехнологии. Поэтому поставленные цель и задачи дипломной работы можно считать важными и необходимыми для выполнения.

йогурт витамин микроорганизм органолептический

1. Аналитический обзор литературы


Витамины представляют собой низкомолекулярные органические соединения. Они, как правило, не синтезируются в организме, или синтезируются в количествах, недостаточных для его обеспечения. Поэтому основным источником большинства витаминов являются продукты питания, в которых они содержатся в больших или меньших количествах [6].

Поступая в организм с пищей, витамины принимают участие в обмене веществ. Так, например, большинство витаминов группы В вступает в соединение со специфическими белками ферментов, действуя в качестве коферментов. Для других витаминов, в частности растворимых в жирах, такое участие в метаболизме еще не доказано, хотя и вероятно. Витамины в виде коферментов активно участвуют в сложных биохимических реакциях процессов анаболизма и катаболизма, протекающих в клетках и тканях организма, а также на уровне молекулярных механизмов во внутриклеточных частицах, в особенности в митохондриях [19].

Несмотря на то, что многие витамины представляют собой вещества с хорошо установленным химическим строением, они, по-видимому, в силу хронологической последовательности, связанной с их открытием, сохранили название по буквам латинского алфавита. Буквенный порядок наименования этих витаминов не соответствует их расположению в алфавите и не вполне отвечает исторической последовательности открытия этих веществ.

Витамин В1 (тиамин, аневрин) широко распространен в растениях, однако, за исключением некоторых особенно богатых им продуктов (дрожжи, пшеничные зародыши, рисовые отруби), он встречается в них в сравнительно небольших количествах. Большая часть тиамина в растительных продуктах находится в свободном виде, меньшая − в виде тиаминдифосфата (тиаминпирофосфата, кокарбоксилазы). В животных продуктах он встречается в виде комплекса белка, магния и тиаминфосфата. Из животных продуктов тиамином богаче всего печень, почки, сердце и нежирная свинина. Молекула чистого тиамина состоит из пиримидинового и тиазолового колец, связанных с метиленовой группой [13,6].

Тиамин

Практически, когда речь идет о чистом препарате, чаще всего имеют дело с тиаминхлоридом. Это бесцветные моноклинические игольчатые кристаллы горьковатого вкуса с запахом орехов. Они имеют максимум поглощения при 235 и 267 ммк. Молекулярный вес 337,3. Тиамин растворим в воде, нерастворим в растворителях жиров, теплоустойчив в кислых и разрушается в нейтральных и щелочных растворах, особенно при кипячении и автоклавировании.

В организме тиамин находится главным образом в виде тиаминдифосфата и в меньшей степени монофосфата и трифосфата. Тиаминдифосфат служит простетической группой ферментов, участвующих в важнейших звеньях углеводного обмена: дегидрогеназа пировиноградной кислоты, дегидрогеназа α-кетоглутаровой кислоты и транскетолаза. Тиаминфосфат действует как кофермент в системе транскетолазы, связанной с прямым окислительным путем глюкозы. Тиамин и пантотеновая кислота участвуют в синтезе ацетилхолина, играющего важную роль в гуморальной передаче нервного импульса. При недостаточности тиамина в организме накапливаются пировиноградная и молочная кислоты.

В природе встречаются вещества, оказывающие антитиаминное действие. Они обнаружены в мясе некоторых пресноводных рыб (карп и др.), в мясе атлантической сельди, в креветках, моллюсках. Некоторые из этих веществ действуют наподобие ферментов. Такой фермент получил название тиаминазы. Антагонисты тиамина были воспроизведены также химическим путем.

Недостаточность организма человека в тиамине бывает экзогенной (первичной), связанной с дефицитом этого витамина в питании, и эндогенной (вторичной), причиной которой является в основном нарушение усвояемости или разрушение тиамина в организме.

Недостаток тиамина в питании относится к так называемым болезням цивилизации. Основными ее причинами являются, с одной стороны, все возрастающее потребление хлебных изделий из пшеничной муки высшего и первого сортов, бедных тиамином, а с другой − высокое потребление сахара и кондитерских изделий, увеличивающих легко всасываемую углеводную часть пищевого рациона, что приводит к повышению потребности организма в тиамине. Из этого следует, что тиаминовая недостаточность не связана только с южным климатом, как об этом много говорилось и печаталось в прежние годы, в связи с проблемой бери-бери вследствие преимущественного питания полированным рисом. Гиповитаминоз B1 обнаружен также в умеренных широтах и на Крайнем Севере. Запасы тиамина в организме невелики и быстро истощаются при различного рода резких физиологических напряжениях. К ним нужно отнести воздействие очень холодного климата Крайнего Севера, а также влияние жаркого климата. Обнаружение ранних симптомов B1-гиповитаминоза представляет значительные трудности вследствие того, что клинические явления в этот период носят большей частью стертый и неясный характер. Поэтому ведущее значение в его распознавании имеют специфические биохимические реакции, устанавливающие ранние нарушения обмена веществ, и не специфические, но достаточно характерные физиологические реакции [19].

Эндогенная недостаточность тиамина встречается при хроническом алкоголизме, невритах, заболеваниях желудочно-кишечного тракта, тиреотоксикозе, диабете, различных отравлениях: сероуглеродом, тетраэтилсвинцом, ртутью, метиловым спиртом, мышьяком.

Клинические симптомы недостаточности тиамина следующие: постепенная потеря аппетита, тошнота, запоры, астения, адинамия, судороги и слабость нижних конечностей, учащенное сердцебиение, одышка при незначительном физическом напряжении, раздражительность, ослабление памяти. Тиамин токсичен при применении лишь в больших дозах (100 мг и выше), в особенности парентерально. В этих количествах он угнетает холинэстеразу и гистаминазу и относительно редко вызывает реакции, напоминающие анафилактический шок, со следующими явлениями: ощущение жара, слабость, беспокойство, тошнота, потоотделение, спазм глотки, тахикардия, стенокардия, одышка, гипотензия, крапивница, эозинофилия. Появление реакций и их интенсивность связаны не только с величиной дозы, но и с повышенной чувствительностью к тиамину. У людей, имеющих дело с препаратами витамина В1 наблюдается дерматит рук и предплечий [13]. Витамин В2 (рибофлавин) широко распространен в природе. Из растительных продуктов им наиболее богаты пекарские и пивные дрожжи и бобовые, из животных продуктов − мясо, печень, почки и сердце, коровье молоко, яйца. В животных и растительных продуктах рибофлавин встречается реже в свободном виде и чаще − в связанном, в виде коферментов: рибофлавин-мононукдеотида и рибофлавин-адениндинуклеотида. Рибофлавин представляет собой производное изоаллоксазина, связанного с сахарным спиртом (рибитилом), имеющим 5 углеродных атомов:

Рибофлавин

Молекулярный вес рибофлавина 374,4. Максимумы поглощения при 223, 263, 268, 359-372, 445, 475 ммк. Это тонкие оранжево-желтые кристаллы, горькие на вкус, растворимые в воде и спиртах, нерастворимые в растворителях жиров. Рибофлавин теплоустойчив в сухом виде и в кислых растворах и неустойчив в щелочных растворах, а также к свету [19].

Аналогами-антагонистами рибофлавина являются диэтилфлавин, изорибофлавин, противомалярийный препарат атебрин и др. В организме рибофлавин действует в составе уже упомянутых выше коферментов: рибофлавин-мононуклеотида и рибофлавин-адениндинуклеотида, которые, соединяясь с белками или с минеральными элементами (магнием, железом, медью и молибденом), в виде цитохром-редуктаз, оксидаз, дегидрогеназ и диафораз активно участвуют как переносчики водорода в целом ряде ферментных реакций промежуточного обмена, осуществляя окислительное фосфорилирование в дыхательной цепи [13].

В большинство этих ферментов входит рибофлавин-адениндинуклеотид и в меньшинство − флавин-мононуклеотид. Входя в различные аминокислотные оксидазы, рибофлавин также необходим для правильного обмена белков. Он проявляет стимулирующее процессы анаболизма действие в зависимости от содержания белков в пище.

Витамин В2 влияет на рост и развитие плода. Недостаток его во время беременности может привести к недонашиванию плода и его уродствам. Рибофлавин вместе витамином А и амидом никотиновой кислоты участвует в акте светового и цветового зрения и обладает экранирующим действием на глаз, предохраняя его от вредного влияния ультрафиолетовых лучей.

При экзогенной и эндогенной недостаточности в рибофлавине плохо заживают раны и трофические язвы, а также трещины сосков у женщин. Недостаточность рибофлавина чаще всего встречается наряду с дефицитом животного белка и никотиновой кислоты.

Наиболее частыми симптомами недостаточности рибофлавина являются изменения со стороны слизистой оболочки рта, кожи и глаз. Наиболее ранний симптом − поражение слизистой в углах рта с образованием трещин, эрозий и язв: так называемый ангулярный стоматит, или "заеды" (старое русское название). Затем возникают поражения слизистой губ на месте их смыкания, приводящие к вертикальным трещинам - хейлоз, изменения слизистой оболочки языка, который становится пурпурно-красным с мелкозернистой поверхностью − глоссит. Наряду с этим отмечаются себорейный дерматит кожи лица, ушей, груди, заболевания глаз: блефарит, конъюнктивит и васкуляризирующий кератит со слезотечением, жжением и светобоязнью.

Эндогенная недостаточность рибофлавина встречается при заболеваниях желудочно-кишечного тракта, гепатитах, болезнях кожи. Рибофлавин нетоксичен.

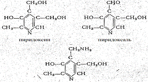
Витамин В6 встречается в природе в трех видах: пиридоксин, пиридоксаль, пиридоксамин. В небольших количествах он широко распространен в растениях, в значительных − в животных продуктах. Из растительных продуктов хорошими его источниками являются сухие пивные дрожжи, пшеничные отруби, пшеница, ячмень, просо, кукуруза, бобовые; из животных продуктов − говядина, говяжья печень, почки, телятина, свинина, баранина, сыр, треска, лососина, тунец.

Химическое строение витаминов группы В6 следующее:

пиридоксамин

Молекулярный вес пиридоксина 169,2. Максимум поглощения при рН 2,1-291 ммк, рН 6,6-255-324 ммк, при рН 10-247 и 310 ммк. Пиридоксин хлоргидрат представляет собой бесцветные призмы, легко растворимые в воде и спирте, устойчивые к нагреванию, к кислотам и щелочам, но неустойчивые к свету. Молекулярный вес пиридоксаля 167,2; спектры поглощения такие же, как и у пиридоксина; неустойчив к нагреванию. Молекулярный вес пиридоксамина 183,2. Это бесцветные кристаллы, неустойчивые к нагреванию. Аналогами-антагонистами пиридоксина являются 4-дезоксипиридоксин, токсипиримидин и изоникотинилгидразид [6].

