Измерение вязкости

  • Вид работы:
    Курсовая работа (т)
  • Предмет:
    Физика
  • Язык:
    Русский
    ,
    Формат файла:
    MS Word
    461,64 kb
  • Опубликовано:
    2010-12-13
Вы можете узнать стоимость помощи в написании студенческой работы.
Помощь в написании работы, которую точно примут!

Измерение вязкости

Федеральное агентство по образованию

Белгородский Государственный Технологический Университет

им. В.Г. Шухова

Кафедра технологии машиностроения





Методы и Средства Измерений Испытаний и Контроля

тема:

«ИЗМЕРЕНИЕ ВЯЗКОСТИ»

Выполнила:

Студентка группы СТМ-31

Проверил:

Санин С.Н.

Белгород – 2008

Содержание

1. Введение.

1.1 Метрология. Исторические аспекты метрологии.

1.2 Основные понятия и категории метрологии.

2. Измерения механических величин.

2.1 Линейные измерения.

3. Измерение вязкости.

3.1 Вискозиметры.

3.2 Реометры.

3.3 Шпиндели различной геометрии.

3.4 Контроль температуры.

3.5 Измерение вязкости образцов малого объема.

3.6 Измерение низкой вязкости.

3.7 Измерение вязкости при высокой температуре.

3.8 Определение скорости сдвига.

3.9 Измерение с высокой скоростью сдвига.

3.10 Определение напряжения сдвига.

3.11 Нетекучие материалы.

3.12 Специальные аксессуары.

3.13 Измерение вязкости в опасных условиях.

4. Таблицы конверсии различных величин измерения вязкости.

5. Заключение.

5.1 Условия измерения.

Список используемой литературы.

1. Введение

1.1 Метрология. Исторические аспекты метрологии

 

Наука начинается тогда, когда начинают измерять.

Д.И. Менделеев

 

Проблема обеспечения единства измерений имеет возраст, сопоставимый с возрастом человечества. Как только человек стал обменивать или продавать результаты своего труда, возник вопрос - как велик эквивалент этого труда и как велик продукт, представленный на обмен или продажу. Для характеристики этих величин использовались различные свойства продукта - размеры,- как линейные, так и объемные,- масса или вес, позднее цвет, вкус, состав и т. д. и т. п. Естественно, что в давние времена еще не существовало развитого математического аппарата, не было четко сформулированных физических законов, позволяющих охарактеризовать качество и стоимость товара. Тем не менее проблема справедливой сбалансированной торговли была актуальна всегда. От этого зависело благосостояние общества, от этого же возникали войны.

Первыми средствами обеспечения единства измерений были объекты, которые имеются в распоряжении человека всегда. Так появились первые меры длины, опирающиеся на размеры рук и ног человека. На Руси использовались локоть, пядь, сажень, косая сажень. На Западе - дюйм, фут, сохранившие свое название до сих пор. Поскольку размеры рук и ног у разных людей были разными, то должное единство измерений не всегда удавалось обеспечить. Следующим шагом были законодательные акты различных правителей, предписывающие, например, за единицу длины считать среднюю длину стопы нескольких людей. Иногда правители просто делали две зарубки на стене рыночной площади, предписывая всем торговцам делать копии таких «эталонных мер». В настоящее время такую меру можно видеть на Вандомской площади в Париже в том месте, где когда-то располагался главный рынок Европы.

По мере развития человечества и науки, особенно физики и математики, проблему обеспечения единства измерений стали решать более широко. Появились государственные службы и хранилища мер, с которыми торговцам в законодательном порядке предписывалось сравнивать свои меры. Для определения размеров единиц выбирались размеры объектов, не изменяющиеся со временем. Например, для определения размера единицы длины измерялся меридиан Земли, для определения единицы массы измерялась масса литра воды. Единицы времени с давних времен до настоящего момента связывают с вращением Земли вокруг Солнца и вокруг собственной оси.

Дальнейший прогресс в обеспечении единства измерений состоял уже в произвольном выборе единиц, не связанных с веществами или объектами. Это связано с тем фактом, что изготовить копию меры (передать размер единицы какой-либо величины) можно с гораздо более высокой точностью, чем повторно независимо воспроизвести эту меру. В самом деле, точность определения длины меридиана и деления его на 40 миллионов частей оказывается очень невысокой. Подробно к этому мы вернемся при определении основных понятий и категорий метрологии. Здесь в кратком историческом экскурсе интересно вспомнить, что программа измерения длины парижского меридиана оказалась более полезной в составлении подробных карт перед наполеоновскими войнами, чем в точном определении единицы длины.

Гигантский скачок в точности измерений механических величин был совершен при внедрении лазеров в измерительную технику. Образно говоря, точность средств измерения стала определяться параметрами отдельного атома. Если выбрать определенный тип атома, определенный изотоп элемента, поместить атомы в резонатор лазера и использовать все преимущества, присущие лазерному излучению, то реально достижимая погрешность воспроизведения единицы длины может сказываться в тринадцатом-четырнадцатом знаках.

История развития науки об обеспечении единства измерений может быть прослежена не только на совершенствовании точности и единообразия определения какой-то одной единицы. Важным моментом является количество единиц физических величин, их отнесение к основным или производным, а также исторический аспект образования дольных и кратных единиц.

По мере совершенствования физики и математики появилась проблема измерения нового класса физических величин. Так при развитии теории электричества встал вопрос - как быть с единицами электромагнитных величин? С одной стороны, новый класс явлений подсказывал необходимость введения новых единиц и величин. С другой - исходно была установлена связь между электромагнитными явлениями и эффектами механическими - законы Кулона и Био-Савара-Лапласа. Точки зрения наиболее авторитетных ученых по этому поводу также разделились. Некоторые считали, что «рассмотрение (электромагнитных явлений) будет более плодотворным, если ввести четвертую, не зависящую от механических единицу» (А. Зоммерфельд). Другие, напротив, считали различные проявления свойств материи единым целым и были противниками введения независимых электрических величин и единиц. В результате в практике появились системы единиц физических величин, имеющие различное число основных, т. е. произвольно выбранных, физических величин. Подробно на этом мы остановимся в разделе, посвященном единицам физических величин.

С исторической точки зрения интересно обратить внимание на сложившуюся практику образования дольних (более мелких) и кратных (более крупных) единиц физических величин. В настоящее время мы пользуемся в основном десятичной системой счета, и действующая международная система единиц физических величин предписывает образовывать дольные и кратные единицы, домножая размер основной единицы на множитель, кратный десяти. Тем не менее история знает использование самых разнообразных множителей кратности. Например, сажень как мера длины равнялась трем аршинам, 1 фут равнялся 12 дюймам, 1 аршин - 16 вершкам, 1 пуд - 40 фунтам, 1 золотник - 96 долям, 1 верста - 500 саженям и т.д.

