Человеческий капитал: экономическое содержание и факторы накопления

  • Вид работы:
    Курсовая работа (т)
  • Предмет:
    Экономика отраслей
  • Язык:
    Русский
    ,
    Формат файла:
    MS Word
    45,85 kb
  • Опубликовано:
    2010-07-02
Вы можете узнать стоимость помощи в написании студенческой работы.
Помощь в написании работы, которую точно примут!

Человеческий капитал: экономическое содержание и факторы накопления

МИНИСТЕРСТВО ОБРАЗОВАНИЯ И НАУКИ ХАРЬКОВСКИЙ НАЦИОНАЛЬНЫЙ УНИВЕРСИТЕТ имени В.Н. КАРАЗИНА

Экономический факультет

Кафедра экономической теории

и экономических методов управления





Курсовая работа:

Человеческий капитал: Экономическое содержание и факторы накопления



Исполнитель:

Студентка I-го курса

группы ЭЭ-11

Гончарова Я.А.

Научный исполнитель:

д. э. н. Ким М.Н.





Харьков - 2010

Оглавление

Введение

Глава I. Сущность человеческого капитала

1.1 Современный подход к изучению человеческого капитала

1.2 Методы оценки человеческого капитала

1.3 Оценка человеческого капитала исходя из направленных инвестиций

1.4 Оценка человеческого капитала по аналогии с физическим капиталом

1.5 Измерение человеческого капитала: проблемы и возможности

Глава II. Факторы накопления человеческого капитала

2.1 Роль образования и науки в накоплении человеческого капитала

2.2 Развитие здравоохранения и культуры как фактор накопления капитала

2.3 Значение накопления человеческого капитала

Заключение

Список использованной литературы


Введение


Перспективы мировой экономики в XXI в. определяются характером перехода стран к новому этапу развития производительных сил: от индустриальной стадии, где доминировало крупное механизированное машинное производство, к постиндустриальной, где будут превалировать сфера услуг, наука, образование и т.д. Производство материальных благ, безусловно, сохранит свою значимость, но его экономическая эффективность будет определяться в первую очередь использованием высококвалифицированных кадров, новых знаний, технологий и методов управления.

Таким образом, на передний план выдвигается способ производства и передачи знаний, собственно, сам человек - его интеллектуальный потенциал.

Поэтому все большая часть исследователей считает человеческий капитал самым ценным ресурсом постиндустриального общества, гораздо более важным, чем природное или накопленное богатство. Уже сейчас во всех странах человеческий (интеллектуальный) капитал предопределяет темпы экономического развития и научно-технического прогресса. Соответственно усиливается и интерес общества к системе образования как основе производства этого капитала.

Несмотря на безусловную востребованность теории человеческого капитала, разрабатывается она в основном американскими и английскими учеными. Большое внимание уделяется инвестированию в человеческий капитал и факторам его накопления, так как это непосредственно влияет на развитие и совершенствование человеческого капитала. В Украине развитие человеческого капитала является необходимым, но к сожалению на данном этапе оно является слабым, т.к не владеет достаточно развитой научно-технической и информационной базой. Для этого необходимо как можно глубже изучить все нюансы и требования эффективного развития человеческого капитала и определить значимость его накопления.

Глава I. Сущность человеческого капитала


1.1 Современный подход к изучению человеческого капитала


Теория человеческого капитала изучает процесс качественного совершенствования человеческих ресурсов, образуя один из центральных разделов современного анализа предложения труда. С ее выдвижением связан настоящий переворот в экономике труда. Наибольшее значение имели:

1) выделение "капитальных", инвестиционных аспектов в поведении агентов на рынке труда;

2) переход от текущих показателей к показателям, охватывающим весь жизненный цикл работников (таким, как пожизненные заработки);

3) признание человеческого времени в качестве ключевого экономического ресурса.

Идея человеческого капитала имеет давние корни в истории экономической мысли. Одна из ее первых формулировок обнаруживается в "Политической арифметике" У. Петти. Позднее она нашла отражение в "Богатстве народов" А. Смита, "Принципах" А. Маршалла, и работах многих других ученых. Однако как самостоятельный раздел экономического анализа теория человеческого капитала оформилась только на рубеже 50-60-х годов 20 века. Заслуга ее выдвижения принадлежит известному американскому экономисту, лауреату Нобелевской премии Т. Шульцу, а базовая теоретическая модель была разработана в книге Г. Беккера (также лауреата Нобелевской премии) "Человеческий капитал" (первое издание 1964 г). Эта книга стала основой для всех последующих исследований в данной области и была признана классикой современной экономической науки. [2, стр.47]

Т. Щульц внес огромный вклад в становление теории человеческого капитала на начальном этапе ее развития, в ее принятие научной общественностью и популяризацию. Он одним из первых ввел понятие человеческого капитала как производительного фактора. И сделал многое для понимания роли человеческого капитала как главного двигателя и фундамента индустриальной и постиндустриальной экономик.

Основными результатами инвестиций в человека Шульц считал накопление способностей людей к труду, их эффективную созидательную деятельность в обществе, поддержание здоровья и т.д. Он полагал, что человеческий капитал обладает необходимыми признаками производительного характера. ЧК способен накапливаться и воспроизводиться. По оценкам Шульца, из производимого в обществе совокупного продукта на накопление человеческого капитала используется уже не 1/4, как следовало из большинства теорий воспроизводства XX века, а 3/4 его общей величины.

Г. Беккер, пожалуй, первым перенес понятие ЧК на микроуровень. Человеческий капитал предприятия он определил как совокупность навыков, знаний и умений человека. В качестве инвестиций в них Беккер учел в основном затраты на образование и обучение. Беккер оценил экономическую эффективность образования, прежде всего, для самого работника. Дополнительный доход от высшего образования он определил следующим образом. Из доходов тех, кто окончил колледж, он вычитал доходы работников со средним общим образованием. Издержками образования считались как прямые затраты, так и альтернативные издержки - упущенный доход за время обучения. Отдачу от инвестиций в образование Г. Беккер оценил как отношение доходов к издержкам, получив примерно 12-14% годовой прибыли. [14]

Особый вклад Беккер внес в теории конкуренции, стратегии и развития фирмы. Он ввел различение между специальными и общими инвестициями в человека. И выделил особое значение специального обучения, специальных знаний и навыков. Специальная подготовка работников формирует конкурентные преимущества фирмы, характерные и значимые особенности ее продукции и поведения на рынках, в конечном итоге, ее ноу-хау, имидж и бренд. В специальной подготовке заинтересованы в первую очередь сами фирмы и корпорации, и они финансируют ее. Эти работы Беккера стали основой создания современной теории фирмы и конкуренции. Общая подготовка косвенным образом оплачивается самими работниками, когда стремясь к повышению квалификации, они соглашаются на более низкую в период обучения заработную плату; им же достается и доход от общих инвестиций. Напротив, специальная подготовка финансируется по большей части самими фирмами, которым поступает и основной доход от нее. Понятие специального человеческого капитала помогло объяснить, почему среди работников с продолжительным стажем работы на одном и том же месте текучесть ниже и почему заполнение вакансий в фирмах происходит в основном за счет внутренних продвижений по службе, а не за счет наймов с внешнего рынка.

