Кривые второго порядка
ВЫСШАЯ МАТЕМАТИКА
Кривые второго порядка
СОДЕРЖАНИЕ
1 Окружность. Эллипс
2 Гипербола
3 Парабола
4 Литература
1
Окружность. Эллипс
При
рассмотрении уравнений прямой на плоскости мы видели, что все они – уравнения
первой степени, т. е. переменные х и у входят в них
в первой степени. Рассмотрим основные виды так называемых кривых второго
порядка, т. е. кривых, в уравнениях которых переменная х или переменная у,
или обе переменные х и у, входят во второй степени, или же входит
произведение х·у (степени складываем – получаем
тоже вторую степень). Ранее вы уже знакомились с такими уравнениями:
– урав-нение окружности с центром в
начале координат радиуса R;
– уравнение гиперболы,
–
уравнение параболы. Получим так называемые
канонические (основные) уравнения некоторых кривых второго порядка.
Окружностью называется
множество точек плоскости, равноудаленных от данной точки, называемой ее
центром. Пусть
– центр
окружности. R – радиус
окружности. Пусть
– произвольная точка окружности.
Следовательно,
= =

(1)
(1) – уравнение
окружности радиуса R c центром в точке с
координатами
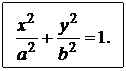
Эллипсом называется множество точек
плоскости, для каждой из которых сумма расстояний до двух данных точек F1 и F2 этой плоскости, называемых фокусами эллипса, есть
заданная постоянная величина, равная 2а, а > 0, большая, чем расстояние между фокусами 2с, с > 0.
Пусть фокусы эллипса
лежат на оси Х, причем
т. е.
– межфокусное расстояние эллипса.
Пусть
– произвольная точка эллипса. Величины
называются
фокальными радиусами точки М эллипса.
По определению эллипса: r1 + r2 = 2a, а > c. Из прямоугольных треугольников, по
теореме Пифагора, имеем:
(2)
Умножим (2) на
(3)
Сложим уравнения (2) и (3):
(4)
Возведем (4) в квадрат:
Пусть
(5)
(5) – каноническое уравнение эллипса с
центром в начале координат. Соответственно, уравнение

– каноническое уравнение эллипса с центром в точке 
Числа а и
называются соответственно большой
и малой полуосями эллипса. Заметим, что а >
, если а <
, то фокусы эллипса будут на оси Оу,
если а =
, то эллипс превращается в
окружность.
Точки
,
называются
вершинами эллипса. Отметим, что эллипс целиком расположен внутри
прямоугольника:
Так как
(6)
Эксцентриситетом эллипса e называют отношение межфокусного
расстояния 2с к длине большой оси 2а.
(7)
Следовательно,
причем
когда
т. е. имеем окружность.
При
стремящемся к 1 эллипс становится более
вытянутым вдоль оси Ох.
Выразим фокальные радиусы
точки
через эксцентриситет. Из (4):
(8)
Из (3):
Значит, подставив
координаты точки
эллипса в уравнения (8),
получаем фокальные радиусы точки М.
Прямые
называются директрисами эллипса.
–
левая директриса,
–
правая директриса.
Заметим, что директрисы
эллипса обладают следующим важным свойством:
(9)
т. е. отношение
расстояния ri
от любой точки эллипса до фокуса к расстоянию di от нее до соответствующей директрисы
есть величина постоянная, равная эксцентриситету эллипса.
2 Гипербола
Гиперболой называется множество точек
плоскости, для каждой из которых модуль разности расстояний от которых до двух
данных точек
той же плоскости, называемых фокусами
гиперболы, есть заданная постоянная величина
меньшая,
чем расстояние между фокусами
Пусть
фокусы гиперболы лежат на оси Ох, причем
т. е.
Заметим, что
Пусть
– произвольная точка гиперболы. Как и
ранее,
– фокальные радиусы точки М.
По определению гиперболы:
где
Следовательно,
(10)
Умножим (10) на
(11)
Сложим уравнения (10) и
(11):
(12)
Возведем (12) в квадрат:
Пусть
(13)
(13) – каноническое
уравнение гиперболы с центром в начале координат. Соответственно, уравнение

