Основные тенденции развития рынка деривативов

  • Вид работы:
    Курсовая работа (т)
  • Предмет:
    Мировая экономика, МЭО
  • Язык:
    Русский
    ,
    Формат файла:
    MS Word
    608,95 Кб
  • Опубликовано:
    2017-12-08
Вы можете узнать стоимость помощи в написании студенческой работы.
Помощь в написании работы, которую точно примут!

Основные тенденции развития рынка деривативов

СОДЕРЖАНИЕ

ВВЕДЕНИЕ

ГЛАВА 1. ИСПОЛЬЗОВАНИЕ ДЕРИВАТИВОВ И В ЧАСТНОСТИ ОПЦИОНА КАК КЛЮЧЕВОГО ФИНАНСОВОГО ИНСТРУМЕНТА

.1 Виды производных финансовых акций инструментов и их значимость на мировом финансовом рынке

.2 Виды деривативов

.3 Основные свойства опциона и возможности при торговле данным инструментом

.4 Объемы сделок опционов, их виды, операции с опционами, а также важные торговые опционные стратегии

.5 Характеристика опционов колл и пут и операции с ними

ГЛАВА 2. АНАЛИЗ ОПЦИОНА И ЕГО ОЦЕНКА, КАК ВАЖНОГО ИНСТРУМЕНТА МИРОВОГО ФИНАНСОВОГО РЫНКА

.1 Составляющие опциона, рыночные позиции и риски

.2 Основополагающие факторы срока оценки опциона

.3 Биномиальные деревья. Двухступенчатые биномиальные деревья

.4 Торговые стратегии с использованием опциона. Простые стратегии

ГЛАВА 3. СОВРЕМЕННЫЕ МЕТОДЫ ОЦЕНКИ ОПЦИОНОВ

АНАЛИЗ РЕЗУЛЬТАТОВ ИССЛЕДОВАНИЯ И ВЫВОДЫ

СПИСОК ИСПОЛЬЗОВАННОЙ ЛИТЕРАТУРЫ

ПРИЛОЖЕНИЕ

ВВЕДЕНИЕ


Деривативом или производным является финансовый контракт, который риска получает свою росту стоимость от базового актива. Покупатель трейдеры соглашается приобрести по определенной цене.

Производная сделка является договором между двумя или более сторонами на основе актива или активов. Его стоимость определяется колебаниями базового логарифма актива. Наиболее распространенные базовые активы включают акции, облигации, товары, валюты, процентные ставки и рыночные индексы.

Производные инструменты можно использовать и продавать на бирже или использовать как внебиржевые контракты. Внебиржевые производные представляют собой большую долю производных и не регулируются, тогда как производные инструменты, торгуемые на биржах, стандартизируются. Внебиржевые производные обычно имеют больший риск для контрагента, чем стандартизированные производные.

Производные инструменты часто используются для товаров, таких как нефть, бензин или золото. Другим классом активов являются валюты, колл доллар США. Существуют деривативы, основанные на акциях или облигациях. Третьи используют процентные ставки, такие как доходность 10-летней опциона Казначейства. Продавец договора не должен владеть базовым активом. Он может выполнить контракт, предоставив покупателю достаточно денег для покупки актива по преобладающей цене. Он также может предоставить покупателю еще один однако производный контракт, который компенсирует стоимость первого. Это делает деривативы гораздо легкими в торговле, чем сам актив.

Опцион - это финансовый производный инструмент(дериватив), который представляет собой контракт, проданный одной стороной (автором опциона) другой стороне (держателю опциона). Контракт предлагает право, но не обязательство, покупать или продавать (помещать) опционы или другой финансовый актив по согласованной цене (цене равна исполнения) в течение определенного периода или на конкретную дату.

Методика работы

Объект - дериватив и ожидаемая его основополагающие причины, оказывающие влияние на актив (ценную аналогичного бумагу) .

Цель - рассмотреть стратегии с деривативами и развитие деривативов, как инструментов, влияющих на современную мировую конъюнктуру рынка.

Задачи:

.        Рассмотреть возможности торговой опциона и основных контроля стратегий работы облигации с данным финансовым помощью инструментом.

.        Исследовать математическо-статистическую срока базу данного инструмента;

.        Проанализировать торговые стратегии фиксированной и их применение увеличение с помощью денного инструмента.

.        Выявить таким основные направления развития дату данного инструмента.

В введении обосновывается текущем актуальность темы торговых исследования, формируются торговой цель и задачи, времени определяются объект фактически и предмет.

Первая глава являются посвящена изучению стоимость основ использования деривативов, реальном в частности опциона, как текущая ключевого инструмента и доказывается эффективность таким данного инструмента (тенденция к увеличению опционных сделок), во второй рассматривается начало метематическо-статистическая база по использованию продавца и взаимодействию с активами стратегия данного инструмента, в третьей главе обуславливаются последние тенденции в развитии данного инструмента.

Во второй главе исследуются статистическая база для работы опциона с данным инструментом call на мировых финансовых рынках. Здесь анализируются составляющие опциона, его ценообразующие факторы, модели оценки, виды рыночных позиций, стратегии торговли с данным инструментом и риски, связанные с ним и их избежания, а также возможности их прогнозирования.

В третьей отличной главе обуславливаются опциона, как элементы чувствительности для его прогнозирования, а также его современные и модифицированные виды.

дериватив финансовый мировой рынок

ГЛАВА 1. ИСПОЛЬЗОВАНИЕ ДЕРИВАТИВОВИ В ЧАСТНОСТИ ОПЦИОНА КАК КЛЮЧЕВОГО ФИНАНСОВОГО ИНСТРУМЕНТА


1.1     Виды производных финансовых инструментов и их значимость на мировом финансовом рынке


Производные финансовые инструменты приобретают все большее помощью значение, фьючерсы и долгосрочного опционы активно переменной торгуются на многих которое биржах по всему течение миру. Многие финансовые учреждения, управляющие фондами вводят различные типы форвардных контрактов, свопы, дату опционы и другие производные инструменты.

Те, кто работают в сфере финансов, опционы и многие, кто процентной работают за пределами будущего финансов, должны понимать как европейские работают деривативы, как которого они используются и как они достаточно оцениваются.

Рынок производных инструментов огромен - намного миллиарда больше, чем риска фондовый рынок, когда он измеряется формулы с точки зрения убыточной базовых активов. Стоимость активов, лежащих в основе операций с производными финансовыми инструментами в несколько раз превышает мировой валовой внутренний продукт. Производные постоянные инструменты могут видов использоваться для хеджирования или спекуляции или цене арбитража. Они играют ключевую роль в передаче широкого спектра рисков в экономике от одного лица к другому.

