Оценка эффективности деятельности МУП 'Бабушкинская Теплосеть'
ВВЕДЕНИЕ
На сегодняшний день предприятиям достаточно
сложно проводить эффективные операции, которые позволяют им функционировать и
конкурировать на рынке. Поэтому, в первую очередь, их работа должна быть
направлена на поиск более рациональных методов организации производства и
повышения экономической эффективности предприятия.
Имеются общая (абсолютная) и сравнительная
(относительная) экономическая эффективность производства. Общая применяется для
анализа и оценки общих экономических результатов эффективности производства на
различных уровнях экономики за период и в динамике. Сравнительная
характеристика определяется с целью обоснования социально-экономических
преимуществ любого варианта решения производственно-экономической проблемы,
выбора наиболее эффективного варианта. Показатели экономической эффективности
определяют, какова стоимость ресурсов достигается экономический эффект, то есть
с их помощью измеряется уровень эффективности производства и экономической
активности.
Благодаря расчету факторов, которые влияют на
экономическую эффективность,
можно оценить эффективность производства и указать на проблемные области и
определить наиболее перспективные пути развития предприятия. В результате,
повышение эффективности производства оказывает многостороннее и комплексное
воздействие на экономику предприятия, что увеличивает выживаемость предприятия
в конкурентной среде. Таким образом, тема выпускной квалификационной работы
является актуальной.
Целью работы является исследование теоретических
аспектов экономической эффективности предприятия и разработка предложений по ее
повышению за счет модернизации производства.
Для достижения поставленной цели следует
выполнить следующие задачи:
рассмотреть сущность, критерии и показатели
экономической эффективности производства;
выделить взаимосвязь и взаимозависимость
эффективного управления и эффективности производства работ в
жилищно-коммунальном хозяйстве;
изучить пути повышения эффективности
производственно-хозяйственной деятельности на предприятиях
жилищно-коммунального хозяйства на основе модернизации производства
рассмотреть организационно-экономическую
характеристику предприятия;
провести анализ производственно-хозяйственной
деятельности предприятия;
проанализировать состояние и эффективность
использования основных производственных фондов;
разработать и экономически обосновать
направления повышения экономической эффективности предприятия за счет
модернизации производства.
Предметом исследования являются факторы
оказывающие влияние на эффективность производства предприятия.
Объектом исследования является МУП «Бабушкинская
теплосеть».
Теоретической и методологической основой данной
работы послужили труды зарубежных и отечественных авторов по повышению
эффективности производства предприятий теплоэнергетики за счет модернизации
производства. Информационной базой является статистическая отчетность и
отчетность предприятия.
При написании работы были использованы
общенаучные методы, в том числе системный метод, анализа и синтеза, методы
логического, индуктивного и дедуктивного подходов, нормативный и специальные
методы исследования (балансовый, экономико-статистический, систематизации и
группировки).
Практическая значимость проведенного
исследования состоит в разработке предложений по повышению экономической
эффективности МУП «Бабушкинская теплосеть» за счет модернизации производства.
1. ТЕОРЕТИЧЕСКИЕ И МЕТОДОЛОГИЧЕСКИЕ ОСНОВЫ
ЭФФЕКТИВНОЙ ДЕЯТЕЛЬНОСТИ ПРЕДПРИЯТИЙ ЖИЛИЩНО-КОММУНАЛЬНОГО ХОЗЯЙСТВА
.1 Сущность, критерии и показатели экономической
эффективности производства
Проблема эффективности производства является
одной из основных проблем, грозящих обществу. Данная проблема становится
актуальной на современном этапе развития экономики в связи с увеличением
конкуренции, глобализации бизнеса, увеличением предпринимательских рисков. По
«традиционному» определению эффективность - это отношение результатов к
затратам.
Классификация видов эффективности производства
представлена на рисунке 1.1:
Рисунок 1.1 - Виды эффективности производства
[32]
Согласно Е.К. Смирницкому [53], повышение
экономической эффективности является одной из ключевых проблем экономики. Путем
успешного решения разнообразных экономических и социальных задач служит резкое
повышение эффективности всего общественного производства.
Сущность экономической эффективности
производства понимается многими отечественными и зарубежными авторами [1; 25;
32; 34; 41], как достижение максимально возможных результатов, связанных с
интересами общества, с минимально возможными затратами. Поэтому определение
экономической эффективности производства должно основываться на сравнении
производственного результата с совокупными расходами живого и прошлого труда,
определившими данный результат.
Производство продукции невозможно без затрат
овеществленного и живого труда. Во всех сферах хозяйства, для производства
продукции, являются необходимыми и единовременные, и текущие затраты, отмечает
С.Е. Кульков [28]. Причем величина расходов зависит от разнообразных
обстоятельств и факторов. Каждый вид продукции может быть произведен из различного
сырья и материалов, при помощи разных технических средств, а также на
предприятиях, имеющих разные размеры, профиль, структуру, различную форму
организации труда и производства.
При выборе способа удовлетворения потребности в
необходимой продукции следует исходить из минимальных затрат общественного
труда на ее производство. Другими словами нужно добиваться, чтобы затраты
производились с наибольшей экономической эффективностью.
А.Ф. Зимин [19] утверждает, что немаловажность
проблемы эффективности производства предрешает необходимость правильного учета
и анализа уровня и масштабов эффективности средств и элементов производства.
Эффективность производства во всех случаях выражает отношение эффекта к
затратам, понесенным при ее получении. Это говорит о том, что определение
эффективности требует использования методов количественного анализа и
измерения, что предполагает установление критерия экономической эффективности.
О. И. Волков [10] подразумевает под
экономическим эффектом абсолютную величину результата, которая выражается или в
натуральной, или стоимостной форме. Автор выделяет такие виды эффекта как:
политический, экологический, технический, научный, экономический и социальный.
Экономический эффект достигается на уровне предприятия за счет повышения таких
показателей как производительность труда, снижение трудоемкости, улучшение
использования материалов, и может быть выражен в натуральной и стоимостной
форме. Уровень экономического эффекта определяет эффективность экономической
системы в целом.
По мнению И.В Сергеева [51], эффективность
экономической деятельности полностью подчеркивает оценочный характер. Данный
показатель всегда связан с отношением ценности результата к ценности затрат и
может меняться с изменением оценок.
Как отмечает Н.П. Любушин [30], экономическая
эффективность выражается в повышении производительности труда. Значит, уровень
производительности труда - это критерий экономической эффективности
производства. Чем выше производительность труда и ниже издержки, тем выше
экономическая эффективность затрат труда.
К основным показателям сравнительной
экономической эффективности Г.В. Савицкая [47] относит: удельные капитальные
вложения, себестоимость продукции, производительность труда, срок окупаемости
дополнительных капитальных вложений.
По справедливому замечанию Б.А. Райзберга [42],
себестоимость состоит из всех затрат, осуществляемых в процессе изготовления
продукции, поэтому она используется как оценочный показатель эффективности этой
продукции. Себестоимость также учитывает и показатели, отражающие уровень
эффективности использования отдельных видов ресурсов. От себестоимости зависит
размер прибыли, а значит и уровень рентабельности.
Обобщающим критерием экономической эффективности
производства служит уровень производительности труда, которая рассчитывается по
формуле [56]:
|
|
(1.1)
|
где ПТобщ - производительность
общественного труда, 
;
НД - национальный доход, руб.;
Ч - численность, чел.
Трудоемкость продукции - величина,
обратная показателю производительности живого труда, определяется по формуле
[55]:
|
|
(1.2)
|
где t - трудоемкость продукции, 
;
Т - количество труда, затраченного в
производстве, ч.;- общий объем произведенной продукции, нат.ед.
Материалоемкость определяется, как
отношение затрат сырья к валовому продукту и рассчитывается по формуле [40]:
|
 руб./руб.,(1.3)
|
|
где m - уровень материалоемкости продукции,
руб./руб.;- общий объем материальных затрат на производство продукции, руб.;-
общий объем произведенной продукции (валовой), руб.
В известной степени близки между собой
показатели капиталоемкости и фондоемкости продукции. Показатель капиталоемкости
продукции определяется по формуле [39]:
|
 руб./руб.,(1.4)
|
|
где КQ - капиталоемкость продукции,
руб./руб.;
К - общий объем капитальных вложений, руб.;-
прирост объема выпускаемой продукции, руб.
Фондоемкость продукции исчисляется по формуле
[38]:
|
 , руб./руб.,(1.5)
|
|
где Фе - фондоемкость продукции, руб./руб.;-
средняя стоимость основных производственных фондов, руб.;- общий объем
произведенной продукции, руб.
Наиболее полным и наглядным может являться
показатель фондоотдачи. Он определяется как отношение выпускаемой продукции на
1 рубль основных производственных фондов, по формуле [38]:
|
 руб./руб.,(1.6)
|
|
где Фо - фондоотдача основных
производственных фондов, руб./руб.;- общий объем произведенной продукции,
руб.;- средняя стоимость основных производственных фондов, руб.
Необходимо сказать о сроке окупаемости
дополнительных капиталовложений, который представляет собой соотношение между
разницей величин капитальных вложений и разницей в стоимости производства для
сравниваемых опционов. Этот показатель определяет период, в течение которого
дополнительные капитальные затраты компенсируются сбережениями от снижения
себестоимости продукции.
Коэффициент эффективности дополнительных
капитальных вложений по К.А. Райцкому [41] характеризует эффект в виде экономии
от сокращения стоимости продукции, полученной за каждый дополнительный рубль
капитальных вложений. Срок окупаемости рассчитываются по формуле [34]:
|
 г.,(1.7)
|
|
где Т - срок окупаемости, г;
К1 и К2 - капитальные вложения по первому и
второму вариантам, руб.;
С1 и С2 - себестоимость годового выпуска
продукции по первому и второму вариантам, руб.
А коэффициент эффективности рассчитывается по
формуле [34]:
|
(1.8)
|
|
где Е - коэффициент эффективности
дополнительных капитальных вложений;
К1 и К2 - капитальные вложения по первому и
второму вариантам, руб.;
С1 и С2 - себестоимость годового выпуска
продукции по первому и второму вариантам, руб.
Полученный при расчетах срок окупаемости
(коэффициент эффективности) сопоставляется с установленным нормативным
показателем срока окупаемости (коэффициента эффективности).
Для оценки общей эффективности предприятий, по
мнению Т. С. Юриной [70], может быть использован коэффициент рентабельности,
как отношение разности между суммой цен произведенной продукции и ее
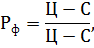
себестоимостью к капитальным вложениям или производственным фондам [68]:
|
(1.9)
|
|
где РК - коэффициент рентабельности
капитальных вложений;
Ц - годовая продукция в оптовых ценах
предприятия, руб.;
С - себестоимость продукции, руб.;
К - капитальные вложения, руб.
Схожим образом рассчитывается и коэффициент
рентабельности производственных фондов [48]:
|
|
(1.10)
|
где РФ - коэффициент рентабельности
производственных фондов;
Ц - годовая продукция в оптовых ценах
предприятия, руб.;
С - себестоимость продукции, руб.;
Ф - стоимость основных и оборотных
производственных фондов, руб.
По отдельным предприятиям для отражения эффекта
рекомендуется пользоваться следующей формулой [53]:
|
 (1.11)
|
|
где РК - коэффициент рентабельности
капитальных вложений;
Ц1 и Ц2 - годовая продукция предприятия за два
последующих года, в низменных ценах, руб.;
С1 и С2 - фактическая себестоимость продукции за
те же два года, руб.;
К - капитальные вложения, руб.
Таким образом, будем считать, что экономическая
эффективность - это одно из наиболее общих и обобщающих понятий экономики -
сложная социально-экономическая категория воспроизводства, отражающая процесс
развития производительных сил в тесном контакте с производственными
отношениями. К основным показателям экономической эффективности относятся:
удельные капитальные вложения, себестоимость продукции, производительность
труда, срок окупаемости капитальных вложений.
.2 Взаимосвязь и взаимозависимость эффективного
управления и эффективности производства работ в жилищно-коммунальном хозяйстве
Рассматривая вопрос о взаимосвязи эффективного
управления и эффективности производства работ в ЖКХ, субъекты, объекты
управления, а также отношения, которые возникают между ними.
По мнению О.Ю.Шварева [64], управление ЖКХ
рассматривается, как система воздействий на экономические отношения субъектов
управления. Основной задачей органов местного самоуправления является
формирование механизма управления в ЖКХ, что позволяет эффективно работать в
постоянно изменяющихся условиях. При всем этом управление должно обеспечивать
удовлетворение потребностей, а именно предоставление качественных жилищных и
коммунальных услуг, при этом рационально использовать имеющиеся ресурсы.
По мнению В. З. Черняка [61], к основным
субъектам взаимоотношений в процессе управления жильем относятся:
собственники жилья;
управляющие компании;
подрядчики по ремонту и обслуживанию жилья;
поставщики коммунальных услуг;
потребители услуг.
А.И. Булатова [9] считает, что взаимоотношения,
возникающие между субъектами, участвующими в процессе управления, должны
строиться на равенстве их интересов, при помощи заключения договоров. В
структуру договора необходимо включить перечень прав, обязанностей, а также
ответственности участников договорных отношений, и защиту прав собственников и
съемщиков жилья.
По мнению Н.А.Щербаковой [67], создание
эффективных рыночных механизмов управления жилой недвижимостью должно
достигаться путем распределения функций между всеми субъектами.
М.Н. Кондратьева [25], утверждает, что ведя речь
об эффективном управлении ЖКХ, следует говорить как о рациональном
использовании управленческого ресурса, так и об организации процесса успешного
управления объектами и (или) элементами жилищно-коммунального хозяйства.
Одним из критериев эффективности использования
управленческого ресурса может быть рост показателей производства и
воспроизводства жилья и жилищно-коммунальных услуг.
Ж.М. Алиева [2] утверждает, что с экономической
точки зрения эф-фективность управления ЖКХ на территории связана с
экономической эффективностью и определяется соотношением полученного
результата, эффекта, выручки от реализации ко всем совокупным затратам или
издержкам на производство ЖКУ, что показано в формуле [3]:
|
 , руб.,(1.12)
|
|
где ЭФ - экономическая эффективность, руб.;

