Анализ динамических систем, описывающих взаимодействие компаний, в первом приближении и построение имитационной модели на их основе
Введение
Поскольку концепция нелинейной
динамической системы достаточно богата, чтобы охватить чрезвычайно широкий круг
процессов, в которых будущее поведение системы определяется прошлым, методы
анализа, разработанные в этой области, полезны в огромном разнообразии
контекстов
Нелинейная динамика входит в
литературу по крайней мере тремя способами. Во-первых, бывают случаи, когда
экспериментальные данные об изменение во времени одной или нескольких величин
собираются и анализируются с использованием методик, основанных на нелинейной
динамической теории, с минимальными предположениями относительно лежащих в
основе уравнений, управляющих процессом, который и создает эти данные. То есть,
это случай, при котором стремятся найти корреляции в данных, которые могут
направить разработку математической модели, вместо того, чтобы сначала угадать
модель, а затем сравнить ее с данными.
Во-вторых, есть случаи, когда
нелинейная динамическая теория может использоваться для утверждения, что
некоторая упрощенная модель должна демонстрировать важные особенности данной
системы, из чего следует, что описывающую модель можно построить и изучить в
широком диапазоне параметров. Часто это приводит к моделям, которые ведут себя
качественно по-разному при различных параметрах и демонстрируют, что одна
область показывает поведение, весьма похожее на поведение, наблюдаемое в
реальной системе. Во многих случаях поведение модели довольно чувствительно к
изменениям параметров, поэтому, если параметры модели могут быть измерены в
реальной системе, модель демонстрирует реалистичное поведение при этих
значениях, и можно быть уверенным, что модель охватила существенные особенности
система.
В-третьих, бывают случаи, когда
модельные уравнения строятся на основе подробных описаний известной физики.
Затем численные эксперименты могут дать информацию о переменных, недоступных
физическим экспериментам.
Опираясь на второй путь, данная
работа является расширением моей предыдущей работы «Нелинейная динамическая
модель взаимозависимых отраслей производства», а также другой работы (Dmitriev,
2015)
Все необходимые определения и другие
теоретические сведения, необходимые в работе, будут появляться в первой главе,
по мере их необходимости. Здесь же будут приведены два определения, что
необходимы для раскрытия самой темы исследования.
Для начала дадим определение
системной динамики. Согласно одному из определений, системная динамика - подход
имитационного моделирования, который, благодаря своим методам и инструментам,
помогает оценить структуру сложных систем и их динамику (Штерман). Стоит
добавить, что системная динамика также и метод моделирования, который
используют с целью воссоздания верных (с точки зрения точности) компьютерных
моделей для сложных систем ради их будущего использования для того, чтобы создать
более эффективную компанию/организацию, а также улучшить методы взаимодействия
с данной системой. Преимущественно необходимость в системной динамике возникает
при столкновении с долгосрочными, стратегическими моделями, а также стоит
отметить, что она довольно абстрактна.
Говоря о нелинейной дифференциальной
динамики, мы будем рассматривать нелинейную систему, которая по определению,
является системой, в которой изменение результата не пропорционально изменению
входных параметров, и в которой функция описывает зависимость изменения во
времени и положении точки в пространстве (Boeing, 2016).
Исходя из вышеназванных определений,
становится понятно, что данная работа будет рассматривать различные нелинейные
дифференциальные системы, описывающие взаимодействие компаний, а также
построенные на их основе имитационные модели. Основываясь на этом и будет
определена цель работы.
Таким образом, целью данной работы
является проведение качественного анализа динамических систем, описывающих
взаимодействие компаний, в первом приближении и построение имитационной модели
на их основе.
Для достижения поставленной цели
были выделены следующие задачи:
. Определение устойчивости
системы.
. Построение фазовых
портретов.
. Нахождение интегральных
траекторий систем.
. Построение имитационных
моделей.
Каждой из этих задач будет посвящен
один из разделов каждой из глав работы.
Исходя из практики, построение
основополагающих математических конструкций, которые эффективно моделируют
динамику в различных физических как системах, так и процессах, свидетельствует
о том, что соответствующая им математическая модель в некой степени отражает
близость к исследуемому оригиналу, когда ее характерные признаки могут быть
выведены из свойств и структуры из формирующего динамику системы вида движения.
На сегодняшний день экономическая наука находится на такой стадии своего
развития, при котором в ней особенно эффективно применяются новые, причем во
многих случаях, нестандартные методы и способы физико-математического
моделирования экономических процессов. Именно отсюда и вытекает вывод о
необходимости создания, изучения и построение моделей, способных неким образом
могут описать экономическую ситуацию.
Что касается причины выбора
качественного, а не количественного анализа, то стоит отметить, что в подавляющем
количестве случаев результаты и выводы из качественного анализа динамических
систем оказываются значимее результатов их количественного анализа. В такой
ситуации уместно указать на высказывания В.П. Милованова, в котором он
утверждает, что традиционно полагают, что результаты, ожидаемые при применении
математических методов для анализа реальных объектов, должны сводиться к
численному итогу. В этом смысле на качественные методы возлагается несколько
иная задача. В ней акцентируется внимание на достижении результата,
описывающего качества системы, на поиске характерных особенностей всех явлений
в целом, на прогнозирование. Разумеется, важно понимать, как изменится спрос
при изменении цен на определенный вид товаров, но не стоит забывать, что
гораздо важнее понимание, наступит ли в таких условиях дефицит или излишек этих
товаров (Дмитриев, 2016).
Объектом данного исследования
является нелинейная дифференциальная и системная динамика.
В таком случае, предмет исследования
- описание процесса взаимодействия между компаниями через нелинейную
дифференциальную и системную динамику.
Говоря о практическом применение
исследования стоит сразу разбить его на две части. А именно на теоретическую,
то есть качественный анализ систем, и практическую, в которой будет рассмотрено
построение имитационных моделей.
Теоретическая часть данного
исследования дает базовые понятия и явления. В ней рассмотрены простые
дифференциальные системы, как и в работах многих других авторов (Teschl, 2012; Nolte, 2015), но при этом
позволяющие описать взаимодействие между компаниями. Основываясь на этом в
дальнейшем можно будет проводить более углубленные исследования, либо же
начинать свое знакомство с тем, что из себя представляет качественный анализ
систем.
Практическую часть работы можно использовать
для создания системы поддержки принятия решений. Система поддержки принятия
решений - автоматизированная информационная система, нацеленная на поддержку
бизнеса или принятия решений в организации, позволяющая выбрать между
множеством различных альтернатив (Keen, 1980). Пусть в данный момент модели и не обладают высокой
точностью, но изменив их под конкретную компанию, можно добиться более верных
результатов. Таким образом, при изменении в них различных параметров и условий,
способных возникнуть на рынке, можно получить некий прогноз на будущее и
принять заранее более выгодное решение.
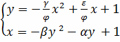
1. Взаимодействие компаний в условиях
мутуализма
В работе будут представлены
двумерные системы, которые достаточно просты, в сравнение с системами более
высокого порядка, но при этом позволяют продемонстрировать необходимые нам
взаимоотношения между организациями.
Начать работу стоит с выбора вида
взаимодействия, которое в дальнейшем и будет описываться, поскольку для каждого
из видов описывающие их системы пусть немного, но различны. На рисунке 1.1,
указана модифицированная под экономическое взаимодействие классификация Юджима
Одума для взаимодействия популяций (Одум, 1968), основываясь на которой в
дальнейшем мы будем рассматривать взаимодействие компаний.
