Методы оценки финансового состояния предприятия торговли

  • Вид работы:
    Дипломная (ВКР)
  • Предмет:
    Финансы, деньги, кредит
  • Язык:
    Русский
    ,
    Формат файла:
    MS Word
    94,87 Кб
  • Опубликовано:
    2017-10-01
Вы можете узнать стоимость помощи в написании студенческой работы.
Помощь в написании работы, которую точно примут!

Методы оценки финансового состояния предприятия торговли

МЕТОДЫ ОЦЕНКИ ФИНАНСОВОГО СОСТОЯНИЯ ПРЕДПРИЯТИЯ ТОРГОВЛИ (НА ПРИМЕРЕ ООО «ДОМ»)

СОДЕРЖАНИЕ

ВВЕДЕНИЕ

ГЛАВА 1. ТЕОРЕТИЧЕСКИЕ ОСНОВЫ АНАЛИЗА МЕТОДОВ ОЦЕНКИ ФИНАНСОВОГО СОСТОЯНИЯ ПРЕДПРИЯТИЯ

1.1 Сущность и содержание понятий финансовой устойчивости и платёжеспособности

1.2 Методика расчета показателей финансовой устойчивости и платежеспособности

1.3 Критерии и признаки несостоятельности (банкротства)

ГЛАВА 2. ОЦЕНКА ФИНАНСОВОГО СОСТОЯНИЯ ПРЕДПРИЯТИЯ ООО «ДОМ»

2.1 Общая характеристика ООО «Дом»

2.2 Анализ показателей финансовой устойчивости ООО «Дом»

2.3 Анализ показателей платёжеспособности предприятия

ГЛАВА 3. ПУТИ СОВЕРШЕНСТВОВАНИЯ ФИНАНСОВОЙ УСТОЙЧИВОСТИ И ПЛАТЕЖЕСПОСОБНОСТИ ПРЕДПРИЯТИЯ ООО «ДОМ»

3.1 Информационные технологии в анализе финансовой устойчивости и платежеспособности предприятия ООО «Дом»

3.2 Мероприятия, направленные на повышение финансовой устойчивости и платежеспособности предприятия

3.3 Экономический эффект, предложенных мероприятий

ЗАКЛЮЧЕНИЕ

СПИСОК ИСПОЛЬЗОВАННЫХ ИСТОЧНИКОВ


ВВЕДЕНИЕ

Актуальность исследования. В рыночных условиях залогом выживаемости и основой стабильного положения предприятий является их устойчивость и финансовая автономность. Она отражает такое состояние финансовых ресурсов, при котором предприятие, свободно маневрируя денежными средствами, способно эффективно их использовать, обеспечить бесперебойный процесс производства и реализации продукции, а также покрывать расходы по его расширению. Мировой финансовый кризис

показал, что основной причиной банкротства была именно потеря финансовой устойчивости производственных предприятий1.

Но, несмотря на возобновление отечественной экономики после воздействия всемирного экономического кризиса много производственных предприятий России оказались в кризисном состоянии, которое характеризуется ухудшением финансовых результатов их деятельности, неспособностью рассчитываться по ранее понесенным долгам. Учитывая что возникновение кризиса на предприятии несет угрозу не только хозяйственному субъекту, но и связано с ощутимыми потерями позиций в ресурсной безопасности России, вероятность возникновения кризиса должна диагностироваться на самых ранних стадиях с целью своевременного использования возможностей его нейтрализации. А поскольку одной из главных проблем в деятельности производственных предприятий является отсутствие гибкого финансового планирования и анализа - важно своевременно выявить и устранить недостатки, найти управленческие ответы, которые стабилизируют и сбалансируют показатели положительных и отрицательных финансовой устойчивости.

Согласно выше изложенного установлено, что актуальность данного дипломного проекта является высокой и определяется требованиями сохранения финансовой позиции производственных предприятий, как надежных партнеров и конкурентоспособных производителей.

Цель дипломного проекта заключается в исследовании методов оценки финансового состояния предприятий торговли. Для достижения поставленной цели необходимо решить следующие задачи:

-         изучить сущность и содержание понятий финансовой устойчивости и платёжеспособности;

-         определить методику расчета показателей финансовой устойчивости и платежеспособности;

-         представить общую характеристику предприятия;

-         проанализировать показатели финансовой устойчивости;

-         провести анализ показатели платёжеспособности предприятия;

-         охарактеризовать информационные технологии в анализе финансовой устойчивости и платежеспособности предприятия;

-         разработать мероприятия, направленные на повышение финансовой устойчивости и платежеспособности предприятия;

-         спрогнозировать экономический эффект предложенных мероприятий.

Объект исследования - деятельность ООО «Дом».

Предмет исследования - платежеспособность и финансовая устойчивость ООО «Дом».

Краткое содержание работы. Первая глава дипломной работы посвящена исследованию теоретических основ анализа финансовой устойчивости и платежеспособности предприятия.

Вторая глава содержит оценку финансовой устойчивости и платежеспособности предприятия ООО «Дом».

Третья глава посвящена разработке мероприятий по внедрению информационных технологий в анализе финансовой устойчивости и платежеспособности предприятия ООО «Дом».

При написании дипломного проекта использованы научные труды В.А. Абчук, М.Ф. Макаренко, С.А. Терехова, Н.Н. Хаханова и других исследователей, статьи в специализированных журналах, а также законодательные и нормативные акты Российской Федерации.

Информационная база представлена финансовой отчетностью и данными финансового и управленческого учета ООО «Дом».

Методологической основой дипломной работы являются системный подход, методы сравнительного, экспертного и статистического анализа, а также метод экспертных оценок.

Объем и структура работы. Работа состоит из введения, трёх глав, заключения, списка использованных источников.

В главе 1 представлены теоретические основы анализа методов оценки финансового состояния предприятия.

Глава 2 содержит оценку финансового состояния предприятия на примере ООО «Дом».

В главе 3 предложены пути совершенствования финансовой устойчивости и платежеспособности предприятия ООО «Дом».

Список используемых источников содержит 50 наименований.

 

ГЛАВА 1. ТЕОРЕТИЧЕСКИЕ ОСНОВЫ АНАЛИЗА МЕТОДОВ ОЦЕНКИ ФИНАНСОВОГО СОСТОЯНИЯ ПРЕДПРИЯТИЯ

1.1 Сущность и содержание понятий финансовой устойчивости и платёжеспособности

Развитие рыночных отношений повышает ответственность и самостоятельность предприятий и других субъектов рынка в подготовке и принятии управленческих решений. Эффективность этих решений во многом зависит от объективности, своевременности и всесторонности оценки существующего и ожидаемого финансового состояния, главным образом платёжеспособности и финансовой устойчивости.

Оценка платёжеспособности и финансовой устойчивости предприятия представляет интерес для широкого круга субъектов рынка:

1)       предприятия, которое хочет знать непредвзятое мнение о своей деятельности и разработать мероприятия по ее улучшению;

2)       инвесторов, заинтересованных в эффективности и приемлемой рискованности инвестирования своих средств;

)         кредиторов и поставщиков, желающих убедиться в устойчивости финансового состояния предприятия;

)         партнеров по бизнесу, которые стремятся установить стабильные и надежные деловые отношения (поставщики, потребители, транспортировщики, страховые компании и др.);

)         посторонних в отношении предприятия структур (так, государственная налоговая инспекция желает убедиться в способности предприятия платить налоги, профсоюзы - в стабильности занятости работников и способности своевременно выплачивать заработную плату, благотворительные организации - в потенциальной способности предприятия помогать).