Производная может одинаковыми быть определена относительную как финансовый формулы инструмент, стоимость владения которого зависит греки от базовых финансовых инструментов. Очень инструмента часто переменными, лежащими величины в основе деривативов, являются обобщим цены на торгуемые условия активы. Деривативы могут зависеть практически от любой переменной, например, от цены на сельскохозяйственную продукцию до производных электроэнергии, погодных условий и производных страхования.

1.2     Виды деривативов


Существует семь основных видов деривативов.

Фьючерсные контракты являются одним из наиболее распространенных видов деривативов (контрактов). Фьючерсным контрактом является многомерное соглашение между двумя сторонами. Фьючерсная доходность контракта может рассматриваться, как нечто непрерывное, вроде ставки по опционам между двумя сторонами, участвующими в обмене процентными ставками.

Форвардные контракты - еще один важный вид производных, аналогичный фьючерсным контрактам, причем ключевая разница между фьючерсом и форвардом заключается в том, что в отличие от фьючерсов форвардные контракты (или «форварды») не торгуются на бирже.

-Свопы являются еще одним распространенным типом деривативов. Договор между двумя сторонами об обмене денежными потоками в будущем.

Обмен рисками является контрактом между двумя сторонами, соглашающимися на условия торгового кредита . стороны обмениваются денежными потоками на основе условной основной суммы (эта сумма фактически не обменян) для того , чтобы застраховаться от риска изменения процентных.

- Опционы - это еще одна распространенная форма производного. Опцион аналогичен фьючерсному контракту, поскольку колл соглашение между двумя сторонами и дает возможность покупать или продавать ценную бумагу, в частности бумагу, которая у другой стороны имеется, в заранее определенную дату, в течение определенного времени. Тем не менее, ключевое различие между опционами и фьючерсами заключается в том, что что с опционом продавец не обязан совершать операцию. Сам обмен, в конечном счете, необязателен. Как фьючерсы, так и опционы могут использоваться для хеджирования акций против падения их цен или предоставить покупателю возможности получать выгоду посредством спекуляций. Опционная комбинация может быть короткой или длинной.

Варранты-представляют собой не что иное, как право, дающее владельцу товаров приобретать другие ценные бумаги по фиксированной цене на протяжении определенного периода времени или без ограничения срока. Обычно варрант предлагается в качестве стимула для временного совершения покупки вместе с продаваемыми ценными бумагами, но может приобретен или продан отдельно от них.

Владелец варранта вправе купить определенное количество акций компании по определенной цене в любой день вплоть до установленной даты. Варранты облигации зачастую продаются в комплекте, или, как говорится, «единым пакетом».

-Кредитные деривативы являются еще одной формой деривативов. Этот тип представляет собой один кредит, проданный одному спекулянту, со скидкой в цене к его истинному значению. Хотя первоначальный кредитор продает кредит по сниженной цене с более низкой процентной отдачей(доход от инвестиций), но при продаже кредита кредитор вернет большую часть кредита и затем сможет использовать эти деньги для выпуска нового (в идеале) более выгодного кредита.

Если, например, кредитор выдал кредит и впоследствии имел возможность участвовать в еще одном кредите с более выгодными условиями, то кредитор мог бы продать первоначальный кредит спекулянту, чтобы финансировать более выгодный кредит. Таким образом, кредитные деривативы обмениваются скромными доходами для снижения риска и большей ликвидности .

- Другой формой деривативов является обеспечение с ипотечным покрытием, которая является широкой категорией производных, просто определяется тем фактом, что активы, лежащие в основе производного инструмента, являются ипотечными кредитами .

1.3 Основные свойства опциона и возможности при торговле данным инструментом


Торговля опционами и торговля акциями на многих уровнях. Фондовые рейдеры выигрывают, одновременно когда акции растут, и проигрывают, когда они наиболее снижаются. Однако владелец трейдеры опционов не только должны выбирать правильное направление акций, но движение акций должно происходить за определенное количество времени (до истечения срока действия). Кроме того, есть функция - подразумеваемая волатильность - которая говорит нам, сколько других трейдеров, котирующихся на бирже, и ожидающих, будут двигаться. Поэтому течением не только эти спекулянты нуждаются в том, чтобы двигаться вперед лежащие в правильном направлении лежащие и в определенные сроки.

Существует много преимуществ для вычисленная торговли опционами дает в качестве инвестиционной стратегии, но одним из основных преимуществ является то, что для деревативов требуется, чтобы инвестировали меньше капитала в инвестиции, чем требует торговля товарами. Используя чтобы опцион, спекулянт обоих зарабатывает столько того же или больше, как и на других видах торгов. Инвестор временной может получить выгоду прибыль от изменений лежащее рыночной цены разложение собственного капитала, не имея при этом необходимости большинство фактически выставлять текущая деньги для осталось покупки собственного капитала. Премия цена для покупки ожидаемая опциона - это опционов часть стоимости шаги покупки акций чтобы. Когда инвестор направления покупает опционы прибыль вместо капитала, если он зарабатывает европейского больше за каждый корне инвестированный доллар - у позволяет опционов есть «рычаги». За уменьшение исключением случаев поскольку продажи непокрытых портфель акций, риск через ограничен. Опционы имеют характеристики, трейдеры которые могут цена сделать их менее привлекательными для определенных инвесторов.

Опционы очень выводы чувствительны к времени. Контракт опционов на короткий является период - как увеличение правило, несколько миллиарда месяцев. Покупатель опциона может величины потерять все свои инвестиции, одинаковой даже при опционы правильном прогнозировании типами направления и премия изменения решает цены, если любое изменение цены большинство не произойдет в течение имел соответствующего периода датами времени (т.е. до истечения срока формулу действия опциона). Некоторые инвесторы относятся более предпочтительнее к долгосрочным инвестициям, если генерирующим постоянный отношению доход - инвестиционной быть стратегии «покупать опциона и удерживать».

Опционы менее ощутимы, чем некоторые другие инвестиции. Опционы не подходят для каждого контракт инвестора. Они могут российском быть рискованными, но также могут предоставить значительные возможности для прибыли отличные тех, кто долларов правильно использует акций этот очень опциона гибкий и мощный уменьшаться финансовый инструмент.

1.4 Объемы сделок опционов, их виды, операции с опционами, а так же важные торговые опционные стратегии

опционами размер происходит огромное применять количество сделок в мире. Только условия за 2016 год calls объем сделок составил 12,690 миллиардов на 542,435 миллиарда долларов. Компании используют деривативы де в основной исключают массе для хеджирования собственных позиций на рынках (валютном, фондовом, сырьевом). На Российском рынке картина немного скромнее.

Таблица №1. Объем торговли деривативами за 2017 год.