- выручка от реализации, руб;

- издержки на производство ЖКУ,
руб.
В качестве показателя эффективности
она рекомендует использовать прибыль от производства и реализации, которая
определяется по формуле [3]:
|
 , руб.,(1.13)
|
|
где 
- прибыль от производства и
реализации, руб.;

- выручка от реализации, руб.;

- издержки на производство ЖКУ,
руб.
Как отмечает А.И.Булатова [9]
эффективность управления ЖКХ на территории муниципального образования не всегда
связана с достижением получения максимальной прибыли. Эффективным, в широком
смысле, считается такое управление, при котором достигаются цели организации.
Цели представителей коммерческих предприятий или бизнес структур не всегда
совпадают с целями органов муниципальной систему управления и населения. Бизнес
стремится к максимальным ценам на ЖКУ, а органы власти и управления, защищая
интересы населения должны стремиться к установлению минимальных цен.
К.Н. Савин [46] считает, что на
практике в условиях рыночных отношений все участники процесса должны стремиться
к установлению баланса интересов. Такой баланс достигается путем установления
рыночного равновесия между предлагаемой ценой на жилищно-коммунальные услуги и
ценой платного спроса в условиях цивилизованных рыночных отношений. Если цена
слишком высока, значительная часть потребителей не сможет оплачивать услуги, а
по низкой цене предприятия и организации поставщики услуг не смогут возместить
свои расходы.
Наибольшее влияние социальных
факторов по Н.В. Корнеевой [26], определяет специфичность ЖКХ, а именно
специфика критериев, которые используется для оценки эффективности его
функционирования. Характерными для сферы производства критерии экономической
эффективности в отношении жилищно-коммунального хозяйства необходимо уточнить и
дополнить индикаторами качества, которые участвуют в обслуживания населения,
комфорта и удобства среды проживания.
Г.Ф. Шешко [66] считает, что
оптимальная схема управления жилищным фондом обеспечивается, когда коммунальные
услуги в пределах выделенных им финансовых ресурсов обеспечат наилучшее обслуживание
здания и предоставление жилищно-коммунального хозяйства. Решение этих задач
осуществляется путем заключения соглашений с другими организациями или
субъектами малого бизнеса, а также с собственными силами. Реализация такой
схемы позволяет свести к минимуму затраты на поддержание жилой недвижимости и
обеспечить требуемое качество услуг.
Ж.М. Алиева [2] выделяет следующие
принципы управления в ЖКХ, наименование и краткая характеристика которых
представлены в таблице 1.1.
Таблица 1.1 - Характеристика принципов
управления в ЖКХ
|
Наименование
принципа
|
Краткая
характеристика принципа
|
|
Принцип
пообъектного управления недвижимостью
|
Осуществление
управления происходит пообъектно. Учитывается состояние объекта недвижимости,
степень благоустройства, состояние закрепленного за ним участка земли, а
также расположенные на нем элементы благоустройства.
|
|
Принцип
целевого управления
|
Для
каждого объекта управления собственник определяет и фиксирует цель. Данную
цель он преследует при принятии управленческих решений и достигает ее. Цель
должна быть конкретной и актуальной в данный момент, измеримой по
определенным критериям и показателям и достижимой в течение поставленного
времени.
|
|
Принцип
эффективности управления
|
Достижение
установленной цели, при оптимальных издержках.
|
|
Принцип
профессионализма в управлении
|
Решающим
фактором для повышения эффективности в управлении недвижимостью являются
уровень квалификации и деловые качества кадров. Важным аспектом является
зависимость финансового состояния управляющей организации от результатов ее
деятельности.
|
|
принцип
системности управления
|
Совместными
усилиями управляющей организации и собственниками жилищного фонда достигается
эффективная система управления.
|
По мнению Ж.М. Алиевой [2] бизнес-процессы ТСЖ и
управляющих компаний заключаются в следующем:
выполнение работ, направленных на сохранение
жилищного фонда, улучшение качества предоставления жильем и коммунальным
услугам населению;
обеспечение жилищно-коммунального хозяйства для
обеспечения комфортных условий жизни в жилищном фонде граждан и
функционирования организаций, расположенных в этом жилищном фонде, в
соответствии с нормами технической эксплуатации жилого фонда, государственными
стандартами качества;
санитарно-техническое обслуживание, техническое
обслуживание и ремонт (текущий и капитальный) жилого фонда, нежилых помещений,
коммунальных объектов и прилегающей территории;
предоставление жилищно-коммунальных услуг и
оплата в соответствии с достигнутым фактическим качеством и количеством;
осуществление дополнительных мер, направленных
на эффективное управление жилищным фондом;
организация сбора платежей от населения за
жилищно-коммунальные услуги, расчеты с поставщиками коммунальных услуг и
подрядчиками за выполненную работу;
снижение стоимости обслуживания жилого фонда и
потребляемых коммунальных услуг.
О.Ю. Шварева [64], отмечает, что экономическая
эффективность обслуживания жилья в соответствии со спецификой отрасли
определяется как Рациональное использование средств для поддержания физических
характеристик жилые домов. Экономическая эффективность жилищных услуг
предлагает достижение оптимальных пропорций между тремя направлениями
использования средств. экономическая эффективность жилищного обслуживания
предполагает достижение оптимальных пропорций между тремя направлениями
использования средств.
Первая группа образована средствами,
необходимыми для материала работы по техническому обслуживанию и ремонту.
Вторая группа - это способ оплаты труда
сотрудников, непосредственно предоставляющих жилищные услуги.
Третья группа затрат связана с необходимостью
управления процессом жилищного обслуживания.
В.И. Каспин [22] считает, что основными
результатами по оптимизации работ в ЖКХ являются:
сокращение времени выполнения процессов;
рациональное использование ресурсов;
сокращение вероятности сбоев в работе и потере
информации.
А.Э. Нуриджанов [35] считает, что
эффективность жилищно-коммунальных услуг
<#"906990.files/image019.gif">
Рисунок 2.1 - Внешний вид
административного здания МУП «Бабушкинская теплосеть», расположенного по
адресу: с. им. Бабушкина, ул. Садовая, д. 12
Организация не имеет филиалов,
представительств. Основной вид деятельности - производство тепловой энергии для
теплоснабжения. Для получения прибыли предприятие осуществляет следующие виды
деятельности:
обеспечение надежного и
качественного снабжения тепловой энергией потребителей;
организация эксплуатации тепловых
сетей в соответствии с действующими нормами и правилами;
производство продукции
предназначенной для удовлетворения собственных нужд предприятия;
производство и продажа теплоэнергии;
коммерческая и посредническая
деятельность;
распределение между потребителями
тепловой энергии.
Источниками теплоснабжения в МУП
«Бабушкинская теплосеть» являются 11 котельных: из них пять котельных в с. им.
Бабушкина («Центральная», «ЭТУС», «ЦРБ», «Бабушкинская школа», «Детский сад
№1») и шесть котельных, расположенных на территории района («Миньково»,
«Рослятино», «Великий Двор», «Подболотная школа», «детский сад д. Скоково» и
котельная поселка Ида). Суммарная номинальная тепловая мощность данных
котельных составляет 13,7 Гкал/ч. Фактическое количество работающих котлов - 28
единиц. Основным видом топлива является древесное топливо. Схема теплоснабжения
закрытая.
Характеристика котельных
представлена в таблице 2.1.
Таблица 2.1 - Характеристика
котельных МУП «Бабушкинская теплосеть»
|
Наименование
котельной
|
Место
нахождения
|
Количество
котлов, шт.
|
Марка
котлов / год ввода в эксплуатацию
|
КПД,%
|
Мощность,
Гкал/час
|
|
Центральная
|
С.им.Бабушкина,
ул. Садовая,12
|
2
|
КВР-1.0-115/2004г.
|
80
|
2
|
|
ЭТУС
|
С.им.Бабушкина,
ул. Бабушкина, 31
|
2
|
КВР-0,8-95/2012г.
|
72
|
1,6
|
|
ЦРБ
|
С.им.Бабушкина,
ул.Н-Надречная,1
|
4
|
КВР-1-95
2шт/2009г. КВ-ТС-УН 2шт/2007г.
|
65/75
|
2,7
|
|
Бабушкинская
школа
|
С.им.Бабушкина,
ул. Мира,28
|
3
|
КВ-ТС-2УН/2000г.
|
65
|
2,0
|
|
Детсад
№1
|
С.им.Бабушкина,
ул.Советская,1
|
2
|
КВР/2012г.
Универсал-5/1999г.
|
70/60
|
0,79
|
|
Наименование
котельной
|
Место
нахождения
|
Количество
котлов, шт.
|
Марка
котлов / год ввода в эксплуатацию
|
КПД,%
|
Мощность,
Гкал/час
|
|
|
Рослятинская
школа
|
С.Рослятино,
ул.Советская,11
|
3
|
КВ-ТС-2УН
2шт/2003г. КВР-1.1-95 1шт/2010г.
|
65/75
|
1,7
|
|
|
В
- Дворская школа
|
Д.Великий
Двор
|
2
|
КВ-ТС-2УН/2004г.
Универсал-6/1986г.
|
65/55
|
0,55
|
|
|
Миньковская
школа
|
С.Миньково,
ул.Школьная,20
|
4
|
КВ-ТС-2УН
2шт/2005г. Универсал-6 2шт/2005г.
|
65/70
|
1,06
|
|
|
Подболотная
школа
|
С.Ляменьга,23
|
2
|
КВ-ТС-2УН/2003г.
Универсал-6/1999г.
|
65/55
|
0,72
|
|
|
Скоковский
детсад
|
Д.Скоково,3а
|
2
|
Универсал-6/1986г.
|
55
|
0,34
|
|
|
Ида
|
П.Ида,
ул.Гагарина,20а
|
2
|
КВР-0,25/2006г.
|
80
|
0,5
|
|
|
|
|
|
|
|
|
|
|
|
Исходя из данных таблицы 2.1, мы видим, что
котельные МУП «Бабушкинская теплосеть» характеризуются высоким физическим и
моральным износом, что ведет за собой потери тепловой энергии. По этой же
причине часто наблюдается перерасход топлива, что приведет к перерасходу
денежных средств. Фактический коэффициент полезного действия котлов составляет
в среднем около 60%. Явно устаревшие котлы находятся в детском саду №1 (60%),
Великодворской школе (55%), Скоковском детском саду (55%), Подболотной школе
(55%). Наибольшей мощностью (2.7 Гкал/час) обладает котельная Центральной
районной больницы, расположенной по адресу: С. им. Бабушкина, ул. Н-Надречная,
д. 1. Котлы Универсал-5 и Универсал-6 являются чугунными секционными котлами.
Котлы остальных марок, указанных в таблице 2.1, изготавливаются
специализированными организациями из стальных труб.
Выработанная в котельных тепловая энергия
передается потребителям по тепловым сетям, основой которых являются
трубопроводы. Для теплофикации (обогрева зданий и помещений) преимущественное
распространение имеют системы горячего водоснабжения. Тепловые сети являются
сложным и ответственным сооружением.
Описание трубопроводов тепловых сетей МУП
«Бабушкинская теплосеть» представлено в таблице 2.2.
Таблица 2.2 - Характеристика трубопроводов
тепловых сетей обслуживаемых МУП «Бабушкинская теплосеть»
|
Наименование
линии
|
Способ
прокладки
|
Суммарная
протяженность в двухтрубном исчислении, км.
|
|
Теплосеть
«Подболотная школа»
|
Подземная
в непроходных железобетонных каналах
|
0,280
|
|
Теплосеть
«Скоково»
|
Канал
из непроходного железобетона
|
0,045
|
|
Теплосеть
«Рослятинская школа»
|
Подземная
в непроходных железобетонных каналах
|
0,58
|
|
Теплосеть
«Великий двор»
|
Канал
из непроходного железобетона
|
0,042
|
|
Теплосеть
«Миньковская школа»
|
Подземная
в непроходных железобетонных каналах
|
0,415
|
|
Теплосеть
«ЦРБ»
|
Надземная
|
0,9
|
|
Теплосеть
«Бабушкинская школа»
|
Надземная,
подземная в непроходных железобетонных каналах
|
0,5
|
|
Теплосеть
«Центр»
|
Подземная
в непроходных железобетонных каналах
|
0,810
|
|
Теплосеть
«Детский сад №1»
|
Подземная
в непроходных железобетонных каналах
|
0,161
|
|
Теплосеть
«ЭТУС»
|
Надземная,
подземная в непроходных железобетонных каналах
|
0,171
|
|
Теплосеть
«Ида»
|
Подземная
в непроходных железобетонных каналах
|
0,55
|
Тепловые сети выполнены двухтрубными из стальных
труб с подачей теплоносителя. Общая длина трубопроводов сети отопления
составляет 8,9 км, в двухтрубном исчислении равна 4,454 км.
Основными производственными единицами МУП
«Бабушкинская теплосеть» являются следующие объекты:
котельные в количестве 11 единиц, в обязанности
которых входит выработка тепловой энергии, распределение, транспортировка и
обеспечение потребителей тепловой энергией в зависимости от температуры
воздуха;
аварийно-диспетчерская служба осуществляет