Высокая значимость данных показателей, непосредственно способствовала их всестороннему изучению отечественными и зарубежными экономистами.

На сегодняшний день существует несколько подходов к определению сущности показателей платёжеспособности и финансовой устойчивости.

Так, по мнению С.А. Терехова: «Финансовая устойчивость и платёжеспособность предприятия являются комплексными показателями, являющимися итогом взаимодействия элементов финансовых отношений хозяйственных субъектов и определяющимися совокупностью производственно-хозяйственных факторов влияния на получение, аккумуляцию и размещения финансовых средств»1.

По нашему мнению, утверждение автора является верным, но неполным, поскольку ликвидность и платёжеспособность предприятия зависит не только от финансовых результатов деятельности хозяйственных субъектов, но и от финансовой дисциплины, действующей на предприятии. Так: «..сегодня достаточно часто, получая средства от реализации продукции, предприятия направляют средства не на погашение обязательств, возникших в ходе операционной деятельности, а на приобретение внеоперационных активов, с частичным погашением их стоимости»2. Представленный факт, по нашему мнению как нельзя лучше демонстрирует то, что отсутствие чёткой и сбалансированной финансовой политики также имеет достаточное влияние

на показатели платёжеспособности и финансовой устойчивости сельскохозяйственных предприятий.

В число тактических функциональных показателей финансового состояния относит данные показатели экономист М.Ф. Макаренко. Из его произведений следует, что «финансовая устойчивость и платёжеспособность являются отражением степени финансового обеспечения потребности предприятия в капитале, соблюдения своевременности выполнения текущих обязательств, возможности и способности формировать в определённый момент времени необходимый фонд денежных средств с заданной абсолютной величиной»1.

По нашему мнению, утверждение автора является целостным, поскольку платёжеспособность и финансовая устойчивость - это возможность предприятия денежными ресурсами своевременно погасить свои обязательства.

В целом, под финансовой устойчивости понимают характеристику, свидетельствующую о стабильном положении предприятия: о превышении доходов над расходами, свободном распоряжении денежными средствами и эффективном их использовании, бесперебойном процессе производства и реализации продукции.

Платежеспособность - это возможность предприятия расплачиваться по своим обязательствам. При хорошем финансовом состоянии предприятие устойчиво платежеспособно; при плохом - периодически или постоянно неплатежеспособно.

В финансовом менеджменте платёжеспособность и финансовую устойчивость рассматривают как один из индикаторов финансового состояния.

Главными факторами и условиями, влияющими на платёжеспособность и финансовую устойчивость предприятия являются:

1)  наличие денег на расчётном и других счётах в банке;

2)  наличие просроченных кредитов банка, займов, задолженности финансовым органам;

3)  длительное нарушение сроков выплаты заработной платы;

4)       степень невыполнение договорных обязательств предприятия перед заказчиками продукции;

5)  динамика производственных затрат, что приводит к снижению величины прибыли;

6)  неплатёжеспособность самих заказчиков;

7)  степень отвлечение средств в дебиторскую задолженность и в избыточные производственные запасы.

Путeм эффективного внедрения системы планирования и прогнозирования стает возможным рациональное использование активов.

Систeму нормативно-правового регулирования деятельности предприятий, для удобства дефрагментируем на законодательную базу, которая устанавливает общие нормы, правила и стандарты и ту, которая определяет и регулирует отдельные хозяйственные и финансовые аспекты деятельности предприятий.

Итак, глaвным документом, который определяет сущность и виды, права и обязательства хозяйственных субъектов, является Гражданский кодекс РФ. Согласно данного законодательного акта, хозяйственная деятельность предприятий - это деятельность субъектов в сфере общественного производства или обмена, которая направлена на изготовление и реализацию продукции, выполнение работ или предоставление услуг стоимостного характера, имеющих ценовую определенность. Хозяйственная деятельность может осуществляться с целью получения прибыли (коммерческое предприятие) или без цели получения прибыли (некоммерческая хозяйственная деятельность, в частности, благотворительные фонды и прочие подобные организации). Сферу хозяйственных отношений составляют производственно-хозяйственные, организационно-хозяйственные и внутрихозяйственные отношения.

Следует заметить, что именно наличие законодательного закрепления многообразия форм субъектов хозяйствования, основанных на различных формах собственности, стало главной предпосылкой развития рыночного механизма регулирования финансовой деятельности предприятий. Современные финансово-кредитные отношения предприятий основываются на принципах: запрещения прямого вмешательства государства в финансовую деятельность субъектов; партнерства в финансовых отношениях между финансово-кредитными учреждениями (банками, кредитными союзами) и предприятиями; самоограничения, избрания направлений деятельности в зависимости от финансовых возможностей предприятия.

Реализация принципов, определенных в Гражданском кодексе, происходит на основании ряда федеральных законов, которые регулируют прямые отношения хозяйственных субъектов в зависимости от их организационно-правовой формы (в частности ФЗ «Об Обществах с ограниченной ответственностью», «Об открытых акционерных обществах» и т.д.) и согласно видов деятельности (в частности, ФЗ «Об инвестиционной деятельности», «Об аренде и лизинге»)1.

Особым видом документов, на основании которых происходит оперативный и стратегический анализ деятельности хозяйственных субъектов, является финансовая отчетность предприятия. Основные требования и методика составления финансовой отчетности хозяйственных субъектов определены в положениях по бухгалтерскому учету (в частности в ПБУ 4/99 «Бухгалтерская отчетность организации»).

Основные показатели, отражающие финансовое положение предприятия представлены в балансе. Бухгалтерский баланс должен характеризовать финансовое положение организации по состоянию на отчетную дату. Отчет о прибылях и убытках должен характеризовать финансовые результаты деятельности организации за отчетный период. Пояснения к бухгалтерскому балансу и отчету о прибылях и убытках должны раскрывать сведения, относящиеся к учетной политике организации, и обеспечивать пользователей дополнительными данными, которые нецелесообразно включать в бухгалтерский баланс и отчет о прибылях и убытках, но которые необходимы пользователям бухгалтерской отчетности для реальной оценки финансового положения организации, финансовых результатов ее деятельности и изменений в ее финансовом положении. Отчет о движении денежных средств возник как связующее звено между балансом и отчетом о прибылях и убытках и как ответ на возникшее требование к надежности и актуальности информации. Себестоимость, выручка, прибыль не те понятия, которыми финансисты могут манипулировать, в то время как информация о денежных потоках абсолютно реальна и хорошо контролируемая.