Такая исторически сложившаяся практика образования дольных и кратных величин оказалась крайне неудобной. Поэтому при принятии международной системы единиц СИ на эту проблему обращалось особое внимание. По большому счету десятичная система оказалась неудобной только при исчислении времени, т. к. единицы одноименной величины разного размера оказались кратными 12 (соотношение года и месяца) и 365,25 (соотношение года и суток). Эта кратность обусловлена скоростью вращения Земли и фазами Луны и является наиболее естественной. Дальнейшая замена кратности в соотношении час-минута и минута-секунда с 60 на кратное 10 уже особого смысла не имела. Из других часто употребляемых физических величин и единиц отступления от десятичной системы сохранилось в градусной мере угла, когда окружность делится на 360 градусов, а градус на минуты и секунды.

Совершая исторический экскурс в метрологию, не следует забывать, что все сказанное в полной мере относится только к странам-участницам Метрической конвенции. Во многих странах до сих пор сохраняется своя особая, иногда экзотическая система физических величин и единиц. Среди этих стран, как это ни странно, находятся Соединенные Штаты Америки - современная супердержава. Внутри этой страны до сих пор в обиходе величины и единицы старой Англии. Даже температуру там принято измерять в градусах Фаренгейта.

В связи с вышеизложенным знакомство с системами единиц, отличными от системы СИ, знакомство с различными системами счета единиц при измерениях в настоящее время носят не только познавательный характер. При расширении международных контактов может оказаться так, что знание альтернативных систем величин и единиц сослужит пользователю добрую службу.

При изложении основополагающих моментов, относящихся к системе СИ и при рассмотрении отдельных видов измерений мы иногда будем возвращаться к историческим корням выбора тех или иных физических величин. Сейчас важно помнить, что рассматриваемая проблема оптимального выбора физических величин и единиц будет существовать всегда, так как научно-технический прогресс постоянно предоставляет новые возможности в практике измерений. Сегодня это лазеры и синхротронное излучение, и завтра, возможно, появятся новые горизонты, опирающиеся на «теплую сверхпроводимость» или какое-либо замечательное достижение человеческой мысли.

1.2Основные понятия и категории метрологии

Прежде чем рассматривать различные методы, обеспечивающие единство измерений, необходимо определить основные понятия и категории. Поэтому в метрологии очень важно правильно использовать термины, необходимо определить, что именно подразумевается под тем или иным названием.

Физическая величина. Под этим определением подразумевается свойство, общее в качественном отношении многим объектам, но в количественном отношении индивидуальное для каждого объекта. Или, следуя Леонарду Эйлеру, «величиной называется все, что способно увеличиваться или уменьшаться, или то, к чему можно нечто прибавить или отчего можно отнять».

Вообще понятие «величина» многовидовое, т. е. относящееся не только к физическим величинам, являющимся объектами измерения. К величинам можно отнести количество денег, идей и т. п., т. к. к этим категориям применимо определение величины. По этой причине в стандартах (ГОСТ-3951-47 и ГОСТ-16263-70) приводится только понятие «физической величины», т. е. величины, характеризующей свойства физических объектов. В измерительной технике прилагательное «физическая» обычно опускается.

Единица физической величины - физическая величина, которой по определению придано значение, равное единице. Ссылаясь еще раз на Леонарда Эйлера: «Невозможно определить или измерить одну величину иначе, как приняв в качестве известной другую величину этого же рода и указав соотношение, в котором она находится к ней». Другими словами, для того чтобы охарактеризовать какую-либо физическую величину, нужно произвольно выбрать в качестве единицы измерения какую-либо другую величину того же рода.

Мера - носитель размера единицы физической величины, т. е. средство измерения, предназначенное для воспроизведения физической величины данного размера. Типичными примерами мер являются гири, рулетки, линейки. В других видах измерений меры могут иметь вид призмы, вещества с известными свойствами и т. д. При рассмотрении отдельных видов измерения мы будем специально останавливаться на проблеме создания мер.

Измерение - познавательный процесс, заключающийся в сравнении данной величины с известной величиной, принятой за единицу. Измерения подразделяют на прямые, косвенные, совокупные и совместные.

Прямые измерения - процесс, при котором искомое значение величины находят непосредственно из опытных данных. Простейшие случаи прямых измерений - измерения длины линейкой, температуры - термометром, напряжения - вольтметром и т. п.

Косвенные измерения - вид измерения, результат которых определяют из прямых измерений, связанных с измеряемой величиной известной зависимостью. Например, площадь можно измерить как произведение результатов двух линейных измерений координат, объем - как результат трех линейных измерений. Так же сопротивление электрической цепи или мощность электрической цепи можно измерить по значениям разности потенциалов и силы тока.

Совокупные измерения - это измерения, в которых результат находят по данным повторных измерений одной или нескольких одноименных величин при различных сочетаниях мер или этих величин. Например, совокупными являются измерения, при которых массу отдельных гирь набора находят по известной массе одной из них и по результатам прямых сравнений масс различных сочетаний гирь.

Совместными измерениями называют производимые прямые или косвенные измерения двух или нескольких неодноименных величин. Целью таких измерений является установление функциональной зависимости между величинами. Например, совместными будут измерения температуры, давления и объема, занимаемого газом, измерения длины тела в зависимости от температуры и т. д.

Средство измерения - техническое средство, используемое при измерениях и имеющие нормированные метрологические характеристики. В число средств измерений входят меры, измерительные приборы, измерительные установки, измерительные системы и преобразователи, стандартные образцы состава и свойств различных веществ и материалов. По временным характеристикам измерения подразделяются на:

- статические, при которых измеряемая величина остается неизменной во времени;

- динамические, в процессе которых измеряемая величина изменяется. По способу выражения результатов измерения подразделяются на:

o абсолютные, которые основаны на прямых или косвенных измерениях нескольких величин и на использовании констант и в результате которых получается абсолютное значение величины в соответствующих единицах;

o относительные измерения, которые не позволяют непосредственно выразить результат в узаконенных единицах, но позволяют найти отношение результата измерения к какой-либо одноименной величине с неизвестным в ряде случаев значением. Например, это может быть относительная влажность, относительное давление, удлинение и т. д.

Основными характеристиками измерений являются: принцип измерения, метод измерения, погрешность, точность, достоверность и правильность измерений.

Принцип измерений - физическое явление или их совокупность, положенные в основу измерений. Например, масса может быть измерена опираясь на гравитацию, а может быть измерена на основе инерционных свойств. Температура может быть измерена по тепловому излучению тела или по ее воздействию на объем какой-либо жидкости в термометре и т. д.

Метод измерений - совокупность принципов и средств измерений. В у помянутом выше примере с измерением температуры измерения по тепловому излучению относят к неконтактному методу термометрии, измерения термометром есть контактный метод термометрии.