Рисунок 1.1. Типы взаимодействия между
предприятиями
Основываясь на рисунке 1.1, выделим
4 типа взаимодействия и приведем для каждого из них, описывающую их систему
уравнений, основанной на модели Мальтуса (Malthus, 1798). Согласно ей,
скорость роста имеет пропорциональную зависимость от текущей численности вида,
иными словами, ее можно описать следующим дифференциальным уравнением:
(1.1)
где a - некий параметр, зависящий от
естественного прироста популяции. Также стоит добавить, что в рассматриваемых
далее системах все параметры, а также переменные принимают неотрицательные
значения.
. Производство сырья -
производство продукции, что аналогично модели хищник-жертва. Модель
хищник-жертва, также известная как модель Лотки-Вольтерры, - пара нелинейных
дифференциальных уравнений первого порядка, описывающих динамику биологической
системы с двумя видами, один из которых хищники, а другой жертвы (Llibre, 2007). Изменение в
численности этих видов описывается следующей системой уравнений:
(1.2)
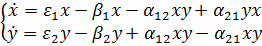
где
- характеризует рост продукции первого предприятия без влияния
второго (в случае модели хищник-жертва, рост популяции жертв без хищников),
-
характеризует рост продукции второго предприятия без влияния первого (рост
популяции хищников без жертв),
-
характеризует рост продукции первого предприятия с учетом влиянием на него
второго (рост численности жертв при взаимодействии с хищниками),
-
характеризует рост продукции второго предприятия, учитывая влияние на него
первого (рост численности хищников при их взаимодействии с жертвами).
На одного, на хищника, как видно из
системы, а также классификации Одума, их взаимодействие накладывает
благоприятное влияние. На другого неблагоприятное. Если рассматривать в
экономических реалиях, то как видно на рисунке самым простым аналогом являются
фирма производитель и ее поставщик ресурсов, которые соответствуют хищнику и
жертве соответственно. Таким образом, в отсутствие сырья выпуск продукции
экспоненциально снижается.
. Конкуренция - это
соперничество между двумя и более (в нашем случае мы рассматриваем двумерные
системы, поэтому берем именно двувидовую конкуренцию) видами, экономическими
группами за территории, ограниченные ресурсы или другие ценности (Elton, 1968). Изменения в
численности видов, или же количестве продукции в нашем случае, описывается
системой ниже:
(1.3)
В данном случае виды или же
компании, выпускающие один продукт, неблагоприятно влияют друг на друга. То
есть, в отсутствие конкурента, рост продукции экспоненциально возрастет.
. Теперь перейдем к
симбиотическому взаимодействию, при котором оба предприятия имеют друг на друга
положительное влияние. Для начала рассмотрим мутуализм. Мутуализм - тип
отношений между различными видами, при котором каждый из них получает выгоду от
действия другого, причем стоит отметить, что присутствие партнера обязательно
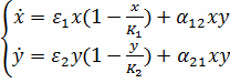
условие существования (Thompson, 2005). Такой тип отношений описывается системой:
(1.4)
Поскольку взаимодействие между
компаниями необходимо для их существования, то в отсутствие продукта одной
компании, выпуск товаров другой экспоненциально снижается. Такое возможно,
когда у компаний попросту нет иных альтернатив для закупок.
. Рассмотрим еще один вид
симбиотического взаимодействия, протокооперацию. Протокооперация похожа на
мутуализм с единственным исключением, нет необходимости в обязательном
существовании партнера, поскольку, к примеру, существуют и другие альтернативы.
Поскольку они похожи, то и их системы выглядят практически аналогично друг
другу:
(1.5)
Таким образом, отсутствие продукта
одной компании не мешает росту продукта другой.
Конечно, помимо перечисленных в
пунктах 3 и 4, можно отметить и другие виды симбиотический отношений:
комменсализм и аменсализм (Hanski, 1999). Но они не будут упоминаться в дальнейшем, поскольку в
комменсализме одному из партнеров безразлично его взаимодействие с другим, а мы
все-таки рассматриваем случаи, когда влияние есть. А аменсализм не
рассматривается, поскольку с экономической точки зрения таких отношений, когда
одному их взаимодействие вредит, а другому безразлично, попросту не может быть.
Исходя из влияния компаний друг на
друга, а именно тому, что симбиотические отношения ведут устойчивому
сосуществованию компаний, в данной работе будут рассмотрены лишь случаи
мутуализма и протокооперация, поскольку в обоих случаях взаимодействие выгодно
всем.
Эта глава посвящена взаимодействию
компаний в условиях мутуализма. В ней будут рассмотрены две системы, являющиеся
дальнейшим развитием систем, основанных на модели Мальтуса, а именно системами
с накладываемыми ограничениями на увеличение продукции.
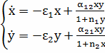
Динамику пары, связанной
мутуалистическими отношениями, как уже было сказано выше, в первом приближении
можно описать системой:
(1.6)
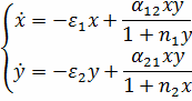
Можно заметить, что при большом
изначальном количестве продукции, система неограниченно растет, а при малом,
производство продукции падает. В этом и заключается некорректность билинейного
описания эффекта, возникающего при мутуализме. Чтобы попытаться исправить
картину, введем фактор, напоминающий на насыщение хищника, то есть фактор,
который позволит уменьшить скорость роста продукции, при его избытке. В этом
случае приходим к следующей системе:
(1.7)
где
- рост производства продукта первой компании при ее
взаимодействии со второй с учетом насыщения,
- рост
производства продукта второй компании при ее взаимодействии с первой с учетом
насыщения,
-
коэффициенты насыщения.
Таким образом мы и получили две
системы: мальтузианская модель роста с насыщением и без него.
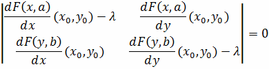
1.1 Устойчивость систем в первом
приближении
Устойчивость систем в первом
приближении рассматривается во многих, как иностранных (Hairer, 1993; Bhatia, 2002; Khalil, 2001; Strogatz, 2001 и другие), так и
русскоязычных работах (Ахромеева, 1992; Беллман, 1954; Демидович, 1967;
Красовский, 1959 и другие), и ее определение является базовым шагом для анализа
процессов, происходящих в системе. Для этого выполним следующие необходимые
шаги:
. Найдем равновесные точки.
. Найдем матрицу Якоби
системы.
. Найдем собственные значения
матрицы Якоби.
. Классифицируем равновесные
точки по теореме Ляпунова.
Рассмотрев шаги, стоит подробнее
остановиться на их разъяснение, поэтому дам определения и опишу методы,
которыми мы будем пользоваться в каждом из этих шагов.
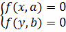
Первый шаг, поиск равновесных точек.
Для их нахождения приравняем каждую функцию к нулю. То есть решим систему:
(1.8)
где под a и b подразумеваются все параметры
уравнения.
Следующий шаг поиск матрицы Якоби. В
нашем случае, это будет матрица 2 на 2 с первыми производными в некоторой точке
, как представлено ниже:
После выполнения первых двух шагов
переходим к нахождению корней следующего характеристического уравнения:
Где точка
соответствует равновесным точкам, найденным в первом шаге.
Найдя
и
,
перейдем к четвертому шагу и воспользуемся следующими теоремами Ляпунова (Parks, 1992):
Теорема 1: Если все корни
характеристического уравнения имеют отрицательную действительную часть, то
равновесная точка соответствующая изначальной и линеаризованной системам -
асимптотически устойчива.
Теорема 2: Если хотя бы один из
корней характеристического уравнения имеет положительную действительную часть,
то равновесная точка соответствующая изначальной и линеаризованной системам -
асимптотически неустойчива.
Также, глядя на
и
можно
и более точно определить тип устойчивости, основываясь на приведенному на
рисунках 1.2 разделению (Lamar University).
Рисунок 1.2. Типы устойчивости
равновесных точек
Рассмотрев необходимые теоретические
сведения, перейдем к анализу систем.
Мальтузианская модель роста без
насыщения.
