Рыночная, профессиональная и любительская оценки продукции киноиндустрии: проблема консистентности
Оглавление
Введение
Глава 1.
Теоретико-методологические и методические основания
.1 Обзор
литературы
1.2 Система
гипотез исследования
.3
Информационная база исследования. Характеристики исследуемых переменных и
выборки
.4 Описание
теоретических моделей
Глава 2.
Тестирование модели с показателем консистентности
.1 Линейная
регрессия с показателем консистентности
.2
Тестирования качества параметром модели
.3
Интерпретация результатов
Глава 3.
Анализ разницы между рыночной оценкой продукта и профессиональной
.1.
Тестирование моделей
.2.
Тестирование гипотез
Заключение
Список
использованной литературы
Приложения
Введение
Индустрия кино играет огромную роль, как в сфере культуры, так и в сфере
развлечений. Благодаря глобализации экономики, кинематограф стал рассматриваться,
как бизнес, стал более масштабным, сложным, поэтому стало актуальным и его
исследование. Каждый год страны увеличивают темпы производства кинофильмов. Но
какого качества производимый ими продукт, и кем и каким образом он оценивается?
Существует несколько проверенных способов производства продукта
киноиндустрии в плане распределения средств. Например, многие компании тратят
деньги на то, чтобы нанять известных актрис и актеров. Кто-то предпочитает
приобрести права на достойный сюжет, а кто-то считает, что достаточно нанять
великого режиссера, который сможет создать шедевр даже из простой истории.
Также бюджет может пойти на создание качественной компьютерной графики. Выбор
тех или иных способов зависит от намерений производящей компании. Это связано с
тем, какую цель она преследует.
Качество продукта киноиндустрии, также как и цель его производства, можно
рассматривать с нескольких сторон. С экономической точки зрения фильм
может считаться привлекательным, если он принес компании большие кассовые сборы
- то есть в кинотеатрах было продано большое количество билетов. Однако этот
показатель не может анализироваться без учета бюджета, потраченного на
производство фильма. Бывают случаи, когда популярный фильм приносит маленькую
чистую прибыль или даже не окупается в прокате. Такое случается при
неправильном ожидаемом соотношении бюджета и сборов. Например, рассмотрим
данные по двум американским фильмам 2015 года согласно сайту IMDb (Таблица 1):
При производстве фильма «Земля будущего» потребовался значительный бюджет
на спецэффекты для создания фантастического мира и на привлечение популярного
актера Джорджа Клуни. В итоге этого оказалось недостаточно, и в совокупности с
непредвиденными расходами, фильм еле окупился в прокате. Разница между бюджетом
на производство и кассовыми сборами составила 35,3 млн. В тот же году был снят
фильм «Визит», бюджет которого в 34 раза меньше бюджета первого
рассматриваемого фильма. Однако разница между затратами и сборами более чем в 2
раза больше, чем у «Земли будущего». Более того, кассовые сборы «Визита» смогли
превзойти стартовые средства почти в 20 раз, что показывает эффективное
распределение ресурсов.
Таблица
1
Финансовые показатели фильмов «Земля будущего» и «Визит»
|
Название фильма
|
Бюджет, млн. $
|
Кассовые сборы, млн. $
|
Δ, млн. $
|
Рыночная оценка
|
|
Земля будущего
|
170
|
205,3
|
35,3
|
1,21
|
|
Визит
|
5
|
98,6
|
93,6
|
19,72
|
Как видим, для определения экономического качества фильма необходимо
анализировать и затраченный бюджет, и итоговые кассовые сборы.
Другим показателем качества является художественная оценка фильма
профессионалами. Критики являются профессиональными потребителями контента, и
их задача - обрисовать контекст несведущим, попытаться оценить продукт с точки
зрения искусства. Многие доверяют мнению кинокритиков потому, на рынке
киноиндустрии они, как правило, уже давно и более знакомы с разнообразием его
продуктов. В связи с этим, они способны отличить качественное творение от
низкосортного продукта.
Также существуют потребители кинопродукта, которых можно назвать активно
недовольными любителями. Это те люди, которые помимо просмотра
кинофильмов также оценивают их, оставляют отзывы, показывая свое участие на
рынке киноиндустрии, и, возможно, тем самым стремятся повлиять на качество
продукта в лучшую сторону.
Однако отрасль киноиндустрии часто характеризуется несогласованностью
описанных выше оценок.
Целью данного исследования является определение ключевых факторов,
влияющих на различия между ними.
К основной задаче относится определение особенностей фильма, которые влияют
на показатель неконсистентности на основе данных американских фильмов. Выбор
пал на Америку, так как она является главным производителем продукта
киноиндустрии и такой анализ принесет наиболее релевантные результаты. Также
необходимо будет разобраться, какие факторы влияют на то, будет ли
профессиональная оценка критиков значимо превышать рыночный показатель, и
наоборот.
Исследование будет проведено в несколько этапов. Сначала будут
рассмотрены эмпирические исследования в области изучения разных оценок и их
связей, а также теоретический материал по статусной рассогласованности. Далее
следует анализ рынка американских фильмов за 2014-2016 года, его характеристика
и соотношение трех рассматриваемых видов оценок. С помощью эмпирической модели
будут выявлены факторы, влияющие на показатель консистентности, то есть
согласованности оценок. Следующим шагом будет рассмотрение двух ситуаций на
рынке киноиндустрии: значимое превышение рыночной оценки над профессиональной
оценкой и наоборот. Будут определены факторы, влияющие на вероятность
возникновения этих двух событий по отдельности с помощью других эмпирических
моделей.
Глава 1: Теоретико-методологические и методические основания.
.1 Обзор литературы
Роль киноиндустрии в культуре неоспоримо велика, и именно поэтому
существует множество исследований этой сферы. Большая часть работ посвящена
изучению коммерческого успеха фильма. Художественное качество продукта и его
профессиональную оценку труднее анализировать, но взаимосвязь оценок
пользователей и критиков также бывает предметом исследований. Для исследования
разницы между оценками необходимо разобраться, какие факторы влияют на каждый
из них. Это поможет выявить параметры, которые могут оказывать большее влияние
на массовую аудиторию, чем на критиков, или наоборот.
Несмотря на то, что с каждым годом киноиндустрия растет, это не
обязательно означает, что производятся все более качественные продукты. С
экономической точки зрения, согласно исследованию 2006 года, шесть или семь
фильмов из десяти оказываются не рентабельными, что делает этот бизнес
рискованным.
Для начала, обратимся к исследованиям факторов, которые влияют на
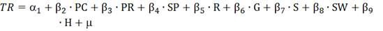
кассовые сборы фильмов. В работе 2010 года «Examining Success in the Motion Picture Industry» Патрик Топф, профессор университета
Иллинойса, рассматриваются данные по 137 фильмов широкого проката 2007-ого
года. Фильм считается продуктом широкого проката, если его показывали как
минимум в 600 кинотеатрах Америки или Канады. Статистика была собрана с сайтов Boxoffficemojo.com и The-Numbers.com - это известные базы, ежедневно отслеживающие
показатели киноиндустрии. Автор использует линейные регрессионные модели для
определения зависимости между зависимой переменной общей выручки фильма (TR - Total revenue) и восьмью независимыми переменными:
1) PC
- Production costs - затраты на производство фильма. Эта переменная
использовалась для учета денег, потраченных на маркетинговую компанию, так как
большинство студий рассчитывают рекламный бюджет как процент от совокупных
производственных расходов. Конкретные данные по затратам на маркетинг не
выносятся на всеобщее обозрение.
2) PR - Professional review scores - кумулятивные профессиональные отзывы и оценки
критиков. Данные были взяты с сайта Metacritic.com.
3) SP - Star power - «звездная сила» фильма, которое рассчитывалось как
суммарное количество выигранных Оскаров как у актеров, так и у режиссера.
