Статистический анализ занятости и ее структуры
Оглавление
Введение
Глава 1. Анализ текущих проблем рынка труда и общая
характеристика занятости в РФ
.1 Обзор проблем рынка труда и исследований занятости
.2 Общая характеристика структуры занятости в РФ
Глава 2. Выявление факторов занятости
.1 Определение потенциальных факторов, воздействующих на
занятость в регионах
.2 Анализ структуры занятости как фактора производительности
труда
.3 Выявление факторов, воздействующих на занятость в регионах
Глава 3. Анализ динамики численности занятого населения
.1 Анализ свойств временного ряда
.2 Моделирование численности занятого населения и
прогнозирование
.3 Выявление взаимосвязи между занятостью, заработной платой
и совокупным выпуском
Заключение
Список литературы
Приложения
Введение
Достижение высокого уровня занятости - одна из
основных целей макроэкономической политики государства. Экономическая система,
создающая дополнительное количество рабочих мест, ставит задачу увеличить
количество общественного продукта и тем самым в большей степени удовлетворить материальные
потребности населения. При неполном использовании имеющихся ресурсов рабочей
силы система работает, не достигая пика своих производственных возможностей.
Безработица, которая напрямую связана с уровнем занятости, усугубляет
социальные проблемы населения. Поэтому занятость является важным индикатором,
отображающим существующую ситуацию на рынке труда и сигнализирующим о возможных
изменениях состояния экономической конъюнктуры. Исследование занятости и
факторов, способных воздействовать на данный показатель, является крайне важным
для полного видения текущего положения и разработки практических мер по его
улучшению, особенно в условиях нестабильной экономической ситуации в России и
мире. Все это обуславливает актуальность данного исследования.
Сегодня теме занятости уделяется особое внимание,
однако из-за постоянно меняющихся значений показателей рынка труда в условиях
экономического кризиса необходимо непрерывное обновление анализа.
Целью исследования выступает статистический анализ
занятости и ее структуры и выявление факторов, влияющих на занятость. Для
достижения поставленной цели сформулированы и решены следующие задачи:
) Охарактеризовать структуру занятого населения
России по различным категориям.
) Изучить характеристики структуры занятости в
качестве возможных детерминантов занятости.
) Определить потенциальные экономические
факторы, влияющие на занятость, и построить модель их влияния на зависимую
переменную.
) Рассмотреть особенности поведения временных
рядов занятости и проанализировать динамику занятости в совокупности с другими
экономическими показателями.
Объектом исследования данной работы является рынок
труда Российской Федерации.
Предметом анализа являются совокупность показателей,
характеризующих специфику структуры занятости, и социально-экономические
факторы, оказывающие влияние на занятость и характеризующие процессы
формирования трудовых ресурсов.
В качестве исследовательского инструментария в работе
использованы следующие методы: описательный и графический анализ,
корреляционный, факторный и регрессионный методы анализа, анализ временных
рядов. Для обработки данных использованы такие статистические пакеты анализа
данных, как «Excel», «IBM SPSS», «Eviews»,
«Stata», «Gretl».
Теоретическая и методологическая основа исследования
представлена трудами российских и зарубежных авторов, посвященных изучению
экономически активного населения в разрезе занятости и безработицы (Х. Боулхол,
Ж. Мур, Вакуленко Е.С.), а также механизмам функционирования рынка труда и
взаимосвязи его показателей с различными социально-экономическими факторами
(Рощин С.Ю., Мироненко О.Н., Гимпельсон В.), учебные теоретические пособия и
методология статистических служб.
Информационную базу составляют официальные
статистические данные Федеральной службы государственной статистики, материалы
периодической печати. Для анализа используются пространственные данные по
регионам России за 2014 г., данные о структуре занятости в России за 2015 г.,
временные квартальные данные с 1999 г. по 2015 г.
Научная новизна данной работы заключается в анализе
структуры занятого населения как фактора занятости именно для российского рынка
труда, а также в выявлении краткосрочных взаимосвязей между основными
экономическими показателями в России с использованием последних доступных
статистических данных. Таким образом, исследование затрагивает кризис 2014 г. и
реакцию экономики в 2015 г., что позволяет выявить последние тенденции на рынке
труда.
Практическая значимость работы состоит в том, что
выявленные факторы занятости помогут в определении инструментария для улучшения
ситуации на рынке труда. В то же время механизмы взаимодействия занятости с
другими экономическими показателями в динамике, которые исследованы в работе,
позволят планировать этапы реализации программ по оздоровлению экономики страны.
Объем и структура работы. Выпускная квалификационная
работа состоит из введения, трех глав, заключения, списка использованной
литературы, насчитывающего 20 источников, и 25 приложений. Общий объем работы
составляет 58 страниц. Первая глава содержит обобщение существующих
исследований по заданной теме и объясняет фокус выбранной проблематики, также в
первой главе подробно рассматривается структура занятого населения в России. Во
второй главе работы определяется перечень потенциальных факторов занятости и с
помощью регрессионного анализа выявляются основные ее детерминанты. В третьей
главе представлен подробный анализ численности занятого населения в динамике,
осуществляется моделирование временного ряда занятости, а также представлен
механизм краткосрочного взаимодействия основных экономических показателей -
ВВП, оплаты труда и занятости.
Глава 1. Анализ текущих проблем рынка
труда и общая характеристика занятости в РФ
.1 Обзор проблем рынка труда и
исследований занятости
рынок труд занятость
заработный
В современной исследовательской литературе проблемам
рынка труда и, в частности, занятости уделяется большое внимание. Постоянный
повышенный интерес объясняется нестабильной экономической ситуацией в России и
мире и, следовательно, необходимостью регулярного обновления исследований.
Особое внимание исследователи уделяют проблеме особенных механизмов
функционирования российского рынка труда, которые характеризуются реакцией
параметров рынка труда на внешние шоки.
Методология ОЭСР рассматривает в числе индикаторов
оперативной статистики, необходимых для отслеживания уровня экономической
активности в стране, объем выпуска, отработанные часы, показатели занятости,
заработную плату и другие. При этом акцентируется внимание на возможности
выявления изменений уровня экономической активности на ранних стадиях с помощью
индикаторов занятости (например, количество занятых, уровень занятости, уровень
безработицы). Однако ряд российских исследователей указывает на особую модель
российского рынка труда.
В первую очередь, следует отметить работу Мироненко
О.Н. (2010), в которой автор анализирует механизмы подстройки спроса на труд и
жесткость законодательства о защите занятости (ЗЗЗ). В данной работе
применяется два альтернативных подхода к измерению жесткости ЗЗЗ для работодателей:
использование показателей, характеризующих жесткость трудового законодательства
в целом, и оценка жесткости исключительно законодательства в области найма и
увольнения. Также оценивается влияние восприятия работодателями жесткости ЗЗЗ
на их решения в области кадровой политики для проверки полноты компенсации
издержек от увольнений. В работе выдвигается предположение о том, что если же
масштабы шока являются умеренными, фирма может не менять объем найма,
увольнений или общую численность работников (так называемый период пассивности)
и с большей вероятностью использовать альтернативные механизмы подстройки.
Мироненко О.Н. указывает на то, что для российских
компаний в процессе их подстройки к трансформационному кризису 1990-х гг. был
свойственен сценарий, основанный на гибкости заработной платы, рабочего
времени, высоких показателях добровольных увольнений работников и слабости
инфорсмента трудового законодательства. В соответствии с этим автор выделяет
четыре механизма подстройки: сокращение занятости, сокращение рабочего времени
(перевод части работников на неполную рабочую неделю, отправка в неоплачиваемые
отпуска), сокращение заработной платы, задержки заработной платы. В исследуемой
выборке около 40% предприятий не использовали ни один из механизмов за период
кризиса.
В качестве методов исследования применяются система
одновременных пробит-уравнений для определения механизма подстройки и регрессия
множественного выбора. Результаты свидетельствуют о менее вероятном сокращении
численности занятых теми работодателями, которые воспринимали ЗЗЗ как более
строгое. Если работодатель оценивал ЗЗЗ как очень жесткое, вероятность
сокращения численности работников повышалась. В этом смысле те фирмы, которые
значительно сократили занятость во время кризиса и, таким образом, столкнулись
с необходимостью исполнения ЗЗЗ, «ощутили» на своем опыте его издержки, в
момент опроса могли оценить это законодательство как довольно жесткое - отсюда
положительная корреляция между сокращением численности и восприятием ЗЗЗ как
очень строгого.
Мироненко О.Н. также обнаруживает, что малые
предприятия в наименьшей, а крупные в наибольшей степени склонны сокращать
численность работников во время кризиса, поскольку у последних не только
существует больше возможностей для покрытия соответствующих затрат, но и больше
потребности в уменьшении избыточной численности сотрудников.