Рассмотрим систему без насыщения:
Она очень проста и не подходит для
практического применения, поскольку не имеет никаких ограничений. Но в качестве
первого примера анализа системы подходит для рассмотрения.
Для начала найдем равновесные точки,
приравняв правые части уравнений к нулю. Таким образом, обнаруживаем две
равновесные точки, назовем их A и B:
.
Объединим шаг с поиском матрицы
Якоби, корней характеристического уравнения и определением типа устойчивости.
Поскольку они элементарны, то сразу получим ответ:
1. В точке
,
, устойчивый узел.
. В точке
:
,
,
седло.
Как я уже писал, данная система
слишком тривиальна, поэтому не требовалось никаких пояснений.
Мальтузианская модель роста с
насыщения.
Теперь проведем анализ системы с
насыщения:
(1.9)
Появление ограничения на
взаимонасыщение продукцией предприятиями, приближает нас к реальной картине
происходящего, а также немного усложняет систему.
Как и раньше, приравниваем правые
части системы к нулю и решаем полученную систему. Точка
осталась без изменений, а вот другая точка в данном случае
содержит больше параметров, чем раньше:
.
В этом случае матрица Якоби
принимает такой вид:
Отнимем от нее единичную матрицу,
умноженную на
, и
приравняем определитель полученной матрицы в точке А и B к нулю.
. В точке
аналогичную ранней картину:
,
, устойчивый узел.
. А вот в точке
все несколько сложнее, и пусть математика все-равно довольна
проста, но сложность вызывает неудобность работы с длинными буквенными
выражениями. Поскольку значения
получается
довольно длинными и неудобно записываемыми, то они не приводятся, достаточно
лишь сказать, что в данном случае, как и с предыдущей системой получаемый тип
устойчивости - седло.
.2 Фазовые портреты систем
Подавляющее большинство нелинейных
динамических моделей представляют из себя сложные дифференциальные уравнения,
которые либо не решить, либо это представляет из себя некую сложность. Примером
может послужить система из предыдущего раздела. Несмотря на кажущуюся простоту,
нахождение типа устойчивости во второй равновесной точки было не легким делом
(пусть и не с математической точки зрения), а с увеличением параметров,
ограничений и уравнений для увеличения количества взаимодействующих
предприятий, сложность будет лишь возрастать. Конечно, если параметры будут
представлять из себя числовые выражения, то все станет невероятно просто, но
тогда анализ в некотором роде потеряет всякий смысл, ведь в итоге, мы сможем
найти равновесные точки и узнать их типы устойчивости лишь для конкретного
случая, а не общего.
В таких случаях, стоит вспомнить о
фазовой плоскости и фазовых портретах. В прикладной математике, в частности
контексте нелинейного системного анализа, фазовая плоскость является визуальным
отображением определенных характеристик некоторых видов дифференциальных
уравнений (Nolte, 2015). Координатная плоскость с осями значений любой пары
переменных, характеризующих состояние системы - двумерный случай общего n-мерного
фазового пространства.
Благодаря фазовой плоскости можно
графически определить существования предельных циклов в решениях
дифференциального уравнения.
Решения дифференциального уравнения
являются семейством функций. Графически это можно построить в фазовой
плоскости, как двумерное векторное поле. На плоскости рисуются векторы,
представляющие производные в характерных точках по какому-либо параметру, в
нашем случае по времени, то есть (
). При достаточном количестве этих стрелок в одной области можно
визуализировать поведение системы, и легко идентифицировать предельные циклы (Boeing, 2016).
Векторное поле является фазовым
портретом, конкретный путь вдоль линии потока (то есть путь, всегда касательный
к векторам) является фазовым путем. Потоки в векторном поле указывают на
изменение системы во времени, описываемое дифференциальным уравнением (Jordan, 2007).
Стоит отметить, что фазовый портрет
можно построить, даже без решения дифференциального уравнения, и в это же время,
хорошая визуализация может предоставить много полезной информации. К тому же в
нынешнее время существует множество программ, способных помочь с построением
фазовых диаграмм.
Таким образом, фазовые плоскости
полезны для визуализации поведения физических систем. В частности,
колебательных систем, таких как уже упоминаемая выше модель хищник-жертва. В
этих моделях фазовые траектории могут «закручиваться» в направлении нуля,
«выходить из спирали» в бесконечность или достигать нейтральной устойчивой
ситуации, называемой центрами. Это полезно при определении того, стабильна
динамика или нет (Jordan, 2007).
Представленные в данном разделе
фазовые портреты будут построены с использованием инструментов WolframAlpha, либо приведены из
других источников. Мальтузианская модель роста без насыщения.
Построим фазовый портрет первой
системы с тремя набором параметров, чтобы сравнить их поведение. Набор А
{(1,1), (1,1)}, который в дальнейшем будет называться единичным набором, набор B {(10,0.1), (2,2)}, при выборе
которого в системе наблюдается резкий спад производства продукции, и набор C {(1,10), (1,10)}, при котором
наоборот возникает резкий и неограниченный рост. Стоит отметить, что значение
по осям во всех случаях будут находиться в одних и тех же интервалах от -10 до
10, для удобства сравнения фазовых диаграмм между собой. Конечно, это не
относится к качественному портрету системы, у которого оси безразмерны.
Рисунок 1.3 Фазовый портрет с
параметрами А
мутуализм дифференциальный предельный уравнение
На рисунке 1.3, представленных выше,
продемонстрированы фазовые портреты системы при трех указанных наборах
параметров, а также фазовый портрет, описывающий качественное поведение
системы. Не стоит забывать, что самой важной с практической точки зрения
является первая четверть, поскольку количество продукции, которое может быть
лишь неотрицательным, и есть наши оси.
На каждом из рисунков явно видна
устойчивость в равновесной точке (0,0). И на первом рисунке также заметно
«седло» в точке (1,1), иными словами, если подставить значения набора
параметров в систему, то в равновесной точке В. При изменении границ построения
модели, седловая точка обнаруживается и на других фазовых портретах.
Мальтузианская модель роста с
насыщения.
Построим фазовые диаграммы для
второй системы, в которой присутствует насыщение, с тремя новыми наборами
значений параметров. Набор А, {(0.1,15,100), (0.1,15,100)}, набор В {(1,1,0.5),
(1, 1,0.5)} и набор С {(20,1,100), (20,1,100)}.
Рисунок 1.4. Фазовый портрет с параметрами А
Как можно заметить, при любых
наборах параметров, точка (0,0) - равновесная, и к тому же устойчивая. Также на
некоторых рисунках можно заметить и седловую точку.
В данном случае рассматривались
разные масштабы, чтобы нагляднее продемонстрировать, что даже при добавлении в
систему фактора насыщения, качественная картина не меняется, то есть одного
лишь насыщения недостаточно. Необходимо учесть, что на практике для компаний
необходима стабильность, то есть если рассматривать нелинейные дифференциальные
уравнения, то нас больше всего интересуют устойчивые равновесные точки, а в
данных системах, такими точками являются лишь нулевые, что означает, что
подобные математические модели явно не подойдут предприятиям. Ведь это
означает, что лишь при нулевом производстве, компании находятся в устойчивости,
что явно отличается от реальной картины мира.
.3 Интегральные траектории систем
В математике интегральная кривая
является параметрической кривой, которая представляет собой конкретное решение
обыкновенного дифференциального уравнения или системы уравнений (Lang, 1972). Если
дифференциальное уравнение представлено как векторное поле, то соответствующие
интегральные кривые касаются поля в каждой точке.
Интегральные кривые известны и под
другими названиями, в зависимости от природы и интерпретации дифференциального
уравнения или векторного поля. В физике интегральные кривые для электрического
поля или магнитного поля известны как линии поля, а интегральные кривые для
поля скоростей жидкости известны как линии тока. В динамических системах
интегральные кривые для дифференциального уравнения называются траекториями.
