Управление разногласиями в организации

  • Вид работы:
    Курсовая работа (т)
  • Предмет:
    Менеджмент
  • Язык:
    Русский
    ,
    Формат файла:
    MS Word
    81,95 Кб
  • Опубликовано:
    2017-01-09
Вы можете узнать стоимость помощи в написании студенческой работы.
Помощь в написании работы, которую точно примут!

Управление разногласиями в организации

СОДЕРЖАНИЕ

ВВЕДЕНИЕ

1. УПРАВЛЕНИЕ РАЗНОГЛАСИЯМИ В КОМПАНИИ

.1 Система управления организацией

.2 Задачи управления современной деловой организацией

.3 Структурирование управления организационными системами

2. АНАЛИЗ КОНФЛИКТОВ ОРГАНИЗАЦИИ ООО "РАМОРАМА"

.1 Оценка конфликтов в компании ООО "Рамо Рама"

.2 Стратегия предупреждения конфликтных ситуаций в ООО "Рамо Рама"

ЗАКЛЮЧЕНИЕ

СПИСОК ЛИТЕРАТУРЫ

ВВЕДЕНИЕ


Любое опытное руководство высшего звена знает, что устойчивость в организационной структуре компании, обычно, говорит не столько о внутренней гармонии, сколько об успешном решении конфликтов. Имеющаяся структура, какова бы она ни была, является преградой для реализации чьих-то амбиций, усложняет достижение задач некоторых подразделений либо отделов, недостоверно четко отображает смысл некоторых функциональных ролей, допускает несправедливое распределение власти и привилегий и др. Когда появляются глубокие и устойчивые разногласия по поводу организационной структуры и особенно когда высшие руководители сомневается относительно ее оптимальной формы, единственным выходом является внимательное исследование структуры. Смена руководителей часто тянет за собой решение о реформировании. Одна группа менеджеров может результативно действовать в границах определенной структуры. Группа, которая придет ей на смену, может найти такую форму совершенно не соответственной ее подходу к вопросам компании.

Главной целью данной работы является рассмотрение основных нюансов управления разногласиями в организации.

В соответствии с целью работы были выделены такие задачи как

Разобрать основы системы управления организацией,

Рассмотреть задачи управления современной деловой организацией,

Привести основы структурирования управления организационными системами, Дать оценку конфликтов в компании ООО "Рамо Рама",

Привести стратегию предупреждения конфликтных ситуаций в ООО "Рамо Рама". Данная работа состоит из введения, двух глав, где раскрываются задачи работы поставленные ранее, заключения, где даны главные выводы по проделанной работе, списка использованных источников.

1. УПРАВЛЕНИЕ РАЗНОГЛАСИЯМИ В КОМПАНИИ

1.1 Система управления организацией

Системы управления компаниями содержат совокупность всех служб в фирме, всех подсистем и коммуникаций между ними, а также процессов, которые обеспечивают заданную работу.

Управление компанией является непрерывным процессом воздействия на производительность сотрудников, группы либо компании в общем для наилучших итогов с позиций достижения поставленной задачи. "Управлять - значит вести компанию к его задачи, извлекая наибольшую возможность из всех существующих в ее распоряжении ресурсов", - так характеризовал процессы управления Г. Файоль.

Процессы управления предусматривают согласованные действия, которые реализуют общую задачу либо набор задач, стоящих перед компанией. Для координации действий обязан иметься особый орган, который реализует функции управления. По данной причине в каждой компании выделяют управляющую и управляемую части.

Управляющая часть содержит дирекцию, руководители и информационные отделы, обеспечивающие деятельность руководящего звена, данную часть компании обычно называют административно-управленческий аппарат. Входным влиянием и конечным товаром данной части являются данные. Управляющие звенья - это нужный элемент любой фирмы.

Рисунок 1. Взаимодействие управляющей и управляемой части деловой организации А - управляющые данные, Б - информация об выполнении.

На данном уровне принимают управленческие решения как итог оценки, состовления планов, оптимизации, финансового образования и выбора альтернативы из множества вариантов достижения поставленных задач. Управленческие решения принимается с задачей преодоления появившихся вопросов, которые представляют собой не что другое, как настоящее противоречие, которое требует своего разрешения.

Отметим, что управленческие решения являются итогом совместной творческой деятельности. Они всегда носят обобщенный характер. Даже когда руководство самостоятельно принимает решение, то общий интеллект в явных или неявных формах влияют на процессы разработки индивидуальных управленческих решений.

Управляемые части - это разные производственные и функциональные отделы, занятые снабжением производства. То, что поступает на вход управляемых частей, и то, что является ее выходами, зависит от вида компании. Так к примеру, если речь идет о деловой организации, реализующей экономическое управление, то на его вход поступает финансовое средство или его заменитель (ценная бумага, вексель, акция и др.). Выходом являются данные по управлению экономическими потоками и финансовыми средствами. Во множества случаях компании реализуют выплату наличных финансов. Для того чтобы согласовывать действия управляемой части, нужно применить системы научного управления, образованные Тейлором по его книге "Принципы научного управления", которая опубликовалась в 1911 году. Тейлор в первый раз отгородил процессы состовления планов трудовой деятельности от самого труда, выделив, следовательно, одну из главных управленческих функций. Главные положения системы данного научного управления выражаются таким образом как:

Формирование научного фундамента, который заменяет собой традиционные, реально сложившиеся способы деятельности;

Отбор и обучение работников на основании научных критериев;

Взаимодействие между руководствами и исполнителями с задачей практического внедрения научно разработанной системы организации трудовой деятельности;

Равномерное распределение затрат труда и ответственности между руководствами и исполнителями.

Позднее Г. Эмерсон выразил 12 принципов производительности труда, которые относятся к звену управления компанией, определив истинную миссию и назначение управленческого труда:

•Четко поставленная задача;

•Компетентные консультации;

•Дисциплина;

•Справедливые отношения к сотрудникам;

•Скорый, надежный, глубокий, верный, стабильный учет;

•Диспетчирование;

•Нормирование операций;

•Результативное составление планов;

•Нормализация условий трудовой деятельности;

•Стандартные письменные инструкции;

•Вознаграждение за производительность.

Наиболее отчетливые цели управления предприятием выразил Г. Файоль, ученик и последователь Тейлора. Г. Файоль является одним из основоположников научных теорий управления. Он определил 7 областей работы компании, которыми нужно управлять: техническую, коммерческую, экономическую, бухгалтерскую, административную и защитную.

По мнению данного ученого, наиболее свойственными целями управляющего звена являются:

•Составление планов общего направления действия и предвидение итога;

•"организация", т.е. распределение и управление применением материальных и человеческих ресурсов;

•Выдача распоряжений для поддержания действий сотрудников в оптимальном режиме,

•Координация разных действий для достижения общих задач;

•Выработка правил поведения сотрудников компании и проведение мероприятий по соблюдению данных правил;

•Надзор над поведением сотрудников компании.

Файоль выразил специфические признаки процессов управления в начале ХХ в. С тех пор в работе организаций произошли существенные перемены. Усложнилась их структура, научно-техническая революция в сфере естественных наук привела к появлению новых сложных технологий, быстрое внедрение средств вычислительной техники в разные сфере человеческой работы заметно повлияло на технологию принятия управленческих решений и на процедуру, которая носит название "надзор над выполнением решений". Изменились технологии экономического управления. В последнее время множество преобразования в данной области взаимосвязаны с внедрением электронных систем расчетов и электронных заменителей финансов.