Гимпельсон В. и Капелюшников Р. (2011) в своей работе,
посвященной исследованию механизмов приспособления рынка труда к экономическим
кризисам, выявляют относительно стабильный уровень занятости в России даже в
периоды рецессии. Анализируя статистику с 1992 по 2008, авторы отмечают, что
причиной этой стабильности является не предполагаемое снижение межфирменной
мобильности, а трудовое законодательство, которое устанавливает барьеры и
издержки при увольнении и найме новых сотрудников. Таким образом, экономическая
ситуация регулируется благодаря гибкости заработной платы и количества рабочих
часов. На основе анализа динамики различных индикаторов экономической активности
(выпуска, занятости, рабочих часов и зарплаты) за 2008-2009 авторы делают вывод
о высокой вероятности отличия российского рынка труда в инструментах
приспособления к кризису: отсутствует резкое снижение численности занятых и
скачок уровня безработицы.
Теперь, поскольку в рамках анализа планируется
исследование влияния определенных факторов на численность занятых, необходимо
определить их возможный перечень. Для этого можно использовать факторы,
определенные Рощиным С.Ю. (2003), как основные детерминанты предложения на
рынке труда. В своей работе автор исследует экономическую активность населения
и уровень участия в рабочей силе, а также детерминанты индивидуального
поведения.
В качестве методов используется микроэкономический
анализ, основанный на стандартной модели предложения труда. Предполагается, что
нетрудовые доходы и субъективная ценность свободного времени формируют
резервную заработную плату (минимальную заработную плату для принятия решения о
выходе на работу). Модель также предполагает максимизацию индивидуальной
функции полезности, аргументами которой являются потребляемые блага и свободное
время, при наличии бюджетных ограничений и ограничений времени.
В качестве результата микроэкономического анализа
автор определяет факторы, меняющие соотношение резервной и ожидаемой реальной
заработной платы:
· меняющие размер реального нетрудового
дохода (пенсии, пособия, стипендии);
· воздействующие на изменение
индивидуальных предпочтений (обучение в учебных заведениях, уход за детьми и
больными членами семьи);
· воздействующие на изменение реальной
заработной платы, с учетом вероятности найти работу (уровень заработной платы,
инфляции, уровень безработицы).
К тому же отмечается возможность спорного влияния
уровня безработицы на уровень экономической активности: в период высокой
безработицы индивид разочаровывается и выходит из состава экономически активных
(«эффект отчаявшегося работника»), часть людей наоборот выходит на рынок труда
для поддержания дохода семьи («эффект дополнительного работника»).
Далее Рощин С.Ю. проводит эконометрический анализ с
помощью методов регрессионного анализа, в регрессии автор учитывает структуру
рынка труда (семейный статус, возраст, пол), также оценивает переход из
экономически неактивного населения и обратный переход с помощью двух разных
регрессионных уравнений. Таким образом, метод включения структурных факторов в
регрессионный анализ может быть применен для целей данной работы.
В результате проведенного анализа подтверждается набор
основных детерминантов предложения труда, выявляется эффект отчаявшегося
работника и связь эффекта дохода в основном с личными нетрудовыми доходами.
Следующим рассмотренным исследованием рынка труда
является анализ, проведенный Вакуленко Е.С. и Гурвич Е.Т. с целью выявления
базовых механизмов российского рынка труда (РТ), рассматриваемого на
агрегированном уровне. Для этого осуществляется количественное описание связей
между основными показателями РТ, а также их реакции на различные шоки. В
анализе используются такие показатели, как уровень безработицы, заработная
плата и производительность. Взаимосвязь между переменными оценивается с помощью
векторных моделей авторегрессии, в частности, векторной модели коррекции
ошибками (VECM). Тем самым обеспечивается возможность изучить как долгосрочные,
так и краткосрочные механизмы российского рынка труда.
В результате анализа авторы выявляют положительную
зависимость заработной платы от производительности труда и отрицательную - от
уровня безработицы. Также полученные результаты свидетельствуют о том, что
ключевые показатели российского рынка труда (РРТ) связаны между собой
устойчивыми долгосрочными соотношениями со значимыми коэффициентами. Важный
вывод состоит в отсутствии значимой асимметрии реакций РРТ на положительные и
отрицательные отклонения от равновесия (например, на увеличение и снижение
производительности), что косвенно свидетельствует об отсутствии данной
жесткости рынка труда, наблюдаемой во многих странах.
По показателю эластичности Россия занимает медианную
позицию среди отдельных стран (так же, как по величине корреляции между
производительностью и зарплатой). Зависимость оплаты труда от
производительности достаточно выражена (в отличие от США и Японии) и в то же
время находится в разумных и безопасных пределах, оставаясь существенно ниже единицы
(чем выгодно отличается от Великобритании и ЮАР). Панельные регрессии по
группам стран дают значения, близкие к оценкам эластичности для России.
Таким образом, авторы заключают, что российский рынок
труда не отличается ни повышенной реакцией зарплаты, ни пониженной реакцией
занятости на шоки производительности или объемов производства и, по крайней
мере, с точки зрения долгосрочных механизмов, выглядит как воплощенная «норма».
Из зарубежных исследований временных рядов занятости
необходимо отметить работу Ж. Мура (2004), в которой автор анализирует
временные ряды численности занятых по европейским странам с целью выявления
изменения поведения данных временных рядов в период с 1985 по 2002 гг. Для этих
целей используется модель коррекции ошибками с включением первых разностей
временных рядов. Автор использует детерминанты спроса на труд, выраженные из
стандартной производственной функции, которые включают совокупный выпуск,
реальные затраты на труд и производительность труда.
В результате автор выявляет, что стандартные факторы
модели (реальная заработная плата, ВВП и занятость прошлого периода) отлично
описывают динамику изменения численности занятых в абсолютном выражении с 1985
по 1997 гг. Однако качество данной модели ухудшается при использовании ее для
данных с 1997 г. Тогда в модель вводится новая переменная, учитывающая
выявленный структурный сдвиг в 1997 г., вследствие чего качество прогнозной
способности модели значительно улучшается.
Данный структурный сдвиг в 1997 г. сопровождается
резким ростом числа занятых. Одной из причин этого может быть существенное
снижение затрат на трудовые ресурсы в 1997 г. Также возможными факторами роста
численности занятых являются реформы на рынке труда и структурные изменения
занятости (рост численности частично занятых с негативным воздействием на
производительности).
Еще одним важным аспектом исследования является оценка
производительности труда. Х. Боулхол в своей работе (2009), посвященной оценке
зависимости занятости и производительности от структуры населения, анализировал
переменные, характеризующие возрастную структуру населения, как одни из
факторов, определяющих уровень занятости и, соответственно, численность
занятых. Автор оценивает межстрановые различия уровня занятости и использования
рабочей силы и изучает причины этих различий. В результате исследования
структура трудоспособного населения определяется как фактор влияния на
производительность труда.
Таким образом, определив ключевые на данный момент
проблемы рынка труда и основные направления и инструменты исследования
занятости, начнем анализ с рассмотрения структуры занятости в России в
настоящий момент.
1.2 Общая характеристика структуры
занятости в РФ
Характеристика структуры занятости помогает
сформировать общее представление о рынке труда и выявить особенности занятости,
а также положительные и отрицательные стороны текущей ситуации.
Численность занятого в экономике населения в России
оценивается в 72,3 млн. человек (в среднем за 2015 г.). Доля мужчин в числе
занятых составляет 51,35%. Занятое городское население составляет 76,9% от всей
численности занятых.
Теперь подробно рассмотрим структуру занятого
населения в зависимости от различных показателей. Для начала обратим внимание,
как распределена численность занятых по возрастным группам (рис. 1). Самая
большая доля приходится на возрастную группу от 25 до 29 лет - 14,51% занятого
населения. Близкий к данному уровень численности занятых наблюдается в еще пяти
группах от 30 до 54 лет. На группу от 20 до 24 лет приходится доля занятых
всего 6,98%: в основном, молодые люди такого возраста ставят в приоритет учебу.
Начиная с 55 лет, численность занятых стремительно снижается по таким
естественным причинам, как достижение пенсионного возраста и рост смертности.
Рисунок 1. Структура занятых по возрастным группам в
2015 г.
Ниже на рис.2 представлено распределение численности
занятых по возрастным группам в зависимости от пола. От 15 до 40 лет и от 55 до
60 лет мужчины преобладают в численности занятых. В интервале от 15 до 40 лет
такой результат объясняется ролью мужчины в качестве кормильца семьи, в этом
возрасте значительная часть женщин уделяет время семье. В возрастной группе от
55 лет до 60 лет такая статистика может объясняться тем, что мужчины продолжают
работать, в то время как женщины по большей части уходят на пенсию. Однако от
40 до 55 лет доля женщин в числе занятых больше: женщины таких возрастных групп
готовы работать в силу возрастов, не популярных для деторождения. Превышение
количества женщин над численностью мужчин в составе занятых в возрастной группе
от 60 и выше связано с наступлением пенсионного возраста в 60 лет у мужчин.
Также это явление может объясняться сравнительно высокой смертностью мужчин в
данном возрасте (например, вероятность смерти в возрасте от 60 до 61 у мужчин
равна 0,03424, у женщин - 0,01165). Также следует отметить, что число занятых
мужчин и женщин в возрастной группе от 40 до 50 лет по сравнению с другими
возрастными группами трудоспособного возраста невелико из-за относительно
небольшой доли данной возрастной группы в численности всего населения.
