Оценка человеческого капитала

  • Вид работы:
    Курсовая работа (т)
  • Предмет:
    Эктеория
  • Язык:
    Русский
    ,
    Формат файла:
    MS Word
    41,24 Кб
  • Опубликовано:
    2016-10-18
Вы можете узнать стоимость помощи в написании студенческой работы.
Помощь в написании работы, которую точно примут!

Оценка человеческого капитала

Введение

Тема курсовой работы «Оценка человеческого капитала».

Само понятие было введено в экономическую теорию лишь в ХХ веке. Но над содержанием задумывались еще с давних времен. До нас дошли труды великих философов античных времен, посвященные роли человека в экономике или как тогда говорили: - хозяйстве. Человек был одной из центральных фигур в хозяйстве.

В эпоху индустриализации роль человека в экономике и богатстве страны было пересмотрено. На первое место по значимости выходит физический капитал. В условиях механизации труд человеческий заменялся более дешевым и качественным трудом механическим, автоматизированным.

В наш современный, информационный век роль человека снова выходит на первую и определяющую роль. Нужны профессиональные кадры, которые смогут распоряжаться и эксплуатировать высокотехнологичную технику.

Большинство стран вкладывают все больше средств в развитие человека, или как пойдет речь в нашей курсовой работе - в развитие человеческого капитала.

Но вкладывая деньги, государство и инвесторы ожидают отдачи от своих инвестиций, и встает вопрос: «Как измерить и оценить человеческий капитал?». В настоящее время существует множество концепций, и мы рассмотрим основные.

В наше время, государство, чей народ будет иметь более качественный человеческий капитал, имеет больше шансов вырваться вперед в гонке научно-технического развития (НТР). Что вследствие даст более высокий уровень жизни и больше возможностей для развития человека.

Именно поэтому вопрос оценки человеческого капитала - это одна из самых важных тем. Если мы сможем объективно оценить человеческий капитал, тогда, на основе полученных результатов можно будет строить эффективный план по дальнейшему развитию.

Наша курсовая работа разбита на 3 главы. В них мы рассмотрим само понятие человеческого капитала, его структуру.

Также мы коснемся методов оценки человеческого капитала, а также критериев оценки человеческого капитала. Мы измерим человеческий капитал с помощью метода, применяемого в ООН. Выпишем и разберем уравнения, с помощью которых будут измерять человеческий капитал.

В конце нашей работе мы проследим за формированием человеческого капитала в России, дадим его оценку и увидим развитие этой оценки с помощью новейших статистических данных.

1. Основы теории человеческого капитала

.1 Понятие человеческого капитала и его структура

В современном мире понятие человеческого капитала имеет очень широкий смысл. Многие ученые то включают новые характеристики в понятие Человеческого капитала, то наоборот убирают их из своих сложных и длинных определений. Хотя существует такое понятие как человеческий капитал давно, свою форму оно начало принимать лишь в шестидесятых годах двадцатого века. В это время и появились первые теории на тему человеческого капитала. Знаменитейшими учеными, получившим нобелевскую премию по экономике за эту дисциплину стали в 1979 году Теодор В. Шульц и в 1992 году Гэри Беккер. [6, c.4]

В современном экономическом словаре даны такие формулировки человеческого капитала. Капитал человеческий:

) Капитальные ресурсы общества, вложенные в людей, человека; человеческие возможности участвовать в производстве, творить, строить, создавать ценности.

) Человеческие знания и умения, представляющие условия, ресурс, инструмент творческой деятельности [16, c.88]

Мы считаем, что человеческий капитал можно выделить как индивидуальный и социальный вид капитала.

Индивидуальный человеческий капитал - это совокупность знаний, умений, навыков и здоровья человека, характеризующиеся принадлежностью только этому индивидууму, способному свободно выбирать как использовать свои возможности.

В социальном смысле этого понятия человеческий капитал - это совокупность знаний, здоровья и профессиональных навыков всех индивидуумов, рассматривающиеся как одно целое. Сюда также следует отнести количество трудоспособного населения, иждивенцев и безработных.

В структуру ЧК также следует внести такое понятие как материнский капитал. Это показатель, характеризующийся возможностью или невозможностью рожать детей, давать им воспитание, оказывать всяческую материальную помощь.

Все это создает национальный человеческий капитал.

Он формируется за счет инвестиций в воспитание, образование, культуру, здоровье населения, в повышение профессионализма, уровня и качества жизни населения, в науку, знания и интеллектуальный капитал, в предпринимательскую способность, в информационное обеспечение и безопасность граждан, в экономическую свободу в ее международном определении, в инструментарий интеллектуального труда, в среду функционирования человеческого капитала как фактора развития экономики и общества.

Человеческий капитал как запас знаний, умений, навыков, опыта способен не только накапливаться в процессе инвестирования, но и материально и морально изнашиваться.

Интегральная доходность от инвестиций в человеческий капитал в эффективном государстве возрастает со временем. Человеческий капитал - интенсивный фактор развития, и на него не распространяется закон убывающей отдачи при верно выбранной стратегии развития человеческого капитала, экономики, государственности и ГО. Например, в криминализированной и коррумпированной стране ЧК не может функционировать эффективно по определению. Даже если это «ввезенный» внешний высококачественный ЧК, обеспеченный за счет его притока. Он либо деградирует, ввязываясь в коррупционные и прочие контрпродуктивные схемы, либо «работает» неэффективно. [10, с.9]

В настоящее время на базе теории и практики ЧК формируется и совершенствуется успешная парадигма развития США и ведущих европейских стран. На основе теории и практики ЧК, отставшая было Швеция модернизировала свою экономику и вернула в 2000-х годах лидерские позиции в мировой экономике. Финляндия за исторически короткий период времени сумела перейти от сырьевой в основном экономики к инновационной экономике.

Все это имело место не потому что теория и практика ЧК реализовала в себе некую волшебную палочку, а потому что стала ответом экономической теории и практики на вызовы времени, на вызовы нарождающейся во второй половине ХХ века инновационной экономики, на вызовы высшей ее стадии - экономики знаний, а также венчурного научно-технического бизнеса.

В условиях глобализации мировой экономики, в условиях свободного перелива любого капитала, включая ЧК, из страны в страну, из региона в регион, из города в город в условиях острой международной конкуренции, ускоренного развития высоких технологий ЧК служит главным интенсивным конкурентным фактором развития тех стран мира, которые осуществляют опережающее инвестирование высококачественного ЧК, организуют и финансируют его приток в страну, создают лучшие условия для труда и жизни ведущих специалистов мира и страны.

Выбор ЧК в качестве главного фактора развития для развивающейся страны буквально диктует системный и комплексный подход при разработке концепции или стратегии развития как самого человеческого капитала, так и общей стратегии развития страны. Требует увязки с ними всех других документов стратегического планирования. Диктат этот следует из сущности национального ЧК как синтетического и сложного фактора развития. Причем, этот диктат особо выделяет высокое качество и производительность труда, высокое качество жизни, работы и инструментария специалистов, определяющих креативность и созидательную энергию человеческого капитала.

Анализ процессов научно-технического развития показывает, что ЧК, циклы его роста и развития являются главными факторами и драйверами генерации инновационных волн развития и цикличного развития мировой экономики и общества. Постепенно накапливались знания. На их базе развивались образование и наука. Формировался слой высокопрофессиональной научно-технической, управленческой и в целом интеллектуальной элиты, под началом которой и совершался очередной рывок в развитии страны. Причем уровень и качество национального ЧК определяют верхнюю планку в развитии науки и экономики. И без поднятия качества национального ЧК до уровня требуемого инновационной экономикой качества и этики труда запрыгнуть в инновационную экономику и, тем более, в экономику знаний невозможно.

В то же время доля неквалифицированного труда в ВВП развитых и развивающихся странах становится все меньше, а в технологически передовых странах она уже исчезающе мала. Любой труд ныне в цивилизованной стране требует образования и знаний.

Локомотивом развития ЧК в экономике является конкуренция во всех видах деятельности. Конкуренция формирует и отбирает лучших специалистов, наиболее эффективный менеджмент, повышает качество ЧК. Конкуренция стимулирует предпринимателей и менеджмент создавать инновационную продукцию и услуги. Свободная конкуренция, экономическая свобода в ее международном определении - основные стимуляторы и драйверы роста качества и конкурентоспособности национального ЧК, роста производства знаний, генерации инноваций и создания эффективной инновационной продукции.