Преимущество информации о движении денежных средств среди прочего в том, что она позволяет отследить изменения в активах компании, дает возможность воздействовать на величину и сроки поступлений и выплат в целях приспособиться к изменяющимся условиям. Также информация о движении денежных средств просто неоценима при финансовом моделировании поведения компании в будущие периоды, в особенности ее способности погашать полученные кредиты, и планировании графиков погашений, чтобы избежать кассовых разрывов. В отчете о движении денежных средств отражаются фактические денежные притоки/оттоки, которые, в случае если даты оплаты и даты перехода прав собственности различаются, могут быть показаны в периоде, отличном от периода, когда получены доходы/понесены расходы. Информация, содержащаяся в отчете о движении денежных средств, необходима для оценки:

-    перспективной возможности компании создавать положительные потоки денежных средств;

-         способности компании выполнять свои обязательства по расчетам с кредиторами, выплате дивидендов и иных платежей;

          причин различия между чистыми доходами организации и связанными с ними поступлениями и платежами;

          эффективности операций по финансированию организации и инвестиционных сделок в денежной и безденежной формах.

Таким образом, отчет о движении денежных средств - это единственный отчет в составе финансовой отчетности, который составляется по кассовому методу, а не по методу начисления. В соответствии с кассовым методом отражаются те операции, которые в отчетном периоде были осуществлены денежными средствами. При этом такое движение денежных средств легко отследить по всем расчетным счетам и кассам предприятия. В состав отчета о движении денежных средств входит также движение так называемых эквивалентов денежных средств.

Оценка финансовой устойчивости и платёжеспособности предприятия проводится на основании показателей, полученных в результате анализа бухгалтерской отчетности. Методы анализа финансовой устойчивости и платёжеспособности имеют определенные специфические особенности. К ним относятся:

1)        использование системы показателей, характеризующих деятельность предприятия;

2)       изучение причин изменения показателей;

3)       определения и измерения взаимосвязей и взаимозависимостей между ними с помощью специальных приемов.

Важнейшими элементами методики анализа финансовой устойчивости и платёжеспособности предприятия являются технические приёмы и способы его осуществления.

Все приёмы, применяемые в анализе финансовой устойчивости и платёжеспособности, можно объединить в две группы: формализованные способы анализа (описание аналитических процедур на основе точных зависимостей) и неформализованные (описание аналитических процедур на логическом уровне). На сегодняшний день, наиболее часто применяют формализованные методы анализа. При этом, отечественная школа экономики рекомендует проводить анализ как по общим (обобщённым), так и по частичным показателям ликвидности.

1.2 Методика расчета показателей финансовой устойчивости и платежеспособности

Платежеспособность предприятия могут оценивать по общим и частичным показателям. Индикатором платежеспособности по общим показателям называют ликвидность баланса. Ликвидность баланса является обобщённым показателем финансового состояния предприятия, который характеризирует степень покрытия обязательств предприятия его активами. Техническая сторона оценки ликвидности баланса заключается в том, что происходит сопоставление средств в активе и обязательствами в пассиве по срокам. При этом активы должны быть сгруппированы по степени их ликвидности и расположенных в порядке убывания ликвидности, а обязательства - по срокам их погашения и расположены в порядке возрастания сроков оплаты. Так, в зависимости от уровня ликвидности активы разделяют на следующие группы:

6)    наиболее ликвидные активы (А1) - это денежные средства и их эквиваленты. Сюда может также входить часть текущих финансовых инвестиций, которая вращается на организованном финансовом рынке и соответственно имеет наибольшую ликвидность;

7)   активы, которые быстро реализуются (А2) - это полученные векселя, дебиторская задолженность и текущие финансовые инвестиции. Ликвидность этих активов различна и зависит от субъективных и объективных факторов, наиболее влиятельными среди которых являются: квалификация финансовых работников, платёжеспособность плательщиков, условия выдачи кредитов покупателям. Этой группе активов могут также принадлежать активы, для превращения которых в денежную форму требуется более длительное время. Ликвидность этих активов зависит от скорости отгрузки продукции, оформления банковских документов, документооборота в банках, от спроса на продукцию и её конкурентоспособности, платёжеспособности покупателей, и выбранных организацией форм расчётов.

8)   активы, которые реализуются медленно (Аз) (после трансформации в готовую продукцию, а затем в денежные средства). К числу таких активов можно отнести прочие запасы, затраты в незавершенном производстве, прочие оборотные активы, расходы будущих периодов. Кроме того, к данной группе активов принадлежат также оборотные активы, не вошедшие в первые две группы.

9)   активы, которые трудно реализовать (А4). В число таких активов в первую очередь включаются внеоборотные активы в разрезе неоконченного строительства, значительно физически изношенные или морально устаревшие приборы и оборудование.

При составлении баланса ликвидности важно правильно классифицировать, как активы, так и пассивы предприятия. Последние, в соответствии с ростом сроков погашения обязательств, группируются на:

1)   наиболее срочные пассивы (П1). В число таких пассивов относят: кредиторскую задолженность, текущие обязательства по расчётам, другие текущие обязательства, расчёты по дивидендам, своевременно не погашенные кредиты и реструктуризированная задолженность по обязательствам, срок погашения которой приходиться на период;

2)   краткосрочные пассивы (П2) - это краткосрочные кредиты банков, текущая задолженность по долгосрочным обязательствами, выданные векселя и прочие бланковые формы обеспечения обязательств предприятия;

3)   долгосрочные пассивы (П3) - это долгосрочные обязательства;

4)     постоянные пассивы (П4). В состав этой группы включают собственный капитал, обеспечение последующих расходов и платежей, доходы будущих периодов.

Для определения ликвидности баланса необходимо сравнить итоги по каждой группе актива и пассива баланса. Баланс предприятия считается ликвидным, если его текущие активы превышают краткосрочные обязательства. Абсолютная ликвидность характеризируется следующим уравнением1:

А1 ≥ П1, А2 ≥ П2, А3 ≥ П3,

А4 ≤ П4 (1)

Если выполняются первые три неравенства в этой системе, то это ведет и к выполнению четвертого. Поэтому важно сопоставить итоги первых трех групп по активу и пассиву. Сопоставление итогов первой группы по активу и пассиву, то есть А1 и П1, отражает соотношение текущих платежей.

Сравнение второй группы по активу и пассиву (А2 и П2) показывает тенденцию увеличения или уменьшения текущей ликвидности в недалеком будущем. Сопоставление итогов по активу и парой для третьей и четвертой групп отражает соотношение платежей и поступлений в относительно отдалённом будущем. Оценка ликвидности, которая приведена выше, рекомендуется к применению отечественной и зарубежной школой экономического менеджмента.

Платежеспособность предприятия наиболее часто рассчитывается с помощью коэффициентов ликвидности. Оценка ликвидности и платёжеспособности предприятия по частичным показателям может проводится на базисе платёжного баланса, составленного в ходе оценки ликвидности баланса предприятия или на основании финансовой отчётности предприятия.

Основные показатели ликвидности и платёжеспособности предприятия, которые рассчитываются на базе данных платёжного баланса являются следующими:

1)        коэффициент текущей ликвидности даёт общую оценку платёжеспособности предприятия и рассчитывается по формуле2:

Он показывает, сколько рублей текущих активов предприятия приходится на один рубль текущих обязательств. Логика этого показателя заключается в том, что предприятие погашает краткосрочные обязательства в основном за счёт текущих активов. То есть, если текущие активы превышают текущие обязательства, предприятие считается ликвидным. Размер превышения задаётся коэффициентом покрытия. Значение этого показателя зависит и от отрасли, и от вида деятельности. В европейской учётно- аналитической практике приводится критическое минимальное значение этого показателя. Признано, что текущие активы должны вдвое превышать краткосрочные обязательства.