Рисунок 2. Структура занятых по полу и возрастным
группам в 2015 г.
На рис. 3 представлено соотношение числа занятых по
группам с разными уровнями образования отдельно для мужчин и женщин. Очевидно,
что занятых женщин с высшим и средним профессиональным образованием больше, чем
занятых мужчин в этих образовательных группах. Численность занятых мужчин
преобладает в группах с основным общим и начальным профессиональным уровнем
образования.
Рисунок 3. Структура занятых по уровню образования и
полу в 2015 г., численность занятых в тыс. человек
Теперь рассмотрим структуру занятого населения в
зависимости от формы занятости по уровню образования (рис.4). Очевидно, для
занятых в формальном секторе более характерно наличие высшего и среднего
профессионального образования: 33% и 25,8% соответственно от общей численности
занятых в данном секторе, против 17,1% и 22,2% в неформальном секторе. Занятые
в неформальном секторе чаще имеют полное общее образование и начальное
профессиональное образование (30,1% и 23,2% соответственно против 18,4% и 19,2%
в формальном секторе).
Рисунок 4. Структура занятости по уровню образования в
РФ в 2015 г., в % к общей численности данного сектора
Следовательно, наличие высшего образования значительно
снижает вероятность попадания на рынке труда в неформальный сектор экономики.
Тогда отсутствие такового увеличивает риск попадания в данную группу.
Рисунок 5. Структура занятости по видам экономической
деятельности, в % к общей численности занятых в РФ в 2015 г.
Перейдем к анализу структуры занятости по видам
экономической деятельности (рис.5). Наибольшая доля занятых - 18,4% -
сосредоточена в сфере потребительских услуг, оптовой и розничной торговли.
Вторым по количеству занятых является сектор обрабатывающих производств с долей
14,3%. В отраслях добычи полезных ископаемых и производстве и распределении
коммунальных благ занята самая малая часть всей численности занятых: 2,1% и
3,2% соответственно.
Рисунок 6. Структура занятости по полу и видам
экономической деятельности в РФ в 2015 г.
Распределение занятых женщин и мужчин по различным
сферам экономической деятельности оказывается ожидаемым (рис.6). В секторе
торговли и потребительских услуг занято 23,89% женщин из всей численности
занятых женщин и 13,22% мужчин. В сферах образования и здравоохранения заняты
15,55% и 12,86% занятых женщин соответственно, доли занятых мужчин в данных
сферах равны 3,22% и 3,21%. Самая большая доля занятых мужчин приходится на
сектор обрабатывающих производств - 17,03%, занятых женщин в данном секторе 11,42%.
В сферах транспорта и связи и строительства из численности всех занятых мужчин
занято 13,83% и 12,68% мужчин соответственно, женщин - 4,97% и 2,18%.
Рисунок 7. Структура занятости по полу и семейному
положению в РФ в 2015 г.
При анализе структуры занятости по полу и семейному
положению (рис.7) на первый взгляд можно выявить лишь незначительные отличия в
соотношении групп между мужчинами и женщинами. В числе занятых основная масса
людей состоит в браке: 72,69% мужчин и 63,63% женщин. На долю вдов/вдовцов
приходится самая малая численность занятых мужчин и женщин: 1,07% и 5,88%
соответственно. Однако, учитывая тот факт, что на долю овдовевших и разведенных
людей в принципе приходится малая часть населения, следует обратить внимание на
сравнительно большой процент женщин вне брака, что может объясняться более
острой необходимостью наличия работы или отсутствием нужды в заботе о семье в
отличие от замужних женщин.
Рассматривая структуру занятых по занятиям на основной
работе, необходимо отметить, что для каждой группы занятий характерны примерно
равные доли занятого населения для одной возрастной группы за некоторыми
исключениями, например, высокой доли занятых от 60 до 72 лет в числе
квалифицированных работников сельского хозяйства - 17,87%. В связи с этим в
таб.1 представлена структура занятых по занятиям на основной работе для каждой
возрастной группы. Главной особенностью, на наш взгляд, является сравнительно
низкая доля неквалифицированных рабочих в возрастных группах от 20 до 39 лет,
что может говорить о возросшей необходимости получения квалификации и более
быстрой адаптации к меняющимся требованиям рынка труда по сравнению со старшими
возрастами.
Таблица 1 Распределение занятого населения по занятиям
на основной работе в различных возрастных группах в РФ в 2015 г.
|
Возрастные группы
|
15-19
|
20-29
|
30-39
|
40-49
|
50-59
|
60-72
|
|
Всего
|
100%
|
100%
|
100%
|
100%
|
100%
|
100%
|
|
Руководители (представители) органов власти и управления
всех уровней, включая руководителей организаций
|
0,60%
|
4,86%
|
8,73%
|
10,41%
|
10,33%
|
9,50%
|
|
Специалисты высшего уровня квалификации
|
0,91%
|
22,45%
|
22,84%
|
19,67%
|
17,13%
|
18,42%
|
|
Специалисты среднего уровня квалификации
|
10,14%
|
16,91%
|
15,33%
|
15,84%
|
14,04%
|
12,37%
|
|
Работники, занятые подготовкой информации, оформлением документации,
учетом и обслуживанием
|
1,99%
|
3,40%
|
2,83%
|
2,64%
|
2,73%
|
2,26%
|
|
Работники сферы обслуживания, жилищно-коммунального
хозяйства, торговли и родственных видов деятельности
|
19,89%
|
17,72%
|
14,99%
|
13,88%
|
12,44%
|
10,04%
|
|
Квалифицированные работники сельского, лесного, охотничьего
хозяйства, рыбоводства и рыболовства
|
22,96%
|
2,43%
|
2,18%
|
2,76%
|
3,86%
|
11,67%
|
|
Квалифицированные рабочие промышленных предприятий,
строительства, транспорта, связи, геологии и разведки недр
|
8,31%
|
13,20%
|
13,59%
|
12,74%
|
13,55%
|
10,53%
|
|
Операторы, аппаратчики, машинисты установок и машин
|
4,41%
|
10,40%
|
11,51%
|
13,38%
|
14,33%
|
9,05%
|
|
Неквалифицированные рабочие
|
30,79%
|
8,64%
|
8,00%
|
8,68%
|
11,58%
|
16,16%
|
Теперь, проанализировав структуру занятости по РФ,
можно сделать вывод о наличии существенных гендерных отличий в распределении
численности занятых по группам различных категорий, а также различных портретов
занятых для групп по уровням образования.
Глава 2. Выявление факторов занятости
.1 Определение потенциальных
факторов, воздействующих на занятость в регионах
В рамках данного исследования для определения
возможных детерминант занятости воспользуемся стандартной функцией совокупного
выпуска с постоянной эластичностью замещения:
где Y
обозначает совокупный выпуск в экономике, L - затраты труда, K - затраты капитала, α отражает интенсивность использования
того или иного фактора, σ применяется для отображения эластичности, a - технологический коэффициент.
Необходимое условие максимизации прибыли фирмы представляет собой равенство
компенсации работника предельной производительности:
где w/p обозначает реальную заработную плату
работника. После введения предположения о наличии постоянного роста
производительности труда и взятия логарифмов от предыдущего уравнения
получается следующее выражение:
где
, β является положительной величиной и отображает
технологический прогресс. Рост эффективности труда высвобождает экономические
ресурсы и позволяет производить больше, что ведет к расширению производства и
росту совокупного выпуска. Такое явление стимулирует потребности населения и
повышает спрос на производимые блага. Тем самым, спрос на рынке труда начинает
расти. Таким образом, более подробное изучение детерминант производительности
труда позволяет выявить неявные факторы занятости. В рамках нашего анализа как
факторам особое внимание уделяется характеристикам структуры занятости, а
именно: доля каждой возрастной группы в численности занятого населения,
соотношение полов, структура по уровням образования, соотношение городского и
сельского занятого населения. Кроме того, в качестве дополнительного фактора
производительности труда стоит рассмотреть доходы населения, поскольку они
являются мотивацией для повышения индивидуальной эффективности труда.
В случае выявления значимой взаимосвязи между
обозначенными потенциальными факторами производительности труда целесообразно
будет включить данные факторы в модель занятости в дополнение к ВРП и другим
социально-экономическим показателям.
.2 Анализ структуры занятости как
фактора производительности труда
Поскольку выше была определена важность производительности
труда как фактора занятости, теперь необходимо исследовать факторы
производительности труда, в частности, характеристик структуры занятости для
дальнейшего их включения в регрессионный анализ занятости по регионам.
Для того чтобы исследовать взаимосвязь
производительности труда с указанным выше (п.2.1.) перечнем факторов,
необходимо провести регрессионный анализ. В рамках данной работы выявление
такой взаимосвязи проводится по данным 76 регионов РФ. Перед проведением
регрессионного анализа проводится проверка соответствия распределения зависимой
переменной Y (производительность труда) нормальному закону. Из исходного ряда
наблюдений по 80 регионам исключены наблюдения для г.Москва, Тюменской и
Сахалинской областей, Чукотского автономного округа из-за аномальных значений
исследуемого признака. Для этого был использован стандартный метод проверки
совокупности на наличие выбросов - «правило трех сигм»: согласно этому правилу
случайная величина имеет нормальное распределение, ее значение не превышает три
стандартных отклонения от среднего значения по совокупности:
.
