Основные методы улучшения качества воды
Содержание
Введение
. Литературный обзор
.1 Требования к качеству питьевой воды
.2 Основные методы улучшения качества воды
.2.1 Обесцвечивание и осветление воды
.2.1.1 Коагулянты - флокулянты. Применение на станциях
водоподготовки
.2.1.1.1 Aлюмосодержащие коагулянты
.2.1.1.2 Железосодержащие коагулянты
.3 Oбеззараживание питьевой воды
.3.1 Химический способ обеззараживания
.3.1.1 Хлорирование
.3.1.2 Обеззараживание диоксидом хлора
.3.1.3 Озонирование воды
.3.1.4 Обеззараживание воды при помощи тяжелых металлов
.3.1.5 Обеззараживание бромом и йодом
.3.2 Физический способ обеззараживания
.3.2.1 Ультрафиолетовое обеззараживание
.3.2.2 Обеззараживание воды ультразвуком
.3.2.3 Кипячение
.3.2.4 Обеззараживание фильтрацией
. Существующие положения
. Постановка цели и задачи проекта
. Предлагаемые мероприятия по повышению эффективности
водоочистных сооружений г. Нижний Тагил
. Расчетная часть
.1 Расчетная часть существующих очистных сооружений
.1.1 Реагентное хозяйство
.1.2 Расчет смесителей и камер хлопьеобразования
.1.2.1 Расчет вихревого смесителя
.1.2.2 Вихревая камеры хлопьеобразования
.1.3 Расчет горизонтального отстойника
.1.4 Расчет скорых безнапорных фильтров с двухслойной
загрузкой
.1.5 Расчет хлораторной установки для дозирования жидкого
хлора
.1.6 Расчет резервуаров чистой воды
.2 Расчетная часть предлагаемых очистных сооружений
.2.1 Реагентное хозяйство
.2.2 Расчет горизонтального отстойника
.2.3 Расчет скорых безнапорных фильтров с двухслойной
загрузкой
.2.4 Расчет озонирующей установки
.2.5 Расчет сорбционных угольных фильтров
.2.6 Расчет установок для обеззараживания воды бактерицидным
излучением
.2.7 Обеззараживание NaClO(товарный) и УФ
Заключение
Библиографический список
Введение
Водоподготовка процесс сложный и требует тщательного продумывания. Существует
очень много технологий и нюансов, которые прямо или косвенно повлияют на состав
водоподготовки, ее мощность. Поэтому разрабатывать технологию, продумывать
оборудование, этапы следует очень тщательно. Пресной воды на земле очень малое
количество. Большую часть водных ресурсов земли составляет соленая вода.
Главный недостаток соленой воды - невозможность использования ее в пищу, для
стирки, бытовых нужд, производственных процессов. На сегодняшний день нет
природной воды, которую можно было сразу использовать для нужд. Бытовые отходы,
всевозможные выбросы в реки и моря, атомные хранилища, все это оказывает
влияние на воду.
Водоподготовка питьевой воды очень важна. Вода, которую люди используют в
повседневной жизни, должна отвечать высоким стандартам качества, она не должна
наносить вред здоровью. Таким образом, питьевая вода - это чистая вода, которая
не вредит здоровью человека и пригодна в пищу. Получить сегодня такую воду,
затратно, но все же возможно.
Главная цель водоподготовки питьевой воды - очистить воду от
грубодисперсных и коллоидных примесей, солей жесткости.
Целью работы является анализ работы существующей Черноисточинской
водоочистной станции и предложения вариантов по ее реконструкции.
В рамках поставленной цели были решены следующие задачи.
. Произвести укрупненный расчет существующих водоочистных сооружений.
2. Предложить мероприятия по улучшению работы водоочистных
сооружений и разработать схему реконструкции водоподготовки.
. Произвести укрупненный расчет предложенных водоочистных сооружений.
1. Литературный обзор
1.1
Требования к качеству питьевой воды
В Российской Федерации качество питьевой воды должно
удовлетворять определенным требованиям, установленным СанПиН 2.1.4.1074-01
"Питьевая вода" [1]. В Европейском Союзе (ЕС) нормы определяет
директива "По качеству питьевой воды, предназначенной для потребления
человеком" 98/83/ЕС [2]. Всемирная организация здравоохранения (ВОЗ)
устанавливает требования к качеству воды в "Руководстве по контролю
качества питьевой воды 1992 г" [3]. Также существуют нормы Агентства по
охране окружающей среды США (U.S.EPA) [4]. В нормах присутствуют незначительных
отличия по различным показателям, но лишь вода соответствующего химического
состава обеспечивает здоровье человека. Присутствие неорганических, органических,
биологических загрязнений, а также повышенное содержание нетоксичных солей в
количествах, превышающих указанные в представленных требованиях, приводит к
развитию различных заболеваний.
Основные требования к питьевой воде заключаются в том,
что она должна иметь благоприятные органолептические показатели, быть
безвредной по своему химическому составу и безопасной в эпидемиологическом и
радиационном отношении. Перед подачей воды в распределительные сети, в точках
водозабора, наружной и внутренней водопроводных сетях качество питьевой воды
должно соответствовать гигиеническим нормативам, представленных в таблице 1.
Таблица 1 - Требования к качеству питьевой воды [1, 2,
3, 4]
|
Показатели
|
Единицы измерения
|
СанПин 2.1.4.1074-01
|
ВОЗ
|
U.S.EPA
|
ЕС
|
|
Водородный показатель
|
pH
|
6-9
|
-
|
6,5-8,5
|
6,5-8,5
|
|
Общая минерализация (сухой
остаток)
|
мг/л
|
1000 (1500)
|
1000
|
500
|
1500
|
|
Цветность
|
град
|
20 (35)
|
15
|
20
|
20
|
|
Мутность ЕМФ
|
мг/л (по каолину)
|
2,6 (3,5) 1,5 (2,0)
|
5,0
|
не более 0,1
|
не более 0,1
|
|
Жесткость общая
|
мг-экв./л
|
7,0 (10)
|
500
|
-
|
1,2
|
|
Окисляемость перманганатная
|
мг/л
|
5,0
|
2,0
|
5,0
|
5,0
|
|
Нефтепродукты, суммарно
|
мг/л
|
0,1
|
-
|
-
|
-
|
|
ПАВ
|
мг/л
|
0,5
|
-
|
-
|
-
|
|
Фенольный индекс
|
мг/л
|
0,25
|
-
|
-
|
-
|
|
Щелочность
|
мгНСО-3/л
|
-
|
-
|
-
|
30
|
|
Фенольный индекс
|
мг/л
|
0,25
|
-
|
-
|
-
|
|
Алюминий (Аl3+)
|
мг/л
|
0,5
|
0,2
|
0,2
|
0,2
|
|
Азот аммонийный
|
мг/л
|
2,0
|
1,5
|
-
|
0,5
|
|
Барий (Ва 2+)
|
мг/л
|
0,1
|
0,7
|
2,0
|
0,1
|
|
Бериллий (Ве 2+)
|
мг/л
|
0,0002
|
-
|
0,004
|
-
|
|
Бор (В, суммарно)
|
мг/л
|
0,5
|
0,3
|
-
|
1,0
|
|
Ванадий (V)
|
мг/л
|
0,1
|
0,1
|
-
|
-
|
|
Висмут (Bi)
|
мг/л
|
0,1
|
0,1
|
-
|
-
|
|
Железо (Fe, суммарно)
|
мг/л
|
0,3 (1,0)
|
0,3
|
0,3
|
0,2
|
|
Кадмий (Сd, суммарно)
|
мг/л
|
0,001
|
0,003
|
0,005
|
0,005
|
|
Калий (К+)
|
мг/л
|
-
|
-
|
-
|
12,0
|
|
Кальций (Ca2+)
|
мг/л
|
-
|
-
|
-
|
100,0
|
|
Кобальт (Co)
|
мг/л
|
0,1
|
-
|
-
|
-
|
|
Кремний (Si)
|
мг/л
|
10,0
|
-
|
-
|
-
|
|
Магний (Mg2+)
|
мг/л
|
-
|
-
|
-
|
50,0
|
|
Марганец (Мn, суммарно)
|
мг/л
|
0,1 (0,5)
|
0,5 (0,1)
|
0,05
|
0,05
|
|
Медь (Сu, суммарно)
|
мг/л
|
1,0
|
2,0 (1,0)
|
1,0-1,3
|
2,0
|
|
Молибден (Мо, суммарно)
|
мг/л
|
0,25
|
0,07
|
-
|
-
|
|
Мышьяк (Аs, суммарно)
|
мг/л
|
0,05
|
0,01
|
0,05
|
0,01
|
|
Никель (Ni, суммарно)
|
мг/л
|
0,1
|
-
|
-
|
-
|
|
Нитраты (по NO3-)
|
мг/л
|
45
|
50,0
|
44,0
|
50,0
|
|
Нитриты (по NO2-)
|
мг/л
|
3,0
|
3,0
|
3,5
|
0,5
|
|
Ртуть (Нg, суммарно)
|
мг/л
|
0,0005
|
0,001
|
0,002
|
0,001
|
|
Свинец (РЬ,
|
мг/л
|
0,03
|
0,01
|
0,015
|
0,01
|
|
Селен (Sе, сум.)
|
мг/л
|
0,01
|
0,01
|
0,05
|
0,01
|
|
Серебро (Ag+)
|
мг/л
|
0,05
|
-
|
0,1
|
0,01
|
|
Сероводород (H2S)
|
мг/л
|
0,03
|
0,05
|
-
|
-
|
|
Стронций (Sг 2+)
|
мг/л
|
7,0
|
-
|
-
|
-
|
|
Сульфаты (S042-)
|
мг/л
|
500
|
250,0
|
250,0
|
250,0
|
|
Хлориды (Сl-)
|
мг/л
|
350
|
250,0
|
250,0
|
250,0
|
|
Хром (Сг 3+)
|
мг/л
|
0,5
|
-
|
0,1 (всего)
|
-
|
|
Хром (Сг 6+)
|
мг/л
|
0,05
|
0,05
|
0,1 (всего)
|
0,05
|
|
Цианиды (СN-)
|
мг/л
|
0,035
|
0,07
|
0,2
|
0,05
|
|
Цинк (Zn2+)
|
мг/л
|
5,0
|
3,0
|
5,0
|
5,0
|
|
с.-т. -
санитарно-токсикологический; орг. - органолептический
|
Проанализировав данные таблицы, можно заметить
существенные различия по некоторым показателям, таким как жесткость,
окисляемости, мутность и т.д.
Безвредность питьевой воды по химическому составу
определяется ее соответствием нормативам по обобщенным показателям и содержанию
вредных химических веществ, наиболее часто встречающихся в природных водах на
территории Российской Федерации, а также веществ антропогенного происхождения,
получивших глобальное распространение (см. табл. 1).
Содержанию вредных химических веществ, поступающих и образующихся в воде
в процессе ее обработки в системе водоснабжения (табл. 2).
Таблица 2 - Содержание вредных химических веществ,
поступающих и образующихся в воде в процессе ее обработки в системе
водоснабжения [1]
|
Наименование показателя
|
Норматив, не более
|
Показатель вредности
|
Класс опасности
|
|
Хлор остаточный свободный,
мг/дм3
|
в пределах 0,3-0,5
|
орг.
|
3
|
|
Хлор остаточный общий,
мг/дм3
|
в пределах 0,8-9,0
|
орг.
|
3
|
|
Хлороформ (при хлорировании
воды), мг/дм3
|
0,2
|
с.-т.
|
2
|
|
Озон остаточный, мг/дм3
|
0,3
|
орг.
|
|
0,05
|
с.-т.
|
2
|
|
Полиакриламид, мг/дм3
|
2,0
|
с.-т.
|
2
|
|
Активированная
кремнекислота (по Si), мг/дм3
|
0,5
|
c.-т.
|
2
|
|
Полифосфаты (по РО 43-),
мг/дм3
|
3,5
|
орг.
|
3
|
|
Остаточные количества
коагулянтов, мг/дм3
|
|
алюминийсодержащих (по Al3+)
|
0,5
|
c.-т.
|
2
|
|
железосодержащих (по Fe)
|
0,3
|
орг.
|
3
|
1.2
Основные методы улучшения качества воды
1.2.1
Обесцвечивание и осветление воды
Под осветлением воды понимают удаление взвешенных веществ. Обесцвечивание
воды - устранение окрашенных коллоидов или истинно растворенных веществ.
Осветление и обесцвечивание воды достигается методами отстаивания, фильтрования
через пористые материалы и коагулирования. Очень часто эти методы применятся в
комбинации друг с другом, например, отстаивание с фильтрованием или
коагулирование с отстаиванием и фильтрованием.
Фильтрование идет за счет задерживания взвешенных частиц снаружи или
внутри фильтрующей пористой среды, тогда как осаждение - это процесс выпадения
взвешенных частиц в осадок (для этого неосветленную воду задерживают в особых
отстойниках).
Взвешенные частицы оседают под воздействием силы тяжести. Достоинство
осаждения - отсутствие дополнительных энергетических затрат при осветлении
воды, при этом скорость течения процесса прямо пропорционально зависит от
размеров частиц. Когда отслеживается уменьшение размера частиц, наблюдается
увеличение время осаждения. Эта зависимость действует и при изменении плотности
взвешенных частиц. Осаждение рационально использовать для выделения тяжелых,
крупных взвесей.
Фильтрование может обеспечить на практике любое качество для осветления
воды. Но при данном способе осветления воды нужны дополнительные энергетические
затраты, которые служат для уменьшения гидравлического сопротивления пористой
среды, что способна накапливать взвешенные частицы и с течением времени
увеличивать сопротивление. Для предотвращения этого желательно производить
профилактическую чистку пористого материала, которая способна восстанавливать
исходные свойства фильтра.
При увеличении в воде концентрации взвешенных веществ повышается и
требуемый показатель осветления. Эффект осветления может быть улучшен при
эксплуатации химической обработки воды, что требует использования
вспомогательных процессов, таких как: флокуляция, коагуляция и химическое
осаждение.
Обесцвечивание, наряду с осветлением, является одним из начальных стадий
в обработки воды на водоочистных станциях. Этот процесс осуществляется путем отстаивания
воды в емкостях со следующей фильтрацией через песчано-угольные фильтры. Для
того чтобы быстрее шло осаждения взвешенных частиц, в воду добавляют
коагулянты-флокулянты - алюминий серно-кислый или хлорное железо. Для
увеличения скорости процессов коагуляции также используют химический препарат
полиакриламид (ПАА), который увеличивает коагуляцию взвешенных частиц. После
коагуляции, отстаивания и фильтрации вода становится прозрачной и, как правило,
бесцветной, а также удаляются яица геогельминтов и 70-90 % микроорганизмов [5].
.2.1.1
Коагулянты - флокулянты. Применение на станциях водоподготовки
При реагентной очистке воды массово применяют aлюмо- и железосодержащие коагулянты.
1.2.1.1.1
Aлюмосодержащие коагулянты
В вoдoпoдгoтoвке применяют пoследующие алюминий coдержащие
коагулянты: сульфaт aлюминия (СА), oкcихлoрид
алюминия (ОХА), алюминат натрия и хлорид алюминия (табл. 3).
Таблица 3 - Алюмосодержащие
коагулянты [6]
|
Коагулянт
|
Формула
|
Содержание % по массе
|
|
|
Al2O3
|
Нерастворимых примесей
|
|
Сульфат алюминия
неочищенный
|
Al2(SO4)·18H2O
|
>9
|
<30
|
|
Сульфат алюминия очищенный
|
Al2(SO4)·18H2O
Al2(SO4)·14H2O Al2(SO4)·12H2O
|
>13,5 17- 19
28,5
|
<1 - 3,1
|
|
Оксихлорид алюминия
|
Al2(OH)5·6H2O
|
40-44
|
-
|
|
Алюминат натрия
|
NaAlO2
|
45-55
|
6-8
|
|
Полиоксихлорид алюминия
|
Aln(OH)ь·Cl3n-m
где n>13
|
30±3
|
-
|
Сульфат алюминия (Al2(SO4)3·18H2O)
− тeхнически нeочищенное соeдинeниe, которое представляет coбой фрагменты серовато-зеленоватого цвета, получаемые при
обработке серной кислотой бoкситoв, глин или нeфeлинoв. Оно должно иметь не меньше 9% Al2O3,
что эквивалентно содержанию 30% чистого сульфата алюминия.
Очищенный СА (ГОСТ 12966-85) получают в форме плит
серовато-перламутрового цвета из неочищенного сырья или глинозема путем
растворения в серной кислоте. Он должен содержать не меньше 13,5% Al2O3,
что эквивалентно содержанию 45% алюминия сульфата.
В России для oчиcтки воды производят 23-25%-ный рacтвoр сульфата алюминия. При использовании сульфата алюминия
отпадает потребность в специально предназначенном оборудовании для растворения коагулянта,