Пиридоксин участвует в обмене веществ в фосфорилированном виде, в основном в виде кофермента пиридоксальфосфата (ПАЛФ), входящего в состав многих трансаминаз и декарбоксилаз, а также в состав кинурениназы, цистотианазы, серии - и треониндегидраз и др. Он играет весьма важную роль в синтезе таких коферментов, как НАД, НАДФ, коэнзим А и др., в синтезе серотоиина и γ-аминомасляной кислоты. Другие коферменты пиридоксина имеют гораздо менее широкий спектр действия.

Витамин В6, по видимому, играет роль в обмене жира, так как при его недостатке нарушается превращение белков в жиры и образование эссенциальных полиненаеыщенных жирных кислот. При расщеплении пиридоксина в организме он в основном выделяется с мочой в виде 4-пиридоксиловой кислоты.

При недостаточности в пиридоксине у грудных детей наблюдаются эпилептиформные судороги и гипохромная микроцитарная анемия. Развитие В6-недостаточности у взрослых усугубляется при действии аналогов-антагонистов пиридоксина. При этом наступает потеря аппетита, тошнота, беспокойство, раздражительность, сонливость, сухой себорейный дерматит лица, головы, шеи, груди, хейлоз, конъюнктивит, глоссит, психотические реакции. Вторичная (эндогенная) недостаточность витамина В6 была обнаружена при токсикозе беременных с повышенным выделением с мочой ксантуреновой кислоты и резким понижением выделения 4-пиридоксиловой кислоты после нагрузки триптофаном [19].

Пиридоксин и пиридоксамин нетоксичны. Пиридоксаль обладает относительно высокой токсичностью.

Витамин В12 (кобаламин) в растительных продуктах практически отсутствует, но он синтезируется микроорганизмами. Хорошими его источниками являются мицелий ряда стрептомицетов, пропионовокислые и метанобразующие бактерии. Из животных продуктов он содержится в достаточных количествах в печени ряда рыб, крупного рогатого скота, свиней. В обычных условиях кобаламин синтезируется бактериями кишечной флоры в количествах, достаточных для организма.

Витамин B12, используемый человеком и животными, встречается в нескольких формах, химические и физические свойства которых практически одинаковы. Все эти соединения носят название "кобаламины". Наиболее типичный из них − цианокобаламин.

цианокобаламин

Он включает рибозонуклеотидную часть, в которой вместо пурина и примидина в качестве основания содержится 5,6-диметилбензимидазол. Структурной основой цианокобаламина является макрокольцо из четырех пиррольных колец, сходных по строению с порфирином.

Атомы азота пиррольных колец и один из атомов азота бензимидазола связаны с атомом кобальта, который в свою очередь координационно связан с анионом − цианидным радикалом. Из 19 углеродных атомов, составляющих макрокольцо, у 13 водород замешен метальными группами или длинными боковыми цепями ацетамидных или пропионамидных радикалов. Молекулярный вес 1490±150. Максимумы поглощения при 278, 361 и 550 ммк. Темно-красные иглы или призмы без вкуса и запаха. Хорошо растворимы в воде и спирте. Нейтральные или слабокислые растворы стойки при комнатной температуре и в темноте. Свет, в особенности солнечный, разрушает витамин B12. В водном растворе при рН от 4,0 до 6,0 витамин B12 практически не разрушается даже при автоклавировании при 120° в течение 15 минут.

Наряду с цианокобаламином выделены еще аквокобаламин, нитритокобаламин, имеющие основной характер, а также группа кислых кобаламинов. Из аналогов витамина B12 следует отметить фактор А, фактор В, псевдовитамин В12 и др [19].

Поступающий в организм витамин B12 соединяется в тонких кишках с "интринзивным" (внутренним) фактором Касла, выделяемым железами дна желудка. Фактор Касла представляет собой гликопротеид-гастромукопро-теид, имеющий высокий молекулярный вес (40 000 − 70 000), сложного состава, включающий не менее 15 аминокислот, гексозамин, маннозу, галактозу и фруктозу. Механизм действия внутреннего фактора полностью еще не ясен. Он весьма сложен и, возможно, в нем участвует стенка кишечника. Роль этого фактора, по-видимому, заключается в связывании витамина B12, предохранении его от использования кишечными бактериями и инактивации продуктами их обмена, а также в облегчении всасывания самого витамина. Из поступающего с пищей кобаламина всасывается очень ограниченное количество, несмотря на добавление гастромукопротеида.

Витамин B12 относится к веществам с весьма высокой биологической активностью. Основная роль его в обмене веществ полностью еще не раскрыта. Есть основание полагать, что благодаря своей нуклеотидной группе он выполняет главным образом коферментные функции и связывается со специфическими белками. Установлены роль витамина В12 в биохимических обменных реакциях, связанных с сульфгидрильными ферментными системами, участие его в синтезе лабильных метальных групп, в образовании метионина и холина, участие в синтезе нуклеиновых кислот, в частности пуриновых и пиримидиновых оснований. Участие кобаламина в их синтезе, а также в синтезе аминокислот, по-видимому, сопряжено с фолиевой кислотой. Витамин В12 способствует образованию тетрагидрофолиевой кислоты, а последняя в виде формильного производного осуществляет перенос одноуглеродного остатка, замыкая кольцо 4,5-амино-5,4-имидазолкарбоксамида. Таким образом, при недостаточности витамина B12 задерживается синтез ряда незаменимых аминокислот (метионина и др.), белков и блокируется синтез рибонуклеиновых кислот [13].

Дефицит витамина В12 у человека наступает вследствие либо недостаточного получения его с пищей, либо недостаточного его всасывания в кишечнике. Алиментарная (экзогенная) недостаточность встречается в старческом возрасте при ограниченном потреблении мяса, рыбы, яиц и молочных продуктов, а также у лиц среднего возраста при строго вегетарианском питании. Недостаточностью витамина B12 эндогенного происхождения является пернициозная анемия, характеризующаяся мегалобластическим перерождением костного мозга, гиперхромной анемией, поражением языка (глоссит), слизистой оболочки рта, атрофией слизистой дна желудка и фуникулярным миелозом. Как уже указывалось, основной причиной пернициозной анемии является не столько недостаточное поступление в организм витамина В12, сколько нарушение его использования в пищеварительном тракте. Для использования и всасывания витамина B12 необходимо наличие гастромукопротеида, который у больных пернициозной анемией не вырабатывается в организме вследствие атрофии желез дна желудка [6].

Витамин B12 нетоксичен, но назначение его в очень больших дозировках, без специфических показаний, в особенности в пожилом возрасте, нецелесообразно вследствие резкой стимуляции белкового обмена и, в частности, обмена нуклеиновых кислот.

Витамин В3 (пантотеновая кислота) широко распространена в природе. Из растительных продуктов ею богаче всего сухие дрожжи, орехи, бобовые растения, зерновые продукты, грибы, картофель. Из животных продуктов богаты пантотеновой кислотой говяжья печень, говядина, телятина, свинина, яйца, лососина, сельдь.

Пантотеновая кислота является составной частью коэнзима А, который играет важную роль в промежуточном обмене и процессах окисления. По химическому строению это пептид, состоящий из пантоевой кислоты и β-аланина:

пантотеновая кислота

Пантотеновая кислота − это бледно-желтое вязкое масло с молекулярным весом 219. Она является слабым основанием. В таком виде она не могла быть выделена в виде кристаллов, но ее натриевая, калиевая и кальциевая соли представляют собой кристаллы. Пантотеновая кислота хорошо растворима в воде, этиловом спирте, малорастворима в эфире, ацетоне, нерастворима в бензоле и хлороформе. Устойчива к свету и кислороду воздуха. Она стойка в нейтральных растворах, но разрушается в горячих кислых или щелочных растворах. Пантотеновая кислота используется практически главным образом в виде кальциевой соли − пантотената кальция с молекулярным весом 476,6. Это тонкие белые иглы сладкого вкуса, легко растворимые в воде, со щелочной реакцией. Наиболее сильным аналогом-антагонистом пантотеновой кислоты для человека является омега-метилпантотеновая кислота.

Организм человека и животных не может синтезировать пантотеновую кислоту из пантоевой кислоты и β-аланина. В организме человека происходит синтез коэнзима А из пантотеновой кислоты при посредстве специальной киназы (через пантетеин в коэнзим А).

Коэнзим А в виде ацетил-коэнзима принимает участие в одной из самых важных реакций в животных тканях − процессе ацетилирования. Кроме того, он катализирует большое число других, важных ферментных реакций.

Обмен пантотеновой кислоты в организме тесно связан с функцией ряда эндокринных органов; в частности, нормальная деятельность надпочечников зависит от обеспеченности организма пантотеновой кислотой. По-видимому, она необходима для синтеза гормона коры надпочечников. С другой стороны, функции кортикостероидов могут до некоторой степени замещаться пантотеновой кислотой.

Для правильного использования пантотеновой кислоты в организме необходима фолиевая кислота и биотин. Пантотеновая кислота и коэнзим А способствуют росту эпидермальной ткани [6].

У человека до сих пор еще не обнаружено ясных клинических симптомов экзогенной недостаточности пантотеновой кислоты. Однако они несомненно встречаются при повышенной потребности в этом витамине и понижении кишечного синтеза его. Ряд симптомов, связанных с недостаточностью пантотеновой кислоты, описан при бери-бери, пеллагре, арибофлавинозе.

Признаки недостаточности пантотеновой кислоты у человека проявляются после приема ее антагонистов. К этим признакам относятся: слабость, утомляемость, нервно-психические нарушения, парестезии конечностей, периферический неврит, эпигастральные боли, понижение сопротивляемости инфекциям дыхательных путей, гипохлоргидрия, уменьшение холестерина в крови.

Недостаточность пантотеновой кислоты с начала беременности может быть причиной преждевременных родов с высокой смертностью. Выжившие дети часто страдают пороками развития.

Как уже отмечалось, эндогенная недостаточность пантотеновой кислоты возникает в случае подавления кишечной флоры при различных заболеваниях или под влиянием антибиотиков, сульфаниламидных препаратов, противотуберкулезных средств (фтивазид и др.). Она возникает также при восстановительных процессах после операций и ожогов. Пантотеновая кислота нетоксична даже в дозировках до 500 мг в день.

2. Экспериментальная часть


2.1 Математическое планирование и организация эксперимента


Целью эксперимента является изучение влияния витаминов группы В (В2, В6, В12) на развитие L. bulgaricum в процессе приготовлении йогурта.

Задачами эксперимента являются изучение влияния витаминов группы В (В2, В6, В12) на:

. Органолептические показатели продукта;

. Нарастание кислотности и скорости сквашивания молока;

. Динамику развития молочнокислых микроорганизмов;

. Антагонистическую активность продукта.

В процессе эксперимента приготовлен кисломолочный напиток − "Йогурт 2,5%" в соответствии с нормативно-техническим документом ТУ 9222-217-00419785-00. В готовом продукте содержится не менее 2,5 % жира, белка 2,9 %, углеводов 13,1 %, кислотность составляет 120-140˚ Т. Напиток годен в течение 14 суток при температуре хранения не выше 4±2º С.