Также существует отрицательный, пассивный и положительный ЧК. Понятия отрицательного, пассивного и креативного (инновационного) ЧК помогают лучшему пониманию и интерпретации огромных различий в стоимости, качестве и производительности национальных ЧК стран мира. Основные показатели и параметры национальных ЧК рассчитываются по интегральным макропоказателям, отражают процессы, конечные характеристики и результаты на макроуровне. Введение типов, видов и характеристик на микроуровнях и на уровне индивидуума, семьи и организации позволяют детализировать существо процессов интеграции человеческого капитала на всех уровнях.

Индивидуальный отрицательный человеческий капитал - это накопленный запас особенных и специфических знаний, псевдо знаний, навыков, моральных и психологических отклонений индивидуума, позволяющие ему получать для себя доходы и другие блага за счет противоправной, аморальной, мошеннической или некомпетентной деятельности, мешающей созидательной деятельности других лиц и созданию ими новых благ и доходов. [10, с.14]

Индивид с отрицательным ЧК - только потребитель, разрушитель и иждивенец для созидательной части населения. Такой индивид за счет криминальной, коррупционной, мошеннической и иной подобной деятельности живет за счет присвоения части национального богатства, не внося в него своего личного вклада, и препятствует эффективной работе других людей. Причем в отрицательную часть ЧК входят и люди с высшим образованием, с дипломами докторов наук и различных академий.

В состав отрицательного ЧК входят некомпетентные управленцы и некомпетентные специалисты во всех видах деятельности, лжеученые и лжеинноваторы, деятельность которых наносит вред науке, экономике и обществу.

Отрицательная часть национального человеческого капитала - это отрицательные доли индивидуального и корпоративного ЧК, коррумпированные государственные институты, некомпетентные и коррумпированные чиновники, неэффективные государственные управленческие технологии и системы, неэффективная часть систем воспитания, образования, науки, здравоохранения, безопасности, низкое качество жизни и устаревший и неэффективный инструментарий интеллектуального труда. [10, с.15]

С точки зрения теории экономических и прочих изменений сформулируем понятие отрицательного человеческого капитала следующим образом.

Отрицательный ЧК - это такие изменения в ЧК, которые приводят к отрицательным качественным изменениям в личности, в семье, в организации, в образовании, науке и в других составляющих ЧК, в экономике, в государственных институтах и в обществе. Они снижают стоимость и эффективность ЧК соответствующего уровня, а также в целом снижают производительность и качество национального человеческого капитала. [10, с.15]

Пример отрицательного человеческого капитала представлен в главе 3.

Пассивный человеческий капитал - это доля низко конкурентоспособного и не креативного ЧК любого уровня, которая в основном направлена на самовыживание и самовоспроизводство и не участвует в инновационных процессах развития.

Таким образом, человеческий капитал по степени креативности, созидательности и эффективности как производительного фактора можно разделить на отрицательный ЧК (разрушительный, активно мешающий процессам развития), пассивный ЧК - чисто потребительский, не креативный, не участвующий в инновационных процессах, и положительный - созидательный, креативный, инновационный ЧК. Между этими состояниями и составляющими совокупного ЧК существуют промежуточные по эффективности состояния и составляющие ЧК.

Значительный вклад в накопленный отрицательный ЧК вносят коррупционеры, преступники, наркоманы, чрезмерные любители спиртного, лодыри, бездельники и вороватые люди. И, напротив, в положительную часть ЧК вносят существенную долю трудоголики, профессионалы, специалисты мирового уровня. Отрицательный накопленный человеческий капитал формируется на базе негативных сторон менталитета нации, на низкой культуре населения, включая её рыночные составляющие (в частности, этику труда и предпринимательства). Вносят в него свой вклад негативные традиции государственного устройства и функционирования государственных институтов на базе несвободы и неразвитости гражданского общества, на базе инвестиций в псевдовоспитание, псевдообразование и псевдознания, в псевдонауку и псевдокультуру. Особо значительный вклад в отрицательный накопленный человеческий капитал способна вносить активная часть нации - её элита, поскольку именно она определяет политику и стратегию развития страны, ведет за собой нацию по пути либо прогресса, либо стагнации (застоя) или даже регресса.

Отрицательный человеческий капитал требует дополнительных инвестиций в национальный ЧК для изменения сущности знаний и опыта. Для изменения образовательного процесса, для изменения инновационного и инвестиционного потенциалов, для изменения в лучшую сторону менталитета населения и повышения его культуры. В этом случае требуются дополнительные инвестиции для компенсации накопленного в прошлом отрицательного капитала. Положительный человеческий капитал определяется как накопленный ЧК, обеспечивающий полезную отдачу от инвестиций в него в процессы развития и роста. В частности, от инвестиций в повышение и поддержание качества жизни населения, в рост инновационного и институционального потенциалов.

То обстоятельство, что ЧК невозможно изменить в короткие сроки, особенно при значительном объёме отрицательного накопленного ЧК, в сущности, является главной проблемой развития экономики России с точки зрения теории развития ЧК.

Важнейшей составляющей ЧК является труд, его качество и производительность. Качество труда в свою очередь существенно определяется ментальностью населения, качеством жизни и индексом экономической свободы. Низкопроизводительный и некачественный труд существенно снижает стоимость и качество накопленного национального ЧК.

.2 Показатели оценки человеческого капитала

При расчетах стоимости и эффективности национального ЧК через долю инновационного сектора экономики в ВВП, через эффективность труда и накопленного ЧК влияние отрицательного и пассивного ЧК на показатели национального ЧК учитываются автоматически через интегральные индексы и макропоказатели, включая ВВП, долю инновационной экономики в ВВП, индекс экономической свободы, индекс качества жизни и другие.

В настоящее время все больше сторонников завоевывает точка зрения, что человеческий капитал - это наиболее ценный ресурс современного общества, гораздо более важный, чем природные ресурсы или накопленное богатство.

Симптоматично в этом смысле утверждение одного из видных теоретиков человеческого капитала Л. Туроу: «Концепция человеческого капитала играет центральную роль в современном экономическом анализе». А.М. Боуман назвала «открытие человеческого капитала революцией в экономической мысли» [7, с.76].

Особую актуальность сегодня приобретает проблема оценки человеческого капитала, которая заботит всех - от ученых, финансовых аналитиков до консультантов по персоналу. Организации заинтересованы в тех процессах и практических технологиях, которые помогают увеличить прибыль. «Фирмы признают тот факт, что нематериальные активы увеличивают разницу между чистой, показанной в балансе, и рыночной стоимостью компании», - вывод Марка Томпсона из Темплтонского колледжа в Оксфорде. Примером может служить гигант по производству мобильных телефонов корпорация «Nokia», материальные активы которого составляют лишь 5%. Остальные 95% ее активов - нематериальные, включающие квалификацию, навыки и талант работников, а также ноу-хау. [10, с.17]

Необходимо отметить, что общий объем человеческого капитала следует рассматривать как для отдельного индивидуума, так для фирмы и всего общества в целом. Человеческий капитал имеет свою сложную внутреннюю структуру, каждый из компонентов которого состоит из разных активов, имеющих, в свою очередь, собственные качественные и количественные

характеристики. Для оценки человеческого капитала применяются как натуральные показатели, так и стоимостные. Натуральные (и временные) показатели являются относительно простыми, они могут быть исчислены на разных уровнях: индивида, фирмы и государства соответственно различным компонентам. Для оценки фонда здоровья применимы средняя продолжительность жизни, смертность населения по разным причинам, интенсивность смертности, естественный прирост населения, ожидаемая продолжительность жизни на момент рождения, доля трудоспособного населения, удельный вес пожилых людей в структуре населения, уровень инвалидности в стране, уровень заболеваний с временной потерей трудоспособности, распространенность вредных привычек, физическое развитие населения и т.д. Для оценки фонда образования это: уровень формального образования (количество лет обучения), уровень знаний и интеллекта (коэффициент IQ), - на уровне индивида; доля специалистов с высшим и средним образованием, доля персонала, занятого НИОКР, количество изобретений, патентов, - на уровне фирмы; среднее число человеко-лет обучения, численность выпускников учебных заведений, численность научных кадров и организаций, уровень функциональной грамотности, объемы производства новой информации - на уровне государства и ряд других.

В первой половине XX в. И. Фишер, С.Х. Форсит, Ф. Краш, Ю.Л. Фиш и др. также пытались рассчитать стоимость отдельного человека и всего населения страны.

Таким образом, затратные показатели являются наиболее явными и простыми, с точки зрения возможности их определения и исчисления. Однако, затраты на производство человеческого капитала это не величина человеческого капитала, а величина вложений в человеческий капитал, причем вложения никогда не тождественны величине, так как часто они бывают непродуктивными.