Рисунок 1.5. Интегральные кривые
Решения любой из систем можно
рассматривать и как уравнения интегральных кривых. Очевидно, что каждая фазовая
траектория - проекция некоторой интегральной кривой в пространстве x,y,t на фазовую плоскость.
Для построения интегральных кривых
существует несколько способов.
Один из них - метод изоклин.
Изоклина - это кривая, проходящая через точки, в которых наклон рассматриваемой
функции будет всегда одним и тем же, вне зависимости от начальных условий (Hanski, 1999).
Он часто используется в качестве
графического метода решения обыкновенных дифференциальных уравнений. К примеру,
в уравнении вида y'= f(x, y) изоклины являются линиями на плоскости (x, y),
полученными приравниванием f (x, y) к константе. Это дает ряд линий (для разных
констант), вдоль которых кривые решения имеют один и тот же градиент. Вычисляя
этот градиент для каждой изоклины, поле наклона можно визуализировать, что
позволяет сравнительно легко нарисовать приближенные кривые решения. На рисунке
ниже продемонстрирован пример использования метода изоклин.
Рисунок 1.6. Метод изоклин
Данный метод не требует вычислений
на компьютере, и был очень популярен ранее. Сейчас же существуют программные
решения, которые на компьютерах построят интегральные кривые предельно точно и
быстро. Однако, даже так метод изоклин неплохо зарекомендовал себя как
инструмент для исследования поведения решений, поскольку позволяет показать
области типичного поведения интегральных кривых.
Мальтузианская модель роста без
насыщения.
Начнем с того, что несмотря на
существование разных способов построения, показать интегральные кривые системы
уравнений не так просто. Метод изоклин, упоминаемый ранее, не подходит,
поскольку он работает для дифференциальных уравнений первого порядка. А
программные средства, обладающие возможностью построения таких кривых, не
находятся в открытом доступе. К примеру, Wolfram Mathematica, способная на это,
платная. Поэтому постараемся максимально использовать возможности Wolfram Alpha, работа с которой
описана в различных статьях и работах (Orca, 2009). Даже не смотря
на то, что картина будет явно не совсем достоверной, но по крайней мере,
позволит показать зависимость в плоскостях (x,t), (y,t). Для начала решим каждое из
уравнений относительно t. То есть выведем зависимость каждой из переменных относительно
времени. Для данной системы получаем:
(1.10)
(1.11)
Уравнения симметричны, поэтому
рассмотрим лишь одно из них, а именно x(t). Пусть константа равна 1. В таком случае воспользуемся функцией
построения графиков.
Рисунок 1.7. Трехмерная модель для уравнения
(1.10)
Мальтузианская модель
роста с насыщения.
Проделаем аналогичные действия и для
другой модели. В конечном счете получаем два уравнения, демонстрирующих
зависимость переменных от времени.
(1.12)
(1.13)
Вновь построим трехмерную модель и
линии уровня.
Рисунок 1.8. Трехмерная модель для уравнения
(1.12)
Поскольку значения переменных
неотрицательны, то в дроби при экспоненте получаем отрицательное число. Таким
образом со временем интегральная кривая убывает.
.4 Системная динамика
взаимодействующих компаний
Ранее было дано определение
системной динамики для понимания сути работы, теперь же остановимся на этом
поподробнее.
Системная динамика - методология и
метод математического моделирования для формирования, понимания и обсуждения
сложных проблем, первоначально разработанная в 1950-х годах Джеем Форрестером,
и описанная в его работе (Forrester, 1961).
Системная динамика является одним из
аспектов теории систем как метода для понимания динамического поведения сложных
систем. Основой метода является признание того, что структура любой системы
состоит из многочисленных отношений между ее компонентами, которые зачастую
столь же важны для определения ее поведения, как и сами отдельные компоненты.
Примерами являются теория хаоса и социальная динамика, описанные в работах
разных авторов (Grebogi, 1987; Sontag, 1998; Кузнецов, 2001; Табор, 2001). Также утверждается, что,
поскольку в свойствах элементов часто не могут быть найдены свойства-целого, в
некоторых случаях поведение целого не может быть объяснено с точки зрения
поведения частей.
Моделирование может по-настоящему
показать всю практическую значимость динамической системы. Хотя оно и возможно
в электронных таблицах, существует множество программных пакетов, которые были
оптимизированы специально для этой цели.
Само по себе моделирование - это
процесс создания и анализа прототипа физической модели для прогнозирования ее
производительности в реальном мире. Имитационное моделирование используется,
чтобы помочь проектировщикам и инженерам понять, при каких условиях и в каких
случаях процесс может потерпеть неудачу и какие нагрузки он может выдержать
(Хемди, 2007). Моделирование также может помочь предсказать поведение потоков
жидкости и остальные физические явления. В модели анализируется приблизительные
условия работы за счет применяемых имитационных программных средств (Строгалев,
2008).
Ограничения на возможности
имитационного моделирования имеют общую причину. Построение и численный расчет
точной модели гарантирует успех лишь в тех областях, где существует точная
количественная теория, т. е. когда известны уравнения, описывающие те или иные
явления, и задача состоит всего лишь в том, чтобы решить эти уравнения с
требуемой точностью. В тех же областях, где количественной теории не
существует, построение точной модели имеет ограниченную ценность (Базыкин,
2003).
Тем не менее, возможности
моделирования не безграничны. Прежде всего, это связано с тем, что трудно
оценить сферу применимости имитационной модели, в частности, период времени,
для которого прогноз может быть построен с необходимой точностью (Law, 2006). Кроме того, по
своей природе имитационная модель привязана к конкретному объекту, а при
попытке применить к другому, даже аналогичному ему объекту, требует радикальной
корректировки или, по крайней мере, существенной модификации.
Имеется общая причина существования
ограничений на имитационное моделирование. Построение и численный расчет
«точной» модели успешен лишь при существовании количественной теории, то есть
лишь в том случае, если все уравнения известны, а задача сводится лишь к
решению данных уравнений с некой точностью (Базыкин, 2003).
Но даже несмотря на это,
имитационное моделирование прекрасное средство визуализации динамических
процессов, позволяющее, при более-менее верной модели, принимать решения,
основанные на ее результатах.
В данной работе модели систем будут
построены с помощью средств системной динамики, предлагаемых программой AnyLogic.
Мальтузианская модель роста без
насыщения/
Перед построением модели необходимо
рассмотреть элементы системной динамики, которыми мы будем пользоваться, и
связать их с нашей системой. Следующие определения были взяты из справочной
информации программы AnyLogic.
Накопитель - основной элемент
диаграмм системной динамики. Они используются для представления объектов
реального мира, в которых скапливаются некоторые ресурсы: деньги, вещества,
численности групп людей, некие материальные объекты и т.п. Накопители отражают
статическое состояние моделируемой системы, а их значения изменяются со
временем в соответствие с существующими в системе потоками. Отсюда следует, что
динамику системы задают потоки. Входящие и исходящие из накопителя потоки
увеличивают или уменьшают значения накопителя.
Поток, равно, как и вышеупомянутый
накопитель, - основной элемент системно-динамических диаграмм.
Пока накопители определяют
статическую часть системы, потоки определяют скорость изменения значений
накопителей, то есть как во времени происходят изменения запасов и, таким
образом, определяют динамику системы.
Агент может содержать переменные.
Переменные обычно используются для моделирования изменяющихся характеристик
агента или для хранения результатов работы модели. Обычно динамические
переменные состоят из функций накопителей.
Агент может иметь параметры.
Параметры часто используются для представления некоторых характеристик
смоделированного объекта. Они полезны, когда экземпляры объектов имеют
одинаковое поведение, описанное в классе, но отличаются некоторыми значениями
параметров. Между переменными и параметрами существует явная разница.