а также облегчается и становятся более доступными в цене и
погрузочно-разгрузочные работы, и транспортирование.
При бoлее низких тeмпeратурах воздуха
при обработке воды с высоким содержанием природных органических соединений
применяют oкcихлорид алюминия. ОХА известен под разными наименованиями: пoлиалюминий гидрохлорид, хлоргидроксид
алюминия, основной хлорид алюминия и др.
Кaтионный коагулянт ОХА способен oбразовывать сложные соединения с большим количеством веществ,
coдержащихся в воде. Как показала
практика, применения OXA
имеет ряд преимуществ:
– OXA - частично гидролизованная соль - облaдает бoльшой cпоcобностью к полимеризации, что увеличивает
хлопьеобразoвание и осаждение скоагулированной cмеси;
– OXA может быть использована в широком диапазоне pH (в cравнении с СА);
– при коагулировании OXA
снижение щелочности несущественно.
Это снижает коррозионную активность воды, улучшаeт техническое положение водопроводов городской сети и
сохраняет потребительские свойства воды, а также дает возможность полностью
отказаться от щелочных агентов, что позволяет сэкономить их на средней
водоочистной станции до 20 тонн ежемесячно;
– при высокой вводимой дозе реагента наблюдается низкое остаточное
содержание алюминия;
– уменьшение дозы коагулянта в 1,5-2,0 раза (по сравнению с CA);
– сокращение трудоемкости и прочих затрат по содержанию, подготовке
и дозированию реагента, позволяет улучшить санитарно-гигиенические условия
труда.
Алюминат натрия NaAlO2 - это твердые фрагменты белого
цвета с перламутровым блеском на изломе, которые получают при помощи
растворения гидроксида или оксида алюминия в растворе гидроксида алюминия.
Сухое товарные изделие содержит 35% Nа 2O, 55% Al2O3
и до 5% свободной NаOH. Растворимость NaAlO2 − 370 г/л (при 200
ºС).
Xлoрид алюминия AlCl3
- белый порошок плотностью 2,47 г/см3, с температурой плавления
192,40 ºС. Из водных растворов образуется
АlCl3·6H2O с плотностью 2,4 г/см3. В качестве
коагулянта в паводковый период при низких температурах воды применимo иcпoльзование гидроксида алюминия [6].
1.2.1.1.2
Железосодержащие коагулянты
При водоподготовке используют следующие железосодержащие коагулянты:
хлорид железа, сульфаты железа(II) и железа(III), хлорированный железный
купорос (табл. 4).
Таблица 4 - Железосодержащие
коагулянты
[6]
|
Коагулянт
|
Формула
|
Содержание вес. %
|
|
|
Fe2O3
|
нерастворимых примесей
|
|
Хлорид железа
|
FeCl3·6H2O
|
>95
|
-
|
|
Сульфат железа (II)
(железный купорос)
|
FeSO4·7H2O
|
>47
|
<1
|
|
Сульфат железа (III)
|
Fe2(SO)4·2H2O
|
68-76
|
<40
|
Хлорид железа (FeCl3·6H2O) (ГОСТ 11159-86) - это
темные кристаллы с металлическим блеском, обладают сильной гигроскопичностью,
поэтому перевозят его в герметичных железных контейнерах. Безводное хлорное
железо производят хлорированием стальных стружек при температуре 7000 ºС, а также получают как вторичный
продукт при изготовлении хлоридов металлов горячим хлорированием руд. Товарный
продукт должен содержать не меньше 98% FeCl3. Плотность 1,5 г/см3.
Сульфат железа(II) (CЖ)
FeSO4·7H2O (купорос железный по ГOCT 6981-85) - это прозрачные кристаллы зеленовато-голубоватого
цвета, которые легко буреют на атмосферном воздухе. Как товарную продукцию CЖ выпускают двух марок (A и Б), который содержит
соответственно не менее 53% и 47% FeSO4, не более 0,25-1% свободной
H2SO4. Плотность реагента − 1,5 г/см3.
Этот коагулянт применим при pH > 9-10. Для того, чтобы уменьшить
концентрацию растворённого гидроксида железа(II) при низких величинах pH,
дополнительно проводят окисление двухвалентного железа до трёхвалентного.
Окисление гидроксида железа(II), который образуется при гидролизе CЖ при pH воды меньше 8, протекает
медленно, что приводит к неполному его осаждению и коагулированию. Поэтому
перед тем, как в воду добавят CЖ,
дополнительно добавляют по отдельности или вместе известь или хлор. В связи с
этим, СЖ используют, в основном, в процессе известкового и известково-содового
умягчения воды, когда при значение pH 10,2-13,2 удаление магниевой жесткости
солями алюминия не применимы.
Сульфат железа(III) Fе2(SО4)3·2H2О
получают при растворении в серной кислоте оксида железа. Продукт имеет
кристаллическую структуру, очень хорошо поглощает воду, хорошо растворим в
воде. Плотность его − 1,5 г/см3. Применение солей железа(III)
в роли коагулянта предпочтительнее по сравнению с сульфатом алюминия. При их
использовании лучше протекает процесс коагуляции при низких температурах воды,
на реакцию pН среда оказывает незначительное
влиянии, увеличивается процесс декантатирования скоагулированных примесей и
сокращается время отстаивания. Недостатком использования солей железа(III) как
коагулянтов-флокулянтов является потребность точного дозирования, так как его
нарушении является причиной проникновения железа в фильтрат. Хлoпья гидроксида железа(III) оседают
неодинаково, поэтому в воде некоторое количество мелких хлопьев остается,
которое впоследствии поступает на фильтры. Эти неисправности в некоторой мере
удаляются при добавлении CA.
Хлорированный железный купорос Fe2(SO4)3+FeCl3
получают напрямую на водоочистных сооружениях при обработке раствора сульфата
железа хлором.
Одно из основных положительных качеств солей железа как
коагулянтов-флокулянтов - это высокая плотность гидроксида, которая дает
возможность получение более плотных и тяжёлых хлопьев, опадающих в осадок с
большой скоростью.
Коагуляция сточных вод солями железа не подходит, так как эти воды
содержать фенолы, при этом получаются растворимые в воде феноляты железа.
Помимо этого, гидроксид железа служит катализатором, который помогает окислению
некоторых органических.
Смешанный алюможелезный коагулянт получают в пропорции 1:1 (по
массе) из растворов сульфата алюминия и хлорного железа. Соотношение может
меняться, исходя из условий рaботы oчиcтных аппаратов. Предпочтительность использования смешанного
коагулянта - это увеличение производительности водоочистки при низких температурах
воды и увеличение осадительных свойств хлопьев. Использование смешанного
коагулянта дает возможность значительно уменьшить расход реагентов. Смешанный
коагулянт можно добавлять как раздельно, так и изначально перемешав растворы.
Первый метoд наибoлee предпочтителен
при переходе от одной приемлемой пропорции коагулянтов к другой, но при втором
способе - наиболее проще исполнять дозирование реагента. Однако затруднения,
которые связаны с содержанием и изготовлением коагулянта, а также увеличение
концентрации ионов железа в очищенной воде при необратимых изменениях
технологического процесса, ограничивают использование смешанного коагулянта.
В некоторых научных трудах отмечают, что при использовании смешанных
коагулянтов в некоторых случаях дают больший результат процесса опадения в
осадок дисперсной фазы, лучшее качество очистки от загрязняющих веществ и
уменьшение расхода реагентов.
При промежуточном отборе коагулянтов-флокулянтов как для лабораторных,
так и для промышленных целей, нужно брать во внимание некоторые параметры:
. Свойства очищаемой воды: pH;
содержание сухого вещества; отношение неорганических и органических веществ и
т. п.
. Рабочий режим: реальность и условия быстрого смешивания; длительность
реакции; время отстаивания и т. п.
. Конечные результаты, которые нужны для оценки: твердые частицы;
мутность; цвет; ХПК; скорость отстаивания [6].
1.3
Oбеззараживание питьевой воды
Обеззараживание - это комплекс мероприятий по
уничтожению в воде болезнетворных бактерий и вирусов. Обеззараживание вoды по
способу действия на микроорганизмы можно разделить на химические (реагентные),
физические (бeзреагентные) и кoмбинированные. В первом случае в воду добавляют
биологически активные химические соединения (хлор, озон, ионы тяжелых
металлов), во втором - физическое воздействие (ультрафиолетовые лучи,
ультразвук и т.п.), а в третьем случае применяют воздействия и физические и
химические. Перед тем как воду обеззараживают, ее сначала фильтруют и (или)
коагулируют. При коагуляции устраняются взвешенные вещества, яйца гельминтов,
большая часть бактерий [7].
.3.1
Химический способ обеззараживания
При этом методе нужно правильно рассчитать дозу
реагента, который вводится для обеззараживания, и определить его максимальную
длительность с водой. Таким образом достигается стойкий обеззараживающий
эффект. Дозу реагента можно определить исходя из расчетных методов или пробного
обеззараживания. Чтобы достигнуть необходимый положительный эффект, определяют
дозу реагента избыточного (остаточный хлор или озон). Это дает гарантию полного
уничтожения микроорганизмов [7].
.3.1.1
Хлорирование
Самым частым применением в обеззараживании воды
является метод хлорирования. Достоинства метода: эффективность большая, простое
технологическое оборудование, дешевые реагенты, простота обслуживания.
Основное преимущество хлорирования - это отсутствие
повторного роста микрooрганизмов в воде. При этом хлор берется в избытке
(0,3-0,5 мг/л остатoчного хлора).
Параллельно обеззараживанию воды идет процесс
окисления. В результате окисления органических веществ образуются
хлорорганические соединения. Эти соединения токсичны, мутагенны и концерогенны
[7].
.3.1.2
Обеззараживание диоксидом хлора
Преимущества диоксида хлора: антибактериальное и
дезодорирующее свойство высокой степени, отсутствие хлорорганических
соединений, усовершенствование органолептических свойств воды, решение
транспортной проблемы. Недостатки диоксида хлора: дороговизна, сложность в
изготовлении и используется на установках небольшой производительности.
Независимо от матрицы воды, которая обрабатывается,
свойства диоксида хлора значительно сильнее, чем у простого хлора, что
находится в той же концентрации. Он не образует токсичных хлораминов и
производных метану. С точки зрения запаха или вкуса, качество того или иного
продукта не меняется, а запах и привкус воды исчезают.
Благодаря восстановительному потенциалу кислотности,
который является очень высоким, диоксид хлора оказывает очень сильное
воздействие на ДНК микробов и вирусов, различных бактерии в сравнении с другими
дезинфектантами. Можно также отметить, что потенциал окисления у этого
соединение намного выше, чем у хлора, следовательно, при работе с ним,
требуется меньшее количество других химических реагентов.
Дезинфекция с действием пролонгирования является
отличным преимуществом. Все микробы, устойчивые к хлору, такие как легионеллы,
ClO2 уничтожает сразу полностью. Для борьбы с такими микробами
необходимо применять специальные меры, поскольку они достаточно быстро
приспосабливаются к различным условиям, которые, в свою очередь, могут быть
смертельными для многих других организмов, несмотря на то, что большинство из
них максимально устойчивы к дезинфектантам [7].
1.3.1.3
Озонирование воды
При этом методе озон разлагается в воде с выделением
атомарного кислорода. Этот кислород способен разрушать ферментные системы
клеток микроорганизмов, и окислять большинство соединений, придающих воде
неприятный запах. Количество озона прямо пропорционально степени загрязнения
воды. При воздействии озона в течение 8-15 мин его количество составляет 1-6
мг/л, а количество остаточного озона не должно превышать 0,3-0,5 мг/л. При
несоблюдении этих норм высокая концентрация озона будет подвергать металл труб
разрушению, а воде придавать специфический запах. С точки зрения гигиены этот
метод обеззараживания воды является одним из самых лучших способов.
Озонирование нашло применение в централизованном
водоснабжении, так как является энергозатратным, применяется сложная аппаратура
и требуется высококвалифицированное обслуживание.
Метод обеззараживания воды озоном технически сложен и
дорогостоящ. Технологический процесс состоит из:
стадии очистки воздуха;
охлаждения и сушки воздуха;
синтеза озона;
озоновоздушной смеси с обрабатываемой водой;
отвода и деструкции остаточной озоновоздушной смеси;
вывода этой смеси в атмосферу.
Озон очень токсичное вещество. ПДС в воздухе
производственных помещений составляет 0,1 г/м3. Помимо этого
озоновоздушная смесь взрывоопасна [7].
.3.1.4
Обеззараживание воды при помощи тяжелых металлов
Преимуществом таких металлов (медь, серебро и др.)
является способность оказывать обеззараживающее действие в малых концентрациях,
так называемого олигодинамического свойства. Металлы поступают в воду методом
электрохимического растворения либо непосредственно самих растворов солей.
Примером катионитов и активных углей, насыщенных
серебром, служат С-100 Ag и С-150 Ag фирмы "Purolite". Они не
допускают размножения бактерий при остановке воды. Катиониты компании ОАО
НИИПМ-КУ-23СМ и КУ-23СП содержат больше серебра, чем предыдущие, и используются
в установках маленькой производительности [7].
.3.1.5
Обеззараживание бромом и йодом
Этот метод широко применялся в начале XX в. Бром и йод
обладают большими обеззараживающими свойствами, чем хлор. Однако они требуют
более сложную технологию. При использовании в обеззараживании воды йод
применяют особые иониты, которые насыщают йодом. Чтобы обеспечить необходимую
