Определение ключевых факторов, влияющих на успех фильма
Оглавление
Введение
Глава 1. Теоретико-методологические и методические основания.
.1 Факторы успеха кинокартин: результаты зарубежных исследований
.2 Теоретическая схема предмета исследования. Система гипотез
.3 Информационная база исследования. Характеристики выборки и исследуемых
переменных. Описание теоретических моделей.
Глава 2. Эконометрическая оценка детерминант успеха фильма.
.1 Регрессионный анализ
.2 Тестирование качества параметров модели
.3 Интерпретация результатов. Стратегии компаний
Глава 3. Оценка предпочтений российского зрителя
.1 Анализ дескриптивной статистики
.2 Оценка факторов, влияющих на предпочтения респондентов
.3 Рекомендации по повышению эффективности управленческих стратегий
Заключение
Список использованной литературы
Приложения
Введение
Кинематограф играет огромную роль в современной
культуре многих стран, а киноиндустрия в свою очередь, является одной из самых
экономически важных отраслей в развлекательной индустрии. В этой связи
киностудия и потенциальные инвесторы в целях минимизации существующих рисков и
возможных потерь пытаются предугадать успех фильма c точки зрения его кассовых
сборов. Для этого проводится анализ ряда факторов, таких как: жанр фильма, его
потенциальный возрастной рейтинг и оценки профессиональных критиков. Главным
фактором, по мнению многих, при принятии решения является объем вложенных в
фильм средств. Поднять стоимость фильма довольно легко. Киностудия может нанять
высокооплачиваемый актерский либо режиссерский составы, увеличить объемы
маркетинговой кампании фильма либо же увеличить количество сцен с
использованием дорогостоящих спецэффектов и компьютерной графики. Преобладает
мнение, что чем дороже фильм, тем больше прибыли получает с него производитель,
что после перехода через определенную «планку» бюджета люди пойдут на него
из-за его высокой стоимости. Так что же тогда является приоритетом для
потребителя: дороговизна кинокартины или ее качественные характеристики?
Целью данного исследования, как можно понять из
названия работы, является определение ключевых факторов, влияющих на успех
фильма и разработка на основе полученных данных рекомендаций по повышению
эффективности управленческих стратегий в сфере кинематографа для российского
рынка. Успех фильма мы будем рассматривать через два отдельных показателя: с
точки зрения кассовых сборов и с точки зрения рентабельности. Так же стоит
заметить, что под зарубежными фильмами мы будем подразумевать фильмы
американского производства. Американский рынок является флагманом киноиндустрии
и его анализ принесет наиболее релевантные результаты.
Для ответа на поставленный вопрос необходимо провести
анализ ситуации на рынке, выявить социально-экономические факторы и
закономерности, воздействующие на прибыль кинокомпаний. Проверить на
эмпирических данных наличие связи между данными факторами и кассовыми сборами.
Если взглянуть на статистические данные по сборам
рынка кинокартин в США, безусловного лидера данной отрасли, за последние пару
лет отчетливо видна тенденция к увеличению размеров самого рынка. К примеру, $11,126
млрд. составили суммарные кассовые сборы в США на конец 2015 года. В 2014 году
кассовые сборы в США составляли лишь $10,360 млрд. Российские кинокомпании так
же стремятся экономически конкурировать с западными соперниками, но не могут
достигнуть тех же уровней (кассовые сборы за 2015 год в России составили 1.5
млрд. $ и 1 млрд. 247 миллионов $ в 2014г.). Ряд исследований так же указывает
на рост российского кинематографического рынка. Все это, в совокупности с новой
государственной политикой направленной на развитие российского кинематографа, в
частности Федеральный Закон "О государственной поддержке кинематографии
Российской Федерации", указывают на возрастающую актуальность проведения
исследования в данной сфере.
Ряд работ в этой сфере рассматривали схожую тематику,
но у каждого автора подход к исследованию, а, следовательно, и результаты,
отличаются. Метод исследования, используемый в данной работе, включает в себя
сочетание данных 2х видов (статистических и данных опроса). Данный подход в
подобного рода работах ранее не использовался. Так же стоит отметить, что
данные в рассматриваемых нами работах являются устаревшими.
В ходе нашего исследования будут использоваться более
актуальные данные, следовательно, будут получены более релевантные результаты.
Приложение данных, полученных в ходе анализа американского рынка кинокартин к
российской специфике, поможет повысить качество управленческих стратегий.
Данное исследование будет проведено в пять этапов.
Сначала будут обобщены и систематизированы теоретические подходы и результаты
эмпирических исследований в области изучения факторов экономического успеха
кинокартин за рубежом. Далее, на основе анализа рынка американских кинокартин
за 2015 год. будут выявлены характеристики ста наиболее доходных картин в этот
период.
В результате выявления данных характеристик, с помощью
построения эмпирической модели и проведения регрессионного анализа будут
выявлены ключевые факторы, влияющие на размер кассовых сборов фильма, а также
на рентабельность кинокартин. Следующим этапом будет определение предпочтений
российских зрителей, на примере российской молодежи, в отношении зарубежных
(американских) фильмов, а также определение факторов влияющих на эти
предпочтения. На основе решения четырех вышеперечисленных задач будут обоснованы
рекомендации по повышению эффективности управленческих стратегий в сфере
кинематографа для местного рынка.
Для получения статистических данных мы будем
использовать ряд сайтов, таких как:
Ø Showbizdata.com, boxofficemojo.com и
thenumbers.com, на которых в свободном доступе можно найти информацию по
кассовым сборам фильма;
Ø Imdb.com, на котором можно найти
информацию по особенностям производства и проката фильма («звездная сила» и
т.д.);
Ø Metacritic.com и rottentomatoes.com,
на которых можно найти агрегированную оценку фильма кинокритиками.
Кроме того, будут проанализированы данные опроса
российской молодежи по инструментарию разработанному автором (175 чел.)
Глава 1.
Теоретико-методологические и методические основания.
.1 Факторы успеха кинокартин:
результаты зарубежных исследований
В сфере кинематографа преобладает «теория
блокбастера», выдвинутая впервые еще в 1981 году. Именно эта работа и считается
родоначальником данной сферы исследований. В попытке анализа факторов успеха
кинокартин в своей работе, автор пришел к выводу что чем выше производственные
издержки, тем выше прибыль. Объясняется это весьма просто. Главная суть данной
теории сводится к следующему - киностудии должны вливать большие в объеме
средства в производство картины, так как она потенциально может стать
«блокбастером». Это означает, что в случае успеха, данный продукт может
принести прибыль в таких объемах, что так же покроет издержки по провалившимся
ранее проектам.
Спустя два года была выпущена работа американского
исследователя Бэрри Литмана. В данной работе впервые была использована
регрессионная модель для предсказания экономического успеха фильма. Эта работа
стала своего рода стартовой платформой для других исследователей данной сферы,
так как в дальнейшем в подобного рода исследованиях составление регрессионной
модели стало явлением весьма частым. Независимыми переменными в ней были: жанр
кино; возрастной рейтинг; суперзвезды в актерском составе; производственные
издержки; масштаб студии выпускающей фильм; награды Оскар; и дата выпуска.
Рассматривая потенциальные факторы имеющие влияние на
успех фильма стоит безусловно отметить, что эффективность введения
маркетинговой кампании играет ключевую роль в успехе фильма. Известно, что
затраты на рекламу кинокартин зачастую ничуть не меньше суммы, затрачиваемой на
ее производство. Самым наглядным примером является фильм «Аватар» Джеймса
Камерона, самый кассовый фильм в истории. По данным, взятым с IMDB (Internet Movie Database), на маркетинговую кампанию фильма
были потрачены колоссальные средства: почти 150 миллионов долларов. Но на
эффективность рекламной кампании влияет не только ее стоимость, но и ее
качественное и креативное выполнение. Для фильма «Монстро» режиссера Джей Джей
Абрамса была создана рекламная кампания с собственным названием, “The Viral”. Были созданы многочисленные сайты с загадками и
зашифрованными сообщениями, на первый взгляд, не связанные с самим фильмом.
Далее появились рекламные объявления напитков и еды из вселенной кинокартины, а
также страницы в социальных сетях главных героев. Это вызвало ошеломляющий
успех картины среди зрителей, которым довелось прикоснуться к содержимому
фильма еще до его выпуска. Наглядным примером неудачной рекламной стратегии
является недавно вышедший фильм «Ультраамериканцы» Нима Нуризаде, главной
причиной провала которого (фильм собрал 20.6 миллионов долларов, имея бюджет в
28 миллионов долларов) считается неэффективно проведенная студией рекламная
компания.
В дальнейшем, проанализировав эффективность введения
маркетинговой компании до выпуска фильма, можно сделать вывод, что активные
действия по раскручиванию кинокартины повышают прибыльность фильма лишь в
случае, если он является качественно выполненным. В случае же с
низкокачественной картиной активные действия по его рекламированию либо не
будут иметь никакого эффекта, либо же, наоборот, приведут к негативным
последствиям. Объясняется это тем, что в случае с «плохим» фильмом, потребители
находятся в состоянии неведения о низком качестве картины, и имеют шанс пойти
на него «вслепую». Схожее наблюдение можно сделать, проведя анализ влияния
экспертного мнения о картине на успех картины. Потребители идут на «хороший»,
по мнению экспертов, фильм намного охотнее. Наиболее актуальным примером
неудачной рекламы «плохой», по мнению кинокритиков кинокартины, может служить
фильм «Бэтмэн против Супермена: на заре справедливости». Рекламная кампания
данного фильма была, в отличие от «Ультраамериканцев» проведена крайне активно.
Было выпущено множество трейлеров и рекламных роликов. Так же были заключены
сделки с многочисленными спонсорами по взаимному продвижению своих продуктов. К
примеру, киностудия Уорнер заключила контракт с Turkish Airlines, по условиям которого ряд самолетов
авиалинии носили на себе рекламу фильма. В то же время в фильме имеется сцена,
где один из главных персонажей фильма находится на борту самолета данной
авиакомпании. Помимо этого были выпущены трейлеры, специально выделяющие эту
сцену. Активное продвижение данной кинокартины помогло студии Уорнер «раздуть»
свой проект до такой степени, что известно о нем стало подавляющему большинству
потребителей. Это позволило побить многочисленные рекорды по сборам в первый
уик-энд выпуска кинокартины, но в дальнейшем, в связи с негативными оценками
кинокритиков, стал наблюдаться так называемый «эффект домино», в ходе которого
сборы потерпели сокрушительное падение (табл. 1.1).
Таблица 1.1. Сборы «Бетмена против
Супермена» в первые два уикэнда
|
Дата:
|
Ранг
|
Валовая выручка - Уикенд
|
Δ%
|
Кинотеатры:
|
Δ
|
∑ Валовая выручка
|
Номер недели
|
|
Март 25-27
|
1
|
$166,007,347
|
-
|
4,242
|
-
|
$166,007,347
|
1
|
|
Апр 1-3
|
1
|
$51,335,254
|
-69.1%
|
4,256
|
14
|
$260,408,047
|
2
|
|
Апр 8-10
|
2
|
$23,363,079
|
-54.5%
|
4,102
|
-154
|
$296,613,621
|
3
|
Источник: Box Office Mojo
#"907729.files/image001.gif">
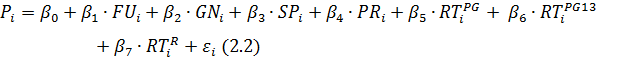
Состоит она из одной зависимой переменной TR (total revenue - общая выручка) и восьми независимых переменных: PC (production costs- затраты на производство, в данном исследовании
использовались для выражения затрат на маркетинг), PR (кумулятивное значение оценок профессиональных критиков), SP (star power - так называемая «звездная сила» актерского и
производственного состава картины, суммарное количество имеющихся у
вышеуказанного состава Оскаров), R
(возрастной рейтинг кинокартины, является набором дамми переменных PG, PG-13 и R (расшифровку рейтинга см. Пункт 1.3)), G (жанр фильма, набор дамми
переменных), S (дамми переменная для фильмов
являющихся сиквелом, то есть продолжением), SW (дамми переменная для фильмов которые были выпущены в период
с 1-го июня, по 31-ое августа, либо в период с 14-ое и по 31-ое декабря), и
наконец H (дамми переменная для фильмов
выпущенных в праздник). Так же учитывалась переменная PC*PR.
