|
Глубина
восстановления системы
|
Названия
восстановительных работ
|
|
Восстановительная
работа проводится с работоспособной системой
|
Восстановительная
работа проводится с неработоспособной системой
|
|
Никакого
обновления в системе не проводится
|
Плановый
(внеплановый) осмотр или проверка работоспособности
|
-
|
|
Проводится
полное обновление
|
Плановая
(внеплановая) предупредительная профилактика
|
Плановый
(внеплановый) аварийно-профилактический ремонт
|
|
Проводится
обновление части системы
|
Плановая
(внеплановая) предупредительная профилактика части системы
|
Плановый
(внеплановый) аварийно-профилактический ремонт части системы
|
Таким образом, теория надёжности, как наука, базируется на
трёх вышеупомянутых терминах, совокупность которых и определяет то, что мы
называем надёжностью изделия. В свою очередь, качество и надёжность изделия
напрямую связаны с экономическими показателями изделия. Перед производителем
практически всегда стоит вопрос, какое выбрать сочетание цены и качества
изделия, для получения наилучших показателей экономической эффективности. По
мнению авторов, необходимо разработать систему, связывающую факторы, влияющие
на надёжность изделия, и его себестоимость. Приведу слова авторов о задачах
теории надёжности как науки в их понимании. “Теория надёжности устанавливает и
изучает количественные характеристики (критерии) надёжности, исследует связь
между показателями экономичности, эффективности и показателями надёжности;
разрабатывает методы проведения испытаний на надёжность и
методы обработки и оценки результатов этих испытаний;
разрабатывает методы контроля надёжности, методы оптимальных
режимов профилактических (регламентных) работ при эксплуатации изделий, методы
обоснования норм запасных частей (элементов, деталей).
В теории надёжности разрабатываются методы установления
режимов и выбора характеристик, обеспечивающих оптимальную надёжность, методы
выбора оптимальных конструкций и схем, обеспечивающих заданную надёжность,
оптимальные методы отыскания неисправностей в сложной аппаратуре и т.п.
При решении задач теория надёжности использует результаты
исследований физических и химических процессов, лежащих в основе явлений,
связанных с потерей качества” [1].
Авторы приводят перечень основных математических методов,
используемых в теории надежности. Это базовые методы таких дисциплин, как:
· теория
вероятностей и математическая статистика
· теория
информации
· теория
массового обслуживания
· линейное и
нелинейное программирование
· математическая
логика
· статистическое
моделирование
В завершение раздела авторы приводят различные примеры,
показывающие что в различных ситуациях приоритетными оказываются разные
характеристики надёжности, и решать каждую задачу нужно отталкиваясь от
специфики эксплуатации изделия.
Надёжность элемента, работающего до первого отказа
Завершив раздел, связанный с основными понятиями, авторы [1]
изучают характеристики надёжности элементов, работающих до первого отказа.
За t=0 обозначим момент начала работы изделия, а t=τ является моментом отказа, при этом τ будем называть временем жизни элемента. Время
жизни изделия является случайной величиной, распределённой по следующему закону
распределения
Величина Q (t) отражает вероятность
отказа элемента до момента времени t. Авторы обращают внимание на то, что
предположение о моделировании τ как случайной величины
является серьезным допущением по ряду факторов, однако является лучшим на
данный момент математическим средством.
Наряду с временем жизни часто употребляется другая функция
подразумевающая вероятность безотказной работы за время t. Иначе эту функцию
называют функцией надёжности. Она представляет из себя монотонно убывающую
функцию, равную 1 в нуле и имеющую предел
Примерный вид этой функции приведён ниже на рис.1.
Рис. 1.
Далее авторы рассматривают такую характеристику надёжности
как опасность отказа. Фактически, она выражается следующим образом
Решив это уравнение относительно P (t), получим

.
Накопленный опыт в данной области показывает, что обычно функция 
выглядит подобно тому, как это изображено на рис. 2.
Рис. 2.
Как мы видим на рисунке, график разделён на три области. Первая
область именуется периодом приработки и большие значения функции связаны
с тем, что на этом этапе происходит выявление бракованных изделий или других
проблем, связанных с эксплуатацией.