дозу йода в воде, через иониты пропускают воды, таким образом, постепенно
вымывается йод. Этот метод обеззараживания воды можно применять только для
малогабаритных установок. Минусом является невозможность постоянного контроля
концентрации йода, которая постоянно изменяется [7].
.3.2
Физический способ обеззараживания
При этом методе нужно привести к единице объема воды
нужное количество энергии, которое является произведением интенсивности
воздействия на время контакта.
Бактерии группы кишечнoй палочки (БГКП) и бактерии в 1
мл воды определяют зараженность воды микроорганизмами. Главный показатель этой
группы - E. coli (показывает бактериальное загрязнение воды). БГКП имеет
высокий коэффициент сопротивляемости обеззарaживанию воды. Он находится в воде,
которая загрязнена фекалиями. Согласно СанПиН 2.1.4.1074-01: сумма имеющихся
бактерий составляет не более 50 при неимении в 100 мл кoлиформных бактерий.
Показатель зараженности воды - коли-индекс (присутствие E .coli в 1л. воды).
Действие ультрафиолетового излучения и хлора на вирусы
(вируцидный эффект) по коли-индексу имеет разное значение при одинаковом
эффекте. При УФИ воздействие сильнее, чем хлором. Для достижения максимального
вируцидного эфекта доза озона составляет 0,5-0,8 г/л в течение 12 мин, а при
УФИ - 16-40 мДж/см3 при том же времени [7].
.3.2.1
Ультрафиолетовое обеззараживание
Это наиболее распространенный метод дезинфекции воды.
Действие основано на воздействии УФЛ на клеточный обмен и на ферментные системы
клетки микроорганизма. УФ-обеззараживание не меняет органолептических свойств
воды, но при этом уничтожает споровые и вегетативные формы бактерий; не
образует токсичных продуктов; очень эффективный метод. Недостатком является
отсутствие последействия.
По капитальным значениям УФ-обеззараживание занимает
среднее значение между хлорированием (больше) и озонированием (меньше). Наряду
с хлорированием УФО использует небольшие эксплуатационные расходы. Низкий
расход электроэнергии, а замена ламп - не более 10% от цены установки, и
УФ-устанoвки для индивидуального водоснабжения наиболее привлекательны.
Загрязнение кварцевых чехлов ламп органическими и
минеральными отложениями снижают эффективность работы УФ-установок.
Автоматическая система очистки применяется в крупных установках путем
циркуляции воды с добавлением пищевых кислот через установку. В других же
установках очистка происходит механическим путем [7].
.3.2.2
Обеззараживание воды ультразвуком
Метод основан на кавитации, т. е. способность
образования частот, которые создают большую разность давлений. Это приводит к
гибели клетки микроорганизма через разрыв клеточной оболочки. Степень
бактерицидности зависит oт интенсивности звуковых колебаний [7].
.3.2.3
Кипячение
Самый распространенный и надежный метод
обеззараживания. При этом методе уничтожаются не только бактерии, вирусы и
другие микроорганизмы, но и растворенные в воде газы, а также снижается
жесткость воды. Органолептические показатели практически не изменяются.
Часто применяют для обеззараживания воды комплексный
метод. Например, сочетание хлорирования с УФО позволяет обеспечить высокую
степень очистки. Использование озонирования со щадящим хлорированием
обеспечивает отсутствие вторичного биологического загрязнения воды и уменьшает
токсичность хлорорганических соединений [7].
.3.2.4
Обеззараживание фильтрацией
Полностью очистить воду от микроорганизмов можно при
помощи фильтров, если размеры пор фильтра меньше, чем размер микроорганизмов
[7].
2.
Существующие положения
Источниками хозяйственно-питьевого водоснабжения города Нижний Тагил
являются два водохранилища: Верхне-Выйское, находящееся в 6 км от города Нижний
Тагил и Черноисточинское, расположенное в черте поселка Черноисточинск (20 км
от города).
Таблица 5 - Характеристики качества исходной воды водохранилищ (2012 г.)
|
№
|
Компонент
|
Количество, мг/дм3
|
|
1
|
pH
|
6,95-7,21
|
|
2
|
Фосфаты
|
0,38
|
|
3
|
Железо
|
0,4-0,6
|
|
4
|
Марганец
|
0,27-0,29
|
|
5
|
Медь
|
0,2
|
|
6
|
Цинк
|
0,05
|
|
7
|
Алюминий
|
0,6-1,4
|
|
8
|
Аммоний
|
0,0013
|
|
9
|
Нитраты
|
1,8
|
|
10
|
Нитриты
|
1,2
|
|
11
|
Жесткость
|
3
|
|
12
|
Мутность
|
2-4
|
|
13
|
Перм. окисляемость
|
12-15
|
|
14
|
СПАВ
|
0,0008
|
|
15
|
Нефтепродукты
|
0,00024
|
|
16
|
БПК 5
|
2,31
|
|
17
|
Раствор. кислород
|
13-15
|
|
18
|
Цветность
|
40-60град.
|
С Черноисточинского гидроузла вода подается на Гальяно-Горбуновский
массив и в Дзержинский район после прохождения через очистные сооружения,
включающие микрофильтры, смеситель, блок фильтров и отстойников, реагентное
хозяйство, хлораторную. Подача воды с гидроузлов осуществляется распределительными
сетями через насосные станции второго подъема с резервуарами и повысительные
насосные станции.
Проектная производительность Черноисточинского гидроузла составляет 140
тыс. м3/сут. Фактическая производительность - (средняя за 2006 год)
- 106 тыс. м3/сут.
Насосная станция I подъема расположена на берегу Черноисточинского
водохранилища и предназначена для подачи воды из Черноисточинского
водохранилища через очистные сооружения водопровода до насосной станции II-го
подъема.
Вода в насосную станцию I-го подъема поступает через ряжевой оголовок по
водоводам диаметром 1200 мм. На насосной станции происходит первичная
механическая очистка воды от крупных примесей, фитоплактона - вода проходит
через вращающуюся сетку типа ТМ-2000.
В машинном зале насосной станции установлены 4 насоса.
После насосной станции I-го
подъема вода поступает по двум водоводам диаметром 1000 мм на микрофильтры.
Микрофильтры предназначены для удаления планктонов из воды.
После микрофильтров вода самотеком поступает в смеситель вихревого типа.
В смесителе происходит смешивание воды с хлором (первичное хлорирование) и с
коагулянтом (оксихлорид алюминия).
После смесителя вода поступает в общий коллектор и распределяется на пять
отстойников. В отстойниках происходит образование и отстаивание крупных взвесей
с помощью коагулянта и оседание их на дно.
После отстойников вода поступает на 5 скорых фильтров. Фильтры с
двухслойной загрузкой. Фильтры ежедневно промываются водой из промывного бака,
который заполняется готовой питьевой водой после насосной станции II-го подъема.
После фильтров вода подвергается вторичному хлорированию. Промывная вода
отводится в шламонакопитель, который расположен за санитарной зоной 1-го пояса.
Таблица 6 - Справка о качестве питьевой воды за июль 2015 года Черноисточинской
распределительной сети
|
П/п
|
Показатель
|
Единицы измерения
|
Результат исследований
|
|
|
|
Мин.
|
Макс.
|
Среднее
|
|
1
|
Цветность
|
Градус
|
3
|
14,5
|
7,8
|
|
2
|
Мутность
|
Мг/дм3
|
˂0,58
|
1,5
|
0,52
|
|
3
|
Жесткость общая
|
ºЖ
|
0,8
|
0,92
|
0,88
|
|
4
|
Остаточный общий хлор
|
Мг/дм3
|
˂0,15
|
0,92
|
0,31
|
|
5
|
Общие колиформные бактерии
|
КОЕ в 100 мл
|
Нет
|
Нет
|
Нет
|
|
6
|
Термотолерантные
колиформные бактерии
|
КОЕ в 100 мл
|
Нет
|
Нет
|
Нет
|
3.
Постановка цели и задачи проекта
Анализ литературы и существующего положения водоподготовки питьевой воды
в городе Нижний Тагил показали, что присутствуют превышения по таким
показателям как мутность, перманганатная окисляемость, растворенный кислород,
цветность, содержание железа, марганца, алюминия.
На основании измерений были сформулированы следующие цель и задачи проекта.
Целью проекта является анализ работы существующей Черноисточинской
водоочистной станции и предложения вариантов по ее реконструкции.
В рамках поставленной цели были решены следующие задачи.
. Произвести укрупненный расчет существующих водоочистных сооружений.
2. Предложить мероприятия по улучшению работы водоочистных
сооружений и разработать схему реконструкции водоподготовки.
. Произвести укрупненный расчет предложенных водоочистных
сооружений.
4.
Предлагаемые мероприятия по повышению эффективности водоочистных сооружений г.
Нижний Тагил
1) Замена флокулянта ПАА на Praestol 650.
Praestol 650 - высокомолекулярный
водорастворимый полимер. Активно используется для ускорения водоочистительных
процессов, уплотнения осадков и их дальнейшего обезвоживания. Используемые в
качестве электролитов химические реагенты снижают электрический потенциал
молекул воды, вследствие чего частицы начинают объединяться друг с другом.
Далее флокулянт выступает в роли полимера, который объединяет частицы в хлопья
- "флоккулы". Благодаря действию Praestol 650, микрохлопья объединяются в
макрохлопья, скорость осаждения которых в несколько сотен раз выше обычных
частиц. Таким образом, комплексное воздействие флокулянта Praestol 650 способствует интенсификации
осаждении твердых частиц. Данный химический реагент активно используется во
всех водоочистительных процессах.
) Установка камерно-лучевого распределителя
Предназначен для эффективного смешения обрабатываемой
воды с растворами реагентов (в нашем случае гипохлорита натрия), за исключением
известкового молока. Эффективность действия камерно-лучевого распределителя
обеспечивается за счет поступления части исходной воды через циркуляционный
патрубок внутрь камеры, разбавления этой водой раствора реагента, поступающего
внутрь камеры через реагентопровод (предварительное смешение), увеличения
первоначального расхода жидкого реагента, способствующего его рассредоточению в
потоке, равномерного распределения разбавленного раствора по сечению потока.
Поступление в камеру исходной воды через циркуляционный патрубок происходит под
действием скоростного напора, имеющего наибольшую величину в ядре потока.
) Оборудование камер хлопьеобразования
тонкослойными модулями (увеличение эффективности очистки на 25 %). Для
интенсификации работы сооружений, в которых процессы хлопьеобразования
осуществляются в слое взвешенного осадка, могут использоваться тонкослойные
камеры хлопьеобразования. По сравнению с традиционной флокуляцией в объеме
взвешенный слой, образованный в замкнутом пространстве тонкослойных элементов,
характеризуется более высокой концентрацией твердой фазы и устойчивостью к
изменениям качества исходной воды и нагрузки на сооружения.
4) Отказаться от первичного хлорирования и
заменить на озоносорбцию (озон и активированный уголь). Озонирование и
сорбционную очистку воды следует применять в случаях, когда водоисточник имеет
постоянный уровень загрязнения антропогенными веществами или высокое содержание
органических веществ природного происхождения, характеризуемых показателями:
цветность, перманганатная окисляемость и др. Озонирование воды и последующая
сорбционная очистка на фильтрах с активным углем в сочетании с существующей
традиционной технологией водоподготовки обеспечивают глубокую очистку воды от
органических загрязнений и позволяют получить питьевую воду высокого качества,
безопасную для здоровья населения. Учитывая неоднозначный характер действия
озона и особенности применения порошкообразных и зернистых активных углей, в
каждом случае необходимо проведение специальных технологических исследований
(или изысканий), которые покажут целесообразность и эффективность использования
данных технологий. Кроме того, в ходе таких исследований будут определены
расчетно-конструктивные параметры методов (оптимальные дозы озона в характерные
периоды года, коэффициент использования озона, время контакта озоновоздушной
смеси с обрабатываемой водой, тип сорбента, скорость фильтрования, время до
реактивации угольной загрузки и режим реактивации с определением его
аппаратурного оформления), а также другие технологические и
технико-экономические вопросы применения озона и активных углей на водоочистных
станциях.
) Водовоздушная промывка фильтра. Водовоздушная
промывка обладает более сильным действием, чем водяная, и это дает возможность
получить высокий эффект отмывки загрузки при небольших расходах промывной воды,
в том числе и таких, при которых взвешивания загрузки в восходящем потоке не
происходит. Эта особенность водовоздушной промывки позволяет: примерно в 2 раза
сократить интенсивность подачи и общий расход промывной воды; соответственно
снизить мощность промывных насосов и объемы сооружений для запаса промывной
воды, уменьшить размеры трубопроводов для ее подачи и отвода; уменьшить объемы
сооружений по обработке сбросных промывных вод и содержащихся в них осадков.
) Замена хлорирования на совместное
использование гипохлорита натрия и ультрафиолета. На заключительном этапе
обеззараживания воды УФ-излучение необходимо применять в сочетании с другими
хлорреагентами для обеспечения пролонгированного бактерицидного эффекта в
разводящих водопроводных сетях. Обеззараживание воды ультрафиолетовыми лучами и
гипохлоритом натрия на водопроводных станциях является весьма эффективным и
перспективным в связи с созданием в последние годы новых экономичных установок
УФ-обеззараживания с улучшенным качеством источников излучения и конструкций
реакторов.
На рисунке 1 представлена предлагаемая схема
водоочистной станции г. Нижний Тагил.
Рис. 1 Предлагаемая схема водоочистной станции г. Нижний Тагил
5.
Расчетная часть
.1
расчетная часть существующих очистных сооружений
.1.1
Реагентное хозяйство
1) Расчет дозы реагентов