Величина стоимости человеческого капитала определяется не ценой его производства, а экономическим эффектом от его использования.

Рассмотрим категорию заработной платы в аспекте оценки человеческого капитала. Отметим, что западная экономическая наука в значительной мере пересмотрела категорию заработной платы. Структура заработной платы претерпела значительные изменения в связи с существенным ростом инвестиций в человека. Таким образом, большая ее часть является продуктом человеческого капитала, а не просто продуктом труда, которым обладает каждый индивид. В связи с этим, Г. Беккер предложил рассматривать каждого человека как комбинацию одной единицы простого труда и известного количества воплощенного в нем человеческого капитала. Тогда заработную плату, получаемую любым работником, также можно рассматривать как сочетание рыночной цены его «плоти» и рентного дохода от вложенного в эту «плоть» человеческого капитала [2, с.160].

При монетарном подходе к оценке человеческого капитала, под величиной человеческого капитала понимается некий фонд, который обеспечивает труду постоянный доход. Он представляет собой средневзвешенную величину ожидаемых, будущих поступлений дохода.

М. Фридмен рассматривает человеческий капитал как одну из форм активов, альтернативную деньгам. Это дает ему основания для включения человеческого капитала в уравнение спроса на деньги для индивидуальных владельцев богатства [15, с. 66-69].

Итак, на наш взгляд, величина человеческого капитала, как уже было отмечено выше, это не затраты на его производство, а его потенциал - вероятностная отдача. Если величина человеческого капитала равна его потенциалу, который превышает затраты, то нужно ее вычислить оставаясь на почве теории производительности факторов производства. Известно, что в соответствии с теорией производительности факторов производства каждый из них создает определенную долю в ценности (цене) товара, и их собственники получают соответствующую долю, принимающую форму их доходов.

Исходя из этого, для того, чтобы ответить на вопрос о величине человеческого капитала нужно выяснить из чего она складывается, т.е. оценить компоненты человеческого капитала. В настоящее время не существует единого, общепринятого подхода к структуре человеческого капитала. Тем не менее, по нашему мнению, к основным, важнейшим компонентам человеческого капитала относятся, в первую очередь, капитал здоровья, как первооснова человеческого капитала вообще, а также капитал образования и капитал мотивации. В связи с этим представляет интерес методика оценки величины человеческого капитала, предложенная доцентом РХТУ им. Д.И. Менделеева, Т.Г. Мясоедовой в качестве элементов человеческого капитала она рассматривает совокупность природных способностей, здоровья, приобретенных знаний, профессиональных навыков, мотиваций к труду и постоянному развитию, обшей культуры [12, с.29]. Она считает, что человеческий капитал - вероятностная величина. Каждая из составляющих человеческого капитала также носит вероятностный характер, и зависит от многих

факторов. Некоторые составляющие человеческого капитала можно рассматривать как независимые величины, а некоторые - как условно-зависимые. Например, наличие хороших или плохих природных способностей не изменяет вероятности существования хорошего или плохого здоровья, наличия тех или иных знаний, хорошей или плохой мотивации к постоянному развитию или производительному труду. Наличие профессиональных знаний может повышать вероятность существования высокой мотивации к труду, но (при отсутствии высокой общей культуры) может не оказать на нее никакого влияния.

Автор предполагает, что все составляющие человеческого капитала являются независимыми событиями. В соответствии с правилом умножения независимых событий вероятность совместного наступления нескольких независимых в совокупности событий равна произведению вероятностей этих событий. Применительно к человеческому капиталу это означает, что ЧК = Природные способности, здоровье, знания, мотивация, общая культура.

≈ Р × Р × Р × Р × Р,

где Рi, - вероятностные величины составляющих человеческого капитала.

Чем больше вероятностная величина каждой из составляющих человеческого капитала, тем больше сам человеческий капитал. Уменьшение любой из переменных приведет к уменьшению человеческого капитала в целом. Более того, увеличение одной из составляющих без соответствующего увеличения других будет приводить лишь к незначительному общему увеличению человеческого капитала.

Попыткой более полного отражения параметров развития человека является также новая концепция национального богатства. Всемирный банк выдвинул трактовку национального богатства как совокупности накопляемого человеческого, природного и воспроизводимого капитала и произвел экспериментальные оценки названных компонентов по 192 странам.

Согласно оценкам Всемирного банка, на долю физического капитала (накопленных материально-вещественных фондов) приходятся в среднем 16% общего богатства, на долю природного капитала - 20, а капитала человеческого - 64%. Для России эта пропорция - 14, 72 и 14%, тогда как в Германии, Японии и Швеции удельный вес человеческого капитала достигает 80% [12, с.23]. Тем не менее, в расчете на душу населения Россия имела самый высокий показатель накопленного национального богатства - 400 тыс. долл. США, что в 4 раза выше общемирового показателя [1, с.127-128].

Показатели свидетельствуют о том, что удельный вес человеческого капитала в России значительно ниже, чем в развитых странах. Необходимо признать, что «сегодня многое разрушено. По показателям развития человеческого потенциала мы опустились ниже, чем были при советской власти. Но базовые возможности наши все же сохранились. Поэтому задача государства, политической элиты состоит в том, чтобы вывести человеческий потенциал из латентного состояния» [19, с.43]. С данным утверждением нельзя не согласиться. Необходимо отметить, что наряду с множеством методик оценки человеческого капитала, имеется ряд исследователей, которые отрицают саму возможность оценки человеческого капитала.

Никто не подвергает сомнению тот факт, что человеческая личность бесценна с точки зрения этики, однако же человек получает заработную плату, которая тоже является своего рода оценкой его человеческого капитала, что является общепризнанной нормой.

Несомненно, что в настоящее время проблемы оценки человеческого капитала все больше выдвигаются на передний план, хотя единые принципы исчисления этого комплексного показателя еще не выработаны. Тем не менее, в исследовании экономического и социального совета ООН (ЭКОСОС) зафиксированы важнейшие унифицированные принципы расчета таких его составляющих, как средняя продолжительность жизни одного поколения, активный трудовой период, чистый баланс рабочей силы, цикл семейной жизни и т.д. В оценке человеческого капитала существенным моментом признается учет стоимости воспитания, обучения и подготовки новых работников наряду с повышением квалификации, удлинением периода трудовой деятельности, потерь в связи с болезнями, смертностью и другими факторами и т.п.

Таким образом, можно сделать вывод о том, что количественное измерение человеческого капитала возможно, несмотря на значительные разночтения в способах такого рода измерений. Причем, несомненно, количественные (денежные) измерения человеческого капитала в целом и его компонентов в частности являются крайне необходимыми и важными не только с точки зрения развития экономической теории, но, в первую очередь, для эффективного функционирования экономики любой страны в целом. Так же для успешного функционирования, нужно разработать методы измерения оценки человеческого капитала.

2. Проблемы измерения и оценки человеческого капитала

.1 Методы оценки человеческого капитала

При всем многообразии методов выделяют несколько базовых подходов к оценке ЧК, основанные на: инвестициях в развитие ЧК; капитализации отдачи; натуральных индикаторах (навыки, компетенции и грамотность населения). Особенности каждого из подходов будут представлены ниже. При этом стоит отметить, что в каждом подходе существует ряд сложностей и противоречий. Так, при оценке ЧК на основе инвестиций многие ученые придерживаются мнения, что для формирования ЧК необходимы все затраты, которые направлены на поддержание жизнедеятельности человека. Сторонником данного метода был Эрнст Энгель, он считал, затраты на воспитание детей могут быть оценены и взяты как мера денежной стоимости детей для общества.

Точка зрения других заключается в том, что затраты на производство ЧК приравниваются только к затратам, увеличивающим производительные способности людей, например, инвестиции в сфере формального обучения. Под формальным обучением понимается система образования. Однако хотя такой вид затрат сравнительно несложно определить, он составляет лишь часть всего накопленного ЧК.

В образовательную составляющую ЧК, по мнению Кендрика, помимо формального обучения, входят также неформальное обучение (самообразование, средства массовой информации, культурно-просветительские учреждения и т.д.), семейное воспитание, в общем, вся инфраструктура, формирующая человека [9, с. 158]. Оценка по «первоначальной» стоимости методом непрерывной инвентаризации затрат, предложенная Дж. Кендриком, предполагает подсчет текущих расходов на всю систему образования в год, отнесенных на среднегодовую численность населения i-гo возраста, пропорционально коэффициентам распределения затрат в возрастных группах от 0 до 30 лет и стоимости условной единицы затрат на формальное обучение. Затраты в сфере неформального обучения исчисляются на основе данных о среднедушевых вложениях в культурно-просветительную деятельность, искусство.

