Кинематические схемы промышленных роботов
САНКТ-ПЕТЕРБУРГСКИЙ
ГОСУДАРСТВЕННЫЙ
ПОЛИТЕХНИЧЕСКИЙ
УНИВЕРСИТЕТ
Факультет
при ЦНИИ робототехники и технической кибернетики
Кафедра
«Интегрированные компьютерные технологии
в
промышленности»
Отчет
по
дисциплине: Проектирование сложных систем
Тема: «Кинематические
схемы промышленных роботов»
Выполнил:
Студент группы
4174/10
Е.В. Моренков
Проверил:
д.т.н., профессор
Голландцев Ю.А.
Санкт-Петербург
2011
Типы промышленных роботов
1. Промышленный робот прямоугольной
системы координат - ПР-ПСК.
ПР применяются при автоматизации технологических
процессов сборки изделий точной механики и радиоэлектроники. Грузоподъемность
ПР не превышает 5 кг. Зона обслуживания ПР-ПСК невелика. Точность
позиционирования зависит от жесткости кинематической схемы, которая обратно
пропорциональна диапазону перемещения по каждой координате. Рабочая зона -
параллелепипед.
. Промышленный
робот цилиндрической системы координат- ПР-ЦСК.
Это семейство роботов ранее было широко
распространено благодаря простоте вычислений, что позволяло использовать не
очень производительную вычислительную технику, и большой рабочей зоне. Однако в
настоящее время оно уступает свои позиции роботам, работающим в угловой системе
координат. Рабочая зона данных роботов - цилиндр с исключенной внутренней
частью («мертвая зона»).
. Промышленный робот сферической системы
координат - ПР-ССК.
ПР имеет две вращательные степени подвижности и
одну поступательную. Вращение осуществляется в горизонтальной и вертикальных
плоскостях, а поступательное движение в вертикальной плоскости. Обычное место
их применения - обслуживание горячештамповочных прессов, токарных станков, и
разнообразных печей. Большинство роботов данной кинематической схемы построено
с использованием гидропривода. Рабочая зона - сферическая поверхность.
. Промышленный робот угловой системы
координат - ПР-УСК.
Данное семейство является наиболее
распространенным в наше время. Кинематическая схема таких роботов копирует
человеческую руку. Их отличает большая грузоподъемность, гибкость и малые
размеры «мертвой зоны». Основным недостатком является сложность вычислений в
данной системе координат из-за большого взаимного влияния звеньев друг на
друга, что требует больших вычислительных мощностей. Рабочая зона таких роботов
в большинстве случаев - сфера.
Промышленный робот смешанной системы
координат - ПР-СмССК
Данное семейство широко представлено в
производстве, связанном со сборкой разнообразных механизмов, электронной
промышленности и подобных. Основная особенность данных роботов - высокая
точность позиционирования при высоком быстродействии, низкая грузоподъемность,
минимальные собственные размеры и большая рабочая зона. В большинстве случаев
рабочая зона таких роботов - цилиндр.
Промышленный робот, работающий в
прямоугольной системе координат
Datron IR 0300
Рисунок 1. - Внешний вид ПР Datron
IR0300
Таблица 1. - Технические характеристки ПР Datron
IR0300
|
Размеры
стола (W
x
D
x
H)
|
560
x 240 x 650 мм
|
|
Длина
перемещений 1-го звена 2-го звена 3-го звена
|
0.56 м 0.985 м
0.89 м
|
|
Скорость
перемещения звеньев
|
до
0.9 м/с вдоль оси/
|
|
Погрешность
|
±50
мм
|
|
Управление
|
Цифровой
сервопривод
|
|
Максимальный
вес
|
5
кг
|
|
Вес
70 кг
|
Рисунок 2. - Кинематическая схема ПР
Для приведения реальной кинематической схемы
робота к расчетной, исключаем из рассмотрения перемещения, связанные с
ориентирующими движениями захвата, т.е. замораживаем угловые перемещения.
