Построение модели прогнозирования валютных курсов EUR/USD, GBP/USD и USD/RUB

  • Вид работы:
    Курсовая работа (т)
  • Предмет:
    Менеджмент
  • Язык:
    Русский
    ,
    Формат файла:
    MS Word
    380,03 Кб
  • Опубликовано:
    2016-10-17
Вы можете узнать стоимость помощи в написании студенческой работы.
Помощь в написании работы, которую точно примут!

Построение модели прогнозирования валютных курсов EUR/USD, GBP/USD и USD/RUB

Содержание

1.       Метод развертки вслепую. Основные понятия и построение модели для простейшего случая

.1       Метод слепого разделения источников. Вывод алгоритма обучения для метода максимальной энтропии

.2       Описание среды реализации применительно к модели

.3       Выявление изменяемых параметров в модели

. Подгонка параметров модели

.1       Целевая функция

.2       Подбор независимых компонент

.3       Подбор функции нелинейности

.4       Настройка процесса обучения

. Распространение модели на все данные и анализ результатов, последние корректировки

.1       Сравнение доходности стратегии для валютных пар

.2       Адаптация алгоритма под реалии рынка

.3       Проверка гипотезы об изменении характера ценового сигнала после мирового финансового кризиса

Заключение

Список литературы

Введение

Прогнозирование валютного рынка является одной из наиболее распространенных исследовательских задач в финансовой сфере. Данная работа посвящена прогнозированию валютных курсов с помощью метода обратной свертки вслепую. Таким образом, объектом исследования служит сам валютный рынок и колебания курсов. Предметом исследования, в свою очередь, является выявление закономерностей на валютном рынке с помощью метода обратной свертки вслепую для получения возможности прогнозировать направление изменения валютных курсов.

Целью данной работы являются построение модели прогнозирования валютных курсов EUR/USD, GBP/USD и USD/RUB, оценка ее эффективности на различных временных отрезках и для разных валютных рынках. В качестве исследовательской гипотезы используется предположение о том, что на более развитых валютных рынках с большими объемами торговли модель должна показать лучшие результаты, более того, вероятно, на работе модели скажется мировой финансовый кризис 2008 года.

Для данного исследование один из важнейших аспектов являются методы, которые будут применяться для построения модели. Метод обратной свертки (развертки) вслепую, реализованный с помощью метода максимальной энтропии был предложен в работе. Более привычная сфера применения для подобных методов это обработка и разделение звуковых сигналов, в данной работе входными данными будут являться сигналы финансового рынка. Более того, данная работа подразумевает использование эконометрических тестов и построение множественной регрессии.

Актуальность исследования состоит в том, что в ней комбинируется объект прогнозирования в виде валютного рынка с методом обратной свертки вслепую, для того, чтобы проверить, насколько эффективно данный метод может справиться с поставленной задачей. С одной стороны, прогнозирование валютного курса является сугубо практической задачей, а с другой стороны, как это будет ясно из данного исследования, оно позволяет выделить значимые экономические события, такие как финансовые кризисы.

В работе также будут использованы эконометрические методы для оценки некоторых гипотез, важных для исследования.

Все исследование можно разделить на ряд задач, которые будут выполнены к концу работы:

.Описать теоретические основы модели обратной свертки вслепую, для того, чтобы получить возможность применить данный метод для валютных курсов.

. Далее необходимо адаптировать существующую стандартную модель к цели данного исследования.

. Построить модель для реальных данных и найти для нее пути улучшения, путем изменения некоторых параметров модели.

. Рассмотреть изменение качества прогнозирования при изменении параметров.

. Определить целевые параметры модели для оценки ее эффективности.

. Проверить гипотезу, поставленную в начале работы о том, что данная модель может вести себя по-разному на различных выборках. После чего, вероятно, еще раз изменить параметры модели.

. Суммировать полученные знания для того, чтобы выявить возможные закономерности в моделировании.

Работа включает в себя 3-ей главы. Первая посвящена теоретическим аспектам моделирования, в ней раскрывается понятие обратной свертки вслепую, главные преимущества данного метода и простейший способ его реализации. Глава 2 касается подбора параметров модели для прогнозирования валютных курсов, она описывает наиболее занимательные аспекты прогнозирования. В Главе 3 модель тестируется на нескольких временных рядах для того, чтобы определить, как ведет себя модель на различных данных. Заключение содержит основные выводы данного исследования.