Еще одна область, где вклад Г. Беккера в теорию человеческого капитала оказался особенно весом - это анализ проблем экономического неравенства. Используя разработанный им аппарат кривых спроса и предложения инвестиций в человеческий капитал, Г. Беккер сформулировал универсальную модель распределения личных доходов. Неодинаковое расположение кривых спроса на инвестиции в человеческий капитал отражает неравенство в природных способностях учащихся, тогда как неодинаковое расположение кривых предложения - неравенство в доступе их семей к финансовым ресурсам.

Предложенная Г. Беккером модель объясняет неравенство доходов не только от труда (фактически - от человеческого капитала), но и от собственности (от полученных в дар или по наследству иных активов). Отдача от вложений в человека в среднем выше, чем от вложений в физический капитал. Однако в случае человеческого капитала она убывает с ростом объема инвестиций, тогда как в случае иных активов (недвижимость, ценные бумаги и т.п.) уменьшается мало или вообще не меняется. Поэтому стратегия рациональных семей такова: инвестировать сначала в человеческий капитал детей, поскольку отдача от него сравнительно больше, а затем, когда по мере убывания она сравнивается с нормой доходности прочих активов, переключаться на инвестирование в них, чтобы впоследствии передать эти активы детям. Отсюда Беккер сделал вывод, что семьи, оставляющие наследства, производят инвестиции в человеческий капитал детей в оптимальном размере, тогда как семьи, не оставляющие наследства, чаще всего недоинвестируют в их образование. [13]

Развитие теории человеческого капитала шло в русле неоклассического направления. В последние десятилетия исходный для неоклассиков принцип оптимизирующего поведения индивидуумов начал распространяться на различные сферы внерыночной деятельности человека. Понятия и методы экономического анализа стали применяться для изучения таких социальных явлений и институтов как образование, здравоохранение, миграция, брак и семья, преступность, расовая дискриминация и т.д. Теорию человеческого капитала можно рассматривать как одно из проявлений этой общей тенденции, получившей название "экономического империализма".

Под человеческим капиталом понимается воплощенный в человеке запас способностей, знаний, навыков и мотиваций. Его формирование, подобно накоплению физического или финансового капитала, требует отвлечения средств от текущего потребления ради получения дополнительных доходов в будущем. К важнейшими видами человеческих инвестиций относят образование, подготовку на производстве, миграцию, информационный поиск, рождение и воспитание детей.

Центральное место в теории человеческого капитала принадлежит понятию внутренних норм отдачи. Они строятся по аналогии с нормами прибыли на капитал и позволяют оценивать эффективность человеческих инвестиций, прежде всего - в образование и производственную подготовку. Теоретики человеческого капитала исходят из представления, что при вложении средств в подготовку и образование учащиеся и их родители ведут себя рационально, взвешивая соответствующие выгоды и издержки. Подобно "обычным" предпринимателям, они сопоставляют ожидаемую предельную норму отдачи от таких вложений с доходностью альтернативных инвестиций (процентами по банковским депозитам, дивидендами по ценным бумагам и т.д.). В зависимости от того, что экономически целесообразнее, принимается решение либо о продолжении учебы, либо о ее прекращении. Нормы отдачи выступают, следовательно, как регулятор распределения инвестиций между различными типами и уровнями образования, а также между системой просвещения в целом и остальной экономикой. Высокие нормы отдачи свидетельствуют о недостаточном инвестировании, низкие - об избыточном инвестировании. Различают частные и социальные нормы отдачи. Первые измеряют эффективность вложений с точки зрения отдельных инвесторов, вторые - с точки зрения всего общества.

Существует два основных подхода к расчету норм отдачи. Первый основан на прямом измерении выгод и издержек. Например, доход от высшего образования можно представить как разность в пожизненных заработках тех, кто окончили колледж, и тех, кто не пошли дальше средней школы. В состав издержек помимо прямых расходов включаются потерянные заработки, то есть доход, недополученный учащимися за годы учебы. (По существу, они измеряют ценность времени учащихся, затраченного на формирование человеческого капитала) На потерянные заработки приходится до двух третей суммарных издержек обучения. Внутренняя норма отдачи будет представлять собой такую ставку дисконта, при которой приведенные величины выгод и издержек образования окажутся равны.

Второй подход исходит из оценки параметров так называемой "производственной функции заработков", которая описывает зависимость заработков человека (точнее - их логарифма) от уровня его образования, трудового стажа, продолжительности отработанного времени и других факторов. Разработка этого класса функций связана с именем Дж. Минцера, доказавшего, что в рамках подобной модели коэффициент перед образовательной переменной будет эквивалентен показателю внутренней нормы отдачи. Это существенно упростило оценку эффективности вложений в образование.

Оценки внутренних норм отдачи критиковались на том основании, что высокие заработки образованных работников могут свидетельствовать не о полезности приобретенных ими знаний и навыков, а быть следствием их природной одаренности или происхождения из более обеспеченных семей. Однако эмпирический анализ показывает, что как фактор способностей, так и фактор социального происхождения не играют большой самостоятельной роли. Если они и оказывают воздействие на заработки, то в основном косвенным путем, влияя на объем и качество получаемого образования.

Производственная подготовка в понимании теоретиков человеческого капитала охватывает как формальное обучение внутри фирм, так и накопление опыта непосредственно по ходу трудовой деятельности. Глубокий анализ проблем производственной подготовки был дан в работах Дж. Минцера. Согласно его оценкам, объем инвестиций в подготовку на производстве сопоставим с объемом инвестиций в формальное образование. Нормы ее отдачи также не уступают нормам отдачи формального образования.