1.2 Задачи управления современной деловой организацией

Основной характерной чертой работы деловой компании сегодня является деятельность в условии острой конкуренции не только внутри государства, но и на межгосударственных уровнях. Ускоренные развития средств коммуникаций, электронных средств, которые обеспечивают сохранность и обработку данных, приводят к появлению новых информационных сред, в которых работают компании. Это вызвало перемену требований, которые предъявляются к системе управления.

Нынешние системы управленческих функций могут быть представлены таким перечнем главных целей как:

•Координации и интеграции усилий сотрудников компании в направлении достижения общих задач;

•Организации взаимодействия и поддержки контактов между работающими группами и некоторыми членами компании;

•Сбор, анализ, обработка и хранение данных;

•Распределение материальных и человеческих ресурсов;

•Управление кадровым составом (разработка систем мотиваций, борьба с конфликтными ситуациями, надзор работы сотрудников компании и групп);

•Контакты с внешними компаниями, ведение переговоров, маркетинговая и рекламная работа;

•Инновационная работа;

•Составление планов, надзор за выполнением решений, коррекции работы в зависимости от перемены условий деятельности.

Безусловно, это не полный список целей, которые часто приходится решать руководствам компаний, руководителю и структурным отделам управляющего звена. В связи с данным в нынешней науке управления принято говорить об искусстве управления и сопоставлять его со сложной комбинационной игрой. Решение множества из указанных целей возможно только при условии применения в процессах управления самых новейших средств обработки данных и коммуникационных связей.

При оценке выше представленного перечня целей управления, становится бесспорным, что вопросы управления нынешней организацией в большинстве случаев взаимосвязаны:

•С усложнением структур предприятий;

•С развитием средств коммуникации как внутри компании, так и в общении с внешним миром;

•С присутствием значительного числа конкурентов, в связи со существенным развитием производственних процессов во всем мире;

Известно, что положительные и отрицательные особенности компании во многом зависят от персонала и от поведения сотрудников компании. Единство либо конфликты в коллективе, его устойчивость, уровень квалификации, сознательность сотрудников, их деловая активность и множество иных человеческих факторов устанавливают результативность управления организацией. В связи с данным в процессе управления предприятием, вместе с такими направлениями, как управление экономической, информационной либо административной службой компании, специально выделяются направления социально-психологического управления.

При решении вопросов стимулирования роста производительности применяются принципы, которые сформулированы в границах теории выбора менеджеров, владеющих социально-психологическими способами управления, теории реализации задач, теории удовлетворения нужд и теорий справедливости. Теории выбора менеджеров, владеющих социально-психологическими способами управления, образована на таких принципах как: 1.Конкретная часть сотрудников не любит организовывать свою трудовую деятельность. Данные люди, которые лишены какого бы то ни было честолюбия и инициативы. Они предпочитают, чтобы ими руководили, давали им вполне конкретные и определенные задания, чтобы о них заботились и чтобы их защищали. Таким людям необходимы требовательные, властные, жесткие и решительные руководители, обладающие способностью организовать труд подчиненных и убедить их в нужности функционировать "не покладая рук".

Второй принцип применим к людям, обладающим инициативой и значительным творческим потенциалом, с сильно развитым чувством собственного достоинства. При соответственном моральном и материальном поощрении они могут принести значительную пользу и организации, и себе. Данным работникам необходимы демократичные руководители, обладающие гибкостью, деликатностью и тактом.

В любом коллективе есть, обычно, и те, и иные люди, по данной причине руководство обязан быть квалифицированным и грамотным специалистом, знакомым с социально-психологическими способами управления и умеющим применять данные способы на практике.

Теория реализации задач образована на том, что в коллективе есть люди, которые могут хорошо функционировать только в том случае, если поставленные руководителем задачи будут достигаться, т.е. если их ожидания будут осуществляться, данные люди должны постоянно видеть итоги своей трудовой деятельности, в противоположном случае их работа парализуется. Теория реализации задач предлагает руководителю выбирать для данных людей быстро исполнимые задания и постоянно уведомлять их о пользе исполняемой ими деятельности.

Теория нужд образована на стимулировании работы людей при помощи удовлетворения его нужд и интересов. Заметим, что финансы не являются потребностью людей, это только средство для реализации данных нужд.

Теория справедливости образована на субъективном ожидании каждым человеком поощрения за его деятельность. Если сотрудник считает, что его коллега получил за ту же деятельность значительнее поощрение, чем он, то это, безусловно, будет негативно сказываться на его производительности. Теория справедливости требует от руководства, чтобы он учитывал пристальное внимание подчиненных к его действиям по отношению к иным.

Руководство, принимая то либо другие решения и реализуя его, обязан уметь устранять противоречия и управлять возникающими при этом конфликтыми, выражающимися в форме невосприимчивости, поляризации, столкновения, антагонизма. При этом он обязан занимать вполне конкретное и логически осмысленное место в схеме основных отношений сотрудников компании. Переход от полной поддержки к пику разногласий - антагонизму реализуется, обычно, понемногу в следующей последовательности.

Рисунок 2. Ступени развития разногласий

Покажем при помощи графической интерпретации реакцию подчиненных на управляющее влияние в случае появления разногласий.

организационный разногласие конфликт стратегия

 <#"908275.files/image004.gif">

Рисунок 4. Причины формирования конфликтных ситуаций и нормы их предупреждения

В теории и на практике применяется принцип, согласно которому все виды работ должны быть сгруппированы и составлены следовательно, чтобы каждый сотрудник подчинялся только одному руководителю и отчитывался только перед ним. Вспомним хорошо известный из истории принцип: "Вассал моего вассала - не мой вассал". Более того, рекомендуется, чтобы число работников, подчиненных одному руководителю, не было чрезмерным, так как любой руководство обладает ограниченной энергией, знаниями и квалификацией. Физически невозможно руководить значительным числом людей. При этом чем больше квалификация исполнителей, тем меньшее их число должно быть у руководства.

Арифметический рост количества подчиненных ведет к геометрическому росту числа взаимосвязей, которые находятся под надзором руководства (с учетом хорошых связей между подчиненными). Для вычисления количества потенциальных взаимосвязей между руководством и подчиненными можно воспользоваться зависимостью:


Где С - число потенциальных взаимосвязей; n - число подчиненных.

Используя данную формулу, подсчитаем число потенциальных взаимосвязей при разном числе подчиненных (от одного до 7):

n

1

2

3

5

6

7

С

2

9

19

50

90

205


Покажем это при помощи иллюстрации в случае одного, двух либо трех подчиненных. Если у руководства один подчиненный, то мы имеем только 2 линии взаимосвязи: когда руководство обращается к подчиненному или, наоборот, когда подчиненный обращается к руководителю.

При наличии двух подчиненных число потенциальных взаимосвязей становится равным 9 (с учетом того, что руководство может передать что-то второму подчиненному через первого и наоборот), а в случае трех подчиненных это число увеличивается до 19 и др.

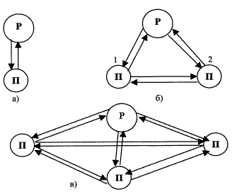
Бесспорно, что чем больше квалификация сотрудников, тем меньше число нужных производственных контактов между работниками, и тем значительнее непосредственных подчиненных у руководства. Причем у руководства низшего звена может быть значительнее подчиненных, чем у руководства высшего управляющего звена.

Рисунок 5. Взаимосвязь между руководителем (Р) и подчиненными (П): а - один подчиненный; б - два подчиненных; в - три подчиненных.

В каждой организации имеются основополагающие документы, регламентирующие штатный управленческий процесс: уставы, законодательные и нормативные акты, трудовые соглашения, должностные инструкции и др. При помощи данной документации устанавливается конкретный порядок и поддерживается трудовая и исполнителиская дисциплина. Но вместе с данным в компании постоянно происходят процессы, взаимосвязанные с несанкционированным управлением либо с самоуправлением.