После первичного графического анализа и анализа
описательных статистик можно сделать вывод о логнормальном распределении
производительности труда. Поэтому для дальнейшего анализа используется
натуральный логарифм рассматриваемого признака. Также в таб. 2 приведены
результаты дополнительной проверки нормальности распределения зависимой
переменной с помощью статистики Харке-Бера, которая близка к нулю. Близость
коэффициентов асимметрии к нулю и эксцесса к трем также говорит о нормальном
распределении производительности труда, как и приблизительное равенство средней
и медианы.
Таблица 2. Характеристики
распределения lnY
|
Среднее
|
6,397
|
|
Медиана
|
6,391
|
|
Асимметрия
|
0,366
|
|
Эксцесс
|
2,630
|
|
Харке-Бера
|
2,129
|
|
Знач. Х.-Б.
|
0,345
|
|
Тест Колмогорова-Смирнова
|
0,830
|
|
Знач. К.-С.
|
0,497
|
|
Тест Пирсона
|
0,000
|
|
Знач. П.
|
1,000
|
Отклонение от нормального распределения считается
существенным при значении α < 0,05 для статистик Харке-Бера,
Колмогорова-Смирнова и Пирсона. В данном случае вероятность ошибки является
незначимой, следовательно, значение производительности труда по регионам
подчиняется нормальному распределению.
При проведении регрессионного анализа используется
метод пошагового исключения переменных. Данный метод заключается в том, что из
анализа постепенно исключаются переменные с наиболее низкой значимостью, при
которой значение α в итоговом уравнении регрессии не должно превышать
0,05 для каждой переменной.
В качестве факторов, потенциально оказывающих влияние
на производительности труда - lnY,
выбраны следующие переменные:
· lnX - натуральный логарифм среднедушевых
денежных доходов в месяц;
· ed - доля занятых с данным уровнем
образования в общей численности занятых: 0 - нет основного общего, 1 - основное
общее, 2 - среднее (полное) общее, 3 - начальное профессиональное, 4 - среднее
профессиональное, 5 - высшее профессиональное;
· age - доля занятых в данной возрастной
группе в общей численности занятых: 0 - 15-19, 1 - 20-29, 2 - 30-39, 3 - 40-49,
4 - 50-59, 5 - 60-72;
· male/female: доля мужчин/женщин в численности занятых;
· urban/rural: доля занятых в городской/сельской местности в общей
численности занятых.
После проведения процедуры исключения переменных
получено два конечных уравнения линейной регрессии (в скобках под оценками
параметров приводятся значения стандартных отклонений):
(1)
(2)
Факторы не коррелируют друг с другом на значимом
уровне, следовательно, в моделях отсутствует проблема мультиколлинеарности.
Также можно сделать вывод о значимости уравнений регрессии в целом и каждого из
его коэффициентов, поскольку их p-значения
меньше 0,05 (только в уравнении (1) переменная ed1 значима на уровне 10%). Теперь проведем проверку
адекватности результатов данных уравнений. Для этого протестируем остатки,
которые также должны иметь нормальное распределение. Применение «правила трех
сигм» показывает, что выбросы отсутствуют в обеих моделях. Значимость статистики
Харке-Бера равна для первого уравнения 0,135 и для второго 0,698, что больше
0,05. Следовательно, остатки полученных моделей имеют нормальное распределение.
Далее проверим однородность наблюдений в совокупности,
которая выражается в относительной стабильности дисперсии случайной ошибки
регрессии. Для этого проверяется гипотеза об отсутствии гетероскедастичности
(неоднородности). Проведенный тест Бреуша-Пагана-Годфри показывает значимость
статистики для первого уравнения 0,752 и для второго 0,683, что больше 0,05 и
говорит об отсутствии неоднородности наблюдений. Теперь можно сделать вывод,
что интерпретация данного уравнения имеет смысл.
Коэффициент детерминации для уравнения (1) R2=0,562
показывает долю дисперсии Y,
объясненную влиянием включенных в исследование признаков. Мы получили, что
56,2% дисперсии объяснено моделью. S = 0,205 - это несмещенная оценка дисперсии
остатков. Для уравнения (2) коэффициент детерминации равен R2=0,298.
Так, 29,8% дисперсии объяснено моделью, S = 0,259.
Таким образом, можно однозначно сказать о наличии
отрицательной взаимосвязи между долей населения с основным общим уровнем
образования в числе занятых и производительностью труда, что вполне логично с
экономической точки зрения: низкий уровень образования говорит о слабых
мотивационных характеристиках человека к труду и физиологически сравнительно
низкой производительности. В это время производительность труда и величина
дохода положительно взаимосвязаны между собой. Также выявлена положительная
взаимосвязь между зависимой переменной и долей городского населения в составе
занятых, что объясняется более благоприятными социально-экономическими
условиями для повышения производительности труда в городской местности.
Очевидно положительное воздействие доли занятых в возрасте от 40 до 49 лет на
производительность труда в силу высокого профессионального опыта и относительно
стабильного физического здоровья.
.3 Выявление факторов, воздействующих
на занятость в регионах
Теперь, когда мы определили факторы производительности
труда, построим общую регрессионную модель численности занятых на тысячу
человек населения (Z) по регионам.
Для этого из анализа следует дополнительно исключить как аномальные наблюдения
по следующим регионам: республики Адыгея, Дагестан, Ингушетия, Чеченская,
Карачаево-Черкесская и Кабардино-Балкарская республики, республика Тыва и
Камчатский край. Таким образом, анализ проводится на основе 67 наблюдений.
После первичного графического анализа и анализа
описательных статистик можно сделать вывод о нормальном распределении числа
занятых. Также в таб. 3 приведены результаты дополнительной проверки
нормальности распределения зависимой переменной с помощью статистики
Харке-Бера, которая близка к нулю. Близость коэффициентов асимметрии к нулю и
эксцесса к трем также говорит о нормальном распределении числа занятых, как и
приблизительное равенство средней и медианы.
Таблица 3. Характеристики
распределения Z
|
Среднее469,513
|
|
|
Медиана
|
469,084
|
|
Асимметрия
|
-0,041
|
|
Эксцесс
|
2,303
|
|
Харке-Бера
|
1,373
|
|
Знач. Х.-Б.
|
0,503
|
|
Тест Колмогорова-Смирнова
|
0,738
|
|
Знач. К.-С.
|
0,647
|
|
Тест Пирсона
|
0,000
|
|
Знач. П.
|
1,000
|
В данном случае вероятность ошибки является незначимой
на уровне 5% для статистик Харке-Бера, Колмогорова-Смирнова и Пирсона,
следовательно, значение производительности труда по регионам подчиняется
нормальному распределению.
При проведении регрессионного анализа также
используется метод пошагового исключения переменных. В качестве факторов,
потенциально оказывающих влияние на занятость - Z, были выбраны следующие переменные:
· Х1 - среднее время поиска работы
безработными, в месяцах;
· Х2 - потребность в работниках,
заявленная организациями в государственные учреждения службы занятости
населения, натуральный логарифм, на 1000 человек населения;
· Х3 - валовой региональный продукт на
душу населения, натуральный логарифм;
· Х4 - инвестиции в основной капитал на
душу населения, натуральный логарифм;
· Х5 - число предприятий и организаций
в регионе на 1000 человек населения, натуральный логарифм;
· X6 - налог на прибыль организаций в
среднем на одно предприятие/организацию в регионе, натуральный логарифм;
· X7 (lnX - в п. 2.2) -среднедушевые денежных доходов в месяц,
натуральный логарифм;
· X8 (ed1 в п. 2.2) - доля лиц с основным общим образованием в
численности занятых;
· X9 (age3 в п. 2.2) - доля возрастной группы от 40 до 49 лет в
численности занятых;
· X10 (urban в п. 2.2) - доля городского населения в численности
занятых.
Из результатов корреляционного анализа можно сделать
вывод о наличии значимых коэффициентов корреляции между многими потенциальными
факторами анализируемой зависимой переменной. Такая тесная взаимосвязь между
переменными вполне логична, учитывая сложность любого экономического механизма.
В связи с этим, чтобы избежать наличия мультиколлинеарности в регрессионной
модели, которая может привести к смещению оценок параметров, необходимо
сократить размерность модели. Для этого применим факторный анализ с методом
главных компонент. В таб. 4 приведены характеристики полученных главных
компонент, чьи собственные значения больше единицы, данные главные компоненты
объясняют 67,4% вариации.
Таблица 4. Характеристики главных
компонент
|
Компонента
|
Начальные собственные значения
|
|
Итого
|
Объясненная дисперсия, %
|
Кумулятивная дисперсия, %
|
|
1
|
3,655
|
36,552
|
36,552
|
|
2
|
1,834
|
18,345
|
54,896
|
|
3
|
1,246
|
12,457
|
67,354
|
В результате факторного анализа выявлены группы
факторов по полученным трем главным компонентам, фактор определялся к
компоненте в случае значения корреляции больше 0,5 (таб.5).