Погрешность измерений - разность между полученным при измерении значением величины и ее истинным значением. Погрешность измерений связана с несовершенством методов и средств измерений, с недостаточным опытом наблюдателя, с посторонними влияниями на результат измерения. Подробно причины погрешностей и способы их устранения или минимизации рассмотрены в специальной главе, поскольку оценка и учет погрешностей измерений являются одним из самых важных разделов метрологии.

Точность измерений - характеристика измерения, отражающая близость их результатов к истинному значению измеряемой величины. Количественно точность выражается величиной, обратной модулю относительной погрешности, т. е.

<?xml version="1.0" encoding="UTF-16"?>(1.1)

где Q - истинное значение измеряемой величины, Д - погрешность измерения, равная

<?xml version="1.0" encoding="UTF-16"?>(1.2)

где Х - результат измерения. Если, например, относительная погрешность измерения равна 10-2%, то точность будет равна 104.

Правильность измерений - качество измерений, отражающее близость к нулю систематических погрешностей, т. е. погрешностей, которые остаются постоянными или закономерно изменяются в процессе измерения. Правильность измерений зависит от того, насколько верно (правильно) были выбраны методы и средства измерений.

Достоверность измерений - характеристика качества измерений, разделяющая все результаты на достоверные и недостоверные в зависимости оттого, известны или неизвестны вероятностные характеристики их отклонений от истинных значений соответствующих величин. Результаты измерений, достоверность которых неизвестна, могут служить источником дезинформации.

При выполнении различных работ по метрологическому обеспечению измерений используются специфические категории, которые тоже нуждаются в определении. Эти категории следующие:

Аттестация - проверка метрологических характеристик (погрешности измерений, точности, достоверности, правильности) реального средства измерения.

Сертификация - проверка соответствия средства измерения стандартам данной страны, данной отрасли с выдачей документа-сертификата соответствия. При сертификации кроме метрологических характеристик проверке подлежат все пункты, содержащиеся в научно-технической документации на данное средство измерения. Это могут быть требования по электробезопасности, по экологической безопасности, по влиянию изменений климатических параметров. Обязательным является наличие методов и средств поверки данного средства измерения.

Поверка - периодический контроль погрешностей показаний средств измерения по средствам измерения более высокого класса точности (образцовым приборам или образцовой мере). Как правило, поверка заканчивается выдачей свидетельства о поверке или клеймлением измерительного прибора или поверяемой меры.

Градуировка - нанесение отметок на шкалу прибора или получение зависимости показаний цифрового индикатора от значения измеряемой физической величины. Часто в технических измерениях под градуировкой понимают периодический контроль работоспособности прибора по мерам, не имеющим метрологического статуса или по встроенным в прибор специальным устройствам. Иногда такую процедуру называют калибровкой и это слово пишется на рабочей панели прибора.

Этот термин на самом деле в метрологии занят, и калибровкой согласно стандартам называют несколько иную процедуру.

Калибровка меры или набора мер - поверка совокупности однозначных мер или многозначной меры на различных отметках шкалы. Другими словами, калибровка - это поверка меры посредством совокупных измерений. Иногда термин «калибровка» употребляют как синоним поверки, однако калибровкой можно называть только такую поверку, при которой сравниваются несколько мер или деления шкалы между собой в различных сочетаниях.

2. Измерения механических величин

2.1 Линейные измерения

В технологических линейных измерениях наиболее часто востребованными являются следующие:

а) Толщины листовых материалов;

б) Толщины пленок (краска, влага, металл);

в) Глубина травления и гравирования;

г) Шероховатости поверхности;

д) Давления;

е) Вязкости ;

ж) Твердости;

з) Уровня жидкостей.

Традиционные измерения перемещений представляют собой хорошо известные линейки, нониусы и микрометрические винты. Линейки изготавливаются либо в виде жесткой конструкции, либо в виде гибкой ленты (рулетки). Измерения проводятся непосредственным сравнением размера предмета с делениями шкалы линейки. Нониус представляет собой дополнительную шкалу, нанесенную на подвижную каретку, перемещающуюся свободно вдоль линейки. Шкалы нониуса нанесены таким образом, что девять делений линейки разделены на десять равных частей.

Если проводить измерения, то имеется возможность определить размеры с точностью до 1/10 доли деления основной линейки. Для этого достаточно определить, какое деление нониуса совпадаете целым делением основной шкалы. Если, например, с делением основной шкалы совпадает первое деление нониуса, то это означает, что измеряемая длина на 1/10 часть деления основной шкалы больше того значения, у которого располагается нулевое деление нониуса. Если совпадает второе деление, то размер на 2/10 больше, и т. д.

Чаще всего используется так называемый прямой нониус, у которого цены деления на 1/10 часть меньше цены деления основной шкалы. Иногда применяют обратный нониус, у которого цена деления на 1/10 больше цены деления основной шкалы, т. е. 11 делений делятся на 10 частей. Пользоваться им следует также, как и прямым нониусом, т. е. целую часть измеряемой величины считывать с меньшего значения основной шкалы, между которыми остановился нуль нониуса, а десятые доли определять по совпадению деления шкалы нониуса с делением основной шкалы.

В некоторых измерительных инструментах, чаще всего в угломерных, применяется круговой нониус. Принципиально он ничем не отличается от линейного нониуса, только деления на нем нанесены на небольшую дуговую линейку (алиаду), свободно перемещающуюся вдоль основной шкалы (лимба).

Микрометрический винт дает возможность отсчитывать более мелкие доли деления основной шкалы, чем нониус. Микрометрический винт представляет собой тщательно изготовленный винт с шагом в 0,5 или в 1,0 мм. Головка винта представляет собой лимб, или барабан с делениями, позволяющий производить отчеты либо 1/50, либо 1/100 оборота. Таким образом, зажимая объект измерений между упорами микрометрического винта, можно измерить размеры объекта с точностью до 1/100 мм и выше, если принять во внимание возможность оценки доли деления.

Нониусом оснащены широко применяемые в измерительной практике инструменты, называемые штангенциркулями.

Микрометры изготавливают в виде скобы с цифрами, один из которых перемещается микрометрическим винтом.

Измерительные устройства для линейных измерений на какой-либо поверхности делают в виде индикаторных устройств, т. е. подвижных штоков с зубчатым колесом. Так сделаны глубиномеры, толщиномеры, ростомеры. Шток как бы «ощупывает» поверхность и, передавая перемещение зубчатому колесу, регистрирует профиль поверхности.

Толщину листовых материалов измеряют также по поглощению светового или (β-γ активного излучения. Иногда для измерения толщин используют емкостные или индуктивные датчики.

Толщины пленок измеряют оптическими методами по отражению или поглощению света.

Большое число измерений ведется лупами или измерительными микроскопами. Принцип измерения состоит в измерении координаты какой-либо точки, путем визирования ее в микроскоп. Длину объекта находят по разности отсчета крайних точек объекта. Небольшие перемещения можно измерить окуляр-микрометром - окуляром, снабженным визирной сеткой, расположенной в фокусе окуляра. Визирная сетка может перемещаться в поле зрения окуляра микрометрическим винтом.