Самоуправление является правом на внутреннее управление своими, местными силами, обеспечивающее автономную работа какой-либо системы. При самоуправлении управляющие факторы не влияют на управляемую систему извне, а появляются в ней самой. В технике самоуправляющиеся системы иногда называют приспосабливающимися, а в военной технике - самонаводящимися, к примеру, самонаводящиеся ракеты. В биологических системах это свойство получило название само регуляции. Оно выражается в способности систем устанавливать и поддерживать на конкретном и относительно постоянном уровне те либо другие физиологические либо биологические показатели.

Самоуправление присуще любой социальной системе, так как оно реализует потребность людей к свободомыслию, самовыражению и самоутверждению. В отличие от регламентного управления, иерархия подчинения в самоуправлении либо отсутствует вообще, либо выражена весьма слабо. Процесс самоуправления служит элементом демократизации общего управления при помощи прямого участия исполнителей в разработке стратегии развития компании, а значит, в нахождении оптимальных решений при достижении поставленной задачи.

Известны три принципа самоуправления.

Принцип сочетания управления и самоуправления образован на обязательном удовлетворении нужд и интересов сотрудников в части снабжения деятельности компании, безопасности и процветания организации. Соответственно с данным принципом в каждой компании управление и самоуправление должны сочетаться на каждом уровне управления: от руководства верхнего звена до исполнителя низшего звена.

Принцип вторичности образован на том, что самоуправление в компании не может быть первичным. Полностью самоуправляемая почти почти невозможна, так как любая компания должна руководствоваться законодательством и принятыми в обществе нормам, по-иному она будет ликвидирована. Даже предприниматель без образования юридического лица имеет право на полное самоуправление только в границах разрешенных сфер работы и налоговых регламентов. Принцип мягкой регламентации. Процесс самоуправления не может быть строго регламентирован законодательством и внутренними положениями компании. Самоуправление образовано на объективизме активных сотрудников. В случае жесткой регламентации со стороны административно-управленческих сотрудников самоуправление вырождается в обыкновенное управление с отчётливым соблюдением субординации и с неизбежной утратой порядка активизирующих нужд и интересов работников фирмы.

1.3 Структурирование управления организационными системами

Доля деловой организации, которая реализует функции управления, состоит из множества взаимодействующих звеньев и является управляющей системой, которая обеспечивает в границах организации исполнение порядка специфичных функций.

Понятие «организация» предусматривает установление последовательности взаимодействия некоторых элементов, которые входят в состав организационных систем.

Сегодня главным принципом построений разнообразных организационных систем - биологическая, технологическая, социальная - является иерархия. Понятие "иерархии" в дословном переводе с греческого языка переводится как «священная власть» был введен в использование полтора тысяч лет назад, в 5 веке нашей эры и использовался для характеристик организаций христианских общин.

По мере общественного развития применение этого понятия и интерпретация его значения конкретно переменились. Нас будет интересовать использование принципов иерархии к социальной системе, в том числе и к деловой организации.

В нынешней теории организаций определение "иерархии" используется, в большинстве случаев, для отображения вертикального подчинения между разными уровнями управления фирм: иерархии полномочий управления, иерархии функций и функциональных обязанностей - согласно подчинениям по деятельности, функциональные подчинения.

С иерархиями полномочий по управлению организацией близко связанно распределение ответственностей и компетенций, взаимосвязанных с работой компании. Отношения подчинений или отсутствия подобного подходяще изображается при помощи графических отображений, которые строятся по таким принципам как: если звено Б системы подчиняется звену А, то это обозначается стрелкой, устремленной вниз, а если звенья Б и В взаимосвязаны между собой конкретной системой слаженности на одном уровне, то эта связь отображается горизонтальной линией.

Рисунок 6. Графическое отображение вертикальных и горизонтальных связей в системе

Бесспорно, что в сложных структурах управления данное деление является чисто условным. В границах деловой организации иерархии предусматривают распределения полномочий властных или функциональных характеров не только вертикально, но и по горизонтально.

Согласованность по горизонтали определено разделениями функциональных обязанностей. Так к примеру, плановые и коммерческие отделы, бухгалтерия и отделы по работе сперсоналом в иерархической схеме распределения полномочий по управлению организацией находятся на одном уровне. По роду исполняемых функций они располагаются во взаимных контактах. В схемах функциональной согласованности это будет отображено присутствием горизонтальной связи между ними.

В первый раз модели отчетливой иерархической структуры управления были разработаны в начале 20 века немецким ученым Максом Вебером в теории бюрократии как наиболее результативной для того времени управляющей системы компании. Главным принципиальным положением теории было отчетливый раздел обязанностей и полномочий, из которых следовали такие требования к системе управления как:

•Применение квалифицированных специалистов на всех уровнях выполнения;

•Следование иерархиям управления, т. е. нижестоящая степень обязана подчиняться вышестоящему уровню;

•Присутствие формальных норм и правил для исполнения персоналом своих целей;

•Разработка квалификационных требований для всех должностных лиц.

Постепенно термин "бюрократии" превратился в нарицательное определение. Бюрократическая система лишилась множества черт своей рациональности и обернулась в группы людей, взаимосвязанных с управлением (чиновников).

Сегодня данное определение определяет вид управленческой деятельности, при котором сотрудники управленческого звена ставят свой индивидуальный или корпоративный интерес больше интересов организации и страны. Данное отношение к делу содействует развитию чиновничьего диктата как в финансовой области, так и в социальной.

Нынешний тип иерархической структуры управления имеет множество видов. Приведем краткое описание главных организационных структур.

Линейные структуры управления являются наиболее приемлемыми только для простой формы компании. Еее характерной чертой является: прямое влияние на все элементы организации и сосредоточение в одних руках всех функций управления. Данная схема хорошо функционирует в незначительных организациях при значительном профессионализме и авторитете руководства.

Рисунок 7. Линейные структуры управления.

В незначительных организациях с отчетливым разделением функциональных обязанностей приобрели также распространения структур в виде колец, звезд и колес.

Рисунок 8.Варианты структур: а - кольцо; б - звезда; в - колесо. Р - руководство; И - исполнитель

Линейно-функциональные структуры управления образованы на так называемых "шахтных" принципах построения и специализации управленческих процессов в зависимости от обязанностей, которые возложенны на замов руководства - функциональных менеджеров. К ним относят: коммерческого директора, заместителя директора по персоналу, по производственным вопросам, руководство информационных отделов, отделов по маркетингу и др.

Рисунок 9. Линейно-функциональные структуры управления

Линейно-штабные структуры управления представляют собой комбинированные структуры, сочетающие свойства линейной и линейно-функциональной структуры. Они предусматривают формирование специальных отделов (штабов) в помощь линейным руководствам для решения тех либо других целей, данные штабы готовят руководителям проекты решений по соответственным вопросам. Штабы не наделяются исполнителиной властью. Руководство само принимает решение и доводит его до всех отделов. Штабные схемы наиболее разумна, если нужно реализовать линейное управление (единоначалие) по основным позициям организации.

Рисунок 10. Линейно-штабные структуры управления

Матричные структуры управления представляют собой решетчатые организации, построенные на принципах двойного подчинения исполнителей: с одной стороны, прямому руководству функциональной службы, которая предоставляет сотрудников и техническую помощь руководителям проектов, с другой - руководителям проектов (целевой программы), которые наделены нужными полномочиями для реализации процессов управления соответственно с намеченным сроком, ресурсом и качеством. Матричные схемы используются при сложном, наукоемком производстве продукции, данных, услуг, знаний.