Затраты в сфере семейного воспитания и внешкольного обслуживания детей рассчитываются аналогично стоимости человеческого капитала, полученного в системе формального обучения с той существенной разницей, что оценка затрат семейного воспитания производится либо по альтернативным издержкам (упущенным заработкам женщин, находящихся в отпуске по уходу за ребенком), либо по учету затрат времени на воспитание одного ребенка с приравниванием их к средней стоимости часа рабочего времени.

Следует отметить, что метод Кендрика, несмотря на всю полноту учета затрат по формированию человеческого капитала, малоприменим в практических расчетах. Он не отражает реального объема человеческого капитала, задействованного в трудовом процессе, несовершенен из-за условности и отсутствия статистического сопровождения включаемых затрат, дает завышенные результаты вследствие отнесения затрат на культурное развитие личности к образовательной, а не к культурной составляющей капитала человека, не учитывая при этом моральный износ человеческого капитала (устаревание знаний и навыков). Кроме того, в российских условиях нестабильных цен метод не позволяет производить инвентаризацию затрат разных периодов без учета инфляционной составляющей и сопоставлять в дальнейшем со стоимостью эпизодически переоцениваемого основного производственного капитала [9, с. 46].

Еще один метод, основанный на оценке образовательной составляющей, разработан Т. Шульцем, значительно уступая предыдущему по полноте охвата затрат (включается только формальное обучение), дает более адекватные (расчет производится в ценах года подсчета) и более сопоставимые результаты [18, с. 311]. Оценка предполагает расчет капитала трудовых ресурсов, а не только всего населения, и сравнение его с основным производственным капиталом, выраженным в ценах того же года. По Т. Шульцу затраты на формирование человеческого капитала состоят в основном из прямых расходов государства и частных лиц в сфере образования и затрат труда самих учащихся на производство своей квалификации.

Известно, что здоровье и образование, являются главными факторами, участвующими в формировании национального человеческого капитала. Результаты последних исследований свидетельствуют о том, что уровень здоровья человека лишь на 8-10% зависит от здравоохранения, на 20% - от экологических условий, на 20% определяется генетическими факторами и на 50% зависит от образа жизни самого человека. Следует отметить, что в благополучии человека его здоровье, по определению ВОЗ, составляет 10%, соответственно, и в человеческом капитале можно указать такой же вклад. Исходя из вышесказанного, следует, что составляющие здоровья и образования не только принадлежат совокупности ЧК, но и является его формирующими факторами. [10, с. 5]

Таким образом, каждая из рассмотренных выше методик оценки далеко не в полной мере способна измерить всего масштаба величины ЧК. Большинство существующих оценок не учитывают инвестиции, не имеющие денежного эквивалента, например, собственный труд учащихся в ходе образовательного процесса. В этом случае принято говорить о потерянных заработках учащихся. Однако при построении оценок возникает вопрос, с какого возраста следует учитывать потерянные заработки, как производить оценку размера ЧК в случае «неофициальной подработки»? Последний пункт также напрямую связан выгодами, полученными от ЧК для любой возрастной категории населения.

Прибыль, получаемая индивидуумом в экономической теории, выражается преимущественно в стоимостном выражении, мы считаем, что это однобокие методы, не учитывающие такой показатель как полезность - удовлетворение индивидуума от использования каких-либо благ, услуг и ресурсов. Поэтому, говоря «О потерянных заработках учащихся», имеется ввиду только стоимостное выражение оного. В самом же деле, любое деяние человека, приносящее ему полезность, выражается еще в натуральном и психологическом аспектах.

И если в экономической теории с натуральными показателями дело обстоит хотя как-то понятно, т.е. нам известно, что это не обособляемые от индивида его здоровье, интеллектуальный капитал и т.д. Психологическая полезность от использования благ и услуг рассмотрена лишь косвенно. В теории ЧК мы встречались с понятием мотивации, т.е. с желанием индивидуума совершать какие-либо действия. Что лежит же в основе мотивации рассматривается поверхностно и обычно это делается с помощью пирамиды Абрахама Маслоу. Методов измерения психологической составляющей нет, т.к. она связана с большой дифференцированностью потребностей населения. Да и какие использовать показатели? Если только взять их из библии? Но они все равно будут носить вероятностный характер.

Итак, инвестиционный метод ограничен по причине не полного учета неявных затрат, а также затруднителен из-за невозможности проследить зависимость между затраченными инвестициями и уровнем накопленного ЧК. Например, потребность в услугах здравоохранения определяется необходимостью корректировать отклонения от нормы в состоянии здоровья. Поэтому она тем выше, чем хуже состояние здоровья, а значит прямой связи между объемом инвестиций в здравоохранение и «капиталом здоровья» может и не быть [14, с. 51].

Наряду с этим реальна обратная ситуация, когда для увеличения ЧК не требуется специальных целевых инвестиций: «На каждый данный момент времени, накопленный индивидом запас человеческого капитала есть совокупный результат потока событий, произошедших в ходе всей его жизни».

Говоря о подходе, построенном на результатах от прошлых усилий, стоит разграничивать денежные и не денежные выгоды. Методологических трудностей при учете денежной отдачи в отличие от не денежной практически не возникает. Под денежными выгодами подразумевается количество пожизненных заработков. Карл Туроу говорил о том, «чтобы разграничить хорошие и плохие решения, приходится принимать во внимание только максимизацию денежных доходов» [15, с. 24]. Однако на практике такая оценка не будет в полной мере воспроизводить весь реальный объем ЧК. Достаточно проблематично оценить не денежные выгоды, связанные со снижением риска безработицы, перспективой карьерного роста, и практически невозможно дать рыночную оценку уровню удовлетворенности содержанием и условиями работы.

К надежному виду отдачи можно также отнести и выгоды, не касающиеся сферы рыночных отношений. Так, многие исследования доказывают корреляционную зависимость уровня здоровья и общей продолжительности жизни от количества лет обучения. Эта связь меняется в зависимости от работы и экономических условий, социально-психологических ресурсов, образа жизни человека, воздействия экологических факторов.

Наряду с двумя предыдущими подходами к оценке ЧК, практикуется также оценка натуральных индикаторов, которая подразумевает анализ параметров населения. В качестве переменных используют различные элементы, которые формируются в системе формального образования, при профессиональной подготовке: уровень грамотности и уровень образования населения, среднее число лет обучения, численность учащихся в образовательных учреждениях различного. Наиболее популярным считается показатель, отражающий среднее число лет обучения. Однако техническая сторона данного метода содержит в себе ряд трудностей, связанных с обработкой статистических данных, которые доступны не для всех стран. Статистические данные собираются в рамках переписей населения примерно раз в 10 лет. Для России такие данные отсутствуют, поэтому, основываясь на данных об уровне образования и продолжительности обучения на каждом уровне, рассчитывается совокупное число лет обучения. Полученные значения числа лет обучения корректируются в каждой последующей временной точке при помощи метода непрерывной инвентаризации данных, учитывая при этом число учащихся различных возрастных когорт, долю отчисленных, второгодников, смертности и т.д. Вместе с тем недостаток данной методики заключается в том, что, во-первых, сама процедура довольно трудоемкая, во-вторых, незначительные изменения в используемой методике, связанные с недостаточностью корректирующих данных, могут приводить к значительным расхождениям в результатах.

В качестве дополнительных показателей ЧК часто применяют такие параметры как: численность исследователей, имеющих научные степени, занятых в научно исследовательских и опытно конструкторских работах, инвестиции на развитие науки и образования и т.д. Недостатком разрабатываемых методик подсчета параметров населения является неспособность оценки качественных характеристик населения. Для этой цели в настоящее время разработаны показатели функциональной грамотности, которые представляют собой специальные тесты, например, PISA и TIMMS - программа оценки знаний школьников и студентов; IALS - тесты, разрабатываемые для оценки функциональной грамотности взрослого населения. [26] инвестиция общество человеческий капитал

Однако практическое применение представительных оценок на основе прямых параметров населения достаточно затратная и трудоемкая процедура. Кроме этого, для оценки используют параметры населения, входящие в систему формального образования, которое, как уже говорилось ранее, составляет лишь часть ЧК, следовательно, и результат данной оценки, не может отражать реального объема ЧК. Эти методы используют такие ученые как Гэри Беккер, Павел Дятлов и т.д.

Преимущество данного метода заключается в том, что его часто используют с целью сравнения межрегионального, межстранового. Однако оценки, полученные на основе прямых параметров населения, не в состоянии охватить весь диапазон знаний человека.