Перемещая сетку винтом, наводят риски на крайние точки объекта, и размеры определяют как разность отсчетов.

Повысить точность измерения длин можно путем компарирования (сравнения) длин объекта и стандартной шкалы. Если эта шкала выполнена в виде линейки, то компарируются отсчеты по этой линейке. Для повышения точности в длинномерах - компараторах (например в приборе ИЗА-2) отсчет производится с использованием линейки, нониуса и микрометрического винта. Производится это следующим образом: в один из микроскопов визируется точка объекта, координаты которой нужно определить. В другой микроскоп - измерительный - визируются деления шкалы, нанесенной на стекло. Измерительный микроскоп позволяет визировать по крайней мере два деления на стеклянной шкале. Отсчет снимается с линейки, нониуса и микрометрического винта.

В современных компараторах длин измерения проводятся сравнением размеров объекта с размером измерительной дифракционной решетки. Принцип работы такого отсчетного устройства иллюстрируется.

Измерительная решетка представляет собой пару решеток, одна из которых может быть отражательной. За прозрачной решеткой располагается источник света и фоторегистрирующее устройство, например фотодиод. Перемещая одну из решеток, нужно регистрировать число проходящих в фокусе объектива максимумов или минимумов. Сравнивая это число для крайних точек объекта, легко найти его размеры, если известен шаг решетки.

Измерительные решетки в настоящее время вытесняют визуальные компараторы. Причин этому можно назвать несколько. Самая главная - процесс измерения легко автоматизировать, т. е. нет нужды пользоваться зрительной трубой, что для массовых измерений утомительно. Вторая причина - высокая точность измерения, определяемая только периодом решетки. При этом высокая точность получается как для малых перемещений, так и для больших (порядка 1 м и более). Еще одна привлекательная черта измерительных решеток - возможность создания реверсивных механизмов и подключения компьютеров.

Измерительные решетки в линейных измерениях используются как универсальные меры, т. е. носители размера физической величины. Большинство мер в линейных измерениях подразделяются на штриховые и концевые меры. Штриховые меры - это отрезки длины между какими-либо штрихами на линейках, нониусах и микрометрических винтах. В отличие от них концевые меры - это стержни, плитки, щупы, скобы точно известного размера. Существуют также концевые меры различных классов точности - от плиток Иогансона, служащих для поверки микрометров, до грубых щупов, широко используемых в машиностроении и в общей технике.

3. Измерения вязкости

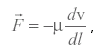
Вязкость - характеристика сил внутреннего трения. Сила трения в зависимости от вязкости, жидкости или газа выражается формулой:

<?xml version="1.0" encoding="UTF-16"?>(1)

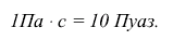
где F - сила сопротивления перемещению слоев среды, которая направлена в сторону убывания скорости (знак минус в формуле); S - площадь действия силы и <?xml version="1.0" encoding="UTF-16"?>градиент скорости. Единица вязкости в системе СИ - Паскаль • секунда. В системе CGS единица вязкости - Пуаз:

<?xml version="1.0" encoding="UTF-16"?>(2)

 

3.1 Вискозиметры

Приборы для измерения вязкости называются вискозиметрами. В вискозиметрах используются два разных принципа:

· по скорости вытекания жидкости из малого отверстия или из капилляра;

· по скорости падения шарика в вязкой жидкости.

Первый принцип основан на формуле Пуазейля, дающей зависимость между объемом жидкости, вытекающей из трубки радиусом R и длиной I:

<?xml version="1.0" encoding="UTF-16"?>(1)

где P1 и P2 - давление на торцах трубки; R - радиус трубки; I - длина; t - время вытекания.

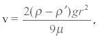
Второй принцип измерения вязкости основан на измерении скорости падения шара в вязкой среде (формула Стокса):

<?xml version="1.0" encoding="UTF-16"?>(2)

где v -скорость падения шара в жидкости; ρ - плотность материала шара; ρ' - плотность жидкости; r - радиус шара.

Одним из широко используемых приборов для измерения вязкости является вискозиметр Энглера, в котором измеряется время вытекания 200 г. жидкости по сравнению со временем вытекания 200 г воды через то же отверстие. Вязкость измеряют в градусах Энглера, что соответствует отношению времени вытекания жидкости ко времени вытекания воды при тех же условиях. Соотношение между Пуазами и градусами Энглера дается формулой:

<?xml version="1.0" encoding="UTF-16"?>(3)

где р - плотность жидкости в г/см3.

Вязкость, обозначенная в формуле (3) и определенная через силу сопротивления движению называется еще динамической вязкостью. Существует понятие кинематической вязкости - это вязкость, отнесенная к единичной плотности, т. е.:

<?xml version="1.0" encoding="UTF-16"?>(4)

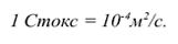
Измеряется кинематическая вязкость в единицах L2T-1 , т. е. M2 /сек в системе СИ. Та же единица в СГС-системе называется стоксом, т. е.

<?xml version="1.0" encoding="UTF-16"?>(5)

Существует еще понятие ударной вязкости, определяемой, как работа для излома твердого тела, отнесенная к единице поперечного сечения излома.

<?xml version="1.0" encoding="UTF-16"?>(6)

Обратная вязкости величина называется текучестью:

<?xml version="1.0" encoding="UTF-16"?>(7)

Иногда в технике пользуются понятием удельной вязкости, т. е. отношением вязкости жидкости к вязкости воды:

<?xml version="1.0" encoding="UTF-16"?>(8)

 

Вискозиметры Брукфильда подразделяются на три основных типа: аналоговые (с круговой шкалой), цифровые и программируемые. Основное различие между ними заключается в способе отображения результатов. У аналоговых вискозиметров результат считывается по указателю на круговой шкале, а у цифровых выводится на двухстрочный жидкокристаллический дисплей. Кроме того, цифровые вискозиметры оборудованы аналоговым выходом 0-10 мВ, к которому можно подключить различные внешние устройства, такие как дисплей, контроллер или самописец.

Внутреннее устройство аналоговых и цифровых вискозиметров практически одинаково и также одинакова методика использования. Оба типа представлены одинаковым рядом моделей, могут работать с одинаковыми аксессуарами и в целом взаимозаменяемы (одинаковые модели).

Аналоговые вискозиметры самые дешевые. Они идеально подходят для применений, где надо быстро измерить вязкость, но нет необходимости в постоянной записи или в измерении реологических характеристик. Хотя вискозиметр может работать непрерывно, снимать показания можно только дискретно, когда указатель проходит под смотровым стеклом или когда указатель зафиксирован и вискозиметр остановлен.