Таблица 5. Значения корреляций
компонент с факторами
|
Переменные
|
Компоненты
|
|
1
|
2
|
3
|
|
x1
|
-0,692
|
0,428
|
0,124
|
|
x2
|
0,403
|
0,379
|
-0,384
|
|
x3
|
0,897
|
0,169
|
0,279
|
|
x4
|
0,679
|
0,119
|
0,600
|
|
x5
|
0,598
|
0,040
|
-0,531
|
|
x6
|
0,190
|
-0,594
|
0,172
|
|
x7
|
0,857
|
0,113
|
0,133
|
|
x8
|
-0,337
|
0,774
|
-0,105
|
|
x9
|
0,171
|
0,704
|
0,276
|
|
x10
|
0,689
|
0,064
|
-0,478
|
Таким образом, первая компонента (PC1) характеризует доступность рабочих
мест и финансовых ресурсов населению и фирмам, а также экономическую развитость
региона; вторая компонента (PC2)
отображает социальный уровень региона и налоговую нагрузку на предприятия;
третья компонента (PC3) характеризует
капиталовооруженность трудовых ресурсов.
Следующим шагом является регрессионный анализ с
использованием полученных главных компонент в качестве факторов численности
занятых на тысячу человек населения. После проведения процедуры пошагового
исключения переменных получено следующее уравнение линейной регрессии:
Третья главная компонента не входит в итоговую модель
регрессии из-за незначимости оценки параметра на уровне 5%, это также можно
увидеть из таб.5, где высокая корреляция переменных Х4 и Х5 наблюдается как у PC3, так и у PC1. Поскольку значимость наблюдаемых значений F-статистики для уравнения в целом и t-статистик для оценок параметров
меньше 0,05, можно сделать вывод о значимости уравнения регрессии и каждого из
его коэффициентов.
Теперь проведем проверку адекватности результатов
данного уравнения. Выбросы в остатках модели отсутствуют. Значимость статистики
Харке-Бера равна 0,579, что больше 0,05. Следовательно, остатки полученной
модели имеют нормальное распределение. Проведенный тест Бреуша-Пагана-Годфри на
гетероскедастичность показывает значимость статистики 0,237, что больше 0,05 и
говорит об отсутствии неоднородности наблюдений. Теперь можно сделать вывод,
что интерпретация данного уравнения имеет смысл.
Коэффициент детерминации для полученного уравнения
регрессии равен R2=0,306. Так, 30,6% дисперсии объяснено моделью.
Несмещенная оценка дисперсии остатков равна S = 26,745.
Важным выводом из полученной модели является
подтверждение влияния структуры занятого населения на занятость в регионе: рост
трудоспособного населения зрелого возраста в численности занятых и снижение
доли занятых с низким уровнем образования ведут к росту производительности
труда и, как следствие, увеличению доли занятых в численности населения.
Ожидаемым результатом является выявление положительной
зависимости между взаимосвязанными ВРП, доходами населения, инвестициями и
занятостью, поскольку рост финансовых ресурсов и возможностей ведет к росту
потребительского спроса и расширению производства, что стимулирует рынок труда.
Доказанное влияние доли городского населения в числе занятых на занятость в
целом также имеет немаловажное значение с точки зрения совершенствования
инфраструктуры регионов и повышения производительности труда в сельских
местностях с целью ослабления воздействия данного фактора на занятость.
Глава 3. Анализ динамики численности
занятого населения
.1 Анализ свойств временного ряда
Для более полного понимания текущей ситуации на рынке
труда в контексте занятости необходимо проанализировать динамику численности
занятого населения. На данный момент (по оценке за 4-ый кв. 2015 г.) в России
численность занятых составляет 72,3 млн. человек, что превышает показатели 4-го
кв. 2014 г. на 0,6 млн. человек. Неожиданным фактом является среднегодовой
прирост занятого населения на 1,14% в период глубокого экономического кризиса.
Однако данный темп все же меньше, чем в период экономического роста до кризиса
2008 г. (в 2007 г. среднегодовой прирост численности занятого населения был
равен 2,17%).
Рисунок 8. Динамика численности занятого населения в
РФ с 1999 по 2015 гг.
Как видно из рис.8, численность занятых имеет
восходящий тренд с изломом (характеризующийся существенным снижением
численности занятых после финансового кризиса в 2008 г.) и очевидные сезонные
колебания. В течение года самые высокие значения показателя наблюдаются в 3-ем
кв. - в среднем на 0,77 млн. человек выше среднегодового значения, самые низкие
- в 1-ом кв.: в среднем на 0,87 млн. человек меньше. Наличие сезонных колебаний
может быть вызвано следующими сезонными факторами:
· появление на рынке труда новой
рабочей силы (например, выпускников школ и университетов в июне-июле);
· установленное во многих компаниях
окончание финансового года в июне или декабре, выплата премий по его итогам;
· сезонный характер некоторых отраслей
(например, сельское хозяйство).
Также стоит отметить, что изменения интенсивности
колебаний незначительны на протяжении рассматриваемого периода. Присутствие
сезонности подтверждается коэффициентами автокорреляционной и частной
автокорреляционной функций (таб.6), которые выходят за границы доверительного
интервала каждый второй лаг для обеих функций, поэтому целесообразно будет
построить модель, учитывающую сезонность.
Таблица 6. Характеристика автокорреляционной и частной
автокорреляционной функций
|
№ лага
|
Коэффициенты автокорреляционной функции
|
Коэффициенты частной автокорреляционной функции
|
Q-статистика
|
|
1
|
0,021
|
0,021
|
0,032
|
|
2
|
-0,742
|
-0,743
|
39,160
|
|
3
|
-0,027
|
0,036
|
39,213
|
|
4
|
0,769
|
0,487
|
82,582
|
|
5
|
-0,002
|
-0,161
|
82,582
|
|
6
|
-0,734
|
-0,217
|
123,390
|
|
7
|
-0,029
|
0,019
|
123,450
|
|
8
|
0,717
|
0,116
|
163,700
|
|
9
|
0,011
|
-0,051
|
163,710
|
-0,692
|
-0,061
|
202,500
|
Для предварительного анализа проверим временной ряд
численности занятых на стационарность с помощью двух тестов: KPSS (Квятковского-Филлипса-Шмидта-Шина)
и расширенного теста Дикки-Фуллера. Также на их основе проведем процедуру
Доладо для определения типа временного ряда (содержит ли ряд стохастический или
детерминированный тренд). Как показано в таб.7, оба теста подтверждают нестационарность
временного ряда и значимость тренда. По этой причине процедура Доладо
останавливается на первом шаге, это говорит о наличии детерминированного
тренда.
Таблица 7. Результаты тестов ADF и KPSS
на наличие единичных корней
|
Тест
|
KPSS
|
ADF
|
|
Наблюдаемая статистика
|
LM-статистика
|
t-статистика
|
|
0,222
|
-2,702
|
|
Критическое значение, уровень значимости
|
1%
|
0,216
|
-4,110
|
|
5%
|
0,146
|
-3,483
|
|
10%
|
0,119
|
-3,169
|
|
Значимость тренда
|
0,000
|
0,021
|
Следовательно, необходимо выделить тренд и от
полученного ряда взять первую разность. Проверка полученного временного ряда на
наличие единичного корня с помощью указанных выше тестов показывает, что данный
временной ряд стационарен (таб.8).
Таблица 8. Результаты тестов ADF и KPSS
на наличие единичных корней
|
Тест
|
KPSS
|
ADF
|
|
Наблюдаемая статистика
|
LM-статистика
|
t-статистика
|
|
0,114
|
-4,628
|
|
Критическое значение, уровень значимости
|
1%
|
0,216
|
-4,116
|
|
5%
|
0,146
|
-3,485
|
|
10%
|
0,119
|
-3,171
|
|
Значимость тренда
|
0,348
|
0,219
|
Однако тесты ADF и KPSS не учитывают возможные структурные
сдвиги во временном ряду. Поскольку в исходном временном ряду присутствует
структурный сдвиг, начиная с 1-го кв. 2009 г., что подтверждается тестом Чоу на
уровне значимости 5% (результаты в приложении к п.3.1), необходимо также
проверить полученный ряд на стационарность с помощью учитывающих структурный
сдвиг тестов: тест Эндрюса - Зивота и тест Clemente,
Montañés, Reyes (таб.9).
Таблица 9. Результаты тестов Эндрюса - Зивота и Clemente, Montañés, Reyes на наличие единичных корней с учетом структурных
сдвигов
|
Тест
|
Эндрюса - Зивота
|
Clemente,
Montañés, Reyes
|
|
Наблюдаемая t-статистика
|
-16,74
|
-4,87
|
|
Критическое значение, уровень значимости 5%
|
-4,80
|
-3,56
|
Таким образом, как показывают результаты проведенных
тестов, ряды первых разностей стационарны. Следует еще раз отметить, что
выявленный структурный сдвиг может отображать изменение механизмов
функционирования рынка труда после финансового кризиса в 2008 г. Восстановление
восходящего тренда после структурного сдвига достигается уже через год после
кризиса, однако темпы роста показателя более медленные по сравнению с
докризисным временем.