Для построения модели были использованы математический пакет Mathcad 15, язык программирования R и среда программирования Rstudio.

1. Метод развертки вслепую. Основные понятия и построение модели для простейшего случая

Метод обратной свертки вслепую применяется во многих сферах (акустика, распознавание изображений, финансы и медицина). Они имеет свои преимущества и недостатки. Данный метод основывается на задаче слепого разделения источников, он позволяет, не зная исходного сигнала, а имея данные только о выходном, различить в выходном сигнале несколько независимых исходных так, чтобы потом использовать их в дальнейшем прогнозировании. Метод слепого разделения источников имеет свои особенности, так, получая на выходе независимые сигналы, нельзя понять, какова их природа и как они формируются. Это затрудняет их дальнейшее использование для построения прогноза. А с другой стороны, данный метод не требует налагать ограничения на входные данные для модели, более того он позволяет строить прогноз, имея данные только об одном временном ряде.

1.1 Метод слепого разделения источников. Вывод алгоритма обучения для метода максимальной энтропии

Реализация слепого разделения источников с помощью метода максимальной энтропии была впервые предложена в работе А. Белла, Т. Сейновски. Ее можно проиллюстрироват

X - вектор наблюдений (x - элементы вектора X);- вектор исходных сигналов (u - элементы вектора U);- матрица преобразующая неизвестные исходные сигналы в вектор наблюдений X;- выходной вектор, оценка вектора (y - элементы вектора Y);- разделитель, матрица, с помощью которой их вектора наблюдений X получается выходной вектор Y;- нелинейное преобразование, который преобразует вектор Y в вектор Z;- вектор, который используется для максимизации энтропии (я - элементы вектора Z).можно записать следующим образом:


Отсюда:

, так как

Далее, учитывая свойства нелинейного преобразования, можно записать вектор U:

- обратная нелинейность, которая преобразует вектор Z в вектор Y:


Функция плотности вероятности вектора Z можно выразить через параметры функции плотности вероятности входного вектора U таким образом:

, где J(u) - матрица Якоби.

Далее, учитывая вышеизложенное, можно записать энтропию случайного вектора Z:


На основе вышестоящей формулы можно построить целевую функцию для максимизации энтропии, а именно максимизировать делитель под знаком логарифма. Целевая функция выглядит следующим образом:

, где


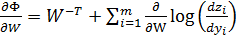
После дифференцирования Φ по матрице весов получается следующее выражение:

.

Для дальнейших преобразований необходимо выбрать нелинейность G. Как один из наиболее простых вариантов используется логистическая функция, которая удовлетворяет требованиям о монотонности и обратимости:

.

После подстановки функции нелинейности в производную Φ по W получается следующее:


Целью обучения является максимизация энтропии, так, по методу наискорейшего спуска, можно получить формулу для изменения матрицы весов (и преобразовать ее, умножив на ):


Из данного выражения можно вывести алгоритм обучения для поиска W:


Данный алгоритм будет использоваться для дальнейших вычислений. В следующем разделе будет описано то, каким образом может быть реализован этот алгоритм обучения на реальных данных.

1.2 Описание среды реализации применительно к модели

В качестве цели исследования было поставлено построение модели для прогнозирования направления движения валютного курса. В качестве входных данных были выбраны приросты валютных курсов евро к доллару США(EUR/USD), фунта стерлингов к доллару США(GBP/USD) и доллара США к российскому рублю(USD/RUB). Для сокращения пояснений к построению модели в Главе 1 и Главе 2 будут использованы данные только для курса EUR/USD (для Глав 1 и 2 далее «курс» или «валютный курс»), а в Главе 3 будут показаны расчеты для других валютных пар, результаты будут приведены для сравнения.

Формула для обучения, полученная в конце предыдущего раздела, может быть использована для поиска матрицы весов W, с помощью которой, в свою очередь, из матрицы входных сигналов X можно найти необходимые независимые компоненты Y.