Однако, не смотря на все рассмотренные проблемы при оценке ЧК и достаточности данных, установлено, что подход на основе инвестиций является самым популярным и имеет самые адекватные оценки.

Несмотря на все многообразие подходов к оценке ЧК, любой их них упускает из вида те или иные важные аспекты. Это происходит в первую очередь из-за того, что далеко не все структурные компоненты ЧК поддаются количественной оценке. Для решения данной проблемы приходится прибегать к различным опосредствованным методикам оценки, что в свою очередь является достаточно трудоемким процессом. Однако это не единственная трудность при построении оценок ЧК, большая трудность вызывает сбор, обработка и статистический учет информационных данных на всех уровнях исследования.

Также существует метод оценки ЧК, применяемый ООН. Организация применяет в своей методике сравнительный анализ, основанный на статистических данных. В результате появляется такой индекс как ИЧР.

Индекс человеческого развития, до 2013 года «Индекс развития человеческого потенциала» (ИРЧП) - интегральный показатель, рассчитываемый ежегодно для межстранового сравнения и измерения уровня жизни, грамотности, образованности и долголетия как основных характеристик человеческого потенциала исследуемой территории. Он является стандартным инструментом при общем сравнении уровня жизни различных стран и регионов. Индекс публикуется в рамках Программы развития ООН в отчётах о развитии человеческого потенциала <https://ru.wikipedia.org/wiki/%D0%9E%D1%82%D1%87%D1%91%D1%82_%D0%BE_%D1%80%D0%B0%D0%B7%D0%B2%D0%B8%D1%82%D0%B8%D0%B8_%D1%87%D0%B5%D0%BB%D0%BE%D0%B2%D0%B5%D1%87%D0%B5%D1%81%D0%BA%D0%BE%D0%B3%D0%BE_%D0%BF%D0%BE%D1%82%D0%B5%D0%BD%D1%86%D0%B8%D0%B0%D0%BB%D0%B0> и был разработан в 1990 году <https://ru.wikipedia.org/wiki/1990_%D0%B3%D0%BE%D0%B4> группой экономистов во главе с пакистанцем <https://ru.wikipedia.org/wiki/%D0%9F%D0%B0%D0%BA%D0%B8%D1%81%D1%82%D0%B0%D0%BD> Махбубом-уль-Хаком. Однако концептуальная структура индекса была создана благодаря работе Амартии Сена <https://ru.wikipedia.org/wiki/%D0%A1%D0%B5%D0%BD,_%D0%90%D0%BC%D0%B0%D1%80%D1%82%D0%B8%D1%8F>. Индекc публикуется ООН <https://ru.wikipedia.org/wiki/%D0%9E%D0%9E%D0%9D> в ежегодном отчёте о развитии человеческого потенциала <https://ru.wikipedia.org/wiki/%D0%9E%D1%82%D1%87%D1%91%D1%82_%D0%BE_%D1%80%D0%B0%D0%B7%D0%B2%D0%B8%D1%82%D0%B8%D0%B8_%D1%87%D0%B5%D0%BB%D0%BE%D0%B2%D0%B5%D1%87%D0%B5%D1%81%D0%BA%D0%BE%D0%B3%D0%BE_%D0%BF%D0%BE%D1%82%D0%B5%D0%BD%D1%86%D0%B8%D0%B0%D0%BB%D0%B0> с 1990 года.

При подсчёте ИЧР учитываются 3 вида показателей:

Ожидаемая продолжительность жизни <https://ru.wikipedia.org/wiki/%D0%9E%D0%B6%D0%B8%D0%B4%D0%B0%D0%B5%D0%BC%D0%B0%D1%8F_%D0%BF%D1%80%D0%BE%D0%B4%D0%BE%D0%BB%D0%B6%D0%B8%D1%82%D0%B5%D0%BB%D1%8C%D0%BD%D0%BE%D1%81%D1%82%D1%8C_%D0%B6%D0%B8%D0%B7%D0%BD%D0%B8> - оценивает долголетие.

Уровень грамотности <https://ru.wikipedia.org/wiki/%D0%93%D1%80%D0%B0%D0%BC%D0%BE%D1%82%D0%BD%D0%BE%D1%81%D1%82%D1%8C> населения страны (среднее количество лет, потраченных на обучение) и ожидаемая продолжительность обучения <https://ru.wikipedia.org/w/index.php?title=%D0%9E%D0%B6%D0%B8%D0%B4%D0%B0%D0%B5%D0%BC%D0%B0%D1%8F_%D0%BF%D1%80%D0%BE%D0%B4%D0%BE%D0%BB%D0%B6%D0%B8%D1%82%D0%B5%D0%BB%D1%8C%D0%BD%D0%BE%D1%81%D1%82%D1%8C_%D0%BE%D0%B1%D1%83%D1%87%D0%B5%D0%BD%D0%B8%D1%8F&action=edit&redlink=1>.

Уровень жизни, оценённый через ВНД на душу населения по паритету покупательной способности <https://ru.wikipedia.org/wiki/%D0%9F%D0%B0%D1%80%D0%B8%D1%82%D0%B5%D1%82_%D0%BF%D0%BE%D0%BA%D1%83%D0%BF%D0%B0%D1%82%D0%B5%D0%BB%D1%8C%D0%BD%D0%BE%D0%B9_%D1%81%D0%BF%D0%BE%D1%81%D0%BE%D0%B1%D0%BD%D0%BE%D1%81%D1%82%D0%B8> (ППС) в долларах США <https://ru.wikipedia.org/wiki/%D0%94%D0%BE%D0%BB%D0%BB%D0%B0%D1%80_%D0%A1%D0%A8%D0%90>.

Разработана и научно обоснована обобщенная система показателей, характеризующая количественные <https://ru.wikipedia.org/w/index.php?title=%D0%9A%D0%BE%D0%BB%D0%B8%D1%87%D0%B5%D1%81%D1%82%D0%B2%D0%B5%D0%BD%D0%BD%D1%8B%D0%B5_%D0%BE%D1%86%D0%B5%D0%BD%D0%BA%D0%B8_%D0%B2_%D0%B8%D1%81%D1%82%D0%BE%D1%80%D0%B8%D0%B8&action=edit&redlink=1> и качественные характеристики социально-экономической дифференциации социального развития, включающая:

коэффициент дифференциации индекса развития человеческого потенциала, характеризующий степень различия в социально-экономическом развитии анализируемых стран, регионов внутри страны, социальных групп;

коэффициент дифференциации индекса здоровья (долголетия), показывающий, насколько состояние здоровья в одной стране, регионе лучше, чем в другом;

коэффициент дифференциации индекса образования. Такой показатель определяет степень превышения уровня образования населения в одной стране (регионе или другом объекте исследования) над уровнем образования (грамотности) населения другой страны;

коэффициент дифференциации индекса дохода, определяющий степень экономической дифференциации анализируемых стран или регионов;

коэффициент дифференциации индекса смертности, как показатель различий в состоянии здоровья сравниваемых стран или регионов;

коэффициент дифференциации уровня профессионального образования, отражающий различия в степени охвата обучением второй и третьей ступени образования в исследуемых странах или регионах.

В 2010 году семейство индикаторов, которые измеряют ИЧР, было расширено, а сам индекс подвергся существенной корректировке. В дополнение к используемому ИЧР, который является сводным показателем, опирающимся на среднестрановые статистические данные и не учитывающим внутреннего неравенства, были введены три новых индикатора: Индекс человеческого развития, скорректированный с учетом социально-экономического неравенства (ИЧРН), Индекс гендерного неравенства (ИГН) и Индекс многомерной бедности (ИМБ).

В зависимости от значения ИЧР страны принято классифицировать по уровню развития: очень высокий (42 страны), высокий (43 страны), средний (42 страны) и низкий (42 страны) уровень.

В некоторых переводах оригинального термина Human Development Index (HDI) его также называют Индекс гуманитарного развития (ИГР) [11, с.211].

Далее мы рассмотрим методы расчета ИЧР и ИЧРН

Индекс человеческого развития (ИЧР) вычисляется в 2 этапа:

Этап 1

На первом этапе вычисляются индексы долголетия, образования и ВНД. Для нормировки всех переменных в интервале (0,1) необходимо установить их минимальные и максимальные значения. В качестве максимального значения используется наибольшее значение каждого параметра на временном интервале 1989-TTTT гг., где TTTT - год, для которого считается ИЧР. В данном отчёте ИЧР рассчитывался для 2012 года, поэтому TTTT = 2012. Минимальные значения устанавливаются отдельно для каждой из компонент ИЧР. Для продолжительности обучения эта величина полагается равной 0, для ожидаемой продолжительности жизни при рождении - 20, для валового национального дохода -$100.