Молочнокислый напиток "Йогурт 2,5 %" с добавлением витамина В готовили следующим образом: в нормализованное, пастеризованное и гомогенизированное молоко вносили концентрации 1,0 и 0,5% витаминов В2, В6 и В12 по отношению к количеству сквашиваемого молока, перемешивали и заквашивали закваской, состоящей из чистой культуры L. bulgaricus, в количестве 5% от объема полученной смеси. В контрольный образец витамин не добавляли. Сквашивание проводили в течение 6 часов при температуре 41±2 ˚С. Каждые два часа проводили органолептическую оценку, измеряли pH и определяли общее количество молочнокислых микроорганизмов в исследуемых образцах [21].

При производстве напитка была выбрана лиофилизированная закваска состоящая из чистой культуры L. bulgaricus

Для проведения эксперимента использовалось молоко нормализованное, пастеризованное и гомогенизированное с pH 6,72 и титруемой кислотностью 20 Т˚.

Для определения общего количества молочнокислых микроорганизмов бала взята питательная среда - сухая MRS. В состав среды входят: пептон мясной ферментативный, дрожжевой экстракт, агар микробиологический, глюкоза, фосфат калия, ацетат натрия, диамммоний цитрат, сернокислый магний и сернокислый марганец, твин 80, сорбиновая кислота. Готовили среду согласно инструкции, указанной на упаковке. Стерильную среду разливали в стерильные чашки Петри по 15-20 мл и подсушивали.

 

.2 Методы исследования

 

.2.1 Определение органолептических показателей

При оценке органолептических показателей определяли цвет, запах, вкус и консистенцию напитка. Цвет напитка определяли в стеклянной колбе при отражающем дневном свете. Запах определяли при переливании из одного сосуда в другой. Органолептические исследования образцов сравнивали с нормами установленными ТУ 9222-217-00419785-00 [24].

2.2.2 Определение активной кислотности

Определение активной кислотности исследуемых образцов проводили согласно ГОСТ 26781-85 с помощью ручного pH - метра, марка которого pH ер 2. pH - метр погружали в исследуемый образец и считывали установившееся значение активной кислотности. Для этого каждый анализ проводили 3 раза [17].

2.2.3 Определение титруемой кислотности

Титруемую кислотность молока определяли методом титрования молока в присутствие индикатора фенолфталеина, согласно ГОСТ 3624-67. Брали 10 мл исследуемого напитка, добавляли 20 мл дистиллированной воды, 3 капли фенолфталеина и титровали 0,1 раствором NaOH. Количество щелочи, пошедшего на титрование, умножали на 10 и получали кислотность в градусах Тернера.

2.2.4 Определение общего количества молочнокислых микроорганизмов (согласно ГОСТ 3526-84)

Сущность метода заключается в посеве определенного количества исследуемого субстрата или его разведения в чашки Петри с плотной питательной средой и после термостатирования (в зависимости от видов организмов) подсчитывают выросшие колонии. Исходя, из предлагаемой обсемененности исследуемого продукта готовят разведение для посевов. Если микрофлора исследуемого материала обильная, то рассчитывают такое разведение, в результате посева которого 1 мл этого разведения на чашки Петри находилось десятки колоний. Разведения готовили в пробирках на физиологическом растворе. Стерильной пипеткой 1 мл исследуемого образца вносили в первую пробирку с 9 мл. физиологического раствора. Получаем разведение 1: 10. Новой стерильной пипеткой перемешивали разведение 1: 10 и 1 мл, его переносили во вторую пробирку с 9 мл. физиологического раствора. Получается разведение 1: 100 и т.д. Делали 8 разведений. Из последних трех разведений делали посев на чашки Петри с плотной средой по 1 мл. Схема проведения посева на чашки Петри показана на рисунке 2.1

Рисунок 2.1 - Схема проведения посева на чашки Петри.

После окончания посевов, подписанные чашки Петри помещали в термостат при температуре 42±2˚С. Через 72 часа подсчитывали выросшие колонии микроорганизмов [20,25].

Для подтверждения наличия роста болгарской палочки из выросших колоний делали мазки, которые окрашивали простым способом (метиленовой синью). Для этого на фиксированный мазок пипеткой наливали несколько капель краски. Через 2-3 минуты краску смывали водой, мазок высушивали и рассматривали под масляной иммерсионной системой микроскопа. В поле зрения микроскопа наблюдали формы бактерий, характерные для болгарской палочки, одинарные палочки.

Для подсчета берут те чашки Петри, на которых колонии хорошо отделены одна от другой. Каждую отсчитанную колонию помечают точкой с нижней стороны чашки Петри. При большом количестве колоний дно чашки делят на сектора, подсчитывают количество колоний в каждом секторе и результаты суммируют. Следует, иметь в виду, что точность метода зависит от числа подсчитанных колоний: лучшим разведением считают то, при высеве из которого на плотной питательной среде вырастает от 50 до 150 колоний. Если число выросших колоний меньше 10, то эти результаты отбрасывают. Желательно, чтобы общее количество подсчитанных колоний при высеве данного разведения было не менее 300 [1].

Зная количество выросших колоний и степень разбавления, легко определить количество микроорганизмов в 1 мл исследуемого материала, используя формулу (2.1).

N= (a±2) K/V (2.1)

где N - количество микроорганизмов в 1 мл суспензии;

K - разведение, из которого проведен посев;

A - среднее количество колоний на чашке Петри при разведении K;

V - объем суспензии.

2.2.5 Определение антагонистической активности микроорганизмов (согласно ГОСТ 6312-78)

Антагонистическую активность штаммов определяли диффузионным методом. Готовили взвеси патогенных микроорганизмов из суточных культур тест-микроорганизмов, затем засевали газоном на чашки Петри с мясопептонным агаром, подсушивали. В пластине агара с тест-микроорганизмом делали лунки и вносили исследуемые образцы кисломолочных продуктов. Засеянные таким образом чашки Петри термостатировали при 37 0 С в течение 18 - 24 ч, после чего измеряли зону угнетения роста тест-микробов вокруг лунок с контрольными и опытными образцами.

 

.3 Обсуждение результатов экспериментальных исследований


По данным литературы витамины группы В (В2, В6, В12) оказывают стимулирующее действие на развитие микроорганизмов. Определенное практическое значение имеют оптимальные концентрации влияния витаминов. Нами исследованы концентрации 1,0 и 0,5% витаминов по отношению к количеству сквашиваемого молока. Контролем служил кисломолочный напиток без добавления витаминов.

2.3.1 Результаты органолептических исследований

При определении органолептических показателей исследуемых образцов получены данные, которые представлены в таблице 2.1

Таблица 2.1 - сравнительная органолептическая оценка сквашиваемых образцов.

Показатель

Контроль

Концентрация витамина, %



В2

В6

В12



0,5

1

0,5

1

0,5

1

Цвет

белый

бледно - желтый

желтый

белый

белый

бледно- розовый

розовый

Запах

кислого молока

кислого молока

кислого молока

кислого молока

кислого молока

кислого молока

кислого молока

продолжение таблицы 2.1

Консистенция

густая

густая

густая

густая

густая

густая

густая

Вкус

кисло-молочный

кисло- молочный

кисло - молочный

кисло - молочный

кисло - молочный

кисло - молочный

кисло - молочный


Из таблицы 2.1 видно, что внесение витаминов В2 и В12 существенно изменяет цвет молока в процессе сквашивания. Образцы приобретают желтую и розовую окраску. Следовательно витамины В2 и В12 могут использоваться в качестве пищевых красителей. В образцах с витаминами скорость образования сгустка увеличивается по сравнению с контролем.

2.3.2 Результаты измерения активной кислотности

Результаты измерения активной кислотности в исследуемых образцах представлены в таблице 2.2

Таблица 2.2 - результаты измерения активной кислотности в исследуемых образцах.

Время, час

Контроль

Концентрация витамина, %



В2

В6

В12



1

0,5

1

0,5

1

0,5

2 4 6

6,5 5,6 4,3

6,4 5,4 4,2

6,4 5,3 4,1

6,5 5,4 4,0

6,3 5,3 3,9

6,5 5,5 3,8

6,4 5,5 3,7


Из таблицы 2.2 видно, что при внесении витаминов группы В, молочнокислый процесс протекает интенсивнее. Наиболее интенсивно при внесении витамина В12 0,5%. Значение pH принимает 3,7, что ниже контрольного образца - 4,3. При увеличении концентрации до 1% скорость процесса замедляется.

На рисунке 2.1 показано влияние витамина В на активную кислотность образцов в процессе сквашивания.

Рисунок 2.1 - Влияние витаминов группы В на активную кислотность образцов.

2.3.3 Результаты измерения титруемой кислотности

Результаты измерения титруемой кислотности в исследуемых образцах представлены в таблице 2.3

Таблица 2.3 - результаты измерения титруемой кислотности в исследуемых образцах.

Время, час

Контроль

Концентрация витамина, %



В2

В6

В12



1

0,5

1

0,5

1

0,5

2 4 6

31 53 125

32 55 128

35 58 130

37 63 133

39 65 136

42 67 136

44 69 138


Из таблицы 2.3 видно, что при внесении витаминов группы В нарастание кислотности происходит интенсивнее чем у контрольного образца. Наиболее быстрое нарастание кислотности наблюдается при внесении витамина В12 0,5%. В течении 6 часов кислотность не превышает 140 ºТ, что соответствует ТУ по данному продукту. Увеличение концентрации до 1% приводит к замедлению процесса.

На рисунке 2.2 показано изменение титруемой кислотности образцов в процессе сквашивания.

Рисунок 2.2 - Изменение титруемой кислотности образцов в процессе сквашивания.

2.3.4 Результаты определения общего количества молочнокислых микроорганизмов

Количество L. bulgaricum, выросшее на чашках Петри с питательной средой MRS, представлено в таблице 2.4

Время, час

Контроль

Концентрация витамина, %



В2

В6

В12



1

0,5

1

0,5

1

0,5

2 4 6

 (17±2) ∙10² (15±2) ∙10³ (6±2) ∙104

 (17±2) ∙10² (15±2) ∙10³ (7±2) ∙104

 (17±2) ∙10² (16±2) ∙10³ (8±2) ∙104

 (18±2) ∙10² (16±2) ∙10³ (8±2) ∙104

 (19±2) ∙10² (17±2) ∙10³ (8±2) ∙104

 (20±2) ∙10² (17±2) ∙10³ (9±2) ∙104

 (20±2) ∙10² (18±2) ∙10³ (9±2) ∙104


Из таблицы 2.4 видно, что количество микроорганизмов увеличивается с течением времени. В образцах с витамином В наблюдается большее количество микроорганизмов по сравнению с контрольным образцом. Следовательно внесение витаминов группы В в сквашиваемые образцы способствует увеличению общего количества молочнокислых микроорганизмов, и уменьшению времени сквашивания. Оптимальная концентрация витамина - 0,5%.