Если на предприятии отношение текущих активов и краткосрочных обязательств ниже 1: это является свидетельством высокого финансового риска, поскольку предприятие не в состоянии оплатить свои счёта. Соотношение 1: 1 предполагает равенство текущих активов и краткосрочных обязательств. Но, несмотря на разный уровень ликвидности активов, можно считать, что не все активы будут немедленно реализованы, а потому возникает угроза для финансовой стабильности предприятия.

Если значение коэффициента покрытия значительно превышает соотношение 1: 1, то можно сделать вывод, что предприятие имеет значительные оборотные средства, сформированные благодаря собственным источникам. С позиции кредиторов предприятия такой вариант формирования оборотных средств является наиболее приемлемым. С точки зрения менеджера, значительное накопление запасов на предприятии, превращение денег в дебиторскую задолженность может объясняться неудовлетворительным управлением активами.

Сокращение величины коэффициента покрытия может произойти под влиянием двух факторов: увеличение текущих активов и значительного роста краткосрочных обязательств. Для выяснения причин изменения этого показателя необходимо проанализировать изменения в составе источников средств и их размещении с начала года;

2)      коэффициент быстрой ликвидности - это коэффициент по смысловому значению аналогичный коэффициенту текущей ликвидности. Исключением является вычет из активной базы, используемой при расчёте коэффициента покрытия наименее ликвидной их части - производственных запасов. Для расчёта используют формулу1:


Запасы исключаются не столько потому, что они менее ликвидные, а потому, что средства, которые можно получить в случае вынужденной реализации производственных запасов, могут быть существенно ниже затрат на их закупку. В условиях рыночной экономики типичной является ситуация, когда при ликвидации предприятия получают 40% и менее от учётной стоимости запасов. Достаточным коэффициентом быстрой ликвидности является соотношение 1:1.

Практически многие предприятия имеют низкий коэффициент быстрой ликвидности (например, 0,5: 1), поэтому для оценки их фактической ликвидности необходимо проанализировать тенденции изменения этого показателя за определённый период. Так, если рост коэффициента был связан в основном с ростом неоправданной дебиторской задолженности, то это свидетельствует о серьезных финансовых проблемах предприятия. В западной экономической литературе этот коэффициент называют коэффициентом мгновенной оценки.

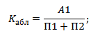
. Коэффициент абсолютной ликвидности определяется по формуле:


Этот коэффициент показывает, какую часть краткосрочных обязательств можно погасить немедленно. Теоретически, достаточным значением для коэффициента абсолютной ликвидности является соотношение 0,2:1.

На практике фактические средние значения коэффициентов ликвидности бывают значительно ниже, но это еще не даёт основания выдвигать мнение о невозможности предприятия немедленно погасить свои долги, потому что маловероятно, чтобы все кредиторы предприятия одновременно предъявили ему свои долговые требования.

Для оценки финансовой устойчивости предприятия используют следующие показатели:

1)        коэффициент концентрации собственного капитала характеризует долю собственности самого предприятия в общей сумме средств, инвестированных в его деятельность. Чем выше этот коэффициент, тем более финансово устойчивым и независимым от кредиторов является предприятие. Дополнением к этому показателю является коэффициент концентрации привлеченного (заемного капитала). Сумма обоих коэффициентов равна 1 (или 100%). Такой показатель рассчитывается согласно формулы:

где:

Ksk Sk k

Ksk - коэффициент концентрации собственного капитала; Sk - собственный капитал, согл. валюты баланса;

∑k - капитал предприятия;

2)        коэффициент финансовой зависимости является обратным к предыдущему показателю. Рассчитать показатель возможно используя следующую формулу:

где:

 a k

Kfz - коэффициент финансовой зависимости;

∑а - основные фонды актива баланса;

∑k - капитал предприятия.

Когда его значение приближается к 1 (или 100%), это означает, что владельцы полностью финансируют свое предприятие.

3)       коэффициент маневренности собственного капитала показывает, какая часть собственного капитала используется для финансирования текущей деятельности, т.е. которая вложена в оборотные средства, а какая капитализирована. Данный показатель рассчитывается по формуле:

где:

 

 

Km (Sk Do Avn) (Sk Do)

 - коэффициент маневренности собственного капитала; Sk - собственный капитал, согласно валюты баланса;

Do - долгосрочные обязательства;

Avn - внеоборотные активы предприятия;

4) коэффициент долгосрочных вложений показывает, какая часть основных средств и других активов профинансирована внешними инвесторами, т.е. какая часть принадлежит им, а не владельцам предприятия. Формула расчета является следующей:

где:

Kdv Do (Sk Do)

 - коэффициент долгосрочных вложений; Do - долгосрочные обязательства;

Sk - собственный капитал, согласно валюты баланса;

)коэффициент соотношения заемных и собственных средств. Рост этого показателя в динамике также свидетельствует об усилении зависимости предприятия от кредиторов, т.е. о снижении его финансовой устойчивости.

Рассчитать показатель можно по формуле:

Kok Pk Sk

 

где:

Kok - коэффициент соотношения заемных и собственных средств; Sk - собственный капитал, согласно валюты баланса.

Есть два основных подхода к оценке показателей (коэффициентов) финансового состояния предприятия:

1. На основе нормативных значений показателей;

2.       На основе общеотраслевых значений показателей.

Оценку коэффициентов на основании нормативных значений рассмотрим в таблице 1.1.1

Таблица 1.1.1- Оценка показателей финансового состояния на основании нормативных значений

Качественная оценка

Правила оценки

Высокий

Значение коэффициента выше признанного стандарта

Норма

Значение коэффициента стандарта (Отклонение + 5%)

в

пределах

признанного

Низкий

Значение коэффициента ниже признанного стандарта


Методика оценки коэффициентов финансового состояния предприятия, которая проводится на основании общеотраслевых значений показателей приведена в таблице 1.1.2.

Таблица 1.1.2- Оценка показателей финансового состояния на основании общеотраслевых значений показателей

Качественная оценка

Правила оценки

 

Выше значения

общеотраслевого

Значение коэффициента отрасли на 10% и более

выше

среднего

уровня

в

Отвечает общеотраслевом уровню

Значение коэффициента в пределах + 10% от среднего уровня в области

 

Ниже значения

общеотраслевого

Значение коэффициента отрасли на 10%

ниже

среднего

уровня

в

 


1.3 Критерии и признаки несостоятельности (банкротства)

В соответствии с действующим законодательством о банкротстве предприятий для диагностики их несостоятельности применяется ограниченный круг показателей: коэффициенты текущей ликвидности, обеспеченности собственным оборотным капиталом и восстановления (утраты) платежеспособности. Основанием для признания структуры баланса неудовлетворительной, а предприятия неплатежеспособным является наличие одного из условий: коэффициент текущей ликвидности на конец отчетного периода имеет значение ниже нормативного; коэффициент обеспеченности собственными оборотными средствами на конец отчетного периода имеет значение ниже нормативного1. Система показателей, с помощью которых оцениваются критерии потенциального банкротства, представлена в таблице 1-3. Она сформирована для определения финансовых критериев, поскольку проявление других критериев неизбежно приведет к изменению финансовых.