Автором рассматривается две линейные МНК регрессии,
первая без переменной PC*PR, вторая- с ее учетом. По результатам
проведения первого анализа становится очевидным, что значимыми являются лишь
четыре, но весьма важные переменные: производственные затраты, профессиональные
оценки критиков и жанры «Экшн» (боевик) и «Комедия» (табл. 1.2.)
Таблица 1.2
Значимые переменные в регрессии 1.
Источник: Topf, Patrick,
"Examining Success at the Domestic Box-Office in the Motion Picture
Industry" (2010). Honors Projects. Paper 110
Интересным является факт, что коэффициент нашей
переменной, отражающей затраты на рекламирования продукта, имеет значение 0.84.
Это указывает на то, что с каждого нового доллара вложенного в маркетинговую
кампанию фильма, студия получает меньше доллара прибыли. Означать это может
лишь две вещи: либо при расчете данных была допущена ошибка, либо же фильмы не
стоит рекламировать слишком агрессивно. Смело можно заявить о неэффективности
рекламного рынка киноиндустрии.
Построение второй регрессии указывает на наличие трех
значимых переменных: PC*PR, жанр «Комедия» и дамми переменная
Сиквел. Значение переменной производственных затрат без взаимоотношения с
оценкой критиков становится отрицательным, в то время как отдельное значение
оценки критиков остается положительным, но обе переменные являются в данном
случае незначимыми, что может указывать на наличие мультиколлинеарности между
переменными (табл. 1.3.)
Таблица 1.3
Значимые переменные в регрессии 2.
Источник: Topf, Patrick, "Examining Success at
the Domestic Box-Office in the Motion Picture Industry" (2010). Honors
Projects. Paper 110
Проведенный другими авторами схожий
регрессионо-корреляционный анализ показал, что главным фактором, влияющим на
успех картины, являются производственные издержки. (табл. 1.4.)
Таблица 1.4
Корреляционная матрица для зависимых
и независимых переменных
Источник: Topf, Patrick, "Examining Success at
the Domestic Box-Office in the Motion Picture Industry" (2010). Honors
Projects. Paper 110
Модель включала в себя следующие переменные:
Production Cost (производственые издержки); Action, (дамми-переменная
указывающая на то что фильм является Боевиком); Drama (дамми-переменная -
Драма); Major (дамми-переменная указывающая на то что фильм был выпущен крупной
киностудией); Holiday (дамми-переменная указывающая что фильм был выпущен в
праздничные дни); Award (количество номинаций на Оскар); Critic (оценка
кинокритиков); и Sequel, (дамми-переменная указывающая на то что фильм является
прямым продолжением, то есть «сиквелом»). Результаты анализа показали, как и
было сказано ранее, что чем выше бюджет, тем выше кассовые сборы фильма.
Проведя сравнительный анализ с тремя статьями схожего характера прошлых лет,
авторы пришли к выводу, что их результаты фактически аналогичны ранее
полученным результатам. Также авторы обратили внимание на тот факт, что ряд
«аномальных» кинокартин с маленьким бюджетом также завоевал значительный успех
в прокате, получив весьма неплохие результаты в смысле кассовых сборов. В
отличие от прошлого исследования, авторами так же была учтена переменная,
указывающая на величину студии выпускающей фильм. Анализ данных показал, что
имеется положительное соотношение между данной переменной и выручкой фильма.
Кроме этого как важный фактор были указаны номинации на награды. Авторы
оценили, что получение фильмом крупной номинации приводит к маржинальной
прибыли равной 39 миллионов долларов. Также отмечается значимость наличия
сиквелов, что дает увеличение прибыли как минимум на 169 миллионов долларов. На
удивление, в данной модели не была найдена положительная взаимосвязь между
оценками критиков и выручкой фильма. Авторами статьи это объясняется тем, что
ими были рассмотрены оценки критиков лишь в США.
В другой статье рассматривается влияние пиратства на
сборы кинокартины. В результате построения эмпирической модели, авторы пришли к
выводу что в год, американские киностудии теряют приблизительно 3 миллиарда
долларов в кассовых сборах из за данного явления. Анализируя прибыль одной из
наиболее крупных американских киностудий, авторы пришли к выводу что по причине
попадания их фильма в сеть, компания потеряла примерно 40 миллионов долларов. В
дальнейшем в ходе анализа предпочтений российской молодежи, стоит учитывать
фактор влияния пиратства на прибыль киностудии.
Интересное наблюдение было сделано авторами
исследования влияния оценки кинокритиков на успех фильма. Они установили тесную
связь между прибылью кинокомпаний и оценками критиков, но уделяют особое
внимание влиянию отдельных кинокритиков на успех фильма. Влияние данных
экспертов, которые находятся в меньшинстве, настолько велико, что они задают
тренд. Мнение остального сообщества оказывается либо хаотично разным, либо же
соответствует более крупным, имеющим сильное влияние критикам. Таким образом,
авторы отмечают необходимость отслеживать мнение именно «важных источников» в
целях предсказания успеха фильма.
Статьи, рассмотренные нами ранее, изучали
преимущественно американский рынок кинокартин. Для сравнения, давайте
рассмотрим работу, анализирующую факторы успеха итальянских фильмов. Результаты
эмпирического анализа кассовых сборов в Италии в промежуток с 1985 по 1996 гг.
свидетельствуют о снижении общего количества выпускаемых фильмов. Так же
наблюдается падение сборов и посещаемости. Данное исследование примечательно
тем, что в нем проверяются гипотезы о влиянии на кассовые сборы имени режиссера
или актеров. Данная гипотеза в результате эконометрического анализа данных не
отвергается. Так же путем эконометрического анализа кросс-данных авторы изучают
и не находят положительного влияния субсидий на сборы. Низкие сборы у
субсидируемых картин они объясняют отсутствием популярного режиссерского и
актерского составов.
Данного вида исследования так же проводились в ряде
других стран. Две английские работы, рассматривающие факторы экономического
успеха кинокартин на рынке кино Великобритании, в 2002 и 2007 гг.
соответственно, пришли к противоположным друг от друга результатам. В то время
как в первом исследовании автор на основе построения логистической регрессию
получил значимыми переменные производственных издержек и актерского состава, во
второй работе значимыми оказались маркетинг и награды кинокартины. Сошлись
авторы лишь на положительной связи между оценками кинокритиков и кассовыми
сборами.
Так же стоит заметить, что в работе упомянутой нами
ранее при рассмотрении зависимости между успехом фильма, рекламной компанией
фильма и его «качеством», используется эмпирическая модель, в которой признание
внутри индустрии и рыночные показатели кинокартины являются двумя независимыми
друг от друга индикаторами успеха кинофильма. В то время как первый зависит от
оценок кинокритиков и потребителей, второй -исключительно от популярности
продукта у вышеуказанных аудиторий.
Анализ результатов зарубежных исследований помог
выявить ключевые характеристики рынка, которые нужно рассматривать как
потенциальные социально-экономические факторы, воздействующие на прибыль
кинокомпании прокатчиков. В отрасли киноиндустрии наблюдается ряд
закономерностей, приводящих кинокартину к успеху: высокие производственные
затраты; жанр, подходящий широким массам; доступный возрастной рейтинг (самым
прибыльный рейтинг PG-13, т.к.
происходит увеличение за счет добавления подростков, при этом сохраняется
взрослая аудитория, все еще заинтересованная в сюжете картины). Также, наличие
сиквелов имеет значительное влияние на успех картины в прокате. Несмотря на то,
что маркетинг картины является важным фактором его прибыльности, излишнее
внимание к этому аспекту производства может возыметь негативные последствия.
.2 Теоретическая схема предмета
исследования. Система гипотез
На основе анализа литературы и исходя их задач данного
исследования разработана теоретическая схема предмета исследования. (схема
1.5):
Схема 1.5
Теоретическая схема предмета
исследования.
Схема интерпретируется следующим образом: по
отдельности проводится оценка факторов успеха западных кинокартин и оцениваются
факторы, влияющие на предпочтения российского зрителя (в схеме предложены
потенциальные факторы). На основе этого анализа проводится агрегированный анализ
успешности кинокартины и предлагаются рекомендации для повышения эффективности
управленческих стратегий. В таблицах 1.6 и 1.7 представлены основные гипотезы
для тестирования двух моделей - кассовых сборов и рентабельности.
Таблица 1.6. Список основных гипотез для модели
кассовых сборов.
|
Модель кассовых сборов:
|
|
Нулевая гипотеза
|
Краткая интерпретация
|
|
|
Кассовые сборы положительно зависят от бюджета кинокартины.
|
Чем больше затрат на маркетинг и производство картины, тем
она качественнее и интереснее для аудитории.
|
|
|
Наличие более одного кинофильма в кинофраншизе положительно
влияет на кассовые сборы.
|
Чем больше фильмов в кинофраншизе, тем больше фанатов этих
фильмов и тем больше аудитория.
|
|
|
Более популярные жанры фильмов приносят больше кассовых
сборов.
|
Зрители предпочитают более популярные кинофильмы (ведь они
ориентированы на самую разнообразную аудиторию), чем на фильмы серьёзных
жанров, целящиеся на награды.
|
|
|
Кассовые сборы положительно зависит от актёрского и
производственного состава.
|
Чем популярнее актёрский и производственный состав, тем
большую аудиторию он привлечёт в кинозал.
|
|
|
Оценка кинокартины положительно влияет на киносборы.
|
Чем выше оценка кинофильма, тем больше людей заинтересуются
этим фильмом и придут в кино на этот фильм.
|
|
|
Фильмы без возрастного ограничения положительно влияют на
кассовые сборы.
|
Чем меньше ограничений на аудиторию, тем больше людей
смогут прийти на фильм и тем выше будут кассовые сборы с фильма
|
Следующая таблица №1.7 вместо кассовых сборов
предлагает проверить зависимость перечисленных выше параметров и рентабельности
кинокартины.
Таблица 1.7. Список основных гипотез для модели
рентабельности.
|
Модель рентабельности:
|
|
|
Рентабельность положительно зависит от наличия других
фильмов в рассматриваемой кинофраншизе.
|
Чем больше фильмов в кинофраншизе, тем больше фанатов этих
фильмов и тем больше аудитория.
|
|
|
Рентабельность положительно зависит от популярности жанра.
|
Более популярные жанры приносят большую рентабельность
|
|
|
Рентабельность положительно зависит от актёрского и
производственного состава.
|
Чем популярнее актёрский и производственный состав, тем
большую аудиторию он привлечёт в кинозал и большую рентабельность принесёт.
|
|
|
Оценка кинокартины положительно влияет на киносборы.
|
Чем выше оценка кинокартины, тем большую аудиторию он
привлечёт в кинозал и тем большую рентабельность принесёт.
|
|
|
Рентабельность отрицательно зависит от возрастных
ограничений на просмотр фильма.
|
Чем выше возраст допускаемой к просмотру аудитории, тем
меньше рентабельность.
|
1.3 Информационная база исследования.
Характеристики выборки и исследуемых переменных. Описание теоретических моделей
фильм эконометрический успех статистика
Рассмотрим исследуемую выборку и источник данных.
Исследование проводится на основе следующих информационных баз данных,
представленных на нескольких сайтах:
Ø Англоязычный веб-сайт Box Office
Mojo, на котором в свободном доступе можно найти информацию по кассовым сборам
фильма, затратам на производство фильма и прочим техническим данным. Владелец -
Amazon.com.
Ø Крупнейшая в мире база данных и
веб-сайт о кинематографе Internet Movie Database (IMDb), на котором можно найти
информацию об особенностях производства и проката фильма (например, показатель
«звездная сила» и т. д.). Владелец - Amazon.com.
Ø Metacritic - крупнейший англоязычный
сайт, агрегирующий отзывы о музыке, видео играх, телевизионных программах и
фильмах. А также сайт собирающий обзоры, информацию и новости мира
кинематографа - Rotten Tomatoes. На этих сайтах можно найти агрегированную
оценку фильма кинокритиками.