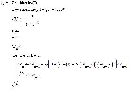
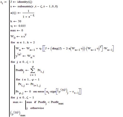
Алгоритм для нахождения разделенного сигнала, построенный в среде Mathcad, выглядит следующим образом:

развертка модель валюта обмен

Рисунок 2 - Алгоритм для нахождения разделенного сигнала

Счетчик t в данном случае представляет собой номер временного периода. В исследовании используются почасовые курсовые котировки с 2001 г. по 2015 г. Другой параметр, который задается вне цикла, ζ - количество входных сигналов, которые будут преобразованы далее в независимые компоненты, другими словами, ζ - количество элементов в векторе X. Для данной задачи в качестве X используются данные о приросте курса за ζ предыдущих периодов. Эти данные копируются из вектора r, который хранит в себе данные за все имеющееся время наблюдений.

Данные о разделенных источниках записываются в векторы y<n>, где n отвечает за номер итерации в обучении.

После того, как заданы все параметры, и выписан сам алгоритм обучения, при запуске этой части кода, когда пройдет цикл со счетчиком n, матрица y<k> будет содержать данные о разделенных источниках на k-ом шаге обучения, они дальше будут использованы для построения торгового правила. В простейшем случае, можно построить торговое правило на основе сравнения значения независимых компонент с приростом валютного курса за предыдущий период. В таком случае можно получить следующий результат (также необходимо было выбрать некие значения для переменных ζ,k,η и W0):

Рисунок 3 - Доходность для простейшего случая

Красным цветом отмечена доходность от построенной стратегии (Ωt), а синим цветом, для сравнения, изображена доходность от пассивной стратегии (Ut), которая подразумевает покупку валюты в начале периода и ее продажу в конце периода. Нижняя ось, подписанная как t, показывает номер временного периода.

Как можно отметить из графика, построенная стратегия на конец периода имеет преимущество над пассивной стратегией, но все же в целом за период построенное правило не показало своей эффективности, так как требуется более точная настройка параметров модели, что будет описано в Главе 2.

В следующем разделе будут рассмотрены те параметры данного алгоритма, которые потенциально могут улучшить качество модели.

1.3 Выявление изменяемых параметров в модели

Данный раздел определит направления дальнейших расчетов для лучшей подгонки модели. В разделе 1.1. была определена стандартна форма алгоритма для метода обратной свертки, тут будут выявлены пути для ее усложнения.

Для начала стоит отметить, что представленный алгоритм не является единственным, например, в работе используется алгоритм, который можно выразить следующей рекуррентной формулой:

.

Все обозначения совпадают с теми, что использовались в разделе 1.1.

Существование различных вариантов обучающих алгоритмов наводит на вопрос о том, есть ли смысл искать из них лучший для поставленной задачи, или же они имеют приблизительно одинаковые показатели эффективности. Для того, чтобы разрешить этот вопрос были построены 2 модели, различающиеся только тем, как происходит подгонка весов W.

Ниже приведен график, показывающий различие в прогнозировании с помощью данного алгоритма и того, что был описан в разделе 1.1, при прочих равных параметрах:

Рисунок 4 - Сравнение алгоритмов обучения

График функции Ω1 показывает доходность от стратегии, полученной на основе алгоритма из раздела 1.1, а график функции Ω1 - доходность от стратегии, полученной на основе алгоритма из данного раздела. График зеленого цвета показывает доходность от стратегии «купи и держи». Смотра на график, можно отметить, что существенных значений в качестве модели не наблюдается при изменении алгоритма обучения, поэтому в дальнейшем будет использоваться лишь первый из них, так как он проще в вычислительном плане, поскольку не требует нахождения обратной матрицы, и так алгоритм будет работать быстрее.

Определившись с тем, что изменение в алгоритме обучения не дают существенных различий в эффективности оценки модели, необходимо установить, какие параметры возможно менять для того, чтобы повысить качество предсказаний.

Логично разделить для анализа параметры, формирующие сам процесс разделения источников и те, с которыми необходимо работать вне его.