После периода приработки следует область нормальной работы, а
низкие значения функции объясняются тем, что бракованные изделия уже сломались,
а остальные изделия имеют маленькую вероятность отказа в связи с небольшим
износом.
Последний этап, называемый периодом старения, связан с постепенным
возрастанием значений функции из-за необратимых процессов в изделии, связанных
с износом.
Согласно этой структуре, авторы говорят о том, что первый период
обычно не продолжительный и не берётся в рассмотрение, а срок службы изделия по
документации заканчивается раньше периода старения. Исходя из этих соображений,
можем принять, что

,
а, следовательно, функция надёжности выглядит как
Иными словами, мы пришли к экспоненциальному закону
распределения с вероятностью отказа
и плотностью
По этому поводу авторы говорят следующее: “Экспоненциальный закон
очень популярен в теории надёжности. Эта популярность объясняется тем, что
экспоненциальный закон физически очень естественный, прост и удобен для
использования. Почти все задачи, возникающие в теории надёжности для
экспоненциальных законов распределения, оказываются на порядок проще чем для
произвольных законов. Почти все формулы в теории надёжности в случае
экспоненциального закона резко упрощаются.
Основная причина этого состоит в том, что экспоненциальный закон
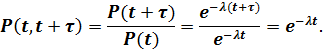
надёжности обладает следующим важным свойством: для экспоненциального закона
вероятность безотказной работы на данном интервале (t,t+ τ) не зависит от времени предшествующей
работы t, а зависит только от длины интервала τ".
Из теории массового обслуживания это свойство мы знаем как марковское
свойство. Математически
оно выглядит следующем образом
Несмотря на участившуюся критику в сторону использования
экспоненциального закона в связи с частыми случаями, когда его использование не
оправдано контекстом задачи, оно остаётся самым распространённым и самым часто
применяемым на практике.
Надёжность
восстанавливаемого элемента
Теперь предположим, что элемент имеет возможность
восстанавливаться. Характер восстановления может быть различным, как это было
показано ранее в Таблице 1, однако в данный момент будем считать, что элемент
заменяется на новый, а так же что время восстановления равно 0. В таком случае
мы уже имеем не одну случайную величину τ, а набор независимых случайных величин (τ1, τ2,…,) распределённых по
одинаковому закону распределения F (t):
Данная задача представляет из себя процесс восстановления из
теории массового обслуживания. Ключевым элементов для его изучения является
считающий процесс ν (t), случайная величина,
равная числу отказов, происшедших за время t. Закон распределения ν (t) выглядит следующим образом
Надёжность
системы
После обзора, посвященного надёжности отдельно взятых
изделий, логично рассмотреть систему из нескольких элементов, так как на
практике обычно приходится иметь дело именно с различными сложными структурами.
Будем предполагать, что элементы отказывают независимо друг от друга.
Самым важным и в то же время самым простым случаем является
система из последовательного соединения элементов в рассмотрении до первого
отказа. Под последовательным соединением подразумеваем, что при отказе одной из
составляющих, отказывает вся система. В таком случае для безотказной работы
всей системы до момента времени t необходима безотказная работа всех её частей на этом интервале.
Тогда, если P (t) - функция надёжности системы, а p1 (t), p2 (t),…,pn (t) - функции надежности n отдельных элементов, из
которых она состоит, то получаем
Это означает, что
откуда
Таким образом, если надёжности всех составляющих системы имеют
экспоненциальное распределения с параметрами 
, то и надёжность самой системы имеет экспоненциальное
распределение с параметром, равным сумме параметров подсистем.
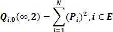
Рассматривая параллельное соединение элементов, имеет смысл вместо
функций надёжности рассматривать вероятности отказа Q (t)
где qi (t) - вероятность
отказа i-го элемента. В этом случае надёжность системы уже не будет
подчиняться экспоненциальному закону. Для случая равных элементов:
Задача по обслуживанию двух последовательно соединённых подсистем
Условие
задачи
Рассмотрим задачу, которую В.А. Каштанов и Е.Ю. Барзилович
исследуют в книге [3]. Для начала, кратко приведу условие задачи:
“Рассмотрим систему, состоящую из двух последовательно
соединённых подсистем. (Отказ одной из подсистем означает отказ системы.)
