|
Объём перевезённого груза
|
Численность рабочих, f i
|
Суммарный объём перевезённого груза
|
Середина интервала (Xi)
|
|
Накопленные частоты
|
|
306-786
|
6
|
3276
|
546
|
649
|
6
|
|
786-1267
|
5
|
5132,5
|
1026,5
|
168,5
|
11
|
|
1267-1748
|
5
|
7537,5
|
1508
|
312,5
|
16
|
|
1748-2229
|
4
|
7954
|
1988,5
|
793,5
|
20
|
|
сумма
|
20
|
2300
|
-
|
1924
|
-
|
Расчёт структурных
средних
Особым видом средних величин
являются структурные средние, они применяются для изучения внутреннего строения
и структуры рядов распределения значения признака. Вариации признака и характер
распределения изучаются, прежде всего с помощью таких характеристик, как
средняя арифметическая мода (мода - это наиболее часто встречающийся вариант
ряда.) Мо, медиана (медиана - это значение признака, которое лежит в
основе ранжированного ряда и делит этот ряд на две равные по численности части.)
Me, которые являются центром группирования.
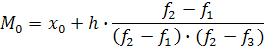
Мода (наиболее часто встречающееся
значение признака у единиц совокупности) для дискретного ряда определяется как
вариант х, имеющий наибольшую частоту или частость. Для интервального ряда с
равными интервалами мода рассчитывается по формуле:
где 
-начальная (нижняя)
граница модального интервала; h-величина
интервала; f2 - частота модального интервала; f1
- частота интервала, предшествующего модальному; f3-следующего
за модальным.
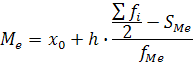
Для нахождения медианы
(значения признака у средней единицы ранжированного ряда) сначала определяется
ее порядковый номер ((fi)/2),
а затем по накопленным частотам определяется либо сама медиана (для дискретных
рядов), либо медианный интервал (для интервальных рядов), в котором путем
простой интерполяции рассчитывается значение медианы по формуле:
где 
нижняя граница
медианного интервала; (
)/2 - порядковый номер
медианы; 
- накопленная частота до
медианного интервала; 
- частота медианного
интервала.
Мода и медиана обычно
отличаются от значения средней, совпадая с ней только в случае симметричного
распределения частот вариационного ряда. Поэтому соотношение моды, моды и
средней арифметической позволяют оценить асимметрию распределения.
Мода и медиана, как
правило, являются дополнительными к средней характеристике совокупности и
используются в математической статистике для анализа формы рядов распределения.
Это позволяет более глубоко и детально охарактеризовать изучаемую совокупность.
Построим гистограмму
распределения 20 предприятий по объему перевезенного груза. Для этого на оси
абсцисс построим ряд сомкнутых прямоугольников, у каждого из которых основанием
служит величина интервала признака (объем перевезенного груза в тыс. т.), а
высотой - частота каждого интервала (число предприятий).
В прямоугольники,
имеющем наибольшую высоту, проводим две линии и из точки их пересечения
опускаем перпендикуляр на ось абсцисс. Значение х на оси абсцисс в этой точке
есть мода 
(рис. 1).
Для графического
отыскания медианы по накопленным частотам строим кумуляту. Для этого из верхней
границы каждого интервала на оси абсцисс восстанавливаем перпендикуляр,
соответствующий по высоте накопленной частоте с начала ряда по данный интервал.
Соединив последовательно
вершины перпендикуляров, мы и получим кривую, называемую куммулятой. Из точки
на оси ординат, соответствующей половине всех частот (порядковому номеру
медианы), проводим прямую, параллельную оси абсцисс, до пересечения ее с
куммулятой. Опустив из этой точки перпендикуляр на ось абсцисс, находим
значение медианы 
(рис. 2). Пользуясь
куммулятой, можно определить значение признака у любой единицы ранжированного
ряда.
Рис. 1. Гистограмма
Вывод: наиболее часто в
данной совокупности встречаются предприятия с объемом перевезенного груза 786
тыс. т.
Рис. 2. Кумулята
Вывод: у половины
предприятия объем перевезенного груза больше, чем 1106 тыс. т., а у другой
половины меньше, чем 1106 тыс. т.
1.3
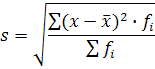
Расчет показателей вариации
Среднее линейное
отклонение
Вариацией признака называется
различие численных значений признака у отдельных единиц совокупности. Размеры
вариации позволяют судить насколько однородна изучаемая группа и насколько
характерна средняя по группе. Изучение отклонений от средних имеет большое
значение, так как в отклонения проявляется развитие явлений. Для характеристики
размера вариации используются специальные показатели колеблемости: размах
вариации, среднее линейное отклонение, квадратическое отклонение, коэффициент
вариации.
Размах вариации R - величина разности между
максимальным и минимальным значением признака:
R= 2225 - 306 = 1919;
Среднее линейное отклонение - это средняя
арифметическая из абсолютных отклонений индивидуальных значений признака от
средней арифметической. Оно показывает, на сколько в среднем отличаются
индивидуальные значения признака от их среднего значения.
Вывод: среднее абсолютное отклонение
индивидуальных значений от среднего составляет 473 тыс. т.
Среднее
квадратическое отклонение
Среднее квадратическое отклонение -
это обобщающая характеристика размеров вариации признака совокупности; оно
показывает, на сколько в среднем отклоняются конкретные варианты от их среднего
значения; являются абсолютной мерой колеблемости признака и выражается в тех
единицах, что и варианты.