Что касается тех параметров, которые важны для самой модели развертки, то можно выделить следующие. Во-первых, необходимо определить количество независимых компонентов, на которые будет разделяться сигнал (в модели это параметр ζ), а также то, как в дальнейшем наилучшим образом использовать получившиеся разделенные сигналы. Во-вторых, в алгоритм обучения встроена некая функция нелинейности, которую можно изменить для получения лучших результатов. В-третьих, необходимо подобрать оптимальный параметр скорости обучения (обозначенный как η), потому что он значительно влияет на выходной результат. Этим ограничивается список параметров, определяющих сам процесс обучения, но существуют и иные вопросы, которые возникают в процессе построения модели.

Говоря о том, какие еще факторы важны для построения модели прогнозирования следует ответить, с одной стороны, то, что необходимо определить начальные значения для обучения. В работе Хайкена в качестве начальных значений матрицы весов W предлагается взять значения из равномерного распределения, но в таком случае при каждом новом построении будут генерироваться новые начальные значения, что будет влиять на качество подгонки, поэтому, чтобы не возникало подобных проблем, значения W0 зафиксированы.

С другой стороны, полученные разделенные сигналы имеют неизвестную природу, поэтому закономерно возникает вопрос о том, как использовать в дальнейшем эти выходные данные после слепого разделения источников. Более того, если начать использовать полученные компоненты для прогнозирования, то какие показатели выбрать в качестве целевого, чтобы подгонять параметры модели тоже не представляется очевидным.

Ответы на поставленные вопросы будут даны в Главе 2.

2. Подгонка параметров модели

2.1 Целевая функция

Перед тем, как говорить о параметрах модели и их подгонке необходимо определить цель, к которой стремиться во время прогнозирования. В данном исследовании в таком качестве выступают две целевые функции. Первая из их это доходность стратегии за определенный период, а вторая - доля верно предсказанных направлений движения валютного курса. Заглядывая вперед, стоит отметить, что вторая целевая функция показала себя лучше с точки зрения подбора параметров.

2.2 Подбор независимых компонент

Первый вопрос, который необходимо решить, касательно независимых компонент для модели это то, сколько их необходимо для построения эффективного прогноза. Этот параметр (обозначался выше как ζ) можно подобрать лишь эмпирически, так, в дальнейшем речь будет идти о модели, где ζ=4. Это число было получено эмпирическим путем в ходе проведения исследования.

Следующий аспект, который стоит обсудить это то, использовать ли все компонента или же ограничиться только одним или несколькими из них. Для начала были испробованы алгоритмы, которые использовали в торговом правиле лишь одну компоненту, в целом ни один из параметров не выделился сравнительно бо́льшей эффективностью в дальнейшем прогнозировании, также было установлено, что эти независимые компоненты имеют приблизительно равный порядок величин.

Так было решено включить усложнение в алгоритм. Теперь на каждом шаге происходило определение номера независимого фактора, который на предыдущем временном отрезке максимизировал целевую функцию, и независимый фактор с этим номером использовался в дальнейшем для прогнозирования. Как было сказано ранее, целевая функция представляет собой прибыль или процент угаданных направлений движения валютного курса. Для этого усложнения введен новый параметр φ, отвечающий за то, на каком временном отрезке считалась целевая функция. Ниже представлен алгоритм, рассчитывающий независимые компоненты, но усложненный тем, что введена целевая функция, и на каждом шале рассчитывается номер того компонента, который показал максимальное значение этой целевой функции, в данном случае это прибыль (все, уже встречающиеся, обозначения сохранены):


Для пояснения алгоритма необходимо описать те переменные, которые были введены только для этого алгоритма. Pri,j отвечает за приросты доходности за период с i-1 до i для алгоритма, использующего j-ый независимый фактор для прогнозирования. Profitj -прибыль от стратегии, использующей j-ую независимую компоненту разложения за предыдущие φ периодов. ut - реализованная доходность в период t. В переменную max записывается номер компонента, показавшего наилучший результат за предыдущий период. Для целевой функции в виде процента правильно предсказанных направлений движения курса алгоритм схож, поэтому он не приведен в данной работе.

Для сравнения различных подходов к определению целевой функции был построен график, который отражает доходность от стратегий, построенных на их основе:


Для данного графика Ω1 это доходность от стратегии, основывающейся на целевой функции, связанной с прибылью на предыдущем временном отрезке, а Ω2 - доходность от стратегии, которая максимизирует число верно предсказанных знаков изменения. И, как на прошлых графиках, Ut показывает доходность от пассивной стратегии.