Общая первоначальная оцениваемая выборка состоит из 100
лучших по кассовым сборам фильмов США, выгрузка данных произведена
19.01.2016. Выгрузка произведена вручную, на основе использования макросов в Excel при обработке отдельных данных на
вышеуказанных сайтах. Как дополнительный практический результат работы с
первичной выборкой, получен рабочий вариант шаблона по составлению готовых «dta» таблиц для экспорта информации с
сайтов и их импорта в статистической пакет программного обеспечения STATA 12.
Так как формат данной исследовательской работы не
подразумевает сбор данных о длительности состояний и как следствие
продолжительное наблюдение за обследуемыми объектами, было решено ограничиться
исследованием точечной конъюнктуры рынка кассовых сборов по показанным фильмам
за 2015 год. по данным на начало 2016 года. Данный временной коридор
представляется интересным в связи с тем, что он отражает новейшую информацию об
успешности реализованных кинокартин.
В таблице 1.8 представлен список и расшифровка
кодировки используемых в исследовании переменных
Таблица 1.8. Список переменных и их расшифровка.
|
Код переменной
|
Тип переменной
|
Расшифровка
|
|
Объясняемые переменные:
|
|
BO (Box office)
|
Количественная
|
Сумма, заработанная фильмом с продажи билетов в кинотеатрах
США. Сумма в долларах США без учета инфляции.
|
|
P (Profitability)
|
Количественная
|
Переменная, полученная при делении суммы киносборов (BO) на бюджет кинокартины (PC). Отражает показатель
рентабельности кинокартины.
|
|
Объясняющие переменные:
|
|
PC (Production cost)
|
Количественная
|
Бюджет кинокартины в долларах США.
|
|
FU (Follow up)
|
Качественная
|
Наличие более одного фильма у этой кинофраншизы, например
сиквел или приквел. (1 - есть; 0 -нет)
|
|
GN (Genre)
|
Качественная
|
Жанр фильма. Выборка разделяется на серьёзные фильмы,
целящиеся на награды (1 - драмы, триллеры и т.п.) и на популярные массовые
фильмы, т.е. на развлекательное кино (0 - боевики, комедии и т.п.).
|
|
SP (Star-power)
|
Качественная
|
Наличие у фильма известного актёрского и/или
производственного составов. (1 - есть; 0 -нет)
|
|
PR (Professional reviews)
|
Количественная
|
Агрегированная профессиональная оценка от 0 до 100,
отражающая качество фильма по мнению основных кинокритиков.
|
|
RT (Ratings)
|
Качественная
|
Возрастной рейтинг (ценз) американской киноассоциации.
Кодировка: G - 1; PG - 2; PG13
- 3; R - 4; NC - 5. Базовая группа: G - 1.
|
Комментируя таблицу №1.8, стоит уточнить смысл
кодировки переменной рейтинга американской киноассоциации:
Ø Рейтинг G: Фильм демонстрируется без
ограничений;
Ø Рейтинг PG: Детям рекомендуется смотреть фильм
с родителями;
Ø Рейтинг PG-13: Лица, не достигшие 13-летнего возраста, допускаются
на фильм только с родителями;
Ø Рейтинг R: Лица, не достигшие 17-летнего
возраста, допускаются на фильм только в сопровождении одного из родителей, либо
законного представителя;
Ø Рейтинг NC-17: Лица 17-летнего возраста и младше не допускаются.
Опишем типичную американскую кинокартину за 2015 год:
это картина с кассовыми сборами в 101 млн. долларов США; с затратами на съёмку
в 63 млн. долларов; это единственный фильм в кинофраншизе (27%), который
целится на награды, а не на широкую аудиторию (32%); у фильма известный
актерский и (или) производственный составов (67%), со средней оценкой фильма от
кинокритиков в 55 баллов из 100; на этот фильм лица, не достигшие 13-летнего
возраста, допускаются только с родителями (46%).
Средняя рентабельность фильма составляет 527%, т.е.
фильм окупил свой бюджет и принёс 427% прибыли. Это выше обычных оценок
отраслевой рентабельности и нужно проверить выборку на наличие выбросов либо по
переменной кассовых сборов, либо по переменной бюджета кинокартины, однако уже
сейчас видно, что, скорее всего, мы столкнулись с очень успешными (в плане
кассовых сборов), но низкобюджетными кинокартинами.
Основная методика работы с выбросами в данных будет
классической. Фильмы с огромным значением рентабельности (выше 900%) удаляются
из анализа при оценке модели рентабельности кинокартины. Альтернативной
методикой в конце главы 2 будет представлена медианная регрессия.
Графический анализ выборки
Проведём графический анализ выборки и проверим
предположения о наличии в модели выбросов. Оценим распределение денежных
переменных в нашей выборке и оценим степень их соответствия нормальному
распределению в гистограмме 1.9.
Гистограмма 1.9. Сборы и бюджет фильма; млн. дол.
США.

По оси ординат отражена частота появления значений
параметра в выбранном диапазоне, а по оси абсцисс отражены диапазоны киносборов
(слева) и бюджета кинофильма (справа) в млн. долларов. Как видно, оба графика
указывают на отсутствие нормального распределения переменных киносборов и
бюджета кинофильма, что типично для денежных переменных. Это может привести к
отсутствию нормальности остатков в регрессионной модели и неадекватности выводов
при тестировании гипотез в модели. Предлагается логарифмировать обе переменные,
чтобы избежать вышеуказанной проблемы. Результат логарифмирования можно оценить
на гистограммах 1.10.
По оси ординат следующей гистограммы также отражена
частота появления значений параметра в выбранном диапазоне, но на оси абсцисс
отражены диапазоны логарифмов киносборов и бюджета кинофильма соответственно.
Ситуация улучшилась: оба распределения приблизились к нормальному, однако они
всё ещё могут привести к несоблюдению предпосылки о нормальности остатков в
модели.
Гистограмма 1.10. Логарифмы сборов и бюджета
фильма; млн. дол. США.

Если предположить, что в дальнейшем выборка будет
расширяться (корректируя её на инфляцию при расширении временного коридора) и
также ссылаясь на центральную предельную теорему, то, скорее, переменные
кассовых сборов и бюджета картины являются величинами, распределенными
нормально (при дальнейших исследованиях предполагается переход к отклонению от
среднего).
Интересно также рассмотреть и оценить вид связи
(линейная или нет) в распределении киносборов с бюджета кинокартины и с
оценками кинокритиков на точечной диаграмме 1.11.
Точечная диаграмма 1.11 Киносборы/бюджет
и киносборы/оценка кинокритиков

На оси ординат отражены кассовые сборы, а на оси
абсцисс значения бюджета кинофильма (слева) и оценки кинокритиков (справа) в
млн. долларов.
Как видно на обеих точных диаграммах, наблюдается
прямая положительная зависимость между стоимостью картины, оценками
кинокритиков и её сборами, а так же выбросы, которые возможно, в случае с
моделью сборов кинокартины, можно оставить в модели. Эта связь появляется после
преодоления величины бюджета картины примерно в 25 млн. долларов США.
Стоит отметить, что регрессант рентабельности
кинокартины имеет 5 значений-выбросов, которые выше 900%: 1304,12%; 2259,67%;
2650,13%; 3248,21%; 22764,41%. Это уникальные примеры малобюджетных кинокартин
с большими кассовыми сборами. На графике рентабельности и бюджетных затрат
(диаграмма 1.12) можно выделить область до 5 млн. долларов бюджета фильма,
которым скорее соответствуют пять супер рентабельных фильмов, убрав которые
можно перейти от гиперболы к линейной функции, не изменяя форму нашего
регрессанта.
Точечная диаграмма 1.12. Рентабельность/бюджет
и рентабельность/оценка кинокритиков.

По оси ординат отражен параметр рентабельности, а по
оси абсцисс -значения бюджета кинофильма (слева) и оценки кинокритиков (справа)
в млн. долларов.
На точечной диаграмме 1.12 справа не обнаруживается
связи между оценкой фильма критиками и рентабельностью. Скорее всего,
переменная оценки кинокритиков будет незначима во второй нашей регрессионной
модели.
Описание теоретических моделей
Планируется оценить две модели:
) Модель кассовых сборов кинокартины:
(1)
) Модель рентабельности кинокартины:
(2)
Первая модель оценивает абсолютный успех кинокартины в
денежном эквиваленте и является основной в нашем анализе. Вторая модель
оценивает успех в относительном виде - рентабельности кинокартины и является
вспомогательной. Главное различие этих моделей в том, что для создания второй
модели мы берём переменную бюджета кинокартины (PC) из регрессоров и делим наш регрессант кассовые сборы (BO) на эту переменную, получая тем
самым рентабельность.
Выборка для первой модели составляет 100 наблюдений, а
для второй модели ограничена 95 наблюдениями, исключая пять супер рентабельных
кинокартин, которые идут как исключения из нашего анализа
.
Для предварительного анализа степени связей между
переменными воспользуемся парным корреляционным анализом. (табл. 1.13)
Таблица 1.13. Корреляционная
матрица.
В таблице представлена корреляционная матрица всех
наших параметров. В ней указаны символом «*» значимые (на 5% уровне значимости)
значения парных корреляций.
Обнаруживается высокая и значимая корреляция кассовых
сборов (BO) и таких показателей как: бюджет
кинокартины (PC), количество фильмов в кинофраншизе
(FU) и оценка кинокритиков (PR). Менее высокий, но значимый уровень
корреляции отображают показатели: жанр кинокартины (GN) и возрастной рейтинг американской киноакадемии (RT).
Нет значимой корреляции между кассовыми сборами и
актёрским составом. Стоит учесть, что к проблеме мультиколлинеарности мы
вернёмся позже, первичный анализ пока не выявил этой проблемы.
Если рассматривать основным регрессором
рентабельность, то значимая корреляция проявляется только с издержками на
кинокартину и известным актёрским составом. Возможно, вторая модель будет
обладать низкой объясняющей способностью.
Глава 2. Эконометрическая оценка
детерминант успеха фильма.
.1 Регрессионный анализ
Первичная оценка моделей. Проведём первичную регрессионную
оценку модели №1:
Таблица 2.1. Регрессионная
статистика по модели №1.
Оценим первичную модель (1): гипотеза о неадекватности
всей регрессионной модели отвергается на любом адекватном уровне значимости
. Объяснено более половины вариации
кассовых сборов, что для микроданных очень хороший результат. Значимыми
оказались только три параметра регрессионной модели: бюджет, кинофраншиза и
оценка кинокритиков. Рассмотрим регрессионную статистику для модели №2.
Таблица 2.2. Регрессионная
статистика по модели №2.
Оценим первичную модель (2): гипотеза о неадекватности
всей регрессионной модели отвергается на любом адекватном уровне значимости
. Объяснено 16% вариации
рентабельности кинокартины, что для микроданных неплохой результат. Значимыми
оказались только три параметра и константа: кинофраншиза, жанр и актёрский
состав.
Тестировать гипотезы и доверять полученным результат
оценки модели мы ещё не имеем права, необходимо провести проверку регрессионной
модели на соответствие основным предпосылкам теоремы Гаусса-Маркова и ряд
дополнительных проверок.
Проведение спецификации модели. Выберем правильную функциональную
форму для модели (1) и (2). В приложение №3 представлена процедура спецификации
обеих моделей.
Для модели №1 более адекватно использовать
логарифмы денежных переменных (бюджет кинофильма и киносборы), как указывалась
в пункте 2.1; также стоит оценивать переменную возрастного рейтинга кинофильма
не как одну переменную из 4-х категорий, а как три искусственных переменных
(одна категория убирается - ловушка искусственных переменных).
Для модели №2 мы рассмотрим переменную возрастного
рейтинга кинофильма как три отдельные искусственные переменные и посмотрим на
изменение нормированного коэффициента детерминации. Если он вырастет, то модель
с отдельными возрастными рейтингами будет предпочтительнее.