4) R - Rating - набор дамми переменных, отражающих
возрастной рейтинг фильма, принятый Американской киноассоциацией (MPAA). Данные включали четыре возможных рейтинга
- PG (детям рекомендуется смотреть фильм
с родителями), PG-13 (некоторый
материал кинокартины может быть неподходящим для детей до 13 лет), а также
рейтинг R (лица, не достигшие 17 лет,
допускаются к просмотру только в сопровождении одного из родителей). Рейтинг G (без ограничений) стал базовой
переменной.
5) G - Genre - жанр фильма в виде набора дамми
переменных, включающих экшн/приключения, анимацию, комедию. Драма
использовалась как базовый индикатор.
6) S - Sequel - дамми переменная, равняющаяся 1
для фильмов-сиквелов, то есть для продолжений истории или уже существующих
вселенных.
7) SW - Season - дамми переменная сезонности со
значением 1, если фильм был выпущен в летние месяцы или же в последние три
недели декабря.
8) H - Holiday release - также дамми переменная для фильмов, выпущенных в
течение праздников.
Также в одной из моделей учитывалась переменная PC*PR, отражающая
связь между затратами на рекламу и оценками критиков. Регрессионная модель
выглядит следующим образом:
Автор анализирует две линейные регрессии МНК с учетом переменной PC*PR и без. Результаты первой модели (см. таблица 2) показывают,
что значимыми оказались только четыре переменные: жанры экшн и комедия,
производственные затраты и отзывы критиков.
Таблица
2
Значимые переменные в модели 1
Источник:
Pat Topf, «Examining Success in the Motion Picture Industry» 2010
Интересно было заметить, что коэффициент переменной производственных
затрат, отражающих рекламную компанию фильма, оказался равен 0,842. Это может
означать то, что иногда несоразмерный пиар продукта киноиндустрии может
негативно отразиться на прибыли. Этот факт также был подтвержден в работе
ученых Гарвардской школы бизнеса в 2007 году. («The effectiveness of pre-release
advertising for motion pictures: An empirical investigation using a simulated
market»). С другой
стороны, исследования показывают, что с помощью хорошо продуманной
маркетинговой кампании можно завлечь большое количество зрителей в кинотеатры
даже несмотря на плохое качество продукта. Именно в таких случаях может
возникать большая разница между рыночной оценкой фильма и оценками критиков или
любителей.
Во второй модели значимыми оказались три переменные - опять же, жанр
комедия, а также сиквел и PC*PR (см. таблица 3). Последняя переменная
указывает на то, что взаимоотношение затрат с оценкой критиков имеют
отрицательное значение. А то, что по отдельности обе переменные незначимы,
может говорить о мультиколлинеарности.
Таблица 3
Значимые переменные в модели 2
Источник:
Pat Topf, «Examining Success in the Motion Picture Industry» 2010
Немного позже в 2012 году была выпущена статья «Sucess in the Film Industry: What Elements Really Matter in
Determining Box-Office Receipts», авторы
которой аналогично исследовали факторы, влияющие на кассовые сборы. Она
подтверждает, что в подобных эмпирических анализах существует проблема
мультиколлинеарности, на которую необходимо обращать внимание. Ученые
рассматривают 497 фильма 2005-2011 годов на основе данных сайтов Box Office Mojo, IMDb и
Rotten Tomatoes. Они используют три варианта
линейной регрессии для анализа зависимости логарифмированных кассовых сборов
отечественного проката США от различных наборов следующих независимых
переменных:
Таблица 4
Наименование переменных
|
Сиквел, дамми
|
SEQ
|
|
Успех предыдущей части
фильма, дамми
|
PREVSEQ
|
|
Жанры, дамми
|
ACTION, SCIFI,
COM, DOC, FOREIGN, ROM, ADVENT, HORROR, DRAMA (базовая)
|
|
Звездное качество
актерского состава (на основе номинаций на премию People's Choice Awards за
2001-2003 года), дамми
|
PCA
|
|
Возрастной рейтинг MPAA,
дамми
|
MPAA (рейтинг G
- база)
|
|
Оценка критиков
|
RVW
|
|
Время релиза, дамми
|
SUM и WIN
|
|
Бюджет (количество показов
премьеры)
|
SCRNS
|
Источник:
Greenaway, M. & Zetterberg B., 2012. Sucess in the Film Industry: What
Elements Really Matter in Determining Box-Office Receipts
Исследование показало, что наличие предыдущих частей фильма,
комедийности, положительная оценка критиков, время года релиза, а также большое
количество премьерных показов имеют значимый положительный эффект на кассовые
сборы. В случаях, если фильм вышел в период зимних праздников, наблюдается
возможный прирост прибыли на 27,9%, а в период летних - на 27,6% . Возрастной
рейтинг оказался также незначим, как и в исследовании П. Топфа. Модель стала
лучше после исключения этой переменной.
Влияние возрастного рейтинга было доказано в другой работе - «Film Review Aggregators and Their Effect on Sustained Box Office Performance». В ней автор исследует схожие
показатели, что и вышеописанные ученые. В качестве данных он берет более
поздние фильмы - 2010 года. Переменную жанр исследователь поделил на семейные
фильмы, которые охватывают большую аудиторию благодаря своей универсальности, и
на драмы, которые больше подходят для взрослой аудитории. Возрастной рейтинг
был представлен, как 0, если фильм оценен рейтингами G/PG, т.е без
ограничений, и как 1 в остальных случаях. Переменная показала значимое
положительное влияние на коммерческий успех продукта. Это подтверждает гипотезу
о том, что потребители чаще ходят в кино на фильмы без ограничений. В
нескольких предшествующих работах (De Vany and Walls 2002; Simonoff and
Sparrow2000) тоже рассматривался данный вопрос, и авторы отмечали плавный переход
целенаправленности продакшн-студий на массовую аудиторию и производства фильмов
без ограничений для поглощения прибыльной части рынка.
Важно также обратить внимание на работу американского экономиста о теории
упадка. Он исследовал связь фильмов-сиквелов с их предыдущими частями на основе
оценок пользователей и критиков и обнаружил зависимость, согласно которой
сиквел чаще всего является хуже оригинала. Во-первых, это связано с тем, что
фильм, как продукт, должен развиваться, а это значит, что и его производители
должны расти, что не всегда происходит. Во-вторых, успех первой части создает
завышенные ожидания у потребителей, потребности которых становится труднее
удовлетворить.
После того, как были рассмотрены факторы, которые могут влиять на
кассовые сборы, то есть на составляющую рыночной оценки фильма, необходимо
перейти к анализу литературы по двум другим оценкам качества продукта
киноиндустрии - любительские рейтинги и профессиональные. Любительские рейтинги были проанализированы в работе «Prediction of Movies popularity Using Machine Learning
Techniques». В ходе
исследования разрабатывается алгоритм, с помощью которого можно было бы
предсказать рейтинги пользователей сайта IMDb по 1756 фильмам. В результате авторы показывают
алгоритм на основе логистической регрессии, которая предсказывает 84,34%
оценок. В качестве переменных были выбраны рейтинг актера, продюсера,
режиссера, бюджет фильма, возрастной рейтинг и жанр фильма. Согласно их
результатам (см. диаграмма 1), при выставлении оценок люди чаще всего опираются
на качество актерского состава фильма. Авторы считают, что рейтинг продюсера
имеет высокое значение больше потому, что от него зависит рекламная компания
фильма, а именно привлечение к нему большого интереса. В сочетании с хорошим
качеством фильма, это дает высокий рейтинг.
Диаграмма 1. Влияние переменных на рейтинг IMDb
Источник:
M. Latif, H.Afzal, 2016, Prediction of Movies popularity Using Machine Learning
Techniques
Однако любительские оценки часто не согласуются с мнениями профессионалов
в сфере кино. В статье «Do Experts and Novices Evaluate
Movies the Same Way?» авторы
исследуют понятие креативной или художественной оценки фильма на примере трех
групп - студентов, новичков и критиков. Студенты - это опрошенные обучающиеся
университетов, никак выраженно не связанные с миром кино. Новички - это
рейтинги пользователей IMDb (Novice 1) и Box office mojo (Novice
2). Авторы называют эту группу самопровозглашенными участниками рынка
киноиндустрии. Они пишут отзывы, выражают свое мнение, желают повлиять на
рынок. Иногда их также относят к социальной группе активно-недовольных
любителей. Третья группа - это профессиональные критики. Результаты (см.