контроль за текущей обстановкой на предприятии. Следит за соблюдением всех
технологических режимов на теплоисточниках, а также выполняет оперативное
устранение инцидентов и аварийных ситуаций.
Учредителем предприятия является Бабушкинский
муниципальный район. Функции учредителя предприятия и права собственника
имущества осуществляет Комитет по управлению имуществом Бабушкинского
муниципального района. Учредительным документом МУП ”Бабушкинская теплосеть”
является Устав предприятия, утвержденный распоряжением № 39 от 12.10.2005 г.
Комитета по управлению имуществом Бабушкинского муниципального района
Вологодской области. Уставной капитал предприятия составляет 100000 рублей.
Для полного представления о структуре служб,
отделов и участков исследуемого предприятия на рисунке 2.3 рассмотрена
структура организации управления в МУП «Бабушкинская теплосеть».
Рисунок 2.3 - Структура управления в МУП
«Бабушкинская теплосеть» [34]
В управлении МУП «Бабушкинская теплосеть»
применяется линейно-функциональная организационная структура, потому что
используется линейное и функциональное воздействие. Линейное руководство
осуществляют руководители, а функциональное - специалисты. На предприятии
преобладает демократический стиль руководства. Об этом свидетельствует
совместное обсуждение проблем руководителя со специалистами, уважительное
отношение к подчиненным и передача части обязанностей нижестоящим работникам. В
общении с подчиненными руководитель Кусков Александр Дмитриевич вежлив,
доброжелателен, и в то же время требовательный и справедливый. Решение тех или
иных вопросов происходит совместно со специалистами в данной области.
Основные технико-экономические показатели МУП
«Бабушкинская теплосеть» представлены в таблице 2.3.
Таблица 2.3 - Основные технико-экономические
показатели МУП «Бабушкинская теплосеть»
|
Показатели
|
Годы
|
Абсолютное
изменение 2015 г. к 2013 г., +/-
|
Темп
роста 2015 г. к 2013г., %
|
|
2013
|
2014
|
2015
|
|
|
|
Реализация
теплоэнергии, тыс. руб.
|
19048
|
20542
|
22375
|
2644
|
109,8
|
|
Стоимость
1 Гкал. теплоэнергии, руб.
|
2421
|
2548
|
2620
|
199
|
108,2
|
|
Себестоимость
продаж, тыс. руб.
|
20698
|
22063
|
23586
|
430,5
|
102,5
|
|
Среднесписочная
численность персонала, чел. в том числе: рабочих АУП
|
58
46 12
|
60
48 12
|
60
48 12
|
2
2 0
|
103,5
104,3 100
|
|
Затраты
на оплату труда, тыс. руб.
|
8570,9
|
8846,4
|
10016,1
|
1445,2
|
116,8
|
|
Среднегодовая
стоимость ОПФ, тыс. руб.
|
7084
|
6085
|
5118
|
-1966
|
72,2
|
|
Прибыль
от реализации, тыс. руб.
|
-1650,7
|
-1520,9
|
-1210
|
440,7
|
73,3
|
|
Балансовая
прибыль, тыс. руб.
|
-980,9
|
-969,2
|
-109
|
872,9
|
110
|
|
Чистая
прибыль, тыс. руб.
|
-980,9
|
-969,2
|
-109
|
872,9
|
110
|
|
Рентабельность
производства, %
|
-6,4
|
-6,3
|
5,7
|
-
|
|
Рентабельность
продаж, %
|
-5,1
|
-4,7
|
-0,5
|
4,6
|
-
|
В 2015 году выручка от реализации МУП
«Бабушкинская теплосеть» увеличилась на 9,8 %, также произошло увеличение
себестоимости на 2,5%, оплата труда увеличилась на 16,8%. Основные
производственные фонды предприятия сократились. За анализируемый период чистая
прибыль (убыток) предприятия снизился на 872,9 руб., но все еще предприятие
работает в убыток. Рентабельность производства повысилась на 2,8 % в результате
повышения реализации теплоэнергии.
Таким образом, проведя организационно -
экономическую характеристику предприятия, можно сделать вывод, что основной вид
деятельности предприятия - производство тепловой энергии для теплоснабжения.
Учредителем предприятия является Бабушкинский муниципальный район. Уставной
капитал предприятия составляет 100000 рублей. В управлении МУП «Бабушкинская теплосеть»
применяется линейно-функциональная организационная структура, потому что
используется линейное и функциональное воздействие.
.2 Анализ производственно-хозяйственной
деятельности МУП «Бабушкинская теплосеть»
Производственно-экономическая деятельность любой
организации начинается с формирования производственных ресурсов. К ресурсам
относят запасы, ценности, денежные средства, возможности и т.п. В экономической
теории под ресурсами понимается совокупность различных элементов производства,
которые используются в процессе создания товаров и услуг.
Главная цель существования производственных
ресурсов заключается в обеспечении достижения целей предприятия, то есть
выполнения экономического назначения и получения прибыли. Далее будет проведена
общая оценка эффективности использования ресурсов МУП «Бабушкинская теплосеть».
Рассматриваемые в работе производственные
ресурсы включают:
основные средства;
оборотные средства;
кадры.
Анализ основных средств рассмотрен в параграфе
2.3.
Оборотными средствами, являются такие средства,
которые использует предприятие для осуществления своей постоянной деятельности.
Под составом оборотных средств, понимаются
входящие в их состав элементы: производственные запасы, незавершенное
производство, расходы будущих периодов готовая продукция на складах,
отгруженная продукция, дебиторская задолженность и денежные средства.
Состав и динамика оборотных средств МУП
«Бабушкинская теплосеть» представлена в таблице в таблице 2.4.
Таблица 2.4 - Состав и динамика оборотных
средств на предприятии
|
Виды
оборотных средств
|
2013г.
|
20Кг.
|
2015г.
|
Отклонения,
+/-
|
Отклонения,
%
|
|
|
|
|
2014г.к
2013г.
|
2015г.к
2014г.
|
2014г.к
2013г.
|
2015г.к
2014г.
|
|
Производственные
запасы
|
2526
|
3215
|
4680
|
689
|
1465
|
127,3
|
145,5
|
|
Дебиторская
задолженность
|
3146
|
3485
|
1943
|
339
|
-1542
|
110,8
|
55,8
|
|
Денежные
средства
|
2511
|
2660
|
3682
|
149
|
1022
|
105,9
|
138,4
|
|
Всего
оборотных средств
|
8183
|
9360
|
10305
|
1177
|
945
|
114,4
|
110,1
|
Из данных таблицы 2.4 видно, что оборотные
средства предприятия имеют тенденцию к росту, так в 2014 году происходит
увеличение на 14,4 %, а в 2015 году на 10,1%. Увеличение производственных
запасов почти в 2 раза, за анализируемый период, замедляет цикл оборачиваемости
средств, и увеличивает себестоимость продукции. Значительное сокращение
дебиторской задолженности привело к увеличению реального притока денежных
средств. В 2015 году сумма денежных средств увеличилась на 1171 тыс. руб.
Структура оборотных средств МУП «Бабушкинская
теплосеть» за 2013-2015гг. представлена на рисунке 2.4.
Из рисунка 2.4 видно, что как в 2013 г. так и в
2014 г. в структуре оборотных средств МУП «Бабушкинская теплосеть» с небольшим
отрывом преобладает дебиторская задолженность. В 2013 г. она составила 38,5%, а
в 2014 г. - 37,3% . В 2015 г. дебиторская задолженность сокращается и уже
составляет 18,9%. Производственные запасы постепенно растут и в 2015 г. уже
занимают лидирующую позицию - 45,4%. В качестве положительного аспекта можно
отметить рост денежных средств.
Рисунок 2.4 - Структура оборотных средств [34]
Финансовое положение предприятия напрямую
зависит от состояния оборотных средств, поэтому предприятия заинтересованы в
организации наиболее рационального движения и использования оборотных средств.
На следующем этапе анализа проводится оценка
эффективности использования оборотных средств на предприятии. Степень
эффективности использования оборотных средств характеризуют следующие основные
показатели: коэффициент оборачиваемости; длительность одного оборота;
коэффициент загрузки.
Динамика эффективности использования оборотных
средств на МУП «Бабушкинская теплосеть» приведена в таблице 2.5.
По данным таблицы 2.5 можно сделать вывод, что
коэффициент оборачиваемости оборотных средств в 2015 г. по сравнению с 2014 г.
уменьшился на 1,1%, так же наблюдается увеличение длительности одного оборота
почти на 0,8 дн. или на 1%. Это свидетельствует о том, что за год рубль,
вложенный в оборотные средства, совершил 4,39 оборота в 2014 году и 4,34
оборота в 2015 году. Уменьшение коэффициента оборачиваемости как в 2014 г. так
и в 2015 г. связано с увеличением уровня оборотных средств МУП «Бабушкинская
теплосеть», а рост длительности одного оборота говорит об ухудшении
использования оборотных средств.
Таблица 2.5 - Динамика эффективности
использования оборотных средств МУП «Бабушкинская теплосеть» за 2013-2015 гг.
|
Наименование
показателя
|
2013
г.
|
2014
г.
|
2015
г.
|
Абсолютное
изменение, +/-
|
Темп
роста, %
|
|
|
|
|
2014
г. к 2013 г.
|
2015
г. к 2014 г.
|
2014
г. к 2013 г.
|
2015
г. к 2014 г.
|
|
Коэффициент
оборачиваемости оборотных средств, обороты
|
4,65
|
4,39
|
4,34
|
-0,26
|
-0,05
|
94,4
|
98,9
|
|
Коэффициент
загрузки
|
0,21
|
0,23
|
0,23
|
0,02
|
0
|
109,5
|
100
|
|
Длительность
одного оборота, дн.
|
78,4
|
83,2
|
84
|
4,8
|
0,8
|
106,1
|
101
|
|
Материалоотдача,
руб./руб.
|
3,69
|
3,54
|
3,58
|
-0,15
|
0,04
|
95,9
|
101,12
|
|
Материалоёмкость
продукции, руб./руб.
|
0,27
|
0,28
|
0,28
|
0,01
|
0
|
103,7
|
100
|
В 2014 г. по сравнению с 2013 г. наблюдается
увеличение коэффициента загрузки на 9,5%, а в 2015 г. коэффициент не изменился.
Не менее значимым ресурсом, который определяет
уровень использования производственного потенциала, являются кадры предприятия.
Ведь от эффективности деятельности персонала зависит и эффективность
использования остальных ресурсов. МУП «Бабушкинская теплосеть» является малым
предприятием, общая численность составляет всего 60 человек, поэтому роль
каждого работника велика.
Структура персонала предприятия представлена на
рисунке 2. 5.
Рисунок 2.5 - Структура персонала МУП
«Бабушкинская теплосеть» за 2015 г. [34]
Из рисунка 2.5 видно, что большую долю (80%) в
структуре персонала МУП «Бабушкинская теплосеть» занимают рабочие. Это связано
со специфической деятельностью предприятия, а именно предоставление
жилищно-коммунальных услуг. Среди рабочих 43,3% составляют машинисты
(кочегары), 16,6% - трактористы, 11,6% - электромонтеры, и 8,3% занимают
водители.
Динамика среднесписочной численности персонала
предприятия за 2013-2015 гг. представлена в таблице 2.6.
Таблица 2.6 - Динамика среднесписочной
численности персонала МУП «Бабушкинская теплосеть» за 2013-2015 гг.
|
Показатели
|
2013
г.
|
2014
г.
|
2015
г.
|
Абсолютное
изменение, чел.
|
Темп
роста, %
|
|
|
|
|
2014г.
к 2013 г.
|
2015г.
к 2014 г.
|
2014
г. к 2013 г.
|
2015г.
к 2014 г.
|
|
Среднесписочная
численность работников, чел.
|
58
|
60
|
60
|
2
|
0
|
103,4
|
100
|
|
Рабочие,
чел., в том числе: Трактористы Машинисты (кочегары) Водители Электромонтеры
|
46
9 25 5 7
|
48
10 26 5 7
|
48
10 26 5 7
|
2
1 1 0 0
|
0
0 0 0 0
|
104,3
111,1 104 100 100
|
100
100 100 100 100
|
|
Служащие
|
12
|
12
|
12
|
0
|
0
|
100
|
100
|
Анализ данных таблицы 2.6 показал, что
численность работников в МУП «Бабушкинская теплосеть» в 2014 году увеличилась
на 3,4%. Количество постоянных рабочих увеличилось на 4.3%. Численность
трактористов увеличилась на 11,1%, в 2013 году она составляла 9 человек, а в
2014 году 10 человек. Увеличилось и количество машинистов (кочегаров) на 4%. В
2015 году численность персонала осталась неизменной.
Труд - это один из самых важнейших элементов
хозяйственного процесса. Для повышения эффективности труда нужно оптимально
соотнести такие показатели, как состав и численность работников, объем
выполняемых работ, производительность труда, а также использование рабочего
времени. Немаловажным значением для решения данных задач является экономический
анализ трудовых ресурсов предприятия.
Информационной базой анализа эффективности
использования трудовых ресурсов являются данные: бухгалтерского учета,
финансовой и статистической отчетности, управленческие учетные и внеучетные
данные, бухгалтерские документы, приказы и тп. Эффективность использования
трудовых ресурсов на предприятии представлена в таблице 2.7.
Таблица 2.7 - Динамика эффективности
использования трудовых ресурсов МУП «Бабушкинская теплосеть» за 2013-2015 гг.
|
Наименование
показателя
|
2013
г.
|
2014
г.
|
2015
г.
|
Абсолютное
изменение, +/-
|
Темп
роста, %
|
|
|
|
|
2014
г. к 2013 г.
|
2015