На рисунке 2.3 показано изменение количества КОЕ L. Bulgaricum в сквашиваемых образцах с течением времени.

Рисунок 2.3 - Изменение количества КОЕ L. Bulgaricum в сквашиваемых образцах с течением времени.

2.3.5 Результаты оценки антагонистической активности

Антагонистическая активность определяется как зона задержки роста тест-культуры, измеряемая в мм, вокруг диска, пропитанного исследуемым образцом. Результаты исследования антагонистической активности представлены в таблице 2.5

Таблица 2.5 - размеры зон задержки роста тест-культуры (мм) вокруг дисков, пропитанных исследуемыми образцами.

Тест-культура

Контроль

Концентрация витамина, %



В2

В6

В12



1

0,5

1

0,5

1

0,5

S. tuphimurium S. aureus E. coli Proteus vulgaris

16 27 13 15

16 22 15 16

17 23 17 18

16 29 18 16

16 30 19 19

16 28 16 17

17 29 18 18

 

Замечание: цифры - размеры зон угнетения роста (мм) патогенных микроорганизмов вокруг дисков, пропитанных исследуемыми образцами.

Из таблицы 2.5 видно, что исследуемые образцы кисломолочного продукта с добавлением витамина В влияют на рост и развитие патогенных микроорганизмов. Наибольшей антагонистической активностью обладает образец с добавлением витамина В6 0,5%.

Рисунок 2.4 - Размеры зон задержки роста (мм).

Рисунок 2.5 - Зоны задержки роста E. coli.

 

Рисунок 2.6 - Зоны задержки роста S. aureus.

 

Рисунок 2.7 - Зоны задержки роста S. tuphimurium.

 

Рисунок 2.10 - Зоны задержки роста Proteus vulgaris.

2.4 Выводы к экспериментальной части


1. Витамины группы В оказывают влияние на ход технологического процесса при производстве йогурта.

. Витамины группы В оказывают влияние на динамику развития болгарской палочки.

. Витамины группы В способствуют нарастанию кислотности. Однако в течение 6 часов сквашивания кислотность не превышает 140°Т, что соответствует ТУ по данному продукту.

. Добавление витаминов группы В позволяет сократить время сквашивания молока, накопить достаточное количество болгарской палочки и сократить сроки получения готового продукта при сохранении его вкусовых качеств.

. Витамины В2 и В12 могут быть использованы в качестве пищевых красителей.

. Исследования позволили выявить наиболее оптимальную концентрацию витаминов группы В. Она составляет 0,5% по отношению к количеству сквашиваемого молока.

. Увеличение концентрации витаминов группы В до 1% снижает интенсивность накопления биомассы и увеличивает продолжительность технологического процесса;

8. Добавление витаминов группы В к исследуемым образцам способствует накоплению антибиотических веществ в готовом продукте, что приводит к подавлению роста патогенных микроорганизмов таких, как S. aureus, E. coli, S. tuphimurium и тд.

3. Технологическая часть


Молоко - единственный пищевой продукт, который обеспечивает организм млекопитающих всеми необходимыми питательными веществами. И.П. Павлов указывал на три основных свойства молока как пищевого продукта: легкая усвояемость, способность к возбуждению органов пищеварения и лучшее усвоение азота молока по сравнению с азотом других продуктов. Переваримость молока и молочных продуктов колеблется от 95 до 98%. Ученый писал: "Молоко - это удивительная пища, созданная самой природой" [12].

Из составных частей молока (жир, белок, молочный сахар, соли) наиболее важное значение в питании имеют белки. Они полноценны, так как содержат все незаменимые аминокислоты. Калорийность жира молока примерно такая же, как и других жиров, но усвояемость намного выше и достигает 98%. Питательная ценность молочного жира повышается благодаря тому, что в его состав входят полиненасыщенные жирные кислоты, крайне необходимые человеческому организму [4].

Молочный сахар - это специфический углевод, обеспечивающий организм в достаточной степени энергетическим материалом. Молоко является богатым источником важнейших минеральных солей, микроэлементов и витаминов. Имеются данные о том, что кальций молока по сравнению с кальцием других пищевых продуктов усваивается лучше [33,7].

Молоко в большом количестве используется для производства кисломолочных продуктов. Эти продукты легко перевариваются, имеют высокую питательность и обладают антибиотическими, лечебными и диетическими свойствами. Впервые на значение кисломолочных продуктов обратил внимание великий русский ученый И.И. Мечников. Он установил, что при потреблении простокваши гнилостная микрофлора кишечника вытесняется более благоприятной, состоящей из молочнокислых бактерий. Известно, что гнилостные микроорганизмы, населяющие толстый отдел кишечника, развиваются только в слабощелочной и нейтральной средах и разлагают остатки белков пищи, образуя сильные органические яды. Последние всасываются стенками кишечника, поступают в кровь и лимфу, угнетают и расстраивают нервную систему организма. Молочная кислота, поступающая в кишечник с молочнокислыми продуктами, нейтрализуется, но молочнокислые бактерии, развиваясь, могут сбраживать остатки пищи и создавать кислую реакцию среды, в которой гнилостные микроорганизмы погибают [8].

Диетическое значение кисломолочных продуктов заключается еще и в том, что молочная кислота стимулирует секрецию желудочного сока, а сама окисляется до углекислоты и воды. Кроме того, в некоторых продуктах, помимо молочнокислого брожения, происходит и спиртовое, продукты которого возбуждают аппетит и способствуют пищеварению [34].

3.1 Правила приготовления кисломолочных напитков


Кисломолочные напитки можно вырабатывать из молока почти всех видов животных. Коровье молоко, употребляемое для этой цели, должно быть свежим, с кислотностью не выше 20° Т, без посторонних привкусов и запахов, нормального состава, желательно с большим количеством белка [28].

После взвешивания, сортировки и фильтрации молоко пастеризуют на мешалочных, вытеснительных или трубчатых пастеризаторах, можно и в ваннах БДП, с выдержкой 10-15 мин; часто применяют моментальную пастеризацию при высокой температуре, примерно 85−95°С. Высокая температура создает благоприятные условия для набухания казеина, при этом получается плотный сгусток. После пастеризации молоко быстро охлаждают до температуры сквашивания (20−45°С, в зависимости от вида кисломолочных продуктов) и наливают в ванны. По достижении температуры, требующейся для каждого видя продукта, прибавляют в молоко 2−10% закваски, приготовленной на чистых культурах молочнокислых бактерий, и после тщательного перемешивания немедленно разливают в соответствующую тару − банки, бутылки, ушаты и переносят в термостат. Заквашенное молоко разливают при помощи разливочно-укупорочной машины, обеспечивающей точный объем и массу продукта [9].

В термостате поддерживают температуру, необходимую для каждого вида продукта, при которой происходит сквашивание. Оно длится от 3 до 12 часов. В термостате протекает основной процесс брожения: молоко переходит из жидкого состояния в гель, образуя сгусток определенной плотности.

После получения сгустка его необходимо вынуть из термостата, так как долгое пребывание в нем может вызвать сильное повышение кислотности и явление синерезиса (отделение сыворотки). Известно, что сгусток (гель) со временем при высоких температурах быстро уплотняется, стареет, кислотность его повышается и он выделяет сыворотку. Чтобы не допустить этого, необходимо после сквашивания как можно скорее перенести его на 12−18 ч для созревания и дальнейшего уплотнения в холодное помещение, в котором температуру поддерживают в пределах 4−8° С.

Низкая температура замедляет развитие всех молочнокислых бактерий, кроме аромато-образующих, которые придают кисломолочным продуктам специфический вкус.

В настоящее время на молочных комбинатах кисломолочные продукты вырабатывают резервуарным и термостатным способами [5].

3.2 Производство йогурта с добавлением витаминов группы В


В данной работе предлагается включить витамины группы В в процессе приготовления йогурта. Это позволит существенно сократить время технологического процесса и увеличить объем выпускаемой продукции без существенного изменения технологических схем и линий производства. А также повысить антибиотические и органолептические свойства готового продукта.

Производство йогурта предусматривает следующие технологические операции:

·        Приемку и подготовку сырья;

·        Пастеризацию молока;

·        Гомогенизацию молока;

·        Заквашивание молока;

·        Сквашивание молока;

·        Перемешивание;

·        Охлаждение;

·        Созревание продукта;

·        Розлив продукта;

·        Упаковывание и хранение продукта.

Аппаратурно-процессовая схема производства йогурта резервуарным способом с добавлением витаминов группы В представлена на рисунке 3.1


Отобранное молоко нормализуют по жиру. Не жирный йогурт изготавливают из обезжиренного молока. Сухое цельное и обезжиренное молоко восстанавливают в соответствии с действующей технологической инструкцией. При необходимости к цельному молоку можно добавлять до 50% восстановленного. Приготовленное молоко очищают на сепараторах-молокоочистителях (7). Очищенное и нормализованное молоко пастеризуют при температуре 85±2 º С с выдержкой 5-10 минут, или 90±2ºС с выдержкой 3 минуты. Пастеризацию сочетают с гомогенизацией при давлении 17,5 МПа. Для этого молоко подогревают в секции рекуперации пастеризационно-охладительной установки (5) до 55-60 ºС или до температуры пастеризации [5,7].

Пастеризованное и гомогенизированное молоко охлаждают до температуры сквашивания 20-25 ºС и при этой температуре подают в резервуары для кисломолочных продуктов (11). Закваску вносят в резервуар одновременно с молоком и витамином. Количество закваски зависит от её активности и в среднем составляет 5-10%. Наиболее оптимальная концентрацией витамина В - 0,5% от общего количества сквашиваемого молока.

Закваску, молоко и витамин вносят при работающей мешалке. Перемешивание необходимо для равномерного распределения закваски и витамина по всему объему молока. Через 15 минут после заполнения резервуара мешалку выключают.

В процессе сквашивания витамины группы В способствуют размножению микрофлоры закваски, нарастанию кислотности молока, коагуляции казеина и образованию сгустка. Окончание сквашивания определяют по образование плотного сгустка и достижению определенного уровня кислотности. По окончании сквашивания продукт перемешивают, охлаждают до 14-16 ºС и направляют для созревания, продолжительность которого составляет не менее 24 часов с момента заквашивания.

После созревания готовый продукт еще раз перемешивают в течении 2-5 минут и отправляют на розлив. Продукт после розлива хранят в течении 24 часов при температуре не выше 8 ºС.

Сведения о оборудовании приведены в таблице 3.1

Таблица 3.1 - характеристика производственного оборудования.

