Дифенилметил и трет-бутил как защитные группы для тиольной функции

  • Вид работы:
    Контрольная работа
  • Предмет:
    Химия
  • Язык:
    Русский
    ,
    Формат файла:
    MS Word
    226,09 Кб
  • Опубликовано:
    2017-01-22
Вы можете узнать стоимость помощи в написании студенческой работы.
Помощь в написании работы, которую точно примут!

Дифенилметил и трет-бутил как защитные группы для тиольной функции

ФЕДЕРАЛЬНОЕ АГЕНТСТВО ПО ОБРАЗОВАНИЮ

ГОСУДАРСТВЕННОЕ ОБРАЗОВАТЕЛЬНОЕ УЧРЕЖДЕНИЕ

ВЫСШЕГО ПРОФЕССИОНАЛЬНОГО ОБРАЗОВАНИЯ

«АЛТАЙСКИЙ ГОСУДАРСТВЕННЫЙ УНИВЕРСИТЕТ»

Химический факультет

Кафедра органической химии





Курсовая работа

Дифенилметил и трет-бутил как защитные группы для тиольной функции


Выполнила студентка

курса, 632 группы

Панченко Наталья Сергеевна

Научный руководитель

канд. хим. наук, доцент И.В. Микушина



Барнаул 2016

Содержание:

Введение

. Пептидный синтез

.1 Понятие, типы и его применение

.2 Методы создания пептидной связи

. Защита тиольной группы

.1 Дифенилметил

.2 S -Бензгидрильная защита

.2.1 Введение S -бензгидрильной защиты

.2.2 Удаление S -бензгидрильной защиты

.3 Трет-бутильная защитная группа

.3.1 Введение трет-бутильной защитной группы

.3.2 Удаление трет-бутильной защитной группы

Заключение

Библиографический список

Введение

В органической химии при выполнении пептидного синтеза не как нельзя обойтись без защитных групп. Защитная группа - это функциональная группа, которая вводится в молекулу для обеспечения протекания необходимой химической реакции. Некоторые используемые в синтезе реагенты могут взаимодействовать сразу со многими функциональными группами преобразуемой молекулы. В том случае, если необходимо провести реакцию только с одним типом функциональных групп, не задевая остальные, последние защищают при помощи защитных групп.

В пептидном синтезе существуют два типа защитных групп - постоянные и временные. Постоянными называют группировки, используемые для защиты боковых функциональных групп и удаляемые на заключительном этапе синтеза пептида. Временными являются защитные группы для N -концевой аминогруппы и С-концевого карбоксила, снимаемые соответственно перед каждой стадией удлинения цепи или конденсации фрагментов.

В этой работе мы будем рассматривать постоянную защитную группу для защиты боковой функциональной группы, а именно дифенилметильную и трет-бутильную защиту для тиольной группы.

. Пептидный синтез

.1 Понятие, типы и его применение

Пептидный синтез - это построение пептидной цепи путем соединения аминокислот с помощью химических методов. Обычно речь идет о получении пептидов, содержащих до 40 - 45 аминокислот, таким способом можно осуществить синтез и небольших белков.

В зависимости от используемых методических приемов и характера синтезируемого конечного продукта различают следующие типы пептидного синтеза:

. Классический пептидный синтез в растворе, подразделяемый на ступенчатый синтез линейных пептидов, осуществляемый последовательным присоединением аминокислот от С-конца к N-концу цепи, и на блочный синтез линейных пептидов, когда построение цепи ведется из предварительно синтезированных фрагментов.

. Синтез пептидов на полимерном носителе, при этом растущая полипептидная цепь ковалентно присоединена к нерастворимому или растворимому полимеру и отделение ее от полимера осуществляется на завершающей стадии синтеза. При использовании нерастворимого носителя принято говорить о твердофазном синтезе, существующем в настоящее время в полностью автоматизированном варианте. Созданные для этих целей приборы получили название синтезаторов. В некоторых случаях оказывается целесообразным использовать жидкофазный синтез на основе растворимых полимеров.

. Синтез гомо- и гетерополиаминокислот, построенных из повторяющихся остатков одной-двух аминокислот путем полимеризации или сополимеризации производных аминокислот (N-карбоксиангидридов и т. п.).

. Ферментативный пептидный синтез, т. е. синтез пептидов с помощью ферментов. Идея такого синтеза привлекательна и многие ферменты способны катализировать образование пептидной связи (реакции, обратной протеолизу), существенных результатов пока этим методом получить не удалось.