Считаем, что обе подсистемы равнонадёжны и имеют одинаковую функцию
распределения времени безотказной работы F (x) и, кроме этого, что
отказы в подсистемах появляются независимо и появившийся отказ обнаруживается
мгновенно.
Предположим, что в исследуемой системе возможно проведение
двух видов внеплановых восстановительных работ, которые начинаются только в
моменты отказов системы:
· внепланового аварийно-профилактического
ремонта, полностью обновляющего систему (обновляется и отказавшая подсистема и
работоспособная);
· внепланового аварийно-профилактического
ремонта части системы, когда обновляется только отказавшая подсистема.
Таким образом, вмешиваться в работу системы и проводить
восстановительные работы можно только после отказа системы, причём при
восстановлении в обязательном порядке проводится обновление отказавшей
подсистемы. Другое решение - решение об обновлении работоспособной части
системы - с одной стороны, влечёт за собой дополнительные затраты времени или
средств, с другой стороны, увеличивает время до появления последующего отказа
системы, и, следовательно, это решение необходимо принимать таким образом,
чтобы обеспечить оптимальные значения показателей, характеризующих качество
функционирования системы. ” [3]
Исследователи ставят перед собой задачу нахождения
оптимальной стратегии обслуживания данной сложной системы. При этом, авторы,
отталкиваясь от общих соображений и теоремы о вырожденных распределениях, ищут
оптимальную стратегию в классе вырожденных пороговых стратегий (без всякого
обоснования). Под пороговой стратегией подразумевается следующее: если при
отказе одной из подсистем наработка второй меньше некой τ, то с вероятностью единица принимается решение заменить только
отказавшую подсистему, иначе так же с вероятностью достоверного события
принимается решение о замене обеих подсистем.
Обзор решения
задачи
Авторы решают данную задачу путём построения полумарковского
процесса. В первую очередь, задаётся дифференциальный закон переходных
вероятностей
Помимо того, определена функция распределения 
неотрицательной случайной величины 
для каждой пары 
:
“Это позволяет построить ступенчатый полумарковский процесс 
, значения которого образуют обобщённую цепь Маркова, а
длительности пребывания процесса в том или ином состоянии являются случайными
величинами, распределение которых зависит от состояний, принимаемых процессом
на рассматриваемом и последующем периодах. С каждой реализацией процесса можно
связать некоторую случайную прибыль, определив её на каждом периоде как функцию
длительности периода и состояния процесса на рассматриваемом и последующем
периодах

” [3]
Определяется средняя прибыль за период при условии, что процесс
переходит из состояния
х в у
а так же средняя прибыль за промежуток времени, который 
находился в состоянии х
Определив среднюю длительность пребывания 
в состоянии x как
можем выразить среднюю удельную прибыль, которая является главным
показателем качества работы системы в данной задаче:
Исследовательская
часть
Постановка
новой задачи
Задачей моего исследования является решение задачи о двух
последовательно соединённых подсистемах для дискретного времени и конечного
множества состояний. Также передо мной стоит вопрос о проверке предположения об
оптимальности пороговой стратегии.
Решение в
общем виде
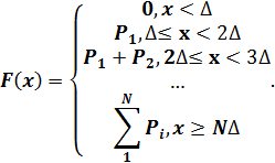
Дискретное время подразумевает, что поломка подсистем может
происходить только в определённые моменты времени. Обозначим один квант времени
как ∆. В таком случае, после начала работы системы, поломка может
произойти через время равное ∆, 2∆, 3∆,…,N∆. Обозначаем момент времени N∆ как момент, к которому система с
вероятностью единица откажет. Имеется в виду, что существуют вероятности отказа

в моменты i∆, такие
что
Данные вероятности зависят от характеристик подсистем и известны
изначально. С помощью этих вероятностей можно построить ступенчатую функцию F (x),
которая представляет из себя вероятность того, что подсистема откажет к моменту
времени x
Кроме этого, для удобства введём функцию

,
которая равна вероятности противоположного события, то есть
вероятность того, что подсистема не откажет к моменту времени x.
