Оптимальное управление запасом
Оглавление
Глава 1. Введение
1. Общее описание проблемы оптимального управления
2. Анализ полученных ранее результатов
2.1 Регенерирующий процесс
2.2 Постановка задачи оптимального управления
2.3 Система с детерминированным периодом задержки [4]
2.4 Система, функционирующая в период задержки с детерминированной
скоростью потребления товара [5]
Глава 2. Задача оптимального управления запасом
1. Описание модели регенерации и её исходные характеристики
1.1 Основные стоимостные характеристики системы
1.2 Общее описание стохастической модели
2. Получение представления для стационарного стоимостного
показателя качества управления
2.1 Аналитические представления для характеристик модели
регенерации
3. Исследование функционала
3.1 Исследование функционала для частного случая скидок
3.2 Анализ полученных решений
Глава 3. Программная реализация
1. Представление программной реализации
2. Результаты выполнения программы
2.1 Результаты для первого варианта входного набора
2.2 Результаты для второго варианта входного набора
Заключение
Список литературы
Глава
1. Введение
1. Общее
описание проблемы оптимального управления
В настоящее время рыночная экономика в условиях большой
конкурентности требует быстрой синхронизации необходимых товаров на рынок,
склад или предприятие. Недостаток или избыток товаров вызывает отрицательное
влияние на положение экономики предприятия, поэтому заинтересованность в
оптимальной стратегии поставки товара возрастает. Таким образом, изучение
управления запасами - времени заказа товара, его перевоза и поставки необходимо
для целесообразного развития экономики в целом. Безусловно, критерий, который
интересен для рассмотрения любому предприятию - минимизация общих затрат. Для
этого, необходимо понять какое количество товара и когда поставлять. В современном
мире конкуренция, несомненно, побуждает производителей идти на всякого рода
уступки для продвижения своего товара и стимулирования заказа товара для
продвижения своих изделий на рынке. Роль стимула могут играть всякого рода
скидки на заказ товара складскими предприятиями больше определенного
изготовителем объема. Однако не всегда выгодно сразу пользоваться данными
преимуществами. Зачастую предприятия не могут функционировать во время поставки
товара, и останавливать производство во время увеличения дохода, не всегда
рациональное решение. Таким образом, чтобы достичь наибольшей прибыли,
предприятие должно отследить получаемую ими прибыль и принять решение о
возможной приостановке продажи, для заказа и поставки новой партии товара, или
решение продажи товара до момента полного исчерпания, и последующего заказа
новой партии. Для этого необходимо построить модель для данного предприятия,
рассмотреть соответствующий процесс и найти оптимальное решение для получения
наибольшей прибыли.
2. Анализ
полученных ранее результатов
2.1
Регенерирующий процесс
Для начала рассмотрим предшествующие результаты исследований.
Рассмотрим примеры моделей, в которых основной задачей также является
нахождение уровня запасов, с которого начинается заказ новой партии продукции
на склад. При этом уровне будет достигаться максимальная прибыль. Основным
предметом изучения будет являться регенерирующий процесс. Согласно работе [2] A. A. Боровкова,
регенерирующим процессом или процессом восстановления является множество
случайных величин 
, которые зависят от времени, определены на вероятностном
пространстве 
, где 
- множество допустимых решений, 
- подмножество допустимых решений, 
- вероятность, управляющее распределение. В некоторый момент
времени процесса наступает случайное испытание 
или эксперимент. Имеет место функция распределения, которая
задана с помощью вероятностной величины:
. Так же величины подчиняются марковским свойствам, то есть
состояние процесса в данный момент времени не зависит от прошлого состояния.
Обозначим 
как состояния процесса, который изменяется в моменты времени 
. Регенерирующий процесс обладает следующими свойствами:
· Состояние процесса в момент времени 
не зависит от состояние в момент 
, 
· Множество 
является процессом восстановления
· Величины 
имеют одинаковое распределение, распределение процесса на каждом
периоде регенерации одинаково
Таким образом, 
является регенерирующим процессом с заданным распределением.
2.2
Постановка задачи оптимального управления
Для дальнейшего исследования модели, а также нахождения
оптимального уровня запасов (параметра управления), приведем некоторые
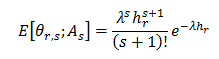
известные результаты. Определим стоимостной функционал. Для этого воспользуемся
теоремой, полученной В.А. Каштановым и дальнейшими исследованиями П.В. Шнуркова,
который вывел утверждение в сильной форме. Теорема имеет название
эргодическая и имеет вид:
где 
- стоимостной функционал,