Длительные измерения требуют постоянного внимания оператора, кроме того, быстро протекающие процессы легче зафиксировать при постоянном мониторинге. В таких ситуациях лучше использовать цифровые вискозиметры, которые непрерывно измеряют и показывают вязкость. Такие приборы можно оставить без наблюдения, а возможность настроить частоту записи показаний (модель DV-II+) позволяет зарегистрировать самые быстрые реологические процессы. Некоторые пользователи предпочитаю цифровые вискозиметры, поскольку с ними отпадает необходимость интерполяции данных, чего иногда невозможно избежать при работе с аналоговым оборудованием. Точность измерения для обоих типов одинакова.

Цифровые вискозиметры (за исключением модели DV-E) можно также использовать с геометрией конус/плита.

Стандартные модели вискозиметров имеют множество модификаций, например модели с промежуточным крутящим моментом пружины. Чтобы подобрать модель, оптимальную для Ваших задач, лучше всего получить консультацию у местного представителя Брукфильда.

Некоторые модели разработаны специально для специфических применений и не совместимы с традиционными вискозиметрами. Так модель KU-1 позволяет измерять вязкость в единицах Кребса и предназначена для лакокрасочной индустрии. Модель САР-1000 позволяет работать с очень высокими скоростями сдвига (10000, 12000 с-1) при исследовании смол, полимеров и красок.

Весьма существенным преимуществом реометра DV-III+ является возможность двусторонней связи с персональным компьютером. Это позволяет легко программировать и управлять сложными процедурами измерения. Также можно сохранять все результаты и, при необходимости, преобразовывать их в формат Excel или другого табличного процессора. Можно получить результаты в виде графиков, что особенно полезно при интерпретации кривой течения. Графики испытания разных образцов можно сравнивать, накладывая друг на друга.

Реометр R/S отличается от других моделей тем, что контролируемым параметром является не скорость вращения шпинделя, а напряжение сдвига. Среди других преимуществ этого подхода можно выделить широкий диапазон измеряемой вязкости, возможность измерения предела текучести и возможность работы с высоковязкими гелями. Как DV-III+, так и R/S позволяют получить детальную информацию о поведении материалов и могут работать независимо или под управлением персонального компьютера.

Реометр САР-2000 с системой конус/плита обеспечивает широкий диапазон скоростей сдвига. Он специально сконструирован для использования в тяжелых заводских условиях и может работать независимо или под управлением персонального компьютера.

Реометр PVS обеспечивает измерение под давлением и обычно используется для исследования буровых растворов и флюидов для разрыва пласта в нефтегазовой индустрии.

Относительно новый реометр YR-1 является недорогим решением для измерения предела текучести в целях контроля качества.

Один из самых простых и недорогих автоматических вискозиметров - color control super digital производства flexologic

Ротационный вискозиметр полного погружения, производимый немецкой компанией opti-color

Принципиальная схема электромагнитных вискози - метров компании cambridge applied systems

3.3 Геометрия шпинделей

Все вискозиметры и реометры Брукфильда поставляются с набором шпинделей, пригодным для большинства стандартных применений. Однако нередки ситуации, когда необходимо использовать специализированные шпиндели. Брукфильд предоставляет широкий выбор шпинделей и аксессуаров для различных целей, большинство из них описано в данном разделе. Все шпиндели выполнены из нержавеющей стали марки 300 и не нуждаются в обслуживании. По заказу поставляются шпиндели для специальных применений, например для особо агрессивных сред.

1. Дисковые шпиндели.

Дисковые шпиндели входят в стандартный комплект поставки вискозиметров LV (шпиндели №2 и №3) и RV/HA/HB (шпиндели с №2 по №6) и предназначены для обычных измерений вязкости в сосудах емкостью от 600 мл и выше. Она обеспечивают точное и воспроизводимое измерение кажущейся вязкости большинства флюидов. 2. Цилиндрические шпиндели. Цилиндрические шпиндели (№1 и №4 для серии LV, №7 для серий RV/HA/HB) имеют определенную геометрию, позволяющую кроме вязкости рассчитать также скорость сдвига и напряжение сдвига. Во всех остальных аспектах они идентичны дисковым шпинделям. Благодаря определенной геометрии цилиндрические шпиндели частично пригодны для измерения не-Ньютоновских жидкостей. Доступны также цилиндрические эквиваленты дисковых шпинделей №12 и №3 серии LV. 3. Коаксиальные цилиндры.

Геометрия коаксиальных цилиндров обеспечивает их применение для тех задач, где обязательно нужно знать скорость сдвига и напряжение сдвига. Различные аксессуары Брукфильда имеют коаксиальную геометрию, кроме того каждый из них обеспечивает уникальные возможности для конкретных применений. Это следующие аксессуары:

адаптер для малых образцов SS;

адаптер для низкой вязкости UL;

адаптер для контроля температуры Thermosel;

адаптер DIN;

спиральный адаптер.

4. Конус/плита.

Геометрия конус/плита позволяет измерять абсолютную вязкость при определенных с высокой точностью скорости сдвига и напряжении сдвига. Требуемый объем образца очень мал и контроль температуры осуществляется очень просто. Данная геометрия идеально пригодна для изучения реологических характеристик не-Ньютоновских жидкостей и может быть использована совместно с вискозиметром Cone/Plate, реометром САР 2000 и реометром R/S (см. разд. 3.9). 5. Т-образные шпиндели.

Как правило эти шпиндели используются совместно со стойкой спирального движения (они входят в комплект поставки данного адаптера) и позволяют работать с нетекучими или слабо текущими материалами, такими как пасты, кремы и гели. Результаты измерения являются "кажущимися", поскольку особая геометрия шпинделей не позволяет определить скорость сдвига или напряжение сдвига.

6. Лопастные шпиндели.

Лопастной шпинель, погруженный в исследуемый материал, захватывает при вращении часть пробы и создает "цилиндр", позволяя рассчитать скорость сдвига и напряжение сдвига. Данный шпиндель позволяет производить исследования нетекучих и слабо текучих материалов и рассчитывать для них предел текучести. Лопастные шпиндели можно использовать совместно с большинством моделей вискозиметров Брукфильда.

 

3.4 Контроль температуры

Для получения точных и воспроизводимых результатов настоятельно рекомендуется контролировать температуру в процессе измерения. 1. Жидкостные термостаты.

Термостаты можно использовать для контроля температуры при проведении типичных реологических измерений. Предлагается два основных типа термостатов: только с прокачкой и с резервуаром и прокачкой.

Первый тип можно использовать только совместно с устройствами, имеющими двойной кожух, например с адаптером конус/плита или адаптером SS. Второй тип пригоден для всех устройств, так как кроме прокачки через кожух в резервуар термостата можно устанавливать сосуды с исследуемым материалом.

