Измерения "сигнал/шум"

  • Вид работы:
    Реферат
  • Предмет:
    История техники
  • Язык:
    Русский
    ,
    Формат файла:
    MS Word
    17,59 kb
  • Опубликовано:
    2009-01-12
Вы можете узнать стоимость помощи в написании студенческой работы.
Помощь в написании работы, которую точно примут!

Измерения "сигнал/шум"

Измерение отношения сигнал/шум.

1. Введение.

Разрабатываемое средство измерения - модуль измерения отношения сигнал/шум (в дальнейшем модуль измерения ОСШ) является стационарным, рабочим средством измерения, предназначенное для замены морально устаревшего и не экономичного модуля измерения отношения сигнал/шум ИСШ-4, методическая база которого легла в основу данного проекта.

2. Назначение и область применения разрабатываемого модуля измерения отношения сигнал/шум.

 

Модуль измерения ОСШ предназначен для автоматического цифрового измерения отношения размаха видеосигнала к эффективному значению помехи на деталях статического телевизионного изображения, а также в интервале кадрового гасящего импульса во время передачи телевизионной программы. Величина отношения сигнал/шум (ОСШ) может быть измерена относительно размаха видеосигнала между уровнями: а)гашения и белого; б)черного и белого; в)гашения и белого в интервале кадрового гасящего импульса. Модуль измерения ОСШ может быть использован для измерения ОСШ в сигнале монохромного телевидения на выходе любого источника видеосигнала или любого участка тракта изображения аппаратно-студийного комплекса телевизионного центра или передвижной телевизионной станции; в первичных сигналах (R,G,B) цветного телевидения на соответствующих выходах камерного канала или декодирующего устройства; на выходе телекинопроекционной аппаратуры видеомагнитной записи; на выходах оконечных и промежуточных пунктов телевизионных линий связи в процессе передачи телевизионной программы и при передаче типовых испытательных сигналов. Кроме того модуль измерения ОСШ может быть использован в лабораториях и на заводах-изготовителях при разработке и проверке телевизионной передающей аппаратуры. Предназначение данной разработки состоит в модернизации находящегося в эксплуатации на теле-визионных центрах Украины модуля измерения ОСШ - ИСШ-4, перевод блоков прибора на современную элементную базу с другими схематическими решениями, изменении функциональных и принципиальных схем блоков существенно влияющих на погрешность измерения.

3. Анализ метода определения отношения сигнал/шум .

 

Отношение сигнал/шум в телевидении определяют как отношение размаха видеосигнала между уровнями белого и гашения (или черного) к эффективному значению шума .

Отношение сигнал/шум выражают в децибелах в соответствии с выражением (3.1):


где Uc -размах видеосигнала

Uэ.ш. -эффективная величина шума.

Под эффективной величиной шума подразумевается средне-квадратическое значение амплитуды шума.

Выражение (3.1) имеет в правой своей части две переменные величины, в следствии чего вычисления потребуют больших затрат, чем если бы в правой выражения (3.1) была бы одна переменная величина. Поэтому есть смысл пронормировать одну из величин и таким образом облегчить процесс обработки информации. Так как видеосигнал является более стационарным по сравнению с шумом, есть смысл нормировать именно его. Таким образом автоматическое поддержание постоянным размаха видеосигнала заменяет собой измерение размаха видеосигнала. При этом измерение отношения сигнал/шум сводится к измерению величины шума, и алгоритм (3.1) преобразуется в алгоритм :

где Во -константа.

Обработка шума с целью определения эффективной величины шума в формуле (3.2) осуществляется с помощью стробоскопического метода [ 1 ] , суть которого состоит в выборке мгновенных некоррелированных значений шума с частотой повторения сигнала и в запоминании выбранных значений на время между выборками. Таким образом, период выборки должен быть равен периоду повторения кадров, длительность интервала выборки должна быть менее длительности изображения.

Возможность использования стробоскопического метода основана на том, что шум принимается эргодическим стационарным случайным процессом, а статистические характеристики (среднее значение и дисперсия) такого случайного процесса, полученные в результате усреднения его во времени на отрезке реализации, совпадают с полученными в результате усреднения по совокупности его выборочных мгновенных значений.

Таким образом дальнейшее измерение эффективной величины шума производится в соответствии с алгоритмом (3.3):

где Uk - амплитуда k выборки

 k = 1...n , а n - число выборок мгновенных некоррелированных значений за цикл измерения.