Специфицированная форма до тестирования для модели 1:
Специфицированная форма до тестирования для модели 2:
В обеих моделях ряд переменных является незначимым,
спецификация модели с такими переменными неадекватна и противоречит первому
условию ТГМ. Однако до тестирования соблюдения остальных условий ТГМ мы не
знаем, действительно ли параметры незначимы потому, что они обладают малой
объясняющей силой для наших регрессантов или же потому, что они незначимы из-за
несоблюдения условий ТГМ. Именно поэтому принято тестировать полученные результаты
на адекватность и устойчивость.
Дальнейшая часть исследования ставит своей задачей
проверить следующее утверждение: «действительно ли ряд параметров нашей модели
незначимы сами по себе, или это последствия ряда эконометрических проблем»?
.2 Тестирование качества параметров модели
Во-первых, протестируем отсутствие в нашей
модели мультиколлинеарности. Она приводит к неустойчивости оценок в модели.
Общепринятого теста на мультиколлинеарность нет,
однако принято проверять значения парных коэффициентов корреляции у регрессоров
и для тех из них, у кого значение корреляции выше 0,8 строить индекс вздутия
дисперсии (VIF). Он строится при помощи
вспомогательной регрессии оцениваемого регрессора на остальные регрессоры в
модели. Если значение индекса VIF
окажется в интервале [1;3] мы столкнулись со слабой мультиколлинеарностью и
устранять её нет необходимости.
Таблица 2.3. Тестирование
мультиколлинеарности.
|
Название параметра или индекса
|
Модель №1
|
Модель №2
|
|
VIF (lnPC)
|
1.68
|
-
|
|
VIF (FU)
|
1.17
|
1.17
|
|
VIF (GN)
|
1.36
|
1.23
|
|
VIF (SP)
|
1.60
|
1.21
|
|
VIF (PR)
|
1.21
|
1.13
|
|
VIF (RT-PG)
|
28.15
|
26.73
|
|
VIF (RT-PG13)
|
15.72
|
14.84
|
|
VIF (RT-R)
|
26.28
|
24.53
|
|
Корреляционная матрица:
|
В обеих моделях обнаружена сильная
мультиколлинеарность по параметрам возрастного рейтинга, т.к. их VIF-ы больше 7-ми, однако чисто
структурно мы всегда можем перейти к старому виду этой переменной, который не
отражает три отдельные переменные. Более того по форме данных видно, что мы
столкнулись скорее с проблемой маленькой выборки по этой переменной, чем с
проблемой мультиколлинеарности. Предполагается, что при увеличении выборки
проблема мультиколлинеарности исчезнет, и на данной стадии мы можем её
проигнорировать, но необходимо учесть, что оценки параметров по этим переменным
неустойчивы, а их дисперсии сильно раздуты. Однако если мы выкинем эти
параметры из модели, качество её подгонки значимо просядет.
Во-вторых, протестируем отсутствие в нашей модели
гетероскедастичности. Это проблема неоднородности наблюдений, выражающаяся в
непостоянной дисперсии случайной составляющей (ошибки) регрессионной модели
(т.е. не выполняется свойство
).
Следствие гетероскедастичности - неэффективность оценок, полученных с помощью
МНК. Более того, оценка ковариационной матрицы параметров модели оказывается
смещённой и несостоятельной. В итоге, любые выводы о качестве параметров могут
быть неадекватными.
Воспользуемся
тестами Уайта и Бройша-Пагана. Гипотезы для тестов:
(гомоскедастичность);
(гетероскедастичность).
Таблица 2.4 Проверка
гетероскедастичности.
|
Модель №1
|
Модель №2
|
|
Статистика Уайта
|
41,04
|
23,96
|
|
P-value (Уайт)
|
0,0862
|
0,3491
|
|
Вывод
|
Гетероскедастичность
|
Гомоскедастичность
|
|
Статистика Бройша-Пагана
|
3,75
|
15,65
|
|
P-value (Бройш-Паган)
|
0,8789
|
0,0285
|
|
Вывод
|
Гомоскедастичность
|
Гетероскедастичность
|
Процедуры тестов и расчёты представлены в приложениях
№3 и №4.Так как для обеих моделей хотя бы один тест выдал значение P-value меньше уровня значимости в 10%, то в обеих моделях
присутствует гетероскедастичность ошибок. Её устранение проводится в приложении
№6.
В-третьих, протестируем Наличие нормальности в
распределении ошибок (
). В случае отсутствия нормальности остатков мы не можем
полагаться на выводы статистических тестов (таких как t, F,
χ2), так как их асимптотическое
распределение не будет стремиться к нормальному. То есть, мы не сможем
тестировать гипотезы и говорить о значимости тех или иных переменных в
модели, используя эти статистики. Другими словами, из нормальности ошибок будет
следовать то, что у нас нормально распределены также и
а это значит, что мы сможем
тестировать различные гипотезы, так как t, F и
распределения являются функциями от
нормального. И мы сможем доверять полученным результатам тестирования.
Проведём тест на нормальность ошибок, используя тест
Шапиро-Вилка.
Гипотезы: Ho: Остатки распределены
нормально; H1: Остатки не распределены нормально.
Таблица 2.5. Тест Шапиро-Вилка на
нормальность остатков.
Нулевая гипотеза о нормальном распределении ошибок в
модели отвергается для обеих моделей на 5% уровне значимости. В приложении № 7
можно ознакомится с графиками ядерной оценки распределения Кернела, сравнив их
с нормальным. Только для первой модели они более или менее соответствуют
нормальному распределению.
Поскольку для обеих моделей P-value (Prob>z) меньше 5%, то основная гипотеза отвергается, и остатки
нашей модели распределены ненормально. Так как по ЦПТ: «сумма достаточно
большого количества слабо зависимых случайных величин, имеющих примерно
одинаковые масштабы (ни одно из слагаемых не доминирует, не вносит в сумму
определяющего вклада), имеет распределение, близкое к нормальному», мы не
станем исправлять данную проблему, а просто уточним, что потом, когда мы начнём
увеличивать выборку (с каждым добавляемым годом мы получаем больше данных)
данная проблема самоустранится. И надёжность результатов тестирования гипотез
не будет подвергаться сомнению. Более того, вторая модель является
вспомогательной и, в крайнем случае, её выводами можно будет пренебречь.
В-четвёртых, проанализируем выбросы в моделях.
Сначала проведём проверку на наличие вертикальных выбросов. Воспользуемся
остатками по Стьюденту:
Правило здесь простое, если e*>2 по модулю, то в модели присутствует вертикальный
выброс. Рассмотрим график 2.6.
График 2.6. Вертикальные выбросы
(Остатки по Стьюденту):
|
Модель 1:
|
Модель 2:
|
По оси ординат отражены остатки по Стьюденту, а по оси
абсцисс отражен номер кинокартины. Пять наблюдений оказались выше двух по
модулю для первой модели и шесть- для второй модели. Получается, что выборка не
сильно однородна, как мы ранее предполагали.
Необходимо
провести проверку на наличие горизонтальных выбросов. Вычислим «Расстояние
Кука» (Cook’s Distance - Di) для всех наблюдений. Выделим те
наблюдения, для которых
т.е. больше 0,04 это и будут наши выбросы. Обнаружено
11 горизонтальных выбросов для модели №2 и 7 горизонтальных выбросов для модели
№1.
В
заключение тестирования параметров оценим медианные регрессии и сравним её с
нашими оцениваемыми моделями. Суть медианной (квантильной) регрессии состоит в
том, чтобы отказаться от моделирования среднего, как это делается в обычной
модели МНК, а моделировать медиану или любой другой квантиль распределения.
Таблица 2.7. Сравнение медианной и
обычной модели МНК.
Данный метод крайне устойчив к «выбросам», которые
часто встречаются в практических задачах (как, например, в нашей) и, сравнив
его результат с классической моделью в таблице 2.24, мы можем прийти к выводу о
значимости влияния выбросов, если они есть у нас в модели.
Как видно в таблице 2.15 - параметры для некоторых
переменных значимо отличаются друг от друга, однако если для первой модели (ols1 и med1) это не так принципиально, то для второй модели
отличия значимы (ols2 и med2). Для корректировки модели от
выбросов лучше использовать медианную регрессию, в особенности для модели №2.
Тестирование устойчивости моделей и коэффициентов приводится в приложении №8.
2.3 Интерпретация
результатов. Стратегии компаний
Итоговая спецификация моделей. Получены следующие итоговые
спецификации моделей (с удалёнными незначимыми переменными) и оценки их
параметров:
1) Модель кассовых сборов
кинокартины:
Таблица 2.8. Итоговая оценка
параметров для модели №1 (МНК).
Модель адекватна с эконометрической и экономической
точки зрения, объяснено 60,35% вариации кассовых сборов, все параметры значимы
на 5% уровне значимости. Однако модель чувствительна к выбросам и требует
дополнительной спецификации (тест Рамсея) и расширения выборки, чтобы устранить
мультиколлинеарность по переменной RTi. Однако полученные оценки, несмотря на все уточнения,
являются эффективными в классе линейных несмещённых оценок. Переменная
актёрский состав оказалась незначимой, что противоречит результатам
исследования Р.Нэльсона и Р. Глотфельти. Теперь мы можем тестировать гипотезы.
Таблица 2.9. Результат
тестирования гипотез и выводы по модели №1.
|
Для модели кассовых сборов:
|
|
Нулевая гипотеза
|
Выводы
|
|
|
Кассовые сборы положительно зависят от бюджета кинокартины.
|
Гипотеза НЕ отвергается, чем выше бюджет, тем выше
киносборы.
|
|
|
Наличие более одного кинофильма в кинофраншизе положительно
влияет на кассовые сборы.
|
Гипотеза НЕ отвергается, если кинофраншиза представлена
более чем один фильмом, киносборы выше.
|
|
|
Более популярные жанры фильмов приносят больше кассовых
сборов.
|
Гипотеза НЕ отвергается, серьёзные кинофильмы приносят
меньше кассовых сборов, так как меньше привлекают аудиторию.
|
|
|
Кассовые сборы положительно зависит от актёрского и
производственного состава.
|
Гипотеза отвергается, связи актёрского и производственного
состава и киносборами не обнаружено.
|
|
|
Оценка кинокартины положительно влияет на киносборы.
|
Гипотеза НЕ отвергается, с ростом значения оценки
кинокартины, растут киносборы, так как люди ориентируются на мнения
кинокритиков при решении пойти в кино.
|
|
|
Фильмы без возрастного ограничения положительно влияют на
кассовые сборы.
|
Гипотеза отвергается, кассовые сборы во всех случаях выше,
если есть возрастные ограничения. Наибольшие кассовые сборы получаются при
возрастном рейтинге PG-13
|
) Модель рентабельности кинокартины:
Для анализа предлагаются одновременно две модели:
неустойчивую и укороченную по выборке линейную регрессию (2.3.1) или
непараметрическую устойчивую к выбросам медианную регрессию (2.3.2).
Таблица 2.10. Итоговая оценка параметров
для модели №2(Медианная регрессия).
Таблица 2.11. Итоговая оценка
параметров для модели №2(МНК).
Обе модели адекватны с эконометрической и
экономической точки зрения, объяснено 19,5% вариации рентабельности для модели
линейной регрессии и примерно 3,3% для медианной регрессии. Все параметры
значимы на 5% уровне значимости, кроме константы в линейной регрессии. Модель
линейной регрессии чувствительна к выбросам и требует дополнительной
спецификации (тест Рамсея) и расширения выборки, чтобы устранить
мультиколлинеарность по переменной возрастного рейтинга (RTi), когда вторая модель более
устойчива к выбросам и интересна для нашего анализа. Полученные оценки для
модели медианной регрессии, несмотря на все уточнения и низкую степень
подгонки, являются для нас более привлекательными, хотя по своей природе оценки
медианной регрессии могут быть очень грубыми. Теперь мы можем тестировать
гипотезы для модели №2.