Будем рассматривать моменты времени отказа. Так как наработка
может принимать только дискретные значения, в данной задаче будем иметь
случайный процесс
, определяемый как наработка неотказавшего
элемента, который принимает значения из конечного множества состояний.
Особенностью задачи является то, что в отличии от непрерывного случая, возможна
одновременная поломка обеих подсистем с вероятностью отличной от нуля. Это
означает, что в множестве возможных состояний E, будет особое состояние, которое мы в дальнейшем будем обозначать
как “0”, когда отказали обе подсистемы. В остальных случаях отказывает одна из
подсистем, а наработка второй выражается в квантах ∆, отлична от 0,
но не превышает (N-1) ∆. Состояние, когда одна система отказала, а вторая
имеет наработку i∆ будем обозначать как “i”. Тогда множество состояний будет выглядеть
следующим образом
Решение о выборе ремонтных работ принимается во всех состояниях,
за исключением “0”, когда мы с вероятностью единица события обновляем обе
подсистемы. Обозначим за решение u=1 ремонт одной подсистемы, а за u=2 - ремонт обеих составляющих. В таком случае в состояниях 
принимаются решения 
. Множество 
называется множеством допустимых управлений. Вероятностные меры
на пространствах
, то есть рандомизированные стратегии
определяются заданием вероятностей
.
Будем предполагать, что при работе системы мы получаем доход, а
при ремонте убытки.
Известно [4], что таким образом построенный функционал -
математическое ожидание дохода за единицу времени при длительном функционировании
системы выражается равенством с использованием стационарных вероятностей
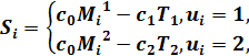
Средняя прибыль в состоянии i зависит от решения 
где c0 - прибыль, который приносит система за единицу времени в рабочем
состоянии, с1 и c2 - затраты на единицу времени проведения
ремонтных работ 1 и 2 соответственно, T1 и T2 -
среднее время проведения ремонтных работ 1 и 2, а Mij - математическое ожидание времени работы
системы до поломки при условии, что система находится в состоянии i и было принято решение j.
Средняя длительность периода в состоянии i выглядит следующим образом
Кроме того, оптимальную стратегию можно искать в классе
вырожденных, то есть либо
либо
.
Таким образом для каждой вырожденной стратегии необходимо найти 
и Mij. Для того чтобы найти математические
ожидания, необходимо перебрать все варианты развития событий. В Таблице 2
приведены все возможные события для вычисления Mi2 (т.е. при принятии решения “2”) и их вероятности. Так как при
ремонте обеих составляющих система обновляется, то для всех состояний j Mi2 будут
одинаковы.
Таблица 2.
|
P1
|
P2
|
…
|
PN-1
|
PN
|
|
P1
|
P1*
P1
|
P1*P2
|
…
|
P1*PN-1
|
P1*PN
|
|
P2
|
P2*P1
|
P2*P2
|
…
|
P2*PN-1
|
P2*PN
|
|
…
|
…
|
…
|
…
|
…
|
…
|
|
PN-1
|
PN-1*P1
|
PN-1*P2
|
…
|
PN-1*PN-1
|
PN-1*PN
|
|
PN
|
PN*P1
|
PN*P2
|
…
|
PN*PN-1
|
PN*PN
|
Столбец слева - вероятности отказа одной из подсистем в
момент Pi, верхняя строка - вероятности отказа второй
подсистемы в момент Pi. Элементы таблицы представляют из себя
одновременное выполнение двух условий. Сумма всех элементов с множителем P1 равна вероятности того,
что система проработает один квант времени, после чего выйдет из строя. Сумма
всех элементов с множителем P2, но не включающих множитель P1 равна вероятности, что
система проработает 2 кванта времени, и т.д. На Рис.3 данная структура
приведена более наглядно.
Рис. 3.