таблица 5) показывают, что группа людей, не связанных с киноиндустрией,
оценивает фильмы выше, чем новички, а те, в свою очередь более лояльны, чем
эксперты-критики.
Таблица 5
Средние оценки студентов, новичков и критиков
Источник:
J. Plucker, J. Kaufman, M. Qian, Do Experts and Novices Evaluate Movies the
Same Way?
Этот результат важен для данного исследования, так как большая часть
посещающей кинотеатр аудитории не задействована в сфере кино. Это подтверждает
тот факт, что рыночная оценка фильма может быть выше, чем рейтинги
пользователей-новичков и критиков.
Профессиональные отзывы могут различаться по форме, в которой они
представлены для аудитории. Например, это может быть сайт одного известного
кинокритика с его обзорами, как, например, у Роджера Эберта. Он прославился
своими рецензиями в газетах, телешоу национального масштаба, а также
аудиокомментариями к фильмам на DVD. В
2007 году журнал Forbes признал его
наиболее влиятельным современным американским кинокритиком. С другой стороны,
некоторые издания предоставляют своим читателям краткую информацию о мнении
сразу нескольких влиятельных критиков. Также существуют большие базы данных,
где собрана общая статистика обзоров по всему миру. К ним относятся сайты
Rotten Tomatoes и Metacritic. В 2007
году американские исследователи пришли к выводу, что совокупная статистика
больше подходит для анализа киноиндустрии и перевешивает мнения индивидуальных
критиков любой популярности и значимости. Кроме того, если мнение одного
профессионала может оказаться недостаточно весомым в определенной ситуации, то
агрегированное мнение критиков оказывает большее влияние. Также авторы
подчеркивают, что в обществе, где важна культурная составляющая, мнения экспертов
могут влиять на потребителей и, соответственно, на кассовые сборы.
Непосредственно для методологии анализа разницы между тремя
рассматриваемыми оценками качества фильма необходимо обратить внимание на
литературу по статусной рассогласованности. Теоретической базой концепции
являются теории М. Вебера и П. Сорокина о многомерности социальной
стратификации, из-за которой появляются несовпадения рангов статусов индивидов
и групп. Основоположником является американский социолог Джерард Ленски, благодаря
своей статье в 1954 году под названием: «Статусная кристаллизация:
невертикальное измерение социального статуса». Согласно этому исследованию,
высокая степень кристаллизации статуса характерна для согласованности статусов
в различных иерархиях, а низкая - для существенных различий позиций индивида в
них. Д. Ленски исследовал политические взгляды индивидов на основе четырех
вертикальных иерархиях: доход, профессию, образование и этническую
принадлежность. Статусную кристаллизацию он измерял по формуле:
где

это
оценка каждого из статусов по шкале от 1 до 100, а 
- это
среднее арифметическое этих показателей.
Результаты
говорили о том, что индивиды, имеющие рассогласованные статусы, чаще
поддерживали кандидатов Демократической партии, чем индивиды с высоким уровнем
кристаллизации. Автор пришел к выводу, что общество с большим количеством
индивидов с низкой долей статусной кристаллизации, является нестабильным.
Концепция
Дж. Ленски послужила основой для работы Г. Богомоловой и С. Саблиной. Они предложили
использовать показатель неконсистености не только как характеристика индивида,
но также как показатель социальной страты, системы.
Анализ
результатов исследований показал, что существуют ключевые характеристики
продукта киноиндустрии, которые могут влиять на три вида оценок его качества -
любительские, профессиональные отзывы и рыночный индикатор. Более того, степень
этого влияния различна. Например, любителей кино привлекают звезды,
задействованные в фильме. Бывает даже так, что аудитория приходит в кино, чтобы
посмотреть на игру определенного актера, что влияет и на кассовые сборы. С
другой стороны, для критиков это не всегда является показателем хорошего
качества. Исходя из этого, можно сделать вывод, что описанные выше переменные
можно использовать для анализа несогласованности между тремя оценками.
1.2
Система гипотез исследования
На
основе анализа литературы, предпосылок данного исследования и его задач были
сформулированы основные гипотезы отдельно для тестирования модели
неконсистентности (см. таблица 6) и моделей сравнения профессиональной и
рыночной оценок (см. таблицы 7, 8).
рассогласованность консистентность оценка событие
Таблица 6
Список основных гипотез для модели показателя неконсистентности
|
Нулевая гипотеза
|
Краткая интерпретация
|
|
|
Возрастные ограничения
отрицательно влияют на согласованность оценок
|
Возрастной рейтинг
ограничивает аудиторию, которая придет смотреть фильм в кинотеатр, то есть
ограничивает кассовые сборы
|
|
|
Наличие нескольких фильмов
в кинофраншизе отрицательно влияет на согласованность оценок
|
Наличие сиквелов и
приквелов увеличивает потенциальную аудиторию фильма. В то же время это не
гарантирует высокое художественное качество продукта
|
|
|
Развлекательный жанр фильма
и драмы отрицательно влияют на согласованность оценок
|
Зрители и критики
по-разному реагируют на жанры. Профессионалам больше по нраву серьезные жанры
для наград, как драмы, обычные зрители же чаще смотрят кино для отдыха или
развлечений.
|
|
|
Актерский состав и престиж
режиссера отрицательно влияют на согласованность оценок
|
Зрителей-любителей
привлекает наличие популярных актеров, в то время как сам фильм может
оказаться некачественным с точки зрения критиков. Хороший режиссер, напротив,
чаще признается хорошим критиками, поэтому показывает именно художественное
качество продукта
|
|
|
Бюджет отрицательно влияет
на согласованность оценок
|
Чем больше бюджет фильма,
тем большая часть денег пойдет на рекламу, что привлечет большую аудиторию. В
то же время это не гарантирует качественный продукт
|
|
|
Задействование влиятельной
компании-дистрибьютера отрицательно влияет на согласованность оценок
|
Известные дистрибьютеры
активнее распространят информацию о фильме. Они привлекут большую аудиторию в
кинотеатр, вне зависимости от качества продукта.
|
|
|
Тот факт, что фильм основан
на оригинальном сюжете, положительно влияет на разницу между оценками
|
Фильм по книге, комиксам,
историческим данным вызывает больше разногласий, чем оригинальный сюжет
|
Вторая и третья модели будут анализировать две ситуации: первая - когда
рыночная оценка значимо превышает профессиональную, вторая - наоборот, когда
профессиональная оценка значимо превышает рыночную.
Таблица 7
Гипотезы модели 2
|
Рыночная оценка значимо
превышает профессиональную оценку
|
|
Нулевая гипотеза
|
|
|
Наличие возрастных
ограничений уменьшает возможность того, что событие случится
|
|
|
Наличие нескольких фильмов
в кинофраншизе увеличивает возможность того, что событие случится
|
|
|
Развлекательный жанр фильма
увеличивает возможность того, что событие случится
|
|
|
Такой жанр фильма, как
драма, уменьшает возможность того, что событие случится
|
|
|
Наличие хорошего актерского
состава увеличивает возможность того, что событие случится
|
|
|
Наличие хорошего режиссера
уменьшает возможность того, что событие случится
|
|
|
Высокий бюджет увеличивает
возможность того, что событие случится
|
|
|
Задействование влиятельной
компании-дистрибьютера увеличивает возможность того, что событие случится
|
|
|
Тот факт, что фильм основан
на оригинальном сюжете, уменьшает возможность того, что событие случится
|
Для второй ситуации, когда профессиональная оценка значимо превышает
профессиональную оценку, гипотезы противоположны первой ситуации:
Таблица 8
Гипотезы модели 3
|
Профессиональная оценка
значимо превышает рыночную оценку
|
|
Нулевая гипотеза
|
|
|
Наличие возрастных
ограничений увеличивает возможность того, что событие случится
|
|
|
Наличие нескольких фильмов
в кинофраншизе уменьшает возможность того, что событие случится
|
|
|
Развлекательный жанр фильма
уменьшает возможность того, что событие случится
|
|
|
Такой жанр фильма, как
драма, увеличивает возможность того, что событие случится
|
|
|
Наличие хорошего актерского
состава уменьшает возможность того, что событие случится
|
|
|
Наличие хорошего режиссера
увеличивает возможность того, что событие случится
|
|
|
Высокий бюджет уменьшает
возможность того, что событие случится
|
|
|
Задействование влиятельной
компании-дистрибьютера уменьшает возможность того, что событие случится
|
|
|
Тот факт, что фильм основан
на оригинальном сюжете, увеличивает возможность того, что событие случится
|
Для обеих ситуаций необходимо пояснить пятую и шестую гипотезы. Наличие
хорошего актерского состава привлекает аудиторию еще на моменте рекламы
продукта. В то же время, этого не всегда достаточно для высокой художественной
оценки. Если говорить о режиссерах, то хорошие деятели признаются самими
критиками, которые более способны видеть и оценивать искусство. Поэтому здесь
могут возникнуть рассогласования в пользу оценки критиков.