Таблица 2.12. Результат
тестирования гипотез и выводы по модели №2.
|
Для модели рентабельности:
|
Выводы
|
|
|
Рентабельность положительно зависит от наличия других
фильмов в рассматриваемой кинофраншизе.
|
Гипотеза НЕ отвергается, чем выше бюджет, тем выше
рентабельность. Скорее всего тут действует эффект масштаба.
|
|
|
Рентабельность положительно зависит от популярности жанра.
|
Гипотеза отвергается, более рентабельны серьёзные картины
ориентированные на награды.
|
|
|
Рентабельность положительно зависит от актёрского и производственного
состава.
|
Гипотеза отвергается, более популярный актёрский и
производственный состав стоит больших издержек, и даже большие кассовые сборы
не всегда покрывают их.
|
|
|
Оценка кинокартины положительно влияет на киносборы.
|
Гипотеза отвергается, связи оценки кинокартины и
рентабельности не обнаружено.
|
|
|
Рентабельность отрицательно зависит от ограничений на
просмотр фильма.
|
Гипотеза отвергается, рентабельность во всех случаях выше,
если есть возрастные ограничения. Наибольшие кассовые сборы получаются при
возрастном рейтинге R,
который не допускает на показ людей младше 17 лет.
|
По полученным результатам можно вывести две явные
стратегии для кинокомпаний и подчеркнуть основные факторы, влияющие на них.
Стратегия №1: Максимизация кассовых сборов. Это
генеральная стратегия для крупных фильмов. Кинокомпании стараются снимать
фильмы популярных (кассовых) жанров с очень большой долей маркетинга в бюджете
кинокартины. Также обнаруживается положительная связь самих затрат на фильм и
итоговых кассовых сборов. Более успешны проекты с более чем одним фильмом в
кинофраншизе. На сборы прямо влияют оценки кинокритиков и выбранный возрастной
рейтинг. Оптимальным возрастным рейтингом является рейтинг PG 13. Объясняется это весьма просто.
Студия несильно ограничивает свою аудиторию по возрасту, а взрослому зрителю
действия кинофильма «детскими» не покажутся. Актёрский и производственный
состав незначим в модели, однако, скорее всего, он уже нашёл отражение в
бюджете кинокартины или для удачной маркетинговой компании фильма не критически
важен фактор звёздного состава. Более формально стратегия описана в таблице
2.13.
Таблица 2.13. Стратегия кинокомпании №1.
|
Параметры:
|
Описание стратегии:
|
|
Цель:
|
Максимизация сборов
|
|
Жанр:
|
Популярные массовые фильмы, то есть развлекательное кино.
|
|
Бюджет:
|
Широкая маркетинговая компания, привлечение звёзд.
|
|
Целевая аудитория:
|
13+ и выше (Возрастной ценз PG-13 и выше).
|
|
Оценка кинокритиков:
|
Стратегия чувствительна к оценкам кинокритиков.
|
|
Звёздный состав актёров:
|
Нет связи с киносборами, скорее всего параметр уже отражён
в бюджете.
|
|
Кинофраншиза:
|
Если присутствует кинофраншиза, то эффект маркетинговой
компании будет эффективнее.
|
Стратегия №2: Максимизация рентабельности.
Генеральная стратегия для некрупных фильмов. Кинокомпании стараются обдуманно
вкладывать деньги в проект, главным фактором является отдача от вложенных
средств. Кинокомпании подбирают серьёзные фильмы, ориентированные на награды
для конкретных целевых аудиторий с возрастным цензом выше 13 лет (или 17-ти).
Картины этого класса отличаются продуманным бюджетом с высокой отдачей на
вложенный капитал, при этом присутствует эффект масштаба - наличие в
кинофраншизе более одного фильма приводит к росту рентабельности. На последнюю
уже не влияют оценки кинокритиков, наверно чаще всего фильмы сами по себе
качественные. Однако наличие известного актёрского и производственного состава
приводит к резкому падению рентабельности. Возможно, что затраты на гонорар
популярным актёрам поглощают большую часть рентабельности или даже больше чем
ту долю кассовых сборов, прирост которых они могут обеспечить присутствуя в
фильме. Более формально стратегия описана в таблице №2.14
Таблица 2.14. Стратегия
кинокомпании №2.
|
Параметры:
|
Описание стратегии:
|
|
Цель:
|
Максимизация рентабельности
|
|
Жанр:
|
Серьёзные фильмы, ориентированные на награды.
|
|
Бюджет:
|
Продуманная и эффективная маркетинговая компания.
|
|
Целевая аудитория:
|
13+ или 17+ и выше (Возрастной ценз PG-13 или R).
|
|
Оценка кинокритиков:
|
Стратегия НЕ чувствительна к оценкам кинокритиков.
|
|
Звёздный состав актёров:
|
Предпочитают не снимавшихся ранее актёров и недорогой
производственный состав.
|
|
Кинофраншиза:
|
Если присутствует кинофраншиза, то эффект маркетинговой
компании будет эффективнее.
|
Более подробная интерпретация результатов таблиц
2.22-23 приведена в разделе 3.3. Полученную нами эмпирическую модель можно
использовать для предсказания кассовых сборов и рентабельности на выборках,
попадающих в исследуемый временной коридор или со стандартным отклонением в
1-1,5 года, как было предложено в работе С. Шугана.
Глава 3. Оценка предпочтений
российского зрителя
.1 Анализ дескриптивной статистики
Описание исследуемой выборки. Общая первоначальная оцениваемая
выборка состоит из 175 заполненных электронных форм анкет. Форма сбора
данных: Google
формы (Google forms). Выгрузка данных произведена 01.05.2016 на основе
использования макросов в Excel
при обработке отдельных вопросов опроса. Составленная готовая таблица
импортирована в статистический пакет программного обеспечения STATA12. Дескриптивная статистика по
выборке приведена в приложении №3.
Анкета опроса состоит из 23 вопросов, оценивающих:
частоту просмотра фильмов, посещения кинотеатров и разнородные предпочтения
респондентов по отношению к кинофильмам и своему свободному времени, а также
характеристики самих респондентов. На основе опросника получены модельные
переменные и описательные статистики по исследуемой выборке для определения её
однородности. Рассмотрим основные социоэкономические параметры выборки (5
вопросов):
Таблица 3.1. Общая характеристика выборки
|
1.Пол респондента
|
Отв.
|
%
|
3. Род деятельности:
|
Отв.
|
%
|
|
Мужской
|
89
|
50.86
|
Учусь
|
88
|
50.29
|
|
Женский
|
86
|
49.14
|
Работаю
|
20
|
11.43
|
|
2. Проживает с родителями?
|
Работаю и учусь
|
65
|
37.14
|
|
|
Да
|
117
|
66.86
|
Не работаю и не учусь
|
2
|
1.14
|
|
Нет
|
58
|
33.14
|
4. Возрастная группа:
|
|
|
5. Материальное положение
|
15-19
|
12
|
6.86
|
|
|
Денег достаточно для приобретения необходимых продуктов и
одежды, на более крупные покупки приходится откладывать
|
58
|
33.14
|
20
|
49
|
28.00
|
|
Покупка большинства товаров длительного пользования не
вызывает трудностей, однако купить квартиру мы не можем
|
74
|
42.29
|
21
|
65
|
37.14
|
|
Денег достаточно чтобы ни в чем себе не отказывать
|
43
|
24.57
|
22
|
25
|
14.29
|
|
|
|
23
|
12
|
6.86
|
|
|
|
24-32
|
12
|
6.86
|
Типичный респондент - это неработающий 21-летний
студент, проживающий с родителями, семья которого спокойно может позволить себе
купить большинство товаров длительного пользования, но не может купить
сверхдорогие товары, например квартиру. С некоторыми ограничениями можно
назвать эту выборку молодёжной и подходящей для исследования предпочтений
российской молодёжи в отношении зарубежных (американских фильмов).
Опишем основные статистические выкладки по
однородности оцениваемой выборки и предпочтениям респондентов:
Таблица 3.2. Что предпочитает
делать респондент в свободное время.
Опишем наших респондентов по их предпочтениям. Как
видно из таблицы 3.2, наша выборка представлена любителями кино (85%), кафе
(66%) и литературы (59%), что подчёркивает актуальность нашего исследования,
т.к. подавляющее большинство любит посмотреть в свободное время кино. Этот
вывод подтверждают результаты частотного анализа - 80% респондентов смотрят
кино, как минимум, один раз в неделю, а половина из этих 80% смотрит кино, как
минимум, один раз за пару дней.
Таблица 3.3. Как предпочитает
респондент смотреть кино?
Как видно в таблице 3.3, респонденты практически
равномерно отдают предпочтения как просмотру в кинотеатре, так и на торрент
трекере, так и на онлайн стриминговых сервисах (45%-47%), однако практически
никто не смотрит фильмы на дисковых носителях (2%).
Таблица 3.4. Как часто респондент
смотрит кино?
Таблица 3.5. В каком случае
респондент предпочитаете просмотр в кинотеатре?
Как видно из таблицы 3.5, более половины респондентов
предпочитает пойти в кино по трём основным причинам: респондент следил за
рекламной компанией (62%); фильма нет в открытом доступе (53%); его хотят
посмотреть друзья/члены семьи респондента (50%).
Таблица 3.6. Какой жанр кино
предпочитает респондент?
В основном российская молодёжь предпочитает комедии
(71%), драмы (62%), и триллеры (50%). Данные таблицы 3.6. схожи с результатами
обследования американских респондентов.
Таблица 3.7. Где и какое кино
посмотрел респондент?
|
Где
|
Фильм я не смотрел
|
В кинотеатре
|
На торрент трекере
|
На онлайн стриминг сервисе
|
На диске
|
|
Бэтмен против Супермена: На заре справедливости
|
101
|
70
|
3
|
1
|
0
|
|
Самый лучший день
|
142
|
16
|
9
|
8
|
0
|
|
Левиафан
|
109
|
18
|
32
|
14
|
2
|
|
Форсаж 7
|
85
|
75
|
8
|
5
|
2
|
|
Звездные Войны: Пробуждение Силы
|
85
|
76
|
7
|
6
|
1
|
|
Из машины
|
123
|
6
|
38
|
7
|
1
|
|
Одержимость
|
94
|
22
|
38
|
16
|
5
|
Таблица 3.8. Агрегированный тип
фильма по жанру.
|
Страна производства:
|
Серьёзные фильмы целящиеся на награды
|
Популярные массовые фильмы
|
|
США
|
Из машины
|
Форсаж 7
|
|
США
|
Одержимость
|
Звездные Войны: Пробуждение Силы
|
|
США
|
|
Бэтмен против Супермена: На заре справедливости
|
|
Россия
|
Левиафан
|
Самый лучший день
|
Анализируя таблицы 3.7-3.8 можно прийти к крайне
важному для нашего исследования выводу. Респонденты предпочитают смотреть
популярные массовые американские фильмы (выделено зелёным) в кинотеатрах, а
более серьёзные американские фильмы они предпочитают смотреть на торрент
трекерах (выделено жёлтым). Такие же выводы можно получить по российским
серьёзным, целящимся на награды, фильмам - их предпочитают смотреть на торрент
трекерах (выделено жёлтым). Однако по массовым популярным российским фильмам
нельзя сделать вывода о том, что их больше предпочитают смотреть в кино, так
как выбранный нами фильм «Самый лучший день» посмотрело менее 19% респондентов
(выделено красным), хотя это самый кассовый российский фильмом 2015 года (10,5
млн. $). Конкретно эту комедию смотрело слишком мало людей, чтобы сделать
значимый вывод о предпочтениях респондентов при визуальном анализе. Вероятнее
всего это связанно с тем, что фильм целится на более взрослую аудиторию. Также
стоит заметить, что 95% респондентов обсуждают с друзьями просмотренные фильмы.
Таблица 3.9. Как часто респондент
посещает кинотеатр?