Благодаря теории человеческого капитала вложения в человека стали рассматриваться как источник экономического роста, не менее важный, чем "обычные" капиталовложения.Т. Шульц, Э. Денисон, Дж. Кендрик и др. произвели количественную оценку вклада образования в экономический рост. [2, стр.51-52] Было установлено, что на протяжении XX века накопление человеческого капитала опережало темпы накопления физического капитала. По расчетам Э. Денисона, прирост дохода на душу населения в США в течение послевоенного периода был на 15-30% обусловлен повышением образовательного уровня рабочей силы. Опыт таких стран как Гонконг, Сингапур, Южная Корея подтверждает, что ставка на инвестиции в образование и здравоохранение является наиболее эффективной стратегией экономического развития.

Идеи, заложенные в теории человеческого капитала, оказали серьезное воздействие на экономическую политику государства. Благодаря ей изменилось отношение общества к вложениям в человека. В них научились видеть инвестиции, обеспечивающие производственный, причем долговременный по своему характеру, эффект. Это обеспечило теоретическое обоснование для ускоренного развития системы образования и подготовки кадров во многих странах мира.

Под влиянием теории человеческого капитала, в которой образованию отводится роль "великого уравнителя", произошла определенная переориентация социальной политики. В частности, программы подготовки стали рассматриваться как эффективное орудие борьбы с бедностью, возможно, более предпочтительное, чем прямое перераспределение доходов. Важный вывод состоял в том, что общепринятые оценки экономического неравенства, основанные на измерении текущих, а не пожизненных доходов, являются преувеличенными. Молодежь, инвестирующая в свое образование, сознательно отдает предпочтение низким текущим доходам с тем, чтобы получить впоследствии доступ к высокооплачиваемым рабочим местам. Более низкие заработки женщин во многом объясняются тем, что они относительно меньше инвестируют в навыки, имеющие рыночную ценность, и относительно больше - в навыки, имеющие ценность в домашнем производстве. Это заметно сужает поле для вмешательства государства.

В 70-е годы теория человеческого капитала подверглась атакам со стороны так называемой теории фильтра (среди ее авторов известные экономисты и социологи - А. Берг, М. Спенс, Дж. Стиглиц (Stiglitz, Jhon), П. Уилс (Wiles, Peter), К. Эрроу). Согласно этой теории, образование представляет собой механизм, сортирующий людей по уровню их способностей. Информация об этом достается фирмам даром, помогая отбирать наиболее перспективных кандидатов на рабочие места. Более высокая производительность оказывается связана не с полученным работниками образованием, а с их личными способностями, которые существуют до и помимо него и которые оно просто делает явными. Теория фильтра не ставит под сомнение выгодность обладания дипломом для отдельного человека. Но для общества в целом содержание такого дорогостоящего сигнального устройства как система образования заведомо неэффективно, поскольку известны намного более простые и дешевые методы проверки деловых качеств.

Аргументы теории фильтра, как показали ее критики, недостаточно убедительны. Даже в качестве средства отбора образование может содействовать повышению эффективности, помогая будущим работникам, не имеющим достаточной информации о собственных возможностях, узнавать себя лучше и находить в экономической системе наиболее подходящие ниши. Вопреки утверждениям теории фильтра фирмы не полагаются при отборе персонала на образовательные удостоверения, а затрачивают немалые средства на его тестирование. Неспособна она объяснить и высокие нормы отдачи образования у фермеров, которые не являются наемными работниками и которым незачем сигнализировать о своих способностях с помощью дипломов.

Вместе с тем теория фильтра заставила с большей осторожностью относиться к выводам и рекомендациям, выработанным теорией человеческого капитала. Большинство исследователей согласны с тем, что их нужно рассматривать не столько как противоположные, сколько как взаимодополняющие подходы.

 

1.2 Методы оценки человеческого капитала


Совершено очевидно, что именно человеческий капитал - является фундаментом капитала знаний предприятия, поскольку все остальные компоненты или являются производными деятельности человеческого капитала, или влияние человеческого фактора на остальные компоненты имеет определяющее значение.

Единой методики оценки человеческого капитала не существует. Известны различные точки зрения авторов, которые можно кратко изложить следующим образом. Одним из наиболее распространенных методов является исчисление человеческого капитала отдельной личности и его оценки в структуре интеллектуального капитала предприятия. Данной теории придерживаются такие ученые как У. Фарр, Л. Дублин и др.

В основу метода положена попытка оценки приведенной стоимости потока затрат, связанных с формированием человеческого капитала и будущего потока доходов, которое обеспечит получение человеческого капитала конкретной личности. Рассмотрим подробнее некоторые методы оценки человеческого капитала.

Качественный (экспертный) метод оценки человеческого капитала

Суть данного подхода к оценке человеческого капитала заключается в том, что оценке подвергаются качественные показатели, характеризующие как индивидуальные особенности конкретного работника, так и свойства работников предприятия в совокупности.

Качественные характеристики конкретного сотрудника являются неотъемлемой частью попытки его стоимостного измерения, поскольку именно наличие таких качественных характеристик как способность нестандартно мыслить, использовать навыки и опыт в сочетании с интуицией и др. В частности, названные качественные характеристики являются неотъемлемой частью капитала знаний предприятия. Вклад персонала в общие результаты определяется по следующим направлениям:

вклад в развитие новых научных направлений;

вклад в увеличение доходов предприятия;

вклад в развитие отношений с заказчиками;

вклад в координацию деятельности подразделений;

вклад в успешное выполнение линейных функций.

В рамках экспертного подхода оцениваются как качественные характеристики конкретного работника, так и совокупность свойств человеческого (кадрового) потенциала. При большей объективности данной методики используются весовые коэффициенты. Порядок расчета включает в себя три стадии.

1. Определение ключевых показателей, идентифицирующих вклад работника в капитал знаний предприятия.

2. Установление весовых долей (коэффициент значимости) для каждого показателя, исходя из того, насколько часто каждый показатель проявляется у аттестуемого.

3. Определение по бальной шкале для оценки каждого показателя.

1.3 Оценка человеческого капитала исходя из направленных инвестиций


Одним из основных конкурентных преимуществ предприятия является его инновационная политика.

Любую инновационную политику разрабатывают (создают) и внедряют сотрудники, поэтому эффективность функционирования предприятия напрямую зависит от того, насколько грамотны и образованы эти сотрудники. Исходя из этого, очевидна необходимость постоянного и непрерывного обучения сотрудников предприятия.