Таблица 1.1.3- Система показателей для финансовой диагностики вероятности банкротства предприятий

Критерии потенциального банкротства

Абсолютные показатели (позволяют оперативно выявить те или иные критерии потенциального банкротства

Относительные показатели (позволяет установить тенденции изменения вероятности банкротства

Убыточность финансово- хозяйственной деятельности

Чистая прибыль. Прибыль (убыток) отчетного периода

Коэффициент рентабельности совокупного капитала

Наличие просроченной

Просроченные финансовые

Коэффициент

задолженности по ссудам

обязательства

обеспеченности

банка, займам, прочим


просроченных финансовых

кредиторам


обязательств активами

Превышение общей суммы финансовых обязательств над стоимостью активов


Коэффициент обеспеченности финансовых обязательств активами

Неспособность

погасить

Чистый денежный поток

Коэффициент

краткосрочные



обеспеченности финансовых

обязательства

за счеот


обязательств активами

имеющихся

обортных



активов




Дефицит собственных

Собственные

оборотные

Коэффициент

оборотных средств

средства


обеспеченности




собственными оборотными




средствами

Низкое качество дебиторской задолженности

Просроченная дебиторская задолженность

Удельный вес просроченной дебиторской задолженности в общей сумме дебиторской задолженности

Падение рыночной сто­имости ценных бумаг предприятия

Рыночная стоимость ценных бумаг

Коэффициент стоимости акции

рыночной


Таблица составлена на основе Федерального закона от 26.10.2002 N 127-ФЗ «О несостоятельности (банкротстве)» (в действующей редакции).

Финансовую диагностику вероятности банкротства предприятия рекомендуется проводить в три этапа: первый этап - предварительная диагностика вероятности банкротства на основе анализа абсолютных показателей с целью определения критериев потенциального банкротства. На этом этапе выявляются так называемые болевые точки деятельности предприятия; второй этап - последующая диагностика вероятности банкротства, включающая анализ динамики изменения относительных показателей за отчетный период, а также за ряд лет, и сравнение их значений с нормативами.

Сравнение значений коэффициентов с нормативными величинами позволяет констатировать степень вероятности банкротства, а анализ ретроспективных рядов относительных показателей дает возможность определить тенденцию к усилению или ослаблению риска банкротства; третий этап - выработка рекомендаций по финансовому оздоровлению предприятия. При получении неоднозначных выводов по результатам первого и второго этапов диагностики необходимо проведение внутреннего анализа состояния расчетов с дебиторами и кредиторами, анализа производства и реализации продукции, состояния инвестиционного климата и уровня организации маркетинга на предприятии1.

 

ГЛАВА 2. ОЦЕНКА ФИНАНСОВОГО СОСТОЯНИЯ ПРЕДПРИЯТИЯ ООО «ДОМ»

2.1 Общая характеристика ООО «Дом»

ООО «Дом» находится по адресу: Московская область, г. Химки, Микрорайон 8. Индекс: 141400.

Юридический адрес: 141400, МОСКОВСКАЯ ОБЛАСТЬ, Г ХИМКИ, МИКРОРАЙОН "ИКЕА", КОРП 1.

Телефон: 495-737-53-01

Факс: 737-53-24

Реквизиты компании (данные из ЕГРЮЛ): ИНН: 5047076050

КПП: 504701001

ОКПО: 96283?28

ОГРН: 1065047056348

ОКФС: 23 - Собственность иностранных юридических лиц

ОКОГУ: 4210011 - Хозяйственные общества и товарищества с участием иностранных юридических и (или) физических лиц, а также лиц без гражданства

ОКОПФ: 12165 - Общества с ограниченной ответственностью ОКТМО: 46783000

ОКАТО: 46483 - Московская область, Города областного подчинения Московской области, Химки

Виды деятельности:

Основной (по коду ОКВЭД): 52.44 - Розничная торговля мебелью и товарами для дома

Дополнительные виды деятельности:

45.2 Строительство зданий и сооружений

51.15 Деятельность агентов по оптовой торговле мебелью, бытовыми

товарами, скобяными, ножевыми и прочими металлическими изделиями

.2 Розничная торговля пищевыми продуктами, включая напитки, и табачными изделиями в специализированных магазинах

.30 Деятельность ресторанов и кафе

.52 Поставка продукции общественного питания

На рис. 2.1. представлена организационная структура ООО «Дом».

Рис. 2.1. Организационная структура ООО «Дом»

Миссия заключается в том, чтобы изменить к лучшему повседневную жизнь многих людей. Основной финансовый принцип Группы компаний заключается в развитии за счет собственных ресурсов.

Миссия - это основа развития. Компания хочет убедиться, что товары доступны для большего числа людей, которые хотят изменить к лучшему повседневную жизнь дома. Компания инвестирует большую часть прибыли в уже существующие и новые магазины ИКЕА, а также в разработку товаров и экологичных решений. Кроме того, мы постоянно снижаем цены для покупателей.

Группа компаний (INGKA Holding B.V. и подконтрольные ей фирмы) построена на таком принципе собственности, который обеспечивает независимость и долгосрочное развитие.

Штихтинг-фонд INGKA в Нидерландах - наш владелец, и средства фонда могут быть использованы лишь двумя способами: их можно вложить в развитие Группы компаний или передать на благотворительные нужды штихтинг-фонду ИКЕА.

INGKA Holding B.V. - это головная компания Группы компаний ИКЕА, расположенная в нидерландском Лейдене. По состоянию на 31 августа 2015 года в наблюдательный совет входят: Ларс-Йохан Ярнхеймер (председатель), Стина Хонкамаа Бергфорс, Торе Бертилссон, Луиза Дельгадо, Йонас Кампрад, Горан Линдхаль и Лоне Фонсс Шрёдер. Основатель ИКЕА, Ингвар Кампрад, является старшим советником наблюдательного совета. Группой компаний управляет президент и генеральный директор Петер Агнефьель совместно с другими руководителями группы компаний.

Группа компаний управляет магазинами по договорам франшизы с Inter IKEA Systems B.V., которой принадлежит концепция и которая является франшизодателем по всему миру. Inter IKEA Systems B.V. базируется в Нидерландах и принадлежит Группе компаний Inter IKEA Group. Группа компаний Inter IKEA Group и Группа компаний - это две отдельные группы компаний с разным руководством и разными владельцами.

Группа компаний управляет всей цепью добавления стоимости - от определения стратегии развития ассортимента и разработки товаров до производства, распространения и розничной продажи. Сюда входят наши производственные объекты, оперативные офисы закупок, центры дистрибуции, в том числе и для покупателей, а также торговые центры и 328 магазинов в 28 странах. В общем, в Группе компаний имеются подразделения в 43 странах.

 

.2 Анализ показателей финансовой устойчивости ООО «Дом»

Для того чтобы оценить финансовую устойчивость предприятия ООО «Дом» рассчитаем коэффициент финансовой устойчивости Занесем все полученные результаты в таблицу (табл. 2.1).

