Удосконалення методичних підходів до нормування індикаторів економічної безпеки держави

  • Вид работы:
    Контрольная работа
  • Предмет:
    Эктеория
  • Язык:
    Украинский
    ,
    Формат файла:
    MS Word
    49,48 Кб
  • Опубликовано:
    2017-08-07
Вы можете узнать стоимость помощи в написании студенческой работы.
Помощь в написании работы, которую точно примут!

Удосконалення методичних підходів до нормування індикаторів економічної безпеки держави

Обґрунтування, розробка та реалізація стратегічних програм соціально-економічного розвитку України повинні відбуватися з урахуванням результатів оцінки рівня економічної безпеки держави та мати за основу висновки щодо відповідності ключових індикаторів критеріальним обмеженням безпеки.

Водночас істотного значення набуває вибір коректної методики розрахунку інтегральних показників за окремими складовими безпеки та узагальнюючого показника, яка б дозволила максимально врахувати інформацію про позитивний чи негативний вплив зміни кожного індикатора економічної безпеки на етапі їх нормування.

Порядок нормування індикаторів визначається методикою розрахунку рівня економічної безпеки України і передбачає розрахунок нормованих значень показників-стимуляторів як відношення індикатора, розрахованого на основі статистичних даних, до граничного значення цього індикатора:


де, - значення індикатора, розраховане за даними регіональних статистичних управлінь, хопт - порогове значення індикатора.

Для показників-дестимуляторів застосовується обернене співвідношення: граничне значення індикатора поділити на статистичне значення цього показника.

На думку А. Сухорукова та Ю. Харазішвілі, за такого підходу до нормування показників, якщо фактичні значення індикатора перевищують хопт (або є нижчими за хопт), нормалізовані значення будуть більші за 1, що порушує прийняті межі зміни показників від 0 до 1. Тому пропонуємо проводити нормалізацію індикаторів за максимальним (для стимуляторів) або мінімальним (для дестимуляторів) значенням індикаторів, а не за оптимальними значеннями.

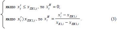
Алгоритм нормалізації індикаторів, пропонований В. Криворотовим, А. Калиною та Н. Еріашвілі, передбачає такі випадки. По-перше, якщо в іменованій системі одиниць зменшення значення індикативного показника призводить до погіршення стану безпеки (спадний індикатор), то його нормалізоване значення визначається співвідношенням:


де, - фактичне значення індикатора і (значення індикатора і, виражене в іменованих одиницях) за аналізований період; - порогові значення для індикатора і в системі іменованих одиниць, що відповідають передкризовому (ПК1) та кризовому (К1) станам;  - нормалізоване значення індикатора і за аналізований період.

По-друге, якщо в іменованій системі одиниць збільшення значення індикативного показника призводить до погіршення стану безпеки (зростаючий індикатор), то його нормалізоване значення визначається співвідношенням:


З огляду на встановлену умову зміни значень індикаторів від 0, що відповідає нормальному стану, до певного позитивного значення в напрямі зростання загроз безпеці, розглянутий підхід нормування дає змогу виміряти не рівень економічної безпеки, а швидше рівень небезпеки, про що свідчить подана цими авторами класифікація ситуацій за індикативними показниками та їх оцінка в балах. Розглянутий підхід дозволяє оцінити рівень небезпеки території, тому його застосування під час розрахунку інтегрального індексу економічної безпеки повинно відбуватися з урахуванням певних застережень у процесі трактування результатів розрахунку.

Отже, в наукових працях багато уваги приділено розробці методики нормалізації фактичних значень індикаторів економічної безпеки, які б дали змогу отримувати коректні результати оцінки. Також зауважимо, що у періоди поглиблення фінансово-економічної кризи та істотної невідповідності низки індикаторів критеріям безпеки актуальною є проблема нормування індикаторів з від’ємним значенням. Наприклад, під час зниження рентабельності активів, рентабельності капіталу банку, обсягу чистого надходження інвестицій до від’ємних значень застосування існуючих підходів до нормування індикаторів не дозволяє врахувати їх негативний вплив на рівень відповідної складової економічної безпеки.