.2 Моделирование численности занятого
населения и прогнозирование
Поскольку рынок труда России, как было отмечено в
Главе 1, не отличается особым механизмом подстройки под внешние шоки, а на
данный момент на экономику страны активно воздействуют различные экономические
шоки, прогнозирование показателей занятости необходимо для понимания тенденций
экономической активности. Для этих целей мы осуществим моделирование временного
ряда численности занятых за период с 1999 по 2015 гг. и построим краткосрочный
прогноз на год вперед.
Учитывая указанные характеристики анализируемого
временного ряда, описывающего численность занятого населения, потенциально,
модель SARIMA является оптимальной для описания
данного временного ряда. SARIMA(p,d,q)(Ps,Ds,Qs)s - это процесс авторегрессии - интегрированного
скользящего среднего где p -
параметр частной автокорреляционной функции (процесс авторегрессии - AR часть), q - параметр автокорреляционной функции (процесса скользящего
среднего - MA часть), d - степень интеграции, Ps - сезонный параметр
авторегрессии, Qs - сезонный параметр скользящего среднего; Ds -
порядок сезонной разности.
Следует отметить, что для целей данного анализа была
выбрана аддитивная модель временного ряда. Данная модель лучше описывает
анализируемые данные: амплитуда колебаний приблизительно одинакова до
структурного сдвига, такая же картина наблюдается после структурного сдвига,
однозначные рост или уменьшение размаха сезонных колебаний отсутствуют. Другими
словами, с течением времени амплитуда сезонных колебаний может существенно
меняться только вследствие появления какого-либо структурного сдвига по
каким-либо экономическим причинам, например, из-за кризиса, а не из-за
последовательного усиления или ослабления сезонных эффектов.
В соответствии с анализом значимых коэффициентов
автокорреляции (коррелограмма в приложении к п.3.2) можно рассмотреть следующие
параметры, возможные для включения в модель: AR(2), AR(4), MA(2), MA(4).
Результаты спецификации оптимальной модели SARIMA приведены в таб.10. Оптимальная
модель была выбрана на основе сравнения информационных критериев и выбора
модели с минимальными их значениями.
Таблица 10. Характеристика модели SARIMA(2;1;4)(4,0,0)4
|
Параметр
|
Оценки коэффициентов
|
Стандартные ошибки
|
Значимость
|
|
AR(2)
|
-0,10734
|
0,04931
|
0,0335
|
|
AR(4)
|
0,88831
|
0,05073
|
0,0000
|
|
MA(4)
|
-0,93221
|
0,04765
|
0,0000
|
|
Критерий
|
Акаике
|
Шварца
|
Ханнана-Куинна
|
|
Значение критерия
|
1,2471
|
1,3491
|
1,2872
|
|
|
|
|
|
Проверим, принадлежат ли остатки нормальному закону
распределения, для чего воспользуемся тестом Харке-Бера, который сверяет третий
и четвертый моменты остатков с моментами нормального распределения. Поскольку
значимость равна 0,2172, что превышает α = 0,05, а само значение статистики 0,8971 близко
к нулю, распределение остатков соответствует нормальному. Значения
коэффициентов асимметрии и эксцесса также подтверждают нормальное распределение
(K=2,98, S=-0,14).
Судя по коррелограмме (в приложении к п.3.2.) в
остатках отсутствует автокорреляция. Это также подтверждается с помощью теста
Бреуша-Годфри на отсутствие автокорреляции: значение наблюдаемой статистики
0,0397 меньше критического значения 2,58. Проведенный ADF тест на наличие единичного корня (в приложении к
п.3.2.) показывает стационарность ряда остатков модели и, следовательно,
постоянство их отклонений.
Формулировка данной модели выглядит следующим образом:
Коэффициенты при параметрах в данной модели значимы на
уровне 5%. Формулировка итоговой модели выглядит следующим образом:
Дополнительная проверка качества модели с
использованием ретропрогнозов показывает высокую прогнозную силу модели. На
рис.9 изображены прогнозные и реальные значения с 3-го кв. 2014 г. по 4-ый кв.
2015 г. Максимальное отклонение прогнозных значений от реальных составляет
-0,54%, минимальное - 0,08%.
Рисунок 9. Реальные и прогнозные значения численности
занятого населения в РФ в динамике с 3-го кв. 2014 г. по 4-ый кв. 2015 г.
На рис. 10 представлена реальная динамика численности
занятого населения в анализируемый период, а также модельные значения
временного ряда. Также изображен прогноз на 2016 г.
Рисунок 10. Реальные и модельные значения численности
занятого населения в РФ в динамике с 1999 по 2015 гг., прогноз на 2016 г.
Стоит отметить, что предсказанные значения численности
занятого населения точно описывают направление поведения реального временного
ряда. Однако прогноз численных значений менее качественный: при резких скачках
показателя остатки модели могут выходить за границы доверительного интервала.
Например, значительные отклонения прогнозных значений от реальных наблюдаются в
1-ом кв. 2002 г. и 1-ом кв. 2009 г. (полный график в приложении к п.3.2.).
Исходя из прогноза, мы можем заключить, что в 2016 г.
сохранится восходящий тренд численности занятых. С учетом сезонного эффекта
снижения численности занятых в 1-ом кв. их численность понизится до 71,9 млн.
человек, однако в 3-ем кв. этого года достигнет 73,8 млн. человек и затем опять
немного снизится до 73 млн. человек. Такой результат может говорить о
постепенном восстановлении российской экономики и потенциальном увеличении
темпов роста совокупного выпуска.
Однако, принимая во внимание тот факт, что сразу после
кризиса 2008 г. наблюдалось резкое снижение численности занятых, а после
кризиса 2014 г. такое падение отсутствует, поведение численности занятых, как и
других экономических показателей, может иметь непредсказуемый характер из-за
иной природы кризиса.
3.3 Выявление взаимосвязи между
занятостью, заработной платой и совокупным выпуском
Основываясь на детерминантах стандартной
производственной функции и условии максимизации прибыли фирмы (п.2.1), в
качестве факторов численности занятых можно выделить объем совокупного выпуска,
затраты на оплату труда и производительность труда, которая отображает
эффективность рабочей силы и технологический прогресс.
Проанализируем представленную на рис.11 динамику
реальной заработной платы, реального ВВП и численности занятого населения за
период с 1999 по 2015 гг. (значения зарплаты и ВВП приведены к ценам 1999 г.).
Очевидно, что все три показателя имеют одинаковые поведенческие особенности на
протяжении всего периода: период активного роста до кризиса 2008 г. и резкое
падение всех показателей в кризис (слабее всего реакция заработной платы),
затем - более плавное восстановление. Исключением является только рост численности
занятых в 2014-2015 гг., когда другие два показателя имеют нисходящие
тенденции. Однако стоит повторно отметить, что численность занятых в данном
временном интервале замедляет свой рост.
Рисунок 11. Динамика численности занятого населения
(правая ось), ВВП и заработной платы (левая ось) в РФ с 1999 по 2015 гг.
Следует также отметить тот факт, что численность
занятого населения и заработная плата являются амортизаторами друг для друга:
сильное падение занятости сопровождается гораздо более слабым сокращением
реальной заработной платы, сильное сокращение оплаты труда компенсируется
плавным ростом занятости. Коэффициенты корреляции между рассматриваемыми
показателями подтверждают взаимосвязь между ними: все коэффициенты превышают
0,95.
Для целей анализа рассматриваемые показатели
переводятся в натуральные логарифмы. Сезонность в рядах сохраняется для целей
статистического подтверждения краткосрочной взаимосвязи между показателями. В
первую очередь представляется необходимым провести тесты на проверку
стационарности временных рядов. Результаты проверки представлены ниже в таб.11.
Очевидно, что данные ряды не являются стационарными (только тест Clemente,
Montañés,
Reyes показал отсутствие
единичного корня у ряда численности занятого населения).
Таблица 11. Результаты тестов на наличие единичных
корней во временных рядах численности занятых, оплаты труда и ВВП
|
Показатель
|
KPSS с константой и трендом
|
KPSS с константой
|
Эндрюса - Зивота
|
Clemente, Montañés, Reyes
|
|
Наблюдаемое значение LM-статистики
|
Критическое значение LM-статистики (на уровне 5%
значимости)
|
Наблюдаемое значение LM-статистики
|
Критическое значение LM-статистики (на уровне 5%
значимости)
|
Наблюдаемое значение t-статистики
|
Критическое значение t-статистики (на уровне 5% значимости)
|
Наблюдаемое значение t-статистики
|
Критическое значение t-статистики (на уровне 5% значимости)
|
|
Численность занятого населения
|
0,227
|
0,146
|
1,007
|
0,463
|
-4,503
|
-4,800
|
-2,754
|
-3,560
|
|
ВВП
|
0,244
|
0,146
|
0,998
|
0,463
|
-2,632
|
-4,800
|
-2,656
|
-3,560
|
|
Среднедушевая заработная плата
|
0,270
|
0,146
|
1,002
|
0,463
|
-1,535
|
-4,800
|
-3,273
|
-3,560
|
Для целей достижения стационарности рядов возьмем
первые разности рассматриваемых показателей. В результате использования тестов
на проверку стационарности мы обнаруживаем, что во всех временных рядах
отсутствуют единичные корни (таб.12).