Большинство термостатов имеют верхний предел температуры 120оС (в зависимости от используемого теплоносителя). Для работы при температуре около комнатной или ниже необходимо подключение охлаждающего устройства, хотя предлагаются также и криостаты. Для правильного выбора жидкостного термостата обратитесь к локальному представительству Брукфильда. 2. Система Thermosel.

Данная система предназначена для измерения вязкости малого количества материала при повышенной температуре, от +40 до +300оС. В отличие от термостатов, система не использует жидкий теплоноситель. Более подробная информация приведена в раз. 7. 3. Система на базе элементов Пельтье.

Вискозиметр САР 1000, реометр САР 2000 и реометр R/S CPS-P1 имеют встроенные элементы Пельтье и позволяют быстро устанавливать и поддерживать нужную температуру.

3.5 Малый объем резца

В качестве сосуда для образца как правило используется химический стакан Гриффина емкостью 600 мл. Во многих случаях невозможно обеспечить такое количество пробы, тогда следует применять какой-либо из описанных адаптеров. 1. Адаптер SS.

Данный адаптер специально сконструирован для работы с малым объемом, имеет двойной кожух, коаксиальную геометрию и может использоваться совместно со всеми вискозиметрами Брукфильда (за исключением моделей с геометрией конус/плита). Требуемый объем обраца составляет 2.0 - 16.0мл (в зависимости от модели адаптера). Также от модели зависит диапазон измерения, в целом от 5.0 до 10000000 сАз при скоростях сдвига от 0.066 до 93 с-1. Двойной кожух позволяет подключить циркулятор для контроля температуры. 2. Адаптер UL.

Основное назначение данного адаптера - измерение низкой вязкости. Требуемый объем образца - 16 мл. Более подробная информация приведена в раз. 6.1. 3. Адаптер DIN.

Данный адаптер (как и UL) предназначен для измерения низкой вязкости в соответствии со стандартом DIN 53019 в диапазоне от 1до 50000 сПз. 4. Система Thermosel.

Данная система позволяет измерять вязкость при температуре до 300 оС. Коаксиальная геометрии требует от 8.0 до 13.0 мл пробы (в зависимости от модели шпинделя). 5. Системы конус/плита.

При очень низких объемах пробы рекомендуется использовать систему конус/плита, в этом случае требуется от 0.5 до 2.0 мл пробы (в зависимости от шпинделя). Для геометрии САР и R/S требуется менее 1 мл пробы.

3.6 Низкая вязкость

Вискозиметры и реометры Брукфильда имеют очень высокий диапазон измерения вязкости, однако в некоторых случаях нужно выполнить измерение очень низкой вязкости, за пределами стандартного диапазона. Описанные ниже адаптеры позволяют решить эту проблему. 1. Адаптер UL.

Данный адаптер специально сконструирован для измерения низкой вязкости на вискозиметрах LV, хотя может использоваться и с другими моделями. При работе с вискозиметрами LVF или LVT диапазон измерения составляет 1.0 - 10.0 сПз, скорость сдвига 73.4 с-1 при скорости вращения 60 об/сек. Для других моделей вискозиметров нижний предел измерения составляет: RVT - 6.4 сП, НАТ - 12.8 сПз, НВТ - 51.2 сПз.

UL адаптер использует коаксиальную геометрию со снимаемой крышкой на внешнем цилиндре. С установленной крышкой нужно 16 мл пробы и адаптер можно погрузить в жидкостной термостат. Со снятой крышкой можно использовать сосуд практически любого размера. 2. Адаптер SS.

При некоторых комбинациях шпиндель/камера данный адаптер позволяет измерять вязкость ниже стандартного диапазона. 3. Система Thermosel.

При некоторых шпинделях данная система позволяет измерять вязкость ниже стандартного диапазона. 4. Система конус/плита.

Система конус/плита позволяет измерять очень низкую вязкость, вплоть до 0.1 сПз.

3.7 Высокая температура

Измерение вязкости при высокой температуре может быть простой задачей или очень сложной, в зависимости от материала или величины температуры. Иногда достаточно увеличить расстояние между вискозиметром и разогретым материалом с помощью специальных удлинителей. Для очень сложных применений (например, расплавленное стекло) нужно использовать специальные печи и муфели и специально разработанные шпиндели из тугоплавких материалов. Это крайние случаи, между ними лежит большинство реальных применений. 1. Система Thermosel.

Данная система предназначена для измерения вязкости малого количества материала при повышенной температуре, от +40 до +300оС. Обычно она продается в комплекте с вискозиметром, хотя можно заказать ее отдельно как аксессуар к любой модели вискозиметра (за исключением геометрии конус/плита).

Система включает в себя камеру и шпиндель с коаксиальной геометрией, электрическую аппаратуру нагрева (термоконтейнер) и цифровой пропорциональный контроллер температуры с датчиком RTD. Предлагаются три модификации системы Thermosel:

ручная система в комплекте с аналоговым вискозиметром;

система с аналоговым выходом для регистрации температуры и вязкости в комплекте с цифровым вискозиметром;

система с программируемым контроллером температуры и с возможностью подключения к персональному компьютеру.

Для системы Thermosel требуется небольшое количество образца, от 8.0 до 13.0 мл в зависимости от шпинделя. Коаксиальная геометрии позволяет измерять скорость сдвига в диапазоне от 0.08 до 93.0 сек-1 (в зависимости от шпинделя и модели вискозиметра). 2. Жидкостные термостаты.

Жидкостные термостаты Брукфильда также можно использовать для измерения вязкости при повышенных температурах. Некоторые модели имеют рабочий максимум 200оС. Более подробная информация приведена в разд. 3. 3. Система конус/плита со встроенным нагревателем.

Вискозиметры и реометры серии САР имеют высокотемпературную плиту, нагреваемую до 325оС, что позволяет работать со смолами и полимерами. Специальная модификация реометра R/S (R/S CPE-E) позволяет разогревать плиту до 250оС. Малый размер образца обеспечивает быстрое достижение рабочей температуры.

3.8 Скорость сдвига

Во многих случаях требуется измерить абсолютную вязкость продукта, для чего нужно определить скорость сдвига. Ниже перечислены модели приборов и адаптеров, позволяющих определить скорость сдвига, и номера разделов содержащих более подробную информацию.

Цилиндрические шпиндели Адаптер UL Адаптер DIN Адаптер SS Система Thermosel Вискозиметры с геометрией конус/плита Вискозиметр САР Реометр R/S

3.9 Высокая скорость сдвига

Большинство моделей вискозиметров Брукфильда ориентировано на относительно невысокие скорости сдвига, обычно не выше 100 с-1.Некоторые модели вискозиметров в комплекте с адаптерами UL , SS и системой Thermosel развивают скорость сдвига до 300 с-1. Для достижения более высоких скоростей сдвига следует использовать геометрию конус/плита или реометры PVS и R/S. 1. Вискозиметры и реометры с геометрией конус/плита.