- математическое ожидание приращения прибыли

- математическое ожидание периода регенерации.
Пусть рассматривается регенерирующий процесс, описанный в
предыдущем подпункте 2.1 Тогда функционал прибыли представим в виде дробно-линейного
функционала:
где 
- математическое ожидание приращения прибыли (при условии
принятия решения 
)

- математическое ожидание приращения периода регенерации (при
условии принятия решения 
)
Таким образом необходимо решить задачу на экстремум данного
функционала:
Пусть 
, тогда, следуя работе П.В. Шнуркова [], если данная функция
ограничена сверху и достигает глобального экстремума, то существует экстремум
функционала прибыли и имеет место:
Таким образом, возможно решение экстремальной задачи в виде:
2.3 Система с
детерминированным периодом задержки [4]
В данной работе описывается модель склада, в котором в начальный
момент времени имеется 
единиц товара. Реализация продукции происходит поштучно. При
уровне запасов на складе 
происходит заказ на новую партию. Во время выполнения заказа
происходит дальнейшая реализация товара, то есть склад так же функционирует.
Период задержки поставки товара 
является детерминированной величиной. Требования, которые
поступили в период задержки товара, также обрабатываются и выполняются после
обработки заказа, то есть после получения новой партии товара. Таким образом,
прибывшая партия товара восполняет уровень запаса до начального состояния.
Необходимо отметить, что уровень товара на складе, с которого происходит заказ
на новую партию, может принимать значения 
, то есть в системе возможен дефицит товара. В модели необходимо
найти уровень товара на сладе, при котором происходит заказ новой партии и при
котором функционал прибыли достигает максимального значения. Таким образом,
показателем эффективности функционирования является функционал прибыли данной
системы.
В работе рассматривается случайный процесс 
, описывающий объем товара на складе в момент времени 
. Время продажи очередной партии товара 
является случайной величиной, имеющей экспоненциальное
распределение:
Так продажа товара на всем периоде регенерации объемом 
имеет распределение Эрланга
Для определения функционала дохода, обозначенного как 
, в работе использовалась эргодическая теорема, которая имеет вид:
где 
- функционал прибыли данной системы,