Переменная представляет состояние модели и может изменяться во время
моделирования. Параметр обычно используется для статического описания объектов.
Во время одного «прогона» модели параметр обычно является константой и
изменяется только тогда, когда нужно перенастроить поведение модели.
Связь - элемент системной динамики,
использующийся для определения зависимости между элементами диаграммы потоков и
накопителей.не создает связи автоматически, а принуждает пользователя явно
рисовать их в графическом редакторе (однако стоит заметить, что AnyLogic также
поддерживает механизм быстрой установки недостающих связей). Как пример, если
какой-либо элемент A упоминается в уравнении или начальном значении элемента B,
то сначала необходимо соединить эти элементы связью, идущей от A к B, и только
затем ввести выражение в свойствах B.
Существуют и некоторые другие
элементы системной динамики, но они не будут задействованы в ходе работы,
поэтому опустим их.
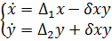
Для начала рассмотрим из чего будет
состоять модель системы (1.4).
Во-первых, сразу отмечаем два
накопителя, которые будут содержать в себе значения количества продукции
каждого из предприятий.
Во-вторых, поскольку у нас по два
слагаемых в каждом уравнение, то получаем по два потока к каждому из
накопителей, один входящий, другой исходящий.
В-третьих, переходим к переменным и
параметрам. Переменных всего две. X и Y, отвечающие за рост продукции. А также у нас имеются четыре
параметра.
В-четвертых, что касается связей,
каждый из потоков должен быть связан с переменными и параметрами, входящими в
уравнение потока, а также обе переменные должны иметь связь с накопителями для
изменения значения со временем.
Подробное описание построения
модели, как пример работы в среде моделирования AnyLogic, оставим для следующей
системы, поскольку она несколько сложнее и в ней используется больше
параметров, и сразу перейдем к рассмотрению готового варианта системы.
Ниже на рисунке 1.9 представлена
построенная модель:
Рисунок 1.9. Модель системной
динамики для системы (1.4)
Все элементы системной динамики
соответствуют описанному выше, т.е. два накопителя, четыре потока (два
входящих, два исходящих), четыре параметра, две динамические переменные, и
необходимые связи.
На рисунке видно, что чем больше
продукции, тем сильнее ее рост, что приводит к резкому росту количества
товаров, что соответствует нашей системе. Но как уже было ранее сказано,
отсутствие ограничения на этот рост не позволяют применять данную модель на
практике.
Мальтузианская модель роста с
насыщения/
Рассматривая данную систему, более
подробно остановимся на построении модели.
Первым шагом добавляем два
накопителя, назовем их X_stock и Y_stock. Каждому из них зададим начальное значение равное 1. Отметим, что
в отсутствие потоков в классически заданном уравнение накопителя ничего нет.

Рисунок 1.10. Построение модели
системы (1.9)
Следующий шаг - добавление потоков.
Построим для каждого накопителя входящий и исходящий поток с помощью
графического редактора. Нельзя забывать, что один из краев потока должен
находится в накопителе, иначе, они не будут связаны.
Можно заметить, что уравнение для
накопителя задалось автоматически, конечно, пользователь может и сам написать
его, выбрав режим уравнения «произвольный», но проще всего оставить данное
действие на программу.
Третьим шагом у нас является
добавление шести параметров и двух динамических переменных. Дадим каждому
элементу имя в соответствие с его буквенным выражением в системе, а также
зададим начальные значения параметров следующим образом: e1=e2=1, a12=a21=3, n1=n2=0,2.
Все элементы уравнений присутствуют,
осталось лишь написать уравнения для потоков, но для этого сначала необходимо
добавить связи между элементами. К примеру, исходящий поток, отвечающий за
слагаемое
,
должен быть связан с e1 и x. А каждая динамическая переменная, должна быть связана с соответствующим
ей накопителем (X_stock
x, Y_stock
y). Создание связей происходит аналогично добавлению потоков.
После создания необходимых связей
можно переходить к написанию уравнений для потоков, что демонстрируется на
правом рисунке. Конечно, можно пойти и в обратном порядке, но при существовании
связей, во время написания уравнений появляются подсказки для подстановки
нужных параметров/переменных, что облегчает задачу в сложных моделях.
После выполнения всех шагов, можно
запускать имитационную модель и посмотреть на ее результат.
Рассмотрев системы нелинейных
дифференциальных уравнений взаимодействия компаний в условиях мутуализма, можно
сделать несколько выводов.
. Существует два состояния
системы: резкий неограниченный рост, либо стремление количества продукции к
нулю. Какое из двух состояний примет система зависит от параметров.
. Ни одна из предложенных
моделей, в том числе модель с учетом насыщениям, не подходит для практического
применения, из-за отсутствия ненулевого устойчивого положения, а также причин,
описанных в пункте 1.
. В случае попытки
дальнейшего исследования данного типа симбиотического взаимодействия для
создания модели применимой компаниями на практике, необходимо дальнейшее
усложнение системы и введение новых параметров. К примеру, Базыкин в своей
книге приводит пример динамики двух мутуалистических популяций с введением
дополнительного фактора внутривидовой конкуренции. За счет чего система
принимает вид:
.
(1.15)
И в таком случае появляется
ненулевое устойчивое положение системы, отделенное от нулевого «седлом», что
приближает ее к реальной картине происходящего.
2. Взаимодействие компаний в
условиях протокооперации
Все основные теоретические сведения
были представлены в предыдущей главе, поэтому при анализе моделей,
рассматриваемых в данной главе, теория по большей части будет опущена, за
исключением нескольких моментов, с которыми мы не сталкивались в предыдущей
главе, а также возможно сокращение в вычислениях. Рассматриваемая в данной
главе модель взаимодействия организаций в условиях протокооперации, состоящей
из систем двух уравнений, основанных на мальтузианской модели, выглядит как
система (1.5). Проанализированные в предыдущей главе системы показали, что для
их максимального приближения к действующим моделям необходимо усложнение
систем. Исходя из данных выводов, сразу же добавим на модель ограничение на
рост. В отличие от предыдущего типа взаимодействия, когда рост, не зависящий от
другой компании, отрицателен, в данном случае все знаки положительны, а значит,
имеем постоянный рост. Избегая недочетов, описанных ранее, постараемся
ограничить его логистическим уравнением, также известным как уравнение
Ферхюльста (Gershenfeld, 1999), имеющего следующий вид:
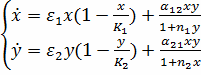
, (2.1)
где P - численность популяции, r - параметр, показывающий скорость
роста, K - параметр, отвечающий за максимально возможную численность
популяции. То есть со временем численность популяции (в нашем случае
продукции), будет стремиться к некому параметру К.
Данное уравнение поможет сдержать
безудержный рост продукции, наблюдаемый нами ранее. Таким образом система
принимает следующий вид:
(2.2)
Не стоит забывать, что объем
хранимого товара на складе для каждой компании разный, поэтому параметры,
ограничивающие рост различны. Назовем данную систему «модель протокооперации с
ограничением Ферхюльста», и в дальнейшем будем использовать данное название,
когда будем ее рассматривать.
Второй системой, которую мы будем
рассматривать является дальнейшее развитие модели с ограничением Ферхюльста.
Как и в предыдущей главе введем ограничение на насыщение, тогда система примет
вид:
(2.3)
Теперь каждое из слагаемых имеет
собственное ограничение, поэтому уже без дальнейшего анализа можно заметить,
что неограниченного роста, как в моделях предыдущей главы, не будет. А
поскольку каждое из слагаемых демонстрирует положительный рост, то и количество
продукции не упадет в ноль. Назовем данную модель «модель протокооперации с
двумя ограничениями».
Данные две модели рассматриваются в
различных источниках о биологических популяциях. Теперь постараемся несколько
расширить системы. Для этого рассмотрим следующий рисунок.