Рисунок 11. Матричные структуры управления

Программно-целевые структуры управления предусматривают формирование специальных органов управления краткосрочными и долгосрочными программами. Она направленна на снабжение всей полноты линейных полномочий в границах реализуемых программ.

Товарные структуры управления являются одним из вариантов программно-целевой структур. Они предусматривают возлагается на руководства, ответственного за программу выпуска определенного товара, всей ответственности за качество и сроки исполнения работ. Этот руководство наделяется всеми правами распоряжения в части производственной, сбытовой и вспомогательной работы, взаимосвязанной с изготовлением определенного товара либо ассортимента товаров. Проектные структуры управления основываются при разработках компанией проектов, под которыми понимаются любые процессы направленные изменений в системе управления либо в компании в общем, к примеру, модернизация производства, освоение новых технологий, строительство объектов и др. Управление проектом включает установление его задач, создание структуры, составление планов и организацию работ, координацию действий исполнителей. Одной из форм проектного управления является создание специального отделы - проектной команды, работающей на временной основе.

Функционально-объектные структуры управления предусматривают выделение в функциональных отделах наиболее высококвалифицированных работников, которые в дополнение к их функциональным обязанностям назначаются на руководящие должности определенной деятельности или объекта в данном отделе. Внутри отделов данные специалисты являются старшими при исполнении порученной деятельности не только в границах неизменно зафиксированных за ними функции, но и по всем иным проблемам.

Видом иерархического типа организации управления является очень сложные и разветвленные структуры, получившие определение дивизиональных структур управления, основные разработки которых относятся к 20-м годам, а пик реального применения - к 70-80гг. ХХ века.

Нужность новейшего подхода к организации управления была порождена острым ростом величины компаний, диверсификацией их работы и усложнением технологического процесса в условии активно изменяющейся внешней среды. Основными перестройки структур по данной модели начали крупные компании, которые в границах своих гигантских компаний (корпораций) стали формировать производственные отделения, дав им конкретную самостоятельность в реализации оперативной работы. При этом руководство оставило за собой права строгого контроля по общекорпоративным проблемам стратегий развития, научно-исследовательской разработке, инвестиции и др. По данной причине этот вид структуры часто характеризуется как совмещение централизованных координаций с децентрализованными управлениями (децентрализация при сохранении координации и контроля).

Основными фигурами в управлении компаниями с дивизиональной структурой становится не руководство функциональных отделов, а руководство, которое возглавляет производственное отделение. Структуризация компании по отделениям производят, как правило, по одному из таких критериев как:

•По выпускаемых товаров либо предоставляемым услугам;

•По ориентации на покупателя (покупательская специализация);

•По обслуживаемой территории (региональная специализация).

В итоге расширения границ оперативно-хозяйственной самостоятельности отделы могут разбираться как "центр доходов", активно применяющие данную им свободу для увеличения результативности деятельности.

В это же время дивизиональная структура управления приводит к росту иерархичности, т.е. вертикали управления, взаимосвязанной с нужностью создания промежуточного уровня менеджмента для координации деятельности отделений, групп и др., в которых управление строится по линейно-функциональным принципам. Повторение функции управления на разнообразных уровнях приводит к увеличению расходов на содержание аппарата управления.

В условиях рыночной экономики и жгучей конкуренции наиболее интенсивно развивается структура управления органического вида. Основным достоинством данных гибких структур является их способность стремительно подлаживаться к изменяющемся внешним условиям и модификации целевой установки.

К гибкой структуре отнесятся проектная и матричная структура. Для них свойственна самостоятельная деятельность отделов, что дает вероятность руководству отделов самому принимать решения и налаживать функциональные связи по горизонтали.

Несмотря на то, что иерархическая структура управления сегодня признана во всем мире наиболее результативной, она обладает рядом значительных минусов, а собственно:

•Вызывают между людьми отношения подчинения, зависимости финансового и социального характера;

•Дают е право одним сотрудникам принимать решения в отношении иных, ставя последних в личную зависимость от первых;

•Допускают, чтобы меньшинство принимало решение за большую часть;

•Не позволяют полностью регламентировать работа сотрудника управленческого звена;

•Решение ряда проблем отдается на личное усмотрение руководства, что может быть применено им в корыстных целях.

Наличие в любых иерархических системах указанных минусов ведет к тому, что со временем в работе компании накапливается воздействие негативных тенденций. Часто их называют отклонениями систем управления по аналогии с медицинским определением, которое характеризует наличие болезненного отклонения в организме людей. Если не принять соответствующих мер по коррекции действия системы управления компанией, то начинает появляться проблемная ситуация, которая, в итоге, может привести к краху всей фирмы.

Превалирование в работе лиц, которые принимают решение, мотива приобретения, их стремления к личному обогащению в сочетании с вероятностью выбирать те решения, которые приносят им личные выгоды, ведут к развитию коррупции. Этот тип патологий потрясает компании свободно от их величины и вида работы. Он имеется в органах государственного управления и даже в фирмах, занимающихся решениями финансовых проблем на межгосударственных уровнях.

Стремление руководства деловой организации к излишнему проявлению своей полномочий в финансовом и социальном плане приводит к появлению конфликтов, которые лишают людей возможности нормально функционировать, отвлекают их на решение проблем, не взаимосвязанных с главной задачей работы организации. Все это в конце концов ведет к понижению производительности труда.

Главная сложность борьбы с указанными недостатками заключается в том, что они носят объективный характер и присущи любой иерархической системе управления. Тем не менее за множество годы удалось выделить главные направления преодоления развития патологий организационных систем.

Среди них можно выделить два основных направления стратегического характера. Первое взаимосвязано с нужностью усовершенствования органов государственного контроля, в том числе работы судебной системы, и усилением их позитивного воздействия на деятельность деловых организаций. В рамки этого направления входит разработка законодательных актов, которые регулируют финансовую работу. Второе - с введением в иерархическую систему управления деловых организаций способов управления, характерных для общественных организаций.

Бесспорно, что результативное влияние органов государственной полномочий на деловые организации возможно только в том случае, если государственная система построена на принципах, препятствующих развитию отрицательных тенденций в системе управления самого государственного аппарата. Подобные государственные системы принято характеризовать как демократические.

Исполнителиная власть в демократических системах построена на основании строгой иерархии, но надзор за ее работой возлагается на демократические институты управления, которые применяют коллективные принципы управления. В том числе: выборность менеджеров и создание аппарата управления на выборной основе (всеобщие выборы, тайное голосование, равноправие при выдвижении кандидатов и др.), равный доступ всех работников компании к данных, коллегиальный способ принятия решений.

В качестве примера применения в структурах управления деловых организаций приемов, характерных для общественных организаций, можно привести устав акционерного общества, где оговорены права общего собрания при решении отдельных основных проблем управления компанией и предусмотрена выборность руководства.

Характеризуя влияние внешних компаний на работа системы управления компанией, нужно также отметить, что в демократических государственных системах предусмотрена и законодательно закреплена вероятность воздействия общественных организаций, действующих на региональном, профессиональном, групповом либо даже государственном уровне на деловые организации. Это, в частности, региональные и профессионально направленные профсоюзные организации, общества защиты прав покупателей, общества защиты окружающей среды и защиты животных.

При устранении минусов иерархических структур особенную роль приобретает разработка способов обнаружения отклонений от нормы в работе деловых организаций уже на начальном этапе их развития (диагностика заболевания по аналогии с обнаружением болезней людей) и реформирования системы управления (лечение).

Методы борьбы с недостатками иерархических систем нужно отнести к процедурам оперативной коррекции работы деловой организации.