В таблице №3.9 представлена наша главная зависимая
переменная для эконометрического анализа - частота посещения кинотеатра. Это
категориальная переменная, разделяющаяся на четыре категории: «чаще одного раза
в неделю» (3; 2%); «раз в неделю» (20; 11%); «раз в 2-3 недели» (74; 42%);
«реже одного раза в месяц» (78; 45%). Однако качественный мультикатегориальный
анализ для этой переменной будет провести сложно, т.к. первые две категории
неравномерно представлены в анализе: 2% и 11%, когда остальные две категории
несут в себе 87% выборки, поэтому принято решение разделить выборку на две
категории для дихотомического анализа. Первая подвыборка - «раз в месяц» с
кодировкой 1 для 55% выборки (объединяя категории: чаще одного раза в неделю +
раз в неделю + раз в 2-3 недели + реже одного раза в месяц); вторая подвыборка
- «реже одного раза в месяц» с кодировкой 0 для 45%.
3.2 Оценка факторов, влияющих на
предпочтения респондентов
Для оценки параметров модели предлагается использовать
бинарную модель логистической регрессии. Перечень и расшифровка используемых в исследовании
переменных представлены в таблице 3.10.
Таблица 3.10. Расшифровка
используемых переменных.
|
Код
|
Расшифровка и раскодировка
|
|
Объясняемые переменные:
|
|
GO
|
Респондент предпочтёт пойти в кино чаще одного раза в месяц
(1 - да; 0 -нет);
|
|
Объясняющие переменные:
|
|
GEN
|
Пол респондента (1 - мужчина; 0 - женщина);
|
|
AGE
|
Полный возраст респондента в годах;
|
|
W
|
Род деятельности (1 - учусь; 2 - работаю; 3 - работаю и
учусь; 4- не работаю и не учусь); Базовая группа: 1 -учусь.
|
|
H
|
Проживает с родителями (1 - да; 0 - нет);
|
|
INC
|
Материальное положение (1 - достаточно для приобретения
одежды и еды; 2 - достаточно для товаров длительного пользования; 3 - можно
не в чём себе не отказывать); Базовая группа: 1 - достаточно для приобретения
одежды и еды.
|
|
M2
|
Отношение к маркетингу фильма (1 -безразличие; 2 -
пассивный интерес; 3 - активный интерес; 4 - крайне активный интерес) Базовая
группа: 1 - безразличие.
|
|
FU2
|
Респондент предпочитает наличие в кинофраншизе более одного
фильма (1 - да; 0 -нет);
|
|
TT
|
Респондент использует при просмотре фильмов торрент трекеры
(1 - да; 0 -нет);
|
|
PR2
|
Респондент пользуется агрегированными оценками кинокритиков
(1 - да; 0 -нет);
|
|
MDB
|
Респондент пользуется кинематографическими базами данных (1
- да; 0 -нет);
|
|
RUS
|
Респондент предпочитает кинокартины: (1 - только
зарубежные; 2 - чаще всего зарубежные; 3 - примерно пополам; 4 - чаще всего
российские; 5 -только российские); Базовая группа: 1 - только зарубежные.
|
|
FR*
|
Оценка степени влияния друзей на решение пойти в кино на
конкретный фильм (от 1 для «совсем не влияет» до 5 для «имеет сильное
влияние»);
|
|
BO*
|
Степень влияния кассовых сборов фильма при решении пойти в
кино на конкретный фильм (от 1 для «совсем не важно» до 5 для «очень важно»);
|
|
PC*
|
Степень влияния бюджета фильма при решении пойти в кино на
конкретный фильм (от 1 для «совсем не важно» до 5 для «очень важно»);
|
|
SP*
|
Степень влияния актёрского и производственного состава
фильма при решении пойти в кино на конкретный фильм (от 1 для «совсем не
важно» до 5 для «очень важно»);
|
|
AW*
|
Степень влияния количества наград у фильма при решении
пойти в кино на конкретный фильм (от 1 для «совсем не важно» до 5 для «очень
важно»);
|
|
FU*
|
Степень влияния кинофраншизы фильма при решении пойти в
кино на конкретный фильм (от 1 для «совсем не важно» до 5 для «очень важно»);
|
|
M*
|
Степень влияния маркетинга фильма при решении пойти в кино
на конкретный фильм (от 1 для «совсем не важно» до 5 для «очень важно»);
|
|
PR*
|
Степень влияния оценки кинокритиков при решении пойти в
кино на конкретный фильм (от 1 для «совсем не важно» до 5 для «очень важно»);
|
|
GN*
|
Степень влияния жанра фильма при решении пойти в кино на
конкретный фильм (от 1 для «совсем не важно» до 5 для «очень важно»);
|
Примечание: для выделенных знаком «*» переменных,
базовая группа «1»: «совсем не важно».
Стоит уточнить, что базовая группа «1» удаляется для
каждой категориальной переменной, у которой более двух категорий, чтобы
избежать ловушки искусственных переменных. Также до оценки модели проведён
анализ мультиколлинеарности между всеми переменными и их группами -
максимальный VIF составил 2,04; средний VIF 1,34;. Мультиколлинеарность не
выявлена.
Количество переменных в этой модели является
избыточным для выборки в 175 респондентов, поэтому необходимо более осторожно
подойти к процессу спецификации модели. Принято решение, несмотря на большую
критику подхода в ряде эконометрических учебников, применить пошаговую
регрессионную процедуру в двух вариациях: PE-процедура - рассчитывается общая модель со всеми
регрессорами и далее пошагово удаляются незначимые на 20% уровне значимости
параметры; PR-процедура - расчёты начинается с
пустой модели и в неё добавляются наиболее значимые переменные, пока все
значимые на 20% уровне значимости переменные не будут добавлены. Также,
учитывая результаты главы №2 необходимо учесть влияние гетероскедастичности на
значимость параметров, поэтому для каждой процедуры также продублированы
расчёты для робастных стандартных ошибок.
Итоговый результат этих процедур представлен в таблице
3.11:
Таблица 3.11 Оценки параметров логистической
регрессии:
Можно считать, что по степени подгонки модели
эквиваленты, однако в каждой модели разный набор переменных и необходимо
выбрать наиболее адекватную модель для оценки нашей выборки. Для выбора
оптимальной модели мы будем использовать оценку площади под ROC-кривой, по методологии, предложенной
М. Клеве. Чем больше будет выгнута ROC-кривая, тем более точным является
прогнозирование результатов модели.
Оценивая таблицу 3.12, было принято решение остановиться
на модели с PR-процедурой подбора параметров с
робастными стандартными ошибками, как модели с большим значением под ROCC кривой (и как наименее
противоречащей экономическому смыслу модели). Оценим качество нашей модели в
таблице 3.13.
Таблица 3.12. Оценка площади под ROC кривой для выбора модели:
Таблица 3.13. Дополнительная
статистика по модели:
Качество модели характеризуют: критерий согласия
Хосмера-Лемешова (р=0,5415, что явно больше 5% ур. значимости),
чувствительность - 83,16%, специфичность - 68 %. Прогностичность положительного
результата 76,7%, прогностичность отрицательного результата - 76,12%. (см.
приложение №10)
Оценивая выбросы в приложении №9 можно предположить,
что в модели есть порядка десяти выбросов (по пять с каждой стороны
подвыборок). Там же оценивая график чувствительности к специфичности, можно
оценивать и изменять критерий отсечения одной подвыборки от другой.
Предполагается, что для достижения более качественного разделения выборки
необходимо расширить выборку и достичь двух равномерных подвыборок (50% на 50%)
и избавиться от выбросов.
Оценим логит-модель в таблице 3.14:
Таблица 3.14. Оценки модели
логистической регрессии:
Мы заинтересованы в том, чтобы узнать, какой эффект
имеет изменение в определённой переменной на вероятность пойти в кинотеатр. Для
этого необходимо вычислить маржинальный эффект этой переменной в данной
регрессии. Для этого в STATA существует команда margins, atmeans c
различными опциями, которая вычисляет маржинальные эффекты, фиксируя значения
всех регрессоров на уровне средних (алгоритм процедуры опции atmeans). Другими
словами, для более объективного анализа воспользуемся оценкой предельного
эффекта влияния этого параметра на вероятность пойти в кино. (табл. 3.15 и см.
приложение №11).
Таблица 3.15. Оценка предельных эффектов и
интерпретация результатов:
|
Код
|
П.Э.
|
пп.
|
Интерпретация
|
|
_IPC_3
|
0,3503
|
35,03 пп.
|
Если для респондента нейтрален бюджет фильма, то
вероятность что он пойдёт в кино вырастет на 35 пп.
|
|
_IM_3
|
0,3370
|
33,70 пп.
|
Если для респондента нейтральна маркетинговая компания
фильма, то вероятность что он пойдёт в кино вырастет на 34 пп.
|
|
PR2
|
0,3118
|
31,18 пп.
|
Если респондент использует агрегированные оценки
кинокритиков, то вероятность что он пойдёт в кино вырастет на 31 пп.
|
|
_IPC_2
|
0,3071
|
30,71 пп.
|
Если для респондента скорее неважен бюджет фильма, то
вероятность что он пойдёт в кино вырастет на 31 пп.
|
|
H
|
0,2676
|
26,76 пп.
|
Если для респондента живёт с родителями, то вероятность что
он пойдёт в кино вырастет на 27 пп.
|
|
_IAW_5
|
0,2577
|
25,77 пп.
|
Если для респондента очень важны премии и награды фильма,
то вероятность что он пойдёт в кино вырастет на 26 пп.
|
|
_IM_4
|
0,2523
|
25,23 пп.
|
Если для респондента скорее важна маркетинговая компания
фильма, то вероятность что он пойдёт в кино вырастет на 25 пп.
|
|
_IW_2
|
0,2465
|
24,65 пп.
|
Если респондент учится и работает, то вероятность что он
пойдёт в кино вырастет на 25 пп.
|
|
_IPC_4
|
0,2430
|
24,30 пп.
|
Если для респондента скорее важен бюджет фильма, то
вероятность что он пойдёт в кино вырастет на 24 пп.
|
|
_IM_2
|
0,1997
|
19,97 пп.
|
Если для респондента скорее неважна маркетинговая компания
фильма, то вероятность что он пойдёт в кино вырастет на 20 пп.
|
|
TT
|
0,1981
|
19,81 пп.
|
Если респондент пользуется торрент трекерами для просмотра
фильмов, то вероятность что он пойдёт в кино вырастет на 20 пп.
|
|
FU2
|
0,1885
|
18,85 пп.
|
Если респондент любит большие кинофраншизы, то вероятность,
что он пойдёт в кино, вырастет на 19 пп.
|
|
_IFR_3
|
-0,1939
|
-19,39 пп.
|
Если есть среднее влияние мнения друзей на респондента, то
вероятность, что он пойдёт в кино упадёт на 19 пп.
|
|
_IPR_4
|
-0,2087
|
-20,87 пп.
|
Если для респондента скорее важна оценка кинокритиков по
фильму, то вероятность, что он пойдёт в кино упадёт на 21 пп.
|
|
_IRUS_2
|
-0,2088
|
-20,88 пп.
|
Если респондент чаще смотрит зарубежные фильмы, то
вероятность, что он пойдёт в кино упадёт на 21 пп.
|
|
_IBO_3
|
-0,2195
|
-21,95 пп.
|
Если для респондента нейтрально значение кассовых сборов
фильма, то вероятность, что он пойдёт в кино упадёт на 22 пп.
|
|
_IGN_5
|
-0,2266
|
-22,66 пп.
|
Если для респондента очень важен жанр фильма, то
вероятность, что он пойдёт в кино упадёт на 23 пп.
|
|
_IBO_2
|
-0,3504
|
-35,04 пп.
|
Если для респондента скорее не важны кассовые сборы фильма,
то вероятность, что он пойдёт в кино упадёт на 35 пп.
|
|
_ISP_3
|
-0,3746
|
-37,46 пп.
|
Если для респондента нейтрален актёрский и производственный
состав фильма, то вероятность, что он пойдёт в кино упадёт на 37 пп.
|
-0,4710
|
-47,10 пп.
|
Если для респондента скорее неважна оценка кинокритиков по
фильму, то вероятность, что он пойдёт в кино упадёт на 47 пп.
|
.3 Рекомендации по повышению эффективности управленческих
стратегий
На основе результатов главы №2 были выявлены две
основные управленческие стратегии: стратегия максимизации кассовых сборов
кинокартины (1) и стратегия максимизации рентабельности кинокартины (2).