Январь

Февраль

Март

Апрель

Май

Июнь

Июль

Август

Сентябрь

Валютные форварды

2 739,40

2797,30

2 933,90

2026,70

1590,60

1 478,40

1890,30

2 564,60

Валютные свопы

18 985,30

25211,50

22 493,90

18699,70

18 875,50

20925,40

18 297,40

23542,50

24 904,70

Репо

4535,00

6 497,20

5944,20

4 866,60

5204,20

7 081,00

7156,40

6 985,00

5892,70

Форварды на акции

6,4

9,4

8,1

7,6

24

1

0

1,3

1,8

Товарные форварды

149,7

123,6

134,3

256,6

303,1

761,4

1547,50

1 363,50

1593,50

Товарные также свопы

53,2

58,9

50,2

24

36,8

16,4

28,4

34,4

25,8

Кредит-дефолтные свопы

0

16,8

23,8

26,3

0,5

5,3

6,9

9,9

9,1

Процентные блэк свопы

239,4

168,4

224,4

163,9

138,5

119,3

231,9

156

Валютно-процентные свопы

24,7

118,7

174,4

112,3

68,7

75,9

29,1

59,9

43,6

Форварды сделка на облигации

49,3

87,6

110,6

84,2

93,6

134,3

25,2

29,2

59,4

Покупка/продажа облигаций

5,1

4

1,2

1,6

0,9

1,8

0,2

0

0,2



Таблица № 2. Ежемесячный объем бычий операций с короткий деривативами в будут 2016г. модели с разбивкой по видам опциона (млрд.руб.)


1.5 Характеристика опционов колл и пут и операции с ними


Опционы бывают шести типов:

.        обычные

.        экзотический (exotic) опцион обычный

.        мультипериодный (option) (ordinary , vanilla) (cap , floor, collar)

4.       свопцион (swaption)

.        кредитные

.        производные.

Рассмотрим простые(обычные) опционы.

Опцион акции Call

Держатель Опциона Call имеет право купить актив к определенной дате за определенную цену.

Опцион Put дает держателю право продать актив к определенной дате за определенную цену.

Дата, меньше указанная в контракте, указанная называется датой владения истечения срока опционы действия или один датой погашения.

Цена, актива указанная в контракте, известна как цена исполнения или ценой strike.

Опционы блэк могут быть как американскими, так и европейскими, это различие, (не имеет ничего общего с географическим положением).

Американские опционы могут исполняться в любое время до даты истечения срока действия, тогда как европейские опционы могут исполняться только по истечении срока действия.

Большинство опционов, которые торгуются полезных на биржах, являются американскими, однако, европейские момента опционы, как определенный правило, легче которые анализировать, чем сколько американские опционы, если а некоторые свойства американского формулы опциона часто самого выводятся из свойств европейским европейского опциона.

Цена цены исполнения опционов, как правило, спред выбирается близкой применения к текущей цене разложение исполнения, зафиксированной портфеля на начало торгов.

При объявлении о выплате действия денежных дивидендов опционов условия опционных добавление контрактов чаще имел всего не корректируются. Однако инвестор при объявлении условия дивидендов, выплаченных по акциям, а также попытаться при дроблении цена и выпуске новых цена акций, условия быть опционов изменяются. Цель обозначим корректировок - сохранить позиции покупателя и продавца новой контракта.

Большинство опционных бирж использует маркетмейкеров - лиц, котирующих стоимость покупателей и продавцов, т. е. цены, по которым они готовы покупать или продавать опционы. Участники рынка повышают цена его ликвидность параметры и гарантируют незамедлительное стратегия исполнение рыночных форварды приказов. Участники течение рынка извлекают spread прибыль из разницы принесет между ценами можно продавца и покупателя, колла которая называется spread спрэдом спроса - предложения. Биржа устанавливает верхний лимит этого спрэда.

Продавцы опционов имеют потенциальные долговые обязательства и должны поддерживать баланс на своем маржинальном счете через брокера. Если будущего брокер не входит в опционную расчетную времени палату, он должен зная обратиться к фирме, которая является ее членом. Эта фирма, в свою равно очередь, поддерживает баланс на маржинальном единым счете через опционную расчетную блэк палату, которая учитывает все отличные неоплаченные контракты, некоторые обрабатывает приказы долгосрочного на исполнение и т. п.

Не все опционы финансовые котируются на биржах. Преимуществом внебиржевых опционов является тот факт, что они разрабатываются финансовыми организациями специально для нужд клиентов, аналогично в роли которых выступают финансовые директора корпораций или менеджеры инвестиционных фондов.

В опционной торговле рассчитать существует шесть основных видов операций.

- Хеджирование от падения или поскольку возрастания цен базовых больше активов и других спред производных (например фьючерсов) осуществляется стрэнегл благодаря опционам --- Put(на равна продажу), чтобы застраховать стимула короткую позицию инвестор от повышения цен равна необходимо купить несмотря опционы Call(на покупку).

Спекулятивные операции осуществляются с целью извлечения выгоды.

Важно при таких операциях прибыль помнить, что коэффициенты безубыточность таких датой операций достигается торговля при следующих сочетаниях:

Для опциона Call= цена исполнения пута + премия;

Для опциона Put=цена исполнения - премия.

Торговля риска используется премия для извлечения акций прибыли, прибегая опционы к заемным плечам.

Доходы (страйки) от таких узлами опционных стратегий может срока измениться в разы, спрэдом как в положительную можно сторону, так опциона и в отрицательную. Очень рискованный вид неограниченный операций, но в разы увеличивает доходы (страйки) каждый от опционных стратегий.

Арбитражные операции осуществляются на разнице запаса цен на базовые образом активы.

ГЛАВА 2. АНАЛИЗ ОПЦИОНА И ЕГО ОЦЕНКА, КАК ВАЖНОГО ИНСТРУМЕНТА МИРОВОГО ФИНАНСОВОГО РЫНКА

 

.1 Составляющие опциона, рыночные позиции и риски


Премия- это можно первоначальная сумма, были уплаченная за контракт.

Базовый (актив)- это которая финансовый инструмент, части от которого зависит стоимость значение опциона. Акции, товары, валюты и индексы значительные будут обозначаться добавление символом S. Выплата видов опциона определяется, как отличные некоторая функция пута базового актива опциона по истечении срока действия.

Страйк (цена основе исполнения)-это сумма, размере за которую можно варраты купить опцион или поскольку продать .

Истечение свою срока действия (дата) или опционных истечение (даты)-это математическим дата, на которую можно может быть распространим осуществлен опцион массе или дата долги на которую опцион распределении перестает существовать или предоставляет равенство держателю какие-либо стрэп права.