Стоит отметить, что доходность от стратегии, в которой максимизируется число угаданных знаков, выше, следовательно, можно сделать вывод, что в данном случае этот показатель является более эффективным в рамках прогнозирования, и его следует выбрать в качестве целевого для дальнейших расчетов.

Возможен иной подход к тому, как использовать полученные независимые компоненты для прогнозирования. Альтернативным способом в данной работе будет построение регрессии на основе данных о значении независимых факторов и доходностей за предыдущие периоды, где доходности будут выступать в качестве зависимой переменной, а значения независимых компонентов будут независимыми переменными.

Перед тем, как проводить построение множественной регрессии необходимо посмотреть, возможно ли это сделать для существующих данных, а именно, были проверены на нормальность распределения данные о приростах валютного курса с помощью теста Шапиро-Уилка. Нулевая гипотеза для данного теста состоит в том, что «Анализируемая выборка из генеральной совокупности, имеющей нормальное распределение». Результат теста: p-value = 0.1742, следовательно, H0 не отвергается и можно считать, что приросты распределены нормально.

Для наглядности был построен график Квантиль-Квантиль для распределения доходности, там оно сравнивается с нормальным распределением.

Рисунок 7 - График Квантиль-Квантиль

Смотря на график, можно заметить, что распределения схожи (линия достаточно близка к прямой), и можно говорить о том, что эмпирическое распределение близко к нормальному, значит, на них можно построить множественную регрессию, коэффициенты которой будут пересчитываться для каждой точки наблюдения на основе предыдущих 200 наблюдений.

На графике для сравнения приведены результаты моделей, основанной на построении регрессии по независимым компонентам(Ω1), а также модели на основе выбора номера независимого фактора на основе целевой функции в виде доли правильно предсказанных движений валютного курса(Ω2), которая ранее уже была описана. Как можно увидеть из графика, стратегия, где максимизировалось количество верно определенных направлений изменения валютного курса, показывает лучший результат.

Рисунок 8 - Доходность стратегии на основе регрессии независимых факторов

Подводя итог данному разделу, необходимо отметить, что среди всех методов, которые были описаны выше, наибольшую эффективность показал алгоритм, опирающийся на целевую функцию, которая максимизирует количество правильно определенных знаков изменения валютного курса.

Подбор функции нелинейности

В данном разделе речь пойте о выборе функции нелинейности для алгоритма обучения. В рамках алгоритма проводится аналогия этой функции с функцией распределение, поэтому на нее накладываются следующие условия:

область значения [0;1];

монотонность.

Другим немаловажным ограничением является то, что функция должна быть обратима, это нужно для того, что бы максимальный объем информации переходил от неразделенных входных сигналов к выходным.

Поскольку выходные факторы имеют схожие значения с теми, что идут на входе, поэтому логично предположить о том, что центры распределений должны совпадать. Для этого можно сдвинуть график нелинейной функции на значение, представляющее собой центр распределения. В данном случае можно было взять медианное или среднее значение эмпирического распределения доходности. Для текущей задачи разумнее взять именно медианное значение, так как оно менее подвержено влиянию крайних, далеких от среднего, значений. Расчетная медиана оказалась равной 0, это снимает необходимость изменять нелинейность и облегчает задачу

Существует масса вариантов нелинейных функций, удовлетворяющих условиям, заявленным выше, на графике ниже изображены графики логистической функции и гиперболического тангенса, приведенного к нужной области значений:

Применение иных форм нелинейности не привело к значительному изменению в доходности от стратегии, поэтому была использована нелинейность, выражающаяся логистической функцией.

2.4 Настройка процесса обучения

Этот раздел посвящен обсуждению процесса обучения. Для алгоритма, использующегося в данной работе, применен метод градиентного спуска. С одной стороны, данный метод позволяет продолжать процесс обучения до тех пор, пока решение не будет настолько мало изменяться при добавлении дополнительно итерации. Такой подход в данном случае не возможен, так как при расчетах на определенном этапе возникают настолько большие числа, что математически пакет Mathcad не в состоянии продолжить подгонку коэффициентов модели.