Таблица 2.2.1- Оценка финансовой устойчивости предприятия ООО «Дом» с помощью коэффициентов

№ п.п

 Коэффициент

Нормальное значение

 2012

 2013

 2014

1

Коэффициент автономии (финансовой независимости)

0,5 - 0,7

0,27

0,27

0,18

2

Коэффициент устойчивости

финансовой

0.8 - 0.9

0,28

0,31

0,21

 3

Коэффициент заемных и средств

соотношения собственных

 <1

 2,59

 2,68

 4,26

4

Коэффициент обеспеченности СОС

≥ 1

0,13

0,17

0,12

5

Коэффициент маневренности собственного капитала

-

0,40

0,58

0,60

 6

Коэффициент соотношения мобильных и иммобилизованных активов

 -

 0,19

 0,13

 0,08

7

Коэффициент финансирования

1

0,13

0,37

0,23


На протяжении анализируемого периода коэффициент автономии предприятия ООО «Дом» имел незначительную тенденцию к снижению. В 2012 году величина данного показателя составила 0,27, как и в 2013 году, а в 2014 году коэффициент составил 0,18. Для финансовой устойчивости предприятия минимальный уровень данного коэффициента должен быть от 0,5 - 0,7. Можно говорить, что предприятие ООО «Дом» зависит от заемных средств, что подтверждает значение коэффициента соотношения заемных и собственных средств. А, значит, дополнительное использование заемных средств не подходит для повышения эффективность хозяйственной

деятельности. Причиной низкого значения коэффициента автономии может быть низкая ликвидность имущества предприятии, не позволяющие погасить кредиторскую задолженность, а также в отсутствии прибыли, за счет которой можно было бы увеличить собственные средства. С экономической точки зрения это говорит о том, что все обязательства предприятия ООО «Дом» не могут быть покрыты его собственными средствами. финансовый платежеспособность банкротство ликвидность

При рассмотрении коэффициента финансовой устойчивость мы наблюдаем следующие: в 2012 году данный коэффициент составил 0,28, в 2013 году он уже составил 0,31, а в 2014 году он снизился и достиг 0,21. Оптимальное значение данного коэффициента в диапазоне от 0,8 - 0,9. Просмотрев данную тенденцию можно говорить о слабой финансовой устойчивости и о большой доли внешних источников финансирования. Предприятию ООО «Дом» следует увеличить данный коэффициент путем увеличения собственного капитала, что как следствие приведет к повышению финансовой устойчивости.

Коэффициент соотношения заемных и собственных средств увеличивался на протяжении анализируемого периода и достиг уровня 4,26 в 2014 году. В 2012 году данный показатель составил 2,59, в 2013 году - 2,68. Как мы видим, данный показатель имел тенденцию к увеличению за все три анализируемых года. Для финансовой устойчивости предприятия ООО

«Дом» данный показатель имеет норму < 1. Исходя из этого, можно сказать, что финансовая устойчивость предприятия ООО «Дом» вызывает сомнение. Предприятию необходимо срочно увеличить долю собственного капитала, для того чтобы поправить свое положение, и как следствие это приведет к стабилизации финансовой устойчивости.

На протяжении рассматриваемого периода коэффициент обеспечения собственными оборотными средствами увеличивался. В 2012 году данный коэффициент составил 0,13. В 2013 году данный показатель вырос до 0,17, а в 2014 году составил 0,28. Такую динамику данного показателя следует считать положительной. Нормальное значение данного коэффициента ≥ 0,1.

Видно, что у предприятия ООО «Дом» достаточно оборотных средств, необходимых для его финансовой устойчивости. Следовательно, можно сказать, что изменение анализируемого показателя свидетельствует о повышении финансовой устойчивости предприятия.

Рассматривая значение коэффициента маневренности, мы видим, что показатель меняется с течением времени. В 2012 году данный коэффициент составил 0,40, в 2013 году коэффициент составляет 0,58. 2014 коэффициент маневренности достиг 0,60. Мы замечаем незначительную тенденцию к росту. Каких-либо устоявшихся в практике значений коэффициента маневренности не существует. Можно лишь отметить, что чем выше значение данного показателя, тем более маневренно, а значит более устойчиво предприятие. Исходя из этого, можно говорить о том, что у предприятия есть возможность гибко реагировать на изменение рыночных условий.

Анализируя коэффициент соотношения мобильных и иммобилизованных активов, мы замечаем следующие: в 2012 году коэффициент составил 0,19, в 2013 году данный коэффициент снизился и составил 0,13, когда в 2014 он уже стал 0,08. Для данного показателя оптимального значения не установлено, но этот коэффициент позволяет контролировать оптимальную структуру предприятия. Мы наблюдаем высокую долю оборотных активов, а именно запасы и готовую продукцию. Предприятие ООО «Дом» может увеличить долю внеоборотных активов, например, строительством дополнительного помещения. Предварительно необходимо проконтролировать долю оборотных активов, а именно запасов и готовой продукции, потому что это в дальнейшем может вызвать проблемы при расширении производства.

При расчете коэффициента финансирования мы наблюдаем незначительную тенденцию к снижению. В 2012 году данный показатель составил 0,38, в 2013 году - 0,37, а в 2014 году достиг 0,23.Оптимальное значение для данного коэффициента 1. В качестве вывода можно отметить, что предприятию ООО «Дом» необходимо увеличить собственные средства, например путем увеличения уставного капитала, дополнительных взносов учредителей в имущество общества, дооценкой ОС.

2.3 Анализ показателей платёжеспособности предприятия


Для оценки платежеспособности построим таблицу2.3.1, используя данные бухгалтерского баланса.

Таблица 2.2.1- Группировка актива и пассива баланса

№ п/п

Наименование

Показатель

Формула по балансу

2012 год

2013 год

2014 год

1

Наиболее ликвидные активы

А1

стр. 1250 + 1240

3825+7272=11097

3815+10944 = 14759

9981+10967 = 20948

2

Быстро реализуемые активы

А2

стр. 1230

19996

31997

49075

3

Медленно реализуемые активы

А3

стр. 1210 + 1220 + 1260 + 1230

14786+453+0+1996 = 35235

21101+525+0+31997 = 53623

59247+686+0+49075 = 109008

4

А4

Стр. 1100

9249

9070

10618


Итого:


А1+А2+А3+А4

75577

109449

189649

5

Наиболее срочные обязательства

П1

стр. 1520

39871

53092

110589

6

Краткосрочные пассивы

П2

стр. 1510 + 1540 1550

0+0+0 = 0

0+0+0 = 0

0+0+0 = 0

7

Долгосрочные пассивы

П3

стр. 1400

264

3316

3307

8

Постоянные пассивы

П4

стр. 1300

15446

21044

26678


Итого:



55581

77452

140574


Проанализировав данные таблицы можно сделать следующий вывод. Итак, показатели А1 и П1 на протяжении трех лет отклонились от нормальных значений, а именно А1<П1, это говорит о недостаточности средств для покрытия наиболее срочных обязательств. Считается, что у предприятия присутствует хроническая неплатежеспособность и финансовая неустойчивость.