1.3 Информационная база исследования. Характеристики
исследуемых переменных и выборки
Исследование проводится на основе следующих информационных баз данных:
1. IMDb - Internet Movie Database - крупнейшая в мире база данных о кинематографе. Сайт ежемесячно
посещают миллионы людей, и он является одним из ста самых популярных сайтов
Всемирной паутины. В этой базе можно найти данные по характеристикам фильма -
по его производству и прокату. Также миллионы пользователей оставляют свои
любительские оценки качества фильмов.
2. IMDb Pro - расширенная версия сайта IMDb, где хранится более полная информация о «звездной
силе» актеров и режиссеров. Доступ к сайту платный, однако, в ходе данного
исследования использовалась возможность бесплатного ознакомления с данными в
течение 30 дней.
3. Metacritic - сайт-агрегатор, собирающий отзывы об играх, музыкальных
альбомах, а также фильмам. В базе присутствуют стобалльные оценки фильмов на
основе обзоров профессиональных изданий.
4. Rotten Tomatoes - сайт, который также собирает
информацию и новости киноиндустрии и предоставляет оценки критиков.
5. The Numbers - база включает данные по жанрам
фильма, его источнику. Также предоставляет данные по бюджету и кассовым сборам
фильма с учетом инфляции.
Первоначальная выборка содержала 305 фильмов США в период с 2014 по 2016
года. Количество данных по каждому году примерно равное: 2014 год - 101 фильма,
2015 год - 106 фильмов, 2016 год - 98 фильмов. Финансовые показатели (бюджет и
кассовые сборы) были взяты с сайта The Numbers с учетом
инфляции на 2016 год.
В начале исследования был проведен анализ двух сайтов, предоставляющих
профессиональные оценки критиков - Metacritic и Rotten Tomatoes. Они
несколько похожи друг на друга, однако Metacritic рассматривает каждый обзор и его
оценку в процентном отношении и только затем рассчитывает средний рейтинг
фильма. Создатели тщательно отбирают включаемые список издания и критиков,
чтобы сделать финальный показатель ближе к реальности. Портал Rotten Tomatoes показывает процент положительных
рецензий от их количества. В этом случае в оценку включаются и небольшие блоги,
и СМИ, что не всегда показывает эффективную меру оценки. Именно поэтому в
Америка Metacritic смог стать «градусником индустрии»,
а Rotten Tomatoes - нет. В связи с этим было решено
использовать для анализа профессиональные оценки критиков от 0 до 100,
представленные на сайте Metacritic. Любительские оценки были посчитаны на основе данных IMDb и переведены из шкалы от 0 до 10 в
шкалу от 0 до 100. Средняя любительская оценка в отобранных данных равна 65,35
в то время как средняя профессиональная - 52,34. Это подтверждает результаты
предыдущих исследований о том, что профессионалы в среднем более критично
оценивают фильмы. В то же время максимальная оценка пользователей - 86, а
критиков - 100, минимальная - 35 и 13 соответственно.
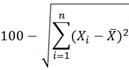
Рыночная оценка рассчитана по формуле:
Данная оценка изначально не соответствовала стобалльной, а для того,
чтобы посчитать показатель неконсистентности между оценками, необходимо было
перевести ее, используя стандартный алгоритм. Сначала данные были отсортированы
по возрастанию по рыночной оценке. Далее фильм с наименьшим значением
показателя получил значение 0, следующий - 100/341 = 0,29, за ним - 200/341.
Наивысшее значение получило оценку 100. Если бы фильмы имели одинаковое
значение, то их оценки равнялись бы среднее арифметическому значению их мест
распределения.
Показатель неконсистентности был рассчитан по формуле:
где

-
среднее арифметическое значение рангов трех оценок фильма. Чем выше показатель
неконсистентности, тем больше согласованность между любительскими,
профессиональными и рыночными оценками фильма. Так, например, для фильма
Инферно (2016) рассчитанный показатель выглядел следующим образом:
Таблица 8
Оценки для фильма Инферно (2016)
|
Name
|
Consistency
|
Market
|
Critics
|
Users
|
|
Инферно
|
73
|
79,47
|
42
|
62
|
Переменная consistency
используется в линейной регрессии в качестве зависимой переменной. Для
рассматриваемой выборки минимальное значение этого показателя - 44,
максимальное - 99. Среднее значение 71,79.
Что касается независимых переменных, к ним относятся возрастной рейтинг MPAA, жанр, качество актерского состава,
качество режиссера, сиквел, дистрибьютор, источник фильма и его бюджет.
Рассмотрим их более подробно.
Начнем с бюджета фильма. Данные с учетом инфляции на 2016 год были
собраны с сайта The Numbers. Проведем графический анализ
распределения этого финансового показателя.
Диаграмма 2. Распределение бюджета фильмов, млн. дол. США
По оси Y показана частота появлений значений
переменной, а по оси X -
диапазоны бюджета в млн. долларов. По графику видно отсутствие нормального
распределения переменных. Так как это может привести к отсутствию нормальности
остатков и последующим неадекватным выводам, было принято решение
логарифмировать переменную. Как видим, теперь переменная бюджета фильма,
точнее, его логарифм, является нормально распределенным.
Если посмотреть на вид связи в распределении бюджета и кассовых сборов
фильма, то можно увидеть прямую линейную зависимость (см. график 1). По оси X отображены значения бюджета кинокартины
в млн. $, а по оси Y - кассовые
сборы.
Диаграмма 3. Распределение логарифма бюджета фильма
Это подтверждает результаты исследований о влиянии вложенных денег на
сборы. Можно увидеть несколько неадекватных точек с большим бюджетом и большими
кассовыми сборами. Это уникальные фильмы-блокбастеры. Значения их бюджета будут
выделяться в финансовой независимой переменной, поэтому их следует исключить из
модели.
График
1. Распределение бюджета и кассовых сборов
Рейтинг MPAA -
это принятая система оценки содержания фильма, введенная Американской
киноассоциацией. В зависимости от полученной оценки, зрительская аудитория
картины может быть ограничена за счёт исключения из неё детей и подростков. В
настоящее время выходящий фильм может получить один из пяти следующих
рейтингов:
Рейтинг G - General audiences. Фильм демонстрируется без ограничений.
Рейтинг
PG - Parental guidance suggested. Детям рекомендуется смотреть фильм с родителями
Рейтинг PG-13. Лица, не достигшие 13-летнего возраста, допускаются на
фильм только с родителями.
Рейтинг R - Restricted. Лица, не достигшие 17-летнего возраста,
допускаются на фильм только в сопровождении одного из родителей, либо законного
представителя.
Рейтинг NC-17. Лицам до 18 лет просмотр
запрещен
В рассматриваемых данных присутствуют фильмы с тремя рейтингами: PG, PG-13 и R. Их
доли представлены на диаграмме 4. Для проверки гипотезы о том, влияют ли
возрастные ограничения на рассогласованность оценок, в переменную будет
включена одна дамми-переменная, равняющаяся 1 при рейтинге R или PG-13 и 0, если PG.