2. АНАЛИЗ КОНФЛИКТОВ ОРГАНИЗАЦИИ ООО "РАМОРАМА"

2.1 Оценка конфликтов в компании ООО "Рамо Рама"

Для оценки конфликтных ситуаций в компании, а также для анализа психологического климата в коллективе было проведено изучение, в котором принимал участие трудовой коллектив организации - руководители, руководители отделов, рабочий состав.

Способы исследования ООО "Рамо Рама":

) Лонгитюдные наблюдения;

) Психологические тестирования работников организации ООО "Рамо Рама" проводилось по таким методам как:) Тесты описания поведения К. Томаса.

Б) Тесты "Самоконтроль в общении».) Тесты "Твоя конфликтность".

) Анкетирования.

Первостепенный этап изучения охватывал в определении способом наблюдения мнения о каждом респонденте, его личностных и поведенческих особенностях.

Таблица 1 - анализ личностных качеств сотрудников по итогам наблюдения

Испытуемые

Личностные и поведенческие нюансы

1

Добродушность, спокойность, открытость, общительность

2

Напористость, скрытность, общительность, склонен к конфликтному поведению

3

Общительность, немного суетливый, добродушность, веселый, с хорошим чувством юмора

5

Необщительность, упрямый, скрытность, хорошо знает свое дело, склонен к конфликтному поведению

6

Любознательность, открытость, всегда поддержит беседу по любому вопросу, в общении легок.

7

"Себе на уме", общительность, но скрытность, уходит от конфликтных ситуаций, всегда находит компромисс либо оправдание

8

Неуверенность, застенчивый, мягкотелый, пытается всем угодить

9

Мягкий, спокойность, общительность, дружелюбность

9

Резкий, необщительность, склонность к конфликтным ситуациям

10

Суетливый, общительность, добродушность, бесконфликтность

11

12

Не терпеливый, вспыльчивый, общительность, конфликтность

13

В общении настороженность, застенчивый, говорит только по существу, бесконфликтность

15

Развязность, говорит с сарказмом, неуместно шутит, склонен к конфликтным ситуациям

16

Тихий, спокойность, добродушность, бесконфликтность


Данные наблюдения говорят о том, что 7 человек в группе склонны к формированию конфликтов: 2 сотрудника из них отличаются резкостью, напористостью в общении, в то же время они общительны, хотя часто могут формировать конфликтные ситуации; 2 сотрудник из 7, склонных к конфликтным ситуациям, также являются общительными людьми, но в тоже время они развязны, многословны, отпускают неуместные шутки - неприятны в общении, что является основанием формирования ими конфликтов; и двух сотрудник в конфликтной группе отличает необщительность, скрытность, упрямость.

Далее охарактеризуем бесконфликтную группу работников организации, в данную группу в которую входят 9 сотрудник, среди них можно выделить 5 сотрудник, которые отличаются веселым нравом, болтливостью, добродушием, открытостью; 3 сотрудник отличается спокойствием, уравновешенностью, дружелюбием; 2 сотрудник застенчивы, неуверенно в себе, стремящиеся всем угодить.

Следовательно, итоги наблюдения говорят о том, что в группе 50% людей, которые способны формировать конфликты и 70% бесконфликтные в общении.

Таким этапом эмпирического исследования было психологическое тестирование работников организации.

Цели тестирования заключаются в:

) выявление уровеня общительности;

) определение уровеня коммуникативного самоконтроля;

) определение стиля конфликтного поведения работников организации.

Разбор приобретенных данных показал, что 5 респондента обладают значительным уровнем общительности - данные люди всюду чувствуют себя в своей тарелке, но не всегда доводят дело до конца. 8 сотрудник обладает средним уровнем общительности, его характеризуют любопытность, разговорчивость, но им недостает усидчивости, терпения при столкновении с серьезными вопросами. 5 сотрудник отличатся низким уровнем общительности - они замкнуты, предпочитают одиночество.

Разбирая уровень самоконтроля в общении, приходим к выводу, что большая часть работников организации (8 сотрудников) обладают значительным уровнем коммуникативного контроля, они легко входят в любое значение, гибко реагируют на перемена ситуации, в состоянии даже предвидеть впечатление, которое произведут на окружающих. Четыре сотрудника обладают средним уровнем коммуникативного контроля, их отличает искренность, но не сдержанность в эмоциональных проявлениях. У четырех мастеров обнаружен низкую степень самоконтроля в общении, что характеризует их поведение как устойчивое, они не считают необходимым изменяться в зависимости от ситуации, некоторые считают их "неудобными в общении".

Рассматривая показатели стиля конфликтного поведения у работников организации, мы выявили, что 8 сотрудник предпочитают сотрудничество в конфликтах, характеризующееся тем, что участники конфликтных ситуаций приходят к альтернативе, удовлетворяющей интересы отдельных сторон. Три сотрудника из них кроме сотрудничества также могут пойти на компромисс в конфликтах. Соперничество в конфликте характерно для трех работников, а пять сотрудник предпочитают избегать конфликтных ситуаций, хотя если этого не удается, 5 сотрудник из них способны пойти на компромисс. Следовательно, для группы характерен среднюю степень общительности, значительный коммуникативный самоконтроль и поиск сотрудничества в конфликтах.

Последним этапом исследования было интервью, задача которого выявить причины появления конфликтов в организации, а также условия преодоления конфликтов.

Итоги анкетирования говорят о том, что 56% конфликтов в организации ООО "Рамо Рама" появляются в общении с коллегами по работе, 50% конфликтов в организации появляются в общении с руководителями, и, соответственно, 16% конфликтов появляются в общении с потребителями.

Для оценки конфликтных ситуаций в компании, а также для анализа психологического климата в коллективе было проведено анкетирование сотрудников.

Основу коллектива составляют сотрудники со стажем в организации от года до 3 лет. Почти столько же работают в организации менее года. В большинстве случаев это руководители. Руководители же имеет более продолжительный стаж.

Главной контингент сотрудников составляют рабочие (мастера, дизайнеры - руководители), далее идут служащие - 89%. Руководители составляет наименьшую часть сотрудников.

Большая часть работников своей работой довольны данное можно проанализировать позитивно. Но, если сотрудник абсолютно доволен своей работой, это может означать, что он не намерен самосовершенствоваться.

% сотрудников не считают себя конфликтными людьми. Возможно, такая самооценка была необъективна.

На вопрос: Легко ли Вы находите общий язык с коллегами? Ответы такие как: постоянно натыкаюсь на стену непонимания, всегда нахожу, чаще нет, чаще да. Что примечательно, работники, отнесшие себя к высшему руководству, а также большая часть рядовых сотрудников, ответили "Всегда". А вот руководство среднего звена, а также часть служащих испытывают усложнения во взаимопонимании.

На вопрос: Часто ли Вы становитесь участником конфликтов. Ответы такие как: моя хата с краю, без меня не обходится, редко, часто.

Следовательно, до высшего руководства конфликты в коллективе доходят редко. Чаще всего вовлеченными оказываются руководство среднего звена (подразделений), причем в большинстве случаев либо с дизайнерами - руководителями, либо между собой. Служащие же предпочитают придерживаться нейтралитета, что объяснимо - они самый молодой контингент в организации.

На вопрос: Как часто происходят конфликты? Ответы такие как: каждый день, раз в неделю, два раза в неделю, реже. В большем количестве случаев конфликты случаются раз-два в неделю.

Почти 90% сотрудников уверены, что кто-то либо не исполняет свои обязанности, либо исполняет чужие. Такая ситуация может быть при недостоверном знании работниками своих должностных обязанностей. Но 80% работников заявляли, что довольны своей работой, они знают, что нужно делать им и их коллегам. Таким образом, обязанности они знают, но данные обязанности не согласованы между собой.