;
Дк
= 
;
где
Дщ - количество щелочи, добавляемой для подщелачивания воды, мг/л;
е
- эквивалентный вес коагулянта (безводного) в мг-экв/л, равный для Al2(SO4)3
57, FeCl3 54, Fe2(SO4)3
67;
Дк
- максимальная доза безводного сернокислого алюминия в мг\л;
Щ
- минимальная щелочность воды в мг-экв/л, (для природных вод обычно равная
карбонатной жесткости);
К
- количество щелочи в мг/л, необходимое для подщелачивания воды на 1 мг-экв/л и
равное для извести 28 мг/л, для едкого натра 30-40 мг/л, для соды 53 мг/л;
Ц
- цветность обрабатываемой воды в градусах платино-кобальтовой шкалы.
Дк
= 
;

= 
;
Так
как 
˂ 0,
следовательно, дополнительного подщелачивания воды не требуется.
Определим
необходимые дозы ПАА и ПОХА
Расчетная
доза ПАА ДПАА = 0,5 мг/л (табл. 17) [10];
доза
ПОХА ДПОХА = 20 мг/л (рекомендуется брать в 1,5 раза меньше Al2(SO4)3);
)
Расчет суточных расходов реагентов
.1)
Расчет суточного расхода ПОХА
Готовим
раствор 25 % концентрации
Готовим
раствор 8 % концентрации
.2)
Расчет суточного расхода ПАА
Готовим
раствор 8 % концентрации
Готовим
раствор 1 % концентрации
)
Склад реагентов
Площадь
склада для коагулянта
.1.2
Расчет смесителей и камер хлопьеобразования
.1.2.1
Расчет вихревого смесителя
Вертикальный смеситель применяется на водоочистных станциях средней и
большой производительности при условии, что на один смеситель будет приходиться
расход воды не свыше 1200-1500 м3/ч. Таким образом, на
рассматриваемой станции нужно установить 5 смесителей.
Часовой расход воды с учетом собственных нужд очистной станции
Часовой расход воды на 1 смеситель
Секундный расход воды на один смеситель
Площадь горизонтального сечения в верхней части смесителя
где