Таблица 12. Результаты тестов на наличие единичных
корней во временных рядах первых разностей численности занятых, оплаты труда и
ВВП
|
Показатель
|
KPSS с константой и трендом
|
KPSS с константой
|
Эндрюса - Зивота
|
Clemente,
Montañés, Reyes
|
|
Наблюдаемое значение LM-статистики
|
Критическое значение LM-статистики (на уровне 5%
значимости)
|
Наблюдаемое значение LM-статистики
|
Критическое значение LM-статистики (на уровне 5%
значимости)
|
Наблюдаемое значение t-статистики
|
Критическое значение t-статистики (на уровне 5% значимости)
|
Наблюдаемое значение t-статистики
|
Критическое значение t-статистики (на уровне 5% значимости)
|
|
Численность занятого населения
|
0,167
|
0,146
|
0,316
|
0,463
|
-16,148
|
-4,800
|
-5,000
|
-3,560
|
|
ВВП
|
0,072
|
0,146
|
0,478
|
0,463
|
-11,583
|
-4,800
|
-4,363
|
-3,560
|
|
Среднедушевая заработная плата
|
0,075
|
0,146
|
0,533
|
0,463
|
-14,248
|
-4,800
|
-4,829
|
-3,560
|
Теперь изучим качественные характеристики связей между
анализируемыми показателями. Для начала проверим наличие причинно-следственных
связей между переменными с помощью теста казуальности по Гранжеру. В таб.13
представлены соответствующие p-значения теста (тест проводился с использованием
первых разностей).
Таблица 13. Результаты теста Гранжера в зависимости от
количества лагов
|
Гипотеза
|
1
|
2
|
3
|
4
|
|
ВВП - не причина занятости
|
0,000
|
0,080
|
0,018
|
0,071
|
|
ВВП - не причина заработной платы
|
0,000
|
0,000
|
0,000
|
0,000
|
|
Занятость - не причина ВВП
|
0,000
|
0,000
|
0,000
|
0,139
|
|
Занятость - не причина заработной платы
|
0,000
|
0,000
|
0,000
|
0,006
|
|
Заработная плата - не причина ВВП
|
0,000
|
0,000
|
0,000
|
0,237
|
|
Заработная плата - не причина занятости
|
0,000
|
0,023
|
0,001
|
0,220
|
Если полученное p-значение теста ниже заданного уровня значимости 0,05, то
гипотеза, указанная в крайнем левом столбце, отвергается. Очевидно, что между
всеми анализируемыми показателями сильны причинно-следственные связи. Следует
обратить внимание на то, что заработная плата поддается наибольшему влиянию
других показателей и подстраивается под их значения в течение года. Воздействие
ВВП на занятость происходит с интервалом в один квартал. Поскольку мы видим,
что численность занятого населения влияет на ВВП и заработную плату, и, в свою
очередь, заработная плата оказывает эффект на численность занятых,
взаимозависимость между заработной платой и занятостью как инструментами
подстройки рынка труда к внешним шокам действительно присутствует. Самой
экзогенной переменной из рассматриваемых можно назвать численность занятых,
поскольку она в меньшей степени по сравнению с другими показателями является
следствием изменений причинных переменных.
Учитывая явную взаимосвязь между анализируемыми
переменными в краткосрочном горизонте, построим модель векторной авторегрессии VAR. Выбор оптимального порядка
осуществляется на основе информационных критериев Акаике (AIC), Шварца (BIC) и Ханнана-Куинна (HQC). Наименьшее значение критерия BIC=-13,506 наблюдается на втором лаге,
наименьшие значения критериев AIC=-15,111
и HQC=-14,456 наблюдаются на пятом лаге.
После рассмотрения нескольких вариаций количества
лагов в модели VAR была выбрана
модель с 1 и 2 лагами на основании значений информационных критериев и качества
остатков. Модели с порядком лагов, равных 5, также не были рассмотрены по
причине нацеленности на анализ краткосрочной взаимосвязи между переменными с
учетом постоянно меняющихся экономических условий. В таб.14 представлена
спецификация модели: значения параметров и среднеквадратические отклонения.
Заработная плата, численность занятых и ВВП обозначены как X, Y и Z
соответственно.
Таблица 14 Оценки
параметров модели VAR(1,2) и
отклонения оценок
|
Факторы
|
DX
|
DZ
|
DY
|
|
DX(-1)
|
-0,507
|
-0,363
|
0,013
|
|
СКО
|
0,118
|
0,208
|
0,030
|
|
DX(-2)
|
0,774
|
0,545
|
0,086
|
|
СКО
|
0,131
|
0,231
|
0,033
|
|
DZ(-1)
|
0,226
|
-0,091
|
-0,014
|
|
СКО
|
0,090
|
0,159
|
0,023
|
|
DZ(-2)
|
-0,273
|
-0,557
|
-0,064
|
|
СКО
|
0,088
|
0,154
|
0,022
|
|
DY(-1)
|
2,651
|
4,505
|
0,067
|
|
СКО
|
0,506
|
0,890
|
0,127
|
|
DY(-2)
|
0,075
|
-0,824
|
-0,510
|
|
СКО
|
0,591
|
1,038
|
0,148
|
|
Const
|
0,009
|
0,013
|
0,002
|
|
СКО
|
0,006
|
0,010
|
0,001
|
Каждое из уравнений в системе является значимым на
уровне 5%. Значимыми на уровне 5% является около 50% оценок параметров.
Обратные корни лежат внутри единичного круга (значение самого крайнего равно
0,963), следовательно, система стационарна. Автокорреляция в остатках на лагах
выше двух отсутствует (подробные результаты в приложении к п.3.3). Также
остатки характеризуются нормальным распределением как для каждого уравнения в
отдельности, так и для системы в целом: статистика Харке-Бера равна 3,845, и
величина значимости для нее равна 0,698. Таким образом, модель является адекватной
и применимой к описанию анализируемых временных рядов.
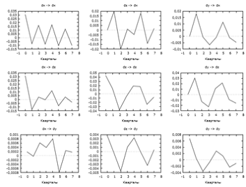
Рисунок 12. Графики импульсных откликов
Судя по графикам на рис.12 рассматриваемые показатели
оказывают друг на друга бесспорное краткосрочное влияние. Наиболее сильный
отклик наблюдается у ВВП на первом лаге при резком изменении численности
занятых. Таким образом, увеличение численности занятых провоцирует рост ВВП
через один квартал, однако спустя еще квартал наблюдается резкое падение ВВП,
такое колебание продолжается на протяжении всего рассматриваемого периода,
которое может объясняться сезонными эффектами и циклическим характером
показателей в течение года. Однако стоит заметить, что вторая волна колебаний
слабее первой, что может говорить о постепенном возвращении к долгосрочному
тренду. Аналогичную картину можно наблюдать при анализе воздействия численности
занятых на заработную плату.
В целом, стоит отметить, что такой цикличный характер
воздействия присущ всем трем показателям, отличие состоит в интенсивности
влияния, направление влияния при этом сохраняется. О таких колебаниях
показателей говорят и коэффициенты при параметрах модели, которые, как правило,
для одних переменных, имея положительные значения на одних лагах, на других
являются отрицательными.
Также необходимо отметить, что самая низкая степень
отклика наблюдается у занятости при изменении заработной платы. При этом
наблюдается значительный эффект при изменении занятости на оплату труда. Это
свидетельствует о том, что в случае негативных внешних шоков на рынке труда
заработная плата будет в большей степени подстраиваться под изменения
численности занятых и данные шоки.
Отличительным моментом является то, что влияние
изменения оплаты труда на ВВП и численность занятых и ВВП на численность
занятых проявляется моментально, т.е. сразу в том квартале, в котором наступили
изменения переменной воздействия. В это время при рассмотрении остальных
взаимосвязей ответная реакция наблюдается только спустя квартал, что
обеспечивает возможность прогнозирования изменений переменных отклика.
Таким образом, численность занятого населения является
отличным краткосрочным показателем экономической активности и отражает текущие
тенденции экономики благодаря тесной взаимосвязи с такими ключевыми
показателями, как ВВП и оплата труда.
Заключение
Выпускная квалификационная работа посвящена
исследованию рынка труда в контексте занятости, поскольку занятость не только
отображает изменения трудовых ресурсов, но и благодаря взаимосвязи с основными
экономическими показателями характеризует состояние экономики в целом.
Результаты работы, проведенной в первой главе,
показали наличие гендерных закономерностей в возрастных и образовательных
группах. Несмотря на большое количество «бесполых» профессий выявлено наличие
видов деятельности, которые соответствуют больше мужчинам или женщинам. Также
можно сделать вывод о том, что количество занятых с высшим профессиональным
образованием преобладает над другими образовательными группами.