Наименование

Марка

Размеры, мм

Производительность

Подогреватель трубчатый

П8-ОАБ

1500×890×1450

5000 л/ч

Ванна нормализационная

ВН-600

1210×670×1350

80 л/ч

Автомат розлива и упаковки

"ПЮР-ПАК" модель 2101

1840×1600×2420

Сепаратор-сливокоотделитль

Ж5-ОС2Т-3

860×590×1445

5000 дм3

Резервуар для созревания и хранения к/м напитков

Я-ОСВ-1

1535×1335×2827

1000 л/ч


Я1-ОСВ-2,5

1735×1535×3584

2500 л/ч


Я-ОСВ-4

2100×1735×3869

4000 л/ч


Я-ОСВ-6,3

2500×2135×3912

6300 л/ч


Я-ОСВ-10

2900×2535×4097

10000 л/ч

Ванна длительной пастеризации

В-ВД2-ПС

1300×1080×1900

0,35 м3

Резервуар для хранения молока без системы охлаждения.

Г6-ОМГ-25

6200×2820×3660

2,5 м3


В2-ОМГ-10

4550×2128×2825

10 м3

Резервуар для созревания к/м напитков

Л5-ОТН-6,3

3900×4400×3600

6,3 м3

Пастеризационная установка

ПТУ-5М

1400×1100×1700

5000 л/ч

Установка теплообменные пластинчатые

А1-ОНС-10

2300×1300×3660

10000 л/ч


А1-ОНС-25

2300×1800×2500

25000 л/ч

Танк универсальный

Г2-ОТ2-А

1560×1520×2045

1 м3

Сепаратор-молокоочиститель

Ж5-ОС2-НС

1200×850×1780

10000 дм3

Гомогенизатор

А1-ОГ2М

1475×1120×1640

5000 дм3

Установка трубчатая пастеризационная

Т1-ОУТ

1500×1250×2300

10000 л/ч


Охлаждение готового продукта можно также осуществлять и в потоке. Для этого молоко заквашивается в емкости для кисломолочных продуктов (11), а по достижению заданной кислотности продукт подается в пластинчатый охладитель (13), где охлаждается в потоке до требуемой температуры. Далее готовый продукт направляется в промежуточную емкость (14), откуда он направляется на фасовку.

Кисломолочные напитки фасуют в термосвариваемые пакеты на автоматах для фасовки жидких кисломолочных продуктов.

4. Экология


4.1 Краткая характеристика антропогенного влияния предприятия на экологическую обстановку


Предприятие "Новобурасский молочный завод" расположено на одной промплощадке на окраине р. п. Новые Бурасы в трех километрах от автомагистрали Саратов - Новые Бурасы.

Ближайшая жилая зона расположена в северо-западном направлении на расстоянии 300м.

В соответствии с СанПин 2.2.1/2.1.1.1200-03 "Санитарно - защитные зоны и санитарная классификация предприятий, сооружений и иных объектов" в целом для ОАО "Новобурасский молочный завод" нормативный размер СЗЗ составляет 100 метров. [14]

В районе расположения источников выбросов ОАО "Новобурасскй молочный завод" отсутствуют зоны отдыха, территория заповедников, памятники архитектуры, санатории, дома отдыхов и другие природоохранные объекты. По составу и объему проекта нормативов ПДВ предприятие относится к 2-ой категории.

На предприятии производят пастеризованное молоко и кисломолочные продукты. Основные технологические стадии включают в себя, механическую обработку молока путём разделения его на фракции, очистку, сепарирование, а также гомогенизацию, термическую обработку молока, путём пастеризации и охлаждения. Готовый молочный продукт расфасовывается на автоматах, автоматических линиях в упаковку их полиэтилена, упаковку типа "Пюр-Пак" и во фляги. Сырьё транспортируется специальными автоцистернами от поставщиков до предприятия, внутри цехов транспортируется молочными насосами по трубопроводам из нержавеющей стали. Готовая упакованная продукция транспортируется в холодильные камеры и на погрузку в автомашины с изотермическими камерами, с помощью грузовых несущих транспортёров. Транспортировка от комбината до потребителя производится в автомобилях с изотермическими камерами.

Теплоснабжение зданий и сооружений осуществляется собственной котельной, оснащённой тремя котлами марки ДКВР 4/13, работающих на природном газе.

4.2 Характеристика источников выбросов в атмосферу


Основными источниками выбросов в атмосферу являются: в процессе выработки холода - компрессорный цех; в процессе выработки тепла - котельная работающая на природном газе, а также оборудование ремонтного цеха. Вредные вещества выбрасываемые в атмосферу приведены в таблице 4.1 [29].

Таблица 4.1 - перечень вредных веществ выбрасываемых в атмосферу.

Стадия технологического процесса

Наименование источника выбросов

Выбрасываемое вещество

П.Д. К вещества

Ед. измерения

Фактическая концентрация

Класс опасности

Характеристика выбросов

Хладо- снабжение

Компрессорный цех

Аммиак

8

т/год

7800

5

Газо- образные

Тепло- снабжение

Котельная

Бензаперон

0.0001

т/год

0,0001

4

Газо- образные

Тепло- снабжение

Котельная

Диоксид азота

21,831

т/год

4,662

4

Газо- образные

Ремонт оборудования

Газорезка

Марганец и его соединения

0,00153

т/год

0,00103

4

Газо- образные

Ремонт оборудования

Электросварка

Оксид железа

0,32103

т/год

0,30103

3

Газо- образные

Ремонт оборудования

Заточный станок

Взвешенные твердые вещества

0,0203

т/год

0,0103

3

Твердые

Тепло- снабжение

Котельная

Оксид углерода

23,2135

т/год

17,314

4

Газо- образные

Ремонт оборудования

Токарно- шлифовальные станки

Эмульсол

0,0015

т/год

0,0008

2

Жидкие

Химическая мойка оборудования

Участок приготовления моющих растворов

Гидрооксид натрия (натр-едкий)

0,0009

т/год

0,0009

5

Жидкие


Основными вредными ингредиентами, требующими улавливания, очистки и обезвреживания по данным таблицы 4.1 являются: аммиак, диоксид азота, оксид углерода. Хотя данные по этим ингредиентам и ниже ПДК, все же выброс веществ неблагоприятно сказывается на окружающей среде.

В связи с этим:

1.       Установим циклон на дымоходе в котельной, после экономайзера для осаждения и сбора сажи, что даст по паспортным данным около 20% снижения выброса оксида углерода.

2.       Установим мокрый фильтр на заточном станке для улавливания неорганической пыли и двуокиси кремния, что позволит снизить выбросы данных веществ в 2 раза.

Данные нововведения улучшат экологическую обстановку на территории предприятия и района.

 

.3 Характеристика воды, используемой в технологических процессах


Источником водоснабжения завода являются водопроводные сети, питающие предприятие доброкачественной питьевой водой. На входе в предприятие вода подвергается дополнительной обработке, проходя через мощный ультрафиолетовый излучатель марки БУВ-2. В технологических процессах вода в основном применяется для мойки оборудования, молокопроводов, как теплоноситель и хладоноситель.

Для сокращения расхода потребления воды, предусмотрена система оборотного водоснабжения для охлаждения молока и охлаждения аммиачных и воздушных компрессоров.

Нормативными документами на качество воды являются гигиенические требования ГОСТ 2874-82. Контроль за качеством воды производится согласно СНИП 2.04.02.84 [14,36].

После мойки оборудования и молокопроводов загрязненные сточные воды собираются в общий коллектор, а затем отводятся через жироловушки в канализационную сеть.

Количественный и качественный состав сточных вод предприятия приведен в таблице 4.2

Таблица 4.2 - количественный и качественный состав сточных вод.

Вид сточных вод

Основные загрязняющие вещества

Фактическая концентрация вредных веществ

Единицы измерения

 

Поверхностные ливневые сточные воды

Взвешенные вещества Сухой осадок Биологическое потребление кислорода (БПК) Хлориды Нефть и нефтепродукты

20,0 296,0  29,8  35,0 0,6

мг/л

 

Промышленные сточные воды от переработки молока

Химическое потребление кислорода (ХПК) Сульфиды Жиры Азот-аммонийный Взвешенные вещества Плотный сухой остаток Сульфаты Фосфаты Железо общее

 190 0,0047 20,0 6 1,03 90,0 110,6 1,23 1,1

мг/л


По данным таблицы 4.2 видно, что фактическая концентрация жира в сточных водах составляет 20 мг/л. Для уменьшения содержания жира в сточных водах предлагается смонтировать жироловушку перед входом канализации предприятия в городской коллектор, что снизит содержание жира в сточных водах до 15 мг/л.

4.4 Характеристика твердых отходов


К твердым отходам относятся пылевидные, древесные, лом цветных металлов и т.д. При ремонте зданий и сооружений скапливается много строительного мусора [27,35]. Состав и квалификация твердых отходов по технологическим операциям приведены в таблице 4.3

Таблица 4.3 - классификация и ориентировочный состав твердых отходов.

Технологическая операция

Твердые отходы

Ориентировочный состав отходов

Способ утилизации


Пищевые

Не пищевые



Заточка инструмента образивными кругами

Пылевидные отходы твердых сплавов

Электрокорунд−40% Мет. пыль - 60%

Переработка, захоронение, гор. сварка

Электросварочные работы

Отходы сварочного производства

Сталь - 96%

Вторчермет.

Упаковка продукции

Отходы производства

Полистирол - 90% Алюминий - 10%

Переработка

Ремонт технологического оборудования

Лом, отходы цвет. металлов

Алюминий - 80% Латунь - 15% Медь - 5%

Вторцветмет.

Восстановление сухого молока

Мешки из под сухих мол. продуктов

Целлюлоза - 100%

Вторсырье

Ремонт оборудования и автотранспорта

Лом черных металлов

Сталь - 70% Чугун - 30%

Вторчермет.

Приготовление регенерирующего раствора

Осадок регенерирующего раствора

Кремнезем - 95%

Переработка, гор. сварка

Очистка жироловушек

Твердые молочные отходы

Молочный жир-80% Белок - 20%

На корм птице

Ремонт оборудования и автотранспорта

Шины, шланги, сальники

Резина - 80%

Переработка. Втор. сырье

Для промежуточного хранения отходов черных и цветных металлов имеются две площадки, которые по мере заполнения вывозятся во вторчермет. Бытовой и промышленный мусор вывозится один раз в день на городскую свалку. Строительный мусор используется для ремонта дорог и подъездных путей.

4.5 Характеристика экологической безопасности сырья и продуктов


Сырьём для данного предприятия является коровье молоко. Экологическая безопасность сырья и продуктов регламентируется ГОСТ 13264-88. Данный стандарт распространяется на сырое коровье молоко и молоко, подвергаемое термической обработке. По техническим требованиям данного стандарта молоко может быть получено от хозяйств содержащих здоровых животных, благополучных по инфекционным болезням в соответствии с правилами ветеринарного законодательства и по качеству соответствовать требованиям настоящего стандарта [31,26].

Молоко с содержанием нейтрализирующих веществ, а также с содержанием тяжёлых металлов, мышьяка, афлатоксина М1 и остаточных количеств пестицидов, превышающих максимальный допустимый уровень, утверждённый Минздравом РФ, приёмке не подлежит.

Входной контроль на безопасность и пригодность материалов на предприятии производится лабораторией.