Они предполагают разный подход к выбору жанра и
целевой аудитории.
Таблица 3.16. Сводная таблица 1 -
стратегия/рекомендации:
|
Стратегия:
|
Максимизация сборов
|
Максимизация рентабельности
|
|
Рекомендации для России:
|
Необходимо выбирать популярные жанры (комедии, боевики и
т.п.), привлекая известных звезд. Важно планомерно работать над оценкой
кинокритиков и стараться угадать общие желания аудитории (от 13 лет и выше).
Необходимо отдавать предпочтения фильмам с существующей кинофраншизой.
Предпочтение семейным фильмам.
|
Необходимо выбирать серьёзные жанры (драмы, триллеры и
т.п.). Ориентироваться на получение наград и премий. Стараться привлекать к
съемкам ранее не снимавшихся актёров. Для фильма оценка кинокритиков уходит
на второй план. Необходимо отдавать предпочтения фильмам с существующей
кинофраншизой. Предлагается выделить целевую аудиторию (от 13 лет и выше или
от 17 лет и выше) и в дальнейшем работать с ней.
|
На основе анализа таблицы 3.5 в начале главы можно
прийти к грубому выводу, что основными драйверами похода в кино для российской
молодёжи являются:
Ø Привлёкшая конкретного респондента
маркетинговая компания (a);
Ø Отсутствие фильма в открытом доступе
в интернете (b);
Ø Желание респондента пойти в кино с
друзьями или членами семьи (c).
Это подтверждают предельные эффекты для нашей
логистической регрессии. Так, например, студент, живущий с родителями, имеет на
27 пп. больше вероятность пойти в кино, чем живущий отдельно (c). Более того, молодежь обсуждает с
друзьями фильмы в 95% случаев (вопрос №15). Например, студент, использующий
торрент трекеры (у него на 20 пп. выше вероятность посещения кинотеатра), может
не дождаться появления фильма в открытом доступе и пойти в кинотеатр (b). Студент, оценивающий
агрегированные оценки кинокритиков (часто это производная от качественного
маркетинга и большого бюджета фильма) имеет на 31 пп. выше вероятность пойти в
кино при прочих равных, а студент, отметивший маркетинг от ответа «скорее не
важно», до ответа «скорее важно» повышает вероятность пойти в кино от 20 пп. до
34 пп. (a). Предполагается, что уже плюс-минус
нейтральное отношение к маркетингу является значимым драйвером похода в
кинотеатр, такой же вывод применим к бюджету кинофильма.
В итоге, мы предполагаем, что молодёжь можно разделить
на три целевые группы и разработать отдельные управленческие и маркетинговые
стратегии, продолжая логику таблицы 3.16 в таблице 3.17:
Таблица 3.17 Сводная таблица 2 -
стратегия/рекомендации:
|
Стратегия:
|
Максимизация сборов
|
Максимизация рентабельности
|
|
Рекомендации по Российской аудитории (a):
|
Широкая маркетинговая компания по привлечению всех
возрастных категорий, на который рассчитан фильм. Поддерживать высокую оценку
фильма у кинокритиков и ориентировать на неё аудиторию. Привлекать популярных
актёров.
|
Выбрать конкретную целевую аудиторию и сфокусировать
основные маркетинговые средства на неё. Стараться привлекать молодых,
подающих большие надежды актёров.
|
|
Рекомендации по Российской аудитории (b):
|
Если выбран жанр популярного кино, необходимо вести
активную борьбу с незаконным распространение фильма в течение пары первых
уикэндов. Важен только краткосрочный эффект.
|
Если выбран жанр серьёзного кино, необходимо вести активную
борьбу с незаконным распространением фильма в интернете, в особенности на
торрент трекерах. Важен долгосрочный эффект.
|
|
Рекомендации по Российской аудитории (c):
|
Привлекать одновременно разные категории зрителей: дети и
их родители, молодые пары, компании друзей, коллеги по работе и т.д….
|
Акцентировать внимание при маркетинге на предпочтительности
взрослой аудитории.
|
Более того, нами выдвигается ряд дополнительных
рекомендаций:
) Была обнаружена значимая корреляция (наличие
линейной связи) частоты просмотра фильмов респондентом и факта использования торрент
трекеров при просмотре фильмов. Пик просмотра по торрент треккерам приходится
на недельный промежуток. Другими словами, респонденты, использующие торренты,
чаще всего смотрят кино раз в неделю, и на основании этого факта мы можем
предположить, что чисто технически, скорее всего это выходные дни: суббота и
воскресенье (есть корреляция частоты просмотра и видов занятости респондентов).
Для кинокомпаний, в свете этого предположения, имеет смысл активно бороться с
незаконными торрентами уже начиная с пятницы, чтобы нивелировать вероятность
того, что респондент сможет незаконно просмотреть фильм на выходных и тем самым
повысить вероятность его похода в кинотеатр. Для российского кинематографа
особенно важно бороться с незаконным распространением фильмов серьёзных жанров,
частота просмотра которых на торрентах значимо выше, чем частота просмотра
популярных жанров (табл. 3.7).
) Оценивая результаты логистической регрессии, можно
прийти к выводу, что если для респондента очень важны награды и премии у
фильма, то вероятность того, респондент пойдёт в кинотеатр вырастет на 26 пп.
Это подтверждает результаты, полученные в исследовании Д. Краусса и М.
Хаустона. Поэтому, стоит обратить большее внимание на получение наград и премий
для фильмов с серьёзным жанром (на которые они в общем и ориентированы), т.к.
это значимый драйвер похода в кино молодёжи.
) Общей рекомендацией для киноиндустрии на основе
нашего анализа, будет предложение создавать узнаваемую киноиндустрией и рынком
кинофраншизу. Как было замечено в работе М. Холбрука и М. Аддис, более
узнаваемая кинофраншиза приносит больший финансовый успех кинокартине.
Заключение
Целью исследования являлось определение ключевых
факторов, влияющих на успех фильма, и разработка на основе полученных данных
рекомендаций по повышению эффективности управленческих стратегий в сфере
кинематографа для российского рынка.
Критерий успеха фильма рассматривался на основе двух
отдельных показателей: кассовых сборов и рентабельности. Оценка успешности
фильма была проведена на основе данных по ста наиболее кассовым фильмам
американского рынка кино. В итоге получены две адекватные и значимые модели
линейной регрессии для оценки кассовых сборов и рентабельности (для параметра
рентабельности, страдающего от наличия выбросов, также построена модель
медианной регрессии с более устойчивыми оценками).
Оценка российского рынка кинематографа проведена на
основе анализа опроса 175 респондентов, представляющих студенческую молодёжь и
их кинематографические предпочтения. На основе полученных данных построена
модель бинарной логистической регрессии, предсказывающей вероятность, что
респондент пойдёт в кинотеатр.
В процессе выполнения поставленных в работе задач,
были получены следующие результаты, позволяющие сделать вывод о достижении
поставленной цели:
) Протестированы гипотезы о влиянии ряда параметров
кинофильмов на их кассовые сборы и рентабельность. Получены следующие выводы:
Таблица 3.18. Выводы по
тестированию гипотез
|
Модель кассовых сборов
|
Модель рентабельности
|
|
Гипотеза
|
Вывод
|
Гипотеза
|
Вывод
|
|
Кассовые сборы положительно зависят от бюджета кинокартины.
|
Не отвергается
|
Рентабельность положительно зависит от наличия других
фильмов в рассматриваемой кинофраншизе.
|
Не отвергается
|
|
Наличие более одного кинофильма в кинофраншизе положительно
влияет на кассовые сборы.
|
Не отвергается
|
Рентабельность положительно зависит от популярности жанра.
|
Отвергается, зависимость обратная.
|
|
Более популярные жанры фильмов приносят больше кассовых
сборов.
|
Не отвергается
|
Рентабельность положительно зависит от актёрского и
производственного состава.
|
Отвергается, зависимость обратная.
|
|
Кассовые сборы положительно зависит от актёрского и
производственного состава.
|
Отвергается, связи не обнаружено.
|
Оценка кинокартины положительно влияет на киносборы.
|
Отвергается, связи не обнаружено.
|
|
Оценка кинокартины положительно влияет на киносборы.
|
Не отвергается
|
Рентабельность отрицательно зависит от возрастных
ограничений на просмотр фильма.
|
Отвергается, если есть возрастное ограничение, сборы будут
выше. Оптимальные рейтинги: PG-13 и R
|
|
Фильмы без возрастного ограничения положительно влияют на
кассовые сборы.
|
Отвергается. Если есть возрастное ограничение, сборы будут
выше. Оптимальный рейтинг: PG-13.
|
|
|
) Определены предпочтения российских зрителей, на
примере российской молодежи, в отношении зарубежных (американских) фильмов, а
также факторы, влияющие на эти предпочтения: бюджет кинокартины, оценка
кинокритиков, премии и награды кинофильма, маркетинговая программа, размер
кинофраншизы, использование торрент трекеров и ряд социоэкономических
параметров респондента.
) Обоснованы рекомендации по повышению эффективности
управленческих стратегий в сфере кинематографа для местного рынка по трём
основным целевым группам и по двум основным моделям успешности кинофильма.
Список использованной
литературы
) Аистов А. В., Максимов А. Г. Эконометрика шаг за шагом. Учеб.
пособие для вузов-М.: Изд. дом ГУ ВШЭ, 2006.-178, c. - ISBN 5-7598-0332-9.
) Вентцель Е.С. Теория вероятностей: Учеб. для вузов. - 6-е изд.
стер. - М.: Высш. шк., 1999.
) Кумылганова И. А. и др. Проблемы классификационных систем теле-
и киноиндустрии США в защите детей от нежелательной аудио-визуальной инф-ии
//Медиаскоп. - 2009. - №. 3. - С. 6.
) Сардарян Г.Т. Факторы, определяющие успех фильма с точки зрения
кассовых сборов. М. НИУ-ВШЭ. 2015
) Трегуб А.В., Трегуб И.В. Методика прогнозирования основных
показателей развития отраслей российской экономики // Вестник МГУЛ - Лесной
вестник. 2014. №4 (104) С.231-236.
6) Bagella M., Becchetti L. The determinants of motion
picture box office performance: Evidence from movies produced in Italy
//Journal of Cultural economics. - 1999. - Т. 23. - №. 4. - С. 237-256.
) Boatwright P., Basuroy S., Kamakura W. Reviewing the
reviewers: The impact of individual film critics on box office performance
//Quantitative Marketing and Economics. - 2007. - Т. 5. - №. 4. - С. 401-425.
) Box Office Mojo [Электронный ресурс]: база данных. - Режим
доступа: boxofficemojo.com
9) Cleves M. A., Rock L. From the help desk: Comparing
areas under receiver operating characteristic curves from two or more probit or
logit models //The Stata Journal. - 2002. - Т. 2. - №. 3. - С. 301-313.
) Collins A., Hand C., Snell M. C. What makes a
blockbuster? Economic analysis of film success in the United Kingdom
//Managerial and Decision Economics. - 2002. - Т. 23. - №. 6. - С. 343-354.
) De Vany A. S., Walls W. D. Estimating the effects of
movie piracy on box-office revenue //Review of Industrial Organization. - 2007.
- Т. 30. - №. 4. - С. 291-301.
) Elberse, Anita and Bharat Anand. (2007) “The
effectiveness of pre-release advertising for motion pictures: An empirical
investigation using a simulator market.” Information Economics and Policy, 19,
319-43.
) Eliashberg, J. & Shugan, S.M. 1997. ‘Film
critics: Influencers or predictors?’ Journal of Marketing, 61(2): 68- 78.
) Elliott C., Simmons R. Determinants of UK box office
success: the impact of quality signals //Review of Industrial Organization. -
2008. - Т. 33. - №. 2. - С. 93-111.
) Garvin, David A. “Blockbusters: The Economics of
Mass Entertainment.” Journal of Comparative Economics 5 (1981): 1-20.
) Hennig-Thurau T., Houston M. B., Walsh G.
Determinants of motion picture box office and profitability: an
interrelationship approach //Review of Managerial Science. - 2007. - Т. 1. - №. 1. - С. 65-92.