Можно рассматривать сумму затрат в образование, переподготовку, конкретного сотрудника или всех работников предприятия как долгосрочные инвестиции в капитал знаний данного предприятия. Однако инвестиции в человеческий капитал являются оправданными, когда прослеживается тенденция повышения эффективности деятельности предприятия и пролеживается вклад конкретного сотрудника в данной тенденции. Именно эта закономерность положена в основу оценки человеческого капитала метод инвестиций (затрат на образования).

По мнению В.В. Лукашевича, процесс инвестирования в человеческий капитал можно подразделить на восемь этапов затраты на получения образования, затраты на поиск и найм персонала, затраты на персонал в период обучения, затраты на персонал в период накопления потенциала роста.

Окончил экономический факультет ЛГУ, кандидат экономических наук.

затраты на персонал в период достижения профессионализма, затраты на персонал в период

обучения, повышение квалификации, затраты на персонал в период снижения и "морального старения" профессионализма.

Все затраты в человеческий потенциал условно можно разделить по источникам финансирования:

финансирование за счет средств федерального бюджета - это затраты на образование в учебных заведениях (школа, среднеобразовательные заведения, высшие учебные заведения и др.)

затраты складывающиеся за счет средств и времени конкретного человека. Самофинансирование или самообразование играет ключевую роль в формировании человеческого капитала.

На каждом этапе экономическая эффективность обучения определяется соотношением затрат и результатов.

Результатом инвестиций в человеческий капитал следует считать повышение производительности труда.

Между этими показателями существует определенная зависимость, которую можно выразить следующей формулой [8]:

Э = (В - Вn) * Ц: З, [6]

где Э - эффективность инвестиций в человеческий капитал на i-м этапе; Bn - выработка работника до обучения; В - выработка работника после обучения; Ц - цена единицы продукции; З - инвестиции в человеческий капитал.

1.4 Оценка человеческого капитала по аналогии с физическим капиталом


Между физическим и человеческим капиталом есть определенные сходства, которые позволяют провести оценку человеческого капитала по аналогии с физическим.

Во-первых, и человеческий и основной (материальный) капитал участвуют в процессе деятельности хозяйственной деятельности предприятия, формируют конечные финансовые результаты.

Во-вторых, как основному капиталу присущ процесс износа, так и человеческий капитал со временем обесценивается, так как часть знания забывается или устаревает. Несомненно, есть весьма существенные различия между данными понятиями. Человеческий капитал является частью капитала знаний, для которого характерен и закономерен мультипликативный эффект, то есть увеличение и развитие каждого компонента капитала знаний приводит не просто к простому суммированию указанных компонентов, а вызывает синергетический эффект (возрастание эффективности деятельности в результате интеграции, слияния отдельных частей в единую систему - за счет системного эффекта). Кроме того, являясь стратегическим ресурсом предприятия, человеческий капитал предопределяет развитие, совершенствование и управление материальным или основным капиталом.

Тем не менее, указанные сходства позволяют провести попытку оценки человеческого капитала на основе модели оценки основного (физического) капитала, для чего необходимо:

1. Определить "первоначальную стоимость" конкретного сотрудника. Для этого можно использовать различные методы тестирования и аттестации сотрудников.

2. Определить коэффициент "устаревания" (забывания) знаний, так как человеческий капиталу со временем утрачивает часть накопленных знаний, в то время как основной капитал подвергается физическому и моральному износу.

После определения первоначальной стоимости необходимо определить коэффициент устаревания и забывания знаний человека. Для этих целей необходимо определить срок участия конкретного работника в деятельности

предприятия. В данном случае этот срок можно определить исходя их двух допущений:

Срок, указанный в трудовом договоре конкретного сотрудника (в случае, если между работником и работодателем заключен срочный трудовой договор). Во многих западных компаниях, при приеме на работу ключевых сотрудников, оговаривается период, в течение которого работник обязан работать в данной компании, и в случае ухода работника, раньше срока оговоренного в трудовом договоре (контракте), по причинам, не оговоренным в данном контракте, работник обязуется уплатить определенную сумму неустойки, также заранее оговоренную в данном контракте. В этом случае такие контракты с ведущими сотрудниками компания рассматривает как интеллектуальный актив и раскрывает информацию по ним в интеллектуальных отчетах.

Если между работником и работодателем заключен бессрочный трудовой договор целесообразно установить срок работы работника на предприятия исходя из требований законодательства конкретной страны к определению срока полезного использования других видов нематериальных активов.

3. Определить порядок изменения "первоначальной стоимости" сотрудника. Основные средства совершенствуются посредством проведения модернизации, реконструкции, в свою очередь, человеческий капитал совершенствуется посредством направленных в его развитие инвестиций.

При определении коэффициента устаревания знаний (забывания определенных знаний или информации) необходимо использовать статистические данные, отражающие зависимость между усвояемостью новых знаний и процессом забывания имеющихся. Данная величина должна быть скорректирована на поправочный коэффициент, представляющий собой эмпирически полученное значение устаревания знаний применительно к определенной сфере деятельности. Также можно использовать метод, предложенный Ю.В. Козырем при определении запаса знаний с учетом фактора устаревания [7]:

В основе данного метода лежит аналог метода накопления активов. В рамках этого метода при оценке знаний необходимо оценить объем накопленных индивидуумом знаний, сделать поправки на их устаревание и забывание, и перемножить каждый скорректированный объем знаний определенного вида на стоимость единицы объема знаний этого вида:

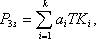
 [1]

где P3з - стоимость накопленных знаний, ai - эмпирически определяемые коэффициенты, ставящие в соответствие стоимость и объем накопленных знаний типа i, TKi - суммарно накопленные знания типа i, k - количество видов (типов) знаний.

Суммарно накопленные знания индивидуума должны определяться с учетом факторов устаревания полученных знаний (морального износа) и забывания:

 [11]

где tki - накопленные знания i-го типа полученные в j - й период, Ai - моральный износ знаний типа i в единицу времени (моральный износ), З - забывание в единицу времени знаний индивидуумом, b - эмпирический числовой коэффициент, обратный по размерности времени, t - время необходимое для получения знаний в объеме TK.

Совокупность величины человеческого капитала в целом, на наш взгляд необходимо определить не простым арифметическим сложением, поскольку в данном случае четко прослеживается синергетический эффект от взаимодействия сотрудников.

1.5 Измерение человеческого капитала: проблемы и возможности


Сама мысль оценки человеческого капитала и измерение его стоимости кажутся несколько некорректными. Однако необходимо признать, что существуют объективные причины необходимости формализации человеческого капитала его измерения для последующего эффективного управления. Имеющиеся методы измерения человеческого капитала имеют ряд существенных недостатков.