г. к 2014 г.
|
2014
г. к 2013 г.
|
2015
г. к 2014 г.
|
|
Объем
произведенной продукции, тыс.руб.
|
19048
|
20542
|
22375
|
1494
|
1833
|
107,8
|
108,9
|
|
Среднесписочная
численность персонала, чел.
|
58
|
60
|
60
|
2
|
0
|
103,4
|
100
|
|
Среднесписочная
численность рабочих за год, чел.
|
46
|
48
|
48
|
2
|
0
|
104,3
|
100
|
|
Количество
дней, отработанное одним рабочим , дн.
|
229
|
227
|
227
|
-2
|
0
|
99,1
|
0
|
|
Продолжительность
рабочего дня, ч.
|
8
|
8
|
8
|
0
|
0
|
0
|
0
|
|
Общее
количество отработанного времени всеми рабочими за год, тыс.час., в т.ч.:
|
84,272
|
87,168
|
87,168
|
2,896
|
0
|
103,4
|
0
|
|
- одним
рабочим, чел.-час.
|
1832
|
1816
|
1816
|
-16
|
0
|
99,1
|
0
|
|
Среднегодовая
выработка, тыс.руб.:
|
|
|
|
|
|
|
|
|
- одного
работающего
|
328,4
|
342,4
|
372,9
|
14
|
30,5
|
104,3
|
108,9
|
|
- одного
рабочего
|
414,1
|
427,9
|
466,1
|
13,8
|
38,2
|
103,3
|
108,9
|
|
Удельная
трудоёмкость, на 1 тыс.руб., чел.-час.
|
4,42
|
4,24
|
3,89
|
-0,18
|
-0,35
|
95,9
|
91,7
|
По данным таблицы 2.7 можно сделать вывод, что
за анализируемый период (2013-2015 гг.) происходит снижение трудоёмкости
продукции, что является важнейшим фактором роста производительности труда.
Эффективность деятельности предприятия
определяется также соотношением результатов деятельности и затрат.
Себестоимость продукции понимается как
стоимостная оценка природных ресурсов, сырья, материалов, энергии, топлива,
основных фондов, трудовых ресурсов и других затрат, которые используются при
производстве и реализации продукции. Другими словами, себестоимость продукции -
это все издержки, которые предприятие понесло на производство и реализацию
продукции или услуг. Отсюда следует, что при более эффективном использовании
ресурсов в производственном процессе, уровень себестоимости будет ниже.
Состав и структура себестоимости МУП
«Бабушкинская теплосеть» представлены в таблице 2.8.
Таблица 2.8 - Состав и структура себестоимости
МУП «Бабушкинская теплосеть» по основным элементам затрат за 2013-2015 гг.
|
Основные
элементы затрат
|
2013
год
|
2014
год
|
2015
год
|
|
сумма,
тыс. руб.
|
уд.
вес, %
|
сумма,
тыс. руб.
|
уд.
вес, %
|
сумма,
тыс. руб.
|
уд.
вес, %
|
|
Материальные
затраты
|
5161,03
|
24,93
|
5810,65
|
26,34
|
6235,35
|
26,43
|
|
Расходы
на оплату труда
|
8846,44
|
42,74
|
10016,11
|
45,4
|
10974,19
|
46,52
|
|
Расходы
на социальные нужды
|
2668,95
|
12,9
|
3021,3
|
13,7
|
3310,78
|
14
|
|
Расходы
на амортизацию
|
2105
|
10,17
|
2121,24
|
9,61
|
1981,66
|
8,45
|
|
Прочие
расходы
|
1916,65
|
9,26
|
1094,1
|
4,95
|
1084,27
|
4,6
|
|
Итого
по элементам
|
20698,07
|
100
|
22063,4
|
100
|
23586,25
|
100
|
Проанализировав данные таблицы 2.8, можно
сделать вывод, что состав затрат относительно стабилен. Происходит рост почти
всех элементов затрат, но расходы на амортизацию и прочие расходы сокращаются.
Наибольший удельный вес имеют расходы на оплату труда, вторым по значимости
видом затрат выступают материальные затраты. Положительно сказывается рост
прочих затрат. Повышение общей суммы издержек было вызвано повышением почти
каждого элемента затрат.
Далее необходимо рассчитать затраты на один
рубль произведенной продукции. Этот показатель описывает уровень затратоемкости
продукции в целом в области предприятия, и показывает прямую связь между
себестоимостью и прибылью. Определяется данный коэффициент, как отношение общей
суммы затрат к стоимости произведенной продукции в действующих ценах. При
уровне ниже единицы, выработка продукции является рентабельной, при уровне выше
единицы - убыточной.
Результаты расчетов затрат на 1 рубль
реализованной продукции снесены в таблицу 2.9.
Таблица 2.9 - Затраты на один рубль
реализованной продукции МУП «Бабушкинская теплосеть»
|
Наименование
показателя
|
2013
г.
|
2014
г.
|
2015
г.
|
Абсолютное
изменение, +/-
|
Темп
роста, %
|
|
|
|
|
2014
г. к 2013 г.
|
2015
г. к 2014 г.
|
2014
г. к 2013 г.
|
2015
г. к 2014 г.
|
|
Выручка
от реализации, тыс. руб.
|
19048
|
20542
|
22375
|
1494
|
1833
|
107,8
|
108,9
|
|
Себестоимость
товарной продукции, работ, услуг, тыс. руб.
|
20698
|
22063
|
23586
|
1365
|
1523
|
106,6
|
106,9
|
|
Затраты
на 1 рубль товарной продукции, работ, услуг, руб.
|
1,08
|
1,05
|
-0,01
|
-
0,02
|
99,1
|
98,1
|
Из расчетов в таблице 2.9 видно, что выработка
продукции является убыточной, та как показатель затрат на один рубль товарной
продукции выше единицы. Положительным аспектом является то, что показатель в
анализируемый период уменьшается, в 2013 г. он составил 1,08 руб., а в 2015г.
уже 1,05 руб.
Функционирование любого предприятия определяется
его способностью приносить прибыль. Под прибылью понимается конечный результат
деятельности организации, который характеризует эффективность его работы.
Возможен вариант производства большого объема продукции, но если она не
реализуется или реализуется по такой цене, которая не обеспечит получения
прибыли, то предприятие будет в очень тяжелом финансовом состоянии.
Источниками информации для анализа экономических
результатов деятельности служат данные аналитического бухгалтерского учета по
счетам реализации, а также форма №1 «Промежуточный бухгалтерский баланс» форма
№2 «Отчет о прибылях и убытках».
Состав и динамика прибыли МУП «Бабушкинская теплосеть»
представлены в таблице 2.10.
Таблица 2.10 - Состав и динамика прибыли МУП
«Бабушкинская теплосеть»
|
Наименование
показателя
|
2013
г.
|
2014
г.
|
2015
г.
|
Абсолютное
изменение, +/-
|
Темп
роста, %
|
|
|
|
|
2014
г. к 2013 г.
|
2015
г. к 2014 г.
|
2014
г. к 2013 г.
|
2015
г. к 2014 г.
|
|
Выручка
от реализации продукции, тыс. руб.
|
19048
|
20542
|
22375
|
1494
|
1833
|
107,8
|
108,9
|
|
Себестоимость
всего, тыс. руб.
|
20698
|
22063
|
23586
|
1365
|
1523
|
106,6
|
106,9
|
|
Прибыль
от реализации, тыс. руб.
|
-1650,7
|
-1520,9
|
-1210
|
129,8
|
310,9
|
92,1
|
80
|
|
Балансовая
прибыль, тыс. руб.
|
-980,9
|
-969,2
|
-109
|
11,7
|
861,2
|
98,8
|
11,1
|
|
Чистая
прибыль, тыс. руб.
|
-980,9
|
-969,2
|
-109
|
11,7
|
861,2
|
98,8
|
11,1
|
По данным таблицы 2.10 видно, что себестоимость
на предприятии превышает выручку в 2015 году выручка составила 22375 тыс. руб.,
а себестоимость - 23586 тыс. руб. Рост выручки совсем немного опережает рост
себестоимости продукции, что обеспечивает убытки от основной деятельности.
Балансовая прибыль (убыток) предприятия за исследуемый период сократилась с
-980,9 тыс. руб. до -109 тыс. руб., а прибыль (убыток) от продаж сократился с
-1650,9 тыс. руб. до -1210 тыс. руб., что позволяет сделать вывод о росте
прочих доходов организации, не связанных с основной деятельностью.
Таким образом, за анализируемый период
происходит уменьшение коэффициента оборачиваемости, что связано с увеличением
уровня оборотных средств МУП «Бабушкинская теплосеть», а рост длительности
одного оборота говорит об ухудшении использования оборотных средств. Также
наблюдается снижение трудоёмкости продукции. Происходит рост почти всех
элементов затрат. Наибольший удельный вес имеют расходы на оплату труда, вторым
по значимости видом затрат выступают материальные затраты. Динамика роста
себестоимости превышает рост выручки, что говорит об убыточности предприятия.
Далее необходимо проанализировать состояние и
эффективность использования основных производственных фондов предприятия, а
также провести факторный анализ фондоотдачи.
.3 Анализ состояния и эффективного использования
основных производственных фондов МУП «Бабушкинская теплосеть»
Основные фонды - это ресурсы предприятия,
которые определяют его производственную мощность и потенциальный рост объемов
производства. В зависимости от степени воздействия основные фонды делятся на
активную часть и пассивную часть. К активной части относятся основные фонды,
которые непосредственно участвуют в производстве продукции (машины,
оборудование, транспортные средства, инвентарь). Пассивная часть включает
фонды, непосредственно не влияющие на выпуск продукции, но обеспечивающие
необходимые условия для осуществления производства (здания и сооружения). Чем
выше доля активной части фондов, тем большими возможностями располагает
предприятие по увеличению выпуска продукции.
Структура основных фондов МУП «Бабушкинская
теплосеть» за 2013-2015гг. представлена на рисунке 2.6.
Рисунок 2.6 - Структура основных фондов за
2013-2015 гг. [34]
Исходя из рисунка 2.6, в структуре основных
фондов МУП «Бабушкинская теплосеть» за анализируемый период большую долю
занимали здания и сооружения, а также передаточные устройства, то есть
пассивная часть. Это связано с тем, что предприятия, оказывающие
жилищно-коммунальные услуги, имеют специфическую структуру.
Состав и динамика основных фондов МУП
«Бабушкинская теплосеть» представлены в таблице 2.11.
Таблица 2.11 - Состав и динамика основных фондов
предприятия
|
Показатель
|
2013
г.
|
2014
г.
|
2015
г.
|
Отклонения,
+/-
|
Отклонения
, %
|
|
|
|
|
2014
г. к2013 г.
|
2015
г. к2014 г.
|
2014
г. к2013 г.
|
2015
г. К 2014 г.
|
|
Здания
и сооружения
|
6945,4
|
6122,7
|
5205,8
|
-822,7
|
-916,9
|
88,2
|
85
|
|
Передаточные
устройства
|
5570,2
|
5046,4
|
4505,9
|
-523,8
|
-540,5
|
90,6
|
89,3
|
|
Машины
и оборудование
|
424,7
|
199,7
|
103,2
|
-225
|
-96,5
|
47
|
51,6
|
|
Транспортные
средства
|
1217,5
|
817,5
|
417,5
|
-400
|
-400
|
67,1
|
51
|
|
Производственный
и хозяйственный инвентарь
|
9,5
|
4,8
|
3
|
-4,7
|
-1,8
|
50,5
|
62,5
|
|
Итого
|
14167,3
|
12191,1
|
10235,4
|
-1976
|
-1955,7
|
86
|
84
|
Анализ данных таблицы 2.11 показал, что в
анализируемом периоде за 2013-2015 годы наблюдается снижение стоимости основных
фондов МУП «Бабушкинская теплосеть». Это связано с их выбытием вследствие
ветхости и износа. Сокращение активной части показывает отрицательную тенденцию
в деятельности предприятия, так как качество оказываемых услуг в определенной
степени зависит от наличия и состояния активной части основных фондов.
Для обобщающей характеристики эффективности
использования основных производственных фондов будут использоваться следующие
показатели:
фондоотдача;
фондоемкость;
фондовооруженность;
фондорентабельность.
Динамика эффективности использования основных
фондов МУП «Бабушкинская теплосеть» за 2013-2015 годы представлена в таблице
2.12.
Анализ данных таблицы 2.12 показал, что в
рассматриваемом периоде наблюдается повышение фондоотдачи и снижение
фондоёмкости оказанных услуг. Фондоотдача показывает, сколько произведено
продукции на 1 руб. стоимости основных фондов. Так в 2015 г. по сравнению с
2013 г. наблюдается повышение фондоотдачи в 1,5 раза. Это произошло в
результате увеличения стоимости товарной продукции. Фондоёмкость наоборот имеет
тенденцию к снижению, в 2015 г. по сравнению с 2013 г. данный показатель
уменьшился на 0,14 руб.
Таблица 2.12 - Эффективность использования
основных фондов
|
Показатель
|
2013
г.
|
2014
г.
|
2015
г.
|
Абсолютные
изменения, +/-
|
Относительные
изменения, %
|
|
|
|
|
2014г.
к2013г.
|
2015г.
к2014г.
|
2014г.
к 2013г.
|
2015г.
к 2014г.
|
|
Стоимость
товарной продукции, тыс. руб.
|
19048
|
20542
|
22375
|
1494
|
1833
|
107,8
|
108,9
|
|
Среднегодовая
стоимость основных фондов, тыс. руб.
|
7084
|
6085
|
5118
|
-999
|
-967
|
86
|
84,1
|
|
Фондоотдача,
руб./руб.
|
2,69
|
3,37
|
4,37
|
0,68
|
1
|
125,3
|
129,7
|
|
Фондоемкость,
руб./руб.
|
0,37
|
0,29
|
0,23
|
-0,08
|
-0,06
|
78,4
|
79,3
|
|
Фондовооруженность,
труда руб./чел.
|
122140
|
101400
|
85300
|
-20740
|
-16100
|
83
|
84,1
|
|
Фондорентабельность,
%
|
-13,8
|
-15,9
|
-2,1
|
-2,1
|
13,8
|
-
|
-
|
На изменение уровня фондоотдачи оказывают
влияние ряд факторов, зависящих и не зависящих от предприятия.
Факторами первого уровня, влияющими на
фондоотдачу основных производственных фондов, являются:
изменение доли активной части фондов в общей их
сумме;
изменение фондоотдачи активной части фондов.
Преобразованная двухфакторная модель
представлена формулой [38]:

, руб./руб., (2.1)
где 
- удельный вес активной части ОПФ,
коэффициент;

- фондоотдача активной части
основных фондов, руб.
Фондоотдачу активной части ОПФ
рассчитываем по пятифакторной модели, показанной в формуле [38]:
|
 руб./руб.,(2.2)
|
|
где Д - количество дней, отработанное единицей
оборудования, дни;

- коэффициент сменности;
П - средняя продолжительность смены,
час.;
СВ - среднечасовая выработка единицы
оборудования;
Ц - среднегодовая стоимость единицы
оборудования, тыс. руб.
Расчет факторных влияний проводится
способом цепной подстановки.
Для расчета первого условного
показателя фондоотдачи надо вместо среднегодовой стоимости единицы оборудования
предыдущего года взять фактическую.




Разница между первым условным
показателем и фондоотдачей активной части базисного периода показывает
изменение уровня фондоотдачи в результате изменения структуры оборудования.
Исходя из расчетов, видно, что фондоотдача в 2014 году, в результате изменения
структуры оборудования, увеличилась на 12,5 руб., а в 2015 году произошел рост
фондоотдачи на 33,1 руб.
Второй условный показатель
показывает, какой была бы фондоотдача при фактической структуре оборудования и
фактическом количестве отработанных дней.




Разница между вторым и первым
условными показателями показывает изменение фондоотдачи за счет целодневных
простоев оборудования. Таким образом, в 2014 году фондоотдача увеличилась на
0,6 руб., а в 2015 году сократилась на 0,3 руб. Исходные данные для факторного
анализа МУП «Бабушкинская теплосеть» представлены в таблице 2.13.
Таблица 2.13 - Исходные данные для
факторного анализа фондоотдачи
|
Показатель
|
2013
г
|
2014
г
|
2015
г
|
Отклонение,
(+,-), 2014г. к 2013г.
|
Отклонение,
(+,-), 2015г. к 2014г.
|
|
Объем
производства товаров, тыс. руб.
|
19048
|
20542
|
22375
|
1494
|
1833
|
|
Среднегодовая
стоимость, тыс. руб.:
|
|
|
|
|
|
|
основных
средств, тыс. руб.
|
7084
|
6085
|
5118
|
-999
|
-967
|
|
активной
части (машин, оборудования), тыс. руб.
|
821,1
|
508,6
|
260,35
|
-312,5
|
-248,25
|
|
единицы
оборудования, тыс. руб.
|
17,9
|
11,6
|
6,35
|
-6,3
|
-5,05
|
|
Удельный
вес активной части, %
|
11,5
|
8,3
|
5
|
-3,2
|
-3,3
|
|
Фондоотдача
|
|
|
|
|
|
|
Основных
средств, руб./руб.
|
2,69
|
3,37
|
4,37
|
0,68
|
1
|
|
Активной
части, руб./руб.
|
23,2
|
40,4
|
85,9
|
17,2
|
45,5
|
|
Среднегодовое
количество оборудования, ед.:
|
|
|
|
|
|
|
действующего,
ед.
|
46
|
44
|
41
|
-2
|
-3
|
|
Фонд
времени работы оборудования всего, тыс. машино-час.
|
85,008
|
82,7
|
76,8
|
-2,3
|
-
5,9
|
|
время
работы единицы оборудования:
|
|
|
|
|
|
|
дней
|
231
|
235
|
234
|
4
|
-1
|
|
смен
|
245
|
250
|
249
|
4
|
-1
|
|
машино-часов
|
1848
|
1880
|
1872
|
32
|
-8
|
|
Коэффициент
сменности
|
1
|
1
|
1
|
0
|
0
|
|
Средняя
продолжительность смены, час.
|
8
|
8
|
8
|
0
|
0
|
|
Среднечасовая
выработка ед. оборудования, руб.
|
224,1
|
248,4
|
291,34
|
24,3
|
42,94
|
Третий условный показатель фондоотдачи
рассчитывается при фактической его структуре, фактическом количестве
отработанных дней, фактическом коэффициенте сменности и на уровне предыдущего
года остальных факторов.




Разница между третьим и вторым
условными показателями показывает изменение фондоотдачи за счет изменения
коэффициента сменности. Так как в обоих случаях получаем ноль, это говорит о
том, что фактор не оказал влияния.
При расчете четвертого условного
показателя фондоотдачи остается на уровне предыдущего года только уровень
среднечасовой выработки.




Разница между четвертым и третьим
условными показателями показывает снижение уровня фондоотдачи активной части
основных фондов за счет сокращения средней продолжительности смены.
Для изменения уровня фондоотдачи за
счет увеличения среднечасовой выработки необходимо рассчитать разницу между
фондоотдачей активной части отчетного периода и четвертым условным показателем.

4,1 руб.

Результаты расчета показывают, что
уровень фондоотдачи в 2014 году увеличился на 4,1 руб. за счет увеличения
среднечасовой выработки на 24,3 руб. В 2015 году, за счет увеличения
среднечасовой выработки на 42,94 руб., уровень фондоотдачи увеличился на 12,7
руб.
Общее влияние факторов на изменение
фондоотдачи активной части основных производственных фондов составило в 2014
году - 17,2 руб., а в 2015 году - 45,5 руб.
Для расчета влияния факторов на
изменение фондоотдачи основных производственных фондов, необходимо результат
влияния каждого фактора умножить на удельный вес активной части ОПФ.


Также необходимо рассчитать влияние
изменения удельного веса активной части основных производственных фондов по
формуле [38]:

, руб. (2.3)
где 
- изменение удельного веса активной
части основных производственных фондов.



Исходя из таблицы результатов,
видно, что производство теплоэнергии сократилось на 2687 тыс. руб. по причине
сокращения основных средств в отчетном году. Благодаря более высокой отдаче
активной части оборудования удалось привести объем производства к росту на 1483
тыс. руб. Это произошло в большей части за счет изменения структуры
оборудования на предприятии. Также влияние оказало повышение среднечасовой
выработки и уменьшение целодневных простоев на предприятии.
Таблица 2.14 - Результаты факторного
анализа фондоотдачи за 2014 год
|
Факторы
|
Изменение
фондоотдачи, руб.
|
Изменение
производства теплоэнергии, тыс. руб.
|
|
активной
части ОПФ
|
ОПФ
|
|
|
Первого
уровня:
|
|
|
|
|
Среднегодовая
стоимость ОПФ
|
-
|
-
|
-2687
|
|
Доля
активной части
|
-
|
-0,7424
|
-4517
|
|
Отдача
активной части фондов
|
-
|
1,4276
|
8687
|
|
Итого
|
-
|
0,68
|
1483
|
|
Второго
уровня:
|
|
|
|
|
Структура
оборудования
|
12,5
|
1,0375
|
6313
|
|
Целодневные
простои
|
0,6
|
0,0498
|
303
|
|
Коэффициент
сменности
|
0
|
0
|
0
|
|
Внутрисменные
простои
|
0
|
0
|
0
|
|
Среднечасовая
выработка
|
4,1
|
0,3403
|
2070
|
|
Итого
|
17,2
|
1,4276
|
8687
|
Результаты факторного анализа фондоотдачи на МУП
«Бабушкинская теплосеть» за 2015 год представлены в таблице 2.15.
Таблица 2.15 - Результаты факторного анализа
фондоотдачи за 2015 год
|
Факторы
|
Изменение
фондоотдачи, руб.
|
Изменение
производства теплоэнергии, тыс. руб.
|
|
активной
части ОПФ
|
ОПФ
|
|
|
Первого
уровня:
|
|
|
|
|
Среднегодовая
стоимость ОПФ
|
-
|
-
|
-3259
|
|
Доля
активной части
|
-
|
-1,3332
|
-6823
|
|
Отдача
активной части фондов
|
-
|
2,3332
|
11941
|
|
Итого
|
-
|
1
|
1860
|
|
Второго
уровня:
|
|
|
|
|
Структура
оборудования
|
33,1
|
1,655
|
8470
|
|
Целодневные
простои
|
-0,3
|
-0,015
|
-76
|
|
Коэффициент
сменности
|
0
|
0
|
0
|
|
Внутрисменные
простои
|
0
|
0
|
0
|
|
Среднечасовая
выработка
|
12,7
|
0,635
|
3249
|
|
Итого
|
45,5
|
2,3332
|
11941
|
Таким образом, в результате сокращения основных
средств в 2015 году, объем производства снизился на 3259 тыс. руб. Однако более
эффективное использование активной части ОПФ в отчетном году явилось следствием
получения 45,5 рублей продукции на каждый рубль стоимости активной части.
Основное негативное влияние на снижение эффективности использования основных
фондов, как в целом, так и активной их части, оказало сокращение доли активной
части. Также в результате увеличения целодневных простоев уменьшился уровень
фондоотдачи, а, следовательно, и объем выпущенной продукции.
Проведя организационно-экономическую
характеристику предприятия, можно сделать вывод, что основной вид деятельности
предприятия - производство тепловой энергии для теплоснабжения.
За анализируемый период с 2013 по 2015 годы
происходит уменьшение коэффициента оборачиваемости, что связано с увеличением
уровня оборотных средств МУП «Бабушкинская теплосеть», а рост длительности
одного оборота говорит об ухудшении использования оборотных средств. Также
наблюдается снижение трудоёмкости продукции. Происходит рост почти всех
элементов затрат. Наибольший удельный вес имеют расходы на оплату труда, вторым
по значимости видом затрат выступают материальные затраты. Динамика роста
себестоимости превышает рост выручки, что говорит об убыточности предприятия.
3. МЕРОПРИЯТИЯ ПО ПОВЫШЕНИЮ ЭКОНОМИЧЕСКОЙ
ЭФФЕКТИВНОСТИ РАБОТЫ МУП «БАБУШКИНСКАЯ ТЕПЛОСЕТЬ»
.1 Основные направления повышения экономической
эффективности работы МУП «Бабушкинская теплосеть» на основе модернизации
производства
Основа реформирования ЖКХ заключается во
внедрении комплекса мер, направленных на снижение издержек при производстве
услуг. Экономической основой осуществления этого процесса является энерго - и
ресурсосбережение.
Конечные цели энергосберегающей политики в ЖКХ -
сокращение затрат на содержание и эксплуатацию жилья, и, соответственно,
обеспечение экономических интересов населения при переходе отрасли ЖКХ на режим
безубыточного функционирования.
В целях повышения экономической эффективности
работы МУП «Бабушкинская теплосеть» целесообразна реализация следующих
мероприятий.
. Применение струйных подогревателей.
Все котельные МУП «Бабушкинская теплосеть» имеют
в своем составе только водогрейные и отопительные котлы. Это говорит о том, что
в тепловой схеме котельных предприятия имеются обычные водяные подогреватели
или бойлеры. В настоящее время многие организации устанавливают струйные
подогреватели, которые также выполняют и назначение сетевого насоса.
Данное устройство есть не что иное, как тепловая
машина. Особенностью является совершение перекачивания горячей воды без
применения дополнительных источников энергии, а именно электроэнергии на привод
сетевых насосов.
В настоящее время на рынке получили расположение
струйные подогреватели (ПВС) предприятия «Кварк». Как заявляет производитель,
основными достоинствами данного подогревателя являются:
компактность (занимают меньшую площадь);
отсутствие гидравлического сопротивления, что
приводит к экономии электроэнергии в пределах 20%;
безынерционность, что позволяет при
использовании их в системе отопления подавать потребителям горячую воду с
