Интерполяционный многочлен Ньютона. Итерационные уравнения
Задачи
Задание 1
Осуществить интерполяцию с помощью полинома Ньютона исходных
данных из табл.1 вычислить значение интерполяционного полинома в точке
.
Таблица 1
|
Порядковый
номер исходных данных
|
|
№
|
1
|
2
|
3
|
4
|
5
|
6
|
7
|
8
|
9
|
10
|
|
Х
|
3,500
|
3,550
|
3,600
|
3,650
|
3,700
|
3,750
|
3,800
|
3,850
|
3,900
|
3,950
|
|
У
|
33,11
|
34,65
|
36,6
|
38,47
|
40,44
|
42,52
|
44,7
|
46,99
|
49,4
|
51,93
|
Решение
Интерполяционный многочлен Ньютона для равноотстоящих узлов
записывается в виде
- конечная разность первого порядка
- конечная разность К-го порядка.
Таблица конечных разностей для экспериментальных данных:
|
          
|
|
|
|
|
|
|
|
|
|
|
|
|
1
|
3,500
|
33,11
|
1,5400
|
0,4100
|
-0,4900
|
0,6700
|
-0,8400
|
0,9900
|
-1,1000
|
1,1500
|
-1,1300
|
|
2
|
3,550
|
34,65
|
1,9500
|
-0,0800
|
0,1800
|
-0,1700
|
0,1500
|
-0,1100
|
0,0500
|
0,0200
|
|
|
3
|
3,600
|
1,8700
|
0,1000
|
0,0100
|
-0,0200
|
0,0400
|
-0,0600
|
0,0700
|
|
|
|
4
|
3,650
|
38,47
|
1,9700
|
0,1100
|
-0,0100
|
0,0200
|
-0,0200
|
0,0100
|
|
|
|
|
5
|
3,700
|
40,44
|
2,0800
|
0,1000
|
0,0100
|
0,0000
|
-0,0100
|
|
|
|
|
|
6
|
3,750
|
42,52
|
2,1800
|
0,1100
|
0,0100
|
-0,0100
|
|
|
|
|
|
|
7
|
3,800
|
44,7
|
2,2900
|
0,1200
|
0,0000
|
|
|
|
|
|
|
|
8
|
3,850
|
46,99
|
2,4100
|
0,1200
|
|
|
|
|
|
|
|
|
9
|
3,900
|
49,4
|
2,5300
|
|
|
|
|
|
|
|
|
|
10
|
3,950
|
51,93
|
|
|
|
|
|
|
|
|
|
.
Задание 2
Уточнить значение корня на заданном интервале тремя итерациями и
найти погрешность вычисления.
, [0,4].
Решение
Вычислим первую и вторую производную функции
. Получим
и
.
Итерационное уравнение запишется так:
.
В качестве начального приближения возьмем правый конец отрезка
. Проверяем условие сходимости:
. Условие сходимости метода Ньютона
выполнено.
Таблица значений корня уравнения:
|
i
|
|
|
1
|
3,5
|
|
2
|
3,3550
|
|
3
|
3,3428
|
Уточненное значение корня 
.
В качестве оценки абсолютной погрешности полученного результата
можно использовать величину
.
Задание 3.
Решение
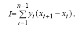
Метод прямоугольников
Значение интеграла на интервале определяется следующей формулой:
|
 слева справа
|
|
|
|
0
|
0,032
|
0,250
|
|
1
|
0,250
|
0, 200
|
|
2
|
0, 200
|
0,267
|
|
3
|
0,267
|
0,243
|
|
0,7490,9595
|
|
|
Значение интеграла:
.
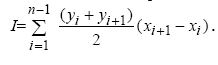
Метод трапеций
Площадь трапеции равняется полусумме оснований, умноженной на
высоту, которая равна расстоянию между точками по оси х. интеграл равен сумме
площадей всех трапеций.
интерполяция полином ньютон итерационный
|

|
|
|
0
|
0,032
|
|
1
|
0,250
|
|
2
|
0, 200
|
|
3
|
0,267
|
Значение интеграла:
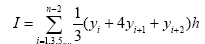
. Метод Симпсона
|

|
|
|
0
|
0,333
|
|
1
|
0,25
|
|
2
|
0,2
|
|
3
|
0,1667
|
Значение интеграла:
.
Задание 4
Проинтегрировать уравнение методом Эйлера на интервале [0.2, 1.2].
Начальное условие у (0,2) =0,25.
Решение
Все вычисления удобно представить в виде таблицы:
|
    
|
|
|
|
|
|
|
0
|
0,2
|
0,2500
|
0,1744
|
0,0436
|
0,2936
|
|
1
|
0,45
|
0,2936
|
0,2911
|
0,0728
|
0,3664
|
|
2
|
0,7
|
0,3664
|
0,4385
|
0,1096
|
0,4760
|
0,95
|
0,4760
|
0,6154
|
0,1539
|
0,6298
|
|
4
|
1,2
|
0,6298
|
0,8220
|
0, 2055
|
|
Таким образом, задача решена.
Задание 5
Задача 1. Вычислить сумму и разность комплексных чисел,
заданных в показательной форме. Переведя их в алгебраическую форму. Построить
операнды и результаты на комплексной плоскости.
Задача 2. Вычислить произведение и частное комплексных чисел.
Операнды и результаты изобразить на комплексной плоскости.
Задание 6.
Задача 1.
Задача 2.
Вычислить производную функции f (z) в точке
.
Решение
Так как для аналитических функций справедливы все формулы и
правила дифференцирования действительного аргумента, то
Вычислить интеграл по замкнутым контурам а) и б), считая обход
контура в положительном направлении. Нарисовать область интегрирования, указать
на рисунке особые точки.
Решение
а)
Подынтегральная функция имеет особые точки:
. Тогда интеграл вычистится по следующей
формуле:
б)
Подынтегральная функция имеет особые точки:
. Тогда интеграл вычистится по следующей
формуле:
.