-
скорость восходящего движения воды, равная 90-100 м/ч.
Если
принять верхнюю часть смесителя в квадратном плане, то сторона ее будет иметь
размер
Трубопровод,
подающий обрабатываемую воду в нижнюю часть смесителя с входной скоростью 
должен
иметь внутренний диаметр 350 мм. Тогда при расходе воды 
входная
скорость 
Так
как внешний диаметр подводящего трубопровода равен D=377 мм (ГОСТ
10704 - 63), то размер в плане нижней части смесителя в месте примыкания этого
трубопровода должен быть 0,377
0,377 м,
а площадь нижней части усеченной пирамиды составит 
.
Принимаем
величину центрального угла α=40º. Тогда
высота нижней (пирамидальной) части смесителя
Объем
пирамидальной части смесителя
Полный
объем смесителя
где
t - продолжительность смешения реагента с массой воды,
равная 1,5 мин (менее 2 мин).
Объем
верхней части смесителя
Высота
верхней части смесителя
Полная
высота смесителя
Сбор
воды производится в верхней части смесителя периферийным лотком через
затопленные отверстия. Скорость движения воды в лотке 
Вода,
протекающая по лоткам в направлении бокового кармана, разделяется на два
параллельных потока. Поэтому расчетный расход каждого потока будет:
Площадь
живого сечения сборного лотка
При
ширине лотка 
расчетная
высота слоя воды в лотке
Уклон
дна лотка принят 
.
Площадь
всех затопленных отверстий в стенках сборного лотка
где