Вывод: средний квадрат
отклонений индивидуальных значений от среднего составляет 532 тыс.т.
Коэффициент вариации
Коэффициент вариации - относительный
показатель вариации, используется для сравнительной оценки вариации единиц
совокупности и для характеристики однородности совокупности. Совокупность
считается количественно однородной, если коэффициент вариации не превышает 40%.

Вывод: так как
коэффициент вариации превышает 40%, то совокупность неоднородна и среднее
значение выбрано не надежно.
2.
Аналитическая группировка статистических наблюдений на предприятиях
Cпомощью аналитических группировок исследуются связи между
изучаемыми явлениями и их признаками. В основе аналитической группировки лежит
факторный признак, и каждая выделенная группа характеризуется средними
значениями результативного признака.
Таблица 4. Средние данные о численности
работников по ряду предприятий
|
№ предприятия
|
Средняя списочная численность (чел.)
|
Средняя списочная численность (чел.) с коэффициентом 0,54
|
|
1
|
925
|
499,5
|
|
2
|
847
|
457,38
|
|
3
|
329
|
177,66
|
|
4
|
512
|
276,48
|
|
5
|
755
|
407,7
|
|
6
|
699
|
377,46
|
|
7
|
620
|
334,8
|
|
8
|
542
|
292,68
|
|
9
|
924
|
498,96
|
|
10
|
620
|
334,8
|
|
11
|
610
|
329,4
|
|
12
|
1020
|
550,8
|
|
13
|
428
|
231,12
|
|
14
|
921
|
497,34
|
|
15
|
479
|
258,66
|
|
16
|
825
|
445,5
|
|
17
|
742
|
400,68
|
|
18
|
625
|
337,5
|
|
19
|
415
|
224,1
|
|
20
|
711
|
383,94
|
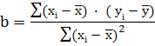
2.1 Коэффициент
корреляции
Коэффициент корреляции определяет
интенсивность связи между случайными величинами и находится по формуле:
Вывод: коэффициент корреляции равен
0,65, следовательно, зависимость между случайными величинами высокая.
Данные для последующих расчетов
представлены в таблице 3.
Таблица 5. Аналитическая группировка
|
N
|
Ср. спис. численность рабочих x
|
V перевезённого груза y
|
xi-xср
|
yi - yср
|
(xi-xср) 2
|
|
1
|
499,5
|
1225
|
133,68
|
36,55
|
17870,34
|
|
2
|
457,38
|
1314
|
91,56
|
125,55
|
8383,234
|
|
3
|
177,66
|
306
|
-188,16
|
-882,45
|
35404,19
|
|
4
|
276,48
|
821
|
-89,34
|
-367,45
|
7981,636
|
|
5
|
407,7
|
41,88
|
723,55
|
1753,934
|
|
6
|
377,46
|
1423
|
11,64
|
234,55
|
135,4896
|
|
7
|
334,8
|
1446
|
-31,02
|
257,55
|
962,2404
|
|
8
|
292,68
|
1023
|
-73,14
|
-165,45
|
5349,46
|
|
9
|
498,96
|
2225
|
133,14
|
1036,55
|
17726,26
|
|
10
|
334,8
|
1906
|
-31,02
|
717,55
|
962,2404
|
|
11
|
329,4
|
509
|
-36,42
|
-679,45
|
1326,416
|
|
12
|
550,8
|
1053
|
184,98
|
-135,45
|
34217,6
|
|
13
|
231,12
|
814
|
-134,7
|
-374,45
|
18144,09
|
|
14
|
497,34
|
2080
|
131,52
|
891,55
|
17297,51
|
|
15
|
258,66
|
597
|
-107,16
|
-591,45
|
11483,27
|
|
16
|
445,5
|
1617
|
79,68
|
428,55
|
6348,902
|
|
17
|
400,68
|
732
|
34,86
|
-456,45
|
1215,22
|
|
18
|
337,5
|
686
|
-28,32
|
-502,45
|
802,0224
|
|
19
|
224,1
|
494
|
-141,72
|
-694,45
|
20084,56
|
|
20
|
383,94
|
1586
|
18,12
|
397,55
|
328,3344
|
|
сумма
|
7316,46
|
23769
|
|
|
207776,9
|
|
среднее
|
365,823
|
1188,45
|
|
|
|
Коэффициент регрессии определяет
форму связи между случайными величинами и для линейной парной зависимости
рассчитывается по формуле:



2.2 Оценка
значимости коэффициента корреляции
Величина коэффициента корреляции не
является доказательством наличия причинно-следственной связи между исследуемыми
признаками, а является оценкой степени взаимной согласованности в изменениях
двух признаков. Установлению причинно-следственной зависимости предшествует
анализ качественной природы явлений. Но надо определить, насколько правомерно
заключение по выборочным данным в отношении действительного наличия
корреляционной связи в той генеральной совокупности, из которой была проведена
выборка.
При небольшом числе испытаний для
ответа на вопрос, можно ли судить о наличии корреляции по коэффициенту корреляции,
полученному из частичной совокупности, используется t-критерий Стьюдента. При этом
определяется расчетное значение t по формуле:
Теоретическое значение t табл. = 2, 101
Вывод: t расч.>t табл., значит, подтвердилась
значимость коэффициента корреляции в генеральной совокупности.
2.3 Построение
поля корреляции
Полем корреляции называется
нанесенные в определенном масштабе точки в прямоугольной системе координат,
каждая из которых имеет две координаты (рис. 3,4 и 5)
Рассчитываем ошибку аппроксимации по
формуле:

Рис. 3. Линейная
зависимость
Таблица 6. Линейная
зависимость
|
Ср. спис. численность рабочих x
|
V перевезённого груза y
|
y теор
|
yi-y т/yi
|
|
499,5
|
1225
|
1662,63
|
0,36
|
|
457,38
|
1314
|
1513,23
|
0,15
|
|
177,66
|
306
|
521,06
|
0,70
|
|
276,48
|
821
|
871,57
|
0,06
|
|
407,7
|
1912
|
1337,01
|
0,30
|
|
377,46
|
1423
|
1229,75
|
0,14
|
|
334,8
|
1446
|
1078,44
|
0,25
|
|
292,68
|
1023
|
929,04
|
0,09
|
|
498,96
|
2225
|
1660,71
|
0,25
|
|
334,8
|
1906
|
1078,44
|
0,43
|
|
329,4
|
509
|
1059,28
|
1,08
|
|
550,8
|
1053
|
1844,59
|
0,75
|
|
231,12
|
814
|
710,68
|
0,13
|
|
497,34
|
2080
|
1654,96
|
0,20
|
|
258,66
|
597
|
808,37
|
0,35
|
|
445,5
|
1617
|
1471,09
|
0,09
|
|
400,68
|
732
|
1312,11
|
0,79
|
|
337,5
|
686
|
1088,01
|
0,59
|
|
224,1
|
494
|
685,78
|
0,39
|
|
383,94
|
1586
|
1252,74
|
0,21
|
|
|
|
7,33
|
Ошибка аппроксимации составляет
36,64%, следовательно, качество модели плохое.
Таблица 7. Логарифмическая
зависимость
|
Ср. спис. численность рабочих x
|
V перевезённого груза y
|
y теоритическое
|
yi-y т/yi
|
|
499,5
|
1225
|
1630,72
|
0,33
|
|
457,38
|
1314
|
1519,90
|
0,16
|
|
177,66
|
306
|
330,28
|
0,08
|
|
276,48
|
821
|
886,65
|
0,08
|
|
407,7
|
1912
|
1375,25
|
0,28
|
|
377,46
|
1423
|
1278,30
|
0,10
|
|
334,8
|
1446
|
1127,42
|
0,22
|
|
292,68
|
1023
|
958,28
|
0,06
|
|
498,96
|
2225
|
1629,36
|
0,27
|
|
334,8
|
1906
|
1127,42
|
0,41
|
|
329,4
|
509
|
1106,97
|
1,17
|
|
550,8
|
1053
|
1753,71
|
0,67
|
|
231,12
|
814
|
661,21
|
0,19
|
|
497,34
|
2080
|
1625,27
|
0,22
|
|
258,66
|
597
|
802,84
|
0,34
|
|
445,5
|
1617
|
1486,79
|
0,08
|
|
400,68
|
732
|
1353,40
|
0,85
|
|
337,5
|
686
|
1137,53
|
0,66
|
|
224,1
|
494
|
622,41
|
0,26
|
|
383,94
|
1586
|
1299,71
|
0,18
|
|
|
|
6,61
|
Ошибка аппроксимации составляет