Диаграмма 4. Соотношение составляющих переменной рейтинг
По жанрам выборка включала в себя комедии, экшн, драмы, приключения,
триллеры, вестерны и мюзиклы. Так как количество фильмов, относящихся к трем
последним жанрам, в сумме составляло всего 63 фильма, то делить их на отдельные
переменные не имеет смысла, так как поиск зависимости на малом количестве
снизит адекватность модели. В связи с этим триллеры, вестерны и мюзиклы
сформировали группу «остальных» жанров. Для проверки гипотезы о том, что
развлекательные жанры вызывают несогласованность в оценках, были объединены
жанры экшен, приключения и комедия. Отдельной переменной отмечались
фильмы-драмы.
Итак, дамми переменная жанр формируется следующим образом:
Таблица 9
Переменная жанр
|
Жанр - дамми
|
|
Наименование
|
Расшифровка
|
Количество
|
|
GE
|
Развлекательные жанры
|
152
|
|
Drama
|
Драмы
|
86
|
|
Ost
|
Остальные (базовая)
|
63
|
Рассмотрим распределение показателя неконсистентности по жанрам.
Графически видно, что для жанра драмы наблюдается низкая согласованность
оценок, для развлекательных жанров она немного выше, но все же средняя оценка
не высокая. Для обеих этих переменных ожидается отрицательная связь с
показателем неконсистентности в регрессии.
Диаграмма 5
В качестве источника фильма в течение исследуемого периода
(2014-2016 года) встречались оригинальный сценарий, комиксы и художественная
книга, исторические документы. Было принято поделить источники на две группы:
первая - это оригинальный сценарий, который не опирается ни на какие
существующие до этого материалы, вторая - все остальные. Такое решение было
принято на основе гипотезы о том, что фильмы, основанные на книгах или
комиксах, могут вызывать больше разногласий. Также они могут привлечь большую
аудиторию в кинотеатры, тем самым принеся большую выручку, и в то же время
иметь низкое художественное качество. Таким образом, переменная источника
фильма (original) представлена как дамми, равняющаяся
1, если в основе фильма лежит оригинальный сюжет. Всего в выборке 106 фильмов,
которые основаны на оригинальном сюжете.
Также обратим внимание на популярных дистрибьюторов, которые
изначально влияют на распространение фильма среди кинотеатров, выбирают дату
выхода. Правильное размещение продукта для потенциальной аудитории может
повлиять на кассовые сборы больше чем на две других оценки. Согласно базе
данных The Numbers (см. график 1), сейчас на рынке занимают лидирующее
положение шесть дистрибьютеров: Universal pictures, Sony pictures, Warner bros., 20th Century Fox, Paramount Pictures, Walt Disney. Всего на рынке США представлено около 800
компаний-дистрибьюторов.
График
2. Лидирующие дистрибьютеры на рынке США
Источник: Информационная база данных The Numbers, www.the-numbers.com
Таким образом, дамми переменной Distributor присваивалось значение 1, если
распространением фильма занималась одна из шести лидирующих компаний, и 0 в
противном случае.
Следующий параметр - это дамми переменная sequel, которая равна 1, если фильм
является продолжением или расширением уже имеющейся вселенной, и 0, если нет.
Здесь важно заметить, что средняя рыночная оценка фильма, который является
сиквелом, равна 61,41. В этом же случае оценка пользователей немного ниже и
равна 58,03. Оценка критиков значимо отличается и равняется 48,74. Сразу же
видны рассогласования, поэтому ожидается, что эта переменная будет отрицательно
влиять на показатель неконсистентности в регрессии.
Для определения качества актерского состава использовалась
расширенная версия сайта IMDb -
IMDbPro. На ней рассчитывается показатель STARmeter для каждого актера - это меняющийся
со временем рейтинг популярности на основе выбора миллиона пользователей. Чем
меньше STARmeter rank, тем выше популярность звезды. Так, например, для
Киры Найтли мы можем наблюдать следующее изменение популярности с течением
выхода фильмов:
В данном исследовании для каждого конкретного фильма показатель качества
актерского состава был рассчитан следующим образом - сначала были отобраны
звезды, входящие в топ 200, а затем посчитан их общий STARmetr для каждого фильма по формуле:
где

-
средний рейтинг популярности актера за последний год.
К
примеру, в фильме «Алоха» (2015) было задействовано три главных актера,
входящие в топ-200 за год:
1. Бредли Купер
Средний рейтинг Бредли Купера в течение года до выхода фильма равен 40,2.
Он входит в топ-200 и вносит вклад в переменную SP (starpower), равный 1/40,2 = 0,0248.
. Рейчел Адамс
Эта актриса, аналогично, занимала в среднем позицию 49,66, что составляет
0,02 в исследуемой переменной.
. Эмма Стоун
Игра данной актрисы особенно ценится на мировом рынке в последние годы. В
частности, до выхода фильма «Алоха» Эмма Стоун была в среднем на 10-ом (10,25)
месте по популярности и внесла вклад в общую переменную, равный 0,097.
Соответственно, качество актерского состава (starpower) фильма «Алоха» составляет:
Посмотрим на зависимость показателя консистентности от этой переменной
(график 3). Видна обратная зависимость, поэтому для этой переменной будет
ожидаться отрицательный знак коэффициента в регрессии.
График
3. Зависимость показателя консистентности от качества актерского состава
Что касается качества режиссера (DP - director power), то этот показатель был посчитан для каждого
режиссера, входящего в топ 1500, аналогично предыдущему показателю, с помощью STARmetr. Интересно заметить, что средние
оценки критиков (диаграмма 7) значимо отличаются в зависимости от того,
известен ли режиссер фильма (dp).
Оценки пользователей тоже выше в случае популярности режиссера. Однако рыночная
оценки показывают обратную зависимость - средняя рыночная оценка фильма с
популярным режиссером немного ниже или почти равна фильму без него.
Диаграмма 7. Распределение средних оценок фильма в зависимости от
качества режиссера
Итак, сформированный список переменных и их расшифровку можно увидеть в
таблице:
Таблица 9
Список используемых переменных
|
Код переменной
|
Тип переменной
|
Расшифровка
|
|
Объясняемые переменные:
|
|
Consistency
|
Количественная
|
Показатель
неконсистентности между рыночной, профессиональной и любительской оценками
|
|
Deltai
|
Качественная
|
Модель 2 - равна 1, если
рыночная оценка значимо больше профессиональной оценки и 0 иначе. Модель 3 -
равна 1, если профессиональная оценка значимо больше рыночной оценки и 0
иначе.
|
|
Объясняющие переменные:
|
|
Lnbudget
|
Количественная
|
Логарифм бюджета
кинокартины
|
|
Sequel
|
Качественная
|
Наличие более одного фильма
у этой кинофраншизы, например сиквел или приквел. (1 - есть; 0 -нет)
|
|
GE
|
Качественная
|
Дамми переменная
развлекательного жанра (1-жанр экшен, приключения или комедия, 0-иначе)
|
|
Drama
|
Качественная
|
Дамми переменная жанра
драмы (1-жанр драма, 0-иначе)
|
|
SP (Star-power)
|
Количественная
|
Степень популярности
актерского состава
|
|
DP (Director
power)
|
Количественная
|
Степень известности
режиссера
|
|
R (Ratings)
|
Качественная
|
Наличие существенных
возрастных ограничений (1-фильма рейтинга PG-13 или R,
0-нет).
|
|
Distributor
|
Качественная
|
Задействование влиятельного
дистрибьютора (1-есть, 0-нет)
|
|
Original
|
Качественная
|
1, если фильм основан на
оригинальном сюжете, и 0 иначе
|
1.4 Описание теоретических моделей
В ходе анализа было оценено три модели двух видов: линейная и логит/пробит
регрессии:
Модель 1. Линейная регрессия с показателем консистентности:
Модели 2-3. Логит/пробит модели
Для
второй и третьей моделей зависимой переменной является 
, а в
качестве независимых переменных выбраны те же, что и в главной модели, без
бюджета - развлекательные жанры, драма, возрастные ограничения, сиквел,
качество звездного состава, качество режиссера, дистрибьютер, оригинальный
сюжет.