Взглянув на показатели А2 и П2 мы видим, что быстро реализуемые активы превышают краткосрочные пассивы, и организация может быть платежеспособной в недалеком будущем с учетом своевременных расчетов с кредиторами.

Сравним значения статей А3 и П3. За все три анализируемых года это неравенство соответствовало норме, а именно А3>П3. Это говорит о том, что при своевременном получении денежных средств от продаж и платежей организация может быть платежеспособной на период равный средней продолжительности одного оборота оборотных средств после даты составления баланса.

Рассматривая показатели А4 и П4 мы наблюдаем, что за все три проанализированных года данный показатель выполнял следующие неравенство А4<П4. Соблюдение данного неравенства имеет глубокий экономический смысл - соотношение А4 и П4 отражает финансовую устойчивость, т.е. соблюдение минимальных условий финансовой устойчивости предприятия и наличие у него собственных средств.

Баланс за 2012 - 2014 годы не выполнил четыре условия ликвидности. Отсюда можно сделать вывод, у предприятия на лицо неплатежеспособность и финансовая неустойчивость. Хотя более детальный анализ показателей может выявить причины расхождения с основными условиями ликвидности предприятия.

Для повышения финансовой устойчивости и платежеспособности предприятия необходимо провести следующие мероприятия:

1.        Постараться увеличить собственный капитал путем пополнения уставного капитала за счет дополнительных вкладов собственников. Это поможет увеличить собственные средства предприятия и, как следствие, повысить ликвидность.

2.       Продажа части постоянных активов или сдача в аренду неиспользованных средств.

3.       Сокращение сверхнормативных запасов.

4.       Наладить работу по взысканию дебиторской задолженности, которая позволит высвободить дополнительные средства и тем самым повысить ликвидность.

Необходимо отметить, что проводимый по изложенной схеме анализ ликвидности баланса является приближенным, более детальным является анализ платежеспособности при помощи финансовых коэффициентов.

Рассчитаем показатели ликвидности бухгалтерского баланса

Внесем получившиеся результаты в таблицу 2.3.3.

Таблица 2.3.3- Показатели ликвидности

№ п.п

Коэффициент

Нормальное значение

2012

2013

2014

1

Коэффициент ликвидности

текущей

1 - 2

1,66

1,89

1,61

2

Коэффициент ликвидности

быстрой

> 0,7 - 0,8

0,77

0,88

0,63

3

Коэффициент ликвидности

абсолютной

> 0,2

0,27

0,27

0,18

4

Коэффициент ликвидности

общей

> 1

0,79

1,86

0,70

 5

Коэффициент обеспеченности собственными средствами

 ≥ 0,1

 0,09

 0,11

 0,08


Проанализируем данные расчеты. Коэффициент текущей ликвидности характеризует потенциальную способность предприятия выполнять краткосрочные обязательства за счет всех текущих активов. В течение анализируемого периода данный коэффициент в 2012 году составил 1,66. Это говорит о рациональном использовании средств предприятия. В 2013 году он повысился и составил 1,89, после чего в 2014 году он снизился до 1,61. Оптимальное значение для данного коэффициента в диапазоне от 1 до 2. И хотя компания ООО «Дом» в состоянии покрыть все свои текущие обязательства за счет имеющихся оборотных средств и значение данного показателя за все три года входит в норму, тенденция к снижению данного показателя свидетельствует об ухудшении ликвидности предприятия.

На протяжении анализируемого периода коэффициент быстрой ликвидности предприятия ООО «Дом» составил в 2012 году 0,77, данный коэффициент увеличился в 2013 году до 0,88. Это говорит о том, что предприятие может при необходимости погасить с помощью быстро ликвидных и высоко ликвидных активов свои краткосрочные обязательства.

В 2014 году коэффициент быстрой ликвидности имел незначительную тенденцию к снижению и составил 0,63. Нормальное значение данного показателя должно быть больше 0,7 - 0,8. Как мы видим, это условие выполняется лишь в 2012 и 2013 годах, а вот в 2014 году данный коэффициент не выполняет заданного условия. Несмотря на оптимальное значение коэффициента в 2012 и 2013 годах, в 2014 году ситуация ухудшается. Это свидетельствует о том, что предприятия не гарантирует быстрого и своевременного погашения с помощью быстро ликвидных и высоко ликвидных активов свои краткосрочные обязательства.

Рассматривая показатель абсолютной ликвидности, мы наблюдаем следующие: в 2012 и в 2013 годах данный показатель составил 0,27. Оптимальное значение данного коэффициента больше 0,2. Исходя из этого делаем вывод, что предприятие в силах расплачиваться по задолженности при необходимости за счет средств на различных счетах. В 2014 году коэффициент абсолютной ликвидности снизился и составил 0,18, что не входит в диапазон оптимального значения. Необходимо выяснить причины падения ликвидности предприятия в 2014 году, возможно свободные денежные средства были направлены на пополнение запасов, другой причиной может быть плохая собираемость дебиторской задолженности.

При расчете коэффициента общей ликвидности в анализируемом периоде мы наблюдаем незначительную тенденцию к увеличению данного показателя в 2012 и 2013 годах. В 2012 году данный коэффициент составил 0,79, когда в 2013 году он вырос до 0,86. Оптимальное значение данного коэффициента больше 1. В 2014 году коэффициент снизился и составил 0,70, что не входит в диапазон оптимального значения. Итак, оценивая показатель общей ликвидности, мы видим, что предприятие ООО «Дом» не в силах полностью расплачиваться по своим обязательствам всеми видами активов. Соответственно это говорит о высоком финансовом риске, связанным с тем, что предприятие не в состоянии оплачивать текущие счета. Предприятию ООО «Дом» необходимо пересмотреть свою работу в области взысканию дебиторской задолженности, увеличить собственные средства, уменьшить приобретение сверхнормативных запасов.

Что касается коэффициента обеспечения собственными средствами, мы наблюдаем следующие: в 2012 году данный показатель составил 0,09. Нормальное значение данного коэффициента должно быть больше или ровно 0,1. Как мы видим, в 2012 году у предприятия ООО «Дом» недостаточно собственных оборотных средств, необходимых для его финансовой устойчивости, что можно сказать и о 2014 году, когда данный показатель составил 0,08. Оптимальное значение данного коэффициента было лишь в 2013 году - 0,11.

Делая общий вывод можно сказать что, предприятию необходимо пересмотреть политику в области собственных средств. Предприятие ООО

«Дом» может, как вариант, увеличить уставный капитал, снизить дивиденды и перевести нераспределенную прибыль в резерв, минимизировать цены на поставленные материалы, но при этом соблюдать требуемый уровень качества поставленных запасов, обеспечение дальнейшего совершенствования планирования товара - денежных потоков, по возможности взыскать дебиторскую задолженность.