Рисунок 10 - Увеличение количества шагов обучения

Для того, чтобы понять, приближается ли алгоритм к какой-либо стационарной точке, был построен график доходностей стратегий, построенных на основе разделенных источников, полученных на 10-ом, 20-ом, 30-ом, 40-ом и 50-ом шаге обучения.

Как можно заметить из графика, то с увеличением числа шагов эффективность работы алгоритма увеличивается, более того, расстояние между графиками, отвечающими за бо́льшее число шагов, меньше, отсюда можно сделать вывод, что алгоритм все-таки стремится к стационарному решению. Для различных рядов данных максимальное количество итераций разнится, но для них всех можно реализовать 50-ую итерацию, она и применяется в дальнейшем.

Немаловажным фактором в процессе обучения, влияющим на результат, является параметр скорости обучения (η), он подбирался для каждой выборки отдельно эмпирическим путем. Данный параметр может быть зависим от порядкового номера итерации, но это усложнение не внесло заметных улучшений в рамках текущей задачи, поэтому не применяется.

Рассмотрев подробно те параметры, которые влияют на результат инвестиционной стратегии, можно переходить к Главе 3, в которой приводится сравнение построенных моделей для разных наборов данных.

3. Распространение модели на все данные и анализ результатов, последние корректировки

Описав построение модели и то, как задаются ее параметры, можно приступить к оценке ее эффективности на реальных данных. В этой главе будут проанализированы графики доходности стратегий для разных валютных пар. Таким образом, можно будет сделать вывод, для каких валют модель работает лучше, а также понаблюдать, как меняется ее эффективность с течением времени.

3.1 Сравнение доходности стратегии для валютных пар

Для того чтобы сравнить работу модели на разных выборках данных, необходимо рассмотреть графики доходностей данных стратегий. Они представлены ниже. Красным цветом выделена стратегия, которая основана на методе обратной свертки вслепую, а синим - пассивная стратегия.

Для пар евро - доллар США и фунт стерлингов - доллар США использовались почасовые данные, а для валютной пары доллар США - Российский рубль - ежедневные за период с 2001 по 2015 гг.

В этом случае можно заметить, что характер движения графика доходности меняется для каждого из представленных валютных курсов в его середине, которая приходится на 2008 год для представленных рядов данных. Логично предположить, что ценовой сигнал изменился и стал более предсказуем для описанных в этом исследовании методов

Рисунок 11 - EUR /USD доходность

Рисунок 12 - USD/RUB доходность

Рисунок 13 - GBP/USD доходность

Стоит отметить, что доходности стратегии выше всего для валютного курса GBP/USD, но это нельзя считать окончательным выводом о том, что на паре валют фунт стерлингов - доллар США алгоритм сработал лучше, так как он не учитывал присутствия разница между ценой покупки и продажи валюты. Поэтому необходимо учесть этот факт, так как подразумеваются достаточно частые сделки, и подобные небольшие изменения могут значительно повлиять на результат стратегии.

В разделе 3.2 будет описано то, как включить в алгоритм то, что на самом деле сделки не заключаются по биржевым курсам, а раздел 3.3 проверит гипотезу о том, действительно ли изменился характер ценового сигнала после мирового финансового кризиса 2008 года.

3.2 Адаптация алгоритма под реалии рынка

До этого момента в работе использовались данные о биржевых котировках валютного курса, по которым не совершаются сделки, поэтому, чтобы приблизить модель к реальности, необходимо каким-то образом это учитывать. Основываясь на данных о работе брокерских компаний, в среднем для курса евро к доллару США размер спреда составляет около 5×10-5, поэтому для расчета доходности стратегии была встроена эта величина. Таким образом, если, согласно торговой стратегии, изменялась позиция по валютной паре по сравнению с предыдущим периодом, то из полученной прибыли за эту сделку вычитался спред.

На графиках, построенных для каждого из валютных курсов, изображены: стратегия без учета спреда (Ω1), стратеги с учетом спреда(Ω2) и пассивная стратегия(U). Сразу заметно, что введение спреда значительно снизило доходность от стратегии.