33,04%, следовательно, качество модели плохое.
Рис. 5. Экспоненциальная зависимость
Таблица 8. Экспоненциальная
зависимость
|
Ср. спис. численность рабочих x
|
V перевезённого груза y
|
y теоритическое
|
yi-y т/yi
|
|
499,5
|
1225
|
1231,96
|
0,01
|
|
457,38
|
1314
|
1085,72
|
0,17
|
|
177,66
|
306
|
469,11
|
0,53
|
|
276,48
|
821
|
631,00
|
0,23
|
|
407,7
|
1912
|
935,39
|
0,51
|
|
377,46
|
1423
|
854,26
|
0,40
|
|
334,8
|
1446
|
751,64
|
0,48
|
|
292,68
|
1023
|
662,42
|
0,35
|
|
498,96
|
2225
|
1229,97
|
0,45
|
|
334,8
|
1906
|
751,64
|
0,61
|
|
329,4
|
509
|
739,56
|
0,45
|
|
550,8
|
1053
|
1436,93
|
0,36
|
|
231,12
|
814
|
550,72
|
|
497,34
|
2080
|
1224,00
|
0,41
|
|
258,66
|
597
|
598,15
|
0,00
|
|
445,5
|
1617
|
1047,71
|
0,35
|
|
400,68
|
732
|
915,89
|
0,25
|
|
337,5
|
686
|
757,76
|
0,10
|
|
224,1
|
494
|
539,24
|
0,09
|
|
383,94
|
1586
|
871,03
|
0,45
|
|
|
|
6,54
|
Ошибка аппроксимации составляет
32,72%, следовательно, качество модели плохое.
Вывод: проанализировав три
зависимости и рассчитав для них ошибку аппроксимации, можно сделать вывод, что
наилучшей моделью является экспоненциальная модель, т. к. ошибка аппроксимации
наименьшая.
Коэффициент детерминации определяет
долю влияния факторов, вошедших в модель, на результат.
r2 - коэффициент
детерминации.
r2=0,42
Дополнительный коэффициент 1-r2определяет долю влияния факторов, не вошедших модель, на
результат.
-0,42=0,58
Расчеты, сделанные по выборочным
данным, могут не совпадать с расчетными значениями в генеральной совокупности.
3.
Анализ динамики объёма выполненных работ с помощью расчёта статистических
показателей и средних характеристик
Динамический ряд представляет собой
расположение в хронологической последовательности значения определённого
экономического показателя
Основные характеристики
динамического ряда:
- уровень ряда
- время
По времени отражения в динамических
рядах, ряды подразделяются:
) Моментные ряды - уровни
характеризуют явление на определённую дату
) Интервальные динамические ряды -
характеризуют явления за определённый промежуток времени.
Исходные данные представлены в
таблице 9.
Таблица 9. Объем выполненных работ
предприятием по годам, тыс. руб.
|
2000
|
2001
|
2002
|
2003
|
2004
|
2005
|
2006
|
2007
|
2008
|
2009
|
|
121,6
|
158,2
|
185,2
|
168,3
|
158,6
|
187,3
|
167,4
|
156,9
|
175,8
|
152,4
|
Два способа расчета показателей
изменений уровня динамического ряда:
) Сравнение уровня ряда происходит
с одним и тем же уровнем, выбранным за базу сравнения -
. В качестве базисного обычно выбирается уровень первого года,
рассчитанные показатели называются базисными.
) Сравнение уровней происходит с
предшествующими уровнями, это называется сравнение с переменной базой, так же
показатели называются цепными.
Исходные данные объёма выполненных
работ умножаем на коэффициент 0,54. Далее рассчитываем показатели динамического
роста.
Абсолютный прирост определяет на
сколько единиц изменились уровни динамического ряда. Рассчитывается по
формулам:


Проверка показателей
абсолютного прироста: сумма цепных показателей должна быть равна базисному
показателю абсолютного прироста за весь анализируемый период времени.
Коэффициент роста
определяет во сколько раз изменились уровни динамического ряда по сравнению с
базисным или предшествующим. Рассчитывается по следующим формулам:


Проверка коэффициента
роста: произведение цепных коэффициентов роста должно быть равно базисному
коэффициенту роста за весь анализируемый период времени.
Темп прироста определяет
на сколько процентов изменились уровни динамического ряда по сравнению с
базисным или предшествующими.
Формулы для расчета:



Абсолютное значение
одного процента прироста - этот показателей равен сотой части предыдущего
уровня, он показывает какое абсолютное значение скрывается за относительным
показателем 1% прироста:

Расчет показателей
динамического ряда представлен в таблице 10.
Таблица 10. Показатели динамического
ряда
|
Годы
|
V вып. работ
|
Абсолютный прирост
|
Темп роста
|
Коэф. роста
|
|
|
базисный
|
цепной
|
базисный
|
цепной
|
базисный
|
цепной
|
|
2000
|
65,664
|
-
|
-
|
-
|
-
|
-
|
-
|
|
2001
|
85,428
|
19,768
|
19,764
|
130,098684
|
130,098684
|
1,30098684
|
1,30098684
|
|
2002
|
100,008
|
34,348
|
14,58
|
152,302632
|
117,067004
|
1,52302632
|
1,17067004
|
|
2003
|
90,882
|
25,222
|
-9,126
|
138,404605
|
90,87473
|
1,38404605
|
0,9087473
|
|
2004
|
85,644
|
19,984
|
-5,238
|
130,427632
|
94,2364825
|
1,30427632
|
0,94236482
|
|
2005
|
101,142
|
35,482
|
15,498
|
154,029605
|
118,095839
|
1,54029605
|
1,18095839
|
|
2006
|
90,396
|
24,736
|
-10,746
|
137,664474
|
89,3753337
|
1,37664474
|
0,89375334
|
|
2007
|
84,726
|
19,066
|
-5,67
|
129,029605
|
93,7275986
|
1,29029605
|
0,93727599
|
|
2008
|
94,932
|
29,272
|
10,206
|
144,572368
|
112,045889
|
1,44572368
|
1,12045889
|
|
2009
|
82,296
|
16,636
|
-12,636
|
125,328947
|
86,6894198
|
1,25328947
|
0,8668942
|
Средние характеристики динамического
ряда
1) Средний абсолютный прирост
определяет, на сколько единиц в среднем изменились уровни динамического ряда за
весь анализируемый период, рассчитывается по формуле:
Вывод: объем выполненных работ в
среднем увеличился на 1,85 т.р. с 2000 года по 2009 год.
2) Средний коэффициент роста
определяет, во сколько раз в среднем изменились уровни динамического ряда за
анализируемый период. Рассчитывается по формуле:

Вывод: объем выполненных работ в
среднем увеличился в 2, 76 раза с 2000 года по 2009 год.
) Средний темп роста во сколько раз
в среднем изменились уровни динамического ряда за анализируемый период в
процентах. Формула для расчета:



Вывод: объем выполненных
работ в среднем увеличился в 276% с 2000 года по 2009 год.
) Средний темп прироста
определяет, на сколько процентов в среднем изменились уровни динамического ряда
за анализируемый период. Формула для расчета:

-100

-100% = 176%
Вывод: на 176% в среднем увеличился
объем выполненных работ с 2000 года по 2009 год.
Динамические ряды с прогнозом на 2
года представлены на рисунках 6-8.
Рис. 6. Линейная зависимость
Рис. 7. Логарифмическая зависимость
Рис. 8. Экспоненциальная зависимость
Вывод: наилучшей моделью с учетом
коэффициента детерминации, является линейная, она составляет 0,0769.
4.
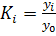
Анализ перевозок груза с помощью индекса сезонности
|
Ср. месячный объём перевозок груза
|
|
2008
|
2009
|
2010
|
|
46242
|
42936
|
42754
|
|
44810
|
45631
|
41829
|
|
43111
|
46839
|
43425
|
|
45827
|
48115
|
44723
|
|
49682
|
47816
|
47111
|
|
52119
|
49424
|
48216
|
|
54723
|
53829
|
49825
|
|
59475
|
57917
|
54210
|
|
60197
|
59600
|
57817
|
|
56815
|
54128
|
44297
|
|
45637
|
46200
|
43810
|
|
44438
|
49180
|
41973
|
Таблица 11. Среднемесячный объем
перевезенного груза предприятием по годам
|
месяц
|
кол-во дней в месяце Дк
|
Ср. месячный объём перевозок груза с коэффициентом
|
y ср
|
y 0
|
|
|
2008
|
2009
|
2010
|
|
|
|
январь
|
31
|
24970,68
|
23185,44
|
23087,16
|
23747,76
|
736180,6
|
|
февраль
|
28
|
24197,4
|
24640,74
|
22587,66
|
23808,6
|
666640,8
|
|
март
|
31
|
23279,94
|
25293,06
|
23449,5
|
24007,5
|
744232,5
|
|
апрель
|
30
|
24746,58
|
25982,1
|
24150,42
|
24959,7
|
748791
|
|
май
|
31
|
26828,28
|
25820,64
|
25439,94
|
26029,62
|
806918,2
|
|
июнь
|
30
|
28144,26
|
26688,96
|
26036,64
|
26956,62
|
808698,6
|
|
июль
|
31
|
29550,42
|
29067,66
|
26905,5
|
28507,86
|
883743,7
|
|
август
|
31
|
32116,5
|
31275,18
|
29273,4
|
30888,36
|
957539,2
|
|
сентябрь
|
31
|
32506,38
|
32184
|
31221,18
|
31970,52
|
991086,1
|
|
октябрь
|
31
|
30680,1
|
29229,12
|
23920,38
|
27943,2
|
866239,2
|
|
ноябрь
|
30
|
24643,98
|
24948
|
23657,4
|
24416,46
|
732493,8
|
|
декабрь
|
31
|
23996,52
|
26557,2
|
22665,42
|
24406,38
|
756597,8
|
|
|
|
|
|
317642,6
|
26573,04
|
Заключение
В работе произведена структурная и
аналитическая группировки статистических наблюдений на предприятии, которые
разделяют на группы по определённому признаку и изучают взаимосвязи между
результирующим показателем и множества факторов соответственно.
Произведён анализ динамики объёма
выполненных работ с помощью расчёта статистических показателей и средних
характеристик, а также анализ перевозок с помощью индекса сезонности, который
планирует потребность в автомобилях и отпусков водителей и приведены
рекомендации по снижению сезонной неравномерности.
Список источников
группировка вариация корреляция
прогнозирование
1. Елисеев И.И., Юзбашев М.М. Общая теория статистики: Учебник
для вузов. - М., 1998.
. Ефимова М.Р., Ганченко О.И., Петрова Е.В. Практикум по
общей теории статистики: Учеб. пособие. - М., 2001.
. Сборник задач по общей теории статистики: Учеб.пособие для
вузов/ В.В. Глинский, В.Г. Долженкова, Л.П. Майкова и др. - М., 2001.
. Ефимова М.Р., Петрова Е.В., Румянцев В.Н. Общая теория
статистики: Учебник для вузов. - М., 2002.
. Конорева А.А., Харинова М.Ю., Экономико-статистические
методы исследования систем при управлении предприятиями дорожной отрасли, Омск,
И.: СибАДИ, 2012. - 156 с.