Каждый из индексов человеческого развития вычисляется следующим образом:


I - индекс данного вида;ф - фактическое значение показателя;min - значение показателя, принятое как минимальное;max - значение показателя, принятое как максимальное.

На втором этапе вычисляется Индекс человеческого развития, значение которого определяется как среднее геометрическое вышеуказанных показателей:

Т.е

ИЧРН вычисляется в три этапа.

Этап 1

На первом этапе измеряется неравномерность человеческого развития, которая впоследствии учитывается при расчете ИЧРН.

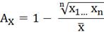
ИЧРН основан на мере неравенства Аткинсона (1970), в которой параметр, характеризующий отношение общества к неравенству, принят равным 1. В этом случае мера неравенства вычисляется как A=1-g/μ, где g - среднее геометрическое и μ - среднее арифметическое распределения. Это может быть записано как


где {X1,..., Xn} - распределение.

Ах вычисляется для всех параметров: ожидаемая продолжительность жизни, средняя продолжительность обучения и чистый доход или потребление на душу населения.

Среднее геометрическое в формуле не позволяет использовать нулевые значения. Поэтому при вычислении средней продолжительности обучения при определении неравенства ко всем наблюдаемым значениям прибавляется один год. При вычислении индекса ВНД уменьшалось слияние слишком больших доходов и, наоборот, слишком маленьких доходов путём отсечения 0,5 верхнего процентиля, а также заменой отрицательных и нулевых значений минимальными значениями из 0,5 нижнего процентиля. [5, с.10]

.2 Критерии оценки человеческого капитала

Когда мы знакомились с методами вычисления оценки ЧК, то уже тогда применяли некоторые критерии оценки. Такие как максимальные и минимальные, установленные ООН. В таблице 1 показаны минимальный и максимальный порог этих показателей. [25]

Таблица 1

Целевые показатели для расчёта ИЧР Индикатор

Минимум (согласованный экспертами)

Наблюдаемый максимум

Ожидаемая продолжительность жизни (годы)

20

83,6 (Япония, 2012)

Средняя продолжительность обучения (годы)

0

13,3 (США, 2010)

0

18 (ограничение)

Комбинированный индекс образования

0

0,971 (Новая Зеландия, 2010)

ВНД на душу населения (ППС в долл. США)

100

87,478 (Катар, 2012)


Сравнивая ИЧР и ИЧРН мы можем провести аналогию с сравнением ВВП потенциального и реального. ИЧР является потенциальным показателем, а ИЧРН реальным. Из-за существующих гендерных, социальных неравенств в обществе - не все могут реализовать свои способности. Например, женщина в мусульманской стране с гораздо большим трудом найдет работу, чем та же женщина нашла бы ее в западноевропейской. Если ИЧР будет равен ИЧРН, то в стране не существует никаких неравенств в обществе. И общество может прогрессировать в дальнейшем. Если они не равны, тогда есть резервы, которые можно подтянуть. На практике осуществить такое сложно, из-за сложившихся традиций и менталитета у народа.

Если ИЧР будет равен 1, то все люди получили образование, дожили до максимальной отметки ожидаемой продолжительности жизни, зафиксированной в стране, с самым высоким показателем и имеют ВНД выше максимального показателя, зарегистрированного в предыдущий год в стране, поднявшейся на 1 место в этом рейтинге.

Если показатель равен нулю, то все показатели достигли минимальной отметки, заданной ООН по трем главным параметрам. Поэтому, чем ближе страна к 1, тем более развитым у нее считается население. В последнее время самый высокий рейтинг имеет Норвегия = 0,955 на 2013 год, а самый низкий - Нигер = 0,377. Россия занимает 57 место с рейтингом = 0,778. Доклад публикуется каждый год, в нем приводятся цифры за прошлый. [4, с.1]

Также существуют критерии оценки эффективности инвестиций в ЧК.

Цифры, полученные в результате оценки человеческого капитала, используются экономистами для определения экономической эффективности инвестиций в образование, целесообразности миграции в предотвращение преждевременных смертей и т.п.

Метод расчета настоящей (текущей) ценности потока будущих доходов и сравнения с ней объема инвестиций в образование.

Метод внутренней нормы отдачи, показывающий, при какой ставке процента текущая ценность потока будущих доходов равна инвестициям в образование (аналог нормы прибыли) [9, с.40]

А теперь рассмотрим формирование человеческого капитала в России и его оценку.

3. Проблемы формирования и оценки человеческого капитала в России

Человеческий капитал формируется за счет инвестиций в повышение уровня и качества жизни населения. В том числе - в воспитание, образование, здоровье, знания (науку), предпринимательскую способность и климат, информационное обеспечение, формирование элиты, безопасность и экономическую свободу, а также в культуру и искусство. Формируется ЧК и за счет притока из других стран. Или убывает за счет его оттока, что и наблюдается пока в России. ЧК - не простая сумма работников простого труда. ЧК - это профессионализм, знания, образование, информационное обслуживание, здоровье и оптимизм, законопослушность граждан, креативность и не коррумпированность элиты.

В проекте Стратегия инновационного развития Российской Федерации на период до 2020 года поставлены грандиозные задачи по росту выпуска инновационной продукции и опережающему развитию человеческого капитала, однако финансированием обеспечены эти благие цели и задачи недостаточно. В проекте стратегии российский человеческий капитал приводится в качестве конкурентного преимущества. На самом деле в силу его деградации по причине крайне низкого инвестирования он превратился в конкурентный недостаток.

На протяжение 20 лет инвестиции в культуру, образование и науку в России одни из самых низких в мире среди сопоставимых по потенциалам стран. [10, с.3]

В 2010 году Россия заняла 65 место в мире по уровню развития человеческого потенциала, расположившись между Албанией и Казахстаном. Лучше всего с этим в Норвегии и Австралии. А в рейтинге расходов государства на человека Россия заняла 72 место. [25]

Номинальная заработная плата работников здравоохранения находится на 23 месте, образования находится на 25 из 31 позиции. [27] Что свидетельствует о невысоком уровне инвестирования государства в данные сферы. То есть само государство, являясь крупнейшим работодателем в стране, выплачивает врачам, учителям, работникам культуры, в подавляющем большинстве случаев низкую зарплату. Именно поэтому российские бедные - это работающие бюджетники, а не только пенсионеры и инвалиды. Основные доходы концентрируются в сырьевых отраслях экономики. Работники в обрабатывающей промышленности получают заработную плату в два раза меньше, чем в добывающей промышленности, а в образовании - в три раза меньше, чем в финансовом секторе. Сложившийся институт найма дешёвого работника в бюджетных отраслях России способствовал тому, что численность занятых только в науке за последние десять лет сократилась почти в два раза. Инновационный сектор экономики продолжает терять молодые кадры, его интересы недостаточно представлены в органах власти, поэтому слабо лоббируются. Положение усугубляется ещё и тем, что в России происходит широкая коммерциализация и смещение в частную сферу услуг образования, здравоохранения, культуры и других социальных сфер, которые традиционно в России создавались как общественные блага. В результате воспроизводство человеческих качеств в немалой степени стало частным делом индивидов и фирм. [21]

Имеются неутешительные данные опроса, проведённого на сайте газеты «Аргументы и Факты»: 82% респондентов ответили, что Россия за годы реформ не смогла сберечь качество своего народа. Из них 61% считает, что это произошло по причине отстранённости власти от нужд народа. [20]

Рассмотрим инвестиции в человеческий капитал по его составным формам:

Физиологический человеческий капитал. Он состоит из здоровья, долголетия, инвалидности.

Не смотря на то, что за пятилетний период с 2006 по 2011 год расходы на здравоохранение в стране увеличились почти вдовое [20], финансирование данной сферы все еще недостаточно и сильно отстает от Европы и Америки.

По данным всемирной организации здравоохранения Россия занимает 2 место в мире по абсолютной величине убыли населения. За последние восемь лет число россиян сократилась на 2,2 миллиона - до 142 миллионов 905 тысяч 200 человек. Ежегодно страна теряет до 800 тыс. человек, уступая по темпам вымирания лишь Украине. [25]. Хотя по последним данным в мае наблюдалось прибыль населения с июня по декабрь 2013 года. Как известно, данные статистики публикуются с двух годичным задержанием.

Кроме этого, в России очень высок уровень заболеваемости населения социально значимыми болезнями [24]. Что неизбежно приводит к снижению качества человеческого капитала в целом по стране.