Прямые уравнения кинематики для точки полюса
ПР-ПСК:
обратные уравнения кинематики для точки полюса
ПР:
Радиус-вектор, описывающий перемещение точки
полюса ПР относительно начала координат:
.
Модуль скорости точки полюса ПР:
.
Модуль ускорения точки полюса ПР:
.
Проведем расчет ускорений по формулам:
,
где qimax
и
qimin -
максимальное и минимальное значение координаты q,
-
максимальная скорость звена.
Таблица 2. - Расчёт максимального ускорения
звеньев ПР-ПСК
|
Управляемые
параметры
|
|
|
|
|
|
|
, м
|
0.01
|
0.05
|
0.1
|
|
, м
|
0.561
|
0.99
|
0.99
|
|
, м/с
|
0.9
|
0.8
|
0.6
|
|
|
0.7
|
0.8
|
0.2
|
|
, м/с2
|
2.45
|
1.135
|
0.674
|
Будем считать, что звенья представляют собой
толстостенный полый цилиндр. Материал сталь (dст=7800
кг/м3)
Тогда:
.
кг,
,
,
,
,
,
кг,
кг,
кг.
Таблица 3. - Расчёт масс звеньев ПР-ПСК
|
№
звена
|
li, м
|
rб, м
|
rм, м
|
Кз
|
Rэ, м
|
m, кг
|
|
1
|
0.57
|
0.07
|
0.01
|
0.3
|
0.038
|
14.703
|
|
2
|
1
|
0.05
|
0.01
|
0.5
|
0.022
|
11.762
|
|
3
|
1
|
0.05
|
0.01
|
0.5
|
0.024
|
20.057
|
|
Масса
основания
|
24.5
|
|
|
71.02
|
Рассчитаем моменты
инерции звеньев
1-е звено.
кг*м2.
-е звено.
кг*м2.
-е звено.
кг*м2.
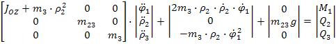
Уравнения динамики:
Промышленный робот, работающий в
цилиндрической системе координат
Робот Seiko RT 3200
Технические характеристики
Грузоподъемность, кг………5
Число степеней свободы…….4
Точность позиционирования, мм…±0.025
Наибольшие линейные перемещения
руки, мм:
по вертикали…………120
по горизонтали……….305
Наибольший угол поворота руки
(колонны) вокруг
вертикальной оси, град……….300
Наибольшие линейные скорости
перемещения руки, мм/с:
по вертикали…………513
по горизонтали…………1000
Наибольшая скорость поворота,
град/с:
колонны…………200
Масса, кг…….130
Рисунок 3. - Универсальный промышленный робот
Seiko RT 3200
Рисунок 4. - Кинематическая схема ПР
Прямые уравнения кинематики ПР-ЦСК:
.
обратные уравнения кинематики ПР-ЦСК
.
Радиус-вектор точки полюса Р:
R=
.
Модуль скорости точки полюса ПР:
.
Модуль ускорения точки полюса ПР:
a=
.
Таблица 4. - Расчёт максимального ускорения
звеньев ПР-ЦСК
|
Управляемые
параметры
|
|
|
|
|
|
|
,
|
-2.62
рад
|
0.1
м
|
0.05
м
|
|
|
2.62
рад
|
0.22
м
|
0.355
м
|
|
|
3.49
рад/с
|
0.513
м/с
|
1
м/с
|
|
|
0.6
|
0.5
|
0.7
|
|
|
3.87
рад/с2
|
4.39 м/с2
|
4.68 м/с2
|
Согласно имеющемуся изображению данного
промышленного робота, будем считать, что звенья представляют собой полые
толстостенные цилиндры.
Число степеней свободы n=4.
Имеется 1 ориентирующая степень подвижности.
кг,
,
,
,
,
кг,
кг.
Таблица 5. - Расчёт масс звеньев ПР-ЦСК
|
№
звена
|
li, м
|
rб, м
|
rм, м
|
Кз
|
Rэ, м
|
m, кг
|
|
2
|
0.12
|
0.15
|
0.12
|
0.5
|
0.122
|
44.17
|
|
3
|
0.305
|
0.2
|
0.1
|
0.5
|
0.073
|
40.27
|
|
Масса
основания
|
45.5
|
|
|
129.87
|
Погрешность в пределах 5%.