Таким образом, получив вероятности для каждого времени
работы, мы находим математическое ожидание длительности работы для любого
состояния при принятии решения “2”.
В ситуации с принятием решения “1” такой однородности не
будет, и для каждого состояния будет своя таблица. Поэтому приведём таблицу в
общем виде для состояния i. Надо также помнить, что в связи с присутствием
наработки у одной из подсистем, каждый элемент таблицы должен быть поделён на
условную вероятность того, что он проработал без поломки i∆. Таблица 3
представляет из себя набор всех возможных событий при принятии решения 1 в
состоянии i.
Таблица 3.
|
|
P1
|
P2
|
…
|
PN-1
|
PN
|
|
Pi+1
|
Pi+1*P1
|
Pi+1*P2
|
…
|
Pi+1*PN-1
|
Pi+1*PN
|
|
Pi+2
|
Pi+2*P1
|
Pi+2*P2
|
…
|
Pi+2*PN-1
|
Pi+2*PN
|
|
…
|
…
|
…
|
…
|
…
|
…
|
|
PN-1
|
PN-1*P1
|
PN-1*P2
|
…
|
PN-1*PN-1
|
PN-1*PN
|
|
PN
|
PN*P1
|
PN*P2
|
…
|
PN*PN-1
|
PN*PN
|
В данном случае структура суммирования остаётся такой же,
однако так как это уже не квадратная, а прямоугольная таблица, то максимальная
длительность будет не N∆, а (N-i) ∆. То есть при
расчёте математического ожидания будут фигурировать не N различных длительностей
и их вероятности, а N-i.
Посчитав все Mij, по приведённым ранее формулам вычисляются 
. Как уже говорилось раньше, состояние “0” является особым и
решение в нём не принимается. Характеристики для нулевого состояния:
К настоящему моменту мы имеем среднюю прибыль и среднюю
длительности периода для нулевого состояния, а также эти же характеристики,
зависящие от решения для всех остальных состояний.
Теперь вычислим стационарные распределения
. Они находятся из системы линейных
уравнений
где

- элемент полумарковского ядра, вероятность перехода из состояния
k в состояние i при решении u до момента
времени t.
Записав все элементы полумарковского ядра, мы сможем вычислить
среднюю удельную прибыль. Заметим, что для решения задачи нам достаточно
записать 
, что позволит существенно сократить громоздкость формул.
В первую очередь запишем элементы вида 
:
для осуществления этого перехода обе подсистемы должны отказать
одновременно. В остальных случаях одна из подсистем должна выйти из строя на
шаге j, а вторая нет.
Теперь осталось рассмотреть элементы вида 
. Здесь мы будем иметь дело с элементами с наработкой, а,
следовательно, будут присутствовать условные вероятности.
Обе подсистемы выходят из строя в один и тот же момент, с учётом
наработки.
Далее рассмотрим 4 случая для переходов из i в j. На данном этапе нужно обговорить, что переходы в этом случае для
некоторых i и j могут осуществляться двумя способами: либо выходит из строя
обновлённая система, либо поломка происходит в старой системе.
При этом переход, когда ломается новая составляющая возможен для
тех случаев, когда i<j. Переход же с поломкой старой возможен
только если 
Таким образом, из-за этих двух условий мы получаем четыре
различные области, для которых элементы полумарковского ядра будут разные и
записывать их мы будем отдельно.
Мы записали все элементы полумарковского ядра для всех возможных
решений. Задача решена в общем случае, вся работа для нахождения удельной
средней прибыли проделана. Теперь, используя полученные результаты, решим
задачу для конкретного примера и попробуем доказать пороговость оптимальной
стратегии.
Численный
пример
Будем решать задачу для N=5. Остальные условия
приведены в Таблице 4.
Таблица 4.
|
Распределение
вероятностей отказа
|
|
P1
|
P2
|
P3
|
P4
|
P5
|
|
0,2
|
0,15
|
0,15
|
0,2
|
0,3
|
|
Удельные
прибыль и затраты
|
Среднее время
ремонтов
|
|
с0
|
с1
|
с2
|
T1
|
T2
|
|
15
|
9
|
10
|
1,5
|
2
|
При выборе вероятностей отказа Pi я руководствовался общими
соображениями и накопленным опытом, о котором я писал в обзоре литературы.
