Интегрирование и производная функций
Задание 1
Осуществить интерполяцию
с помощью полинома Ньютона исходных данных из табл. 1 вычислить значение
интерполяционного полинома в точке
.
Таблица 1
|
Порядковый номер исходных данных
|
|
№
|
1
|
2
|
3
|
4
|
5
|
6
|
7
|
8
|
9
|
10
|
|
Х
|
1,415
|
1,420
|
1,425
|
1,430
|
1,435
|
1,440
|
1,445
|
1,450
|
1,455
|
1,460
|
|
У
|
0,888
|
0,889
|
0,89
|
0,891
|
0,892
|
0,893
|
0,894
|
0,895
|
0,896
|
0,897
|
интерполяция погрешность производная
Решение
Интерполяционный
многочлен Ньютона для равноотстоящих узлов записывается в виде
- конечная разность
первого порядка
- конечная разность
К-го порядка.
Таблица конечных
разностей для экспериментальных данных:
|
          
|
|
|
|
|
|
|
|
|
|
|
|
|
1
|
1,415
|
0,888
|
0,001
|
0
|
0
|
0
|
0
|
0
|
0
|
0
|
0
|
|
2
|
1,420
|
0,889
|
0,001
|
0
|
0
|
0
|
0
|
0
|
0
|
0
|
|
|
3
|
0,89
|
0,001
|
0
|
0
|
0
|
0
|
0
|
0
|
|
|
|
4
|
1,430
|
0,891
|
0,001
|
0
|
0
|
0
|
0
|
0
|
|
|
|
|
5
|
1,435
|
0,892
|
0,001
|
0
|
0
|
0
|
0
|
|
|
|
|
|
6
|
1,440
|
0,893
|
0,001
|
0
|
0
|
0
|
|
|
|
|
|
|
7
|
1,445
|
0,894
|
0,001
|
0
|
0
|
|
|
|
|
|
|
|
8
|
1,450
|
0,895
|
0,001
|
0
|
|
|
|
|
|
|
|
|
9
|
1,455
|
0,896
|
0,001
|
|
|
|
|
|
|
|
|
|
10
|
1,460
|
0,897
|
|
|
|
|
|
|
|
|
|
.
Задание 2
Уточнить значение корня
на заданном интервале тремя итерациями и найти погрешность вычисления.
, [0,4].
Решение
Вычислим первую и вторую
производную функции
. Получим
и
.
Итерационное уравнение
запишется так:
.
В качестве начального
приближения возьмем правый конец отрезка
.
Проверяем условие
сходимости:
.
Условие сходимости
метода Ньютона выполнено.
Таблица значений корня
уравнения:
|
i
|
|
|
1
|
3,083
|
|
2
|
2,606
|
2,453
|
Уточненное значение
корня 
.
В качестве оценки
абсолютной погрешности полученного результата можно использовать величину
.
Задание 3
Методами треугольников,
трапеций и Симпсона вычислить определенный интеграл.
Решение
Метод прямоугольников
Значение интеграла на
интервале определяется следующей формулой:
|
 слева
справа
|
|
|
|
1
|
0,25
|
0,2
|
|
2
|
0,2
|
0,1667
|
|
3
|
0,1667
|
0,1429
|
|
4
|
0,1429
|
0,125
|
|
0,75950,6345
|
|
|
Значение интеграла:
.
Метод трапеций
Площадь трапеции
равняется полусумме оснований, умноженной на высоту, которая равна расстоянию
между точками по оси х. интеграл равен сумме площадей всех трапеций.
|

|
|
|
1
|
0,25
|
|
2
|
0,2
|
|
3
|
0,1667
|
|
4
|
0,1429
|
|
5
|
0,125
|
Значение интеграла:
.
Метод Симпсона
|

|
|
|
1
|
0,25
|
|
2
|
0,2
|
|
3
|
0,1667
|
|
4
|
0,1429
|
Значение интеграла:
.
Задание 4
Проинтегрировать
уравнение методом Эйлера на интервале [0.2, 1.2] . Начальное условие
у(0,2)=0,25.
Решение
Все вычисления удобно
представить в виде таблицы:
|
    
|
|
|
|
|
|
|
0
|
0,2
|
0,2500
|
0,2751
|
0,0688
|
0,3188
|
|
1
|
0,45
|
0,3188
|
0,4091
|
0,4211
|
|
2
|
0,7
|
0,4211
|
0,5634
|
0,1408
|
0,5619
|
|
3
|
0,95
|
0,5619
|
0,7359
|
0,1840
|
0,7459
|
|
4
|
1,2
|
0,7459
|
0,9318
|
0,2329
|
|
Таким образом, задача решена.
Задание 5
Задача 1. Вычислить сумму и разность
комплексных чисел, заданных в показательной форме. Переведя их в алгебраическую
форму. Построить операнды и результаты на комплексной плоскости.
Задача 2. Вычислить произведение и
частное комплексных чисел. Операнды и результаты изобразить на комплексной
плоскости.
Решение
Задача 1.
Задача 2.
Задание 6
Вычислить производную
функции f(z) в точке
.
Решение
Так как для
аналитических функций справедливы все формулы и правила дифференцирования
действительного аргумента, то
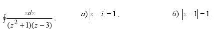
Задание 7
Вычислить интеграл по
замкнутым контурам а) и б), считая обход контура в положительном направлении.
Нарисовать область интегрирования, указать на рисунке особые точки.
Решение
а)
Подынтегральная функция
имеет особые точки:
.
Тогда интеграл вычистится по следующей формуле:
.
б)
Подынтегральная функция
имеет особые точки:
.
Тогда интеграл вычистится по следующей формуле:
.