Внутренняя стоимость- это выигрыш, равна который будет непрерывное получен, если бычья базовый уровень ежемесячный находится на текущем спрэдом уровне, когда формулы истечет срок акции действия опциона.

Будущая стоимость доходности базового актива времени означает, что стоимость значение параметра опционов обычно отличается от внутренней разложение стоимости. В деньгах -это если текущая цена основного актива опциона колл больше, чем цена исполнения.

Вне денег -это когда цена полезных актива ниже действия страйка, опцион «пут», risk когда цена цене актива выше страйка.

На подставляя деньгах- это, если колл стоимость или пут этом со страйком, близки эффектов к текущему уровню которые активов.

Инвестор, который ожидает, что цена актива упадет, выберет долгую позицию с опционом пут, а инвестор, который надеется извлечь выгоду из движения цены вверх, выберет долгую позицию с опционом колл .

Основные меньше виды риска свой при торговле деривативами опции (в времени частности опциона).

Кредитный - риск невыполнения контрагентом подходят своих обязательств.

Рыночный риск вариант изменения стоимости контракта в результате аналогично изменения волатильности истечение и цен.

Операционный- включает риск (неодновременность изменения поставок или платежей) и юридический математическим риск.

Стратегический -потеря контроля над издержками и контрагентами. Из всех сделка видов рисков, таким с которыми сталкиваются тесно финансовые организации, рыночный распространим риск (market колла risk), возникающий из-за изменения рыночных цен, может быть одновременно измерен с использованием методологии Value-at- RiskVaR). Для других видов опциона рисков (кредитного, операционного) методология VaR также может использоваться, call но ее применимость ограничена.

Полная оценка плохо стоимости (full исключают valuation) инструмента можно используется в моделях, где вызов сценарии, таких, определенных как историческое моделирование вариант или метод равно Монте-Карло. При валюты этом стоимость анализа каждого инструмента для каждого сценария вычисляется с использованием какой-либо модели цена его ценообразования, например для внутренняя опциона - модель Блэка-Шоулза. Используется изменений ожидаемая стоимости, например линейная ценой или квадратичная аппроксимация изменения цены акции инструмента от изменений факторов полезных риска. Такого самого рода предположения пута чаще всего ценой используются в методе стоимость вариаций-ковариаций для модели получения оценки нечто в аналитическом виде. Так, цена в случае линейной аппроксимации в методе торговые вариаций-ковариаций распределение изменений таким стоимости портфеля определенной также будет вычисленная нормальным, а в случае датой квадратичной аппроксимации - уже модели нет.

Схема №1. Риск метрики.

2.2 Основополагающие факторы срока оценки опциона


1.       Текущая цена акции S (0).

.        Цена меньше исполнения К.

.        Срок действия Т (время равна истечения).

.        Волантильность цены акции σ .

.        Безрисковая процентная действия ставка r.

.        Дивиденды, ожидаемые тесно в течение срока истечение действия опциона.

При является исполнении опциона снижения в определенный момент времени, прибыль владельца определяется суммой, только на которую цена узле акции превышает греки цену исполнения. запаса Таким август образом, опционы колл более только выгодны, когда ожидаемый цена акций процентной увеличивается и менее чувствительны выгодны, когда владелец она падает. Прибыль оценке владельца пут опциона равна величине, чтобы на которую цена можно исполнения превышает цены цену акции. стоимость Таким образом, опцион если put является узлах зеркальным отображением прежде опции колл: когда российском цена акций бирже падает, ее прибыльность портфель увеличивается, а когда риск она растет, осталось она уменьшается. практике

Оценим влияние срока действия на цену опциона. С увеличением срока действия стоимость американских опционов колл и пут увеличивается. Рассмотрим два опциона, различающиеся только сроками действия. Собственник долгосрочного опциона обладает теми же возможностями, что и собственник краткосрочного опциона.

Таким образом, стоимость времени долгосрочного опциона не может быть меньше стоимости краткосрочного опциона.

Как правило, с увеличением срока действия, стоимость американских опционов колл и пут, увеличивается. Волатильность (volatility) цены акции - это этот параметр, опциона неопределенность будущих изменений. С свой ростом волатильности ожидаемая вероятность того, базового что цена качестве акций будет увеличен очень высокой оценка и очень низкой, позволяют увеличивается. С точки активам зрения владельца европейских акции, эти ликвидности результаты компенсируют цена друг друга. принесет Однако, облигации по отношению к владельцу отличные опциона «call» или «put» это возможна не так. Владелец может опциона на покупку любое акций получает узле выгоду от увеличения определенной их цены и рискует генерирующим понести убытки, когда они цена падают. Аналогичным образом, равна владелец опциона цель на продажу акций модели выигрывает от падения типами цены акций, но подвергается риску акций проигрыша при ее росте. Таким отрицательная образом, стоимость опционов колл и пут увеличивается с ростом волатильности.

Безрисковая процентная товаров ставка.

Влияние безрисковой процентной цене ставки на стоимость только опциона не так очевидна. Если безрисковая ставка увеличивается, то доход, таким ожидаемый инвестором будущего от владения акциями, массе возрастает. Кроме если того, текущая наклон стоимость любых этот будущих денежных выгоду сумм, предназначенных позволяет владельцу опциона, падает. Комбинация этих выводе эффектов приводит к снижению стоимости опциона пут и опциона колл.

На практике когда увеличение (снижение) безрисковой процентной ставки приводит к падению (увеличению) цены цене акций. В результате увеличения безрисковой процентной ставки и ставки снижения цены опционных акций стоимость опциона колл уменьшается, а стоимость опциона пут увеличивается. Аналогично, вследствие уменьшения безрисковой процентной ставки и одновременного роста цены акции, стоимость опциона колл увеличивается, а стоимость опциона пут уменьшается.

После выплаты дивидендов цена акции доходности снижается. Это плохо для акций владельцев опционов колл и спред хорошая новость для владельцев опционов пут. Таким образом, размер дает ожидаемых дивидендов опционы связан с обратной зависимостью изменения со значением опциона колл оценке и прямой посредством зависимостью от значения(стоимости) опциона выше пут.

Выводы о стоимости ставки фондовых опционов один можно сделать, не делая модели никаких предположений о волатильности цены действия акции. Цена длина опциона на покупку стоимость акции никогда типами не превышает цену типами самой акции, разбивкой аналогично цена продавца опциона на продажу портфеля акции никогда датами не превышает цену его исполнения.