Вискозиметры с геометрией конус/плита позволяют определить абсолютную вязкость малой пробы продукта при определенной скорости сдвига и напряжении сдвига. Объем пробы составляет всего 0.5-2.0 мл, а скорость сдвига имеет диапазон 0.6-1875 сек-1 (в зависимости от модели вискозиметра и используемого конуса). Измерительная часть заключена в двойной кожух для контроля температуры.

Полный диапазон измерения вязкости составляет от 0.1 сПз до 2.6 миллионов сПз. Хотя отдельный прибор не покрывает весь диапазон, использование сменных шпинделей обеспечивает каждому вискозиметру очень широкий диапазон измерения.

Геометрию конус/плита можно использовать с различными моделями цифровых вискозиметров. Настоятельно рекомендуется также приобрести жидкостной термостат для точного контроля температуры.

Геометрия конус/плита всегда поставляется вместе с вискозиметром. ЕЕ нельзя приобрести отдельно в качестве аксессуара или для модификации имеющегося вискозиметра. Вискозиметр можно также использовать и с обычными дисковыми и цилиндрическими шпинделями, однако потребуется удлиненный штатив. 2. Вискозиметры и реометры САР.

Приборы серии САР имеют геометрию конус/плита и обеспечивают высокую скорость сдвига. Они разработаны для исследований и контроля качества таких материалов, как краски, покрытия, смолы, чернила, косметика, фармацевтические изделия и продукты. Все приборы серии САР имеют встроенный контроль температуры, объем пробы не превышает 1 мл.

САР 1000 представляет собой односкоростной вискозиметр, 750 об/мин при 50 Гц и 900 об/мин при 60 Гц. Скорость сдвига составляет 12000 сек-1 и 3000 сек-1 при 60 Гц и 10000 сек-1 и 2500 сек-1 при 50 Гц (в зависимости от шпинделя).

САР 2000 позволяет менять скорость вращении от 50 до 1000 об/мин. Диапазон измерения вязкости составляет 0.1 - 1500 Пз (0.1 - 1500 Па*с) при скоростях вращения от 166 до 13300 сек-1. САР 1000 соответствует требованиям стандартов BS 3900, ISO 2884 и ASTM D 4287. 3. Реометр R/S.

Данный реометр обеспечивает скорость вращения 4100 сек-1 при коаксиальной геометрии и 4800 сек-1 при геометрии конус/плита. Максимальная скорость вращения составляет 800 об/мин. 4. Реометр PVS.

Данный реометр предназначен для измерения вязкости при высоком давлении и температуре. Диапазон давления от атмосферного до 1000 psi и диапазон температур от -40 до +200оС позволяют широко использовать реометр для исследования буровых растворов, пульпы и бумаги, пластиков, нефтехимических продуктов и аэрозолей. Реометр имеет скорости вращения от 0.05 до 1000 об/мин и соответствующие скорости сдвига от 0.01 до 1700 сек-1 . Датчик крутящего момента расположен в подшипнике и не подвержен воздействию высокого давления и температуры.

3.10 Определение сдвига напряжения

Реометр R/S.

Данный реометр отличается от всех остальных приборов Брукфильда тем, что задается не скорость вращения шпинделя, а напряжение сдвига. Такой подход имеет несколько преимуществ: очень широкий диапазон измерения вязкости, возможность измерять предел текучести и возможность изучать высоковязкие гели.

Предлагается несколько моделей реометра R/S. Модель с коаксиальной геометрией комплектуется шпинделями DIN диаметром 8, 14, 25, 45 и 48 мм. Модель с геометрией конус/плита комплектуется конусами с углом 1 и 2 градуса диаметром 2.5, 5.0 и 7.5 см. Также доступна геометрии плита/плита с плоскими плитами диаметром 2.5, 5.0 и 7.5 см. Данная геометрия оптимальна для экстремально вязких веществ или веществ, содержащих твердые частицы.

Прибор для испытаний мягких материалов R/S SST.

Данная версия реометра предназначена для проведения специальных исследований, например изучения текучести материалов. Это отличный способ изучения продуктов, которые нельзя подвергать сдвигу перед измерением.

В реометре используются шпиндели с лопастной геометрией и очень низкими скоростями сдвига и напряжениями сдвига, что позволяет изучать вязкоэластичные характеристики таких материалов, как пасты, гели, парафины и глинистые растворы.

3.11 Нетекучие материалы

Изучение нетекучих и слаботекучих материалов представляет собой серьезную проблему. При вращении шпинделя в продукте прорезаются своего рода каналы, в результате чего прибор показывает очень низкую вязкость, не соответствующую действительности. Брукфильд предлагает несколько решений данной проблемы. 1. Стойка спирального движения.

К этой моторизированной стойке можно подсоединить любой вискозиметр Брукфильда. Стойка медленно движется вверх и вниз (со скоростью 7/8 дюйма в минуту), в то время как Т-образный шпиндель вращается в исследуемом материале. Перекладина шпинделя, двигаясь по спирали, постоянно попадает в "свежий" материал. Тем самым исчезает туннельный эффект, присущий обычным шпинделям.

В комплект поставки входят 6 Т-образных шпинделей и специальной соединение для подключения шпинделя к вискозиметру.

2. Спиральный адаптер.

Данный адаптер позволяет изучать пастообразные материалы, такие как паяльные пасты, продукты, косметику и лекарства. Адаптер имеет внутренний резьбовой шпиндель, вращающийся внутри коаксиального цилиндра. При вращении шпинделя проба постоянно прокачивается через адаптер. Измерение производится после того, как установилось постоянное течение. Измерение в условиях постоянного течения (по сравнению с другими методами) менее чувствительно к неоднородности пробы. 3. Лопастные шпиндели.

Лопастные шпиндели при погружении в пробу не нарушают структуру образца. При вращении шпинделя материал захватывается лопастями и образует виртуальный цилиндр. Дисковые шпиндели позволяют получить полные реологические данные, их можно использовать с любым вискозиметром Брукфильда и с реометром R/S-SST.

3.12 Специальные аксессуары

Следующие аксессуары можно заказать для использования совместно с вискозиметрами и реометрами Брукфильда. 1. Быстрое соединение. Данное устройство позволяет быстро подсоединить/отсоединить шпиндель. Это экономит время и позволяет избежать опасности испортить резьбу. Быстрое соединение выполнено из нержавеющей стали и может быть использовано с дисковыми шпинделями LV, RV, HA, HB и с Т-образными шпинделями. 2. Удлинитель шпинделя. Удлинитель шпинделя может понадобиться в ситуациях, когда нужно увеличить дистанцию между вискозиметром и пробой (максимум 6 футов). Удлинитель типа D устанавливается между вискозиметром и шпинделем и используется в ситуациях, когда можно наблюдать глубину погружения шпинделя. Тип S включает в себя погружаемую часть шпинделя и используется в ситуациях, когда нельзя наблюдать глубину погружения шпинделя.