При использовании алгоритма (3.3) нет необходимости производить как промежуточную операцию определение среднего значения или центрирование шума.

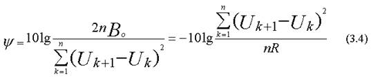
Алгоритм измерения ОСШ (3.2) принимает с учетом алгоритма (3.3) вид :

где R=2В - константа.

Затем полученные результаты преобразуется в цифровой код и алгоритм (3.4) принимает вид:


где F-константа, К - коэффициент преобразования аналог-код.

Таким образом данный алгоритм вычисления отношения сигнал/шум является простым, эффективным, и удобным в реализации аппаратными средствами. Так как целью разработки является модернизация модуля измерения ОСШ - ИСШ - 4 реализующего данный метод, то в основу разработки ложится именно этот метод.

4. Обзор и анализ аналогичных устройств.

 

Разрабатываемое СИ является прибором с узкой специализацией, предназначенное, в основном , только для работы в аппаратных телевизионных центров. Поэтому дополнение его функций как измерителя отношения сигнал/шум какими-либо дополнительными функциями является нецелесообразным, так как необходимость этих функций в условиях передвижных телестанций не велика, а в стационарных условиях вообще мала. Таким образом использование на телевидении Украины измерителя ОСШ фирмы “Роде и Шварц” (“Rohde&Schwarz”), превосходящего по своим характеристикам разрабатываемый модуль является непозволительной роскошью ввиду высокой стоимости, необходимости специальной подготовки оператора (знание немецкого языка, вычислительной техники), специальной подготовки персонала для технического обслуживания на фоне более высокой, но не всегда необходимой, точности измерения и не всегда необходимой многофункциональности. Таким образом можно прийти к выводу, что продукция таких известных производителей измерительной техники, как “TESLA” и “HEWLETT-PACKARD” не будет применяться в АСБ телецентров Украины пока не возникнет острая необходимость в приборах такой точности.

Альтернативой метода описанного выше может быть метод который решает задачу измерения ОСШ прямо. Под этим подразумевается то, что для измерения ОСШ производится измерение амплитуды видеосигнала, одновременно измерение величины среднеквадратического значения амплитуды шума, затем производится операция деления результатов измерения, после чего производится накапливание и результатом измерения ОСШ принимается математическое ожидание совокупности результатов вычисления формулы 3.1 для каждой выборки.

Недостатки этого метода по сравнению с описаным выше методом очевидны:

необходимость двух измерительных каналов, что, естественно нежелательно с точки зрения надежности, схемотехники и даже экономики;

наличие операции деления в которой один операнд значительно больше другого (как минимум в 10 раз), что приведет к увеличению погрешности;

также недостатком можно считать отсутствие преймуществ перед описаным выше методом.

Отечественным аналогом разрабатываемого модуля измерения ОСШ является прибор ИСШ-4. Структурная схема измерителя ИСШ-4 состоит из аналоговой измерительной части (блоки усиления и модуляции), цифровой измерительной части (блок автоматической регулировки усиления, арифметический блок , буферный счетчик, блок дешифраторов) и вспомогательной части (блок управления, блок выделения синхросигнала ,блок синхронизации). Структурная схема модуля измерения ОСШ изображена на рисунке 4.1.

Функциональная схема модуля измерения ОСШ изображена на рисунке 4.2.

Видеосигнал, размах которого между уровнями гашения и белого (или черного и белого) равен величине Во, поступает через потенциометр оперативной калибровки “Калибр” на один вход строб-схемы 3. На другой вод схемы 3 с выхода формирователя поступают строб-импульсы (рис.3г), частота повторения которых - 25Гц, а длительность - примерно 4 мкс. Местоположение строб-импульсов можно менять вручную в пределах всего растра. Строб-импульсы подаются также на вход схемы замешивания метки 25 селектора, где суммируются с видесигналом. С выхода схемы 25 видеосигнал поступает на коаксиальное гнездо “Видео ВКУ”, к которому подключается видеоконтрольное устройство (ВКУ). Замешанный в видеосигнал строб-импульс индицируется на экране ВКУ в виде яркостной метки, по положению которой на растре определяют участок изображения, выбранный для измерения на нем уровня шума. Этот участок изображения должен иметь постоянную яркость на всем протяжении яркостной метки, а соответствующий участок видеосигнала - неизменный размах во временном интервале строб-импульса. На выходе схемы 3 в интервале строб-импульса выделяется сигнал, представляющий собой пьедестал, размах которого пропорционален размаху видеосигнала в интервале стробирования, с наложенным на него шумом (рис.4.3д). Пьедестал с наложенным на него шумом подается на усилитель 4, на входе которого происходит автокомпенсация пьедестала. Стробирование видеосигнала с последующей автокомпенсацией пьедестала, т.е. с устранением информации о видеосигнале, позволяет выделить шум из видеосигнала, а также использовать линейную часть динамической характеристики каскадов 4 и 6 целиком для обработки шума.