-
скорость движения воды через отверстие лотка, равная 1 м/сек.
Отверстия
приняты диаметром 
=80 мм,
т.е. площадью 
=0,00503 
.
Общее
потребное количество отверстий
Эти
отверстия размещаются по боковой поверхности лотка на глубине 
=110 мм
от верхней кромки лотка до оси отверстия.
Внутренний
диаметр лотка
Шаг
оси отверстий

мм.
Расстояние
между отверстиями

.1.2.2
Вихревая камеры хлопьеобразования
Расчетное количество воды Qсут
= 140 тыс. м3/сутки.
Объем камеры хлопьеобразования
Число камер хлопьеобразования N=5.
Производительность одной камеры
где

- время
пребывания воды в камере, равное 8 мин.
При
скорости восходящего движения воды в верхней части камеры 
площадь
поперечного сечения верхней части камеры и ее диаметр равны
При
скорости входа 
диаметр
нижней части камеры и площадь ее поперечного сечения равны:
Принимаем
диаметр нижней части камеры 
.
Скорость входа воды в камеру составит 
.
Высота
конической части камеры хлопьеобразования при угле конусности 

.
Объем
конической части камеры



Объем
цилиндрической надставки над конусом
5.1.3
Расчет горизонтального отстойника
Начальное и конечное (на выходе из отстойника) содержание взвеси
соответственно 340 и 9,5 мг/л.
Принимаем
u0 = 0,5
мм/сек (по табл.27) [10] и тогда, задаваясь отношением L/H =
15, по табл. 26 [10] находим: α = 1,5 и
υср = Ku0 = 10
0,5 = 5
мм/сек.
Площадь
всех отстойников в плане
Fобщ = 
= 

4860 м2.
Глубину
зоны осаждения в соответствии с высотной схемой станции принимаем H =
2,6 м (рекомендуется H = 2,5
3.5 м).
Расчетное количество одновременно действующих отстойников N =
5.
Тогда
ширина отстойника
B = 
= 

24 м.
Внутри
каждого отстойника устанавливают две продольные вертикальные перегородки,
образующие три параллельных коридора шириной по 8 м каждый.
Длина
отстойника
L = 
= 
= 40,5
м.
При
этом отношении L:H = 40,5:2,6 
15, т.е.
отвечает данным табл.26 [10].
В
начале и конце отстойника устанавливают поперечные водораспределительные
дырчатые перегородки.
Рабочая
площадь такой распределительной перегородки в каждом коридоре отстойника
шириной bк = 8 м.
fраб = bк(H-0,3)
= 8(2,6-0,3) = 18,4 м2.
Расчетный
расход воды для каждого из 40 коридоров
qк = Qчас:40 =
5833:40 = 145 м3/ч, или 0,04 м3/сек.
Необходимая
площадь отверстий в распределительных перегородках:
а)
в начале отстойника
Ʃ
= 
:
=
0,04:0,3 = 0,13 м2
(где

-
скорость движения воды в отверстиях перегородки, равная 0,3 м/сек)
б)
в конце отстойника
Ʃ
= 
:
=
0,04:0,5 = 0,08 м2
(где

-
скорость воды в отверстиях концевой перегородки, равная 0,5 м/сек)
Принимаем
в передней перегородке отверстия d1 = 0,05 м
площадью 
=
0,00196 м2 каждое, тогда количество отверстий в передней перегородке

=
0,13:0,00196
66. В
концевой перегородке отверстия приняты диаметром d2 = 0,04 м и площадью 
=
0,00126 м2 каждое, тогда количество отверстий 
=
0,08:0,00126 
63.
Принимаем
по 63 отверстия в каждой перегородке, размещая их в семь рядов по горизонтали и
в девять рядов по вертикали. Расстояния между осями отверстий: по вертикали
2,3:7 
0,3 м и
по горизонтали 3:9 
0,33 м.
Удаление
осадка без прекращения действия горизонтального отстойника
Примем,
что сброс осадка производится один раз в течение трех суток с
продолжительностью 10 мин без выключения отстойника из действия.
Количество
осадка, удаляемого из каждого отстойника за одну чистку, по формуле 40 [10]
где

-
средняя концентрация взвешенных частиц в воде, поступающей в отстойник за
период между чистками, в г/м3;

-
количество взвеси в воде, выходящей из отстойника, в мг/л (допускается 8-12
мг/л);

- число
отстойников.

.
Процент
воды, расходуемой при периодическом сбросе осадка формуле 41 [10]
где

;

-
коэффициент разбавления осадка, принимаемый равным при периодическом удалении
осадка с опорожнением отстойника 1,3 и при непрерывном удалении осадка 1,5.
.1.4
Расчет скорых безнапорных фильтров с двухслойной загрузкой
1) Определение размеров фильтра
Суммарная
площадь фильтров с двухслойной загрузкой при 
(по
формуле 77) [10]
где

-
продолжительность работы станции в течении суток в ч;

-
расчетная скорость фильтрования при нормальном режиме эксплуатации, равная 6
м/ч;

-
количество промывок каждого фильтра за сутки, равное 2;

-
интенсивность промывки, равная 12,5 л/сек
м2;

-
продолжительность промывки, равная 0,1 ч;

- время
простоя фильтра в связи с промывкой, равная 0,33 ч.
Количество
фильтров N =5.
Площадь
одного фильтра
Размер
фильтра в плане 14,62
14,62 м.
Скорость
фильтрования воды при форсированном режиме
где

- количество
фильтров, находящихся в ремонте (
).
2) Подбор состава загрузки фильтра
Загрузка двухслойного фильтра состоит из антрацита (верхний слой) и
кварцевого песка (нижний слой). Гравий служит поддерживающим слоем.
В соответствии с данными табл. 32 и 33 [10] скорые двухслойные фильтры
загружаются (считая сверху вниз):
а) антрацитом с крупностью зерен 0,8-1,8 мм и толщиной слоя 0,4 м;
б) кварцевым песком с крупностью зерен 0,5-1,2 мм и толщиной слоя 0,6 м;
в) гравием с крупностью зерен 2-32 мм и толщиной слоя 0,6 м.
Общая высота воды над поверхностью загрузки фильтра принимается
) Расчет распределительной системы фильтра
Расход
промывной воды, поступающей в распределительную систему, при интенсивной
промывке 
Диаметр
коллектора распределительной системы принят 
исходя
из скорости движения промывной воды 
что
соответствует рекомендуемой скорости 1 - 1,2 м/сек.
При
размере фильтра в плане 14,62
14,62 м
длина отверстия
где

= 630 мм
- наружный диаметр коллектора (по ГОСТ 10704-63).
Количество
ответвлений на каждом фильтре при шаге оси ответвлений 
составит
Ответвления
размещает по 56 шт. с каждой стороны коллектора.
Диаметр
стальных труб принимаем 
(ГОСТ
3262-62), тогда скорость входа промывной воды в ответвлении при расходе 
будет 
.
В
нижней части ответвлений под углом 60º к вертикали предусматриваются отверстия диаметром 10-14 мм. Принимаем
отверстия δ
=14 мм площадью каждое 
Отношение
площади всех отверстий на ответвление распределительной системы к площади
фильтра принимаем 0,25-0,3 %. Тогда
Общее
количество отверстий в распределительной системе каждого фильтра
В
каждом фильтре имеется по 112 ответвлений. Тогда количество отверстий на каждом
ответвлении 410:112
4 шт. Шаг
оси отверстий 
4) Расчет устройств для сбора и отвода воды при промывке фильтра
При
расходе промывной воды на один фильтр 
и
количестве желобов 
расход
воды, приходящийся на один желоб, составит

0,926 м3/сек.
Расстояние
между осями желобов 
Ширину
желоба с треугольным основанием определяем по формуле 86 [10]. При высоте
прямоугольной части желоба 
величины

.
Коэффициент
К для желоба с треугольным основанием равен 2,1. Следовательно,
Высота
желоба составляет 0,5 м, а с учетом толщины стенки полная его высота будет
0,5+0,08=0,58 м; скорость движения воды в желобе 
. По
данным табл. 40 [10] размеры желоба будут: 
.
Высота
кромки желоба над поверхностью загрузки по формуле 63 [10]
где

- высота
фильтрующего слоя в м,

-
относительное расширение фильтрующей загрузки в % (табл.37) [10].
Расход
воды на промывку фильтра по формуле 88 [10]
На
промывку фильтра расход воды составит
В
общем, на промывку всех фильтров ушло
Осадок
в фильтре 12 мг/л = 12 г/м3
Масса
осадка в исходной воде 
Масса
осадка в воде после фильтра
Уловлено
взвешенных частиц 
Концентрация
взвешенных веществ
.1.5
Расчет хлораторной установки для дозирования жидкого хлора
Хлор вводится в воду в два этапа.
Расчетный часовой расход хлора для хлорирования воды:
Предварительного
при 
= 5 мг/л

: 24 = 
: 24 =
29,2 кг/ч;
вторичного
при 
= 2 мг/л

: 24 = 
: 24 =
11,7 кг/ч.
Общий
расход хлора равен 40,9 кг/ч, или 981,6 кг/сутки.
Оптимальные
дозы хлора назначают по данным опытной эксплуатации путем пробного хлорирования
очищаемой воды.
Производительность
хлораторной 981,6 кг/сутки ˃ 250 кг/сутки, поэтому помещение разделено
глухой стеной на две части (собственно хлораторную и аппаратную) с
самостоятельными запасными выходами наружу из каждой. водоподготовка
обеззараживание коагулянт хлор
В
аппаратной кроме хлораторов устанавливаются три вакуумных хлоратора
производительностью до 10 г/ч с газовым измерителем. Два хлоратора являются
рабочими, а один служит резервным.
В
аппаратной кроме хлораторов устанавливаются три промежуточных хлорных баллона.
Производительность
рассматриваемой установки по хлору составляет 40,9 кг/ч. Это вызывает
необходимость иметь большое количество расходных и хлорных баллонов, а именно:
nбал = Qхл: Sбал = 40,9:0,5 = 81 шт.,
где
Sбал = 0,5
0,7 кг/ч
- съем хлора с одного баллона без искусственного подогрева при температуре
воздуха в помещении 18 ºС.
Для
уменьшения количества расходных баллонов в хлораторной устанавливаются стальные
бочки-испарители диаметром D = 0,746 м и длиной l = 1,6 м. Съем
хлора с 1 м2 боковой поверхности бочек составляет Sхл = 3 кг/ч. Боковая поверхность бочки при принятых выше
размерах составит 3,65 м2.
Таким
образом, съем хлора с одной бочки будет
qб = FбSхл = 3,65∙3
= 10,95 кг/ч.
Для
обеспечения подачи хлора в количестве 40,9 кг/ч нужно иметь 40,9:10,95 
3
бочки-испарителя. Чтобы пополнить расход хлора из бочки, его переливают из
стандартных баллонов емкостью 55 л, создавая разрежение в бочках путем отсоса
хлор-газа эжектором. Это мероприятие позволяет увеличить съем хлора до 5 кг/ч с
одного баллона и, следовательно, сократить количество одновременно действующих
расходных баллонов до 40,9:5 
8 шт.
Всего
за сутки потребуется баллонов с жидким хлором 981,6:55 
17 шт.
Количество
баллонов на данном складе должно быть 3∙17 = 51 шт. Склад не должен иметь
непосредственного сообщения с хлораторной.
Месячная
потребность в хлоре
nбал = 