На рисунке продемонстрирован пример
процессов двух компаний: сталелитейной и угольной промышленности. В обоих
предприятиях есть рост продукции, не зависящий от другой, а также есть рост
продукции, который получается благодаря их взаимодействию. Это мы уже учитывали
в ранних моделях. Теперь же стоит обратить внимание, что компании не только
производят продукцию, они ее еще и продают, к примеру, на рынок либо
взаимодействующей с ней компании. Т.е. исходя из логичных выводов, существует
необходимость отрицательного роста компаний за счет продажи продукции (на
рисунке за это отвечают параметры β1 и β2), а также за счет передачи части продукции другому предприятию.
Ранее мы учитывали это лишь с положительным знаком у другой компании, но не
рассматривали то, что у первого предприятия при передаче продукции ее
количество уменьшается. В таком случае получаем систему:
(2.4)
И если о слагаемом
можно сказать, что если бы в предыдущих моделях было указано, что
, характеризуют естественный прирост, а параметр
может быть отрицательным, то разницы практически нет, то о
слагаемом
такого
сказать нельзя. К тому же в дальнейшем, рассматривая подобную систему с
введенным на нее ограничением, правильнее использовать именно слагаемые положительного
и отрицательного роста, так как в таком случае на них могут налагаться разные
ограничения, что невозможно для естественного прироста. Назовем ее «расширенная
модель протокооперации».
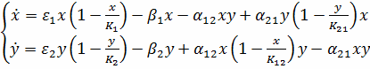
И наконец, четвертой рассматриваемой
моделью является расширенная модель протокооперации с ранее упомянутым
логистическим ограничением на рост. И система для данной модели такова:
, (2.5)
где
- прирост продукции первого предприятия, не зависящий от второго,
с учетом логистического ограничения,
- прирост продукции первой компании, зависящий от второй, с
учетом логистического ограничения,
- прирост продукции второго предприятия, не зависящий от первого,
с учетом логистического ограничения,
- прирост продукции второй компании, зависящий от первой, с
учетом логистического ограничения,
- потребление товаров первого предприятия, не связанное с другим,
- потребление товаров второго предприятия, не связанное с другим,
- потребление товаров первой отрасли второй отраслью,
- потребление товаров второй отрасли первой отраслью.
В дальнейшем данная модель будет
обозначаться, как «расширенная модель протооперации с логистическим
ограничением».
.1 Устойчивость систем в первом
приближении
Модель протокооперации с
ограничением Ферхюльста
Методы анализа устойчивости системы
были указаны в аналогичном разделе предыдущей главы. Первым делом находим
равновесные точки. Одна из них, как и всегда, нулевая. Другая представляет из
себя точку с координатами
.
Для нулевой точки λ1 =
, λ2 =
, поскольку оба параметра неотрицательны, то получаем неустойчивый
узел.
Поскольку работать со второй точкой
не совсем удобно, из-за отсутствия возможности сократить выражение, то
определение типа устойчивости оставим на фазовые диаграммы, поскольку на них
наглядно видно, устойчива равновесная точка или нет.
Модель протокооперации с двумя
ограничениями.
Анализ данной системы сложнее предыдущей
в силу того, что добавляется фактор насыщения, таким образом появляются новые
параметры, а при нахождении равновесных точек придётся решать не линейное, а
билинейное уравнение из-за переменной в знаменателе. Поэтому, как и в
предыдущем случае, оставим определение типа устойчивости на фазовые диаграммы.
Несмотря на появление новых
параметров, Якобиан в нулевой точке, также, как и корни характеристического
уравнения, выглядит аналогично предыдущей модели. Таким образом, в нулевой
точке неустойчивый узел.
Расширенная модель протокооперации.
Перейдем к расширенным моделям.
Первая из них не содержит никаких ограничений и принимает вид системы (2.4)
Произведем замену переменных,
,
и
. Новая система:
(2.6)
В таком случае получаем две
равновесные точки, точка А(0,0), В(
). Точка В лежит в первой четверти, поскольку переменные имеют
неотрицательное значение.
Для равновесной точки А получаем:
.
- неустойчивый узел,
.
- седло,
.
- седло,
.
- устойчивый узел,
В точке B корни характеристического уравнения
являются комплексными числами: λ1 =
, λ2 =
. Мы не можем определить тип устойчивости полагаясь на теоремы
Ляпунова, поэтому проведем численное моделирование, которое не покажет все
возможные состояния, но позволит узнать, хотя бы некоторые из них.
Рисунок 2.2. Численное моделирование
поиска типа устойчивости
Расширенная модель протокооперации с
логистическим ограничением.
Рассматривая данную модель, придется
столкнуться с вычислительными сложностями, поскольку в ней имеется большое
количество разнообразных параметров, а также два ограничения.
Не вдаваясь в подробности
вычислений, приходим к следующим равновесным точкам. Точка А(0,0) и точка В со
следующими координатами:
(
), где a =
b =
,
c =
.
Для точки А, определение типа
устойчивости - тривиальная задача. Корни характеристического уравнения таковы λ1 =
, λ2 =
. Таким
образом получаем четыре варианта:
1. λ1 > 0, λ2 > 0
- неустойчивый узел.
2. λ1 < 0, λ2 > 0 - седло.
3. λ1 > 0, λ2 < 0 - седло.
4. λ1 < 0, λ2 < 0
- устойчивый узел.
Говоря о точке В, стоит согласиться,
что подстановка сокращений в выражение для нее, усложнит работу с Якобианом и
нахождением корней характеристического уравнения. К примеру, после попытки их
поиска с помощью вычислительных средств WolframAlpha, вывод значения корней
занял около пяти строк, что не позволяет работать с ними в буквенном выражении.
Конечно, при наличии уже имеющихся параметров, представляется возможным быстро
найти равновесную точку, но это частный случай, поскольку мы найдем состояние
равновесия, если оно есть, лишь для данных параметров, что не подходит для
системы поддержки принятия решений, для которой модель и планируется
создаваться.
Из-за сложности работы с корнями
характеристического уравнения построим взаимное расположение нуль-изоклин по
аналогии с разобранной в работе Базыкина системой (Базыкин, 2003). Это позволит
нам рассмотреть возможные состояния системы, и в дальнейшем при построении
фазовых портретов обнаружить равновесные точки и типы их устойчивости.
После некоторых вычислений уравнения
нуль-изоклин принимают следующий вид:
(2.7)
где:
,
Таким образом, изоклины имеют вид
парабол.
Рисунок 2.3. Возможный вариант
расположения нуль-изоклин
Всего возможно четыре случая их
взаимного расположения по количеству общих точек между параболами. Для каждого
из них существуют свои наборы параметров, а значит и фазовые портреты системы.
.2 Фазовые портреты систем
Модель протокооперации с
ограничением Ферхюльста.
Построим фазовый портрет системы,
при условии, что
а
остальные параметры равны 1. В данном случае достаточно и одного набора
переменных, поскольку качественная не изменится.
Как видно из представленных ниже
рисунков, нулевая точка - неустойчивый узел, а вторая точка, если подставить
числовые значения параметров, то получим (-1.5,-1.5) - седло.

Рисунок 2.4. Фазовый портрет для
системы (2.2)
Таким образом, поскольку никаких
изменений не должно происходить, то для данной системы существуют лишь
неустойчивые состояния, что скорее всего связано с возможностью неограниченного
роста.
Модель протокооперации с двумя
ограничениями.
В данной системе присутствует
дополнительный сдерживающий фактор, поэтому фазовые диаграммы должны отличаться
от предыдущего случая, что и видно на рисунке. Нулевая точка также -
неустойчивый узел, но в данной системе появляется устойчивое положение, а
именно устойчивый узел. При данных параметрах его координаты (5.5,5.5), он
представлен на рисунке.