Рассчитаем моменты инерции звеньев.
-е звено
кг*м2.
Уравнения динамики:
Промышленный робот, работающий в
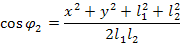
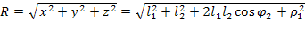
сферической системе координат
Сферическая система координат характеризуется
перемещением рабочего органа в точку пространства за счет перемещений по
радиус-вектору r и угловым перемещениям φ и
θ
в
двух взаимно перпендикулярных плоскостях. Рабочая зона промышленного робота
имеет в этом случае форму шара.
Robot welder
Рисунок 5. - Robot welder
Сфера применения: сварочные работы.
Технические характеристики
Рисунок 6. - Кинематическая схема робота
.
,
Тогда
.
,
,
=>
.
Радиус-вектор точки полюса Р:
.
Модуль скорости точки полюса ПР:
;
;
.
=
.
Модуль ускорения точки полюса ПР:
a=
.
Таблица 6. - Расчёт максимального ускорения
звеньев ПР-ССК
|
Управляемые
параметры
|
|
|
|
|
|
|
,
|
рад
|
-1.92
рад
|
1.168
м
|
|
|
рад
|
1.92
рад
|
2.050
м
|
|
|
рад/с
|
рад/с
|
0.15
м/с
|
|
|
0.6
|
0.3
|
0.1
|
|
|
0.545 рад/с2
|
0.238 рад/с2
|
0.255
м/с2
|
Число степеней свободы n=6.
Имеются 3 ориентирующие степени подвижности.
кг,
,
,
,
,
,
.
(<5%).
Таблица 7. - Расчёт масс звеньев ПР-ССК
|
№
звена
|
li, м
|
rб, м
|
rм, м
|
Кз
|
RЭ, м
|
m, кг
|
|
3
|
0.882
|
0.2
|
0.1
|
0.4
|
0.12
|
313.755
|
|
Масса
основания
|
224
|
|
|
537.755
|
кг*м2.
Уравнения динамики:
Промышленный робот, работающий в
угловой системе координат
промышленный робот кинематический
звено
UNIMATE Puma 562
Рисунок 7. - UNIMATE Puma 562
Таблица 8. - Технические характеристики UNIMATE
Puma 562
|
Основное
|
Осей
|
6
|
|
Привод
|
Постоянного
тока
|
|
Рабочая
зона
|
Длины
звеньев
|
878
мм
|
|
Пределы
звена 1
|
320
deg
|
|
Пределы
звена 2
|
250
deg
|
|
Пределы
звена 3
|
270
deg
|
|
Приемлемая
нагрузка
|
Номинальная
грузоподъемность
|
4
кг
|
|
Разрешенная
нагрузка на звено
|
4 кг на
127
mm
|
Повторяемость
|
762
+/- 0.1 мм 761 +/- 0.1 мм
|
|
Максимальная
скорость
|
1.0
м/с
|
|
Максимальная
угловая скорость
|
1.139
рад/с
|
|
Масса
|
Arm
|
163
кг
|
|
Controller
|
200
кг
|
Рисунок 8. - Кинематическая схема ПР
Прямая задача
.
Обратная задача
=
=
,
.
,
,
Введем такое α, что
,
.
Тогда
,
,
.
Радиус-вектор точки полюса Р:
.
Модуль скорости точки полюса ПР:
.
Ускорение точки полюса ПР:
,
где
,
,
.
Таблица 9. - Расчёт максимального ускорения
звеньев ПР-УСК
|
Управляемые
параметры
|
|
|
|
|
|
|
, рад
|
-2.793
|
-2.182
|
-2.356
|
|
, рад
|
2.793
|
2.182
|
2.356
|
|
, рад/с
|
1.139
|
1.139
|
1.139
|
|
|
0.2
|
0.7
|
0.35
|
|
, рад/с2
|
1.161
|
0.425
|
0.787
|
Согласно имеющемуся изображению данного
промышленного робота, будем считать, что звенья представляют собой цилиндры.