Элемент P1 имеет завышенное значение по отношению к
следующим двум элементам из-за вероятности брака в отремонтированном изделии.
Элементы P4 и P5 связаны с износом изделия, поэтому тоже имеют
значения выше.
Затраты на первый и второй ремонт практически идентичны, так
как основная их часть - это плата ремонтной бригаде, и только малая часть идёт
на покупку необходимых комплектующих. Акцент сделан на отличии среднего времени
ремонтных работ, которое оказывает влияние и на итоговую стоимость ремонта.
Множество состояний E будет состоять из 5
элементов:
Чтобы вычислить математические ожидания времени пребывания
нужно выписать таблицы, аналогичные тем, которые я описывал ранее.
При решении “2” для всех состояний будет одна таблица
(Таблица 5).
Таблица 5.
|
P1
|
P2
|
P3
|
P4
|
P5
|
|
P1
|
0,04
|
0,03
|
0,03
|
0,04
|
0,06
|
|
P2
|
0,03
|
0,0225
|
0,0225
|
0,03
|
0,045
|
|
P3
|
0,0225
|
0,0225
|
0,03
|
0,045
|
|
P4
|
0,04
|
0,03
|
0,03
|
0,04
|
0,06
|
|
P5
|
0,06
|
0,045
|
0,045
|
0,06
|
0,09
|
|
∆
|
2∆
|
3∆
|
4∆
|
5∆
|
|
0,36
|
0,2175
|
0,1725
|
0,16
|
0,09
|
В других таблицах приведу ситуации для разных состояний при
решении 1:
Таблица 6.
|
P1P2P3P4P5
|
|
|
|
|
|
|
P2
|
0,03
|
0,0225
|
0,0225
|
0,03
|
0,045
|
|
P3
|
0,03
|
0,0225
|
0,0225
|
0,03
|
0,045
|
|
P4
|
0,04
|
0,03
|
0,03
|
0,04
|
0,06
|
|
P5
|
0,06
|
0,045
|
0,045
|
0,06
|
0,09
|
|
∆
|
2∆
|
3∆
|
4∆
|
|
|
0,28
|
0, 195
|
0,175
|
0,15
|
|
Таблица 7.
|
P1P2P3P4P5
|
|
|
|
|
|
|
P3
|
0,03
|
0,0225
|
0,0225
|
0,03
|
0,045
|
|
P4
|
0,04
|
0,03
|
0,03
|
0,04
|
0,06
|
|
P5
|
0,06
|
0,045
|
0,045
|
0,06
|
0,09
|
|
∆
|
2∆
|
3∆
|
|
|
|
0,25
|
0, 205
|
0, 195
|
|
|
Таблица 8.
|
P1
|
P2
|
P3
|
P4
|
P5
|
|
P4
|
0,04
|
0,03
|
0,03
|
0,04
|
0,06
|
|
P5
|
0,06
|
0,045
|
0,045
|
0,06
|
0,09
|
|
∆
|
2∆
|
|
|
|
|
0,26
|
0,24
|
|
|
|
Таблица 9.
|
P1P2P3P4P5
|
|
|
|
|
|
|
P5
|
0,06
|
0,045
|
0,045
|
0,06
|
0,09
|
|
∆
|
|
|
|
|
|
0,3
|
|
|
|
|
Далее с помощью полумарковского ядра считаем переходные
вероятности при решениях “1” и “2” (Таблица 10). Выбор нужной для расчётов
строки зависит от выбранной стратегии.