Рисунок 2.5. Фазовый портрет для
системы (2.3)
Таким образом, ограничение на каждое
слагаемое позволило получить устойчивое положение системы.
Расширенная модель протокооперации.
Построим фазовые портреты для
расширенной модели, но сразу используя ее модифицированный вид:
Рассмотрим четыре набора параметров,
причем таких, чтобы рассмотреть все случаи с нулевой равновесной точкой, а
также продемонстрировать фазовые диаграммы численного моделирования,
используемого для ненулевой равновесной точки: набор А(1,0.5,0,5) соответствует
состоянию
, набор
В(1,0.5,-0.5) соответствует
набор
С(-1,0.5,0,5)
а набор D(-1,0.5,-0,5)
, то
есть устойчивому узлу в нулевой точке. Первые два набора продемонстрирует
фазовые портреты для параметров, которые мы рассматривали при численном
моделировании.
Рисунок 2.6. Фазовый портрет для
системы (2.4) с параметрами А-D.
На рисунках необходимо обратить
внимание на точки (-1,2) и (1,-2) соответственно, в них возникает «седло». Для
более детального представления, на рисунке представлен иной масштаб рисунка с
седловой точкой (1,-2). На рисунке в точках (1,2) и (-1,-2) виден устойчивый
центр. Что касается нулевой точки, то начиная с рисунка по рисунок на фазовых
диаграммах отчетливо различим неустойчивый узел, седло, седло и устойчивый
узел.
Расширенная модель протокооперации с
логистическим ограничением.
Как и в предыдущей модели
продемонстрируем фазовые портреты для четырех случаев нулевой точки, а также
постараемся отметить и ненулевые решения на этих диаграммах. Для этого возьмем
следующие наборы параметров с параметрами, указанными в следующем порядке (
): А(2,1,2,1), Б(2,1,1,2), С(1,2,2,1) и Д(1,2,1,2). Остальные
параметры для всех наборов будут следующими:
,
.
На представленных далее рисунках
можно наблюдать четыре равновесных состояния нулевой точки, описанных в
предыдущем разделе для данной динамической системы. А также на рисунках
устойчивое положение точки с одной ненулевой координатой.
Рисунок 2.7. Фазовый портрет для
системы (2.5) с параметрами А-B
.3 Интегральные траектории систем
Модель протокооперации с
ограничением Ферхюльста
Как и в предыдущей главе решим
каждое из дифференциальных уравнений по отдельности и явно выразим зависимость
переменных от временного параметра.
(2.8)
(2.9)
Из полученных уравнений видно, что
значение каждой из переменных растет, что и демонстрируется на трехмерной
модели ниже.
Рисунок 2.8. Трехмерная модель для
уравнения (2.8)
Данный вид графика в начале чем-то
напоминает трехмерное изображение мальтузианской модели без насыщения,
рассматриваемую в главе 1, поскольку имеет аналогичный ей быстрый рост, но в
дальнейшем можно заметить снижение скорости роста из-за достижения ограничения
на объем продукции. Таким образом итоговый внешний вид интегральных кривых схож
с графиком логистического уравнения, которое было использовано, чтобы
ограничить одно из слагаемых.
Модель протокооперации с двумя
ограничениями.
Решаем каждое из уравнений с помощью
средств Wolfram Alpha. Таким образом, зависимость функции x(t) сводится к следующему виду:
(2.10)
Для второй функции ситуация аналогична,
поэтому опустим ее решение. Численные значения появились из-за замены
параметров некими подходящими им значениями, что не влияет на качественное
поведение интегральных кривых. На представленных ниже рисунках заметно
использования ограничений на рост, поскольку со временем экспоненциальный рост
переходит в логарифмический.
Рисунок 2.9. Трехмерная модель для
уравнения (2.10)
Расширенная модель протокооперации
Практически аналогично моделям при
мутуализме. Единственная разница в более быстром относительно тех моделей
росте, что видно из представленных ниже уравнений (если посмотреть на степень
экспоненты) и графиков. Интегральная кривая должна принимать вид экспоненты.
(2.11)
(2.12)
Расширенная модель протокооперации с
логистическим ограничением
Зависимость x(t) выглядит следующим образом:
Без графика сложно оценить,
поведение функции, поэтому воспользовавшись уже известными нам средствами,
построим его.
Рисунок 2.10 Трехмерная модель для
уравнения
Значение функции убывает при не
малых значениях другой переменной, что связано с отсутствием ограничений на
отрицательное билинейное слагаемое, и является очевидным итогом
.4 Системная динамика
взаимодействующих компаний
Модель протокооперации с
ограничением Ферхюльста.
Построим систему (2.2). Используя
уже известные нам инструменты строим имитационную модель. В этот раз в отличие
от мутуалистических моделей, в модели будет присутствовать логистическое
ограничение.
Рисунок 2.11. Модель системной
динамики для системы (2.2)
Запустим модель. В этой модели стоит
отметить тот факт, что рост от взаимосвязи ничем не ограничен, а рост продукции
без влияния другого имеет специфическое ограничение. Если посмотреть на само
выражение логистической функции, то можно заметить, что в случае, когда
переменная (количество товаров) превышает максимально возможный объем хранения,
слагаемое становится отрицательным. В случае, когда существует лишь
логистическая функция, такое невозможно, но при дополнительном всегда
положительном факторе роста, такое возможно. И сейчас важно понять, что
логистическая функция справится с ситуацией не слишком быстрого роста
количества продукции, к примеру, линейного. Обратим внимание на рисунки ниже.
Рисунок 2.12. Пример работы модели
системной динамики для системы (2.2)
На левом рисунке продемонстрирован 5
шаг работы программы соответствующей предложенной модели. Но в данный момент
стоит обратить внимание на правый рисунок.
Во-первых, для одного из входящих
потоков для Y_stock удалена связь с х, выраженная в слагаемом
. Это сделано для того, чтобы показать разницу в работе модели при
линейном всегда положительном потоке, и билинейном росте, который представлен
для X_stock. При линейных неограниченных потоках после превышения параметра К
система в какой-то момент приходит к равновесию (в данной модели, равновесное
состояние - 200 тысяч единиц товара). Но намного раньше билинейный рост
приводит к резкому роста количества товара, переходящем в бесконечность. Если
же оставить и правый и левый постоянно положительные потоки билинейными, то уже
приблизительно на 20-30 шаге, значение накопителя приходит к разности двух
бесконечностей.
Исходя из вышеперечисленного, можно
с уверенностью утверждать, что в случае дальнейшего использования подобных
моделей, необходимо ограничить любой положительный рост.
Модель протокооперации с двумя
ограничениями.
Выяснив недочеты прошлой модели и
введя ограничение на второе слагаемое фактором насыщения, построим и запустим
новую модель.
Рисунок 2.13. Модель системной
динамики и пример ее работы для системы (2.3)
Данная модель, в конечном итоге,
приносит долгожданные результаты. Получилось ограничить рост значений
накопителя. Как видно из правого рисунка для обоих предприятий равновесие
достигается при небольшом превышении объема хранения.
Расширенная модель протокооперации.
При рассмотрении системной динамики
данной модели будет продемонстрированы возможности программной среды AnyLogic для красочной
визуализации моделей. Все предыдущие модели были построены с использованием
лишь элементов системной динамики. Поэтому сами модели выглядели неброско, они
не позволяли отследить динамику изменения количества продукции во времени и
изменять параметры во время работы программы. При работе с этой и следующей
моделями постараемся воспользоваться более широким спектром возможностей
программы для изменения трех указанных выше недостатков.
Во-первых, в программе наряду с
разделом «системная динамика» в программе также присутствуют разделы
«картинки», «3D-объекты», позволяющие разнообразить модель, что полезно при
дальнейшей ее презентации, поскольку делает вид модели «приятнее».