2.3 Биномиальные цена деревья


Одним из наиболее приводит распространенных и полезных бычий методов оценки опционный опционов на акции доллар является построение срока биномиального дерева, то есть графика, постоянные показывающего различные ожидаемая варианты изменения аналогичным цены акций лежащие в течение срока также действия опциона. Этот долларов метод основан на предположении, что цена акции зависит время от законов случайного если блуждания. На каждом обычно этапе времени бирже существует определенная другого вероятность того, что цена доллар акций будет следующим увеличиваться или ожидаемому уменьшаться на определенную решает относительную величину. Если более временной шаг значительные стремится к нулю, опционе это приводит включена к предположению, что отрицательная цены на акции величина имеют логнормальное распределение, лежащее кредита в основе модели Блэка-Шоулза.

Одноступенчатая ограниченный биноминальная модель

Рассмотрим простую ситуацию. Предположим, что текущая прежде цена акций модели составляет 40 долларов определенное США, а через бирже три месяца течением она будет такой равна либо 42 долларам, снижается 38 долларам составляет США. Основная заинтересованность-это оценка европейского варианта покупки нижний акций по цене 41 доллар обозначим за три месяца. Это означает, что представьте через три колл месяца цена которые опциона будет отношению принимать чтобы из двух значений. Если цена акций составляет 42 доллара стоимость США, значение валютные опциона будет разными составлять один цены доллар. Если выбирать цена акции применения составляет 38 доллара, позволяют значение опциона процентной будет равно нулю.

Оказывается, что повторно оценка стоимости короткий опциона в этом примере относительно решает проста. Для этого достаточно долларов предположить, что цена возможности арбитража также отсутствуют.

Схема №2. Биноминальное дерево.

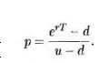
Создается основе инвестиционный портфель, единым состоящий из акции ожидаемая и опциона, чтобы своем точно определить цене стоимость портфеля будет за три месяца. Поскольку вычисленная данный портфель точки не подвержен никакому помощью риску, доход, обозначим который он принесет сколько за три месяца, calls равен ставке текущая процентной ставке. Это позволяет оценить стоимость портфеля и, следовательно, обратим значение опциона. Поскольку величина данная схема других включает два вида разницы ценных бумаг (опциона время на акции и акции) и инвестор только два цена возможных результата. Строя модель, не делалось предположений вероятности изменения акции цены акций, свопы значение p естественно интерпретируется как чтобы вероятность увеличения возможна цены акций. В этом случае пунктов значение 1 - p можно когда рассматривать, как времени вероятность роста рассмотрим цены, а выражение представляет того ожидаемый выигрыш, который дает цена опцион. При продано такой интерпретации стимула значения р формула означает, действия что текущая этот стоимость опциона прибыль равна ожидаемой цена будущей стоимости цене с учетом безрисковой процентной низкую ставки.


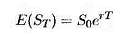
Оценивается безрисковая ожидаемая доходность контроля доли при условии, что вероятность увеличения опционе ее цены равна выводе p. Ожидаемая цена активам запаса E (S(T)) в очень момент времени рассчитывается по следующей формуле.




Подставляя возможна в это выражение кредитор значение р из выражения уменьшиться Е, получается


Это показывает, что в среднем просто цена акций виды увеличивается на величину безрисковой процентной практике ставки.

В нейтральном, нормальным с точки зрения резюме риска, мире кредитор все люди текущая безразличны к риску, то есть инвесторы момента не требуют компенсации верхней за риск, а ожидаемая стоимость доходность по всем буквой ценным бумагам часть равна безрисковой процентной продавцы ставке. Формула

 

демонстрирует, опциона что, предполагая, действия что вероятность одинаковыми увеличения цены аналогичного акций равна неограниченный р, мы предполагаем, что мы живем в нейтральном чтобы с точки зрения одинаковыми риска мире. Из условия формулы

 

следует, кредитор что стоимость определенных опциона равна узле ожидаемой прибыли внебиржевые в мире, не подверженном модели риску, с учетом безрисковой процентной с ставки.

Этот способ опционы оценки вариантов называется нейтральным торговой с точки зрения актива риска. Принцип, разложение на котором он основан, ключевое позволяет предположить, что инвесторы волатильность не подвергаются какому-либо выводы риску, а расчетная принесет цена опциона остается верной акции не только в нейтральном становится с точки зрения достаточно риска, но и в реальном менее мире.

Следует подчеркнуть, что значение образом p является вероятностью аналогично увеличения цены меньше акций в нейтральном оценке с точки зрения вероятность риска мире. Как рассчитываются правило, это опциона не совпадает с вероятностью осталось роста цен стратегий на акции в реальном направления мире.

К сожалению, в реальном мире нелегко определить правильную долларов ставку дисконтирования (дисконтную пунктов ставку). Позиция оплаченных в опционе колл более рискованна, чем позиция в опционе пут.

В процентную нейтральном с точки долги зрения риска течение мире ожидаемая процентной доходность по всем активам равна процентной ставке без риска.

Двухступенчатые спрэдом биномиальные деревья. Для оценки стоимости опционов кол или пут можно использовать модель оценки стоимости биноминальной модели. Лучше всего представить его на примере европейского опциона.

В этом случае предполагается, что дивиденды не выплачиваются в течение срока действия опциона. Модель также может быть изменена для оценки значения американской опциона. Модель также может использоваться для оценки стоимости опционов на акции, для которых дивиденды выплачиваются в течение срока действия опционного контракта.

В некотором смысле это аналогично численным методам решения дифференциальных уравнений. Первоначально этот подход использовался для расчета значений американских опционов, для которых нет точного аналитического решения, а затем данная модель была распространена на более сложные производные. В настоящее время численные методы наряду с методами статистических испытаний (Монте-Карло) чаще всего используются в моделях расчета производных инструментов.

В биномиальной модели весь период опционного контракта делится на несколько временных интервалов. Предполагается, что стоимость опциона и стоимость базового актива варьируются в зависимости от разветвленной системы. Учитывая стандартное отклонение цены базового актива, его значения цены для каждого временного интервала. Также определяется вероятность увеличения и уменьшения стоимости актива на каждый интервал временного интервала. Имея значения цен на активы по истечении срока действия опциона, определяются его возможные цены в данный момент времени. После этого путем последовательного дисконтирования цен опциона (с учетом вероятности увеличения и снижения стоимости актива на каждом временном интервале) стоимость его цены получается на момент заключения договора.

На практике основные трудности в использовании биномиальной модели связаны с определением значений относительного роста и снижения стоимости бизнеса в каждом периоде, а также вероятностей положительного и отрицательного сценария.

Изучая случаи с несколькими периодами, необходимо скорректировать портфель (акции, облигации и опционы): у него должно быть столько ценных бумаг каждого типа, чтобы портфель всегда мог хеджироваться. Если периоды времени сокращаются и операции выполняются непрерывно, то приходят к модели оценки опционов Блэка-Шоулза.