Сотрудники осознают нужность перемены, в первую очередь, системы распределения полномочии и ответственности.

Большая часть сотрудников убеждены, что появляющиеся конфликты не содействуют улучшению положения вещей. Но, несмотря на это число конфликтных ситуаций растет.

Таблица 2 - Число конфликтных ситуаций в ООО "Рамо Рама" в 2011-2013 годах

 

Число конфликтных ситуаций

Темп прироста, %

Всего:

69

76

85

12,08

13,96

- между отделами

38

50

59

9,11

22,6

- между администрацией и сотрудниками

15

17

18

15,29

7,26

- между сотрудниками

8

9

9

29,68

-11,11


За последние два года число конфликтных ситуаций в ООО "Рамо Рама" увеличивается на 12-13% каждый год. Основным образом, на это влияют конфликты между отделами - возросли на 9% в 2012 г. и на 22% в 2013 г. Темп роста количества конфликтных ситуаций сотрудников с администрацией имеет тенденцию к уменьшению - 15% в 2012 г. и 7% в 2013 г. Число конфликтных ситуаций среди сотрудников несущественное - около 9 в год, и в 2013 г. уменьшилось на 11%.

Динамика роста общего количества конфликтных ситуаций повторяет динамику роста конфликтных ситуаций между руководителям. Следовательно, уменьшив число конфликтных ситуаций между начальниками подразделений можно повлиять на снижение общего количества конфликтов в организации.

По результатам анкетирования можно подвести итог, что причинами конфликтных ситуаций между руководителями подразделений являются такие как: - Недостоверно четкое разграничение полномочий, формальный характер матрицы ответственности;

Дублирование функций;

Плохо соблюдается принцип единоначалия.

Это в результате того, что в компании до настоящего времени нет четко проработанных и обязательных для выполнения должностных инструкций, регламентирующих права и обязанности каждого начальника отдела. В итоге неслаженная работа руководителей подразделений проявляется в нерезультативной работе подчиненных, вызывая тем самым уменьшение выработки и понижение объемов производства при сравнении с планом. Следовательно, для перемены сложившейся ситуации нужно предпринять меры организационного характера.

2.2 Стратегия предупреждения конфликтных ситуаций в ООО "Рамо Рама"

В первую очередь, предлагается выработать для руководителей подразделений отчетливые должностные инструкции, которые регламентируют полномочия и ответственность определенно каждого. Снабдить принцип единоначалия, чтобы, к примеру, руководство одного отдела не вмешивался в деятельность другого.

Нужно выделить отдельные помещения для деятельности с покупателями и другими деловыми партнерами. Провести систематику документации, касающихся потребителей организации, восстановить недостающую, упорядочить базу данных.

Таким этапом должно стать мероприятие по предотвращению новых конфликтных ситуаций.

Управление разногласиями предполагает как регулирование уже начавшихся противостояний, но и формирование условий для их предотвращения. Причем наиболее значительную существенность из двух указанных целей управления имеет профилактические способы. Собственно хорошо поставленная деятельность по предотвращениям конфликтных ситуаций обеспечивает уменьшение их количества и исключение потенциала появления деструктивных конфликтов.

Вся работа по предотвращению конфликтных ситуаций представляет собой одно из определенных выражений человеческой способности рассматривать детально теоретические и эмпирические данные и на данной основе предсказывать, планировать будущее, распространяя, следовательно, сфера узнанного на еще непознанное. Данная человеческая способность имеет особенную роль в управленческой работе. Правильно заявляют, что возглавлять - значит предугадывать.

Профилактические действия конфликтных ситуаций и представляют данный тип управленческой работы, который состоит в заблаговременном распознании, ликвидации или смягчении конфликтных факторов и ограничении таким с помощью возможности их появления или деструктивного развития в будущем. Успех данной работы определяется рядом предпосылок:

) знанием общих принципов управления социальными компаниями, формулируемых нынешней теорией менеджмента, и умением использовать их для оценки конфликтов;

) уровнем общетеоретических знаний о сути конфликтных ситуаций, его причинах, видах и этапах развития, которые выражаются конфликтологией;

) основательностью оценки на данной общей теоретической основе определенной пред конфликтах, которая в каждом отдельном случае оказывается уникальной и требующей особого комплекса способов и средств по ее улаживанию;

) уровнем соответствия избранных способов корректировки сложившейся опасной ситуации ее определенному содержанию; эта адекватность применяемых средств реальной ситуации зависит не только от глубины теоретических знаний возможных участников конфликтных ситуаций, но и от их умения опереться на свой опыт и интуицию.

Из этого нужно, что работа по предотвращению конфликтных ситуаций является очень непростым делом. По данной причине возможности профилактической работы не нужно переоценивать, хотя ею нельзя и пренебрегать. Для снабжения ее результативности нужно ясно видеть те сложности, которые подстерегают на данном пути.

Есть ряд препятствий, понижающих вероятность предотвращения конфликтных ситуаций, направление их развития в конструктивное русло.

Первое препятствие имеет психологическую природу и взаимосвязано с таким родовым качеством человеческой психологии, которое характеризуется как стремление людей к свободе и независимости. В связи с данным люди воспринимают, обычно, отрицательно всякие попытки вмешательства в их взаимоотношения, оценивая подобные действия как выражение стремления ограничить их независимость и свободу.

Второе - наличие некоторых общепринятых нравственных норм, которые регулируют человеческие взаимоотношения. Исходя из них, люди считают свое поведение сугубо личным делом, а вмешательство третьего лица разбирают как нарушение общепринятых норм нравственности, одной из которых является неприкосновенность личной жизни.

Третье препятствие имеет правовой характер и взаимосвязано с тем, что в государствах с развитыми демократическими традициями некоторые общечеловеческие нормы нравственности приобрели форму правовых норм, охраняющих главные права и свободы личности. Их нарушение в той либо другой форме может быть квалифицировано не только как не вполне нравственное, но и как противоправное, тем более что в ряде государств уже приняты специальные законоположения, воспрещающие компаниям вмешиваться в личную жизнь своих работников.

По данной причине успешная работа по предотвращению конфликтных ситуаций может вестись только в рамках, устанавливаемых:

) психологическими,

) нравственными,

) правовыми требованиями к регулированию человеческих взаимоотношений.

Причем такая работа становится разумной только в том случае, если появилась настоящая опасность перерастания личных или групповых взаимоотношений в разрушительную, деструктивную форму, данную, к примеру, как разрыв личных взаимоотношений, распад семьи, развал трудовой группы, межклассовые, межэтнические или межгосударственные столкновения. Профилактическая деятельность конфликтных ситуаций представляет собой по своей сущности влияние на те социально - психологические явление, которое может стать элементом структуры будущих конфликтных ситуаций, на его участников и на применяемые ими ресурсы. Так как каждый конфликт взаимосвязан с ущемлением тех либо других нужд и интересов людей как материальных, так и духовных, начинать его предотвращение нужно с его дальних, глубинных предпосылок, с обнаружения тех причин, которые вероятно содержат в себе вероятность конфликтных ситуаций.

В работе по предотвращению конфликтных ситуаций любого вида нельзя надеяться на применение каких-то быстродействующих, чудодейственных средств. Это деятельность не разовая, а систематическая, повседневная, будничная. Наиболее надежным методом прафилактических действий конфликтных ситуаций является формирование в компании, в коллективе данный нравственно-психологической среды, которая понижает вероятность появления агрессивных устремлений, ведущих к тяжелым конфликтам.