Помимо прочего, Россия занимает первое место в мире по числу курящих людей, процент которых в 2011 году достиг 39% от общего числа взрослого населения. На втором и третьем месте располагаются Китай и США - курящих в этих странах 26% и 19% соответственно. И 4 место в мире по употреблению алкоголя (15,76 литра в год на человека) после Молдавии (18,22), Чехии (16,45), Венгрии (16,27). При этом в России 1,95 миллиона алкоголиков - бесспорное мировое лидерство. Однако эти показатели год от года снижаются (табл. 2). [22]

Таблица 2

Численность россиян, страдающих от алкоголизма

Кол-во

2010

2011

2012

2013

Взято под диспансерное наблюдение больных с впервые в жизни установленным диагнозом в отчетном году





всего, тыс. человек

153,9

138,1

122,8

112,2

на 100 000 человек населения *)

107,8

96,6

85,7

78,1

Численность больных, состоящих на учете в лечебно-профилактических организациях на конец отчетного года





всего, тыс. человек

1953,1

1865,9

1807,9

1746,5

на 100 000 человек населения *)

1367,1

1304,3

1261,2

1215,7


Также неблагоприятно обстоят дела с заболеваемостью наркоманией. По данным Росстата, ежегодно в стране умирают от наркотиков более 100 тысяч человек от 15 до 30 лет. Только на этих преждевременных смертях общество теряет ежегодно около 10 миллиардов долларов своих инвестиций в воспитание и образование, не считая упущенные выгоды от потерь работников. [19]

Однако, за последние 3 года количество заболевших наркоманией сокращается в среднем на 5% в год. (Табл. 3) [23]

Таблица 3

Численность россиян, страдающих наркоманией


2010

2011

2012

2013

Взято под диспансерное наблюдение больных с впервые в жизни установленным диагнозом в отчетном году





всего, тыс. человек

24,9

21,9

18,1

на 100 000 человек населения *)

17,4

15,3

13,9

12,6

Численность больных, состоящих на учете в лечебно-профилактических организациях на конец отчетного года





всего, тыс. человек

330,9

320,2

315,5

308,3

на 100 000 человек населения *)

231,6

223,8

220,1

214,6


По данным всемирной организации здравоохранения, в среднем по странам в мире расходы на здравоохранение составили в 2010 году около 8,7% ВВП, то в России эта цифра составила - 5,3% ВВП. В рейтинге у России по этому показателю невысокое 115-е место. А лидеры по инвестициям в здоровье людей - США (как и по инвестициям в образование, науку и в целом в человеческий капитал) - 15,3% ВВП. К тому же надо учесть, что и ВВП США в 6,7 раза больше российского ВВП (по паритету покупательской способности). Высокие инвестиции в образование, здравоохранение и в науку определяют лидерство США в качестве человеческого капитала, в экономике знаний и высоких технологиях. [25]

ВОЗ определен рекомендуемый размер расходов на охрану здоровья на уровне 5% от ВВП. При этом критической границей считается величина расходов в объеме 3% от ВВП, ниже которой система здравоохранения становится нежизнеспособной.

По данным «Мировой базы индикаторов развития», в России расходы на здравоохранение в расчете на одного жителя составляют 244,7 долл., в Беларуси - 145,5 долл., на Украине - 80,7 долларов. Для сравнения: в США на одного жителя в год тратится на оказание медицинской помощи в целом свыше 6 тыс. долл., в Люксембурге - 5,9 тыс., Швейцарии - 5,6 тыс., Норвегии - 5 тыс., Монако - 5,3 тыс., Исландии - 4,4 тыс., Дании - 5,3 тыс., Австрии, Швеции и Германии по 3,6 тыс. долл.

Низкие инвестиции в здоровье людей, недоступность для большинства населения качественного медицинского обслуживания, особенно профилактического, определяют повышенную смертность и низкую рождаемость в России. И 47 место в мире по показателям здоровья населения. [8, с.285-290]

В рейтинге по продолжительности жизни в 2010 году Россия расположилась на 161-м месте из 224. В рейтинге рождаемости детей на одну женщину - на 200-м месте из 225. А по смертности на душу населения - на неблагополучно высоком 7-м месте в мире. Выше только Чад, Лесото, Украина, Гвинея-Бисау, ЦАР и Сомали. По приросту же населения РФ на 222-м месте из 233. А российская система здравоохранения по данным ВОЗ находится на 130 месте.

Однако есть и крайне позитивные показатели. Например, количество людей, впервые признанных инвалидами сократилось в 2010 году на 41 тысячу человек.

Стоит также отметить, что в 2011-2012 годах Россия увеличила расходы на систему здравоохранения до 500 миллиардов рублей. Таким образом, прирост к 2010 году составил 28%. Увеличение финансирования позитивно сказалось на состоянии отрасли здравоохранения, однако не следует исключать возможность коррупционного фактора, который способен свести к минимум позитивные изменения от дофинансирования. [20]

Теперь обратимся к системе инвестиций в интеллектуальный человеческий капитал.

В последние годы система образования в России претерпела множество реформ. Большинство из них были призваны улучшить качество российского образования и сделать его конкурентоспособным на мировом рынке труда. Однако, значительно снизил позитивные изменения от реформ коррупционный фактор. Например, такие реформы, как введение единого государственного экзамена (ЕГЭ) не искоренили коррупцию в школах и учреждениях общего среднего образования. А в некоторых регионах России довело ее до апогея.

Однако, количественные показатели системы образования достаточно позитивны. В 2010 году в России насчитывается 1,36 миллиона учителей и 13,36 миллионов учеников, которые распределяются по 53 тысячам школ (из них 34000 сельских и 19000 городских). Почти 3 000 учреждений среднего профессионального образования, в которых в 2010 году училось 2,2 миллиона студентов. А ВУЗов в России (без учета филиалов) 1114, в которых обучалось 7 миллионов студентов. Таким образом, около 8% населения являются учащимися средних и высших профессиональных образовательных учреждений. При этом конкурс на место в ВУЗе составил примерно 2,1 человека. Что свидетельствует о желании россиян вкладывать средства, время и силы в образование, повышая качество интеллектуального человеческого капитала.

В рейтинге расходов на образование в долях ВВП (3,8 - 4% ВВП в последние годы) Россия в 2009 году была на 109-м месте из 186 стран. Для сравнения: в США - 5,5% ВВП; в Швеции и Норвегии - 6,7%; Словении - 5,2%; Франции - 5,6%, Канаде - 4,9%. По качеству образования Россия заняла в 2010 году 38 (еще три года назад было 27) место в мире. [10, с.8]

Низки в России и инвестиции в НИОКР - они колеблются, по данным Росстата, все последние годы около 1-1,3% ВВП. В Германии, Дании, Австрии инвестиции в НИОКР составляют около 2,5%, в США - 2,6%, в Израиле - 4,6%, в Южной Корее и Сингапуре - 2,3%, в Японии и Финляндии - 3,4%, Швеции - 3,7%. [10, с.9]

К тому же отдача от инвестиций в науку очень низка. Основная причина - деградация человеческого капитала, слабость и неэффективность российской науки и не востребованность инноваций экономикой. В России практически отсутствуют конкурентные рынки - основной стимулятор инноваций. Процент инновационных предприятий (по данным Росстата - 9,4% в 2009 году) в России ниже, чем у государств ЕЭС. Для сравнения: в Эстонии их доля составляет 47%, в Германии - 73%, в Греции - 35%; в Бельгии, Дании, Ирландии, Австрии - около 60%. [10, с.9]

Отметим, что инвестиции в культуру, образование и науку были стабильно низкими в долях ВВП и при высоких, и при низких ценах на нефть. Низкое качество жизни, низкие инвестиции в человеческий капитал, коррупция и криминализация экономики и жизни определяют базовые механизмы торможения процессов модернизации экономики, ее роста и развития, создания эффективной инновационной системы, активизации научного и инновационного процесса. Духовная деградация проявляется, в частности, и в том, что в рейтинге частной благотворительности в 2010 году Россия заняла 138-е место из 153. [10, с.10]

Анализ процессов научно-технического развития показывает, что человеческий капитал, циклы его роста и развития являются главными факторами генерации инновационных волн развития и цикличного развития мировой экономики и общества. Причем уровень и качество национального человеческого капитала определяют верхнюю планку в развитии науки и экономики. И без поднятия качества национального человеческий капитал до уровня требуемого экономикой знаний, качества и этики труда перейти к инновационной экономике и тем более экономике знаний невозможно.