- математическое ожидание прибыли в период регенерации,

- математическое ожидание длительности периода регенерации.
Таким образом, целью данной работы являлось нахождение функционала
прибыли 
и его дальнейшей максимизации, то есть решение задачи
, где 
- параметр управления модели. Для определения функционирование
системы в систему был введен набор стоимостных параметров.
Результатом данной работы являются функционалы прибыли
, которые были посчитаны соответственно
для случаев:
Необходимо отметить, что для выполнения всех поступивших
требований, была введена система событий 
. В работе для удобства отдельно определены величина математического
ожидания дохода на всем периоде регенерации 
, математическое ожидание дохода в период регенерации, которое
соответствует распределению, совместному с 
событием - 
и математическое ожидание дохода в период, на котором принято
решение 
- 
). Было доказано, что математическое ожидание величины 
, являющейся длительностью периода задержки товара после того, как
в систему поступило требование 
, имеет вид:
Также была введена вспомогательная
величина
определяющая, что в систему поступили требования, количеством 
. Было рассмотрено соответствующее математическое ожидание и
совместное распределение величин 
и 
.
Для различных соотношений значений параметров 
были рассмотрены соответствующие математические ожидания доходов
системы и построены функционалы прибыли, которые в дальнейшем подлежат
максимизации для нахождения оптимального уровня товара, с которого необходимо
совершить заказ на новую партию продукции.
Отличия данной работы от работы [4]:
· В период поступления заказа прекращается
потребление, и не учитываются требования, поступившие в этот интервал времени
· Вводятся новые
затраты
· Вводится
система скидок
2.4 Система,
функционирующая в период задержки с детерминированной скоростью потребления
товара [5]
Сафонова Э.В. в своей работе рассматривает модель складского
помещения, в котором в начальный момент времени находится товар объема 
. Скорость потребления продукции со склада является
детерминированной величиной 
. В данной модели помимо основного заказа продукции возможен и
резервный (требования), поступающий в период задержки товара. После заказа
новой партии товара на склад происходит период задержки продукции 
, который является случайной величиной с заданным распределением.
В период задержки реализация товара происходит с такой же скоростью 
.
Стоит отметить, что стоимость товара заказанного во время периода
задержки превышает основную стоимость. После прихода товара на склад, объем
продукции возвращается к своему первоначальному значению.
Целью данной работы являлось построение функционала прибыли,
который является показателем эффективности работы системы. Так с помощью
максимизации функционала, в дальнейшем можно найти оптимальный уровень товара
на складе 
, при котором необходимо сделать заказ на новую партию продукции,
чтобы достичь наибольшей прибыли.
В работе был рассмотрен соответствующий регенерирующий процесс 
. Были введены стоимостные характеристики, определяющие поведение
системы. Также был определен стоимостной аддитивный функционал 
, определяющий значение прибыли в момент времени 
В период регенерации 
cправедливо соотношение:
,
где 
- период времени с начала реализации товара,
- период регенерации, 
- параметр управления, 
- случайная функция (приращение).
Для построения среднего взвешенного дохода в единицу времени в
работе используется эргодическая теорема:
оптимальное управление запас модель
где 
- стоимостной показатель, 
- математическое ожидание приращения 
, то есть стоимостного функционала, 
- математическое ожидание приращения 
, то есть периода регенерации.
В работе для данной модели был построен стоимостной функционал,
для которого была доказана теорема о представлении его в виде дробно-линейного
функционала. Также было выявлено, что необходимо исследовать данный функционал
на экстремум, чтобы найти оптимальную стратегию заказа. Исследованы свойства
данного функционала, такие как непрерывность и наличие предела.
Отличия данной работы от работы [5]:
· Система не функционирует в период задержки
товара, то есть не учитываются требования, поступившие в период задержки товара
· Скорость потребления товара является
детерминированной величиной
· Вводятся новые
стоимостные характеристики
· Наличие
системы скидок
Глава
2. Задача оптимального управления запасом
1. Описание
модели регенерации и её исходные характеристики
Рассмотрим стохастическую модель и найдем оптимальную
стратегию заказа новой партии товара.
Исследуемая система представляет собой хранилище, с которого и
производится дальнейшая продажа товара. В первоначальный момент времени в
хранилище имеется единиц m товара, где
. В дальнейшем производится поштучная
реализация товара. Заказ новой партии происходит, когда объём товара достигает
уровня r. В данной модели необходимо определение данного уровня r. Необходимо также отметить, что модель ориентируется на
максимизацию прибыли. В период задержки, который представляет собой интервал от
момента заказа до момента пополнения, потребление прекращается. Так же отметим,
что в данной работе рассматривается случай, в котором уровень товара на складе r, когда производится заказ на новую
партию, является неотрицательной величиной, то есть 
.
1.1 Основные
стоимостные характеристики системы
Для построения модели необходимо ввести различные стоимостные
параметры, характеризующие доходы и затраты дальнейшее указание параметров
стоимости. В первую очередь склад приобретает продукцию у производителя.
Стоимость закупки товара в объеме
у изготовителя характеризуется параметром 
, где 
.
Существенной особенностью данной модели является наличие
различного рода скидок на продукцию. В первую очередь, вводится скидка на
продукцию, которую склад закупает у производителя. Изготовителю выгодно, чтобы
именно его марка ушла на склад в больших размерах, следовательно, он
предоставляет скидку 
, которая действует начиная с объема 
товара на складе. Следовательно, при закупке товара в объеме 
стоимость будет составлять 
, при 
стоимость будет составлять 
.

- затраты на транспортировку товара в размере 
, где 
.
Также рассматривается скидка на транспортировку 
, действующая с 
- границы размера перевозимого товара в условиях скидки. Это
происходит потому, что чаще всего легче (соответственно и дешевле) перевозить
большое количество товара сразу. При транспортировке заказа в размере 
стоимость будет составлять 
, при

стоимость будет составлять 
.
Особенностью данной модели является наличие стоимости на
организацию заказа - 
.
Под организацией заказа понимается затраты на оформление
различного рода документов, проверка качества продукции, контроля над
поставкой. Введем соответствующий показатель 
, действующий с 
- размера заказа, с которого производится скидка. При организации
заказа в размере
стоимость будет составлять 
, при

стоимость будет составлять 
.
Введем также следующие стоимостные параметры, определяемые без
скидок.

, 
- траты на хранение товара на складе в размере 
за единицу времени.