. Полусинтез пептидов заключающийся в использовании методов пептидного синтеза для модификации природных пептидов. Обычным приемом является отщепление в молекуле природного пептида или белка небольшого фрагмента, а затем введение новой аминокислотной последовательности.

. Синтез циклических пептидов, осуществляемый замыканием линейного пептида в цикл соответствующей величины различными способами.

.Синтез гетеродетных пептидов, построенных с участием как амидных связей, так и связей другого типа - сложноэфирных, тиоэфирных, дисульфидных.

Пептидный синтез служит надежным средством доказательства строения природных пептидно-белковых веществ. Синтетические пептиды широко используются для структурно-функциональных исследований. С помощью химических методов удается получать аналоги биологически активных пептидов, в том числе циклические производные с заданными свойствами (например, с пролонгированным, усиленным или избирательным действием), а также аналоги с остатками небелковых аминокислот.

Синтетические пептидные фрагменты белков применяются для изучения их антигенных свойств и получения специфичных к отдельным участкам полипептидных цепей антител, используемых в структурно-функциональном анализе и в создании диагностикумов и вакцин. Методами пептидного синтеза получаются (в том числе и в промышленном масштабе) многие практически важные препараты для медицины и сельского хозяйства.[1]

.2 Методы создания пептидной связи

В пептидном синтезе используются известные из органической химии реакции получения амидов и специально разработанные методы для синтеза пептидов. Для успешного осуществления этих синтезов необходимо активировать карбоксильную группу, т.е. увеличить электрофильность карбонильного углерода. Это достигается путем химической модификации карбоксильной группы аминокислот. Тип такой модификации обычно определяет название метода пептидного синтеза.[1]

1. Хлорангидридный метод: в основе метода лежит реакция получения амидов взаимодействием хлорангидридов кислот с соответствующими аминами. Именно этим способом были получены первые пептиды. В настоящее время этот метод применяется крайне редко, поскольку он сопровождается образованием побочных продуктов и рацемизацией пептидов.

Рис.1 Схема хлорангидридного метода

. Азидный метод: этот метод имеет широкое применение. Исходным веществом в данном способе чаще всего являются эфиры N-защищенной аминокислоты или пептидов, из которой получают гидразид. Перевод в азиды осуществляется обработкой водным раствором нитрита натрия в кислой среде при -5 °С или действием изоамилнитрита или трет-бутилнитрита при -20 °С в органическом растворителе. Азиды при взаимодействии с С-защищенными аминокислотами в мягких условиях образуют пептиды.

Рис.2. Схема азидного метода

Рацемизация в этом методе сведена к минимуму, однако могут протекать побочные реакции, а именно: азиды могут перегруппировываться в изоцианаты, которые в свою очередь при взаимодействии со спиртом, используемым в качестве растворителя, образуют уретаны.

3. Метод смешанных ангидридов: более распространенным является применение смешанных ангидридов, в частности с производными угольной кислоты, получаемых с помощью изобутилхлоркарбоната. [1]

Рис. 3. Схема ангидридного метода

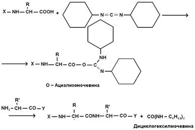
4. Карбодиимидным метод: в основе которого лежит применение (ДЦГКД). [2] Побочной реакцией этого метода может быть перегруппировка О-ацилизомочевины в оксазолон, что приводит к рацемизации. [1]

Рис. 4. Схема карбодиимидного метода

. Карбоксиангидридный метод: суть заключается в точном регулировании pH среды: конденсация N-карбоксиангидрида с аминокислотой проводится при pH 10.2, при подкислении осуществляется N-декарбоксилирование производных карбаминовой кислоты, и затем цикл реакций повторяется. Этим методом построение ведется от C- к N- концу.

Рис. 5. Схема карбоксиангидридного метода

Таким образом, проведение пептидного синтеза требует учета и жесткого соблюдения некоторых факторов. Так, с целью снижения образования побочных продуктов и рацемизации, рекомендуются следующие типовые условия проведения реакции образования пептидной связи:

) Процесс необходимо проводить при низких температурах, время реакции должно быть минимальным;

) Реакционная масса должна иметь рН, близкую к нейтральной;

) В качестве кислотосвязывающих реагентов используют органические основания, как пиперидин, морфолин и т.д;

) Проведение реакции желательно в безводных средах. [1]

2. Защита тиольной группы

1) Введение защитной группы (P) в исходный субстрат S;

2) Реакция между защищенным субстратом PS и используемым реагентом Y;

3) Последующее удаление блокирующей группы P и образование продукта SY. [3]


Сильная нуклеофильность, легкая окисляемость и кислый характер тиольной группы цистеина требуют селективного блокирования группы на всех стадиях синтеза. В 1930 г. дю Виньо впервые применил S-бензильный остаток для зашиты тиольной функции. В наше время все большее значение приобретают такие группы, которые могут приводить прямо к дисульфидному связыванию с образованием цистина без предшествующего деблокирования. Для образования дисульфидных мостиков служат методы иодолиза, роданолиза (диродановый метод или метод Хискн) или метод Камбера (посредством метоксикарбонилсульфенилхлорида Cl-S-CO-OCH3).