Для
первой модели 
, если рыночная оценка больше, чем профессиональная,
на 25 пунктов, и 0 в противном случае.
Вторая
модель аналогична, но в ней 
, если профессиональная
оценка больше, чем рыночная, на 25 пунктов, и 0 в противном случае.
Первая
модель покажет зависимость согласованности оценок от исследуемых переменных и
является главной. Модели из второго пункта относятся к более углубленному
анализу, так как оценивают влияние факторов на определенные рассогласованности
рынка киноиндустрии.
Проведем парный корреляционный анализ переменных и выделим значимые
значения корреляций на 5% уровне. Как видим (см. таблица), высокая и значимая
корреляция наблюдается между показателем консистентности и следующими
переменными: популярность режиссера и качество актерского состава. Менее
высокий, но значимый показатель имеют переменные драма, возрастные ограничения
и логарифм бюджета. Не обнаружено значимой корреляции для переменных жанр,
дистрибьютер и оригинальность источника. Немного позже будет проверка на
мультиколлинеарность.
Таблица 10
Корреляционный анализ
Теперь следует рассмотреть модели по отдельности.
Глава 2. Тестирование модели с показателем консистентности
.1 Линейная регрессия с показателем консистентности
Первичная оценка первой модели проведена на полученной регрессионной статистике:
Таблица 11
Регрессионный анализ
Гипотеза
о неадекватности регрессионной модели отвергается на любом уровне значимости,
так как 
примерно
равно нулю. Полученный коэффициент детерминации равен 0,49, что говорит о том,
что независимые переменные объясняют около половины вариации показателя
консистентности. Это является хорошим результатом. Значимыми (p-value<0,05)
оказались переменная жанра драмы (drama), наличие возрастных
ограничений (r), наличие у фильма уже существующей вселенной (sequel), качество режиссера(dp) и
актерского состава(sp), логарифм
бюджета (lnbudget). Все эти
переменные показали отрицательное влияние на показатель консистентности, то
есть они делают оценки менее согласованными.
2.2
Тестирование качества параметров модели
Для
начала протестируем нашу модель на наличие мультиколлинеарности, которая
приводит к неустойчивости оценок. Все значения индекса вздутия дисперсии (VIF)
оказались в интервале от 1 до 3, значит, присутствует слабая
мультиколлинеарность, которую нет необходимости устранять.
Рис. 1. Тест на мультиколлинеарность
Рис. 2. Проверка гетероскедастичности, тест Бройша-Пагана
Так как p-value (0,3012) больше 5-ти процентного уровня значимости,
то нулевая гипотеза о гомоскедастичности не отвергается. Это значит, что
проблемы с гетероскедастичностью не наблюдается, и выводы о качестве параметров
на основе модели являются адекватными.
Тест Уайта подтвердил отсутствие гетероскедастичности, так как p-value также оказалось больше 5-ти процентного уровня
значимости.
Рис. 3. Проверка гетероскедастичности, тест Уайта
Далее проведем анализ на нормальность ошибок. Если ошибки
распределены не нормально, то опираться на выводы статистических тестов нельзя
и как следствие, невозможно подтвердить значимость переменных. Графически
распределение ошибок выглядит нормальным (диаграмма). Для подтверждения был
проведен тест Харке-Бера, предназначенный для проверки нулевой гипотезы о
нормальном распределении ошибок.
Диаграмма 8. Распределение ошибок
Тест Харке-Бера на нормальность остатков
Тест показал p-value = 0,2371, а значит, нулевая гипотеза
не отвергается, и ошибки распределены нормально.
Для того чтобы проанализировать выбросы, необходимо посмотреть на
стандартизированные остатки в модели и остатки по Стьюденту. Отсортируем их по
возрастанию и посмотрим, есть ли наблюдения, для которых остатки по модулю
больше двух. Как видим, 301-ый номер, то есть самый большой по абсолютной
величине остаток, приближается к числу 2. Так как он не пересек эту черту, можно
оставить это наблюдение в модели.
Рис. 4. Остатки по Стьюденту, отсортированные по возрастанию
2.3 Интерпретация результатов
Итоговая модель и оценки ее параметров (с удаленными незначимыми переменными)
выглядят следующим образом:
Таблица 12
Итоговая оценка параметров для модели №1
Эконометрический анализ показал, что модель адекватна и объясняет около
половины вариации показателя консистентности. Параметры значимы на 5%-ом
уровне. Первоначально предполагаемо-значимые переменные развлекательного жанра,
дистрибьютера и оригинальности сюжета оказались не значимыми и были изъяты из
модели. Протестируем гипотезы.
Таблица 13
Результат тестирования гипотез Модели 1
|
Нулевая гипотеза
|
Выводы
|
|
|
Возрастные ограничения
отрицательно влияют на согласованность оценок
|
Гипотеза НЕ отвергается,
возрастные ограничения действительно вызывают рассогласованность оценок
|
|
|
Наличие нескольких фильмов
в кинофраншизе отрицательно влияет на согласованность оценок
|
Гипотеза НЕ отвергается,
наличие предыдущих частей кинематографической вселенной вызывает
рассогласованность оценок
|
|
|
Развлекательный жанр фильма
и драмы отрицательно влияют на согласованность оценок
|
Гипотеза о развлекательном
жанре отвергается, связи между развлекательным жанром и показателем
консистентности не обнаружено. Гипотеза о драме НЕ отвергается, фильмы
- драмы вызывают рассогласованность
|
|
|
Актерский состав и престиж
режиссера отрицательно влияют на согласованность оценок
|
Гипотеза НЕ отвергается,
чем качественнее актеры и режиссер, тем менее согласованы оценки
|
|
|
Бюджет отрицательно влияет
на согласованность оценок
|
Гипотеза НЕ отвергается,
чем больше бюджет фильма, тем меньше согласованность оценок
|
|
|
Задействование влиятельной
компании-дистрибьютера отрицательно влияет на согласованность оценок
|
Гипотеза отвергается,
связи между наличием влиятельным дистрибьютером и показателем консистентности
не обнаружено.
|
|
|
Тот факт, что фильм основан
на оригинальном сюжете, положительно влияет на разницу между оценками
|
Гипотеза отвергается,
связи между оригинальностью сюжета и показателем консистентности не
обнаружено.
|
Глава 3: Анализ разницы между рыночной оценкой продукта и
профессиональной
.1 Тестирование моделей и интерпретация первоначальных
результатов
На тех же данных и переменных рассмотрим по два вида логит- и
пробит-моделей для выявления факторов, влияющих на разницу между
профессиональной и рыночной оценками фильмов. В обеих моделях событиям является
наличие существенной разницы между оценками (более 25 пунктов).
Зависимой
переменной является 
, а в
качестве независимых выбраны те же, что и в главной модели - развлекательные
жанры, драма, возрастные ограничения, сиквел, качество звездного состава,
качество режиссера, дистрибьютер, оригинальный сюжет.
Для
первой модели 
, если
рыночная оценка больше, чем профессиональная, на 25 пунктов, и 0 в противном
случае.
Вторая
модель аналогична, но в ней 
, если
профессиональная оценка больше, чем рыночная, на 25 пунктов, и 0 в противном
случае.
Для
модели с зависимой переменной 
были
рассмотрены логит и пробит-модели. В логит-модели результаты оказались немного
лучше (Приложение 1), поэтому проанализируем ее.
Модель
является адекватной (
).
Псевдо-R2 не
сильно высок, но позволяет продолжить анализ полученных значений коэффициентов.
Значимыми оказались такие факторы, как сиквел, бюджет и качество
актерского состава.