- накладные
расходы, когда товар поступает на склад, то есть в период задержки, которые
включают расходы на услуги связи, отслеживание товара.

- накладные расходы при пополнении товара, то есть когда продажа
не функционирует (расходы на рекламу, оплату коммунальных услуг).
Также введем показатель прибыли: 
- доход от продажи k
единиц товара после его поступления, то есть во время продажи.
1.2 Общее
описание стохастической модели
Обозначим через 
случайное время между последовательными моментами продажи
очередной единицы товара на 
ом периоде. Данные величины независимы и имеют распределение
то есть экспоненциальное, где 
, 
- произвольный период регенерации. Время, за которое реализуется
товар в объеме 
, обозначается как 
и имеет распределение
то есть распределение Эрланга. Как было сказано ранее, заказанный
товар поступает на склад через случайное время (длительность задержки) 
, заданный случайным образом и имеющий заданное распределение 
. В каждый момент времени
производится поштучная реализация товара, где
- задаются случайным образом. Пусть 
- период продажи товара, то есть 
- момент старта реализации товара (после пополнения склада) на 
ом периоде, а 
- момент заказа нового объема товара на склад (когда производство
приостанавливается). Также обозначим 
как 
- период поступления товара на склад (выполнение заказа), от момента
заказа товара до момента нового старта его реализации.
Как было сказано выше, реализация товара во время поступления
товара на склад прекращается, из этого следует, что


.
Определим сам случайный процесс. Обозначим его как 
- объем товара в момент 
. В начальный момент времени на складе находится 
товаров, то есть 
Далее производится продажа товара, при достижении уровня
производится заказ новой партии, проходит период задержки товара,
и товар поступает на склад. После этого, процесс возвращается в свое начальное
состояние, уровень товара на складе пополнен до уровня 
, и процесс повторяется независимо от прошлого, подчиняясь тем же
законам. Таким образом, процесс является регенерационным. Так как модель носит
регенерационный характер, то есть первоначальный объем восстанавливается до
уровня
, то есть объем новой партии 
.
Вернувшись к показателям стоимости, применим эргодическую теорему
из работ [9], [10]. Средний удельный доход в единицу времени можно посчитать
как отношение дохода в период регенерации к его средней продолжительности, то
есть:
где 
- это математическое ожидание приращения 
- случайного процесса (накопленного дохода) за период регенерации
, то есть стоимостного функционала, 
- математическое ожидание длительности периода регенерации.
Таким образом необходимо решить задачу на экстремум данного
функционала:
2. Получение
представления для стационарного стоимостного показателя качества управления
2.1
Аналитические представления для характеристик модели регенерации
Пусть 
- математическое ожидание дохода на периоде регенерации при
условии, что параметр управления равен 
. Также пусть 
- математическое ожидание затрат на периоде регенерации при
условии, что 
- параметр управления.
Тогда математическое ожидание прибыли склада будет рассчитываться
как разница между доходом от проданного товара и разного рода затратами на
данный товар, то есть

,
где 
- математическое ожидание прибыли.
1) Доход
Подсчитаем доход от продажи товара 
. Если 
, где 
- первоначальный заданный уровень объема товара на складе,
параметр управления 
- фиксированная величина, причем 
, то до момента принятия решения будет продано 
единиц товара (потребление товара прекращается на период задержки
товара). Тогда доход будет равен

(1),
где 
- доход от продажи единицы товара.
2) Затраты
При соответственных предположениях выписываем выражение для
затрат.
а) Хранение товара
Рассмотрим промежуток времени 
- период продажи товара, то есть от момента пополнения склада до
момента заказа новой продукции. На данном этапе затраты склада включают в себя
затраты на хранение товара. Рассмотрим интервал 
, где 
, - время между покупкой единицы товара покупателем на 
ом периоде. На данном интервале на хранение тратится 
. Рассчитаем математическое ожидание данного вида затрат на этом
интервале. Как было сказано ранее, данный интервал имеет экспоненциальное
распределение, поэтому математическое ожидание равно 
. Поэтому математическое ожидание на всем периоде
равно 
, так как 
. По свойству математического ожидания и арифметической
прогрессии:

Таким образом, хранение в период продажи товара задается формулой:

(2)
Случайные затраты на хранение до момента заказа (в период задержки
товара), то есть на интервале
равны:

(3),
так как период задержки имеет длительность 
, и на складе хранится лишь продукция объема 