Для оцінення рівня банківської безпеки оберемо найбільш репрезентативні показники, які істотно впливають на стан банківської діяльності та визначають стан фінансової системи загалом. Відповідно до системи індикаторів банківської безпеки включимо показники достатності регуляторного капіталу, частки іноземних банків у загальній кількості банківських установ, частки іноземного капіталу у статутному капіталі банків, обсягу кредитування банками реального сектора економіки, частки простроченої заборгованості за кредитами у загальному обсязі кредитів, рентабельності активів, рентабельності капіталу.

Інтегральний індекс банківської безпеки має вигляд лінійної згортки і розраховується згідно з наказом Міністерства економіки України як:

банківський економічний безпека стратегічний


де, - вагові коефіцієнти, що визначають ступінь впливу j-то показника на інтегральний індекс і-й сфери економіки, розраховані з використанням моделі головних компонент програми «Статистика»;  - нормалізовані значення статистичних показників.

Процедуру нормування індикаторів проведемо на основі методичного підходу, удосконаленого А. Сухоруковим та Ю. Харазішвілі, що дає змогу уникнути недоліку методики, який полягає в «урізанні» корисної інформації внаслідок нормалізації індикаторів за оптимальними значеннями. Нормалізовані значення для показників, які є стимуляторами банківської безпеки та їх зростання позитивно впливає на її стан, будемо розраховувати як відношення фактичного значення показника в певний момент часу (рік до максимального значення цього показника за досліджуваний період. Нормування показників-дестимуляторів, зростання яких негативно впливає на стан банківської безпеки, відбувається за допомогою співвідношення мінімального значення індикатора за досліджуваний період та його фактичного значення у рік t.



де,  - фактичне значення і-го індикатора певної складової економічної безпеки держави;  - нормалізоване значення і-гопоказника-стимулятора певної складової економічної безпеки держави; - нормалізоване значення і-го показника-дестимулятора певної складової економічної безпеки держави; - максимальне значення і-го індикатора певної складової економічної безпеки держави за досліджуваний період; Xmin - мінімальне значення і-го індикатора певної складової економічної безпеки держави за досліджуваний період.

Застосовуючи розглянутий підхід до нормування індикаторів, розрахуємо нормалізоване значення показника «достатність (адекватність) регуляторного капіталу». Оскільки цей індикатор є стимулятором банківської безпеки держави, то як нормувальне значення обираємо максимальне значення показника за 2009-2013 рр. - 20,83%. Згідно з формулою (5), нормалізоване значення цього індикатора у 2009 р. становило 0,867, тобто достатність регуляторного капіталу на 86,7% відповідала критеріям економічної безпеки. У 2010 р. нормалізоване значення індикатора дорівнювало 1, оскільки у цей рік і спостерігалося максимальне його значення, тобто відповідність критеріям безпеки була 100%.

Індикатор «частка простроченої заборгованості за кредитами у загальному обсязі кредитів» є показником-дестимулятором, оскільки його зростання негативно впливає на рівень банківської безпеки держави. Тому розрахунок нормалізованого значення цього індикатора розраховуємо за формулою (6), а як нормувальне значення обираємо мінімальний показник за період 2009-2013 рр. - 7,7%. За нашими розрахунками найбільша невідповідність цього індикатора критеріям економічної безпеки спостерігалася у 2010 р. - лише на 68,7% він задовольняв вимоги безпеки.

У 2013 р. відбулося зниження частки простроченої заборгованості за кредитами у загальному обсязі кредитів до його мінімального значення за досліджуваний період, що відобразило позитивні зміни і враховано в процесі нормування - нормалізоване значення індикатора становило 1.