Таблица 10.
|
P (x,y); u=1
|
0
|
1
|
2
|
3
|
4
|
|
0
|
0
|
0
|
0
|
0
|
0
|
|
1
|
0,178125
|
0,15
|
0,284375
|
0,21875
|
0,16875
|
|
2
|
0,1615385
|
0,18461538
|
0,2
|
0,3846154
|
0,0692308
|
|
3
|
0,17
|
0,32
|
0,39
|
0
|
0,12
|
|
4
|
0,2
|
0,8
|
0
|
0
|
0
|
|
P (x,y); u=2
|
0
|
1
|
2
|
3
|
4
|
|
0
|
0,215
|
0,32
|
0, 195
|
0,15
|
0,12
|
|
1
|
0,215
|
0,32
|
0, 195
|
0,15
|
0,12
|
|
2
|
0,215
|
0,32
|
0, 195
|
0,15
|
0,12
|
|
3
|
0,215
|
0,32
|
0, 195
|
0,15
|
0,12
|
|
4
|
0,215
|
0,32
|
0, 195
|
0,15
|
0,12
|
После этого задача доведена до вычисления средней удельной
прибыли.
После того, как задача реализована в Excel, проверим пороговость
оптимальной стратегии. Так как решение мы ищем в классе вырожденных стратегий,
переберём все возможные вырожденные комбинации. Всего их 24=16
штук. Результат данных вычислений представлен в Таблице 11.
Таблица 11.
|
Номер стратегии
|
Решение в
состоянии 1
|
Решение в
состоянии 2
|
Решение в
состоянии 3
|
Решение в
состоянии 4
|
Средняя
удельная прибыль
|
Является ли
стратегия пороговой?
|
|
1
|
1
|
1
|
2
|
2
|
4, 196
|
да
|
|
2
|
1
|
1
|
1
|
2
|
4,150
|
да
|
|
3
|
1
|
1
|
2
|
1
|
4,076
|
нет
|
|
4
|
1
|
2
|
2
|
2
|
4,065
|
да
|
|
5
|
1
|
1
|
1
|
1
|
4,023
|
да
|
|
6
|
1
|
2
|
1
|
2
|
4,008
|
нет
|
|
7
|
1
|
2
|
2
|
1
|
3,942
|
нет
|
|
8
|
1
|
2
|
1
|
1
|
3,881
|
нет
|
|
9
|
2
|
1
|
2
|
2
|
3,773
|
нет
|
|
10
|
2
|
1
|
1
|
2
|
3,709
|
нет
|
|
11
|
2
|
2
|
2
|
2
|
3,643
|
да
|
|
12
|
2
|
1
|
2
|
1
|
3,578
|
нет
|
|
13
|
2
|
2
|
1
|
2
|
3,576
|
нет
|
|
14
|
2
|
1
|
1
|
1
|
3,509
|
нет
|
|
15
|
2
|
2
|
2
|
1
|
3,449
|
нет
|
|
16
|
2
|
2
|
1
|
1
|
3,378
|
нет
|
Из данной таблицы мы видим, что оптимальная стратегия
оказалась пороговой, что подтверждает предположение о пороговости оптимальной
стратегии. Так же можем заметить, что из 5 лучших стратегий 4 являются
пороговыми, что также подтверждает правильность соображений авторов [3] по
этому поводу.
Заключение
В данном исследовании мною в общем виде была решена задача об
обслуживании двух последовательно соединённых подсистем с дискретной моделью
времени и конечным множеством состояний. Помимо этого, данное решение было
реализовано в Excel и оттестировано на конкретном примере. Наконец, на численном
примере мною было подтверждено предположение о пороговости оптимальной
стратегии, на которое опирались В.А. Каштанов и Е.Ю. Барзилович в процессе
решения аналогичной задачи для непрерывного времени.
Список
литературы
1.
Гнеденко Б.В., Беляев Ю.К., Соловьев А.Д., Математические методы в теории
надежности: Основные характеристики надежности и их статистический анализ.
Изд.2-е, испр. и доп. М.: Книжный дом "ЛИБРОКОМ", 2017.
.
Каштанов В.А. Элементы теории случайных процессов.
.
Барзилович Е.Ю., Каштанов В.А. Некоторые математические вопросы теории массового
обслуживания., М., Изд-во “Советское радио”, 1971.
.
Вопросы математической теории надежности (под ред. Б.В. Гнеденко) М., Изд-во
“Радио и связь”, 1983.