Характеристика экологической безопасности и чистоты сырья показана в таблице 4.4

Таблица 4.4 - характеристика экологической безопасности и чистоты сырья.

Наименование выпускаемого продукта

Используемое сырье

Перечень экологически опасных веществ

Класс опасности

Допустимый уровень концентрации

Допустимый уровень активности

Молоко пастеризованное

Молоко коровье

1

Масло

Молоко коровье

1

Сыр

Молоко коровье

1

Кисло- молочные продукты

Молоко коровье

1

4.6 Выводы


Молочное предприятие, являясь элементом биосферы, по разным каналам контактирует с окружающей средой, т.е., с гидросферой, атмосферой и почвенным покровом данного региона. Эти контакты выражаются в потреблении производством таких природных компонентов, как вода и воздух. Причём в процессе технологической переработки сырья в готовую продукцию эти природные компоненты значительно изменяют свои физико-химические, характеристики, что сказывается на окружающей среде. Из приведённых выше таблиц виден количественный и качественный выброс вредных веществ при работе данного предприятия.

Но с установкой циклона на дымоходе снизится выброс оксида углерода (с 17,314 т/год до 13,851 т/год), с установкой мокрого фильтра на заточном станке снизится выброс двуокиси кремния и неорганической пыли (с 0,00203 т/год до 0,0101 т/год), с установкой жироловушки в канализационном колодце снизится содержание жира в сточных водах (с 20 мг/л до 15 мг/л), проведя озеленение 1500 м2 площади предприятия значительно улучшится экологическая обстановка на территории предприятия.

5. Безопасность жизнедеятельности


Жизнедеятельность - это повседневная деятельность и отдых, способ существования человека [16].

Безопасность жизнедеятельности - наука о комфортности и безопасном взаимодействие человека с техносферой. Поэтому основная ее цель - защита человека от негативных воздействий антропогенного и естественного происхождения и достижения нормальных условий жизнедеятельности [37].

БЖД - неотъемлемая составная и общеобразовательная часть подготовки всесторонне развитой личности.

БЖД изучает и решает вопросы безопасного воздействия человека со средой обитания (производственная, бытовая, городская, природная) и вопросы защиты от негативных опасных факторов чрезвычайной ситуации.

5.1 Правовые и организационные вопросы


Основными законодательными актами и документами, регламентирующими работу предприятий по охране труда, являются Конституция РФ, основы законодательства о труде, система стандартов безопасности труда (ССБТ), строительные нормы и правила (СНиП) и трудовой кодекс РФ [3,16].

В соответствии с Трудовым кодексом Р. Ф на заводе работает служба по охране труда, возглавляемая заместителем генерального директора. Все работники при приёме на работу проходят в обязательном порядке медицинский осмотр и в дальнейшем текущие медицинские осмотры. В соответствии с требованиями ст.212 Трудового кодекса Р.Ф. со всеми работниками проводится вводный инструктаж по технике безопасности.

Помимо вводного инструктажа с работниками на рабочем месте проводится инструктаж по технике безопасности на рабочем месте. Текущий инструктаж проводится каждые полгода.

В соответствии со статьями 227, 228, 229, 229.1, 229.2, 230, 230.1 трудового кодекса Р. Ф все несчастные случаи подлежат учёту и регистрации. Расследованию и учёту подлежат следующие несчастные случаи:

1. Несчастные случаи, случившиеся с работниками в процессе исполнения ими своих трудовых обязанностей.

2. Несчастные случаи, случившиеся с работниками во время служебных командировок.

3. Несчастные случаи, случившиеся при следовании к месту выполнения работы или с места работы.

4. Несчастные случаи, случившиеся во время прохождения ученической практики.

При несчастном случае работодатель обязан:

. Организовать первую помощь;

. Принять меры по предотвращению аварийной или чрезвычайной ситуации;

. Сохранить до начала расследования несчастного случая обстановку такой как она была, если это не угрожает жизни и здоровью других лиц.

. Немедленно известить соответствующие органы и организации о несчастном случае.

Для расследования несчастного случая создается специальная комиссия по расследованию несчастного случая в количестве не менее 3 человек. В состав комиссии входят представитель работодателя, представитель профсоюзной организации, специалист в области охраны труда.

Комиссия в течение 3 суток проводит расследование и составляет акт о несчастном случае на производстве. Каждый несчастный случай подлежит учёту в журнале регистрации несчастных случаев по установленной форме.

Данные производственного травматизма в ОАО "Новобурасский молочный завод" за последние три года приведены в таблице 5.1

Таблица 5.1 − данные производственного травматизма в ОАО сский молочный завод".

Показатель

Формула расчета

Год



2005

2006

2007

Количество работающих, Р

62

62

61

Количество несчастных случаев, Т

1

Число нетрудоспособности, Д

10

Коэффициент частоты несчастных случаев, КЧ

−16,1−




Коэффициент тяжести травматизма, КТ

−10−




Коэффициент нетрудоспособности, КНТ

−620000−





5.2 Производственная санитария и гигиена труда


Производственная санитария - система организационных мероприятий и технических средств, предотвращающих или уменьшающих воздействие на работающих вредных производственных факторов. Это изложено в ГОСТ 12.0.2.002-80 [16].

Микроклимат производственных помещений - это климат внутренней среды данных помещений, который определяется совместно действующими на организм человека температурой, относительной влажностью, скоростью движения воздуха и температурой окружающих поверхностей.

Воздушная среда - необходимое условие существования жизни. Она играет важную роль в дыхании человека и обеспечением человека, животных, растений, в обеспечении их кислородом, удаление продуктов обмена веществ, теплообмене, оказывает решающее влияние на формирование условий труда на рабочих местах [37].

Важнейшая составляющая воздуха - кислород. Организм человека чувствителен к его недостатку. Для обеспечения жизнедеятельности человека необходимы также азот, углекислый газ и другие газы.

Улучшению работоспособности способствует увеличение освещённости даже в тех случаях, когда процесс труда слабо зависит от зрительного восприятия. При плохом освещении человек быстро устаёт, работает менее продуктивно, чаще совершает ошибочные действия.

Гигиенические требования к производственному освещению сводятся к следующему:

·        Создаваемый искусственными источниками спектральный состав света должен приближаться к солнечному;

·        Уровень освещённости должен быть достаточным и соответствовать гигиеническим нормам, учитывающим условия зрительной работы;

·        Освещение не должно создавать блёсткости как самих источников света, так и других предметов в пределах рабочей зоны;

·        Освещённость в помещении должна быть равномерной и устойчивой.

Шум - совокупность звуков различной частоты и интенсивности. По времени действия различают шумы постоянные и непостоянные. Для физиологической оценки влияния на человека шум различают на низкочастотный, среднечастотный и высокочастотный. Шум формируется при совместном действии многих источников звука различной интенсивности и частоты.

Вибрация - механические колебания механизмов, машин или их деталей. По способу передачи на человека вибрацию подразделяют на общую (передающуюся через опорные поверхности на тело сидящего или стоящего человека) и локальную (предающуюся через руки человека).

Современный уровень производства ещё не всегда позволяет обеспечивать работающих здоровыми и безопасными условиями труда. Поэтому для предотвращения и уменьшения воздействия на работающих вредных и опасных производственных факторов приходится использовать различные средства коллективной и индивидуальной защиты.

Средства коллективной защиты обеспечивают безопасность двух и более работников. Средства индивидуальной защиты (СИЗ) обеспечивают безопасность одного работника. Большую часть этих средств человек носит непосредственно на себе [16].

Все виды СИЗ в зависимости от назначения разделены на следующие классы:

·        Изолирующие костюмы;

·        Средства защиты органов дыхания;

·        Специальная защитная одежда;

·        Средства защиты ног или спецобувь;

·        Средства защиты рук;

·        Средства защиты головы;

·        Средства защиты глаз;

·        Средства защиты головы;

·        Средства защиты лица;

·        Средства защиты органов слуха;

·        Комплексные средства защиты.

5.3 Техника безопасности


Под техникой безопасности понимается система технических мероприятий и приемов работы, обеспечивающих безопасность труда [3].

Типовая инструкция по технике безопасности.

Общие положения.

1. Выполнять необходимо только порученную Вам работу.

2. Не работайте на неисправном оборудовании или неисправным инструментом (приспособлением).

3. Содержите рабочее место в чистоте и не допускайте его загромождения, не загромождайте также проходы.

4. Устраняйте скользкость пола, удаляя разлитую жидкость.

5. Спецодежду (халат, фартук и т.д.) содержите в надлежащем состоянии - застегните на все пуговицы или завяжите на все завязки. Волосы уберите под головной убор (колпак, косынку).

6. Не дотрагивайтесь до движущейся части оборудования и до открытых токоведущих частей (оголённые провода и пр.).

8. При получении травмы на производстве немедленно обратитесь в медпункт и сообщите администрации.

Техника безопасности лаборанта и работника при производстве

анализов молочной продукции.

В обязанности лаборанта входит:

а) Инструктировать ввозчиков - приёмщиков молпродукции по производству анализов и качества молпродукции;

б) Непосредственно определять процент жира в молпродукции;

в) Консервирование, хранение проб молока;

г) Проведение анализов на кислотность, механическую загрязнённость и на редуктазно - бродильную пробу;

д) Правильное ведение записей результатов анализов в соответствующей документации;

е) Производить расчёт принятого молока на установленную жирность, заполнять, подписывать в присутствии приёмщика молока графы приёмного журнала в соответствии с результатами анализов молока по каждому хозяйству в отдельности и возвращать накладную приёмщику;

ж) Производить анализ подозрительного молока, во всех случаях отклонения химического состава от нормы, непосредственно брать пробы при дойке и производить их анализ.

з) Принимать соответствующие меры в случаях когда:

.        Состояние молока не соответствует требованиям ГОСТа;

2.       Установлен факт фальсификации молока или отклонение химического состава от его норм, предусмотренных инструкцией.

Лаборант обязан хранить реактивы и книги лабораторного учёта под замком. Содержать лабораторию и все лабораторные пробы, посуду, инвентарь в чистоте и в порядке.

Наряду с выше указанными обязанностями, лаборант выполняет все работы по контролю производственных процессов и готовой продукции в объёме предусмотренным положением по техническому контролю.

5.4 Противопожарная профилактика


Предприятием заключён договор с пожарной частью по профилактике пожаров. На самом предприятии создана группа противопожарной безопасности в составе 3 человек: главный инженер, энергетик и заместитель по охране труда. Эта группа утверждена приказом генерального директора. Группой противопожарной безопасности разработана схема оповещения работников о пожарной опасности [16,3].

Функции службы пожарной безопасности:

.        Предупреждение пожаров;

2.       Ограничение масштабов возникших пожаров;

3.       Защита людей и материальных ценностей;

4.       Тушение пожаров.