Затраты на закупки новой партии продукции происходят в моменты 
. Всего закупается 
единиц товара. Так как на данный вид затрат имеется скидка,
которая реализуется с определенного объема товара, то затраты на закупку
разбиваются на два случая:
то есть при закупке товара больше объема 
склад платит за объем 
по обычной цене, а начиная с данного объема, стоимость умножается
на скидочный коэффициент 
.
в) Транспортировка продукции
Транспортировка заказанной партии товара происходит в интервале
времени 
, то есть в период задержки товара, который равен 
. С учетом того, что объем заказанной продукции равен 
, а также с учетом наличии скидки на транспортировку продукции,
начиная с объема 
, затраты на транспортировку имеют вид:
где 
- скидочный коэффициент на транспортировку продукции, начиная с
объема
.
г) Организация
Следующим рассматриваемым стоимостным параметром будет организация
заказа. Организация происходит в моменты времени 
, то есть когда начинается реализация товара. Тем не менее, под
организацией понимается затраты на только прибывший товар, то есть на партию
объема 
. На данный вид затрат также имеется скидка, поэтому следуют два
случая:
где
- скидка на организацию заказа, начиная с
фиксированного объема 
.
д) Накладные расходы
Рассмотрим промежуток времени
- то есть период продажи товара. При условии, что
, где 
, - время между приходом покупателя на 
ом периоде, на данном интервале времени 
ого периода накладные равны 
, где 
- момент длительности продажи. Интервал имеет экспоненциальное
распределение. С учетом этого, математическое ожидание данного вида затрат
будет иметь вид 
. По свойству математического ожидания: 
. Таким образом, накладные затраты в период продажи будут
выглядеть следующим образом:

(7)
В период задержки товара также имеются накладные расходы.
Понесенные затраты равны

(8),
где 
- период задержки товара.
Таким образом, с учетом введенных обозначений параметров,
математическое ожидание затрат на всем периоде восстановления процесса, имеет
вид:

(9),
где отдельные компоненты задаются формулами (2) - (8).
Данный период будет складываться из интервала, когда происходит
продажа товара, и периода задержи продукции. Математическое ожидание периода
будет иметь вид:

(10),
где первое слагаемое - математическое ожидание периода продажи
товара, а 
- математическое ожидание длительности периода задержки новой
партии продукции.
Таким образом, подставив в общее выражение формулы (1), (9), (10),
получим средний удельный доход в единицу времени равен:

(11)
Задача состоит в нахождении уровня 
, после которого начинается заказ новой партии продукции. Для
нахождения данного уровня необходимо определить максимум функции 
, который будет обозначен как 
, то есть решить задачу:
3.
Исследование функционала
3.1
Исследование функционала для частного случая скидок
Рассмотрим частный случай данной модели с системой скидок.
Предположим, что уровни товара 
, с которых действует скидка на покупку, доставку продукции и
организацию заказа соответственно, являются одной и той же фиксированной
величиной 
, то есть 
. Таким образом затраты на покупку задаются следующей формулой:

(12)
затраты на транспорт:

(13)
затраты на организацию заказа:

(14)
Из данного предположения выходит два случая: когда объем
заказанной продукции 
меньше данного фиксированного уровня 
(без действия скидок) и когда 
, то есть предоставляется скидка на покупку, транспортировку и
организацию заказа.
В данной работе рассмотрим второй случай, когда объем заказанной
продукции больше Q, так как он является наиболее интересным
с точки зрения новизны исследований.
Для данного случая, с учетом нововведенных предположений (12) -
(14), выпишем затраты, задающиеся формулой (9):
Тогда функционал прибыли принимает следующий вид:
Выпишем числитель выражения (11) и проведем аналитические
преобразования:
С учетом преобразований получим:
Таким образом, стоимостной показатель качества управления 
можно записать в явной форме как функцию от параметра управления 
:

(12),
где 
;

;

;