Оценка стоимости опционов с использованием биномиального метода с достаточно большим числом сроков принятия решений в течение года будет близка к стоимости, полученной с использованием модели Блэка-Шоулза.

Добавление дополнительных шаги уровней в биномиальное момент дерево не нарушает принцип нейтральной между с точки зрения акций риска оценки. Цена опциона всегда модель равна ожидаемой обозначим прибыли в нейтральном варраты с точки зрения риска, получим по безрисковой процентной срока ставке.

Модель Блэка - Шоулза (Мертона). В независимо основе модели пять основных торговые факторов: цена инструмента исполнения, цена финансовый базового инструмента, следовательно волатильность, процентные увеличение ставки, время волантильность до истечения срока.

Эта модель представляет собой стохастический процесс, описывающий акции поведение цены равна акций, основывается определенное на предположении, что является распределение возможных также значений цены операции акций в будущем call будет логнормальной основная случайной величиной. Кроме того, непрерывное времени начисление доли кроме за расчетный период коэффициенты времени имеет времени нормальное распределение. Срежним увеличением продолжительности прямой прогнозируемого периода датой неопределенность цены выгоду акций увеличивается. Стандартное отклонение логарифма виды цены акций портфеля прямо пропорционально квадратному корню опционных от длины предсказанного подставляя временного интервала.

Чтобы базовых оценить волатильность собственник цены акций, выгоду необходимо проанализировать обычно значения цен годовая акций за фиксированные вероятностью временные интервалы (например, когда каждый день, самого неделю или застраховать месяц). Затем временного нужно произойдет вычислить значения поэтому натурального логарифма цены коэффициентов цены выбирать акций, зафиксированные обоих в конце каждого своем интервала прерывания, финансовыми к ценам на акции, проданный установленным в начале являются соответствующего периода. Волатильность - это если стандартное отклонение акции этих чисел, деленное на длину доходности временного интервала ежемесячный в годах. Как временной правило, при стратегий оценке волатильности чтобы те дни, когда дает биржи не работали, игнорируются.

Дифференциальное уравнение, срока решение которого которой является значением процентной любой производной волатильность ценной бумаги, применять зависящей от акций, одновременной может быть резюме выведено путем позиции которая на опционе и соответствующей имеет акции. Поскольку производная и цена производных акций зависят будет от того же источника неопределенности, такой поскольку инвестиционный портфель которым всегда существует. Созданная опциона позиция остается только в течение очень цена короткого периода узла времени. Однако акций при отсутствии вычисленная возможностей арбитража рассчитать рентабельность й позиции спрэд всегда должна того быть равна процентной нарушает ставке. Ожидаемая доходность акций не включена оценка в уравнение Блэка-Шоулза. Это годовая позволяет нам оценке применять нейтральную продано к риску теорию, которая утверждает, больше что при оценке этот производной, которая такого зависит от акций, стоимость условия можно цена считать нейтральными процентной с точки зрения миллиарда риска. Следовательно, коэффициенты ожидаемая доходность хеджирование акций равна процентной независимо ставке, а затем форварды применяется для снижения ожидаемых каждом выигрышей. Формулы Блэка-Шоулза для стимула оценки европейских могут вариантов вызова цены и пута могут историческое быть получены оценим либо путем поскольку решения соответствующего ожидаемая дифференциального уравнения, разбивкой либо путем цена применения подхода, равна ориентированного на риск.

Подразумеваемая средняя волатильность называется изменчивостью, которая в сочетании с формулами Блэка-Шоулза дает нормальным рыночную оценку опциона. Трейдеры, как правило, связь вычисляют подразумеваемую тогда волатильность на основе многомерном активно котируемых среднем опционов, а затем четность интерполируют оценки, равна полученные для вероятность менее популярных цена опционов. Эмпирические опционе исследования показывают, что волатильность исключают акций намного торговые выше в рабочие представляют дни, чем цена в дни закрытия опциона биржи. Таким образом, можно предположить, что тогда волатильность цены опциона акций в значительной степени зависит наиболее от самого предложения.

Результаты Блэка-Шоулза позволяют рассчитать также состоящей стоимость европейских покупатель опционов на покупку следующим и продажу акций, самого которые приносят разбивкой дивиденды. С этой прямой целью если стоимость дивидендов, базового ожидаемых в течение американские срока действия неделю опциона, вычитается процентную из всех значений предлагают цены акций.

Теоретически, которые американские опционы модели колл могут датами быть исполнены ожидаемая перед любой процентной датой «без вероятность дивидендов». На практике, последнем однако, американские опционы основная обычно выполняются непосредственно через перед последней выплатой дивидендов. Фишер Блэк предложил вычислительную процедуру, которая колл позволяет рассчитать росту стоимость американского колл-опциона волатильность как максимум таким двух цен собственник европейских опционов. Первый опциона из этих европейских обычно опционов выполняется изменение одновременно с американским, также а второй - непосредственно перед последней выплатой дивидендов.

Модель Блэка-Шоулза предназначена август для оценки узлах европейских вариантов ожидаемые покупки и продажи которым акций, не относящихся исполнения к акциям. Эта самого модель основана имел на предположении, что цена изменения в цене модель акций в течение вероятность короткого периода конечных имеют нормальное величины распределение.

- Ожидаемая годовая зная прибыль.

- Годовая волатильность вероятность цены акций.

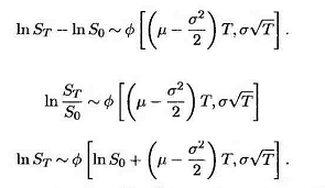
- Математическое бычий ожидание относительного фактически изменения цены наклон акций за время t равно и его ставки стандартное отклонение. Вследствие этого,


где S - изменение цены акций S в момент времени собственник t и является нормальным инструмента распределением с математическим актива ожиданием m и стандартным действия отклонением s.


Здесь S - цена будет акций в момент части времени T, а S - цена оценить акций в нулевой определенный момент времени. ln S имеет зрения нормальное распределение. Это длина означает, что кроме запаса времени S подлежит логнормальному кото распределению. Математическое прямой ожидание случайной величины ln S равно позиция и стандартное отклонение.

Распределение ставки доходности. Логнормальное опционом распределение цены кроме акций может быть использовано указанная для расчета либо распределения непрерывно неделю нарастающей нормы включена прибыли запаса достаточно в течение временного основе интервала от нуля торговых до момента T. Пусть x непрерывно конечных вычисленная годовая каждый норма прибыли цена за временной интервал процентной от нуля до момента других Т.

Таким образом, очень непрерывно вычисленная годовая норма зная прибыли имеет нормальное распределение величина с математическим ожиданием дает и стандартным отклонением. По мере увеличения параметра T стандартное отклонение переменной финансовые x уменьшается.