Из-за наличия опасного компонента аммиака, на заводе имеются следующие технические средства тушения пожаров: порошковые огнетушители ОП-6 - 16 штук; противопожарные огнетушители - 10 штук, ведра, лопаты, багры. На территории каждого цеха имеется противопожарный инвентарь, все помещения оснащены пожарной сигнализацией.

Из-за наличия аммиака в холодильных установках, предприятие считается взрывоопасным объектом. Разработана система оповещения населения о возможных выбросах аммиака. Для оповещения населения учитывается направление ветра (преимущественно северо-восточное). Радиус поражения при выбросе аммиака достигает примерно 1,5-2 км. На предприятии имеется план эвакуации в случае чрезвычайной ситуации, ведется обучение сотрудников безопасным методам труда.

5.5 Расчет освещенности кисломолочного цеха


В производственном помещении в светлое время суток используется естественное освещение, а в темное время - искусственное. Расчет искусственного освещения ведется по методу светового потока [15]. По формуле (5.1) рассчитывают световой поток Fл (лк), который должна излучать каждая электрическая лампа:

Fл = К × Sп × E / hл × ηс × Z (5.1)

где К - коэффициент запаса;

Sп - площадь пола помещении, м2;

Е - освещение по нормам (лк);

hл - количество установленных ламп;

ηс - коэффициент использования светового потока;

Z - коэффициент неравномерности освещения.

Коэффициент запаса К учитывает возможную загрязненность светильников пылью, что зависит от характера производства. Данный коэффициент равен 1,6.

Площадь пола рассчитывается по формуле (5.2).

Sп = a × b (5.2)

где a - длинна помещения, м;

b - ширина помещения, м.

Sп = 19 × 7 = 133 м2.

Освещенность по корпусам Е принимаем 100 лк. Количество составляет 19 штук.

Коэффициент использования светового потока ηс учитывает поглощение светового потока арматурой светильника, стенами, полом, потолком. Он зависит от типа светильника, размеров и форм помещения, окраски стен, потолка и высоты подвесок светильника над рабочей площадью.

Для определения коэффициента ηс необходимо предварительно найти показатель формы помещения. Для прямоугольных помещений их находят по формуле (5.3).

γ = a × b / h × (a × b) (5.3)

где a - длина помещения, м; b - ширина помещения, м; h - высота подвеса светильников, м. a = 19 м; b = 8 м; h = 1,7 м.

Высоту подвеса светильников над рабочим местом находим по формуле (5.4)

Нп = Н / (h1 + h2) (5.4)

где Н - высота помещений, м;

h1 - расстояние от пола до освещаемой поверхности, м;

h2 - расстояние от пола до светильника, м.

Н = 6 м; h1 = 1 м; h2 = 0,7 м;

Н = 6/ (1 + 0,7) = 3,5 м

Тогда коэффициент будет равен отношению 1/Нп2 = 0,9 и принимается равным 0,75.

Из полученных данных по формуле (5.1) вычисляем Fл:

Fл = 1,6 × 133 × 100/19 × 0,3 × 0,75 = 4865,49 лм.

По значению Fл выбираем тип и мощность лампы - это значение соответствует лампе ЛБ-80.

Расчет освещения ведем методом светового потока излучаемого лампой по формуле (5.5)

Fл = Еп × S × Кз × Z / n (5.5)

Для помещений с пятым разрядом работ малой точности КЕО - 1 %, по СН:

Еп = 100 лк., S - площадь пола, м2;

S = a × b = 288 м2.

К3 - коэффициент запаса, учитывающий запыленность светильников в процессе эксплуатации. К3 принимаем равным 1,5.

Z - коэффициент неравномерности освещения, зависящий от типа светильника и расстояния (I) между ними, высоты подвеса (hn).

I =3, тогда hn = H - h1 = 4,8 - 0,1 =4,7 м.

где Н - высота помещения = 4,8 м;

h1 - расстояние от потолка до светильника = 0,1 м.

Коэффициент Z определяется из выражения I / h1 = 3,0/4,7 = 0,63.

Принимаем Z = 0,54, n - коэффициент использования светового потока, учитывающий поглощение светового потока арматурой светильника, потолком и стенами.

Предварительно по формуле (5.6) находим коэффициент формы помещения Y.

Y = a × b / hn (a + b) (5.6), Y = 12 × 24/4,7 × (12 + 24) = 17.

Принимаем n = 0,49 - при минимальном коэффициенте отражения светового потока от потолка и стен.

Тогда общий световой поток будет равен:

N = F0/Fл (шт.) (5.7)

где Fл - световой поток одной лампы из технической характеристики.

Выбираем тип лампы ЛБ-80 с Fл = 5220 лм.

Тогда n = 47608/5220 = 10 ламп.

Принимаем 5 светильников (по две лампы параллельно),

N = 80 Ватт.

6. Экономическая часть


В настоящее время на территории Российской Федерации расположено огромное количество предприятий по переработке молока и производству молочных продуктов [12]. Жесткая конкурентная борьба, перенасыщенность рынка молочными продуктами требует от руководящего состава предприятий не только поддерживать производство на высоком уровне, но и стремиться к улучшению качества выпускаемой продукции, расширению ассортимента выпускаемой продукции, завоеванию новых рынков сбыта.

В условиях современных рыночных отношений важным для предприятий молочной промышленности является не только производство традиционных качественных продуктов, но и создание новых продуктов с улучшенными свойствами, которые благоприятно воздействуют на организм человека. Это продукты с низким содержанием жира, отсутствием холестерина, содержащие различные биологические добавки, в том числе ферменты, обогащенные витаминами, микроэлементами и т.д. [10,8].

Рынок кисломолочных продуктов довольно разнообразен. В последнее время рынок йогуртов развивается очень интенсивно. Его потребление на душу населения увеличилось на 30 % (примерно 4 кг на семью). Вместе со спросом растут и продажи. За последние 2,5 года объем розничных продаж увеличился на 40%. В настоящее время размер рынка йогуртов, по некоторым данным в стоимостном выражении уже сравнялся, а по другим данным уже превзошел размер рынка сметаны и пастеризованного молока.

В то же время кисломолочные продукты с небольшим стоимостным вкладом, такие как простокваша, ряженка, варенец, также показали достаточно значительные темпы роста производства.

Использование витаминов при производстве кисломолочных продуктов открывает новые возможности для создания продуктов обладающих более высокой пищевой и биологической ценностью. Несомненно важным является то, что использование витаминов группы В позволяет существенно сократить время производства кисломолочных продуктов и повысить их антибиотическую активность.

6.1 Анализ экономической эффективности


Для внедрения новой технологии требуется установить оборудование указанное в таблице 6.1

Таблица 6.1 - перечень технологического оборудования линии по производству йогурта.

Наименование оборудования

Тип, марка

Занимаемая площадь, мм2

Стоимость, руб.

Базовый вариант Резервуар для кисломолочных напитков Сепаратор-сливкоотделитель Насос центробежный Заквасочник Аппарат для розлива к/м напитков Итого

 Я1-ОСВ-6 ОЦМ-10 Г2-ОПБ Г6 - О3 - 12 АО - 111

 7,33 м2 1375 × 880 × 1210 480 × 250 × 390 855 × 620 × 1080 2010 × 2425 × 2660

 135120 54120 7640 20200 135000 352080

Проектируемый вариант Насос Итого

 Г2-ОПА

 530 × 250 × 390

 12850 364930


а) Расчет технологической трудоемкости производства, Т

Технологическая трудоемкость производства рассчитывается по формуле (6.1)

 (6.1)

где К - продолжительность смены, ч;

Ч - численность рабочих, чел;

О - объем производства продукции, т.

 чел/час

Проводим расчет себестоимости единицы продукции.

б) Расчет стоимости сырья и основных материалов, С0

Стоимость сырья и основных материалов рассчитывается по формуле (6.2)

С0 = С1К1 + С2К2 + С3К3 +., (6.2)

где С - стоимость сырья, руб.; К - нормы расхода сырья на 1т продукта.

Базовый вариант:

СБ = 6,5·940 + 2·1050=8210 руб.

Проектируемый вариант:

СП = 6,5·940 + 2·1050+15+15·40=8825 руб.

в) Расчет стоимости вспомогательных материалов, СВ

Принимается за 10% от стоимости сырья и основных материальных затрат.

Базовый вариант: ВБ=0,1 СБ=0,1∙8210=821 руб.

Проектируемый вариант: ВП=0,1 СП=0,1∙8825=882,5 руб.

г) Расчет стоимости энергоносителей, СЭ

Электроэнергия W= 1,86 ∙ 8 = 14,88 руб.

Вода = 28,50 ∙ 3 = 85,5 руб.

Пар = 0,3 ∙ 12 = 3,6 руб.

Базовый вариант: СЭ = 14,88+85,5+3,6=103,98 руб.

Проектируемый вариант: СЭ = 15,2+85,5+3,6=104,3 руб.

д) Расчет заработной платы, Рз

Размер заработной платы рассчитывается по формуле (6.3)

РЗ = 1,356 ∙ К1 ∙ К2 ∙ Рц (6.3)

где К1 - коэффициент, учитывающий дополнительную заработную плату (1,07 - 1,09);

К2 - коэффициент, учитывающий доплаты (1,2 - 1,25);

РЦ - расценка за 1т продукта рассчитывается по формуле (6.4)

РЦ = Тчас ∙ Т (6.4)

где Тчас - часовая тарифная ставка, руб. /час;

Т - технологическая трудоемкость, чел. /час.

РЦ = 20 ∙ 96 = 1920 руб.

Рз = 1,356 ∙ 1,07 ∙ 1,2 ∙ 1920 = 3342,91 руб.

е) Расчет амортизационных отчислений, РА

Амортизационные отчисления рассчитываются по формуле (6.5)

 (6.5)

где НОБ и НЗ - нормы амортизационных отчислений оборудования и зданий (9,2% и 2,6% соответственно); QГ - годовой объем производства продукции, т/год; ЗОБ - прейскурантная стоимость оборудования, руб.; ЗЗ - стоимость зданий и сооружений, руб.

Базовый вариант: руб.

Проектируемый вариант: руб.

ж) Расчет затрат на содержание и текущий ремонт оборудования и зданий, РТ (для оборудования - 10 %, для зданий - 5%).

Расчет затрат на содержание и текущий ремонт оборудования и зданий рассчитывается по формуле (6.6)

 (6.6)

Базовый вариант:  руб.

Проектируемый вариант: руб.

з) Расчет себестоимости 1т (кг) продукции, С

Расчет себестоимости продукции проводится по формуле (6.7)

С = С0 + СВ + СЭ + РЗ + РА + РТ + П (6.7)

где П - прочие расходы, руб. (инструменты, транспортные расходы, спецодежда и т.п.). Базовый вариант:

СБ = 8210+821+103,98+3342,91+1279,95+2326,04+1200 = 17283,88 руб.

Проектируемый вариант:

СП = 8825+882,5+104,3+3342,91+1285,86+2332,46+1200 =17973,03 руб.