температурой, соответствующей данным погодным условиям;
практически бесшумная работа, без вибраций и
гидроударов.
Также достоинством струйных подогревателей ПВС
«КВАРК» необходимо отметить, равный практически 100% тепловой КПД.
Подогреватели ПВС устанавливаются как в закрытых, так и открытых системах
теплоснабжения.
На рисунке 3.1 приведена принципиальная схема
пароструйного подогревателя - ПВС-90-1.
Рисунок 3.1 - Принципиальная схема пароструйного
подогревателя - ПВС-90-1 [63]
Оценив достоинства данного оборудования и
разумную цену в 52000 рублей, выбор пал на эту марку.
Для начала возможна установка струйного
подогревателя в отопительную систему котельной «ЦРБ», расположенной по адресу:
с. им. Бабушкина, ул. Нижняя Надречная, 1.
Сравнительная оценка стоимости полной
эксплуатации подогревателя ПВС-90-1 и действующего бойлера ПП-1-53 представлена
в таблице 3.1.
Таблица 3.1 - Сравнительная оценка стоимости
эксплуатации подогревателя ПВС-90-1и бойлера ПП-1-53
|
Характеристика
|
ПВС-90-1
|
бойлер
ПП-1-53
|
|
Вес
оборудования, кг.
|
63
|
1560
|
|
Габариты
оборудования, мм.
|
1050
х 100
|
620
х 3920
|
|
Срок
службы, лет
|
30
|
15
|
|
Стоимость,
тыс. руб.
|
52
|
48
|
|
Приблизительная
стоимость с учетом строительно - монтажных работ, тыс. руб.
|
125
|
180
|
|
Потери
тепла на излучение с поверхности аппарата, тыс. руб.
|
-
|
350
|
|
Потери
электроэнергии, тыс. руб.
|
409,6
|
512
|
|
Итого
затраты на потерю тепла и электроэнергию за срок эксплуатации, тыс. руб.
|
409,6
|
862
|
Таким образом, сокращение потерь тепла и
расходов на электроэнергию в 2 раза, говорит об эффективности данного
мероприятия.
. Оснащение котельных предприятия
водоподготовительными установками (фильтрами) для предотвращения отложений
накипи внутри трубок котлов.
Водоподготовка котельных установок является
обязательным атрибутом в производстве теплоэнергии любой котельной и служит для
предотвращения формирования минеральных отложений, накапливающихся внутри
трубок водонагревательных котлов.
По мнению Г.И. Николаева [35], процесс
водоподготовки для паровых котлов представляет предварительную обработку воды
перед подачей в котельную. Очистка воды совершается с помощью многоступенчатых
блоков-фильтров. В процессе обработки воды для водогрейных котлов, встроенное
оборудование из жесткой рабочей среды, в процессе умягчения, преобразовывает ее
исходные свойства. В итоге умягчения и последующей очистки, из жесткой воды
удаляется основная часть загрязнителей.
В настоящее время МУП «Бабушкинская теплосеть»
использует только первичный этап умягчения и очистки жесткой воды. Он
заключается в применении обычного набора методов физической обработки, с
помощью средств механической фильтрации (фильтр для очистки воды от
механических примесей).
Внешний вид фильтра для очистки питательной воды
от механических примесей, применяемого в системе подачи воды в котельных МУП
«Бабушкинская теплосеть», представлен на рисунке 3.2.
Рисунок 3.2 - Внешний вид фильтра очистки
питательной воды от механических примесей
Принцип работы фильтров данного типа заключается
в пропуске загрязненной воды через фильтрующий элемент, задерживающий плотные
частицы.
По утверждению С.М. Чудновского [63], второй
этап процесса водоподготовки основан на проведении тонкой очистки воды, в
процессе которой происходит удаление оставшихся минеральных солей. При данном
принципе используются специальные мембранные технологии, которые обеспечивают
более тщательную очистку воды в котельных.
Мероприятие направлено на добавление второго
этапа процесса водоподготовки, путем использования фильтра обратного осмоса.
Внешний вид фильтра представлен на рисунке 3.3.
Благодаря данному фильтру осуществляется очистка
воды от следующих загрязнителей:
полное удаление всех растворимых солей;
удаление органических веществ и микроорганизмов;
удаление коллоидных частиц;
удаление любых механических загрязнений.
Рисунок 3.3 - Внешний вид фильтра обратного
осмоса
Главным достоинством системы обратного осмоса
является наибольшая эффективность очистки воды от веществ, способных принести
вред оборудованию.
Таким образом, использование фильтра обратного
осмоса, как второго этапа очистки воды, предотвратит оборудование от
загрязнений, а тем самым и отложений накипи внутри трубок котлов. При
отсутствии накипи оборудование сможет прослужить дольше, тем самым снизив
затраты связанные со стоимостью и целодневными простоями во время ремонта.
. Использование древесных отходов в качестве
топлива для котельных в виде древесных гранул пеллет.
Получение готовой продукции из древесины связано
с большими потерями, которые называются отходами. Обычно лесопильная установка
превращает около 60% древесины в доски, при этом 12% уходит в опилки,
6%-концевые обрезки и 22% - горбыль и обрезки кромок. С целью утилизации
древесных отходов, можно использовать их для получения тепловой энергии.
На территории Бабушкинского района в настоящее
время насчитывается 167 действующих предприятий по переработке древесины. На
лесозаготовках преобладают предприятия малого и среднего бизнеса. Кроме того,
также имеются лесозаготовительные структуры при лесхозах.
Среди большого количества проблем, с которыми
приходиться сталкиваться лесоперерабатывающим предприятиям Бабушкинского
района, есть проблема утилизации отходов собственного производства. Лишь
небольшая часть отходов уходит на лесные дороги и на личное пользование
населения. Большинство отходов вывозятся в карьеры для их утилизации.
Количество отходов деревоперерабатывающей
промышленности по Бабушкинскому району за 2013-2015 г.г. представлено в таблице
3.2.
Таблица 3.2 - Динамика отходов
деревоперерабатывающей промышленности Бабушкинского района за 2013-2015 годы
|
Показатели
|
2013
г.
|
2014
г.
|
2015
г.
|
Абсолютное
изменение, тыс. м3
|
Темп
роста, %
|
|
|
|
|
2014
г. к 2013 г.
|
2015
г. к 2013 г.
|
2014
г. к 2013 г.
|
2015
г. к 2013 г.
|
|
Произведено
деловой доски, тыс. м3
|
524,1
|
527,8
|
350,8
|
3,7
|
-173,3
|
100,7
|
66,9
|
|
Количество
отходов, тыс. м3
|
209,64
|
211,12
|
140,32
|
1,48
|
-69,32
|
100,7
|
66,9
|
Из таблицы 3.1 видно, что за 2015 год объем
отходов составил 140,32 тыс. м3. Плотность опилок и щепы равна примерно 300 кг/
м3, а это значит, что за 2015 год получается 42096 т отходов. Таким образом,
можно сделать вывод о том, что в Бабушкинском районе не используется имеющийся
потенциал по использованию отходов в качестве энергетического топлива.
Большинство отходов деревоперерабатывающих предприятий утилизируются в отвалы.
По нашему мнению, перспективным направлением на
сегодняшний день, является перевод коммунальной теплоэнергетики района не на
использование щепы и опилок, а на древесные топливные гранулы (пеллеты) -
продукт более глубокой переработки древесных отходов. В сущности, это гранулы,
которые производятся из натурального сырья. Данный материал также используется
в виде кормовой добавки для питания скота, в качестве удобрений, как
наполнитель и т. д. Пользователи ценят этот материал за экологичность,
безотходность и легкость в транспортировке и использовании. В плане отдачи
тепловой энергии при сжигании в теплогенераторах - котлах также отмечается
высокая энергоэффетивность топливных гранул.
Сравнение средних значений теплотворной
способности различных видов топлива, применяемого для производства тепловой
энергии в теплогенераторах, приведено в таблице 3.2.
Таблица 3.2 - Средние значения теплотворной
способности различных видов топлива [50]
|
Вид
топлива
|
Теплотворная
способность топлива
|
|
Природный
газ, ккал/ м3
|
8500
|
|
Мазут,
ккал/кг
|
9300
|
|
Каменный
уголь, ккал/кг
|
4800
|
|
Кокс,
ккал/кг
|
5200
|
|
Дрова,
ккал/кг
|
2500
|
|
Древесные
гранулы (пеллеты), ккал/кг
|
4400
|
Из данных таблицы 3.2 видно, что различные виды
топлива обладают своей теплотворной способностью. Самую высокую теплотворную
способность имеют мазут и природный газ. Тепловая способность интересующих нас
пеллет выше, чем у дров примерно в 1,76 раз. Значит и расход пеллет будет ниже,
а так как пеллеты производятся из отходов, то себестоимость на данный вид
топлива будет невелика.
Таким образом, исходя из количества древесных
отходов, образующихся ежегодно на территории Бабушкинского района, мероприятие
по организации производства пеллет может быть реализовано. Расчет
технико-экономической эффективности от внедрения данного мероприятия подробно
представлен в параграфе 3.2 главы 3.
.2 Расчет технико-экономической эффективности
внедрения мероприятия по использованию древесных отходов в качестве топлива для
котельных в виде древесных гранул (пеллет)
Мероприятие заключается в организации
производства древесных гранул пеллет и использовании их в качестве топлива в
трех котельных МУП «Бабушкинская теплосеть». В качестве критерия выбора
котельных является ближайшее местоположение. Таким образом, выбор был сделан на
«Центральную», ко-тельную «ЦРБ» и котельную «Бабушкинская школа».
На рисунке 3.5 представлен внешний вид котельной
«Центр».
Рисунок 3.5 - Внешний вид котельной «Центр»
Центральная котельная МУП «Бабушкинская
теплосеть» располагается по адресу: с. им. Бабушкина, ул. Садовая, д. 12.
На рисунке 3.6 представлен внешний вид котельной
«ЦРБ».
Рисунок 3.6 - Внешний вид котельной «ЦРБ» (с
фасада)
Котельная «ЦРБ» располагается по адресу: с. им.
Бабушкина, ул. Нижняя Надречная, д. 1.
Рисунок 3.7 демонстрирует внешний вид котельной
«Бабушкинская теплосеть»
Рисунок 3.7 - Внешний вид котельной
«Бабушкинская школа» (с фасада)
Котельная «Бабушкинская школа» располагается по
адресу: с. им. Бабушкина, ул. Мира, д. 28.
Далее необходимо рассмотреть оборудование,
используемое в вышеперечисленных котельных.
Внешний вид оборудования, установленного и
используемого в котельной «Центр», изображен на рисунке 3.8.