3.13 Дымы и опасные условия

Если исследуемый материал образует дым или пар они могут попасть в прибор, этой ситуации следует избегать. Если же пары горючие или взрывчатые, это представляет опасность не только для прибора, но и для персонала. 1. Штуцер продувки.

Данный аксессуар устанавливается на корпус вискозиметра и может использоваться с любой моделью. Инертный газ (например, азот) под небольшим давлением прокачивается через корпус вискозиметра, создавая внутри избыточное давление. Тем самым предотвращается попадание дыма и пара внутрь вискозиметра.

Штуцер продувки также можно установить на корпус системы конус/плита и системы Thermosel, обеспечивая контролируемую атмосферу над пробой. 2. Взрывозащищенная конструкция(только аналоговая модель).

В условиях опасности взрыва следует использовать взрывозащищенное оборудование. Брукфильд предлагает взрывозащищенное исполнение для аналогового вискозиметра. Данный прибор проверен в лаборатории Underwriter и соответствует классу 1 группы D. Для цифровых вискозиметров и реометров взрывозащищенное исполнение недоступно.

Также недоступно взрывозащищенное исполнение для аксессуаров, имеющих электрическое питание, например для стойки спирального движения или для системы Thermosel. Эти аксессуары можно использовать только в безопасных условиях.

4. Таблица конверсии различных величин измерения вязкости


При использовании различных типов вискозиметров для измерения вязкости иногда возникает необходимость перевода одних единиц измерения в другие или в единицы измерения Метрической Системы. Предлагаем Вам воспользоваться данной таблицей:

Универсальные секунды Сейболта ssu

Кинематическая вязкость

сантистоксы

Секунды Редвуда

Единицы Энглера

Секунды по чашке Партина № 10

Секунды по чашке Партина № 15

Секунды по чашке Партина № 20

Секунды по чашке Форда № 3

Секунды по чашке Форда № 4

31

1.00

29

1

--

--

--

--

--

35

2.56

32.1

1.16

--

--

--

--

--

40

4.30

36.2

1.31

--

--

--

--

--

50

7.40

44.3

1.58

--

--

--

--

--

60

10.3

52.3

1.88

--

--

--

--

--

70

13.1

60.9

2.17

--

--

--

--

--

80

15.7

69.2

2.45

--

--

--

--

--

90

18.2

77.6

2.73

--

--

--

--

--

100

20.6

85.6

3.02

--

--

--

--

--

150

32.1

128

4.48

--

--

--

--

--

200

43.2

170

--

--

--

--

--

250

54.0

212

7.35

--

--

--

--

--

300

65.0

254

8.79

15

6.0

3.0

30

20

400

87.6

338

11.70

21

7.2

3.2

42

28

500

110

423

14.60

25

7.8

3.4

50

34

600

132

508

17.50

30

8.5

3.6

58

40

700

154

592

20.45

35

9.0

3.9

67

45

800

176

677

23.35

39

9.8

4.1

74

50

900

198

762

26.30

41

10.7

4.3

82

57

1000

220

896

29.20

43

11.5

4.5

90

62

1500

330

1270

43.80

65

15.2

63

132

90

2000

440

1690

58.40

86

19.5

7.5

172

118

2500

550

2120

73.0

108

24

9

218

147

3000

660

2540

87.60

129

28.5

11

258

172

4000

880

3380

117.0

172

37

14

337

230

5000

1100

4230

146

215

47

18

425

290

6000

1320

5080

175

258

57

22

520

350

7000

1540

5920

204.3

300

67

25

600

410

8000

1760

6770

233.5

344

76

29

680

465

9000

1980

7620

263

387

86

32

780

520

10000

2200

8460

292

430

96

35

850

575

15000

3300

13700

438

650

147

53

1280

860

20000

4400

18400

584

860

203

70

1715

1150


5. Заключение

5.1 Условия измерений

 

1 нормальные условия измерений;

нормальные условия

Условия измерения, характеризуемые совокупностью значений или областей значений влияющих величин, при которых изменением результата измерений пренебрегают вследствие малости.

Примечание - Нормальные условия измерений устанавливаются в нормативных документах на средства измерений конкретного типа или по их поверке (калибровке)

2 нормальное значение влияющей величины;

нормальное значение

Значение влияющей величины, установленное в качестве номинального.

Примечание - При измерении многих величин нормируется нормальное значение температуры 20 °С или 293 К, а в других случаях нормируется 296 К (23°С). На нормальное значение, к которому приводятся результаты многих измерений, выполненные в разных условиях, обычно рассчитана основная погрешность средств измерений

3 нормальная область значений влияющей величины;

нормальная область

Область значений влияющей величины, в пределах которой изменением результата измерений под ее воздействием можно пренебречь в соответствии с установленными нормами точности.

Пример - Нормальная область значений температуры при поверке нормальных элементов класса точности 0,005 в термостате не должна изменяться более чем на ±0,05 °С от установленной температуры 20 °С, т.е. быть в диапазоне от 19,95 до 20,05 °С

4 рабочая область значений влияющей величины;

рабочая область

Область значений влияющей величины, в пределах которой нормируют дополнительную погрешность или изменение показаний средства измерений

5 рабочие условия измерений

Условия измерений, при которых значения влияющих величин находятся в пределах рабочих областей.

Примеры:

1 Для измерительного конденсатора нормируют дополнительную погрешность на отклонение температуры окружающего воздуха от нормальной.

2 Для амперметра нормируют изменение показаний, вызванное отклонением частоты переменного тока от 50 Гц (50 Гц в данном случае принимают за нормальное значение частоты)

6 рабочее пространство

Часть пространства (окружающего средство измерений и объект измерений), в котором нормальная область значений влияющих величин находится в установленных пределах

7 предельные условия измерений;

предельные условия

Условия измерений, характеризуемые экстремальными значениями измеряемой и влияющих величин, которые средство измерений может выдержать без разрушений и ухудшения его метрологических характеристик

Список используемой литературы

· Я. И. Френкель. Кинетическая теория жидкостей. — Л.: «Наука», 1975.

Ссылки

· Аринштейн А., Сравнительный вискозиметр Жуковского Квант, № 9, 1983.

· Динамическая и кинематическая вязкость жидкостей — обзор методов и единиц измерения вязкости.

· R.H. Doremus. J. Appl. Phys., 92, 7619-7629 (2002).

· M.I. Ojovan, W.E. Lee. J. Appl. Phys., 95, 3803-3810 (2004).

· M.I. Ojovan, K.P. Travis, R.J. Hand. J. Phys.: Condensed Matter, 19, 415107 (2007).

Булкин П. С. Попова И. И., Общий физический практикум. Молекулярная физика


Не нашли материал для своей работы?
Поможем написать уникальную работу
Без плагиата!
Без нейросетей!