Еще один стоящий внимания факт, что такая скорректированная стратегия, также как и стратегия без учета спреда, меняет динамику примерно в середине наблюдаемого периода, а именно в 2008 году, необходимо отметить, что подобные эффекты наблюдаются для каждой валютной пары.

Рисунок 14 - Доходность EUR/USD

Более того, стоит обратить внимание на отличие стратегии, построенной на основе данных о курсе российского рубля к доллару США, он, даже без учета существования спреда показывает довольно плохие результаты. Вероятно, что российский рубль, как объект прогнозирования, не очень хорошо описывается данной моделью.

Рисунок 15 - Доходность GBP/USD

Рисунок 16 - Доходность USD/RUB

В следующем разделе будет показано, как повел бы себя алгоритм, если бы был запущен уже после кризиса, а также будет проверена гипотеза о том, что ценовой сигнал различен до и после мирового финансового кризиса.

Проверка гипотезы об изменении характера ценового сигнала после мирового финансового кризиса

Ценовой сигнал представляет собой временной ряд, который, основываясь на предположении, изменяет свой характер в определенный промежуток времени. Для проверки этого необходимо провести двухвыборочный t-тест для сравнения двух выборок, одна из которых включает в себя данные до 2008 года, а другая - после. Он показал, что для каждой из выборок данные до и после кризиса выбраны из разных генеральных совокупностей, то есть можно говорить о том, что действительно произошло изменение характера ценового сигнала.

Рисунок 17 - Доходность USD/RUB после 2008 г.

После того, как была статистически проверено изменение характера поведения валютных курсов, следует обратиться к тому, как повела себя стратегия после 2008 года, так как, судя по предыдущим графикам, отражающим доходности рассматриваемой стратегии, ее эффективность повышается именно на второй части выборки. Ниже приведены графики доходности стратегии без учета спреда, с учетом спреда и пассивной стратегии для периода с 2008 года. Для удобства после графиков, в Таблице 1, приведены кумулятивные доходности на конец периода для всех валютных пар.

Рисунок 18 - Доходность EUR/USD после 2008 г.

Рисунок 19 - Доходность GBP/USD после 2008 г.

Для валютных курсов EUR/USD и GBP/USD стратегия с учетом спреда показывает, хоть и не на много, лучший результат, чем пассивная стратегия, а для валютного курса доллара США к рублю наблюдается спад доходности при введении спреда, а учитывая то, что для данной валютной пары он обычно больше, чем для курса евро к доллару США, который использовался для всех валютных пар для сохранения общности, можно говорить о том, что данный метод не подходит для прогнозирования данного ряда данных.

Таблица 1 - Доходности стратегий


Пассивная стратегия (2001-2015 гг.)

Стратегия без учета спреда (2001-2015 гг.)

Стратегия с учетом спреда (2001-2015 гг.)

Пассивная стратегия (2008-2015 гг.)

Стратегия без учета спреда (2008-2015 гг.)

Стратегия с учетом спреда (2008-2015 гг.)

EUR/USD

2.427

11.794

-9.885

-2.072

9.399

-0.204

GBP/USD

0.700

14.580

-7.850

-1.288

10.416

0.383

USD/RUB

-0.822

2.707

-3.995

0.627

2.369

-3.601


Рассматривая данные, включенные в Таблицу 1, можно отметить, что существуют значительные различия в доходностях стратегий для разных периодов, это еще раз подтверждает тот факт, что мировой финансовый кризис изменил характер движения валютных курсов. Также стоит отметить тот факт, что модель достаточно хорошо сработала для европейской, британской и американской валют, но в прогнозировании курса российского рубля к доллару она не преуспела. Одним из главных результатов можно считать то, что построенная торговая стратегия показала доходность выше, чем у пассивной стратегии даже с учетом спреда, что в рамках данной задачи выглядит достаточно весомо.

Заключение

В заключение, метод обратной свертки показал, как возможно прогнозировать валютные курсы, в рамках построения модели были получены ответы на то, каким образом наиболее эффективно построить прогноз с ее использованием. Сложность модели состоит в том, что существует достаточно обширное множество параметров для подгонки, со значительной частью которых это необходимо делать эмпирически.

