Тема: Сводка и группировка
статистических данных. Построение и анализ рядов распределения
|
Организация
|
Степень износа
основных фондов, %
|
Объем
произведенной продукции, млн. руб. (f (i))
|
|
1
|
42
|
20
|
|
2
|
15
|
15
|
|
3
|
23
|
10
|
|
4
|
18
|
50
|
|
5
|
24
|
68
|
|
6
|
35
|
75
|
|
7
|
17
|
80
|
|
8
|
10
|
49
|
|
9
|
18
|
36
|
|
10
|
13
|
49
|
|
11
|
14
|
43
|
|
12
|
19
|
56
|
|
13
|
8
|
71
|
|
14
|
18
|
22
|
|
15
|
16
|
65
|
|
16
|
30
|
32
|
|
17
|
25
|
26
|
|
18
|
15
|
68
|
|
19
|
17
|
54
|
|
20
|
43
|
|
21
|
24
|
21
|
|
22
|
13
|
68
|
|
23
|
14
|
54
|
|
24
|
18
|
43
|
|
25
|
14
|
25
|
На основе данных 10% механической бесповторной выборки о
деятельности 25 нефинансовых организаций:
построить группировку организаций по степени износа основных
фондов в виде интервалов
N=25 - число единиц совокупности
Xmax=42 - максимальное значение признака в
совокупности
Xmin=8 - минимальное значение признака в совокупности
Определим число групп, применив формулу Стерджесса:
Получим:
n=6 - число групп.
Применим равные интервалы, рассчитаем их величину по
следующей формуле:
Получим:
Таблица 1.
|
Степень износа
основных фондов, %
|
Количество
организаций (k) (номера организаций)
|
Средний объем
продукции на одну организацию
|
|
8-14,8
|
8 (8, 10, 11,
13, 14, 22, 23, 25)
|
47,625
|
|
14,8-21,6
|
10 (2, 4, 7, 9,
12, 14, 15, 18, 19, 24)
|
48,9
|
|
21,6-28,4
|
4 (3, 5, 17,
21)
|
31,25
|
|
28,4-35,2
|
2 (6, 16)
|
53,5
|
|
35,2-42
|
1 (1)
|
42
|
|
Итого:
|
25
|
|
По каждой группе определить
) количество предприятий
см. Таблица 1
) средний объем продукции на одну организацию
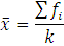
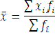
Рассчитаем по формуле:
где 
- объем произведенной продукции, млн. руб.;
k - количество организаций.
Все расчеты произведены в программе Excel и приложены к работе.
Представить графическое изображение ряда
Графическое изображение представлено в виде гистограммы и сделано
при помощи программы Excel.
Рассчитать среднее значение, модальное и медианное значение ряда
Таблица 2. Расчет средней арифметической в интервальном
вариационном ряду.
|
Степень износа
основных фондов, %
|
Число
организаций
|
Середина
интервала  Произведение вариантов на частоты  Накопленные частоты 
|
|
|
|
8-14,8
|
8
|
11,4
|
8
|
|
14,8-21,6
|
10
|
18,2
|
182
|
18
|
|
21,6-28,4
|
4
|
25
|
100
|
22
|
|
28,4-35,2
|
2
|
31.8
|
63,2
|
24
|
|
35,2-42
|
1
|
38,6
|
38,6
|
25
|
|
Итого:
|
25
|
|
475
|
|
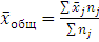
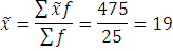
Используем следующую формулу для расчета среднего значения
ряда:
Найдем:

- средний износ основных фондов (%) в расчете на одну
организацию.
В интервальном вариационном ряду с равными интервалами мода
исчисляется по формуле:
где 
- нижняя граница модального интервала;

- величина интервала;

- частота интервала, предшествующего модальному;

- частота модального интервала;
По данным Таблицы 2 рассчитаем моду ряда распределения:
В данной совокупности больше всего организаций со степенью износа
основных фондов 16,5 %.
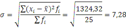
Расчет медианы в интервальном вариационном ряду проводится по
следующей формуле:
где
По данным Таблицы 2 имеем:
Следовательно медианный интервал - "14,8-21,6".
Рассчитаем медиану по приведенной выше формуле.
Таким образом, среди данной совокупности организаций половина
имеет степень износа основных фондов не более, чем на 17, 86 %.
Охарактеризовать форму распределения на основе показателей
асимметрии и эксцесса
Асимметрия распределения возникает вследствие того, что какие-либо факторы действуют в
одном направлении сильнее, чем в другом, или процесс развития явления таков,
что доминирует какая-то причина. Кроме того, природа некоторых явлений такова,
что имеет место асимметричное распределение. Наиболее простой мерой асимметрии
является разность между средней арифметической, модой и медианой:

, 
, 

- правосторонняя асимметрия
Проверим данные по коэффициенту асимметрии:
n - численность выборки

(взвешенное)
Степень износа основных фондов, % Число организаций
Середина интервала 
|
|
|
|
|
|
|
8-14,8
|
8
|
11,4
|
57,76
|
462,08
|
|
14,8-21,6
|
10
|
18,2
|
0,64
|
6,4
|
-5,12
|
|
21,6-28,4
|
4
|
25
|
36
|
144
|
864
|
|
28,4-35,2
|
2
|
31,8
|
163,84
|
327,68
|
4194,3
|
|
35,2-42
|
1
|
38,6
|
384,16
|
384,16
|
7529,5
|
|
Итого:
|
25
|
|
|
1324,32
|
9070,9
|

3,320155-3=0,32
Степень износа основных фондов, % Число организаций
Середина интервала 
|
|
|
|
|
8-14,8
|
8
|
11,4
|
26689,74
|
|
14,8-21,6
|
10
|
18,2
|
4,096
|
|
21,6-28,4
|
4
|
25
|
5184
|
|
28,4-35,2
|
2
|
31,8
|
53687,09
|
|
35,2-42
|
1
|
38,6
|
147578,9
|
|
Итого:
|
25
|
|
233143,826
|
Определить степень однородности распределения
Для определения степени однородности рассчитаем коэффициент
вариации:
На основе полученных данных следует сделать вывод, что
распределение близко к однородному.
определить степень зависимости объема произведенной продукции
от степени износа основных фондов;
Найдем эмпирическое корреляционное отношение:

=0,33 - связь между признаками умеренная.
где 
- межгрупповая дисперсия

; 

;
Все значения найдены в программе Excel.
Степень износа основных фондов, % Число организаций
Середина интервала 
Средний объем продукции на одну организацию
|
|
|
|
|
|
8-14,8
|
8
|
47,62
|
29,0322
|
|
14,8-21,6
|
10
|
18,2
|
48,9
|
101,124
|
|
21,6-28,4
|
4
|
25
|
31,25
|
837,5236
|
|
28,4-35,2
|
2
|
31,8
|
53,5
|
121,0568
|
|
35,2-42
|
1
|
38,6
|
42
|
13,8384
|
|
Итого:
|
25
|
|
|
1102,575
|
Сделать выводы
В данной совокупности больше всего организаций со степенью
износа основных фондов 16,5 %.
На основе полученных данных следует сделать вывод, что
распределение близко к однородному.
Таким образом, среди данной совокупности организаций половина
имеет степень износа основных фондов не более, чем на 17, 86 %.
Cтепень зависимости объема произведенной продукции от степени
износа основных фондов умеренная.
Задание 2.
Выборочный метод
Для изучаемых значений группировочного признака первого
задания рассчитать:
среднее значение выборочной средней
интервал износ основной фонд
Степень износа основных фондов, % Число организаций Середина
интервала 
Произведение вариантов на частоты 
|

|
|
|
|
|
|
8-14,8
|
8
|
11,4
|
91,2
|
129,96
|
1039,7
|
|
14,8-21,6
|
10
|
18,2
|
182
|
331,24
|
3312,4
|
|
21,6-28,4
|
4
|
25
|
100
|
625
|
2500
|
|
28,4-35,2
|
2
|
31,8
|
63,2
|
1011,24
|
2022,5
|
|
35,2-42
|
1
|
38,6
|
38,6
|
1489,96
|
1490
|
|
Итого:
|
25
|
|
475
|
|
10365
Определим по формуле:
Определим дисперсию признака в выборочной совокупности
,
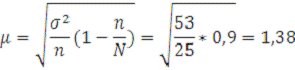
предельную ошибку выборки с уровнем вероятности 0,954
P=0,954, тогда t=2
То есть с вероятностью 0,954 величина генеральной средней не
более чем на +-2,76 % будет отклоняться от выборочной средней.
предельные значения генеральной средней
Сделайте выводы
С вероятностью 0,954 величина генеральной средней не более
чем на +-2,76 % будет отклоняться от выборочной средней.
В 954 случаях из 1000 средний уровень степени износа основных
фондов будет не ниже 16,24% и не выше 21,949%.
Похожие работы на - Сводка и группировка статистических данных. Построение и анализ рядов распределения
|