Числа a и b называются соответственно действительной и мнимой
полуосями гиперболы. Гипербола с равными полуосями (a=b) называется равносторонней, ее каноническое уравнение
имеет вид:
Точки
называются вершинами гиперболы.
Заметим, что если
уравнение гиперболы имеет вид
(14)
то фокусы гиперболы
находятся на оси Оу, а ветви гиперболы будут направлены не влево и
вправо, а вверх и вниз.
Так как
, то
(15)
Как
и в случае с эллипсом, эксцентриситетом гиперболы
называется отношение межфокусного
расстояния
к длине действительной оси
:
(16)
Следовательно,
Выразим фокальные радиусы
точки
через эксцентриситет. Из (12)
(17)
Прямые
называются директрисами
гиперболы.
–
левая директриса,
–
правая директриса.
Директрисы гиперболы
обладают тем же свойством, что и директрисы эллипса
(18)
т. е. отношение
расстояния
от любой точки гиперболы до фокуса к
расстоянию
от нее до соответствующей директрисы
есть величина постоянная, равная эксцентриситету гиперболы.
Для гиперболы важную роль
играют также прямые
(19)
которые являются ее асимптотами,
т. е. прямыми к которым график гиперболы неограниченно близко приближается, но
не пересекает их. Заметим, что асимптоты гиперболы совпадают с диагоналями
прямоугольника (если их продолжить)
Следует отметить, что
если уравнение гиперболы имеет вид (14), т. е. ее фокусы находятся на оси Оу,
то изменятся формулы для вычисления фокальных радиусов, эксцентриситета,
директрис. Так
– эксцентриситет,
– уравнения директрис.
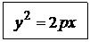
3 Парабола
Параболой называется множество точек
плоскости, равноудаленных от данной точки F этой плоскости, называемой фокусом параболы, и данной
прямой, называемой ее директрисой.
Построим уравнение
параболы.
Пусть ось Оx проходит через фокус F параболы и перпендикулярен
директрисе, а ось Оу проходит посередине между фокусом и директрисой. Обозначим
через p – расстояние между фокусом и директрисой. Тогда
, а уравнение директрисы
.
Число p – называется фокальным параметром параболы.
Пусть
– произвольная точка параболы. Пусть
– фокальный радиус точки M. d – расстояние от
точки М до директрисы. Тогда
По
определению параболы
. Следовательно
Возведем это уравнение в
квадрат

(20)
– каноническое
уравнение параболы, симметричной относительно оси Оx и
проходящей через начало координат.
Точка (0; 0) – вершина
параболы.
Если
р > 0 (р > 0 ), то парабола (20)
расположена правее (левее) оси Оу.
Так как для параболы
, а для эллипса и гиперболы
, то, следовательно, эксцентриситет
параболы равен 1 (e =
1).
Заметим, что парабола,
симметричная относительно Оу и проходящая через начало координат,
определяется уравнением
х2 = 2q y
(21)
Фокус этой параболы
находится в точке
. Уравнение ее директрисы
. Фокальный радиус ее точки М(х,
у) выражается формулой
.
Если q > 0 (q < 0), то ветви параболы (21) расположены выше
(ниже) оси Ох.
Рассмотрим примеры.
ПРИМЕР 1
Найти координаты центра и
радиус окружности, определяемой уравнением
х2 + у2 – 4х + 6у – 3 =
0.
Решение.
Выделим полные квадраты в
данном уравнении:
х2 + у2 – 4х + 6у – 3 =
(х2 – 4х + 4) – 4 + (у2 + 6у
+ 9) – 9 – 3 = 0
Þ (х – 2)2 + (у
+ 3)2 = 16.
Учитывая уравнение
окружности (1), имеем, что ее центр находится в точке с координатами (2; –3), а
радиус равен 4.
ПРИМЕР 2
Эллипс, симметричный
относительно осей координат, фокусы которого находятся на оси Ох,
проходит через точку М(–4;
) и имеет
эксцентриситет
. Написать уравнение эллипса и
найти фокальные радиусы точки М.
Решение.
Каноническое уравнение
эллипса имеет вид 
Так как эллипс проходит
через точку М, то ее координаты должны удовлетворять этому уравнению
Фокусы находятся на оси Ох,
следовательно
Объединив полученные два
уравнения в систему, найдем а2 и в2:

Следовательно, уравнение
данного эллипса имеет вид:
Фокальные радиусы точки М
определим по формулам (8): х = –4,
,
.
Þ r1 = а + eх
=
= 8 – 3 = 5,
r2 = а – eх =
= 8 + 3 = 11.
ПРИМЕР 3
Определить траекторию
точки М, которая при своем движении остается вдвое ближе к точке F (–1; 0), чем к прямой х = –4.
Решение.

Возведем в квадрат: (4 + х)2
= 4 ((х + 1)2 + у2),
Þ
16 + 8х + х2
= (х2 + 2х + 1 + у2) · 4 = 4х2
+ 8х + 4 + 4у2,
Þ
3х2
+ 4у2 = 12 Þ
Þ
.
Таким образом, точка М
(х, у) движется по эллипсу.
ПРИМЕР 4
Написать уравнение
гиперболы, имеющей вершины в фокусах, а фокусы – в вершинах эллипса
.
Решение.
Из уравнения данного
эллипса имеем: а = 5; в = 3, а > в.
Следовательно,
Поэтому, вершинами эллипса будут точки
(±5; 0), (0; ±3), а фокусами точки F1(–с; 0) = (–4; 0), F2(4; 0).
Так как фокусы эллипса
находятся на оси Ох (а > в), то вершины (±5; 0) будут фокусами гиперболы.
Каноническое уравнение гиперболы, имеющей фокусы на оси Ох, имеет вид
(13)
,
причем F1(–5; 0), F2(5; 0) – фокусы данной гиперболы, т. е. с1
= 5. Найдем а1 и в1.
Так как вершины данной
гиперболы находятся в фокусах эллипса, то а1 = с = 4.
Следовательно:
.
Таким образом, уравнение
гиперболы имеет вид
ПРИМЕР 5
Составить уравнение
геометрического места точек, одинаково удаленных от точки F(2; 0) и от прямой у = 2.
Найти вершину параболы, точки пересечения ее с осью Ох.
Решение.
Пусть точка М (х,
у) – принадлежит данному множеству точек.
Следовательно çFMú = çNMú , çFMú = =
, çNMú = 2 – у, Þ 2 – у =
.
Возведем в квадрат:
– парабола, ветви которой
направлены вниз.
Найдем точки пересечения
данной параболы с осью Ох.
у = 0 Þ
Þ
Þ х1 = 0; х2
= 4.
Т. е. это будут точки (0;
0); (4; 0).
Þ Вершина параболы будет в точке с абсциссой х
= 2 Þ
= = 2 – 1 = 1, т. е.
Вершиной параболы будет
точка (2; 1).
ПРИМЕР 6
На
параболе у2 = 6х найти точку, фокальный радиус которой
равен 4,5.
Решение.
Так как у2
= 2рх Þ 2р = 6, р = 3.
Þ
=
=
Значит у2 = 6 · 3 =
18 Þ у = ±
= ±
. Þ (3; ±
) – две таких точки.
ЛИТЕРАТУРА
1. Гусак А. А. Аналитическая геометрия и линейная алгебра.–
Мн.: Тетрасистемс, 1998.
2. Овсеец М. И., Светлая Е. М. Сборник задач по высшей
математике. Учебное издание.– Мн.: ЧИУиП, 2006.– 67 с.