Наиболее употребительными тиолзащитными группами являются ациламииометилполутноацеталн (S.N-ацетали), тиоацетали, тиоэфиры, тиоуретаны и несимметричные дисульфиды. [4]

Несмотря на значительное количество защитных групп, предложенных для блокирования тиольной функции, поиск новых реагентов продолжается, так как каждая из используемых групп имеет ряд недостатков.[5]

Далее в этой работе будем рассматривать дифенилметильную и трет-бутильную защиту для тиольной группы.

2.1 Дифенилметил

пептидный защита тиольный ангидрид

Дифенилметил (или по-другому бензгидрил) является радикалом дифенилметана.

Рис. 6. Радикал дифенилметил

Дифенилметан может быть получен из бензола и хлористого бензила (1.1) с применением в качестве конденсирующего агента хлористого алюминия, фтористого водорода, хлористого бериллия, двойной соли хлористого алюминия и хлористого натрия, цинковой пыли, хлористого цинка или амальгамы алюминия.

(1.1)

Бензол и бензиловый спирт дают дифенилметан при действии фтористого бора, фтористого водорода или хлористого бериллия (1.2).

 +  →  (1.2)

Дифенилметан был получен также из бензола, хлористого метилена и хлористого алюминия (1.3) и из бензола, формальдегида в среде концентрированной серной кислоты (1.4). Восстановление бензофенола до дифенилметана было осуществлено действием иодисто-водородной кислотой и фосфором, натрия и спирта, и сплавлением с хлористым цинком и хлористым натрием (1.5). Конденсацию хлористого бензилмагния с бензолом с образованием дифенилметана можно осуществить добавлением небольших количеств магния и воды (1.6). [6]

(1.3)

(1.4)

)2 CO → (1.5)

 +  →  (1.6)

2.2 S -Бензгидрильная защита

По данным классических исследований тиоэфиры - наиболее известные и широко используемые защитные группы для тиолов. Тиоэфирные производные цистеина или других тиолов обычно получают реакцией нуклеофильного замещения, в которой меркаптофункция выступает как нуклеофил. Бензгидрил используется для защиты тиолов в виде бензгидрилового эфира. [7]

.2.1 Введение S -бензгидрильной защиты

S -Бензгидрильную защитную группу впервые предложили Зервас и Фотаки. Они показали, что для введения бензгидрильной защиты можно использовать не только тиоэфиры, но и хлориды. Так, например чтобы ввести бензгидрильную защиту в L-цистеин, нужно взять подходящий хлорид и подействовать им на хлоргидрат цистеина в диметилформамиде.[7]

Рис. 7. Схема введения бензгидрил хлорида

2.2.2 Удаление S -бензгидрильной защиты

S - Бензгидрильную защитную группу удаляют нагреванием до 70°С с трифторуксусной кислотой, содержащей фенол, или с меньшим успехом 2 н. раствором бромистого водорода в уксусной кислоте при 50-55°С. Недавно в результате детального изучения условий реакции было показано, что при использовании трифторуксусной кислоты, содержащей 2,5% фенола (16 ч, 30°С) или 15% фенола (15 мин, 70°С), тиол образуется практически с количественным выходом. При добавлении 10% воды выход тиола понижается, по-видимому, из-за снижения кислотности реакционной смеси, что приводит к уменьшению образования сопряженной кислоты из тиоэфира. По данным Кенига и др., трифторуксусная кислота при 70°С в отсутствие фенола практически не действует на S-бензгидриловый эфир.

Зервакс и Фотаки показали, что S-бензгидриловый эфир L-цистеина можно расщепить действием ионов серебра или ртути.

Сакакибара и др. предложили удалять S-бензгидрильную защитную группу фтористый водородом и анизолом. Как и следовало ожидать, расщепление сульфидов происходило быстро из-за большой устойчивости образующихся катионов.