Универсальным методом предупреждения конфликтной ситуации является проведение направления, на укрепление сотрудничества, реализуемое как на социальном, так и на психологическом уровне.

Поддержание и укрепление сотрудничества, отношений взаимовыручки является центральной проблемой всей тактики предотвращения конфликтных ситуаций. Ее решение носит комплексный характер и содержит способы социально-психологического, организационно - управленческого и морально-этического характера.

Существеннейшие из социально-психологических способов, направленных на корректировку мыслей, чувств и настроений людей, такие как:

. Способ согласия предполагает проведение мероприятий, направленных на вовлечение потенциальных конфликтных ситуаций в общее дело, в ходе реализации которого у возможных неприятелей появляется более либо менее обширное поле общих интересов, они лучше узнают друг друга, привыкают сотрудничать, совместно разрешать появляющиеся проблемы.

. Способ доброжелательности, или эмпатии, развития способности к сопереживанию и сочувствию иным людям, к пониманию их внутренних состояний предполагает выражение нужного сочувствия, партнеру, готовности оказать ему практическое помощь. Этот способ требует исключения из взаимоотношений немотивированной враждебности, агрессивности, невежливости. Применение этого метода особенно существенно в кризисных ситуациях, когда выражение сострадания и сочувствия, обширная и оперативная информация о происходящих событиях приобретают особенно существенную роль.

. Способ сохранения репутации партнёра. При появлении любых разногласий, чреватых разногласиями, существеннейшим способом предотвращения отрицательного развития событий является признание достоинства партнера, выражение должного установления к его личности. Признавая достоинство и авторитет оппонента, мы тем самым стимулируем соответственное отношение партнера к нашему достоинству и авторитету. Этот способ применяется не только для предотвращения конфликтных ситуаций, но и при любых формах межличностного общения.

. Еще одним эффективным инструментом прафилактических действий конфликтных ситуаций является способ взаимного дополнения. Он предполагает опору на данные способности партнеров, какими не располагаем мы сами. Так, люди творческие нередко не склонны к монотонной, рутинной, технической работе. Но для успеха дела необходимы и те, и иные. Способ взаимные дополнения особенно значителен при создании работников групп, которые в этом случае часто оказываются очень прочными. Нередко прочными оказываются и семьи, при формировании которых, так либо иначе, учитываются требования метода дополнения. Учет и умелое применение не только способностей, но и минусов людей, которые тесно взаимосвязаны друг с другом, помогают укрепить взаимное доверие и установление людей, их сотрудничество, а, таким образом, помогают избежать конфликтных ситуаций.

. Способ недопущения дискриминации людей требует исключения подчеркивания превосходства одного партнера над иным, а еще лучше - и каких бы то ни было отличий между ними. С данной задачей в практике управления, в особенности в японских компаниях, часто применяются элементы уравнительного материального поощрения всех функционирующих в компании. Безусловно, можно критиковать уравнительные способы распределения как несправедливые, уступающие методам индивидуального вознаграждения. Но с точки зрения прафилактических действий конфликтных ситуаций уравнительный способ распределения имеет несомненные достоинства, позволяя избежать появления данных отрицательных эмоций, как чувство зависти, обиды, которые способны спровоцировать конфликтное противоборство. По данной причине в интересах увеличения анти конфликтного потенциала компании разумно делить заслуги и награды на всех, даже если они в существенной части принадлежат кому-то одному. Этот принцип обширно используется в повседневной жизни.

. В конечном итоге, последний из психологических методов предотвращения конфликтных ситуаций заимствуется у специалистов по тренировке животных, у дрессировщиков, которые, как известно, всегда поощряют своих воспитанников за хорошо исполненные команды. Этот способ условно может быть назван способом психологического поглаживания. Он предполагает, что настроения людей, их чувства поддаются регулированию, нуждаются в конкретной поддержке. Для этого практика выработала много методов, данных, как юбилеи, презентации, разные формы проведения членами трудовых коллективов совместного отдыха, данные и подобные им мероприятия снимают психологическое напряжение, содействуют эмоциональной разрядке, вызывают позитивные чувства взаимной симпатии, и следовательно, формируют нравственно-психологическую атмосферу в компании, усложняющую появление конфликтных ситуаций.

Обобщая сказанное, нужно подчеркнуть, что предупреждению конфликтных ситуаций содействует все, что обеспечивает сохранность нормальных деловых отношений, укрепление взаимного установления и доверия. Общие рекомендации нужно выработать из оценки оснований слабого уровня взаимоотношений в компании из минусов организации управления. Все данные причины можно свести к такому как:

) отсутствию ясной должностной инструкции, определяющей совокупность обязанностей сотрудников, четко определяющих значение в обще групповой работе каждого. Тем самым усложняется вероятность верной и объективной анализа исполнения каждым работником своих служебных обязанностей, чем и формируются условия для конфликтов;

) отсутствию, в связи с данным, у сотрудника полного понимания отведенной ему позиции, предъявляемых к нему требований и преобладанию в его настроениях чувства неуверенности и тревоги;

) противоречивым, обычно, завышенным ожиданиям поощрений за свою деятельность, которые часто определены многом функций, которые работник вынужден исполнять, порою расходуя на них много сил.

Безусловно, данные и им подобные отрицательные проявления слабого уровня взаимоотношений будут благополучно преодолены только при условии, если им будут противопоставлены отчетливые "нормы игры". Причем данные нормы должны быть не привнесены извне, а выработаные на месте, усилиями самих работников. Особенную роль на организационно-управленческом уровне имеет формирование в коллективах данный обстановки, которая содействует общению, тесному взаимодействию между работниками. Это обеспечивается такими организационными мероприятиями как: 1) многопрофильной, всесторонней подготовкой работников, рассчитанной на то, чтобы каждый сотрудник знал не только свою деятельность, но и то, как исполняются деятельности иных;

) формированием данный системы распределения деятельности, при которой исполнение одной ее части зависит от исполнения другой, и следовательно появляются условия взаимозависимости в работы сотрудников;

) специальным стимулированием взаимодействия работников, их вознаграждением за взаимопомощь;

) регулярной ротацией, движением персонала, позволяющим работникам полнее понять задачи компании, увидев их с разнообразных ступеней служебной лестницы.

Как показывает опыт, линия на развитие сотрудничества имеет существенные достоинства перед альтернативной линией на развитие конкуренции и соперничества между сотрудниками. Нынешние руководители делают основную ставку на развитие линии сотрудничества, хотя и не отвергают полностью значения соревнования и соперничества в работы компаний.

Собственно на развитие и укрепление сотрудничества направлены все способы и средства управления не только на социально-психологическом и организационном, но и на морально-этическом уровне.

Таким образом, система мероприятий по предупреждению конфликтных ситуаций в ООО "Рамо Рама" сводится к следующему:

) разработка не только для менеджеров всех звеньев, но также для работников и служащих, отчетливых и обязательных для исполнения должностных инструкций;

) установление и ликвидация главных причин конфликтных ситуаций;

) проведение психологических семинаров и тренингов. Нужно вычислить финансовую результативность предложенных мероприятий.

ЗАКЛЮЧЕНИЕ


Системы управления компаниями содержат совокупность всех служб в фирме, всех подсистем и коммуникаций между ними, а также процессов, которые обеспечивают заданную работу.

Управление компанией является непрерывным процессом воздействия на производительность сотрудников, группы либо компании в общем для наилучших итогов с позиций достижения поставленной задачи.

Процессы управления предусматривает согласованные действия, которые и обеспечивают в итоге реализация общей задачи либо набора задач, стоящих перед компанией. Для координации действий обязан иметься специальный орган, который реализует функцию управления.