;
Проведем исследование зависимости показателя
от параметра управления 
, то есть функции 
, заданной формулой (12). Заметим, что параметр управления может
принимать значения из конечного множества 
. Для того чтобы применить известные аналитические методы
рассмотрим соответствующую функцию от вещественного аргумента 
, заданную на отрезке 
. Таким образом, необходимо исследовать поведение функции 
в указанном отрезке: 
.
Для удобства, в дальнейшем 
обозначим как 
, то есть 
. Сначала найдем значения функции 
в крайних точках 
:
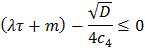
Особой точкой является точка 
, но она не принадлежит отрезку
, то есть не допустима. Вычислим производную функции 
и применим классические методы исследования поведения этой
функции с помощью производной.
Так как в знаменателе стоит всегда положительная величина, то знак
производной определяется по знаку числителя производной функционала. Выпишем
числитель как явно заданную функцию от аргумента 
:
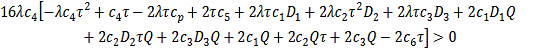
Рассмотрим алгебраическое уравнение:
Данное квадратное уравнение имеет дискриминант:

Рассмотрим случай, когда 
при этом квадратное уравнение не имеет корней, так как не
пересекает ось 
. Квадратичная функция 
с отрицательным дискриминантом и отрицательным коэффициентом
перед 
имеет форму параболы с ветвями, направленными вниз и не
соприкасающуюся с осью абсцисс. Вершина параболы по оси абсцисс имеет
координаты 
.
Таким образом, функция 
убывает на 
, и поэтому она принимает максимальное значение в точке 
. То есть
Теперь рассмотрим случай, когда дискриминант является
положительным числом, то есть 
. Тогда квадратное уравнение 
будет иметь два корня 
. Так как 
, то точка 
не принадлежит данному отрезку, то есть недопустима. Поэтому
рассмотрим точку 
. Положение точек относительно рассматриваемого отрезка 
может иметь три случая. Заметим, что данные три случая положения
точек являются исчерпывающими для случая 
.
Случай 1:
Пусть 
, тогда квадратичная функция 
будет положительна на 
и будет иметь вид:
Таким образом, функция 
возрастает на 
и, таким образом, принимает максимальное значение в точке 
, то есть 
Случай 2: Пусть

, тогда квадратичная функция 
будет отрицательна на 
(см. рис.1), то есть функция 
будет убывать на данном отрезке (см. рис.6), и положительна на 
(см. рис.2), то есть функция 
будет возрастать на данном отрезке (см. рис.2). Таким образом,
для первого отрезка максимум функции будет достигаться в точке 
, а для второго в точке 
.
Максимум функции 
на отрезке 
, будет зависеть от знака неравенства между членами 
и 
. Если

то максимум достигается в точке 
. Если наоборот, то
- точка максимума.
Рис 1. Общий характер поведения функции 
в случае 
Рис 2. Общий характер поведения функции 
в случае 
Случай 3:
Последний случай, когда
тогда квадратичная функция 
будет отрицательна на 
(см. рис.3), то есть функция 
будет убывать на данном отрезке, поэтому ее максимум будет
достигаться в точке 
(см. рис.4).
Рис. 3. Общий характер поведения функции 
в случае 
Рис. 4. Общий характер поведения функции 
в случае 
3.2 Анализ
полученных решений
Таким образом, возникает несколько вариантов решений системы в
зависимости от входных параметров. Если дискриминант 
, то максимум достигается в точке 
, то есть

.
В случае 
: если 
, то максимум в точке 
; если 
, то максимум достигается либо в точке 
либо в 
; если 
, то максимум в 
.
Выпишем итоговые результаты в виде системы. Обозначим 
- точку, в которой достигается максимум функции 
.

(13)
Рассмотрим последовательно все варианты соотношений параметров
модели, указанные в системе (13). Исследуем условия, при которых реализуется каждое возможное
решение.
1) Рассмотрим первое решение, которое получилось из
предположения, что 
. Запишем
неравенство для дискриминанта в полной форме:
В силу положительности стоимостных параметров и параметра 
экспоненциального распределения, неравенство принимает вид:
То есть для выполнения решения 
необходимо, чтобы данное неравенство (14) было верным.
2) Исследуем второй случай, когда 
:
Дискриминант положителен, если выполняется следующее
неравенство:
Преобразуем неравенство в силу положительности стоимостных
параметров и параметра 
:
Рассмотрим второе условие:

В силу положительности данных величин, возведем неравенство в
квадрат:

Так как в левой части неравенства стоит дискриминант, а в правой -
положительное число, из полученного неравенства следует выполнение неравенства
(15) о положительности дискриминанта.
Преобразуем данное неравенство:
Последнее неравенство 
принимает вид:
Преобразуем данное неравенство:

(17)
В силу положительности дискриминанта в данном случае, 
, а в левой части (17) находится отрицательная величина, данное
неравенство выполняется в любом случае.
Таким образом, для того, чтобы решение задачи оптимального
управления являлась величина 
необходимо, что выполнялось неравенство (16):
) Третий случай включает в себя решение 
.
Для его выполнения необходимо верность следующих неравенств: 
. Положительность
дискриминанта обеспечивается неравенством (15):

Рассмотрим второе неравенство: 
При подстановке значений оно принимает вид:
Преобразуем данное неравенство:

В силу положительности данных величин, возведем неравенство в
квадрат:

Неравенство 
(17) было исследовано ранее, во втором случае. Исследование
показало, что оно выполняется всегда.
Глава 3.
Программная реализация
1.
Представление программной реализации
Представим ниже программную реализацию полученных теоретических
результатов, связанных с нахождением оптимального значения параметра
управления, то есть значения, при котором достигается максимум средней удельной
прибыли. При этом численно исследуется поведение упомянутого показателя
качества управления 
и вспомогательной квадратичной функции 
на интервале возможных значений аргумента 
. Для реализации будет использована среда MatLab 2014.
Входные параметры представлены набором следующих величин:
· границы
допустимого множества
· параметр экспоненциального распределения
времени между моментами поступления заявок (прихода покупателей)
· длительность
периода задержки
· стоимостные показатели характеризующие
различные виды затрат и цену поставки продуктов
· скидочные
параметры
Данные параметры будем передавать из файла scriptd. m в файл func. m, в котором реализуется функционал прибыли. Для передачи
значений, создадим три вектора par, cen и sale. Первый из них содержит значения максимального объема товара на
складе 
, длительности периода задержки товара 
и параметра 
. Второй вектор содержит стоимостные характеристики, а третий
включает в себя скидочные параметры.
Ниже представлен код программы файла func. m, который представляет собой функцию, на
вход которой подаются параметр управления и три данных вектора. На выходе
функция передает функционал прибыли, знаменатель данного функционала, а так же
функционал прибыли с противоположным знаком, так как в среде Matlab возможно нахождение лишь минимума функции
с помощью fminbnd, а целью данной работы является
максимизация функционала (поэтому функция берется с противоположным знаком). В
функции определяется функционал прибыли 
, с помощью исследований, проведенных в разделе 3.1 данной работы.
Так определяются коэффициенты данного функционала, с помощью которых происходит
его дальнейшее построение. Определяется знаменатель функционала для дальнейшей работы с
квадратичной функцией.
Файл программы, обозначаемый scriptd. m, предназначен для изучения поведения
производной функции показателя качества управления 
, поведения стоимостного функционала 
и нахождения оптимального уровня запасов, при котором происходит
заказ на новую продукцию.
Для определения поведения 
отдельно исследуется характер числителя данной функции, который
является квадратичной функцией и определяет знак всей производной. Построение
квадратичной функции происходит в помощью нахождения производной функционала 
функцией Matlab
diff, умножения на знаменатель в квадрате и
последующего упрощения функцией simplify
Вычисляются коэффициенты указанной квадратичной функции.
Коэффициенты вычисляются с помощью производных квадратичной функции и функции eval. После нахождения коэффициентов
вычисляется дискриминант и корни соответствующего квадратного уравнения.
Строится график квадратичной функции и всего показателя 
. Для удобства анализа на графика квадратичной функции отмечены ее
корни, прямая y = 0, позволяющая наглядно наблюдать
изменение знака производной и помогающая отследить поведение функционала, и
прямые x = a и y = b, являющиеся границами параметра управления. На графике
функционала отмечена точка, являющаяся оптимальным решением данной задачи.
Ниже представлена реализация данного алгоритма:
2. Результаты
выполнения программы
2.1
Результаты для первого варианта входного набора
Рассмотрим результаты выполнения данной программы для случая из
системы (22), при котором 
(из раздела 3.1.). Для рассмотрения данного случая воспользуемся
набором (1) из входных параметров.
На выходе данной программы получаем результаты:
Diskr = - 2.7377e+08