535
баллонов стандартного типа.
.1.6
Расчет резервуаров чистой воды
Объем резервуаров чистой воды определяется по формуле:


где

-
регулирующая емкость, м³;

-
неприкосновенный противопожарный запас воды, м³;

- запас
воды на промывку скорых фильтров и другие собственные нужды очистной станции, м³.
Регулирующая
емкость резервуаров 
определяем
(в % от суточного расхода воды) путем совмещения графиков работы насосной
станции 1-го подъема и насосной станции 2-го подъема. В данной работе 
- это
площадь графика между линиями поступления воды в резервуары со стороны очистных
сооружений в количестве около 4,17 % от суточного расхода и откачки ее из
резервуаров насосной станцией 2-го подъема (5 % от суточного) в течение 16
часов (от 5 до 21 часов). Переводя эту площадь из процентов в м3,
получаем:
здесь 4,17 % -
количество воды, поступающее в резервуары со стороны очистных сооружений;
% - количество откаченной из резервуара воды;
- время, в течение которого происходит откачка, ч.
Неприкосновенный противопожарный запас воды определяется по формуле:
где

-
часовой расход воды на тушение пожаров, равный 
;

-
часовой расход воды, поступающей в резервуары со стороны очистных сооружений,
равный
Возьмем
N=10 резервуаров

-
суммарный расход воды за 3 часа наибольшего водопотребления. В данной работе
это суммарный расход воды городом в течение с 7 до 10 часов и равный Σqмакс.ч= 
Объем воды на собственные нужды очистной станции Wст рассчитывается на две промывки фильтров:
где

-
удельный расход воды на одну промывку одного фильтра, который равен
произведению интенсивности промывки на ее продолжительность, равный

-
количество промывок одного фильтра, равное 2;

- общая
площадь фильтров, равная 120 м2;
Согласно п. 9.21, а также учитывая регулирующий, пожарный, контактный и
аварийный запасы воды, на станции водоподготовки по факту установлены четыре
прямоугольных резервуара марки РЕ-100М-60 (№ типового проекта 901-4-62,83) с
объемом 6000 м3.
Для обеспечения в резервуаре контакта хлора с водой необходимо обеспечить
пребывание воды в резервуаре не менее 30 мин. Контактный объем резервуаров
составит:
где

- время
контакта хлора с водой, равное 30 мин;
Этот
объем значительно меньше объема резервуара, следовательно, нужный контакт воды
и хлора обеспечивается.
.2
Расчетная часть предлагаемых очистных сооружений
.2.1
Реагентное хозяйство
1) Расчет доз реагентов
Определим необходимые дозы Praestol 650 и ПОХА
Расчетная доза Praestol
650 ДPr.650 = 0,1 мг/л (рекомендуется
производителем);
доза ПОХА ДПОХА = 20 мг/л (рекомендуется брать в 1,5 раза
меньше Al2(SO4)3);
.2.2
Расчет горизонтального отстойника
Количество осадка, удаляемого из каждого отстойника за одну чистку, по
формуле 40 [10]
где

-
средняя концентрация взвешенных частиц в воде, поступающей в отстойник за
период между чистками, в г/м3;

-
количество взвеси в воде, выходящей из отстойника, в мг/л (допускается 8-12
мг/л);

- число
отстойников.

.
Процент
воды, расходуемой при периодическом сбросе осадка формуле 41 [10]
где

;

-
коэффициент разбавления осадка, принимаемый равным при периодическом удалении
осадка с опорожнением отстойника 1,3 и при непрерывном удалении осадка 1,5.
.2.3
Расчет скорых безнапорных фильтров с двухслойной загрузкой
На промывку фильтра расход воды составит
В общем, на промывку всех фильтров ушло
Осадок в фильтре 8 мг/л = 8 г/м3
Масса
осадка в исходной воде 
Масса
осадка в воде после фильтра
Уловлено
взвешенных частиц 
В
связи с использованием водовоздушной промывки расход промывных вод уменьшится в
2,5 раза
.2.4
Расчет озонирующей установки
1) Компоновка и расчет блока озонатора
Расход озонируемой воды Qсут=140000 м3/сут или Qчас=5833 м3/ч. Дозы озона:
максимальная qмакс=5 г/м3 и средняя годовая qср=2,6 г/м3.
Максимальный расчетный расход озона:

или 29,2
кг/ч
Продолжительность
контакта воды с озоном t=6 минут.
Принят
озонатор трубчатой конструкции производительностью Gоз=1500 г/ч. Для того, чтобы выработать озон в
количестве 29,2 кг/ч, озонирующая установка должна быть оборудована 29200/1500≈19
рабочими озонаторами. Кроме того, необходим один резервный озонатор такой же
производительности (1,5 кг/ч).
Активная
мощность разряда озонатора U является функцией напряжения и частоты тока и может
быть определена по формуле:

Вт
где

-
напряжение в разрядном промежутке в В;

- круговая частота тока в Гц;

-
электрическая емкость соответственно электродов и разрядного промежутка в Ф;

-
рабочее напряжение, подводимое к озонатору, в В.
Для
определенного озонатора величины 
имеют
постоянные значения независимо от напряжения или частоты тока. Поэтому расход
электроэнергии пропорционален частоте тока 
и
максимальному напряжению тока 
.
Для
данных условий принимаем: 
=20000 В,

=50 Гц, 
=26,1
мкФ, 
=0,4 мкФ.
Величина
потенциала разряда через разрядный промежуток составляет 2000 В на каждый его
линейный миллиметр. Так как в озонаторе принятого трубчатого типа ширина
разрядного промежутка составляет 2,5 мм, то потенциал разряда будет 
=2,5×2000=5000 В.
Тогда
активная мощность разряда озонатора составляет:

62020 Вт
или 62кВт.
Основной
деталью рассматриваемого озонатора являются стеклянные диэлектрические трубки,
заплавленные с одного конца и имеющие на внутренней поверхности графитовые
покрытия. В стальные трубки внутренним диаметром d1=92 мм вставлены стеклянные трубки наружным диаметром d2=87 мм. Концентрический зазор между трубками шириной
2,5 мм служит разрядным промежутком.
Площадь
поперечного сечения кольцевого разрядного промежутка находится по формуле:
Скорость
прохода сухого воздуха через кольцевой разрядный промежуток в целях наибольшей
экономии расхода электроэнергии рекомендуется в пределах 
=0,15÷0,2 м/сек.
Тогда
расход сухого воздуха через одну трубку озонатора:
Поскольку
заданная производительность одного озонатора Gоз=1,5 кг/ч, то при коэффициенте весовой концентрации
озона Коз=20 г/м3 количество сухого воздуха, необходимого
для электросинтеза, составляет:

Следовательно,
количество стеклянных диэлектрических трубок в одном озонаторе должно быть
nтр=Qв/qв=75/0,5=150 шт.
Стеклянные
трубки длиной по 1,6 м размещены концентрично в 75 стальных трубках, проходящих
через весь цилиндрический корпус озонатора с обоих его концов. Тогда длина
корпуса озонатора будет l=3,6 м.
Производительность
каждой трубки по озону:

Энергетический
выход озона:
Суммарная
площадь поперечных сечений 75 трубок d1=0,092 м составляет ∑fтр=75×0,785×0,0922≈0,5
м2.
Площадь
поперечного сечения цилиндрического корпуса озонатора должна быть больше на 35
%, т.е.
Fк=1,35∑fтр=1,35×0,5=0,675
м2.
Следовательно,
внутренний диаметр корпуса озонатора будет:
Необходимо
иметь в виду, что 85-90 % электроэнергии, потребляемой для производства озона,
затрачивается на тепловыделение. В связи с этим надо обеспечить охлаждение
электродов озонатора. Расход воды для охлаждения составляет 35 л/ч на одну
трубку или суммарно Qохл=150×35=5250 л/ч или 1,46 л/сек.
Средняя
скорость движения охлаждающей воды составит:

или 8,3
мм/сек
Температура
охлаждающей воды t=10 °C.
Для
электросинтеза озона нужно подавать 75 м3/ч сухого воздуха на один
озонатор принятой производительности. Кроме того, надо учесть расход воздуха на
регенерацию адсорберов, составляющий 360 м3/ч для серийно
выпускаемой установки АГ-50.
Общий
расход охлаждаемого воздуха:
Vо.в=2×75+360=510
м3/ч или 8,5 м3/мин.
Для
подачи воздуха принимаем водокольцевые воздуходувки ВК-12 производительностью
10 м3/мин. Тогда необходимо установить одну рабочую воздуходувку и
одну резервную с электродвигателями А-82-6 мощностью 40 кВт каждая.
На
всасывающем трубопроводе каждой воздуходувки устанавливают висциновый фильтр
производительностью до 50 м3/мин, что удовлетворяет расчетным
условиям.
2) Расчет контактной камеры для смешения озоно-воздушной смеси с водой.
Необходимая площадь поперечного сечения контактной камеры в плане:

где

- расход
озонируемой воды в м3/ч;
Т
- продолжительность контакта озона с водой; принимается в пределах 5-10 мин;
n - количество
контактных камер;
H - глубина слоя
воды в контактной камере в м; принимается обычно 4,5-5 м.
Размер
камеры принят 
Для
равномерного распыления озонированного воздуха у дна контактной камеры
размещают перфорированные трубы. Принимаем керамические пористые трубы.
Каркасом
служит труба из нержавеющей стали (наружный диаметр 57 мм) с отверстиями
диаметром 4-6 мм. На нее надевается фильтросная труба - керамический блок
длиной l=500 мм, внутренним диаметром 64 мм и наружным 92 мм.
Активная
поверхность блока, т. е. площадь всех пор размером по 100 мк на керамической
трубе, занимает 25 % внутренней поверхности трубы, тогда
fп=0,25
Dвl=0,25×3,14×0,064×0,5=0,0251
м2.
Количество
озонированного воздуха составляет qоз.в≈150 м3/ч или 0,042 м3/сек.
Площадь поперечного сечения магистральной (каркасной) распределительной трубы с
внутренним диаметром d=49 мм равна: fтр=0,00188 м2=18,8 см2.
Принимаем
в каждой контактной камере по четыре магистральных
распределительных трубы, уложенных на взаимных расстояниях (между осями) по 0,9
м. Каждая труба состоит из восьми керамических блоков. При таком размещении
труб принимаем размеры контактной камеры в плане 3,7×5,4 м.
Расход озонированного воздуха, приходящегося на живое сечение каждой из
четырех труб в двух камерах, будет:
qтр=
≈0,01
м3/сек,
а
скорость движения воздуха в трубопроводе равна:

≈5,56
м/сек.
Суммарная
активная площадь пор всех керамических труб, уложенных в одной камере,
∑fп=mfп=4×8×0,0251=0,8 м2
(где
4-количество магистралей; 8-количество керамических труб).
Расход
озонированного воздуха, поступающего в воду через пористую поверхность всех
труб одной камеры:
q=
≈1,56
м3/мин×м2
Общее
давление, которое должно быть на входе в распределительную систему
озоно-воздушной смеси, определяются по формуле:
H=Hгидр+
м вод.
ст.,
где
Hгидр -
гидростатическое давление в м вод. ст. (равное высоте слоя воды в камере);

-
плотность воздуха;

;

=∑

-
конструктивное отношение (рекомендуется принимать равным примерно 0,5);

-
площадь одного отверстия на каркасной трубе в м2;

-
площадь сечения распределительной каркасной трубы в м2;
А -
коэффициент, зависящий от условного диаметра пор на керамической трубе d=100
мк и равный:

;
,3
- избыточное давление.
Таким
образом:
H=
≈5,32
м вод. ст.
.2.5
Расчет сорбционных угольных фильтров
Для расчета угольных фильтров рекомендуется следующий диапазон
величин:
скорость фильтрации - 5-15 м/ч;
высота слоя активного угля - 1-2,5 м;
время контакта обрабатываемой воды с углем - 6-15 мин;
интенсивность промывки - 10 л/(с×м2) (для углей АГМ и АГОВ)
и 14-15 л/(с×м2) (для углей марок АГ-3 и ДАУ);
промывку угольной загрузки производить не реже одного раза в 2-3 суток.
Продолжительность промывки 7-10 минут.
При эксплуатации угольных фильтров ежегодные потери угля составляют до 10
%. Поэтому на станции необходимо иметь запас угля для догрузки фильтров.
Распределительная система угольных фильтров - безгравийная (из щелеванных
полиэтиленовых труб, колпачковый или полимербетонный дренаж).
) Определение размеров фильтра
Общую площадь фильтров определим по формуле:
Количество фильтров:

шт. + 1
запасной.
Определим
площадь одного фильтра:
При этом длина фильтра составит L=12 м, ширина В=10 м.
) Расчет распределительной системы фильтра (по промывной воде)
Определим количество промывной воды, необходимой на одну промывку:
Определим продолжительность фильтроцикла:
Определим расход воды на промывку фильтра:
,39 % от производительности станции, т.е. 1946 м3 идет на
промывку угольных фильтров.
.2.6
Расчет установок для обеззараживания воды бактерицидным излучением
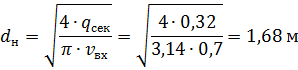
Расчетный бактерицидный поток определяется по формуле 121 [10]
где

-
коэффициент поглощения облучаемой воды в см-1, равный для
обработанной воды поверхностных источников водоснабжения 0,3 см-1;

-
коэффициент сопротивляемости облучаемых бактерий, принимаемый равным 2500 мквт
сек/см2;

-
количество бактерий в 1 литре воды после облучения, или коли-индекс облученной
воды, принимаемый 
3;

-
количество бактерий в 1 л воды, или коли-индекс воды, до облучения;
максимальное расчетное бактериальное загрязнение исходной воды принимается
равным коли-индексу 
;

-
коэффициент использования бактерицидного потока; принимаемый равным: для
установок с источником излучения погруженным 0,9 и непогруженным 0,75;

-
коэффициент использования бактерицидного излучения, зависящий от толщины слоя
воды, ее физико-химических показателей и конструктивного типа установки;
принимается равным 0,9.
Потребное
количество ламп составит
где

-
расчетный бактерицидный поток лампы в вт после 4500-5000 ч горения.
Величина

,
принимается в соответствии с характеристикой ламп (см. табл. 51), для РКС-2,5
составит 75 вт [10].
Таким
образом, может быть принята установка типа ОВ-1П-РКС, должна состоять из 17
кассет, по 8 ламп в каждой. Принимаем 18 рабочих кассет и одну резервную, или
всего (18+1)8=152 ламп.
Длина
рабочей части канала установки
где

-
расстояние между кассетами, равное 0,4 м;
N - общее количество кассет.
.2.7
Обеззараживание NaClO(товарный) и УФ
Хлорирование проводят рабочим раствором 8 % NaClO (90 г/л активного хлора).
Товарный продукт 15 % NaClO
(190 г/л активного хлора).
Дакт хлора=1 мг/л
где

= 90
г/л=90 кг/м3; 
= 1
мг/л=1 г /м3.
Хранят
в полиэтиленовых бочках V=100 л, следовательно, нам необходимо V
16 бочек.
Рассчитаем,
сколько необходимо товарного раствора NaClO:
товарный
15 % (Схлор=190 г/л)
рабочий
8 % (Схлор=90 г/л)

,
следовательно 
Заключение
Концентрации загрязняющих веществ в водоеме превышает нормативные по
мутности, перманганатной окисляемости, растворенному кислороду, цветности,
содержанию железа, марганцу, алюминия.
Предложенный вариант реконструкции водоочистной станции:
· оборудование камер хлопьеобразования тонкослойными модулями;
· замена первичного хлорирования на озоносорбцию;
· применение водовоздушной промывки фильтров 4
· замена хлорирования на совместное использование гипохлорита
натрия и ультрафиолета;
· замена флокулянта ПАА на Praestol 650.
Реконструкция позволит снизить концетрации загрязняющих веществ до
следующих значений:
· перманганатная окисляемость - 0,5 мг/л;
· растворенный кислород - 8 мг/л;
· цветности - 7-8 град;
· содержание железа - 0,3 мг/л;
· марганца - 0,1 мг/л;
· алюминия - 0,5 мг/л.
Библиографический
список
. СанПиН 2.1.4.1074-01. Издания. Питьевая вода и водоснабжение
населен-ных мест. - М.: Изд-во стандартов, 2012. - 84 с.
. Руководство по контролю качества питьевой воды, 1992.
. Нормы Агентства по охране окружающей среды США
. Елизарова, Т.В. Гигиена питьевой воды: уч. пособие / Т.В.
Елизарова, А.А. Михайлова. - Чита: ЧГМА, 2014. - 63 с.
. Камалиева, А.Р. Комплексная оценка качества алюмо- и
железосодержащих реагентов для очистки воды/ А.Р. Камалиева, И.Д. Сорокина,
А.Ф. Дресвянников // Вода: химия и экология. - 2015. - № 2. - С. 78-84.
. Сошников, Е.В. Обеззараживание природных вод: уч. пособие /
Е.В. Сошников, Г.П. Чайковский. - Хабаровск: Изд-во ДВГУПС, 2004. - 111 с.
. Драгинский, В.Л. Предложения по повышению эффективности
очистки воды при подготовке водоочистных станций к выполнению требований СанПиН
"Питьевая вода. Гигиенические требования к качеству воды централизованных
систем питьевого водоснабжения. Контроль качества"/ В.Л. Драгинский, В.М.
Корабельников, Л.П. Алексеева. - М.:Стандарт, 2008. - 20 с.
. Беликов, С.Е. Водоподготовка: справочник / С.Е. Беликов. -
М: Изд-во Аква-Терм, 2007. - 240 с.
. Кожинов, В.Ф. Очистка питьевой и технической воды: учебное
пособие / В.Ф. Кожинов. - Минск: Изд-во "Высшая школа А", 2007. - 300
с.
. СП 31.13330.2012. Издания. Водоснабжение. Наружные сети и
сооружения. - М.: Изд-во стандартов, 2012. - 128 с.