Управляемая часть является разные производственные и функциональные отделы, занятые снабжением производства. То, что поступает на вход управляемой части, и то, что является ее выходом, зависит от типа компании. Так к примеру, если речь идет о деловой компании, реализующей экономическое управление, скажем, о банке, то на его вход поступают финансовые средства или их заменители (ценные бумаги, векселя, акции и др.).

Известно, что успех и неудача компании во многом зависят от персонала и от поведения сотрудников компании. Сплоченность либо конфликтность коллектива, его устойчивость, уровень квалификации, сознательность сотрудников, их деловая активность и множество иные человеческие факторы устанавливают результативность управления организацией.

Сегодня главным принципом построения любых организационных систем - биологических, технологических, социальных - является иерархия. Понятие "иерархия" в буквальном переводе с греческого - священная власть был введен в применение полтора тысячелетия назад, в V веке нашей эры и использовался для характеристики компании христианской общины.

Основной характерной чертой работы деловой компании сегодня является деятельность в условии острой конкуренции не только внутри государства, но и на межгосударственных уровнях. Ускоренные развития средств коммуникаций, электронных средств, которые обеспечивают сохранность и обработку данных, приводят к появлению новых информационных сред, в которых работают компании. Это вызвало перемену требований, которые предъявляются к системе управления.

В рассматриваемой организации впервую очередь, предлагается выработать для руководителей подразделений отчетливие должностные инструкции, регламентирующие полномочия и ответственность определенно каждого. Снабдить принцип единоначалия, чтобы, к примеру, руководство одного отдела не вмешивался в деятельность другого.

Система мероприятий по предупреждению конфликтных ситуаций в ООО "Рамо Рама" сводится к следующему:

) разработка не только для менеджеров всех звеньев, но также для работников и служащих, отчетливых и обязательных для исполнения должностных инструкций;

) установление и ликвидация главных причин конфликтных ситуаций;

) проведение психологических семинаров и тренингов. Нужно вычислить финансовую результативность предложенных мероприятий.

Обобщая сказанное, нужно подчеркнуть, что предупреждению конфликтных ситуаций содействует все, что обеспечивает сохранение нормальных деловых отношений, укрепляет взаимное установление и доверие.

СПИСОК ЛИТЕРАТУРЫ


1.       Анцупов А.Я. Конфликтология: учебник для вузов / А.Я. Анцупов, А.И. Шипилов - 4-е изд. исп. и доп. М.: Эксмо, 2009. - 512с.

.        Анцупов А.Я., Баклановский С.В. Конфликтология в схемах и комментариях: учебное пособие 2-е изд. перераб. - СПб.: Питер, 2009. - 304с.

.        Базаров, Т.Ю. Управление персоналом. Практикум: Учебное пособие для студентов вузов / Т.Ю. Базаров. - М.: ЮНИТИ-ДАНА, 2012. - 239 c.

.        Бухалков, М.И. Управление персоналом: развитие трудового потенциала: Учебное пособие / М.И. Бухалков. - М.: НИЦ ИНФРА-М, 2013. - 192 c.

.        Веснин, В.Р. Управление персоналом в схемах: Учебное пособие / В.Р. Веснин. - М.: Проспект, 2013. - 96 c.

.        Волков Б.С. Конфликтология: уч. пособие для студ. высших уч. завед / Б.С. Волков, Н.Д. Волкова. Изд. 3-е исп и доп. М.: Академический проект; Фонд «Мир», 2007. - 400с.

.        Глазл Ф. Конфликтменеджмент. Настольная книга руководителя и консультанта: Пер. с нем./Глазл Ф. . - Калуга:Духовное познание, 2002. - 516 с.

.        Гришина Н.В. Психология конфликта. 2-е изд. - СПб.: Питер, 2008. - 544с.

.        Дмитриев А.В. Конфликтология: учебник / А.В. Дмитриев. Изд-во 3-е, перераб. - М.: Альфа-М; ИНФРА-М, 2009 - 336с.

.        Емельянов С.М. Практикум по конфликтологии, 3-е изд. СПб.: Питер, 2009. - 384с.

.        Зайцева, Н.А. Управление персоналом в гостиницах: Учебное пособие / Н.А. Зайцева. - М.: Форум, НИЦ ИНФРА-М, 2013. - 416 c.

.        Ивановская, Л.В. Управление персоналом: теория и практика. Кадровая политика и стратегия управления персоналом: Учебно-практическое пособие / Л.В. Ивановская. - М.: Проспект, 2013. - 64 c.

.        Ильин Е.П. Пол и гендер. - СПб.: Питер, 2010 -688с.

.        Каштанова, Е.В. Управление персоналом: теория и практика. Управление деловой карьерой, служебно-профессиональным продвижением и кадровым резервом: Учебно-практическое пособие / Е.В. Каштанова. - М.: Проспект, 2013. - 64 c.

.        Кибанов А. Я., Коновалова В. Г., Белова О. Л. Управление конфликтами и стрессами; Проспект - Москва, 2013. - 566 c.

.        Кибанов, А.Я. Управление персоналом: Теория и практика. Оценка экономической и социальной эффективности управления персоналом организации: Учебно-практическое пособие / А.Я. Кибанов. - М.: Проспект, 2012. - 48 c.

.        Козырев Г.И. Конфликтология: учебник/ Г.И. Козырев. Москва: ИД «Форум»: ИНФРА-М, 2010. - 304с.

.        Козырев Г.И. Основы конфликтологии: учебник / Г.И. Козырев 2-е изд; перераб. и доп. М.: ИД «Форум»: ИНФРА-М, 2010 -240с.

.        Колесникова, М.Н. Управление персоналом библиотеки: Учебно-практическое пособие / М.Н. Колесникова. - СПб.: Профессия, 2011. - 192 c.

.        Ловчева, М.В. Управление персоналом: теория и практика. Делопроизводство в кадровой службе: Учебно-практическое пособие / М.В. Ловчева. - М.: Проспект, 2013. - 80 c.

.        Лукьянова, Т.В. Управление персоналом: Теория и практика. Управление инновациями в кадровой работе: Учебно-практическое пособие / Т.В. Лукьянова. - М.: Проспект, 2012. - 72 c.

.        Маслова, В.М. Управление персоналом: Учебник для бакалавров / В.М. Маслова. - М.: Юрайт, 2013. - 492 c.

.        Минделл Арнольд Процессуально-ориентированная работа с конфликтами. Глубинная демократия открытых форумов. Практические шаги к предупреждению и разрешению конфликтов в семье, на рабочем месте и в мире; Беловодье - Москва, 2011. - 256 c.

.        Митрофанова, Е.А. Управление персоналом: Теория и практика. Организация обучения олнительное профессиональное образование персонала: Учебно-практическое пособие / Е.А. Митрофанова. - М.: Проспект, 2012. - 72 c.

.        Оксинойд К. Э., Розина Е. В. Управление персоналом: теория и практика. Управление социальным развитием и социальная работа с персоналом организации; Проспект - Москва, 2013. - 674 c.

.        Оксинойд, К.Э. Управление персоналом: теория и практика. Управление социальным развитием и социальная работа с персоналом организации: Учебно-практическое пособие / К.Э. Оксинойд. - М.: Проспект, 2012. - 64 c.

.        Потемкин, В.К. Управление персоналом: Учебник для вузов / В.К. Потемкин. - СПб.: Питер, Лидер, 2010. - 432 c.

Похожие работы на - Управление разногласиями в организации

 

Не нашли материал для своей работы?
Поможем написать уникальную работу
Без плагиата!
Без нейросетей!