Экспертный метод (метод качественной оценки) является важным звеном в системе методов оценки человека, поскольку из всех существующих моделей, наиболее объективно оценивает качественные составляющие человеческого капитала, однако ограничение только данным методом не позволяет получить стоимостное измерение человеческого капитала. Это очевидно, ввиду невозможности адекватного перехода от качественных показателей к количественным. Любая формализация неизбежно субъективна и может рассматриваться только в контексте рассматриваемой компании, и соответственно исключает возможность сопоставления, что сводит данную модель исключительно к попытке обоснованного управления человеческим капиталом, но никак не оценки.

Если рассматривать недостатки затратного подхода к оценке человеческого капитала (метод инвестиций), то на наш взгляд, опять возникает проблема объективного расчета всех инвестиций в человеческий капитал. В данной модели нельзя отождествлять инвестиции в человека с его "справедливой стоимостью", поскольку нивелируются затраты на самообразования, играющие ключевую роль в формировании человеческого потенциала. Если рассматривать инвестиции только на уровне компании, назначением которых является улучшение показателей деятельности конкретного работника, повышение его квалификации, навыков, то необходимо оценить эффективность направленных инвестиций, что в конечном итоге должно найти адекватное отражение в формировании финансовых результатов деятельности компании. Объективную сложность также представляет собой попытка определения удельного веса эффективности конкретного работника в общем финансовом результате компании. Таким образом, при данном подходе нельзя пренебречь влиянием внешних факторов, которые могут оказывать существенное влияние на формирование финансовых результатов компании. Кроме того, определенные сложности возникают с бухгалтерским и налоговым учетом инвестиций в человеческий капитал и измерением получаемых результатов. Затраты на обучение персонала и повышение его квалификации по правилам финансового учета следует относить к расходам, а не к инвестициям.

При анализе метода оценки человеческого капитала по аналогии с физическим (основным) капиталом вызывает сложность объективная оценка первоначальной стоимости, определения срока работы конкретного сотрудника в компании (то есть выбор рационального способа начисления коэффициента устаревания и забывания), а также сложность ведения учета, громоздкость оценки, которая в большей степени удобная для крупных компаний.

Конечно, можно попробовать провести сочетание указанных методов оценки и применять их в рамках конкретной компании, однако на наш взгляд, указанные недостатки таким образом можно минимизировать, но нельзя избежать.

Объективная и достоверная оценка человеческого капитала, на наш взгляд, обречена на неудачу, поскольку на результаты деятельности человека оказывают влияние огромное количество разнообразных факторов, не поддающихся количественной оценке. Кроме того, сочетание данных факторов может приводить к непредсказуемым последствиям поведения человека в различных обстоятельствах в течение определенного промежутка времени.

Факторы, оказывающие влияние на поведение человека и как следствие на результаты его деятельности можно условно разделить на следующие группы: биологические, физиологические, социальные, психологические. На наш взгляд, одним из ключевых факторов, напрямую влияющих на эффективность деятельности конкретного работника, является мотивация. Очевидно, что результаты труда зависят от природных способностей и приобретенных навыков, но именно мотивация является источник трудовой активности личности.

Результаты анализа сводятся к тому, что объективной, единой методики оценки человеческого капитала не существует и вряд ли она возможна. Означает ли это, что нужно отказаться от попытки формализации и измерения стоимости человека? Конечно нет. Однако необходимо признать, что данные модели рассматриваются в большей степени как качественные характеристики оценки человеческого капитала, они необходимы, но в большей степени предназначены для внутреннего менеджмента.

В то же время очевиден вывод невозможности оценки отдельных составляющих интеллектуальных активов, в том числе фундамента капитала знаний компании - человеческого капитала, в связи с чем оценка капитала знаний должна носить комплексный характер и ориентирована она должна быть в первую очередь на формирование справедливой стоимости компании.

Глава II. Факторы накопления человеческого капитала


2.1 Роль образования и науки в накоплении человеческого капитала


В современных условиях конкурентные преимущества экономических систем во многом достигаются не за счет природных ресурсов, а знаний, информации, инноваций, которые выступают основой экономического роста стран. Этим объясняется все возрастающий интерес, проявляемый к развитию человеческого капитала ведущими зарубежными и отечественными учеными. Как утверждает Л. Туроу: "Концепция человеческого капитала играет центральную роль в современном экономическом анализе" [12, стр.15], а М. Боуман назвала открытие человеческого капитала "революцией экономической мысли" [5, стр.83]. Наиболее емким представляется определение человеческого капитала, предложенное С. Дятловым. Человеческий капитал им рассматривается как "сформированный в результате инвестиций и накопленный человеком определенный запас здоровья, знаний, навыков, способностей, мотиваций, которые целесообразно используются в той или иной сфере общественного воспроизводства, содействуют росту производительности труда и производства, и тем самым влияют на рост доходов (заработков данного человека)" [9, стр.400].

По вопросам структуры человеческого капитала у экономистов нет единого мнения. Так Г. Беккер предлагает выделять в нем капитал образования, здоровья, профессиональной подготовки, миграции, а также обладание экономически значимой информацией и мотивацией к экономической деятельности. Л. Туроу включает в человеческий капитал такие черты как "уважение к политической и социальной стабильности".В. Марцинкевич анализирует влияние на созидательный потенциал человека его активности, ответственности, честности, коллективизма, коммуникабельности [10, стр.14]. Несмотря на явную противоречивость понимания структуры человеческого капитала, все исследователи единодушны в признании огромного значения образовательного фактора, т.е. знаний, навыков, умений и способностей к их восприятию и периодическому обновлению - всего того, что закладывает в человеке формальное образование.