Что касается подгонки модели, то можно выделить следующие важные результаты. Во-первых, для построения модели на основе метода развертки сигнала вслепую в качестве целевой функции для подбора этих параметров следует выбирать долю верно подобранных знаков на предыдущих периодах. Во-вторых, вид нелинейности незначительно влияет на качество прогноза. И в-третьих, параметры процесса обучения необходимо подбирать эмпирически для каждого нового ряда в отдельности для улучшения качества прогнозирования.

В ходе анализа результатов построенных стратегий было выявлено, что ценовой сигнал изменился значительным образом во время мирового финансового кризиса так, что модель, работающая достаточно плохо до 2008 года, стала давать более эффективные оценки валютных колебаний и, как следствие, стала формироваться более прибыльная финансовая стратегия. Данный эффект можно трактовать как предупреждение о том, что необходимо с вниманием относиться к тем стратегиям, которые показали себя как эффективные, так как описываемый рыночный сигнал может изменить свой привычный вид.

После тестирования торговой стратегии на различных валютных парах были выявлены значительные различия в показателях прибыльности стратегии для курса российского рубля к доллару США и курсов EUR/USD и GBP/USD. Для прогнозирования курса USD/RUB данная модель не подходит, вероятно, данный сигнал подчиняется иным законам, которые не описываются в рамках рассматриваемой модели.

Построенные стратегии не показали себя как прибыльные при приближении к условиям реального валютного рынка, но все же тот результат, что построенные торговые правила работают лучше пассивной стратегии, уже говорит о прикладном смысле проделанной работы.

Список литературы

1.       База данных Финам - <http://www.finam.ru/> (дата обращения 02.05.2016)

.        Вайнберг Д., Шумекер Д. Статистика. - Статистика, 1979. 390 с.

.        Доугерти К. Введение в эконометрику. - Б. М.: ИНФРА-М, 2001.

.        Хакен Г. Принципы работы головного мозга. - М: Per Se, 2001.

6.       Bell A. J., Sejnowski T. J. An information-maximization approach to blind separation and blind deconvolution //Neural computation. - 1995. - Т. 7. - №. 6. - p. 1129-1159.

.        Bronstein A. M., Bronstein M. M., Zibulevsky M. Blind deconvolution using the relative Newton method //Independent Component Analysis and Blind Signal Separation. - Springer Berlin Heidelberg, 2004. - p. 554-561.

.        Giua A., Seatzu C., Van Der Mee C. Optimal control of switched autonomous linear systems //Decision and Control, 2001. Proceedings of the 40th IEEE Conference on. - IEEE, 2001. - Т. 3. - p. 2472-2477.

.        Forex Histrorical Data - <http://www.fxhistoricaldata.com/index.html> (дата обращения 01.05.2016).

.        FXCM Official Web-site - <https://www.fxcm.com/> (дата обращения 02.05.2016).

.        Hyvarinen A. Survey on independent component analysis //Neural computing surveys. - 1999. - Т. 2. - №. 4. - p. 94-128.

.        Harmeling S. et al. Kernel feature spaces and nonlinear blind souce separation //Advances in neural information processing systems. - 2001. - p. 761-768.

.        Joho M., Mathis H., Moschytz G. S. An FFT-based algorithm for multichannel blind deconvolution //Circuits and Systems, 1999. ISCAS'99. Proceedings of the 1999 IEEE International Symposium on. - IEEE, 1999. - Т. 3. - p. 203-206.

.        Klein D., Manning C. D. Natural language grammar induction using a constituent-context model //Advances in neural information processing systems. - 2002. - Т. 1. - p. 35-42.

.        Kotz D. M. The financial and economic crisis of 2008: A systemic crisis of neoliberal capitalism //Review of Radical Political Economics. - 2009.

.        Rabiner L. R. A tutorial on hidden Markov models and selected applications in speech recognition //Proceedings of the IEEE. - 1989. - Т. 77. - №. 2. - p. 257-286.

.        Zibulevsky M. et al. Blind source separation via multinode sparse representation //Advances in Neural Information Processing Systems 14. - 2002. - p. 1049-1056.

Похожие работы на - Построение модели прогнозирования валютных курсов EUR/USD, GBP/USD и USD/RUB

 

Не нашли материал для своей работы?
Поможем написать уникальную работу
Без плагиата!
Без нейросетей!