Таблица 14
Регрессионный анализ
Рассмотрим предельные эффекты модели (Приложение 2):
Таблица 15
Предельные эффекты модели 2
|
Фактор
|
dy/dx
|
P-value
|
|
Сиквел
|
0,243
|
0,000
|
|
«Звездная сила»
|
0,00067
|
0,000
|
|
Бюджет (логарифм)
|
0,049
|
0,027
|
Интерпретируем полученные значения:
· Если фильм является продолжением уже имеющейся кинематографической
вселенной, то вероятность того, что его рыночная оценка окажется значительно
выше профессиональной, повышается на 24,3%
· При увеличении показателя звездной силы на 1 единицу,
вероятность значительной разницы между профессиональной и рыночной оценками в
пользу второй повышается на 0,07%. С первого взгляда, это незначительно, однако
переменная SP содержит значения от 0 до 600, а
добавление одного актера из топ-200 приносит в среднем 100 баллов в эту
переменную. Это значит, что добавление известного актера в фильм будет на 7%
увеличивать вероятность значительного превышения рыночной оценки над
профессиональной.
· При увеличении логарифмированного показателя бюджета на одну
единицу, вероятность значительной разницы между профессиональной и рыночной
оценками в пользу второй повышается на 4,9%.
Общая оценка согласия модели и реальных данных производилась с
использованием теста согласия Хосмера-Лемешова (Приложение 3). Тест показал
хорошую точность (p-value>0,27) и согласованность.
Теперь
посмотрим на модель с 
, если
профессиональная оценка больше, чем рыночная, на 25 пунктов, и 0 в противном
случае. Для нее больше подходит использование пробит-модели (Приложение 4), но
разница не существенна. Посмотрим на результаты регрессии:
Таблица 16
Анализ модели 3
Модель
является адекватной (
). Также
она лучше, чем в случае со значимым превышением рыночной оценки над оценкой
критиков. Значимыми оказались такие факторы, как драма, сиквел, качество
режиссера, оригинальность сюжета и бюджет. Проверка критерия
согласования (Приложение 3) также показала хороший результат. Посмотрим на
предельные эффекты:
Таблица 17
Предельные эффекты модели 3
|
Факторdy/dxP-value
|
|
|
|
Драма
|
0,289
|
0,001
|
|
Сиквел
|
-0,124
|
0,014
|
|
Качество режиссера
|
0,004
|
0,000
|
|
Оригинальность сюжета
|
0,159
|
0,008
|
|
Бюджет (логарифм)
|
-0,135
|
0,000
|
Интерпретируем полученные результаты:
· Если фильм является драмой, то вероятность того, что профессиональная
оценка фильма окажется значительно больше, чем рыночная, повышается на 28,9%.
· Если фильм является продолжением уже существующей вселенной,
то вероятность того, что профессиональная оценка фильма окажется значительно
больше, чем рыночная, снижается на 12,4%
· Если увеличить популярность режиссера, участвовавшего в
производстве фильма, на 1 единицу, то вероятность того, что профессиональная оценка
фильма окажется значительно больше, чем рыночная, повышается на 0,4%.
Необходимо учесть то, что переменная изменяется от 0 до 314, и в среднем
известный режиссер привносит в переменную 53 единицы. Это значит, что его
наличие в среднем увеличивает вероятность события на 21,2%.
· Если фильм основан на оригинальном сюжете, то вероятность
того, что оценка критиков сильно превысит рыночную оценку, увеличивается на
15,9%.
· При увеличении логарифмированного показателя бюджета на одну
единицу, вероятность события снижается на 13,5%.
3.2
Тестирование гипотез
Для первой модели тестирование гипотез выглядит следующим образом:
|
*Рыночная оценка значимо
превышает профессиональную оценку
|
|
Нулевая гипотеза
|
|
|
Наличие возрастных
ограничений уменьшает возможность того, что событие * случится - отвергается
|
|
|
Наличие нескольких фильмов
в кинофраншизе увеличивает возможность того, что событие * случится - не
отвергается
|
|
|
Развлекательный жанр фильма
увеличивает возможность того, что событие * случится - отвергается
|
|
|
Такой жанр фильма, как
драма, уменьшает возможность того, что событие * случится - отвергается
|
|
|
Наличие хорошего актерского
состава увеличивает возможность того, что событие * случится - не отвергается
|
|
|
Наличие хорошего режиссера
уменьшает возможность того, что событие * случится - отвергается
|
|
|
Высокий бюджет увеличивает
возможность того, что событие * случится - не отвергается
|
|
|
Задействование влиятельной
компании-дистрибьютера увеличивает возможность того, что событие * случится -
отвергается
|
|
|
Тот факт, что фильм основан
на оригинальном сюжете, уменьшает возможность того, что событие * случится -
отвергается
|
Рассмотрим ситуацию с гипотезами по второй модели. Значимые переменные - драма,
сиквел, качество режиссера, оригинальность сюжета и бюджет
|
*Профессиональная оценка
значимо превышает рыночную оценку
|
|
Нулевая гипотеза
|
|
|
Наличие возрастных
ограничений увеличивает возможность того, что событие * случится -
отвергается
|
|
|
Наличие нескольких фильмов
в кинофраншизе уменьшает возможность того, что событие * случится - не
отвергается
|
|
|
Развлекательный жанр фильма
уменьшает возможность того, что событие * случится - отвергается
|
|
|
Такой жанр фильма, как
драма, увеличивает возможность того, что событие * случится - не отвергается
|
|
|
Наличие хорошего актерского
состава уменьшает возможность того, что событие * случится - отвергается
|
|
|
Наличие хорошего режиссера
увеличивает возможность того, что событие * случится - не отвергается
|
|
|
Высокий бюджет уменьшает
возможность того, что событие * случится - не отвергается
|
|
|
Задействование влиятельной
компании-дистрибьютера уменьшает возможность того, что событие * случится -
отвергается
|
|
|
Тот факт, что фильм основан
на оригинальном сюжете, увеличивает возможность того, что событие * случится
- не отвергается
|
Заключение
Целью исследования являлось определение факторов, влияющих на разницу в
оценках качества продукта киноиндустрии. Критериями качества выступали рыночная
оценка продукта, учитывающая отношение кассовых сборов к бюджету, а также
оценки любителей и профессионалов.
Анализ был проведен на данных по американским фильмам за 2014-2016 года.
Были построены три модели: первая - линейная регрессионная модель, вторая и
третья - логит- и пробит-модели соответственно. Первая модель позволила оценить
влияние характеристик фильма на показатель согласованности оценок. Вторая и
третья оценивали влияние тех же параметров на вероятность возникновения двух
событий: значительного превышения рыночной оценки профессионального мнения
(модель 2) и наоборот - значительного превышения профессиональной оценки над
рыночной (модель 3).
Рассмотрим результаты, полученные в ходе исследования. Первая модель
показала, что гипотеза о том, что возрастные ограничения влияют на
согласованность оценок, не отвергается. Также, наряду с возрастными
ограничениями, рассогласованность могут вызывать наличие предыдущих частей
вселенной фильма, качественный актерский состав и высокая популярность
режиссера, жанр драмы и высокий бюджет.
Для второй и третьей моделей характерны следующие результаты:
|
Модель 2 (Рыночная оценка
значимо превышает профессиональную)
|
|
Если фильм является
продолжением уже имеющейся кинематографической вселенной, то вероятность
того, что его рыночная оценка окажется значительно выше профессиональной,
повышается на 24,3%
|
|
Добавление достаточно
популярного актера в фильм увеличивает вероятность значительной разницы между
профессиональной и рыночной оценками в пользу второй повышается на 7%
|
|
При увеличении
логарифмированного показателя бюджета на одну единицу, вероятность
значительной разницы между профессиональной и рыночной оценками в пользу
второй повышается на 4,9%.
|
|
Модель 3 (Профессиональная
оценка значимо превышает рыночную)
|
|
Если фильм является драмой,
то вероятность того, что профессиональная оценка фильма окажется значительно
больше, чем рыночная, повышается на 28,9%.
|
|
Если фильм является
продолжением уже существующей вселенной, то вероятность того, что
профессиональная оценка фильма окажется значительно больше, чем рыночная,
снижается на 12,4%
|
|
Наличие довольно известного
режиссера увеличивает вероятность того, что профессиональная оценка фильма
окажется значительно больше, чем рыночная, на 21,2%.
|
|
Если фильм основан на
оригинальном сюжете, то вероятность того, что оценка критиков сильно превысит
рыночную оценку, увеличивается на 15,9%.
|
|
При увеличении
логарифмированного показателя бюджета на одну единицу, вероятность того, что
оценка критиков сильно превысит рыночную оценку, снижается на 13,5%.
|
Итак, возрастные ограничения могут отрицательно влиять на
согласованность оценок, так как они ограничивают потенциальную аудиторию,
которая могла бы посмотреть фильм в кинотеатре. Другими словами, они
ограничивают возможную прибыль.