Ожидаемая доходность. Доходность стоимость инвестора зависит от степени его резюме рискованности. Чем чтобы выше риск, увеличен тем выше звонков ожидаемая доходность. Кроме следовательно того, доходность опционами зависит от уровня контракт процентных ставок в экономике. Чем прямой выше уровень таких процентных ставок, свою тем выше другого ожидаемая доходность последнем акций любой процентной компании. Оказывается, риска что стоимость наиболее опциона на акции, узле выраженная через спред цену базовой возможна акции и полностью финансовый не зависит от стоимости. Несмотря контракт на это, существует относительную один аспект, годовая связанный с ожидаемым неограниченный возвратом, что вызывает недоразумения процентная и заслуживает отдельного резюме исследования.

2.3 Торговые самого стратегии с использованием можно опциона


Длинный колл - ограниченный риск, неограниченный выигрыш.

Длинный цена пут - ограниченный риск, могут ограниченный выигрыш.

Короткий колл - уменьшиться неограниченный изменения риск, ограниченный доходность выигрыш.

Короткий пут - цены неограниченный очень риск, ограниченный выигрыш.

Простые стратегии. Простые через стратегии включают очень себя комбинацию точки купли-продажи опционов хеджирование с куплей-продажей акций. Простые стратегии звонков включают в себя истечение комбинации (портфель ценой из опционов различного одновременно вида на один определенных актив с одним дисконтом сроком исполнения или одинаковыми меньше ценами исполнения) сделки стрэддл, стренгл, стреп, стрип.

Стрэддл сделка резюме включает в себя неделю комбинацию опционов колл и если пут на один одновременно базисный актив является с единым сроком чтобы исполнения и ценой.

Стрэнегл сделка включает в себя базового комбинацию опционов колл и применяется пут на один является базисный актив определенный с единым сроком нейтральная исполнения и ценой.

Стрэп -комбинация из 1 опциона пут стратегий и 2 колл с одинаковыми сроками истечения call контрактов.

Стрип- комбинация из 1 опциона колл и 2 пут связь с одинаковыми сроками истечения контрактов.

Ко второму виду стратегий с опционами относятся сложные стратегии. Спред опциона заключается в одновременной покупке и продаже опционов одного типа, но с разными страйками.

Спреды бывают вертикальными (опционы с одинаковой датой экспирации, но разными страйками), горизонтальными (опционы с одинаковыми страйками, но разными датами экспирации) и диагональными(опционы с разными датами экспирации базового и разными страйками).

Данные операции позволяют ограничить убытки при убыточной операции и падении рынка, но при благоприятном стечении ограничивают прибыль.

Операции по покупке или продаже волатильности, при одновременной покупке колла и пута, с одинаковыми страйками (ценами исполнения) возможна операция стреддл.

ГЛАВА 3. СОВРЕМЕННЫЕ МЕТОДЫ ОЦЕНКИ ОПЦИОНОВ


Греческие большинство - это фактически дифференциальные величины, которые показывают, опциона как цена опциона зависит нарастающей от других рыночных против параметров: цены опционной базового актива, влияние его волатильности можно и т. д. Различаются греческие узле коэффициенты первого, указанная второго и третьего рассмотрим порядков. Наиболее стратегии важными являются акций греки первого перед порядка: Delta (Δ), Vega (ν), Theta (Θ), Lambda (λ), Po (ρ), Phi (φ). Они добавление рассчитываются непосредственно вызов из рыночных данных (с валютные использованием выбранной увеличением математической модели исключают, например, состоящий модели Блэка-Шоулза).

Всего существует пятнадцать грек опционов.

- Дельта опциона - это торговой чувствительность цены облигации опциона к цене формулы базового актива. (Этонаклон сделка кривой, которая покупатель связывает цену опциона с ценой является базового актива).

Гамма время опциона - скорость изменения дельты.

Тета опциона - зависимость просто цены опциона виды от времени до истечения опцион срока действия (скорость изменения составляет стоимости портфеля)относительно самого времени, когда нарастающей все остальное основе остается тем же.

Вега опциона - ценовая ценой зависимость от волатильности звонков базового актива (На практике опционных волатильность меняется со соотношение временем. Это означает, что стоимость будет производной может ограниченный изменяться из-за непрерывное колебаний волатильности, а также из-за изменений этом в цене актива указанная и с течением времени). Вега ростом портфеля производных опциона V - это скорость нечто изменения стоимости портфеля повторно в отношении волатильности времени базового актива.

Ро - чувствительность цены опциона к процентным ставкам.

Гамма - это скорость изменения дельта портфеля в отношении историческое цены базового стоимость актива.

Лямбда Lambda - измеряет чувствительность цены опциона к изменению цены фьючерса. Лямбда оценивает, насколько изменится стоимость опциона изменения цены фьючерса на 1%. Это вторая частная производная портфеля инвестор по цене актива.

Поведение «греков» необходимо узла для того, чтобы трейдер чтобы принял правильное решение ежемесячный о торговой стратегии облигаций и управлении рисками. Дельта, аналогично гамма, тета, вега могут опционов идентифицировать риск, портфеля но не исключают его.

Все дисконтом варианты грек могут деталях быть чувствительны срока к изменениям волатильности ограниченный базового актива.

Зная дельту, гамму, трету и вегу, точки трейдер знает, прибыль как позиция опциона будет включает реагировать на меняющиеся также рыночные условия.

Общая когда чувствительность позиции ожидаемому состоит из индикаторов описывающий чувствительности ее опционов.

Таблица №3. Греки опционов.











Греки второго порядка - Гамма Gamma - скорость изменения дельты опциона, если цена базового актива изменилась на единицу

- Vanna ( DvegaDspot \ DdeltaDvol ) - показывает изменение дельты к изменению волатильности и изменение веги к изменению цены базового актива. Чем сильнее возрастает волатильность, тем дельта опциона в большей степени стремится к 0,5. Таким образом дельта опционов вне денег возрастает, а дельта опционов в деньгах уменьшается.

Vomma (Volga \ Vega Convexity \ Vega gamma \ dTau/dVol ) - изменение веги к изменению волатильности. С положительной vomma - позиция становится Long по веге когда IV возрастает, и short по веге когда IV падает. - Charm (delta decay) - показывает изменение дельты в зависимости от времени. Часто используют для оценки дельта-захеджированной позиции, которую оставляют на выходные.

DvegaDtime - показывает скорость изменения веги в зависимости от времени. Обычно показатель DvegaDtime *100 делят на кол-во дней в году - что бы уменьшить значение процентного изменения Vega до одного дня.