Обработка пакета шума на выходе усилителя 4 с целью определения эффективной величины шума в формуле (3.2) осуществляется с помощью стробоскопического метода, суть которого состоит в выборке мгновенных некоррелированных значений шума с частотой повторения сигнала и в запоминании выбранных значений на время между выборками. Таким образом, период выборки должен быть равен периоду повторения кадров, длительность интервала выборки должна быть менее длительности элемента изображения. Возможность использования стробоскопического метода основана на том, что шум является эргодическим стационарным случайным процессом, а статические характеристики (среднее значение и дисперсия) такого случайного процесса, полученные в результате усреднения его во времени на отрезке реализации, совпадают с полученными в результате усреднения по совокупности его выборочных мгновенных значений.

Выборка мгновенных некоррелированных значений шума и запоминание их на время между выборками производится следующим образом. Пакеты усиленного шума (рис.4.3е) с выхода каскада 4 поступают на один вход амплитудно-импульсного модулятора (АИМ) 6, на другой его вход поступают импульсы выборки с выхода формирователя 5 (рис 4.3ж). Частота повторения импульсов выборки - 25Гц., а длительность на уровне амплитуды - приблизительно 20нс. Формирователь 5 запускается строб-импульсами с выхода формирователя 7 и обеспечивает положение импульса выборки посередине временного интервала строб-импульса.

На выходе АИМ образуются импульсы, модулированные по амплитуде шумом (рис.3 з), т.е. размах каждого из этих импульсов Uк пропорционален мгновенной величине шума в момент выборки

Модулированные шумом импульсы поступают на пиковый детектор 7, который осуществляет “запоминание” размаха каждого очередного импульса до прихода последующего, т.е. в момент прихода k-го импульса на выходе пикового детектора формируется напряжение Uk , а предыдущее напряжение принудительно сбрасывается (рис.4.3и; рис.4.4б). В момент прихода (к+1)-ого импульса сбрасывается напряжение Uk и формируется Uk+1.

Таким образом, на выходе детектора 7 формируется преобразованный шум - дискретный случайный процесс, име-ющий те же статистические характеристики (среднее значение и дисперсию), что и шум на входе измерителя.

Дальнейшее измерение эффективной величины шума производится в соответствии с алгоритмом (3.3), при использовании которого нет необходимости производить, как промежуточную операцию, определение среднего значения, или центрирование, преобразованного шума. Алгоритм измерения ОСШ (3.2) принимается с учетом алгоритма (3.3) вид (3.4).

Операция вычитания, возведения в квадрат, суммирование и логарифмирование в последовательности, определенной алгоритмом (3.4), осуществляют цифровые блоки измерителя. Предварительную трансформацию преобразованного шума в цифровой код производят широтно-импульсный модулятор 10, расположенный в блоке автоматической регулировки усиления, и преобразователь длительность-код 12, расположенный на плате вычитателя и квадратора арифметического блока.

Широтно-импульсный модулятор запускается строб-импульсами с выхода формирователя 9. На выходе модулятора 10 образуется широтно-модулированные импульсы (рис.4.4в), длительность которых пропорциональна размаху преобразованного шума в момент запуска модулятора 10.

5. Обоснование выбора структурной схемы модуля измерения ОСШ.

 

Так как метод измерения в разрабатываемом приборе будет такой же как в приборе ИСШ-4, то принципиально схема не изменяется. Структурная схема модуля измерения ОСШ изображена на рисунке 5.1.

Для обеспечения точости обработки сигнала и требований предъявляемых в ТЗ к входным параметрам разрабатываемого прибора входной сигнал подается на элемент структурной схемы - входной усилитель. Задачей которую должен решить этот блок является усиление входного сигнала и его отбор для дальнейшей обработки по выделению синхросигналов, а также обеспечение соответствия входного сопротивления и емкости данным указанным в ТЗ.