S-Бензгидрильную защиту можно снять действием сульфенилтиоцианатов или родана в присутствии сульфидной связи используя кислые условия. [7]

Рис. 8. Схема удаления бензгидрильной защиты

.3 Трет-бутильная защитная группа

В пептидном синтезе для защиты тиольной группы также используют трет-бутиловые эфиры. Они имеют чрезвычайно большое значение для синтеза пептидов, т.к. трет - бутилэфирная группа очень легко отщепляется. [4]

Рис. 9. Радикал трет-бутил

Трет-бутиловый эфир получают при взаимодействии спирта с избытком изобутилена в условиях кислотного катализа (конц. H2SO4) при комнатной температуре:

.3.1 Введение трет-бутильной защитной группы

S-трет-Бутиловый эфир вводится и получаются следующим образом [1]:


Также при обработке N - фталоил - L - цистеина изобутеленом в присутствии серной кислоты в качестве катализатора с достаточно высоким выходом получен трет-бутиловый эфир N - фталоил - S - трет - бутил - L - цистеина [7]:

.3.2 Удаление трет-бутильной защитной группы

Результаты исследований Ола, Кэйна и др. показали, что трет-бутильную группу можно удалить в кислой среде. Ясно, однако, что, если не применять сильные кислоты, реакция идет медленно и положение равновесия, как правило, неблагоприятно. Каллаган и сотр. изучая введение и удаление S-трет-бутильных групп в различных пептидах, пришли к аналогичному выводу.

Для гладкого удаления S-трет-бутильной группы в трет-бутиловом эфире S-трет-бутил- L-цистеина опробован целый ряд кислотных реагентов. Все они, за исключением трифторуксусной кислоты (наиболее слабой из изученных), приводят к освобождению некоторого количества цистеина; наиболее эффективными оказались сильные кислоты (хлорная кислота в уксусной), но даже в этих условиях присутствовал S-трет-бутил-L-цистеин. Однако Сакакибара и др. показали, что S -трет -бутильную группу можно гладко удалить из цистеина под действием сильной кислоты и акцептора катионов (фтористый водород - анизол).

Последнюю реакцию, протекающую при комнатной температуре, можно использовать для препаративных синтезов, так как она дает достаточно высокие выходы тиолов. Несмотря на это, получение S-трет-бутилтиоэфиров цистеина до сих пор не нашло применения для защиты.

Но Бейерман и Бонтекое показали, что S-трет-бутил-L-цистеин расщепляется при кипячении с водным раствором хлорида ртути (II). [7]

Заключение

При написании курсовой работы было изучено, то как вводятся и удаляются вторичная и третичная защитные группы, а именно дефенилметильная и трет-бутильная защитные группы для тиольной функции в синтезе пептидов.

Таким образом можно сделать сравнительный анализ между двумя защитными группами. Вводятся защитные группы по разному, так бензгидрильная вводится преимущественном в виде тиоэфиров, иногда хлоридов, тогда как трет-бутильная, тоже ввиде тиоэфира, но тиоэфир получается и вводится одновременно, при помощи изобутелена в условиях кислотного катализа.

Удалить бензгидрильную защитную группу можно преимущественно трифторуксусной кислотой с добавленияем фенола, а трет-бутильную только при использовании сильных кислот, таких как хлорная кислота в уксусной, и фтористый водород в анизоле.

Так же были рассмотрены понятия пептидного синтеза, его типы, применене и методы создания пептидной связи.

Библиографический список

1.       Овчинников Ю.А. Биоорганическая химия. - М: Просящение, 1987. - 815 с.

.        Травень В.Ф. Органическая химия: учеб. для вузов: В 2т. / В.Ф. Травень. - М.: ИКЦ «Академкнига», 2006. - 582 с.

.        Ливанцов М.В. Защитные группы в оргнаическом синтезе. - М.: Моск. гос. ун-тет., 2001. - с. 51-57

4.       Якубке Х.Д., Ешкайт Х. Аминокислоты, пептиды, белки. пер. с нем. - М.: Мир, 1985. - 456 с.

.        Гершкович А.А., Кибирев В.К. Химический синтез пептидов. - Киев: Наукова думка, 1992. - 360 с.

.        Платэ А.Ф. Синтезы органических препаратов. Пер. с англ. (со 2-го амер. изд.) под ред. Б. А. Казанского. - М.: Гос. изд-во иностр. лит., 1949. - 655 с.

.        МакОми Дж. Защитные группы в органической химии. Пер. с англ. - М.: Мир, 1976. - 392 с.

Похожие работы на - Дифенилметил и трет-бутил как защитные группы для тиольной функции

 

Не нашли материал для своей работы?
Поможем написать уникальную работу
Без плагиата!
Без нейросетей!