Инвестиции в российский человеческий капитал не только низки, но и их эффективность намного ниже, нежели в странах с невысоким уровнем преступности и коррупции и высоким качеством жизни. Доллар, вложенный в образование, здравоохранение или науку в США, примерно вдвое эффективнее, чем в России, по причине разворовывания средств и коррупции.

По данным McKinsey, для каждого процента прироста ВВП для быстро растущих экономик необходимо увеличение нормы накопления на 2,5%. Для России из-за неэффективности человеческого капитала и сопутствующих причин эту цифру необходимо, по крайней мере, удвоить. Поэтому для обеспечения прироста (неценового) российского ВВП на уровне 8% необходимы инвестиции порядка 40% ВВП, т.е. удвоение нынешних инвестиций в основной капитал.

Главной причиной полисистемного кризиса в России, торможения ее развития и модернизации является низкое качество российского человеческого капитала, в котором велика отрицательная составляющая в виде криминала, коррупционеров, непрофессионалов, разного рода мошенников, наркоманов, пьяниц, бомжей. Необходимо резкое и приоритетное увеличение инвестиций в человеческий капитал.

Таким образом, общая картина инвестирования государства в человеческий капитал достаточно неблагоприятна. Особенно для страны, выбравшей путь модернизации экономики.

Поскольку качество человеческого капитала зависит от состояния образования, здравоохранения и культуры, постольку необходимо изменить подход государства к финансированию отраслей социальной сферы, с учётом мировых стандартов. Необходимо, наконец, осуществить кардинальное повышение цены труда данных категорий работников. Хотя только лишь повышение финансирования и увеличение заработной платы работникам образования, здравоохранения, науки сами по себе не могут быть исчерпывающими условиями качественных изменений в жизнедеятельности общества.

Заключение

Мы рассмотрели понятие ЧК. Выяснили, что оно бывает широким и узким. Положительным и отрицательным и т.д.

Разработанность темы в экономической теории требует серьезной доработки. Известно очень мало. Учеными, получившими нобелевскую премию по экономике, за развитие данной темы стали Г. Беккер и Т. Шульц.

Между ученными до сих пор ведутся ожесточенные споры по теории человеческого капитала.

Каждый месяц пишутся новые статьи в газетах и в интернете.

Изучают теорию на четырех уровнях:

микроуровне: отдельного человека и фирмы

мезоуровне: отрасли и ТНК

макроуровне: страны в целом

мегауровне: всего мира - в полном объеме.

В курсовой работе мы рассматривали макроуровень.

Существует множество методов оценки человеческого капитала. Но выделяют два основных - это метод ООН, и метод подсчета инвестиций в человеческий капитал.

По критериям берут верхний - зафиксированный и нижний - заданный уровень.

Также основным критерием является среднестрановой показатель. Россия занимает в основном места от 40 до 80 мест по разным показателям.

Целью курсовой было изучить оценку человеческого капитала. Цель была выполнена. Последующие пути для развития имеют два направлния развития:

революционный

эволюционный

В эволюционном развитии будут совершенствоваться методы уже существующих оценок человеческого капитала.

В революционном пути будет изучен совершенно новый способ не только оценки, но и вообще подхода к теории капитала.

По ходу написания курсовой работы пришло несколько новых идей и концепции развития теорий человеческого капитала.

Это расширения понятия материнского капитала. Включающего еще и отца ребенка. Как человеческий, материнский капитал имеет каждый человек, способствующий росту и развитию индивидуума. В итоге задачей этой концепции станет создание и расчет формулы материнского капитала, а именно, какую выгоду получит общество от ведения здорового образа жизни. Рассчитать новый мультипликатор.

Еще одно направление человеческого капитала имеет больше философский смысл. Он существует уже давно. Это спор экономистов о том, что лежит в начале человеческого капитала? Материализм или духовное просвещение. Именно этот вопрос и предстоит решить. А поосле, максимально сблизить экономическую теорию и психологию. И на основе построить более глубокую форму человеческих отношений. Это нужно для дальнейшего развития и осмысления нашего существования.

Эти идеи еще получат свое продолжение. Со временем. А пока что, большое спасибо за внимание. Мы считаем, что рассмотрели цели и задачи, поставленные в начале работы.


Библиографический список

1. Андрианов, В. Национальное богатство, природные и трудовые ресурсы России / В. Андрианов // Общество и экономика. - 2013. - №4-5. - С. 127-128.

2.       Беккер Г. Экономическая теория / Г. Беккер. - НВ, 1971. - 360 с.

.        Вереникин, А.О. Человеческий капитал: концептуальные основания и особенности проявления / А.О. Вереникин // США/Канада Экономика, политика, культура. - 2005. - №3. - С. 90-97.

.        Гилева О.А. Анализ отдачи инвестиций в ЧК на примере образования в России / О.А Гилева, - Москва - 2010, - 65 с.

.        Докторович А.Б. Генезис концепций и теорий человеческого развития / А.Б. Докторович // Электронное научное издание Альманах Пространство и Время, - 2014. - №1. С. 3-14

.        Дорошенко Ю.А. Экономическое содержания понятия ЧК / Ю.А. Дорошенко // Белгородский экономический вестник. - 2011. - №1-2. - С. 6-8

.        Дятлов, С.А. Основы теории человеческого капитала / С.А. Дятлов. - СПб., 2012. - 276 с.

8. Журавлев, М.В. Управление человеческим капиталом в интересах инновационного развития: новый подход к определению/ М.В. Журавлев // Теория и практика общественного развития. - 2011. - №2. - с. 285-290

.   Кендрик Д. Совокупный капитал США и его формирование / Д. Кендрик. - М., 1978. - с. 410.

.        Медоуз Д. Пределы роста: 30 лет спустя / Д. Медоуз, Й. Рандерс, - М.: Изд-во БИНОМ. Лаборатория знаний, - 2012. - 353 с.

.        Мясоедова, Т.Г. Человеческий капитал и конкурентоспособность предприятия / Т.Г. Мясоедова // Менеджмент в России и за рубежом. - 2005. - №3. - С. 29.

.        Римашевская, Н. Человеческий потенциал России и проблемы сбережения населения / Н. Римашевская // Российский экономический журнал. - 2010. - №4. - С. 23.

.        Соболева И.В. Парадоксы измерения человеческого капитала / И.В. Соболева // Вопросы экономики. - 2010. - №9. - С. 51-70.

.        Туроу Л. Инвестиции в ЧК / Л. Туроу // Белмонт: Вэдсвортс паблишинг компани. - 1970. -№2 - С. 23-28

.        Фишер, С. Экономика / С. Фишер, Р. Дорнбуш, Р. Шманлези. / под ред. Ю.Г. Одегова. - М.: Дело ЛТД, 2012. - 289 с.

.        Шаповалов Н.Н. Современный экономический словарь / Н.Н. Шаповалов. - М.: ИНФРА-М, 2014. - 178 с.

.        Шульц Т. Инвестиции в человеческий капитал / Т. Шульц Н.Ю.; Лондон, 1971. - с. 522

.        Щетинин, В. Человеческий капитал и неоднозначность его трактовки / В. Щетинин // Мировая экономика и международные отношения. - 2011. - №12. - С. 43.

Электронные ресурсы

20. Голикова Татьяна. Доклад «Об итогах работы Минздрав соцразвития России в 2010 году и задачах на 2011 год» [Электронный ресурс] / Татьяна Голикова

21.     Данные опроса: Сохранила ли Россия качество своего народа? [Электронный ресурс]: Электронная версия газеты «Аргументы и факты». 12.11.2011

.        Заболеваемость населения алкоголизмом и алкогольными психозами [Электронный ресурс]: Федеральная служба государственной статистики. 09.05.2015. Режим доступа:

.        Заболеваемость населения наркоманией [Электронный ресурс]: Федеральная служба государственной статистики. 09.05.2015

.        Заболеваемость населения социально значимыми болезнями [Электронный ресурс]: Федеральная служба государственной статистики. 07.11.2011

25. Какие места занимает Россия в мировых рейтингах [Электронный ресурс]

26.     Модернизация и качество человеческого капитала [Электронный ресурс]: Bad news. 08.04.2010

27. Общественный интерес [Электронный ресурс]: Википедия. 13.08.11

.   Список стран по индексу человеческого развития [электронный ресурс]

29. The World Health Organization's ranking of the world's health systems [Электронный ресурс]: сайт американского географического общества. 07.11.2011

Похожие работы на - Оценка человеческого капитала

 

Не нашли материал для своей работы?
Поможем написать уникальную работу
Без плагиата!
Без нейросетей!