Для обеспечения работы всей схемы обработки алгоритма 3.5 вводится блок выделения синхросигналов. Блок выполняет задачу синхронизации всего процесса измерения либо с внешним источником синхронизации либо внутренне от импульсов синхронизации кадров и строчных синхроимпульсов входящих в состав полного видеосигнала. В функции этого блока входит также вывод на внешнее видеоконтрольное устройство (ВКУ) яркостной метки, указывающей место растра, где происходит измерение величины ОСШ. Выходными сигналами блока является синхроимпульс строки в которой производится измерение величины ОСШ и синхроимпульс по которому производится стробирование сигнала.

После блока входного усилителя полный видеосигнал попадает на первый коммутатор, задачей которого является выделение из полного видеосигнала сигнала строки в которой производится измерение.

Затем сигнал выделенной строки подается на устройство линейного сравнения и компенсации (УЛСК) которое производит нормировку в соответствии с формулой 3.2 и компенсацию величины Во в составе сигнала выделенной строки.

После этого сигнал подается на второй коммутатор, который должен произвести стробирование при поступлении синхронизирующего импульса от блока выделения синхро-сигналов. Выходной величиной блока является Uk.

Для обеспечения дальнейшей обработки выборок шума, которая является уже чисто математически-статистической, производится преобразование аналог-код. Для этого вводится блок аналого-цифрового преобразования (АЦП) результатом работы которого является код соответствующий Uk - Nk .

В дальнейшем Nk подается на блок цифровой обработки и управления (БЦОиУ). Функциями блока является накопление массива Nk, вычисление ОСШ по формуле 3.5 по совокупности выборок Nk, управление УЛСК , выдача результата измерения на отображающее устройство.

И последним блоком структурной схемы является устройство отображения результата измерения (УОРИ).

 

Функциональная схема разрабатываемого модуля измерения ОСШ будет содержать многие общие с прибором ИСШ-4 детали, но ввиду изменения принципа обработки сигнала есть необходимость полностью пересмотреть функциональную схему измерительной части.

До какой-либо обработки видеосигнала предусматривается усиление его величины. Это необходимо для того, чтобы дальнейшая обработка производилась с сигналом достаточно большого уровня, что обеспечит большую точность при преобразовании сигнала другими блоками. Для этого на входе схемы установлен предварительный усилитель с фиксированным коэффициентом усиления. Затем сигнал поступает на блок выделения синхросигналов и на устройство линейного сравнения и компенсации (УДСК). Блок УЛСК состоит из дифференциального усилителя, компаратора напряжения (КН), меры, генератора линейно изменяющегося напряжения (ГЛИН), устройства выборки и хранения (УВХ). Все эти элементы предназначены выполнить задачу приравнивания величины видеосигнала к постоянной величине Во. На этом этапе ведется обработка уже не полного видео сигнала, а только сигнала строки в которой производится измерение ОСШ. Поэтому перед входом дифференциального усилителя включается ключ, управляемый от блока выделения синхросигналов и открытый только на время прохождения сигнала строки в которой измеряется ОСШ. Автоматическое регулирование уровня сигнала строки происходит таким образом: в начальном состоянии ГЛИН сброшен в ноль и на один вход дифференциального усилителя приходит ноль. Выход усилителя подключен ко входу компаратора напряжения, который сравнивает полученный сигнал с постоянной величиной Во. Cигнал несущий информацию сравнения управляет ГЛИНом. В тот момент когда сигнал строки станет равным Во, сигнал управления с компаратора пропадет и величина напряжения на выходе ГЛИНа будет храниться в УВХ до конца цикла измерения. Таким образом пронормированный сигнал поступает в измерительный блок. Измерительный блок состоит из аналого-цифрового преобразователя (АЦП), генератора опорного напряжения и генератора тактовых импульсов. Также для реализации стробоскопического метода перед АЦП стоит ключ управляемый от схемы перемещения по строке блока выделения синхросигналов. После преобразования аналог-код информация о сигнале поступает в блок цифровой обработки сигнала состоящий из регистра хранения данных, арифметико-логического устройства (АЛУ), постоянного запоминающего устройства (ПЗУ), оперативного запоминающего устройства (ОЗУ). В этом блоке происходит реализация алгоритма (3.5) и вычисление результата измерения, который в дальнейшем выводиться на отображающее устройство.


Не нашли материал для своей работы?
Поможем написать уникальную работу
Без плагиата!
Без нейросетей!