Во-вторых, для отслеживания динамики
изменения значений модели, существует раздел «статистика», который позволяет
добавлять диаграммы и различные инструменты сбора данных, связывая их с
моделью.
В-третьих, для изменения параметров
и других объектов во время выполнения модели, имеется раздел «элементы
управления». Объекты данного раздела позволяют изменять параметры во время
работы модели (пример, «бегунок»), выбирать различные состояния объекта
(пример, «переключатель») и выполнять другие действия изменяющие изначально
заданные данные во время работы.
Модель подходит для обучающего
знакомства с динамикой изменения продукции предприятий, но отсутствие
ограничений на рост не позволяют использовать ее на практике.
Расширенная модель протокооперации с
логистическим ограничением.
Используя уже готовую предыдущую
модель, добавим в нее параметры из логистического уравнения для ограничения
роста.
Опустим построение модели, поскольку
на предыдущих пяти моделях, представленных в работе, уже были
продемонстрированы все необходимые инструменты и принципы работы с ними. Стоит
лишь отметить, что ее поведение схоже с моделью протокооперации с ограничением
Ферхюльста. Т.е. отсутствие насыщения мешает ее практическому применению.
После анализа моделей в условиях
протокооперации определим несколько основных моментов:
. Модели рассматриваемый в
данной главе на практике подходят лучше мутуалистических, поскольку имеют
ненулевые положения устойчивого равновесия даже при двух слагаемых. Напомню, в
моделях мутуализма подобного мы смогли достичь лишь при добавлении третьего
слагаемого.
. Подходящие модели должны
иметь ограничения на каждом из слагаемых, поскольку в противном случае, резкий
рост билинейных множителей «рушит» всю имитационную модель.
. Исходя из пункта 2, при
добавлении в расширенную модель протокооперации с ферхюльстовским ограничением
фактора насыщения, а также добавления нижнего критического количества
продукции, модель должна стать максимально приближенной к реальному положению
вещей. Но не стоит забывать, что такие манипулирования системой усложнят ее
анализ.
Заключение
В результате проведенного
исследования был проведен анализ шести систем, описывающих динамику
производства продукции предприятиями, взаимно влияющими друг на друга. В итоге
равновесные точки и типы их устойчивости были определены одним из следующих
способов: аналитически, либо благодаря построенным фазовым портретам в случаях,
когда аналитическое решение по каким-либо причинам не представляется возможным.
Для каждой из систем были построены фазовые диаграммы, а также построены трехмерные
модели, на которых при проецировании возможно получить интегральные кривые в
плоскостях (x,t), (y,t). После с использованием среды моделирования AnyLogic были построены все
модели и рассмотрены варианты их поведения при определенных параметрах.
После проведения анализа систем и
построения их имитационных моделей становится очевидным, что данные модели
могут рассматриваться лишь в качестве обучающих, либо же для описания
макроскопических систем, но никак не в качестве системы поддержки принятия
решений для отдельных компаний, из-за своей низкой точности и в некоторых
местах не совсем достоверном представлении происходящих процессов. Но также не
стоит забывать, что какой-бы верной ни была описывающая модель динамическая
система у каждой компании/организации/отрасли свои собственные процессы и
ограничения, таким образом создать и описать общую модель не представляется
возможным. В каждом конкретном случае она будет видоизменяться: усложняться или
наоборот упрощаться для дальнейшей работы.
Делая заключение из выводов к каждой
главе, стоит заострить внимание на выявленном факте, что введение ограничений
на каждое из слагаемых уравнения хоть и усложняет систему, но также позволяет
обнаружить устойчивые положения системы, а также приблизить ее к происходящему в
действительности. И стоит отметить, что модели протокооперации больше подходят
для изучения, поскольку имеют ненулевые устойчивые положения в отличие от
рассмотренных нами двух мутуалистических моделей.
Таким образом, цель данного
исследования была достигнута, а задачи выполнены. В будущем в качестве
продолжения данной работы будут рассмотрены расширенная модель взаимодействия
вида протокооперации с тремя введенными на нее ограничениями: логистическим,
фактором насыщения, нижней критической численностью, что должно позволить
создать более точную модель для системы поддержки принятия решений, а также
модель с тремя компаниями. В качестве расширения работы можно рассмотреть и два
других типа взаимодействия помимо симбиоза, о которых упоминалось в работе.
Литература
1. Bhatia Nam
Parshad; Szegх Giorgio P. (2002). Stability theory of dynamical systems.
Springer.
2. Blanchard P.; Devaney, R. L.; Hall, G. R. (2006).
Differential Equations. London: Thompson. pp. 96-111.
. Boeing, G. (2016). Visual Analysis of Nonlinear Dynamical
Systems: Chaos, Fractals, Self-Similarity and the Limits of Prediction.
Systems. 4 (4): 37.
4. Campbell, David
K. (2004). Nonlinear physics: Fresh breather. Nature. 432 (7016): 455-456.
. Elton C.S.
(1968) reprint. Animal ecology. Great Britain: William Clowes and Sons Ltd.
7. Forrester Jay W. (1961). Industrial Dynamics. MIT Press.
8. Gandolfo,
Giancarlo (1996). Economic Dynamics (Third ed.). Berlin: Springer. pp. 407-428.
9. Gershenfeld
Neil A. (1999). The Nature of Mathematical Modeling. Cambridge, UK: Cambridge
University Press.
10. Goodman M. (1989). Study Notes in System Dynamics.
Pegasus.
. Grebogi C, Ott E, and Yorke J. (1987). Chaos, Strange
Attractors, and Fractal Basin Boundaries in Nonlinear Dynamics. Science 238 (4827), pp 632-638.
12. Hairer Ernst; Nørsett Syvert Paul; Wanner, Gerhard (1993), Solving ordinary
differential equations I: Nonstiff problems, Berlin, New York
. Hanski I. (1999) Metapopulation Ecology. Oxford
University Press, Oxford, pp. 43-46.
. Hughes-Hallett Deborah; McCallum, William G.; Gleason,
Andrew M. (2013). Calculus: Single and Multivariable (6 ed.). John wiley.
15. Llibre J., Valls
C. (2007). Global analytic first integrals for the real planar Lotka-Volterra
system, J. Math. Phys.
16. Jordan D.W.; Smith P. (2007). Non-Linear Ordinary
Differential Equations: Introduction for Scientists and Engineers (4th ed.).
Oxford University Press.
17. Keen Peter,
(1980).Decision support systems: a research perspective. Cambridge, Mass.
. Khalil Hassan
K. (2001). Nonlinear Systems. Prentice Hall.
. Lamar
University, Online Math Notes - Phase Plane, P. Dawkins.
. Lamar
University, Online Math Notes - Systems of Differential Equations, P. Dawkins.
. Lang Serge (1972).
Differential manifolds. Reading, Mass.-London-Don Mills, Ont.: Addison-Wesley
Publishing Co., Inc.
. Law Averill M.
(2006). Simulation Modeling and Analysis with Expertfit Software. McGraw-Hill
Science.
. Lazard D.
(2009). Thirty years of Polynomial System Solving, and now? Journal of Symbolic
Computation. 44 (3): 222-231.
24. Lewis Mark D. (2000). The Promise of Dynamic Systems
Approaches for an Integrated Account of Human Development. Child Development. 71
(1): 36-43.
25. Malthus T.R.
(1798). An Essay on the Principle of Population, in Oxford World's Classics
reprint. p 61, end of Chapter VII
26. Morecroft John (2007). Strategic Modelling and Business
Dynamics: A Feedback Systems Approach. John Wiley & Sons.
27. Nolte D.D.
(2015), Introduction to Modern Dynamics: Chaos, Networks, Space and Time,
Oxford University Press.