Многие исследователи пытались отделить влияние фактора образования на рост будущих доходов от влияния здоровья, способностей, социального происхождения. Результаты, к которым пришли разные ученные в отношении значения образовательного фактора, практически совпадают: суммарное воздействие всех факторов, за исключением образования, составляет не более 40%, следовательно 60% доходов человека объясняются уровнем его образования [3, стр.81]. Роль образования заключается не только в увеличении уровня доходов, но и в расширении возможностей человека, доступности благ, делающих его жизнь более интересной, содержательной, счастливой. Образование рассматривается как необходимое благо для укрепления здоровья и обеспечения активного долголетия человека, для воспитания более здорового и благополучного потомства, для сохранения благоприятной окружающей среды, для взаимопонимания различных групп населения. Страны с развитой рыночной экономикой уже давно главной формой завершенных капиталовложений общества рассматривают преимущественное развитие человека, особенно это касается стран, не обладающих запасами сырьевых ресурсов и стран с разрушенной в годы Второй мировой войны материальной базой, таких, как Тайвань, Корея, Япония, Германия. Например, в США стоимость всех материальных и трудовых затрат на обучение работника составляет не менее 400 тыс. долл., а на подготовку научно-технического работника (на всех этапах его жизни) затрачивается суммарно до 800 тыс. долл., в то время как стоимость машин, техники и оборудования, приходящаяся на одного занятого в производстве, составляет 15-16 тысяч долл [13]. Стратегия, рассчитанная на человеческий фактор, обеспечила и продолжает обеспечивать этим странам высокую динамику экономического развития и высокую степень социализации. Выделение фактора человеческого капитала позволяет выявить принципиально важный источник экономического роста - образование людей. Следовательно, на смену взглядов на образование как не потребляющее и непроизводительное приходит концепция, в которой подчеркивается, что современное образование приобретает особую экономическую роль в жизни общества. В узком смысле одной из составляющих человеческого капитала является образование. Эта составляющая становится частью человека и представляет собой источник будущих удовлетворений или будущих заработков, либо того и другого вместе.

В широком смысле человеческий капитал формируется путем инвестиций в человека. К. Макконелли и С. Брю выделяют следующие виды инвестиций в человеческий капитал: расходы на образование - включая общее и специальное, формальное и неформальное, подготовку на рабочем месте; расходы на здравоохранение - расходы на профилактику заболеваний, медицинское обслуживание, диетическое питание, улучшение жилищных условий; расходы на мобильность, благодаря, которым работник мигрирует из мест с относительно низкой производительностью в места с относительно высокой производительностью [9, стр.400]. Сегодня одним из важнейших компонентов вложений в человеческий капитал во всех странах являются расходы на подготовку на рабочем месте. В любом обучающем проекте до 80% знаний приходится на самостоятельное обучение. Особенно это относится к профессиям специалистов - исследователей, учителей, инженеров, экспертам по компьютерам и т.д., которые призваны непрерывно обновлять квалификацию через индивидуальное изучение литературы, использование независимых обучающих программ, обучение на примере деятельности, опыта и оценок (мнений) других людей. Понятие человеческого капитала опирается на два определения образования - как ресурса (собственно человеческий капитал) и как системы (в которой происходит его накопление), что позволяет перекинуть мост между экономическим и социологическим подходом к образованию.

Экономический подход рассматривает образование как источник экономического роста, дает его оценку с позиций экономической эффективности через повышение качества рабочей силы и производительности труда. Накопление человеческого капитала происходит как в процессе школьного обучения, закладывающего базовые знания и навыки, так и во время обучения послешкольного, нацеленного на получение определенной профессии, а также в рамках профессиональной деятельности. Причем полученные на предыдущих этапах обучения умения и знания повышают эффективность дальнейших инвестиций в человеческий капитал и, как следствие, обеспечивают возможность успешной деятельности в различных областях. Высшее учебное заведение дает определенные профессиональные знания и навыки, возможность их практического применения и получения первоначального представления о профессиональном рынке труда в виде производственной практики. Также вуз обеспечивает образовательные кредиты, котирующиеся на рынке труда и подтвержденные репутацией и именем вуза: дипломы бакалавра, специалиста, магистра и свидетельства о получении научных степеней. Но наиболее важной его функцией является развитие общего культурного капитала, закладывающего универсальную основу для дальнейшей профессиональной деятельности и последующего развития. В макро-масштабе высокообразованная рабочая сила представляет собой человеческий потенциал страны. Таким образом, состояние современной системы образования, в конечном счете, предопределяет развитие страны на ближайшие годы. Поэтому логично утверждать, что образование является ведущей отраслью производства человеческого капитала, фундаментом будущего благополучия человека и всего общества.

Для Украины традиционными являются высокие стандарты образования и значительные достижения в развитии этой отрасли. Уровень охвата образования выше, чем в странах со средним доходом, а во многих случаях достигает уровня стран с высоким уровнем доходов. Грамотность среди взрослого населения является почти всеобщей, а доля людей с высшим образованием превышает уровень многих стран с существенно выше ВВП на душу населения. Согласно "Отчету о развитии человека за 2004 год" в Украине за 2002 год уровень грамотности взрослого населения имеет показатель 99,6%, уровень грамотности молодежи - 99,9%, совокупная доля учащихся - 84%, а индекс уровня образования - 0, 94.34 страны, которые находятся впереди Украины по общему индексу человеческого развития, имеют индекс уровня образования меньше, чем в нашей стране, и в общем итоге по индексу уровня образования Украина занимает 36 место среди 177 государств. С точки зрения концепции человеческого развития в системе образования и профессиональной подготовки в Украине за годы независимости оказываются как положительные, так и негативные стороны и тенденции. [2, стр.227]

2.2 Развитие здравоохранения и культуры как фактор накопления капитала


Физическая сила, выносливость, работоспособность, иммунитет к болезням, увеличение периода активной трудовой деятельности необходимы каждому человеку, в любой сфере профессиональной деятельности. Мы осознаем огромное, капитальное значение здоровья человека и нации от противного, при потерях здоровья и увеличении смертности населения.

Здоровье и долголетие - не только следствие, но и важнейшие предпосылки развития человеческого потенциала. Наличие двусторонних связям можно сформулировать следующим образом.

С одной стороны, увеличение продолжительности жизни, улучшение здоровья являются: следствием индустриального развития; прогрессу науки (в том числе медицины. Повышение гигиенической культуры населения и образовательного уровня вообще; ликвидации априорной, внешней неравенства.

С другой стороны, увеличение продолжительности жизни, улучшения здоровья являются: необходимым условием трудовой реализации, повышения эффективности труда, прогресса экономики; повышения уровня образования, прогресса науки вообще (обучаемость, связи между поколениями, накопление знаний); начальной равенства людей вообще и равенства мужчин и женщин, в частности; реального права выбора. [2, стр.152]

Капитал здоровья является неотъемлемой частью человеческого капитала, В течение всей жизни индивидуума происходит износ этого капитала, все более и более ускоряющийся с возрастом. (Смерть понимается как полное обесценивание фонда здоровья), инвестиции в человеческий капитал выражаются в сохранении работоспособности за счет уменьшения заболеваемости и увеличения продуктивного периода жизни. Уровень здоровья во многом зависит от качества услуг здравоохранения, которое сопровождает человека с самого рождения до его пенсионного возраста. Инвестиции в здоровье обеспечивают нормальный оборот рабочей силы в производстве. Снижение здоровья, заболеваемость, инвалидность выражаются в нетрудоспособности. Поток услуг, производимых фондом здоровья, сводится, таким образом, к "свободному от болезней времени". Большинство западных исследователей полагают, что лица с лучшей образовательной подготовкой более эффективны в производстве и использовании своего "капитала здоровья": ведут более здоровый образ жизни, избирают в среднем не такие вредные и опасные профессии, разумнее пользуются медицинскими услугами и т.д.