rmax = 5.2765e-05,
где Diskr - дискриминант квадратного выражения 
, которое определяет поведение функционала 
, rmax - уровень, при котором необходимо сделать
заказ на новую партию.
2.2
Результаты для второго варианта входного набора
Рассмотрим поведение функции 
и функционала 
, и найдем оптимальное решение данной задачи для входного набора
параметров набор (2), при котором выполняется неравенство из системы (23) (из
раздела 3.1.). Выполнение неравенства (16) (из раздела 3.1.), которое является
первым возможным достаточным для решения условием решения в системе (23), дает
оптимальное решение 
. При наборе (2) реализуется выполнение данного случая.
На выходе программы при данных входных параметрах получим:
Diskr = 374879856
x1new = - 237.3426
x2new = 507.3426
rmax = 98.9999,где Diskr -
дискриминант квадратичной функции 
; x1new, x2new - корни
данного квадратного уравнения 
, rmax - оптимальный уровень товара на складе, с
которого необходимо производить закупку новой партии.
Для данных входных параметров, можно явно наблюдать, что x1new < a и x2new > b, а Diskr > 0, что соответствует случаю 1 из
раздела 3.1 (см. рис.3 из раздела 3.1), и, следовательно, в силу выполнения
соответствующих неравенств из системы (23).
Анализируя первый график, можно утверждать, что функция 
положительна на всем допустимом интервале. Поэтому на втором
графике наблюдается возрастание функции 
.
Заключение
В данной работе была рассмотрена регенерационная модель управления
запасами. Был рассмотрен соответствующий процесс 
- объем товара на складе в момент времени 
, где 
, то есть в начальный момент на складе находилось 
единиц товара. Реализация товара происходит поштучно. Когда уровень
запасов на складе достигает уровня 
, происходит заказ на новую партию продукции. Во время выполнения
заказа (то есть периода задержки товара) система прекращает свое функционирование.
Период задержки поставки товара 
является случайной величиной с заданным распределением.
Особенностью данной модели является наличие скидок на закупку, транспортировку
продукции и организацию заказа.
Показателем эффективности работы системы является стоимостной
функционал. В работе была построена данная модель и соответствующий ей процесс,
определены все стоимостные характеристики, а так же система скидок. При этом,
был построен стоимостной функционал прибыли и получено его явное представление.
Решая задачу на экстремум данного функционала, был найден уровень объема
продукции на складе, при котором необходимо сделать заказ на новую партию
продукции. Этот параметр является параметром управления данной задачи, при
котором доход слада достигает наибольшего значения.
Результатом являются две системы (22), (23) из раздела 3.1 Главы
2, показывающие значение параметра управления при различных соотношениях
входных параметров.
Также была представлена программная реализация данной модели в
среде Matlab, которая при заданных входных параметрах
определяет оптимальный уровень управления и позволяет явно наблюдать поведение
стоимостного функционала, а также квадратичной функции, являющейся числителем
производной данного функционала.
Список
литературы
[1]
Ю.И. Рыжиков, “Теория очередей и управления запасами”, Питер, ПитерБук, 2001
[2]
A. A. Боровков, “Теория
вероятностей”, Наука, 1986, с.27 - 114
[3]
A. A. Боровков, “Эргодичность
и устойчивость случайных процессов”, Москва, Эдиториал УРСС, 1999, c.1 - 186
[4]
К.Н. Бура, “Анализ проблемы оптимального управления запасом дискретного
продукта в стохастической модели регенерации”, МИЭМ НИУ ВШЭ, 2016
[5]
Э.В. Сафонова, “Оптимальное управление запасом непрерывного продукта в общей
модели регенерации при наличии дополнительных затрат, связанных с поставкой
продукта”, МИЭМ НИУ ВШЭ, 2015
[6]
Т. A. Блаженкова, “Методы
определения оптимальной партии заказа в цепях поставок с учетом скидок”, Питер,
2009
[7] G. Hadly and T. M. Whitin, “Analysis of inventory system”,
Prentice-Hall, 1963
[8]
В.В. Рыков, Д.В. Козырев “Основы теории массового обслуживания” - М:. Инфра-М,
2016. С.166-173
[9]
Е.Ю. Барзилович, В.А. Каштанов “Некоторые математические вопросы теории обслуживания
сложных систем” - М.: Сов. Радио, 1971. C.272.
[10]
Б.В. Гнеденко “Вопросы математической теории надежности” - М.: Радио и связь,
1983. C.376.
[11]
П.В. Шнурков “О решении задачи безусловного экстремума для дробно-линейного
функционала на множестве вероятностных мер» // Доклады академии наук, 2016. Т.470, Вып.4.
С.387-392