) Holbrook M. B., Addis M. Art versus commerce in the
movie industry: A two-path model of motion-picture success //Journal of
Cultural Economics. - 2008. - Т. 32.
- №. 2. - С. 87-107.
) Holbrook, Morris B., & Michela Addis. (2007).
“Taste versus the Market: An Extension of Research on the Consumption of
Popular Culture.” Journal of Consumer Research, 24(3), 415-24.
) Internet Movie Database
[Электронный ресурс]: база данных. - Режим доступа: Imdb.com
20) Krauss J. et al. Predicting Movie Success and Academy
Awards through Sentiment and Social Network Analysis //ECIS. - 2008. - С. 2026-2037.
) Litman, B. 1983. “Predicting success of theatrical
movies: An empirical study”, Journal of Popular Culture, 16(spring): 159-175
22) Metacritic [Электронный ресурс]: база данных. - Режим доступа:
metacritic.com
23) Nelson R. A., Glotfelty R. Movie stars and box office
revenues: an empirical analysis //Journal of Cultural Economics. - 2012. - Т. 36. - №. 2. - С. 141-166.
) Pangarker NA; Smit EVDM (2013). The determinants of
global box office performance in the film industry revisisted.
) Prag J., Casavant J. An empirical study of the
determinants of revenues and marketing expenditures in the motion picture
industry //Journal of Cultural Economics. - 1994. - Т. 18. - №. 3. - С. 217-235.
) Rotten Tomatoes [Электронный ресурс]: база данных. - Режим
доступа: rottentomatoes.com
27) Shugan S. M., Swait J. Enabling movie design and
cumulative box office predictions using historical data and consumer
intent-to-view //University of Florida, working paper. - 2000.
) The Numbers - Movie Box Office Data, Film Stars,
Idle Speculation. [Электронный
ресурс]: база данных. - Режим доступа: <#"907729.files/image067.gif">: Нет различий между моделями,
: Иначе.
Процедура теста Бокса-Кокса:
. Рассчитываем геометрическое среднее зависимых
данных
2. Преобразовываем зависимые данные
следующим образом:
(Пункты 1-2, не что иное, как преобразование Зарембки,
это необходимо, чтобы RSS моделей были сравнимы).
. Строим регрессию вида:
и получаем
. Строим регрессию вида:
и получаем
. Рассчитываем статистику следующего вида:
6. Получаем либо P-value, либо
критическое значение хи-квадрат распределения с одной степенью свободы для
нужного уровня значимости
. Принимаем решение: если уровень значимости
больше P-value или рассчитанное значение лежит вне пределов
критических значений, то отвергаем
. Если
не отвергается, то выбираем любую
модель, если
отвергается, то выбираем модель с меньшим значением RSS.
Рассмотрим следующую сводную таблицу №4.1 по всем
шагам:
Таблица №4.1 Сводная таблица по спецификации модели №1
На первом шаге обычный R2 упал на более чем 8%, что говорит о том, что модель I предпочтительнее. Однако мы
игнорируем это падение, так как в дальнейшем при спецификации оно практически
нивелируется, остановимся на модели II. На втором шаге нормированный R2 вырос
почти на полпроцента, что говорит о том, что модель III предпочтительнее модели II, хоть и все новые переменные оказались незначимыми (далее мы
покажем почему они важны в анализе). Модели III и IV
сравниваются друг с другом с помощью теста Бокса-Кокса, его результаты
представлены в таблице №2.4.
Таблица №4.2 Тест Бокса-Кокса для модели №1

Как видно из результатов тестирования, P-value меньше любого адекватного уровня значимости,
следовательно, нулевая гипотеза об эквивалентности моделей отвергается,
выбираем модель с наименьшим значением RSS. Наименьшее значение RSS мы получаем в логарифмической модели (26,98),
следовательно, мы окончательно выбираем модель IV. Стоит заметить, что если бы мы не логарифмирответи
переменную бюджета на первом шаге, мы бы получили чуть более качественную
модель в плане подгонки, но мы предпочтём иметь распределение ошибок, более
приближенное к нормальному распределению, а логарифм бюджета нас к этому больше
приблизит.
Спецификация модели №2
Как видно по таблице №4.3, нормированный R2 вырос на целых 2%, хоть и переменные оказались
незначимыми, модель II
предпочтительнее модели I.
Таблица №4.3 Сводная таблица по спецификации модели №2
Приложение №4
Процедуры тестов на
гетероскедастичность.
Рассмотрим процедуры двух основных тестов на
гетероскедастичность.
Процедура теста Уайта:
· Оцениваем
коэффициенты модели:
· Извлекаем
столбец ошибок:
, i=1,…,n.
· Оцениваем
регрессию квадратов остатков на все регрессоры, их квадраты, а также на
константу и попарные произведения:
· Вычисляем коэффициент детерминации - R2
· Статистика:
Где k - количество регрессоров в модели, n -
количество наблюдений
Если значение тестовой статистики превышает
критическое, то нулевая гипотеза о гомоскедастичности отвергается. Или если
P-value > уровня значимости, то соблюдается условие гомоскедастичности
ошибок в первичной модели. Теста Уайта универсален, однако он не является
конструктивным, так как если будет обнаружена гетероскедастичность, то тест
укажет на функциональную форму гетероскедастичности.
Процедура теста Бройша-Пагана:
· Оцениваем
коэффициенты модели:
· Извлекаем
столбец ошибок:
, i=1,…,n.
· Строим
оценку дисперсии:
и нормируем квадраты остатков регрессии:
· Вычисляем для вышеуказанной модели ESS
· Статистика:
, где k -количество регрессоров в
модели
Если значение тестовой статистики превышает
критическое, то нулевая гипотеза о гомоскедастичности отвергается.
Приложение №5
Проверка гетероскедастичности
Рассмотрим выдачи STATA по проверке гетероскедастичности.
Таблица №4.4: Тест Уайта
|
Модель 1:
|
Модель 2:
|
На 10% уровне значимости в модели (1) обнаружена
гетероскедастичность ошибок, а для модели (2) гипотеза о гомоскедастичности не
отвергается. Мы смотрим на значение «Prob > chi2», если оно меньше 5%, то нулевая
гипотеза НЕ отвергается.
Таблица №4.5: Тест Бройша-Пагана
|
Модель 1:
|
Модель 2:
|
В тесте Бройша-Пагана мы оцениваем сумму по столбцу «p», если она больше 0,1 то нулевая
гипотеза не отвергается - в модели гомоскедастичность ошибок. Для модели (1)
основная гипотеза не отвергается, а вот для модели (2) на 5% уровне значимости
она отвергается - мы столкнулись с гетероскедастичностью.
Приложение №6
Устранение гетероскедастичности
Принято решение устранить гетероскедастичность
с помощью корректировки ковариационной матрицы оценок коэффициентов методом
Уайта:
В формуле выше вместо неизвестных дисперсий ошибок мы
применяем квадраты остатков регрессии, и в итоге получаем состоятельную оценку
если в модели отсутствует автокорреляция ошибок (по форме исследования она
отсутствует). Правленая ковариационная матрица по Уайту на диагонали имеет
робастные стандартные отклонения в квадрате, если извлечь корень - можно
получить новый стандартные ошибке в форме Уайта. Получена следующая
спецификация итоговой регрессии (вместо обычных стандартных ошибок, вычислены
скорректированные стандартные ошибки по Уайту). Обратите внимание в таблицах
ниже, что значение коэффициентов не поменялись, но изменились стандартные
отклонения. В особенности упали значения стандартных ошибок у переменной
возрастного рейтинга.
Таблица №4.6: Корректировка гетероскедастичности в
модели 1.
Таблица №4.7: Корректировка гетероскедастичности в
модели 2.
Приложение №7
Оценка распределения ошибок
График №4.8: График ядерной оценки
распределения Кернела.
|
Модель 1:
|
Модель 2:
|
Представлены графики ядерной оценки распределения
Кернеладля сравнения их с нормальным. По оси абсцисс ошибки, а по оси ординат
частота. Только для первой модели они более или менее соответствуют нормальному
распределению.
Приложение №8
Дополнительное тестирование
Проведём дополнительно два теста на устойчивость
модели и её параметров: тест Рамсея на правильную спецификацию и тест Чоу на
устойчивость параметров модели.
Тест
Рамсея применяется для выбора между двумя положениями дел: наша исследуемая
модель
правильно специфицирована
или же нам нужно добавить в уравнение регрессии
нелинейные степени независимых переменных
.
Процедура
теста описывается следующим образом:
)
Оценка параметров регрессии
.
)
Сохранение оцененных значений зависимой переменной
.
)
Включение нелинейных степеней
в
уравнение регрессии.
)
Проверка значимости для коэффициентов регрессии
Гипотезы:
Статистика:
Выводы:
Если
то гипотеза
НЕ
отвергается и модель правильно специфицирована. Или: если P-value
(«P>|t|») > уровня значимости, то гипотеза
НЕ отвергается и модель правильно специфицирована.
Таблица
№4.9: Тест Рамсея.
|
Для модели №1:
|
|
|
Для модели №2:
|
|
Т.к. оба p-value меньше любого адекватного уровня
значимости, то основная гипотеза отвергается и получается, что нужно добавить в
уравнение регрессии нелинейные степени независимых переменных. Однако если мы
введём в модель нелинейные степени регрессоров, мы столкнёмся с неоправданным
усложнением модели и мультиколлинеарностью, это усложнит оценку нашей модели.
Предполагается, что при расширении данного исследования на страницах
магистерской диссертации, можно будет, как расширить выборку, так и добавить
новые переменные в анализ, что позволит в дальнейшем избавиться от этой
проблемы, поэтому результаты теста Чоу игнорируются в угоду упрощения модели.
Теперь, проведём тестирование структурной устойчивости
коэффициентов модели по выборке в 100 наблюдений, разделив её на две
подвыборки: рентабельность кинокартины выше 250% (32 фильма) и рентабельность
кинокартины меньше 250% (68 фильмов). По каждой отдельной выборке оценим
коэффициенты уравнения регрессии (для выборки n1 и n2):
, i =
1,…, n1,
, i = n1+ 1,…, n1+n2.
Извлекаем
из каждой модели сумму квадратов остатков регрессии (RSS1 и RSS2
соответственно и также рассчитаем это значение для всей выборки в целом из 100
наблюдений: RSSP.
Гипотезы:
или
, (объединенная выборка лучше)
или
(лучше оценивать по отдельности)
Статистика:
,
Выводы:
Если
то гипотеза
НЕ
отвергается и спрос всех трех фирм совпадает. Или, если P-value
> уровня значимости, то гипотеза
НЕ
отвергается и зависимость для обеих выборок можно считать единой.
Ознакомимся с результатами тестирования:
Таблица №4.10: Тест Чоу.
|
Для модели №1 (100 наблюдений):
|
|
Для модели №2 (95 наблюдений):
|
Значение F статистики для модели №1 вышло равным 3,54, а для модели №2 - 14,17.
Т.к. оба значение больше критического значения в 2,06, зависимость нельзя
считать единой для двух подвыборок. Нужно вводить дополнительные искусственные
переменные в модель, чтобы разграничить выборку. Для модели (1) это не так
принципиально, а вот для модели (2) нужно разделить выборку или воспользоваться
медианной регрессией.
Приложение №9
Дополнительный анализ логистической модели
Таблица №4.11: Оценка точки отсечения и анализ
выбросов в модели:
Приложение №10
Дополнительная статистика по логистической модели.
Таблица №4.12: Оценка точки отсечения и анализ
выбросов в модели
Приложение №11
Дополнительная статистика по предельным эффектам.
Таблица №4.13: Оценка предельных эффектов:
Столбец
отражает маржинальный эффект. При
дискретном переходе искусственной переменной с 0 на 1 приводит к
росту вероятности пойти в кино,
фиксируя значения всех регрессоров на уровне средних (алгоритм процедуры опции
atmeans). Другими словами, для более объективного анализа воспользуемся оценкой
предельного эффекта влияния этого параметра на вероятность пойти в кино.