Во второй главе проведение регрессионного анализа позволило
установить характер взаимосвязи уровня занятости с некоторыми
социально-экономическими показателями.
Можно однозначно сказать о наличии отрицательной
взаимосвязи между долей населения с основным общим уровнем образования в числе
занятых и производительностью труда. В то же время производительность труда
положительно взаимосвязана с величиной дохода и долей городского населения в
составе занятых. Также выявлено положительное воздействие доли занятых в
возрасте от 40 до 49 лет на производительность труда. Таким образом,
статистически обосновано влияние уровня профессионального опыта, физического
здоровья занятого населения и мотивационных факторов на производительность
труда.
Важным выводом из полученной регрессионной модели
численности занятых на тысячу человек населения является подтверждение влияния
структуры занятого населения на величину занятости в регионе, так как
характеристики структуры занятости определяют величину производительности труда
- одного из факторов занятости. Также подтверждается положительная зависимость
между ВРП, доходами населения, инвестициями и занятостью, что говорит о
важности влияния уровня экономической развитости региона на занятость.
В результате исследования динамики численности занятых
в третьей главе был выявлен структурный сдвиг в 1-ом кв. 2009 г., который стал
следствием финансового кризиса в 2008 г. Следует отметить, что после резкого
падения занятости, которым сопровождался данный структурный сдвиг, уже в
течение года положительный тренд показателя был восстановлен, но рост был
отмечен уже с замедленными темпами. Кроме того, в результате эконометрического
анализа временных рядов была построена модель численности занятых, точно
описывающая направление поведения временного ряда. С помощью данной модели был
получен прогноз численности занятых на 2016 г., который показывает сохранение
восходящего тренда. Такой результат может говорить о постепенном восстановлении
российской экономики и потенциальном увеличении темпов роста совокупного
выпуска при условии отсутствия дополнительных внешних шоков на экономику
страны.
Также в третьей главе более тщательно исследуется
взаимосвязь ВВП, оплаты труда и занятости в динамике. Выявляется тесная
краткосрочная взаимосвязь между показателями, а также экзогенный характер
показателя численности занятых относительно других рассматриваемых переменных.
Построенная временная модель векторной авторегрессии позволяет заключить, что
численность занятого населения может быть использована в качестве
краткосрочного показателя экономической активности, отражающего текущие
тенденции экономики, благодаря тому, что отклик на изменения занятости
наступает не моментально, а только спустя квартал. Также построенная модель
отражает механизмы взаимодействия занятости, ВВП и оплаты труда и показывает
цикличный характер процессов, подтверждается гипотеза подстройки заработной
платы под численность занятых при появлении внешних шоков.
Таким образом, проведенное исследование показало, что
уровень занятости в России сильно зависит от развитости экономической системы в
стране и ее нормального функционирования.
Исследование уровня занятости имеет большое значение и
аналитический потенциал; выявление влияющих на него факторов может помочь
государству в планировании методов его роста, и как следствие, снижения безработицы
и достижения экономической стабильности на рынке труда.
Список литературы
Айвазян С.А. (2007) Основы эконометрики. - М: ЮНИТИ-ДАНА
Вакуленко, Е.С., Гурвич, Е.Т.
(2014, август). Моделирование механизмов российского рынка труда. Электронный
ресурс <#"907595.files/image023.gif">
Гистограмма распределения натурального логарифма
производительности труда (lnY)
по регионам РФ
Корреляционная матрица
|
Переменные
|
lnY
|
ed1
|
lnX
|
age3
|
urban
|
|
lnY
|
Корреляция
|
1
|
-0,245*
|
0,723**
|
0,267*
|
0,459**
|
|
Знач.
|
|
0,032
|
0,000
|
0,020
|
0,000
|
|
ed1
|
Корреляция
|
-0,245*
|
1
|
-,186
|
0,228
|
-0,224
|
|
Знач.
|
0,032
|
|
0,107
|
0,051
|
0,055
|
|
lnX
|
Корреляция
|
0,723**
|
1
|
0,200
|
0,605**
|
|
Знач.
|
0,000
|
0,107
|
|
0,084
|
0,000
|
|
age3
|
Корреляция
|
0,267*
|
0,228
|
0,200
|
1
|
0,105
|
|
Знач.
|
0,020
|
0,051
|
0,084
|
|
0,367
|
|
urban
|
Корреляция
|
0,459**
|
-0,224
|
0,605**
|
0,105
|
1
|
|
Знач.
|
0,000
|
0,055
|
0,000
|
0,367
|
|
|
* Корреляция, значимая на уровне 5%.
|
|
** Корреляция, значимая на уровне 1%.
|
Гистограмма распределения численности занятых на
тысячу человек населения (Z) по
регионам РФ
Корреляционная матрица
|
Переменные
|
z
|
x1
|
x2
|
x3
|
x4
|
x5
|
x6
|
x7
|
x8
|
x9
|
x10
|
|
z
|
Корреляция
|
1
|
-,381**
|
,275*
|
,452**
|
,263*
|
,342**
|
,052
|
,454**
|
-,093
|
-,104
|
,538**
|
|
Знач.
|
|
,001
|
,024
|
,000
|
,032
|
,005
|
,675
|
,000
|
,452
|
,403
|
,000
|
|
x1
|
Корреляция
|
-,381**
|
1
|
-,140
|
-,503**
|
-,348**
|
-,403**
|
-,276*
|
-,428**
|
,446**
|
,171
|
-,453**
|
|
Знач.
|
,001
|
|
,260
|
,000
|
,004
|
,001
|
,024
|
,000
|
,000
|
,166
|
,000
|
|
x2
|
Корреляция
|
,275*
|
-,140
|
1
|
,336**
|
,201
|
,259*
|
-,046
|
,239
|
,214
|
,060
|
,359**
|
|
Знач.
|
,024
|
,260
|
|
,005
|
,103
|
,034
|
,709
|
,051
|
,082
|
,630
|
,003
|
|
x3
|
Корреляция
|
,452**
|
-,503**
|
,336**
|
1
|
,810**
|
,412**
|
,104
|
,767**
|
-,171
|
,276*
|
,465**
|
|
Знач.
|
,000
|
,000
|
,005
|
|
,000
|
,001
|
,402
|
,000
|
,167
|
,024
|
,000
|
|
x4
|
Корреляция
|
,263*
|
-,348**
|
,201
|
,810**
|
1
|
,071
|
,054
|
,583**
|
-,180
|
,182
|
,160
|
|
Знач.
|
,032
|
,004
|
,103
|
,000
|
|
,565
|
,662
|
,000
|
,144
|
,140
|
,197
|
|
x5
|
Корреляция
|
,342**
|
-,403**
|
,259*
|
,412**
|
,071
|
1
|
-,005
|
,443**
|
-,152
|
,088
|
,497**
|
|
Знач.
|
,005
|
,001
|
,034
|
,001
|
,565
|
|
,968
|
,000
|
,220
|
,477
|
,000
|
|
x6
|
Корреляция
|
,052
|
-,276*
|
-,046
|
,104
|
,054
|
-,005
|
1
|
,117
|
-,354**
|
-,176
|
,020
|
|
Знач.
|
,675
|
,024
|
,709
|
,402
|
,662
|
,968
|
|
,347
|
,003
|
,155
|
,871
|
|
x7
|
Корреляция
|
,454**
|
-,428**
|
,239
|
,767**
|
,583**
|
,443**
|
,117
|
1
|
-,236
|
,260*
|
,563**
|
|
Знач.
|
,000
|
,000
|
,051
|
,000
|
,000
|
,000
|
,347
|
|
,055
|
,035
|
,000
|
|
x8
|
Корреляция
|
-,093
|
,446**
|
,214
|
-,171
|
-,180
|
-,152
|
-,354**
|
-,236
|
1
|
,250*
|
-,145
|
|
Знач.
|
,452
|
,000
|
,082
|
,167
|
,144
|
,220
|
,003
|
,055
|
|
,041
|
,242
|
|
x9
|
Корреляция
|
-,104
|
,171
|
,060
|
,276*
|
,182
|
,088
|
-,176
|
,260*
|
,250*
|
1
|
,077
|
|
Знач.
|
,403
|
,166
|
,630
|
,024
|
,140
|
,477
|
,155
|
,035
|
,041
|
|
,537
|
|
x10
|
Корреляция
|
,538**
|
-,453**
|
,359**
|
,465**
|
,160
|
,497**
|
,020
|
,563**
|
-,145
|
,077
|
1
|
|
Знач.
|
,000
|
,000
|
,003
|
,000
|
,197
|
,000
|
,871
|
,000
|
,242
|
,537
|
|
|
* Корреляция, значимая на уровне 5%.
|
|
** Корреляция, значимая на уровне 1%.
|
Проверка на структурный сдвиг
Проверка стационарности до взятия разности
Проверка стационарности после взятия разности
Первая разность с удаленным трендом:
Коррелограмма первой разности:
Ряд первых разностей стационарен:
Оптимальная модель:
Остатки:
Реальные-модельные значения и остатки
Выбор лага для VAR
Построение модели VAR и проверка адекватности