и) Расчет уровня рентабельности производства, УР

Уровень рентабельности производства рассчитывается по формуле (6.8)

 (6.8)

где Ц0 - оптовая цена единицы продукции;

С - себестоимость продукции.

Базовый вариант: Проектируемый вариант:

,88 - 1т (2000 пакетов по 500 мл.) 17973,03 - 1т

Х - 1 пакет Х - 1 пакет

пакет стоит 8,64 руб.1 пакет стоит 9 руб.

Цопт = С + 10% НДС + 3% прибыли,

Цопт = 8,64+10%НДС+3% = 9,78 руб. Цопт = 9+10%НДС+3% = 10,19 руб.

Базовый вариант:

Проектируемый вариант:

к) Расчет выручки, R, Расчет выручки проводится по формуле (6.9)

R = Vпр ∙ Р (6.9)

где Vпр - объем продукции за месяц; Р - себестоимость 1т продукции.

Базовый вариант: RБ = 15 ∙ 17283,88 = 259258,2 руб.

Проектируемый вариант: RП = 15 ∙ 17973,03 = 269595,45 руб.

л) Расчет выручки с учетом инфляции, RI

Выручка с учетом инфляции рассчитывается по формуле (6.10)

RI = R - 9% (6.10)

Базовый вариант: RIБ = 259258,2 - 9% = 235924,96 руб.

Проектируемый вариант: RIП = 269595,45 - 9% = 245331,86 руб.

м) Расчет коэффициента экономической эффективности, К

Коэффициент экономической эффективности рассчитывается по формуле (6.11)

 (6.11)

где ЭЭ - экономическая эффективность предприятия, которая рассчитывается по формуле (6.12)

 (6.12)

где КВ - капитальные вложения.

Базовый вариант: ;

Проектируемый вариант: 0,6;

н) Определение срока окупаемости предлагаемого проекта.

Срок окупаемости проекта определяется по формуле (6.13)

 (6.13)

Базовый вариант:  (8 месяцев)

Проектируемый вариант:  (7 месяцев)

Полученные результаты экономического анализа сведены в таблице (6.1)

Таблица 6.1 - Экономические показатели проекта.

Показатели

Затраты, руб

 

Базовый вариант

Проектируемый вариант

Полная себестоимость 1 т продукта, С

17283,88

17973,03

Сырье и основные материалы, С0

8210

8825

Вспомогательные материалы, СВ

821

882,5

Энергозатраты, СЭ

103,98

104,3

Заработная плата, РЗ

3342,91

3342,91

Амортизационные отчисления, РА

1279,95

1285,86

Дополнительные капитальные затраты

2326,04

2332,46

Уровень рентабельности, УР

13, 19%

13,22%


На основании полученных данных можно сделать вывод что внедрение новой технологии позволит существенно увеличить объемы производства продукции, по сравнению с традиционной схемой. А также повысить производительность труда рабочих и получить наибольшую экономию производственных ресурсов.

Заключение


Целью дипломной работы являлось исследование влияния витаминов группы В на процесс приготовления йогурта. В ходе проведения эксперимента был приготовлен кисломолочный напиток − "Йогурт 2,5%" с добавлением витаминов группы В. Кисломолочный напиток готовили следующим образом: в нормализованное, пастеризованное и гомогенизированное молоко вносили концентрации 1,0 и 0,5% витаминов В2, В6 и В12 по отношению к количеству сквашиваемого молока, перемешивали и заквашивали закваской, состоящей из чистой культуры L. bulgaricum, в количестве 5% от объема полученной смеси. В контрольный образец витамин не добавляли. Сквашивание проводили в течение 6 часов при температуре 41±2 ˚С. Каждые два часа проводили органолептическую оценку, измеряли pH и определяли общее количество молочнокислых микроорганизмов в исследуемых образцах.

Проведя анализ полученных данных можно сделать вывод что витамины группы В оказывают стимулирующее действие на развитие молочнокислых микроорганизмов. Это позволяет существенно сократить процесс приготовления продукта. Добавление витаминов группы В к исследуемым образцам способствует накоплению антибиотических веществ в готовом продукте, что приводит к подавлению роста патогенных микроорганизмов таких, как S. aureus, E. coli, S. tuphimurium и тд. Определенное практическое значение имеют концентрации витаминов. Были исследованы концентрации 1,0 и 0,5% витаминов по отношению к количеству сквашиваемого молока. Исследования позволили выявить наиболее оптимальную концентрацию, она составляет 0,5%. Увеличение концентрации витамина В до 1% снижает интенсивность накопления биомассы и увеличивает продолжительность технологического процесса.

Для определения экономической эффективности производства был проведен сравнительный экономический анализ. Себестоимость 1тонны продукта по сравнению с базовым вариантом увеличилась на 689 рублей, что в условиях крупнотоннажного производства крайне незначительно.

Уровень рентабельности проектируемого варианта составляет 13,22%, что является достаточно высоким показателем. Стоимость технологического оборудования увеличивается в незначительной степени, а время приготовления продукта, за счет внесения изменении в традиционную технологическую схему, сокращается.

В ходе выполнения работы было подробно изучено аппаратурное оснащение и технологическая схема производства кисломолочных продуктов. А также вопросы охраны труда и экологической безопасности производства.

Список использованной литературы


1. Аркадьева, З.А., Безбородов, А.М., Блохина Т.Н. Промышленная микробиология. - М.: Высшая школа, 1989. - 475с.

. Банников, А.Г. Основы экологии и охрана окружающей среды /А.Г. Банников А.А. Вакулин, А.К. Рустамов. - М.: Колос, 1999. - 304 с.

. Белов, С.В. и др. Безопасность жизнедеятельности. - М.: Высшая школа. 1999. - 448с.

. Блинов, В.А. Молоко и молочные продукты. - Саратов, 2000. - 124с.

. Бредихин, С.А. Технология и техника переработки молока / С.А. Бредихин, Ю.В. Космодемьянский, В.Н. Юрин. - М.: Колос, 2003. - 400с.

. Букин, В.Н. Витамин В12 и его применение в животноводстве. - М.: Высшая школа, 1987. - 125с.

. Вайткус, В.В. Гомогенизация молока. − М.: Пищевая промышленность, 1967. - 200с.

. Василенко, Т.И. Молоко, молочные продукты и консервы. - М.: Издательство стандартов, 1989. - 457с.

. Горбатюк, В.И. Процессы и аппараты пищевых производств. - М.: Колос, 1999. - 335с.

. Горощенко, Л.Г. Российский рынок молочных продуктов // Молочная промышленность. - 2007. − №1. − С.5-8.

. ГОСТ 2874 - 82. Вода питьевая. М.: Издательство стандартов, 1982.

. Давидов, Р.Б. Молоко и молочные продукты в питание человека / Р.Б. Давидов, В.П. Соколовский. - М.: "Медицина", 1968. - 236с.

. Ефремов, В. В Витамины в питании и профилактика витаминной недостаточности. - М.: Колос, 1993. - 120с.

. Закон Российской Федерации "Об охране окружающей среды" от 19.12.1991 г. Изд. Верховного совета РФ - М.: "Республика", 1992. С.413.

. Зотов, Б.И., Курдюмов, В.И. Проектирование и расчет средств обеспечения безопасности. - М.: Колос, 1997. - 136 с.

. Зотов, Б.И., Курдюмов, В.И. Безопасность жизнедеятельности. - М.: Колос, 200. - 424 с.

. Инихов, Г.С., Брио, Н.П. Методы анализа молока и молочных продуктов. - М.: Пищевая промышленность, 1971. - 422с.

. Кавецкий, Г.Д., Васильев, Б.В. Процессы и аппараты пищевых производств. - М.: Колос, 2000. - 551с.

. Кошляр, Е.Р., Сосина Н.В. Витамины и микроэлементы в рационах скота и птицы. - М.: Высшая школа, 1989. - 100с.

. Крусь, Г.Н. Методы исследования молока и молочных продуктов / Г.Н. Крусь, А.М. Шалыгина, З.В. Волокитина. - М.: Колос С, 2002. - 368с.

. Кугенев, П.В. Молоко и молочное продукты. М.: Россельхозиздат, 1985. - 80с.

. Левина, Э.Н. Вредные вещества в промышленности. - Л.: Химия, 1985. - 461с.

. Мишустин, Е.Н., Емцев, В.Т. Микробиология. - 3-е изд., перераб. и доп. М.: Агропромиздат, 1987. - 328с.

. Оноприйко, А.В. Производство молока и молочных продуктов. Практическое пособие. - Ростов н/Д: издательский центр "МарТ", 2004. - 384с.

. Патратий, А.П., Полякова, Г.С. Инструкция по технологическому контролю на предприятиях молочной промышленности. - М.: ЦНИИТЭИмясомолпром, 1977. - 183с.

. Правовое регулирование природопользования и охраны окружающей среды. Сборник нормативных актов за 1995 г.М., 1996, С.398.

. Приказ МПР Р.Ф. от 15 июня 2001 №511 " Об утверждение критериев отнесения опасных отходов к классу опасности для окружающей среды. Санитарная классификация предприятий и СаНПиН 2.2.1 /2.1.1.1031-01. "

. Ростроса, Н.К. Справочник по цельномолочному производству. - М.: Легкая и пищевая промышленность, 1984. - 280с.

. Руководство по контролю загрязнения атмосферы. РД 52.04.186-89.М., 1991, С.694.

. Сассон А. Биотехнология: свершения и надежды. - М.: Мир, 1987. - 411с.

. Сборник руководящих документов и нормативных актов по охране окружающей среды и рациональному природопользованию (выпуск 2). Саратов, 1995, С.158.

. Скородумова, А.М. Практическое руководство по микробиологии молока и молочных продуктов. - М.: Пищепромиздат, 1983. - 308с.

. Степанова, Л.И. Справочник технолога молочного производства. Т.2 - Цельномолочные продукты - С-Пб.: ГИОДД, 2003. - 384с.

. Твердохлёб, Г.В. Технология молока и молочных продуктов / Г.В. Твердохлёб, З.Х. Диланян, Л.В. Чекулаева, Г.Г. Шилер. - М.: Агропромиздат, 1991-463с.

. Храмцов, А.Г. Безотходная технология в молочной промышленности. /А.Г. Храмцов, П.Г. Нестеренко. - М.: Агропромиздат, 1989. - 279 с.

. Шифрин, С.М. Очистка сточных вод предприятия молочной и мясной промышленности/ С.М. Шифрин, Г.В. Иванов, Б.Г. Мишуков, Ю.А. Феофанов. - М.: Легкая и пищевая промышленность, 2000. - 254с.

. Шкрабак, В.С. Безопасность жизнедеятельности в сельском хозяйстве/В.С. Шкрабак, А.В. Луковников, А.К. Тургиев // Учебное пособие. - М.: Колос, 2004. - 512с.

Похожие работы на - Исследование и оценка действия витаминов группы В на процесс приготовления йогурта

 

Не нашли материал для своей работы?
Поможем написать уникальную работу
Без плагиата!
Без нейросетей!