Рисунок 3.8 - Внешний вид оборудования,
эксплуатируемого в котельной «Центр»
В центральной котельной МУП «Бабушкинская
теплосеть» используются 2 котла марки КВР-1.0-115 и насосы Д-200/90.
В котельной «Бабушкинская школа» используются
котлы марки КВР-1-95 и КВ-ТС-УН, а также сетевые насосы ВК 4/24 (рисунок 3.9).
Рисунок 3.9 - Внешний вид котлов КВ-ТС-2УН и
насосного оборудования, расположенных в котельной «Бабушкинская школа»
На рисунке 3.10 представлено оборудование,
используемое в котельной «ЦРБ»
Рисунок 3.10 - Внешний котлов КВр 1,0 и
КВ-ТС-УН, а также насосного оборудования, эксплуатируемого в котельной «ЦРБ»
Далее рассмотрим технологию и существующее
оборудование топочных устройств в котельных МУП «Бабушкинская теплосеть».
По мнению А.В. Дегтяренко [16], котельная
установка является комплексом устройств, которые находятся в специально
оборудованных помещениях и предназначены для отопления зданий. Достигается это
путем преобразования химической энергии топлива в тепловую энергию пара или
горячей воды.
Все котлы МУП «Бабушкинская теплосеть» для
нагрева воды имеют простую колосниковую решетку, на которую забрасывается
вручную топливо в виде дров. Дымовые газы, выделяющиеся при сгорании топлива,
по газоходу проходят через золоуловитель в дымосос и выбрасываются в атмосферу
через дымовую трубу. А.В. Губарев [15] считает, что золоуловители предназначены
для очистки газов от золы и мелких частиц несгоревшего топлива, которые по
трубопроводу ссыпаются в канаву для шлакозолоудаления. С помощью скрепера зола
вывозится из котельной. Дымосос, устанавливается обычно при наличии
золоуловителей, с целью создания дополнительной тяги в котлах и уменьшения
высоты дымовой трубы. Для подачи в топку котла необходимого для горения воздуха
устанавливается дутьевой вентилятор, который забирает теплый воздух из верхней
зоны помещения котельной.
Таким образом, в котлах предприятия можно
использовать пеллеты в качестве топлива. Для этого необходимо провести
небольшую модернизацию топок эксплуатируемых котлов путем замены колосника и
оборудования котлов с их фронта расходным бункером для пеллет. Делается это для
того, чтобы гранулы не проваливались в золоуловитель.
В котельных «Центр», «ЦРБ» и «Бабушкинская
школа» используется 9 котлов. Стоимость одного колосника размером 460х255 мм и
зазорами в 50 мм составляет 1115 рублей. Таким образом, на модернизацию
колосниковых устройств котлов предприятию потребуется 10035 рублей.
Рассмотрим общее описание технологии, принцип
которой применяется для производства гранул из различных сыпучих материалов.
По А.О. Сафонову [49], производство пеллет
осуществляется с помощью специального оборудования - гранулятора, принцип
работы которого напоминает процессы в механической мясорубке. Сырье поступает в
распределительный блок для окончательного измельчения и формирования гранул.
Для осуществления данного процесса, конструкция содержит матрицу барабанной
формы. На ее торцах расположены отверстия определенного диаметра. Через них
происходит выдавливание материала под воздействием внутреннего давления. Для
этого в конструкции есть система барабанов с ребристой поверхностью. Они
закрепляются на вращающемся валу. Полная конструкция гранулятора представлена
на рисунке 3.11.
Рисунок 3.11 - Конструкция гранулятора [50]
Этапы работы гранулятора:
засыпка материала в подающий раструб;
включение установки и наполнение барабана
матрицы;
создание давления внутри рабочего блока. Это
происходит с помощью вращающейся системы валов;
выдавливание смеси через отверстия,
расположенных на торце барабана и формирование гранул.
Для того, чтобы получить качественную продукцию
необходимо правильно подготовить сырье. В качестве дополнительного оборудования
нам понадобится: щепорез и сушилка для сырья. Данное оборудование решено
закупить одной фирмы «Станкомашторг».
Представим технические характеристики щепореза в
таблице 3.2 [37].
Таблица 3.2 - Технические характеристики
щепореза линии производства пеллет
|
Характеристика
|
Значение
характеристики
|
|
Модель
|
D-500
|
|
Производительность
т/час
|
2
|
|
Высота,
с учетом накопителя, мм
|
1300
|
|
Габаритные
размеры, мм
|
1200х800
|
|
Мощность,
кВт
|
5
|
|
Режущий
диск, мм
|
500
|
|
Вес
с мотором, кг
|
650
|
|
Размер
отверстия приемного бункера, мм
|
200х250
|
|
Цена,
руб.
|
100000
|
Данное оборудование было выбрано благодаря
следующим преимуществам:
привод от электродвигателя;
небольшие габариты и масса;
простое техническое обслуживание;
лучшее соотношение цены и качества.
Внешний вид щепореза D-500 представлен на
рисунке 3.12.
Рисунок 3.12 - Щепорез линии по производству
пеллет [37]
Перед производством пеллет, полученную щепу
необходимо высушить с помощью барабанной сушилки. Из представленного компанией
«Станкомашторг» оборудования, необходимо выбрать сушилку производительностью
примерно в 1,5 т/час. Данным требованиям соответствует барабанная сушилка С-10.
Приведем технические характеристики сушилки в
таблице 3.3 [37].
Таблица 3.3 - Технические характеристики
барабанной сушилки С-10
|
Модель
|
С-10
|
|
Производительность,
т/час
|
1,5
|
|
Длина
барабана, мм
|
4500
|
|
Диаметр
барабана, мм
|
1300
|
|
Толщина
стали, мм
|
4
|
|
Мощность,
кВт
|
5
|
|
Цена,
руб.
|
600000
|
Выбор данной сушилки был сделан благодаря
следующим преимуществам:
надежность и экономичность;
разборная конструкция;
доступная цена;
гарантийное и послегарантийное обслуживание.
Внешний вид сушилки представлен на рисунке 3.
13.
Рисунок 3.13 - Внешний вид барабанной сушилки
С-10 [37]
Исходя из того, что необходимо производить не
менее 750 кг пеллет в час, было решено приобрести гранулятор с
производительностью в 1000 кг/час.
Представим технические характеристики
гранулятора ОГМ-1,0 в таблице 3.4 [37].
Таблица 3.4 - Технические характеристики
гранулятора
|
Модель
|
ОГМ-1,0
|
|
Производительность
т/час
|
1
|
|
Высота,
мм
|
2100
|
|
Габаритные
размеры, мм
|
2250х1100
|
|
Мощность,
кВт
|
15
|
|
Вес,
кг
|
1800
|
|
Цена,
руб.
|
760000
|
Гранулятор ОГМ-1,0 имеет следующие преимущества:
высокий эксплуатационный ресурс узлов
гранулятора;
выгодная цена;
соответствие готовых пеллет требованиям
европейских стандартов качества.
Внешний вид выбранного гранулятора представлен
на рисунке 3.13.
Рисунок 3.13 - Внешний вид гранулятора ОГМ-1,0
[37]
После приобретения, оборудование необходимо
установить в деревянную конструкцию, которая сейчас используется, как склад для
дров. Средняя стоимость затрат на покупку и установку - монтаж линии по
производству пеллет представлена в таблице 3.5 [ 37].
Таблица 3.5 - Средняя стоимость затрат на
покупку и установку линии по производству гранул пеллет
|
Наименование
показателей
|
Средняя
стоимость затрат, тыс. руб.
|
|
Модернизация
котлов
|
10
|
|
Монтаж
|
40
|
100
|
|
барабанная
сушилка С-10
|
600
|
|
гранулятор
ОГМ-1,0
|
760
|
|
Итого
|
1510
|
Таким образом, на покупку и установку оборудования
для производства пеллет необходимы затраты в сумме 1510 тыс. руб. Предприятие
является убыточным, поэтому не имеет таких средств. Выходом может послужить
участие в пилотном проекте. Внедрение любых нововведений связано со
значительным риском. Пилотный проект - это способ, позволяющий оценить как
риски, так и перспективы перед началом преобразований. Так как предприятие
является муниципальным и направлено на отопление жилых домов, школ, детских
садов, то средства на проект выделяются через муниципалитет Бабушкинского
района. Необходимым условием также является наличие единой теплоснабжающей
организации и выработка основного тепла на территории района. МУП «Бабушкинская
теплосеть» является единственной организацией в Бабушкинском районе по производству
тепла, значит денежные средства в размере 1510 тыс. руб. будут выделены из
бюджета Бабушкинского муниципального района.
Перед производством необходимо узнать
приблизительное количество гранул пеллет по объему для выпуска теплоэнергии
котельными «Центр», «ЦРБ» и «Бабушкинская школа» на уровне прошлого года.
Количество выпущенной тепловой энергии и расход дров за 2013-2015 гг.
представлены в таблице 3.3.
При реализации мероприятия администрацией района
и предприятия решено испробовать новое топливо на трех котельных:
«Центральной», котельной «ЦРБ» и котельной «Бабушкинская школа». Выбор связан с
ближайшим местом положения, что облегчит доставку топлива, в виде древесных
гранул пеллет.
Таблица 3.3 - Расходы на топливо МУП
«Бабушкинская теплосеть» за 2013-2015 годы
|
Показатели
|
2013
г.
|
2014
г.
|
2015
г.
|
Абсолютное
изменение, тыс. м3
|
Темп
роста, %
|
|
|
|
|
2014г.
к 2013 г.
|
2015г.
к 2013 г.
|
2014
г. к 2013 г.
|
2015
г. к 2013 г.
|
|
Количество
отпу-щенной тепловой энергии, Гкал.
|
7869
|
8062
|
8540
|
193
|
671
|
102,5
|
108,5
|
|
Количество
отпу-щенной тепловой энергии котель-ными «Центр», «ЦРБ» и «БСОШ» Гкал.
|
3027
|
3100
|
3285
|
73
|
258
|
102,5
|
108,5
|
|
Стоимость
топлива всего, тыс. руб.
|
3373,6
|
3509,6
|
3733,5
|
136
|
359,9
|
104
|
110,7
|
|
Объем
всего, тыс. м3
|
10,8
|
11,1
|
11,5
|
0,3
|
0,7
|
102,8
|
106,5
|
|
Котельная
«Центр», тыс. м3
|
1,35
|
1,37
|
1,43
|
0,02
|
0,08
|
101,5
|
105,9
|
|
Котельная
«ЦРБ», тыс. м3
|
1,99
|
2,04
|
2,11
|
0,05
|
0,12
|
102,5
|
106
|
|
Котельная
«Бабуш-кинская школа», тыс. м3
|
0,79
|
0,8
|
0,83
|
0,01
|
0,04
|
101,3
|
103,8
|
|
Итого
по трем котельным, тыс. м3
|
4,13
|
4,21
|
4,37
|
0,08
|
0,24
|
101,9
|
105,8
|
|
Стоимость
топлива, расходуемого тремя котельными, тыс. руб.
|
1690
|
1778,3
|
1901,9
|
66,9
|
205,5
|
105,2
|
116
|
Из таблицы 3.2 видно, что годовой объем
древесины, затрачиваемой на топливо в котельных, растет и равен 11,5 тыс. м3.
Приблизительная плотность древесины равна 500
кг/ м3. Это значит, что за год все котельные МУП «Бабушкинская теплосеть»
используют примерно 6750 тонн дров на отопление, а выбранные котельные - 2186
т.
Необходимо отметить, что от 1 т использованных
пеллет выделяется столько же тепловой энергии, как при сгорании 1,6 тонны дров.
Отсюда следует, что на отопление котельным «Центр», «ЦРБ» и «Бабушкинская
школа» понадобится примерно 1366 т пеллет.
Для производства потребуется сырье в виде
древесных отходов. Отходы с пилорам увозятся в карьеры, поэтому целесообразно
будет заключить договоры с предпринимателями о доставке отходов на территорию
производства. Данное предложение должно их в принципе заинтересовать, так как
карьеры находятся на расстоянии приблизительно в 10 - 15 км от сельского поселения,
а предлагаемая линия по производству пеллет на расстоянии в 3 км. Для
производства 1 т гранул пеллет требуется в среднем 5 м3 или 1,5 т отходов,
значит, за год потребуется 2049 т отходов. В телегу трактора помещается 3 т
опилок и щепы, таким образом, нам понадобится примерно 683 телеги отходов на
производство пеллет за год или 4 телеги, при дневном производстве пеллет - 8 т.
Далее рассчитаем расходы на амортизацию
оборудования. Срок службы линии составляет 10 лет, значит, норма амортизации
берется 10%. Таким образом, амортизационные отчисления составят:
Расходы на электроэнергию рассчитываем по
формуле []:
|
|
(3.1)
|
где W - расход электроэнергии в кВтч;- мощность,
оборудования в кВт;- время работы оборудования в день в часах;- количество
суток работы оборудования.
Стоимость 1 кВт электроэнергии в Вологодской
области равняется около 3,5 руб./кВт·ч, значит затраты на электроэнергию для
работы оборудования будут составлять 161700 руб.
Работа такой линии не требует привлечение
большого количества рабочих, достаточно будет двух человек. Средняя зарплата
одного рабочего составит 14 тыс. руб. Отчисления на социальные нужды
рассчитываются по упрощенной системе и составляют 20% от заработной платы.
Расчет затрат на оплату труда работников линии
по производству пеллет в МУП «Бабушкинская теплосеть» представлен в таблице
3.6.
Таблица 3.6 -Затраты на оплату труда работников
|
Показатели
|
Значения
|
|
Затраты
на оплату труда работников, тыс.руб.
|
224
|
|
Среднемесячная
зарплата 1 работника, руб.
|
14000
|
|
Среднегодовая
зарплата 1 работника, тыс. руб.
|
112
|
|
Отчисления
на социальные нужды, тыс. руб.
|
44,8
|
|
Необходимое
количество работников для производства пеллет, чел
|
2
|
По проведенным расчетам можно сделать вывод, что
дополнительные затраты на оплату труда двух работников составят 268,8 тыс. руб.
в год.
Далее рассмотрим затраты на новое топливо, в
виде пеллет, расчет которых показан в таблице 3.7.
Таблица 3.7 - Затраты на производство гранул
пеллет
|
Статьи
затрат
|
Значения
|
|
Материальные
затраты, тыс. руб.
|
161,7
|
|
Расходы
на оплату труда, тыс. руб.
|
224
|
|
Расходы
на социальные нужды, тыс. руб.
|
44,8
|
|
Расходы
на амортизацию, тыс. руб.
|
151
|
|
Прочие
расходы, тыс. руб.
|
11
|
|
Итого
затрат
|
592,5
|
Из таблицы 3.7 следует, что расходы на новое
топливо, внедряемое в три котельные, составят 592500 рублей в год. Сейчас
предприятие на дрова для котельных «Центр», «ЦРБ» и «Бабушкинская школа»
расходует 1901900 рублей. Значит годовая экономия затрат на топливо МУП
«Бабушкинская теплосеть» составит 1309400 рублей.
Рассчитаем срок окупаемости вложенных средств по
формуле [6]:
|
 г.,(3.2)
|
|
где 
- срок окупаемости капитальных
вложений, г.; - вложенные средства, тыс.руб.;