Отже результати нормування індикаторів, фактичні значення яких є додатними, адекватно відображають ступінь відповідності показників банківської діяльності критеріям безпеки, що підтверджує доцільність застосування розглянутого методичного підходу в цьому разі.

Нормувальне значення індикатора «рентабельність активів», як показника-стимулятора економічної безпеки, становить 0,45% - максимальне за досліджуваний період. У зв’язку з тим, що абсолютна величина фактичного значення цього показника, наприклад, у 2009 р. є більшою за нормувальне значення, нормалізоване значення індикатора за модулем є більшим за одиницю, а знак «мінус» вказує на те, що воно є меншим за 0. Тому виникає проблема невідповідності отриманих нормалізованих значень від’ємних індикаторів встановленому діапазону їх зміни (від 0 до 1).

Отже, для індикаторів, значення яких є від’ємними, застосування як нормувальне значення максимального показника не дає змоги отримати коректні результати розрахунку (2009-2011 рр.), оскільки їх нормалізовані значення порушують межі інтервалу від 0 до 1, їх абсолютні значення є більшими за 1. Крім того, значення інтегрального показника банківської безпеки у 2009-2010 рр. також перебуває за межами інтервалу від 0 до 1.

Проблему порушення інтегрального показника банківської безпеки меж загально прийнятого інтервалу від 0 до 1 можна вирішитиза допомогою формул, які умовно називають формулами зведення. Існує декілька варіантів таких формул.

Для нашого випадку ми запропонуємо таку формулу зведення безпекових параметрів у ймовірнісний інтервал від 0 до 1:


де,  - значення відповідного індикатора банківської безпеки, взяте з таблиці 2.

Розрахунки з використанням формули (7) дають змогу отримати такі значення інтегрального показника банківської безпеки: 2009 р. - 0,220, 2010 р. - 0,398, 2011 р. - 0,501, 2012 р. - 0,554, 2013 р. - 0,575.

Запропоновану формулу зведення доцільно використовувати для від’ємних і для додатних значень безпекових параметрів. Суттєвим є також те, що застосування такого підходу забезпечує одержання нормалізованих значень індикаторів в інтервалі від 0 до 1, що дає можливість краще аналізувати стан економічної безпеки об’єкта та отримати коректні результати оцінки рівня безпеки за відповідною складовою.

Проаналізовано методичні підходи до розрахунку нормалізованих значень індикаторів економічної безпеки держави. Згідно з Методикою розрахунку рівня економічної безпеки України нормування індикаторів полягає у розрахунку: відношення фактичного значення показника-стимулятора до його граничного значення; відношення граничного значення показника-дестимулятора до його граничного значення.

У результаті такого підходу до нормування індикаторів можуть одержуватися нормалізовані значення, що перевищують 1. Цей недолік усувається застосуванням як нормувальних значень максимального чи мінімального значення індикатора за досліджуваний період відповідно до показника-стимулятора чи показника-дестимулятора безпеки.

На прикладі розрахунку банківської безпеки України виявлено недоліки застосування існуючих методичних підходів до нормування індикаторів «Рентабельність активів» та «Рентабельність капіталу», значення яких у 2009-2011 рр. були від’ємними. Під час нормування від’ємних індикаторів щодо їх максимальних та мінімальних значень за досліджуваний період виникає проблема одержання нормалізованих значень за межами інтервалу від 0 до 1 та неможливість коректноговрахування впливу від’ємного значення на інтегральний показник економічної безпеки.

З метою усунення зазначених недоліків у процесі нормування від’ємних індикаторів доцільно застосовувати формулу зведення, яка дає змогу отримати нормалізовані значення в межах інтервалу від 0 до 1 та коректно врахувати відповідність фактичних значень цих індикаторів критеріям безпеки.

Похожие работы на - Удосконалення методичних підходів до нормування індикаторів економічної безпеки держави

 

Не нашли материал для своей работы?
Поможем написать уникальную работу
Без плагиата!
Без нейросетей!