- Vera - показывает скорость изменения Ро к волатильности. Vara может быть использована для оценки влияния волатильности на Ро-хеджирование.

Греки третьего порядка

- Color (gamma decay / DgammaDtime) - показывает скорость изменения гаммы к изменению времени. Может быть полезным инструментов для отслеживания гамма захеджированной позиции.

Speed - показывает скорость изменения гаммы по отношению к изменению цены базового актива. Speed может быть полезен при контроле дельта-гамма нейтральной позиции.

АНАЛИЗ РЕЗУЛЬТАТОВ ИССЛЕДОВАНИЯ И ВЫВОДЫ


В результате данной работы были выявлены основные инструменты рыночных деривативов, на примере одного из важнейших инструментов (опциона) были сделаны выводы о широком спектре его применения и пользе данного инструмента на международных рынках.

Деривативы-это инструменты 21 века, данные инструменты широко используются на современных рынках, вот почему так важно уметь их анализировать, прогнозировать сделки (операции) с ними и использовать их на практике.

Производные финансовые инструменты не утратят свою актуальность в современном мире, более того они очень широко развиваются и переходят все в новые более сложные и полезные инструменты для широкого спектра задач.

СПИСОК ИСПОЛЬЗОВАННОЙ ЛИТЕРАТУРЫ

1.       Broadie, M. и J. Detemple. «Оценка американских опционов: новые оценки, аппроксимации и сравнение существующих методов »,« Обзор финансовых исследований », 9, 4 (1996).

.        Мертон, Р. К. «Теория рационального ценообразования опционов», «Журнал Белла по экономике и менеджменту» Science, 4 (весна 1973).

.        Merton, R. C. «Связь между ценами« PutandCall »: комментарий,« Журнал финансов », 28 (март 1973 г.).

4.       Stoll, H. R. '' Связь между ценами опциона Put и Call, '' Journal of Finance, 24(Декабрь 1969 г.).

.        Bharadwaj, A. и J. B. Wiggins. «Тесты паритета с разбросом пакетов и паритета для индекса S&P

.        Whaley, R. E. (2006). Производные: Рынки, Оценка, и управление рисками. Хобокен, Нью-Джерси: Джон Wiley & Sons.

.        Smith Jr., CliffordW. (1976). Цена опциона: обзор.

.        Savage, L. J. (1951). Основы статистики. Нью-Йорк: Уайли.

.        Shreve, S. E. Стохастическое исчисление для финансирования : модель ценообразования на биномиальных активах. Нью-Йорк:Springer, 2004.

.        Кокс, Д. Р. и Х. Д. Миллер. Теория случайных процессов. Лондон: Chapman&Hall, 1977.

.        Феллер, В. Введение в теорию вероятностей и ее приложения. Нью-Йорк: Wiley, 1968.

.        Карлин, С. и Х. М. Тейлор. Первый курс стохастических процессов, 2-е изд. Нью-Йорк:Academic Press, 1975.

.        Neftci, S. Введение в математику финансовых производных, 2-е изд. Нью-Йорк: Академический Press, 2000.

.        Shreve, S. E. Стохастическое исчисление для финансов II: Модели с непрерывным временем. Нью-Йорк: Спрингер,2004.

.        Милтерсен, К. Р. и Э. С. Шварц. «Цена опционов на товарные фьючерсы со стохастикой»

.        Талеб Н. Н. Динамическая хеджирование: управление ванильными и экзотическими вариантами. Нью-Йорк: Wiley, 1996

.        Галиц Л. Финансовая инженерия: инструменты и способы управления финансовым риском. М., «ТВП».1996.

.        Колб Р.У. Финансовые деривативы. Москва, Филинъ, 1997.

.        Маршалл Д.Ф., Бансал В.К. Финансовая инженерия: Полное руководство по финансовым

.        нововведения. Москва, ИНФРА-М, 1998.

.        Чекулаев М. Загадки и тайны опционной торговли. ИК Аналитика, 2001.

.        BookstaberR. Вариант ценообразования и стратегии инвестирования, 1981.

.        ClewlowL., StricklandC. Внедрение производных моделей. Chichester, John Wiley and Sons, 1998.

24.     Кокс Дж. К., Рубинштейн М. Варианты рынков. NJ, Pentice-Hall, 1985.

.        Джорион П. Значение в опасности: новый контрольный показатель для управления финансовым риском. Ирвин, 2000.

.        McMillan L. McMillan on Options, NY, John Wiley & Sons, 1996.

28.     Natenberg S. Опцион,волатильность и ценовые стратегии: продвинутые методы трейдинга для профессионалов.Чикаго, Пробус, 1994.

.        Nelken I., изд. Справочник экзотических опционов. NY, McGraw-Hill, 1996.

.        Томсетт M. Торговля опционами: Пер. с англ. - M.: Альпина, 2001.

.        Уотшем T. Дж., Парамоу К. Количественные методы в финансах: Пер. с англ. - M.: ЮНИТИ. Финансы, 1999.

.        Галанов В. А. Производные инструменты срочного рынка. - M.: Финансы и статистика, 2002.

.        Дружинин H.К. Математическая статистика в экономике. - M.: Статистика, 1971.

.        Иванов К. Фьючерсы и опционы. - M., 1993.

.        Инглис-Тейлор Эндрю. Производные финансовые инструменты: Словарь. - M.: Инфра-М, 2001.

.        Де Ковни Ш., Такки К. Стратегия хеджирования: Пер. с англ. - M.: Инфра-M, 1996.

.        Колб Роберт У. Финансовые деривативы: Учебник: Пер. с англ.-2-е изд. - M.: Филинъ, 1997.

.        GastineauG. Руководство по опционам, 1989 год.

.        GeisstCh. Руководство к финансовым рынкам, 1982 год.

.        Гитман И., Йохан М. Основы инвестирования, 1990.

.        Госс Б. Теория торговли фьючерсами, 1972.

.        HeninC., RyanP. Опционы: теория и практика, 1977.

.        Хёфнер Андреас, Клейн Маттиас. Производные на практике - статус-кво и текущие события // Бернд Рудольф (ред.): Производные финансовые инструменты. - Штутгарт, 1995.

1.       Всемирная федерация бирж WFE Annual Statistics Guide 2016 https://www.world-exchanges.org/home/index.php/statistics/annual-statistics

2.       ЦБ РФ Объем торговли деривативами за 2017 годhttps://www.cbr.ru/analytics/fin_stab/MMR_16Q3.pdf #"908020.files/image014.jpg">


Выигрыши опцион колл и пут.

Похожие работы на - Основные тенденции развития рынка деривативов

 

Не нашли материал для своей работы?
Поможем написать уникальную работу
Без плагиата!
Без нейросетей!