- годовой прирост прибыли, тыс.
руб.

1,2 года » 1 год 3 месяца
Рассмотрим, как изменятся основные
показатели производственно-хозяйственной деятельности МУП «Бабушкинская
теплосеть» после модернизации производственного процесса, путем внедрения
мероприятия по производству гранул пеллет. Данные для сравнения приведены в
таблице 3.8.
Таблица 3.8 - Экономическая
эффективность МУП «Бабушкинская теплосеть» до и после внедрения мероприятия по
переводу котлов на использование пеллет
|
Показатель
|
До
внедрения
|
После
внедрения
|
Отклонения
|
|
|
|
Абс.,
+/-
|
Отн.,
%
|
|
Количество
отпущенной теплоэнергии, Гкал.
|
8540
|
8540
|
0
|
100
|
|
Выручка
от реализации теплоэнергии, тыс.руб.
|
22375
|
22375
|
0
|
100
|
|
Стоимость
1 Гкал. теплоэнергии
|
2620
|
2620
|
0
|
100
|
|
Себестоимость,
тыс.руб.
|
23586
|
22276,6
|
-1309,4
|
94,5
|
|
Среднесписочная
численность персонала, чел.
|
60
|
62
|
2
|
103,3
|
|
Затраты
на оплату труда, тыс. руб.
|
10016,1
|
10284,9
|
268,8
|
102,7
|
|
Среднегодовая
стоимость ОФ, тыс. руб.
|
5118
|
5873
|
755
|
114,8
|
|
Фондоотдача,
руб./руб.
|
4,37
|
3,8
|
-0,57
|
87
|
|
Фондоемкость,
руб./руб.
|
0,23
|
0,26
|
0,03
|
113
|
|
Фондорентабельность,
%
|
-2,1
|
20,4
|
22,5
|
-
|
|
Прибыль
от реализации, тыс.руб.
|
-1210
|
98,4
|
1309,4
|
-
|
|
Балансовая
прибыль, тыс. руб.
|
-109
|
1200,4
|
1309,4
|
-
|
|
Чистая
прибыль (убыток), тыс.руб.
|
-109
|
1200,4
|
1309,4
|
-
|
|
Рентабельность
производства, %
|
-0,7
|
7,4
|
8,1
|
-
|
|
Рентабельность
продаж,%
|
-0,5
|
5,4
|
5,9
|
-
|
Исходя, из расчетов таблицы 3.8 следует, что
после внедрения мероприятия, при таком же количестве отпущенной теплоэнергии
(8540 Гкал), себестоимость сократится на 1309,4 тыс. руб. Прибыль от реализации
возрастет на 1308,4 тыс. руб. и составит 98,4 тыс. руб. После закупки
оборудования, стоимость основных фондов составит 6477 тыс. руб. Показатель
фондоотдачи снизится на 0,92 рубля, а фондоемкость повысится на 0,06 рублей,
так как закупленное оборудование не участвует в непосредственном производстве
тепловой энергии. Чистая прибыль предприятия составит 1200,4 тыс. руб.
Рентабельность производства составит 0,6%, а рентабельность продаж - 0,44%.
Таким образом, мероприятие по использованию
древесных отходов в качестве топлива для трех котельных МУП «Бабушкинская
теплосеть», в виде древесных гранул пеллет можно считать эффективным.
ЗАКЛЮЧЕНИЕ
коммунальный производственный котел
пеллеты
На основании проведенного исследования выпускной
квалификационной работы, можно сделать следующие выводы.
Эффективность производства - это одно из
наиболее общих и обобщающих понятий экономики - сложная социально-экономическая
категория воспроизводства, отражающая процесс развития производительных сил в
тесном контакте с производственными отношениями. К основным показателям
экономической эффективности производства относятся: удельные капитальные
вложения, себестоимость продукции, производительность труда, срок окупаемости
капитальных вложений.
Под эффективным управлением ЖКХ следует понимать
рациональное использование управленческого ресурса и организацию успешного
управления объектами жилищно-коммунального хозяйства. Социально значимые
результаты жилищно-коммунальных услуг включают в себя удовлетворение
физических, духовных и экологических потребностей общества. Эффективность
управления ЖКХ не всегда связана с достижением получения максимальной прибыли.
Эффективным считается такое управление, при котором достигаются цели
организации.
На сегодняшний день предприятия ЖКХ находятся в
затруднительном финансовом положении. Поэтому финансирование, направленное на
модернизацию из собственных средств, осложнено. Многие предприятия ЖКХ, с
трудом ведут рентабельное функционирование. Основные пути повышения
эффективности производства в ЖКХ, включают в себя: снижение трудоемкости и
повышение производительности труда, снижение материалоемкости продукции и
рациональное использование ресурсов, снижение фондоемкости продукции и
активизация инвестиционной деятельности предприятий.
Основной вид деятельности предприятия -
производство тепловой энергии для теплоснабжения. Учредителем предприятия
является Бабушкинский муниципальный район. Уставной капитал предприятия
составляет 100000 рублей. В управлении МУП «Бабушкинская теплосеть» применяется
линейно - функциональная организационная структура, потому что используется
линейное и функциональное воздействие.
За анализируемый период происходит уменьшение
коэффициента оборачиваемости, что связано с увеличением уровня оборотных
средств МУП «Бабушкинская теплосеть», а рост длительности одного оборота
говорит об ухудшении использования оборотных средств. Также наблюдается
снижение трудоёмкости продукции. Происходит рост почти всех элементов затрат.
Наибольший удельный вес имеют расходы на оплату труда, вторым по значимости
видом затрат выступают материальные затраты. Динамика роста себестоимости
превышает рост выручки, что говорит об убыточности предприятия.
В рассматриваемом периоде наблюдается повышение
фондоотдачи и снижение фондоёмкости оказанных услуг. Фондоотдача показывает,
сколько произведено продукции на 1 руб. стоимости основных фондов. Так в 2015
г. по сравнению с 2013 г. наблюдается повышение фондоотдачи в 1,5 раза. Это
произошло в результате увеличения стоимости товарной продукции. Фондоёмкость
наоборот имеет тенденцию к снижению, в 2015 г. по сравнению с 2013 г. данный
показатель уменьшился на 0,14 руб.
После внедрения мероприятия, при таком же
количестве отпущенной теплоэнергии (8540 Гкал), себестоимость сократится на
1309,4 тыс. руб. Прибыль от реализации возрастет на 1308,4 тыс. руб. и составит
98,4 тыс. руб. После закупки оборудования, стоимость основных фондов составит
6477 тыс. руб. Показатель фондоотдачи снизится на 0,92 рубля, а фондоемкость
повысится на 0,06 рублей, так как закупленное оборудование не участвует в
непосредственном производстве тепловой энергии. Также из-за увеличения
среднесписочной численности персонала на 2 человека, затраты на оплату труда,
повысятся на 268,8 тыс. руб. Чистая прибыль предприятия составит 1200,4 тыс.
руб. Рентабельность производства составит 0,6%, а рентабельность продаж -
0,44%. Таким образом, мероприятие по использованию древесных отходов в качестве
топлива для трех котельных МУП «Бабушкинская теплосеть», в виде древесных
гранул пеллет можно считать эффективным.
СПИСОК ИСПОЛЬЗОВАННЫХ ИСТОЧНИКОВ
Абрютина,
М. С. Экономический анализ хозяйственной деятельности / М. С. Абрютина. -
Москва: Дело и Сервис, 2010. - 512 с.
Алиева,
Ж. М. Особенности управления жилищно-коммунальным хозяйством / Ж. М. Алиева //
Проблемы и перспективы повышения конкурентоспособности национальной экономики.
- 2013. - № 1 - С. 205-207.
Алиева,
Ж. М. Эффективность управления жилищным фондом / Ж. М. Алиева // Актуальные
проблемы социально-экономического развития России. - 2013. - №3 - С. 229-232.
Банк,
В. Р. Финансовый анализ: учеб. пособие / В. Р. Банк, С. В.Банк. - Москва:
Проспект, 2014. - 158 с.
Басовский,
Л. Е. Комплексный экономический анализ хозяйственной деятельности: учебник для
вузов / Л. Е. Басовский, Е. Н. Басовская. - Москва: ИНФРА-М, 2015. - 366 с.
Безрукова,
Т. Л. Классификация показателей оценки эффективности экономической деятельности
промышленного предприятия / Т. Л. Безрукова, И. И. Шанин // Общество: политика,
экономика, право. - 2012. - № 1. - С. 73-80.
Белоцерковский,
Е. Я. Выбор стратегии ценообразования / Е. Я. Белоцерковский, В. Е.
Белоцерковская // Руководитель строительной организации. - 2013. - № 1. - С.
15-25.
Бочаров,
В. В. Финансовый анализ: учебник для вузов / В. В. Бочаров. - Санкт-Петербург:
Питер, 2013. - 240 с.
Булатова,
А. И. Актуальные проблемы и анализ отношения населения к сфере
жилищно-коммунального хозяйства России / А. И. Булатова // Вестник УГАЭС. -
2014. - № 1. - С. 89-93.
Вахрушина,
М. А. Комплексный экономический анализ хозяйственной деятельности: учеб.
пособие / М. А. Вахрушина. - Москва: Вузовский учебник, 2012. - 463 с.
Волков,
О. И. Экономика предприятия: учеб. пособие / О.И. Волков, В.К. Скляренко. -
Москва: ИНФРА-М, 2013.-264 c.
Волынский,
В. Н. Технология клееных материалов: учеб. пособие /В. Н. Волынский. -
Санкт-Петербург: Профи, 2009. - 392 с
Гарифуллина,
А. А. Различные подходы к определению понятий: основные средства, их оценка и
амортизация / А. А. Гарифуллина // Молодой ученый. - 2014. - № 7. - С. 324-327.
Грищенко,
Г. В. Внутрихозяйственные резервы повышения эффективности производства //
Экономика и управление в ЖКХ. - 2012. - №6. - С. 49-63.
Губарев,
А. В. Теплогенерирующие установки. Часть 1: учеб. пособие / А. В. Губарев, Ю.
В. Васильченко. - Белгород: БГТУ им. В.Г. Шухова, 2008. - 162 с.
Дегтяренко,
А.В. Теплоснабжение: учеб. пособие / А.В. Дегтяренко. - Томск: ТГСУ, 2010. -185
с.
Дронов,
А. А. О новых мерах обновления жилищно-коммунального хозяйства в соответствии с
федеральным законом «О фонде содействия реформированию жилищно-коммунального
хозяйства» // Вопросы местного самоуправления. - 2009. - № 3. - С. 128-131.
Дыбаль,
С. В. Финансовый анализ: учеб. пособие / С. В Дыбаль. - Москва: Бизнес-пресса,
2012. - 264 с.
Ефимова,
О.В. Финансовый анализ: учеб. пособие / О.В.Ефимова. - Москва: Бухгалтерский
учет, 2012. - 528 с.
Зимин,
А.Ф. Экономика предприятия: учеб. пособие / А.Ф. Зимин, В.М. Тимирьянова. -
Москва: ИНФРА-М, 2012. - 288 c.
Канке,
А. А. Анализ финансово-хозяйственной деятельности предприятия: учеб. пособие /
А. А. Канке, И.П. Кошевая. - Москва: ИНФРА-М, 2014. - 288 с.
Кантор,
Е. Л. Экономика предприятия: учеб. пособие / Е. Л. Кантор. - Санкт-Петербург:
Питер, 2009. - 352 с.
Каспин,
В. И. Планирование развития жилищно-коммунального хозяйства: учебник для вузов
/ В. И. Каспин. - Москва: Стройиздат, 2009. - 224 с.
Ковалев,
В.В. Финансовый анализ / В.В. Ковалев. - Москва: Финансы и статистика, 2012. -
510 с.
Кондратьева,
М. Н. Организация и управление жилищно-коммунальным хозяйством: учеб. пособие /
М. Н. Кондратьева. - Ульяновск: УлГТУ, 2009. - 160 с.
Кондратьева,
М. Н. Экономика и организация производства: учеб. пособие / М. Н. Кондратьева,
Е. В. Баландина. - Ульяновск: УлГТУ, 2013. - 98 с.
Корнеева,
Н. В. Приоритетные направления решения проблем ресурсосбережения в сфере ЖКХ
Республики Мордовия / Н. В. Корнеева, И. Н. Гераськина // Экономика и
управление. - 2013. - № 9. - С. 16-24.
Костенко,
А. Р. Рынок биотоплива в России и экологические требования к производству
биотоплива / А. Р. Костенко // Устойчивое лесопользование. - 2012. - № 2. - С.
38-41.
Кульков,
С. Е. Эффективные современные методы управления затратами и финансовыми
результатами организации / С. Е. Кульков // Консультант директора. - 2015. -
№17. - С. 51-57.
Левкович,
О. Р. Амортизация основных средств / О. Р. Левкович, И. В. Бурцева // Финансы,
учет и аудит. - 2013. - № 5. - С. 45-50.
Любушин,
Н. П. Комплексный экономический анализ хозяйственной деятельности: учеб.
пособие / Н. П. Любушин. - Москва: ЮНИТИ-ДАНА, 2014. - 448 с.
Маркарьян,
Э. А. Финансовый анализ: учеб. пособие / Э. А. Маркарьян. - Москва: ФБК-ПРЕСС,
2013. - 267 с.
Медведева,
С. А. Основы технической подготовки производства: учеб. пособие / С. А.
Медведева. - Санкт-Петербург: СПбГУ ИТМО, 2010. - 69 с.
Муромцев,
Д. Ю. Экономическая эффективность и конкурентоспособность: учеб. пособие / Д.
Ю. Муромцев, Ю. Л. Муромцев. - Тамбов: ТГТУ, 2007. - 96 с.
Муслина,
Г. Р. Методы оценки экономической эффективности новой техники и технологий:
учеб. пособие / Г. Р. Муслина, Ю. М. Правиков. − Ульяновск: УлГТУ, 2017. −
101 с.
Николаев,
Г. И. Баромембранные процессы и аппараты: учеб. пособие / Г. И. Николаев. -
Улан-Уде: ВСГТУ, 2007. - 66 с.
Николаева,
Е. И. Экономическое содержание категорий «инновация» и «модернизация» в ЖКХ /
Е. И. Николаева // Экономика и управление: новые вызовы и перспективы. - 2013.
- № 5. - С. 109-112.
Пеллетный
рынок России [электронный ресурс]: офиц. сайт. - Режим доступа: http://www.infobio.ru.
Плотникова,
И. А. Анализ и диагностика финансово-хозяйственной деятельности предприятия /
И. А. Плотникова, О. Г. Моронова. - Вологда: ВоГТУ, 2006. - 111 с.
Прыкина,
Л. В. Экономический анализ предприятия: учеб. пособие / Л. В. Прыкина. - Москва:
ЮНИТИ-ДАНА, 2012. - 407 с.
Пястолов,
С. М. Экономический анализ деятельности предприятия: учеб. пособие / С. М.
Пястолов. - Москва: Академический проект, 2011. - 573 с.
Раицкий,
К. А. Экономика предприятия: учеб. пособие / К. А. Раицкий. - Москва: Маркетинг,
2011. - 387 с.
Райзберг,
Б. А. Современный экономический словарь: учеб. пособие / Б. А. Райзберг, Л. Ш.
Лазовский. - Москва: ИНФРА-М, 2012. - 569 с.
Раяк,
М. Б. Развитие зарубежных и отечественных систем отопления и вентиляции
гражданских и производственных зданий: учеб. пособие / М. Б. Раяк. - Москва:
Новости теплоснабжения, 2007. - 184 с.
Румянцева,
Е. Е. Финансы организаций: финансовые технологии управления предприятием / Е.
Е. Румянцева. - Москва: ИНФРА-М, 2014. - 459 с.
Рыбаков,
Ф. Ф. Основные фонды промышленности и пути улучшения их использования / Ф. Ф.
Рыбаков // Инновации. - 2012. - № 1 - С. 49-52.
Савин,
К. Н. Ресурсосбережение в жилищно-коммунальном хозяйстве / К. Н. Савин //
Механизация строительства. - 2011. - № 7. - С. 31-32.
Савицкая,
Г. В. Анализ хозяйственной деятельности предприятия / Г. В. Савицкая. - Москва:
ИНФРА-М, 2012. - 425 с.
Сазонов,
В. Г. Повышение эффективности воспроизводства основных фондов насущная задача
модернизации национальной экономики / В. Г. Сазонов, Ю. В. Разумова // Вестник
ТГЭУ. - 2012. - № 2. - С. 53-62.
Самылина,
В. Г. Целесообразность использования отходов деревообработки для производства
тепловой энергии / В. Г. Самылина, Е. Б. Гительман // Экология промышленного
производства. - 2013. - №1. - С. 57-60.
Сафонов,
А. О. Автоматизация управления прессом-гранулятором для производства пеллет из
древесных отходов / А. О. Сафонов // Научный журнал КубГАУ. - 2011. - №74. - С.
53-62.
Сергеев,
И. В. Экономика предприятия: учеб. пособие / И. В. Сергеев. - Москва: Финансы и
статистика, 2012. - 265 с.
Скамай,
Л. Г. Экономический анализ деятельности предприятий / Л. Г. Скамай, М. И.
Трубочкина. - Москва: ИНФРА-М, 2014. - 296 с.
Смирницкий,
Е. К. Экономические показатели бизнеса / Е. К. Смирницкий. - Москва: Экзамен,
2014. - 317 с.
Степаев,
К. С. Концепция управления жилищно-коммунальным хозяйством на основе инноваций
/ К. С. Степаев // Бизнес в законе. - 2011. - № 3. - С. 232-233.
Табурчак,
П. П. Анализ и диагностика финансово-хозяйственной деятельности предприятия:
учебник для вузов / П. П. Табурчак - Ростов-на-Дону: Феникс, 2012. - 352 с.
Таренко,
Л. Б. Повышение экономической эффективности производства - основная задача
деятельности предприятия / Л. Б. Таренко // Экономические стратегии. - 2013. -
№2. - С.13-19.
Тертышник,
М. И. Оценка производственного потенциала предприятия / М. И. Тертышник //
Известия ИГЭА. - 2012. - № 1. - С. 98-102.
Титова,
О. В. Модернизация и диверсификация производства: эффективность вложения
средств / О. В. Титова // Проблемы теории и практики управления. - 2010. - №
10. - С.73-77.
Федеральная
служба государственной статистики [Электронный ресурс]: офиц. сайт. - Режим
доступа: http://www.gks.ru.
Хайруллина,
В. Г. Системный подход к решению проблем в сфере ЖКХ / В. Г. Хайрулина //
Наука, образование, экономика. - 2014. - № 1. - С. 42-45.
Черняк,
В. З. Жилищно-коммунальное хозяйство: развитие, управление, экономика / В. З.
Черняк. - Москва: КНОРУС, 2007. - 392 с.
Чечевицына,
Л. Н. Экономический анализ / Л. Н. Чечевицына. - Ростов-на-Дону: Феникс, 2011.
- 448 с.
Чудновский,
С. М. Улучшение качества природных вод: учебное пособие / С.М. Чудновский. -
Вологда: ВоГУ, 2014. - 182 с.
Шварева,
О. Ю. Эффективность жилищно-коммунальных услуг: критерии и управление / О. Ю.
Шварева // Проблемы современной экономики. - 2015. - № 3. - С. 106-113.
Шеремет,
А. Д. Методика финансового анализа / А. Д. Шеремет, Е. В. Негашев. - Москва:
Инфра-М, 2012. - 208 с.
Шешко,
Г. Ф. Жилищное право: Учеб. пособие / Г. Ф. Шешко. - Москва: АСТ МОСКВА, 2007.
- 256 с.
Щербакова,
Н. А. Экономика недвижимости: учеб. пособие / Н. А. Щербакова. -
Ростов-на-Дону: Феникс, 2002. - 320 с.
Щиборщ,
К. В. Анализ хозяйственной деятельности предприятий России: учеб. пособие / К.
В. Щиборщ. - Москва: ДИС, 2013. - 320 с.
Юрина,
Т. С. Оценка эффективности инноваций / Т. С. Юрина // Известия ЮФУ. Технические
науки. - 2010. - № 6 - С. 233-236.