Безусловно, чем меньше болезней, тем выше уровень здоровья населения страны и отдача от капиталовложений в здравоохранение.

Расходы на здравоохранение, складываются из расходов на профилактику заболеваний, медицинское обслуживание, диетическое питание, улучшение жилищных условий. [4, стр.309]

Очевидная связь здоровья со способностью к эффективному труду и повышения личного и общественного благосостояния. Низкий уровень здоровья населения препятствует развитию экономики страны. [2, стр.155]

Целенаправленная деятельность учреждений культуры и искусства по сохранению, созданию, распространению и освоению культурных ценностей способна удовлетворять социальные, интеллектуальные и материальные потребности людей, устанавливать социальную стабильность в обществе, при этом, эффективно формируя, сохраняя и развивая человеческий капитал общества.

На современных предприятиях формируемая организационная

культура. Она должна ориентировать персонал на постоянное обучение, ротацию, внесение рационализаторских предложений, повышение квалификации, что обуславливается высокой скоростью научно-технического прогресса, изменений рыночных условий и т.п.

Эффективная организационная культура - это культура,

способствующая росту прибыли организации, ее капитализации, рыночной стоимости. Организационная культура - это потенциал организации, который проявляется в конкретных экономических и финансовых показателях в будущем.

2.3 Значение накопления человеческого капитала


Человеческий капитал признан самым ценным ресурсом, более важным, чем природные ресурсы или накопленное богатство. Именно человеческий капитал, а не материальные средства производства, является краеугольным камнем конкурентоспособности, экономического роста и эффективности. Теория человеческого капитала научными методами доказывает эффективность, экономическую целесообразность инвестиций в развитие человека. Именно поэтому на научной базе теории человеческого капитала появилась и получила бурное развитие в глобальном масштабе концепция человеческого развития. [2, стр.81]

Теория человеческого капитала стала в развитых странах поворотным пунктом в мотивации человеческого развития, в тенденциях отношения к отраслям социальной сферы, обеспечивающих это развитие, - образования, здравоохранения, культуры и др., в частности в аспекте ресурсного их обеспечения. Доведение доходности инвестиций в человеческий капитал, в частности, расходов на образование, способствовало признанию ее правящими кругами многих стран важным фактором экономического развития, а руководителями предприятий - фактором роста производительности труда и эффективности производства. В значительной мере благодаря теории человеческого капитала общественное признание получила неформальное образование, образование взрослых, бурного развития приобрели образовательно-профессиональные программы предприятий. В развитых странах, и в большей степени - в странах, стремящимся к быстрому и успешному развитию, образование культивируется как экономически рациональная деятельность человека не только в ее молодом возрасте, но и в течение всей жизни. Пожизненное или непрерывное образование стало концептуальным воплощением этой идеи. Это повлияло и на ресурсное обеспечение образования, причем важно не только увеличение бюджетных ассигнований, но и диверсификация источников финансирования.

Ярким подтверждением рождения концепции человеческого капитала и человеческого развития в общественной практике является опыт социально-экономического роста стран, не имеющих существенных природных богатств, а также стран с разрушенной в ходе второй мировой войны экономикой (Тайвань, Корея, Япония, Германия). Стратегия развития их строилась в расчете на человеческий фактор - важнейшую составляющую научно-технического прогресса и неисчерпаемый ресурс экономического роста. Именно такая стратегия обеспечила высокую динамику экономического развития и впечатляющие его социальные результаты. Еще одним подтверждением большого значения и жизненности теории человеческого капитала является тот факт, что в развитых странах вложения в человека (в ее развитие и социальную защиту) с 50-х гг ХХ века все более существенное превышают размеры материального накопления. [2, стр.82]

Производственные инвестиции, при их бесспорно важном значении, все более существенно уступают инвестициям в развитие человека, и важнейшие изменения в воспроизводственном процессе развитых стран происходят вне сферы материального производства. Человеческий капитал представляет собой ценный ресурс, гораздо важнее, чем природные ресурсы или физический капитал. По данным Всемирного банка, в структуре национального богатства исследованных 92 стран человеческий капитал составил в 1994 году у 2/3, в том числе в высшее развитых странах - около 3/4. Это не единственное подтверждение тезиса о том, что в конце ХХ века главным фактором экономического развития и конкурентоспособности на всех уровнях становится не накопление материальных благ и услуг, а накопление знаний, опыта, умений, здоровья, мотивации и других продуктивных характеристик людей, приобретаются в процессе человеческого развития. В конце ХХ века идеи о том, что люди и их развитие является важнейшей целью общественного прогресса, приобретают все более широкой поддержки как в научных экономических исследованиях, так и в разработке национальных программ развития и проектов международного сотрудничества. Существенное влияние теории человеческого капитала, получают новые научные подтверждения относительно постиндустриального общества, усиливая взгляды о решающей роли человека в экономической динамике, повышения эффективности человеческой деятельности на всех уровнях. Влияние человеческого капитала, в первую очередь повышение уровня образованности работников, на экономический рост рассматривается не только непосредственно, через повышение производительности труда вышепредставленных людей, но и опосредованно, через повышение эффективности и ускорение научно-исследовательских и опытно-конструкторских разработок и массовое внедрение их во все сферы человеческой жизнедеятельности (что также требует надлежащего уровня образования масс населения.