Число степеней свободы n=6.
Имеются 3 ориентирующие степени подвижности.
кг;
;
;
.
,
,
кг,
Таблица 10. - Расчёт масс звеньев ПР-УСК
|
№
звена
|
li, м
|
rб, м
|
Кз
|
RЭ, м
|
m, кг
|
|
2
|
0.87
|
0.15
|
0.16
|
0.066
|
93.454
|
|
3
|
0.87
|
0.15
|
0.16
|
0.06
|
77.454
|
|
Масса
основания
|
200
|
|
|
370.908
|
Погрешность в пределах 5%.
Рассчитаем моменты инерции звеньев.
2-е звено.
Вращение вокруг неподвижной оси, совпадающей с
осью Oz
кг*м2.
-е звено.
кг*м2.
Уравнение динамики:
+
,
,
,,
Промышленный робот, работающий в
смешенной системе координат
Таблица 11. - Технические характеристики робота TH
180
|
Длина
звена
|
Общая
|
180
мм
|
|
Звено
1
|
70
мм
|
|
Звено
2
|
110
мм
|
|
Рабочая
зона
|
Ось
1
|
±120°
|
|
Ось
2
|
±140°
|
|
Ось
3 (Z-ось)
|
120
мм
|
|
Максимальная
скорость
|
Ось
1
|
533°/с
|
|
Ось
2
|
480°/с
|
|
Ось
3 (Z-ось)
|
8 мм/с
|
|
Комбинированная
|
2.6
м/с
|
|
Стандартная
повторяемость
|
Горизонтальная
100мм Вертикальная
25мм
|
0.35с (с
нагрузкой 1 кг)
|
|
Грузоподъемность
|
Мах
грузоподъемность
|
2 кг
|
|
Допустимый
конечный момент инерции
|
0.01 кг/м2
|
|
Точность
позиционирования
|
X,Y (горизонтальная)
|
±0.01 мм
|
|
Z
(Вертикальная)
|
±0.01
мм
|
|
Масса
|
9
кг
|
Рисунок 9. - Toshiba
SCARA TH180

Рисунок 10. - Кинематическая схема ПР
,
,
.
Пусть
Тогда
Радиус-вектор точки полюса Р:
.
Модуль скорости точки полюса ПР:
.
Ускорение точки полюса ПР:
.
Таблица 12. - Расчёт максимального ускорения
звеньев
|
Управляемые
параметры
|
|
|
|
|
|
|
|
-1.047
рад
|
-1.222
рад
|
0.01
м
|
|
|
1.047
рад
|
1.222
рад
|
0.13
м
|
|
|
9.303
рад/с
|
8.378
рад/с
|
0.8
м/с
|
|
|
0.8
|
0.7
|
0.9
|
|
|
25.82
рад/с2
|
20.52
рад/с2
|
5.93 м/с2
|
Согласно имеющемуся изображению данного
промышленного робота, будем считать, что звенья представляют собой цилиндры.
Число степеней свободы n=4.
Имеется 1 ориентирующая степень подвижности.
кг,
,
,
,
,
,
кг,
кг,
кг.
Таблица 13. - Расчёт масс звеньев ПР-СмСК
|
№
звена
|
li, м
|
rб, м
|
Кз
|
RЭ, м
|
m, кг
|
|
1
|
0.07
|
0.03
|
0.5
|
0.023
|
0.919
|
|
2
|
0.11
|
0.02
|
0.5
|
0.014
|
0.539
|
|
3
|
0.12
|
0.025
|
0.5
|
0.04
|
4.772
|
|
Масса
основания
|
3
|
|
|
9.23
|
Погрешность в
пределах 5%.
Рассчитаем моменты инерции звеньев.
1-е звено.
кг*м2.
-е звено.
кг*м2.
звено.
кг*м2.
Уравнение динамики:
,
где
,
,
.