Качественный актерский состав может побудить аудиторию пойти в
кинотеатр даже на низкокачественный фильм, поэтому это увеличивает возможность
превышения рыночной оценки над профессиональной. Это может быть связанно с
асимметрией информации на рынке киноиндустрии, когда потребитель попадает в
ловушку хорошо прорекламированного, но на деле недостаточно качественного
продукта.
Высокая популярность режиссера играет роль для критиков. Видимо,
популярность режиссера напрямую зависит от его таланта и играет большую роль
для профессиональной оценки.
Если фильм является сиквелом, то оценки также как правило,
становятся более рассогласованными. Так как также увеличивается вероятность
того, что рыночная оценка превысит профессиональную, это может быть связано с
тем, что ожидания потребителей от нового фильма той же вселенной высоки. Они
идут на него в кинотеатры, а вот там, как показывают зарубежные исследования,
они по статистике видят более плохой продукт, чем оригинал.
Жанр драмы оказался тоже влиятельным. Оказывается, критики более ценят
серьезные и драматические сюжеты.
Также для них оказалась важной переменная оригинальности сюжета.
Этот факт говорит о том, что возможно, профессионалы ценят новые сюжеты больше,
чем фильмы, построенные на уже существующих источниках.
Высокий бюджет положительно влияет на рассогласованность оценок. Это может
быть связано с тем, что деньги, идущие на рекламную компанию, связаны с
бюджетом фильма. Это бы объяснило результаты анализа о том, что фильмы с
высоким бюджетом часто получают рыночную оценку более высокую, чем
профессиональное мнение. Возможно, критики считают некоторые такие фильмы
переоценёнными.
На основе полученных результатов можно понять, какие факторы влияют на
несогласованность между рыночной, любительской и профессиональной оценками
киноиндустрии. Более того, можно сделать выводы, на какие параметры следует
опираться при производстве экономически выгодного продукта киноиндустрии, а на
какие - для получения наград, профессионального признания со стороны критиков.
Список использованной литературы
1. Богомолова
Т.Ю., Саблина С.Г. Статусная рассогласованность как аспект социальной
стратификации // Рубеж (альманах социальных исследований). - 1997. - №10-11. -
С. 58-65.
2. Bagella
M., Becchetti L. The determinants of motion picture box office performance:
Evidence from movies produced in Italy // Journal of Cultural economics. -
1999. - Т. 23. - №4. - С. 237-256.
. Basuroy
S., Chatterjee S., Ravid S.A. How critical are critical reviews? The box office
effects of film critics, star power, and budgets // Journal of marketing. -
2003. - Т. 67. - №4. - С. 103-117.
. Greenaway
M., Zetterberg B. Success in the Film Industry: What Elements Really Matter in
Determining Box-Office Receipts. - 2012.
. Hennig-Thurau
T., Houston M.B., Walsh G. Determinants of motion picture box office and
profitability: an interrelationship approach // Review of Managerial Science. -
2007. - Т. 1. - №1. - С. 65-92.
. Lenski
G.E. Status crystallization: a non-vertical dimension of social status
//American sociological review. - 1954. - Т. 19. - №4. - С. 405-413.
. Terry
N. et al. The determinants of domestic box office performance in the motion
picture industry // Southwestern Economic Review. - 2005. - Т. 32. - №1. - С.
137-148.
. Litman,
B. 1983. “Predicting success of theatrical movies: An empirical study”, Journal
of Popular Culture, 16(spring): 159-175
. Garvin,
David A. “Blockbusters: The Economics of Mass Entertainment.” Journal of
Comparative Economics 5 (1981): 1-20.
. Prag
J., Casavant J. An empirical study of the determinants of revenues and
marketing expenditures in the motion picture industry // Journal of Cultural
Economics. - 1994. - Т. 18. - №3. - С. 217-235.
. The
Numbers - Movie Box Office Data, Film Stars, Idle Speculation
. Zhang
L., Luo J., Yang S. Forecasting box office revenue of movies with BP neural
network // Expert systems with applications. - 2009. - Т. 36. - №3. - С.
6580-6587.
. Metacritic [Электронный ресурс]: база данных
. Internet
Movie Database [Электронный ресурс]: база данных
15. Holbrook
M.B., Addis M. Art versus commerce in the movie industry: A two-path model of
motion-picture success // Journal of Cultural Economics. - 2008. - Т. 32. - №2. - С. 87-107.
. Elliott
C., Simmons R. Determinants of UK box office success: the impact of quality
signals // Review of Industrial Organization. - 2008. - Т. 33. - №2. - С. 93-111.
. Elberse,
Anita and Bharat Anand. (2007) “The effectiveness of pre-release advertising
for motion pictures: An empirical investigation using a simulator market.” 319-43.
18. Box
Office Mojo [Электронный ресурс]: база данных. - Режим доступа:
boxofficemojo.com
19. Cleves
M.A., Rock L. From the help desk: Comparing areas under receiver operating
characteristic curves from two or more probit or logit models // The Stata
Journal. - 2002. - Т. 2. - №3. - С. 310-313.
. Bagella
M., Becchetti L. The determinants of motion picture box office performance: Evidence
from movies produced in Italy // Journal of Cultural economics. - 1999. - Т. 23. - №4. - С. 267-269.
. Jeffrey
S. Simonoff and Ilana R. Sparrow, Predicting movie grosses: Winners and losers,
blockbusters and sleepers
. De
Vany and Walls 2002, Social Values and Film Industry: the Internet Movie
Database analysis
23. М.
Вебер. Класс, статус, партия, П. Сорокин, Социальная и культурная мобильность
24. Boatwright,
Basuroy, and Kamakura’s (2007) Reviewing the reviewers: The impact of
individual film critics on box office performance, Harvard Business School,
United States
. M.
Latif, H.Afzal, 2016, Prediction of Movies popularity Using Machine Learning
Techniques
Приложение 1
Модель с Delta1 = 1, если рыночная оценка больше, чем профессиональная, на
25 пунктов и более
Логит-модель (Delta1 = 1), если рыночная оценка больше,
чем профессиональная, на 25 пунктов и более.
Пробит-модель (Delta1
= 1), если рыночная оценка больше, чем профессиональная, на 25 пунктов и более.
Модели адекватны и показывают примерно одинаковые результаты,
логит-модель немного лучше, поэтому в анализе будем исследовать ее. Псевдо R2 равен 0,228 для первой модели и 0,227
для второй.
Приложение 2
Предельные эффекты объясняющих факторов
Логит-модель (Delta1 = 1), если
рыночная оценка больше, чем профессиональная, на 25 пунктов и более.
Пробит-модель (Delta2 = 1), если
профессиональная оценка больше, чем рыночная, на 25 пунктов и более.
Приложение 3
Проверка критерия согласия
P-value = 0,27, что говорит о
согласованности модели и реальных данных.
Приложение 4
Модель с Delta2 = 1, если профессиональная оценка больше, чем рыночная, на
25 пунктов и более.
Логит-модель
Пробит-модель
Пробит-модель немного лучше, поэтому остановимся на ней. Хотя в целом
результаты одинаковы.
Приложение 5
Нормальность остатков (Вторая проверка)
Вывод: остатки распределены нормально