Специфика человеческого капитала и инвестиций в него проявляется прежде всего в том, что он не может формироваться без прямой непосредственном участии (расходов времени и сил) его будущего владельца. В этой связи частное инвестирование в человеческий капитал является абсолютно необходимым условием его наращивания на любом уровне. Образование или профессиональная подготовка, которая финансируется за счет государства или предприятия, то есть абсолютно бесплатная для потребителя, однако требует от него затрат времени и труда. Чаще наращивания человеческого капитала сопровождается и материальными затратами лица или семьи (потерянные заработки, частичная оплата обучения, расходы на канцтовары и многое другое [2, стр.82]. Поэтому необходимым условием эффективности инвестирования в человеческий капитал на уровне государства, регионов и предприятий является рациональное понимание и благосклонное отношение к наращиванию человеческого капитала со стороны его будущих владельцев. В этой связи особое значение приобретает необходимость создания в обществе положительного имиджа образованности, профессионализма, высокой квалификации. Особенно это важно для Украины на современном переходном этапе, поскольку на всех уровнях управления в нашем обществе все еще не состоялась переориентация от материально-вещественных к человеческому фактору экономического роста. Одним из перспективных направлений решения этой задачи является распространение в обществе идей концепции человеческого капитала и человеческого развития.

Заключение


Человеческий капитал занимает важное место в развитии экономики стран и всецелом развитии общества. Развитие теории человеческого капитала привело к тому что основным источником доходов сегодня являются способности людей. Высокая квалификация работника цениться на успешных фирмах и предприятиях. Основные капиталовложения и инвестиции сегодня идут на среднее и высшее образование населения, т.к необходимы высококвалифицированные кадры на предприятиях. Благодаря теории человеческого капитала вложения в человека стали рассматриваться как источник экономического роста, не менее важный, чем "обычные" капиталовложения, например, капиталоемкое совершенствование организации использования разных устаревших технологий. .

Появление теории человеческого капитала связано с научными трудами Вильяма Пэтти, Адама Смита, Альфреда Маршалла.

Теоретические основы были сформулированы американским экономистом Теодором Шульцем, а базовая теоретическая модель была разработана Гэри Беккером. Беккер первым осуществил статистически объективный подсчет экономической эффективности процесса образования, определив отдачу от вложений в учебу как отношение доходов к расходам. По оценкам Г. Беккера эффективность составляет 12-14% годовой прибыли.

Получение образования и начало трудовой деятельности является начальным этапом формирования индивидуального человеческого капитала. Следующий этап является более длительным. Он основан на приобретении профессиональной квалификации и жизненного опыта. Человеческий капитал представляет собой невещественные блага длительного пользования, которые накапливаются и реализуются в результате производственной деятельности людей во времени. Наиболее важной чертой капитала является то, что он сам является продуктом производства. Человеческий капитал как продукт производства представляет собой накопленные в процессе обучения и трудовой деятельности знания, умения и навыки. Человеческий капитал, как и любой другой, способен накапливаться. Накопление человеческого капитала начинается с дошкольного образования и продолжается в течение всей общественной деятельности.

Человеческий капитал является главной производительной силой, человек должен быть вооружен средствами производства и знаниями, то есть быть достаточно образованным. В настоящее время все большую ценность приобретает интеллектуальный труд, генерирующий знания. Именно поэтому в современной экономике человеческие ресурсы играют определяющую роль в достижении конкурентных преимуществ и обеспечении качественных параметров экономического роста.

Наращивание интеллектуальных преимуществ является залогом достижения успеха. Эффективность развития предприятия и экономики государств в целом в огромной степени зависит от того, сколько средств и в какой момент времени они направляются на развитие человеческого капитала. Данный вид вложений приносит значительный по объему, длительный по времени и интегральный по характеру экономико-социальный эффект, поэтому является наиболее выгодным с точек зрения человека, предприятия и всего общества в целом. По данным сайта auditfin.com в развитых странах 60% прироста национального дохода обусловлены приростом знаний и образованности общества.

В настоящее время растут роль науки и образования, усиливается значение интеллектуальной деятельности во всех сферах производства. Интеллектуальный труд, представляющий собой деятельность людей по производству, усвоению и практическому применению знаний, приобрел господствующее положение. Проявляется этот процесс двояко: растет роль таких отраслей социальной сферы, как образование и наука; усиливается значение интеллектуальной деятельности внутри других отраслей народного хозяйства. Эти тенденции способствуют формированию и совершенствованию образовательного, профессионального, научного, духовного потенциала общества и являются важнейшими факторами социально-экономического прогресса.

Теория человеческого капитала приобрела значительное общественное распространение и признание в мировой научной мысли. Постоянно проводятся научные исследования и выходят множество научных публикаций по этим вопросам. К сожалению, сегодня вопросы, связанные с исследованием проблем формирования, сохранения и повышения эффективности использования человеческого капитала Украины, являются одними из самых неисследованных в общей структуре экономической науки.

Список использованной литературы


1. Букоич У. Уильямс Р. Управление знаниями. - М.: ИНФРА-М, 2002.

2. Гришнова О.А. Людський розвиток: Навч. посіб. - К.: КНЕУ, 2006., с.308

3. Давыдов А.Ю. Образовательный фактор в формировании и развитии человеческого капитала. Дис... канд. экон. наук: 08.00.01: Пятигорск, 2001 РГБ ОД Пятигорск, 2001, с. 191

4. Добрынин А.Н., Дятлов С.А. Человеческий капитал в транзитивной экономике: формирование, оценка, эффективность использования. - СПб.: "Наука", 1999. - с.312

5. Дятлов С.А. Основы теории человеческого капитала - СПб.: Изд-во СПбУЭФ, 1994. - с.160

6. Козырев А.Н., Макаров В.Л. Оценка стоимости нематериальных активов и интеллектуальной собственности. - М.: РИЦ ГШ ВС РФ, 2003. с.350

7. Козырь Ю.В. Размышления о стоимостной оценке знаний. - М.: ИФРА-М, 2004.

8. Лукашевич В.В. Эффективность инвестиции в человеческий капитал // Журнал "Полигрфист и Издатель". - №6. - 2002.

9. Макконел К.Р., Брю С.Л. Экономикс: принципы, проблемы и политика. - Т.2. - М.: Республика, 1992, - с.984

10. Марцинкевич В.И., Соболева Н.В. Экономика человека, 1995, 286 с.

11. Симионова Н.Е., Симионов Р.Ю. Оценка стоимости предприятия. - Москва - Ростов -на - Дону, "МарТ", 2004. с.463

12. Thurow L. Greating Wealth. The New Rules for Individuals.companies Countries in a Knowledge - Based Economy N. Y., 1999. p.15

13. www.libertarium.ru аннотация 23.08.1998, Ростислав Исакович Капелюшников

14. ru. wikipedia.org // Человеческий_капитал // История вопроса

15. auditfin.com

Похожие работы на - Человеческий капитал: экономическое содержание и факторы накопления

 

Не нашли материал для своей работы?
Поможем написать уникальную работу
Без плагиата!
Без нейросетей!