ГЛАВА 3. ПУТИ СОВЕРШЕНСТВОВАНИЯ ФИНАНСОВОЙ УСТОЙЧИВОСТИ И ПЛАТЕЖЕСПОСОБНОСТИ ПРЕДПРИЯТИЯ ООО «ДОМ»

3.1 Информационные технологии в анализе финансовой устойчивости и платежеспособности предприятия ООО «Дом»

Для увеличения достоверности, оперативности и объективности результирующих показателей анализа финансовой устойчивости предлагаю осуществить следующие мероприятия:

1)     организовать внутреннюю службу контроля за финансовыми показателями хозяйственной деятельности предприятия. Данное мероприятия повысит оперативность ведения управленческого учета и анализа на предприятии;

2)     установить нормативы текущих и долгосрочных обязательств предприятия. Данное мероприятие позволит четко контролировать процесс ликвидности и платежеспособности предприятия. Вследствие установления нормативов (в процентах от общей и стоимости активов согласно степени ликвидности) управляемость деятельностью предприятия значительно повысится;

3)   разработать и внедрить систему документального оборота в системе управленческого учета и анализа деятельности предприятия. Такое мероприятие позволит разрабатывать планы по всем направлениям хозяйственной деятельности предприятия, а значит повысить управляемость объектом. Вследствие таких действий, руководство сможет планировать денежные потоки предприятия, а значит более эффективно использовать ресурсы;

4)  провести полную автоматизацию учетно-аналитического процесса на предприятии. Вследствие таких действий каждый из участков ответственности сможет пользоваться общей информацией о текущем состоянии предприятия, о ходе выполнения стратегических планов. Владение информацией позволит четко корректировать планы работы предприятия, заблаговременно выявлять отклонения в ходе исполнения планов и их ликвидировать. Программа позволит также проводить финансовый анализ и оценку показателей (ФАО);

5)   провести модернизацию ОПФ предприятия. Поскольку при текущем финансовом состоянии предприятия, учитывая уровень конкуренции на рынке работы хозяйственного субъекта, ООО «Дом» не может использовать экстенсивные пути увеличения объемов реализации, поэтому для наращивания получаемой прибыли предприятию необходимо модернизировать оборудование, совершенствовать технологию производства. Вследствие модернизации, себестоимость произведенной продукции снизится, качество увеличится, поэтому основных эффектом модернизации является наращивание объемов реализации;

6)   разработать комплекс решений по минимизации рисков, с которыми сопряжена финансово-хозяйственная деятельность предприятия. Такие решения смогут значительного понизить потери предприятия вследствие воздействия ряда факторов, а значит повысить эффективность его деятельности.

Главным критерием при выборе способа автоматизации для ООО

«Дом» должна являться техническая мощность программного обеспечения.

Необходимо также учитывать режим работы с программным обеспечением, ведь на предприятии работает несколько бухгалтеров и экономистов, поэтому необходимо осуществить поиск альтернативных вариантов совмещения их работы. Важнейшим показателем является и возможность обновления данных, форматирования форм, экспорта и импорта документов.

Аналоговыми программами, которые используются для ведения для анализа и бухгалтерского учета являются: ПМП "Контролинг", АБВ-бюджет и Галактика.

Учитывая особенности специализированных программ, составим их сводную характеристику в табл. 3.1.1

Таблица 3.1.1- Сравнительные характеристики аналоговых программ по анализу и учету

   Наименование

  Модель архитектурной структуры

Многооконность интерфеса

Способность к обмену данных

Вожмоность к усовершенствованию и дополнительным настройкам

  Параметры импорта данных

  Параметры экспорта данных

1

3

4

5

6

7

8

  1С.Бухгалтерия 7.7. Бюджет-учет (с дополнительной конфигурацией)

  Модель построения интерфейса: клиент-серверной архитектуры

MDI интерфейс

Он лайн перенос решений на сервер

Возмощность дополнительных конфигураций

 Возможность работы с базами данных других программ в формате dbf

   Возможность экспорта в формате dbf

   ПМП "Контролинг"

  Модель трехъярусной архитектуры

SDI интерфейс

Оф-лайн репликации

Отсутствуют

Возможность работы с базами данных других программ в формате xls

  Возможность экспорта в формате dbf

  Галактика

 Модель сервисной ориентированной архитектуры

 MDI интерфейс

Он-лайн

Отсутствуют

 Отсутствует возможность обмена данными

 Возможность экспорта в формате xls

  АВС-бюджет

 Модель терминальной архитектуры

SDI интерфейс

Оф-лайн перенос данных

Отсутствуют

Отсутствует возможность обмена данными

Возможность экспорта в формате xls


На основании анализа, проведенного в табл. 3.1, можно утверждать о том, что с точки зрения технических мощностей, дополнительная конфигурация к программе 1С.Бухгалтерия 7.7 является наиболее приемлемым вариантом для исследованного предприятия.

Рисунок 3.1. Интерфейс программы 1С.Бухгалтерия 7.7

Согласно размера цен на программное обеспечение, рассмотрим уровень средневзвешенных цен на определенные программы

На основании можно определить, что соотношение между ценой и качеством программ - не соответственное. Наиболее оптимальным вариантом для ООО «Дом» является приобретение дополнительной конфигурации к существующей программе учета, которая позволит выполнять и учетные и аналитические функции.

Практика показала, что парольная политика защиты секретных компонент ключей не привела к значительному уменьшению атак, а всего лишь снизила вероятность использования ключа при прямой краже носителя. Это наиболее сложная технология, являющаяся развитием Clientless

NAC-решений. Фактически она представляет собой работающий в браузере (с использованием Java-апплетов, ActiveX.) полноценный endpoint-клиент, позволяющий без установки дополнительного ПО обеспечивать базовую защиту мест на удалённых компьютерах на время сессии работы.

3.2 Мероприятия, направленные на повышение финансовой устойчивости и платежеспособности предприятия

Анализ предприятия, проведенный во второй главе, показал следующее:

1)   имущественные и финансовые показатели предприятия снизились;

2)       на предприятии полностью не выполняется функция контроля;

)         хотя система бухгалтерского учета является автоматизированной, управленческий учет и анализ проводиться только прямым документарным методом;

)         не налажен процесс планирования производственно-хозяйственной деятельности предприятия;

)         требуется увеличить объемы реализации предприятия за счет увеличения выпуска (а не повышения цены).

Увеличение денежных потоков может быть достигнуто следующими способами:

–   ускорения оборачиваемости капитала в текущих активах;

–   пополнения собственного оборотного капитала за счет внутренних и внешних источников;

–   сдачи в аренду излишков производственных и административных площадей;

–  продажи неиспользуемых площадей.

Потребление финансовых ресурсов можно оптимизировать за счет:

–  отсрочки кредиторской задолженности;

–  привлечения к использованию необходимых видов основных средств и нематериальных активов на условиях лизинга.

Рассмотрим каждое мероприятие более подробно.

а) Ускорение оборачиваемости капитала в оборотных (текущих) активах. В результате ускорения оборачиваемости капитала в текущих активах произойдет его относительное сокращение на рубль оборота. Ускорение оборачиваемости капитала может быть достигнуто за счет:

1)   сокращения продолжительности производственного цикла благодаря интенсификации производства, что может быть достигнуто за счет уменьшения периода оборота запасов, уменьшения периода оборота незавершенного производства, уменьшения периода оборота готовой продукции. Для сокращения времени нахождения средств в запасах необходимо ликвидировать сверхнормативные запасы, использовать их более рационально. Сокращение времени пребывания оборотных средств в незавершенном производстве достигается путем совершенствования организации производства, улучшения применяемых техники и технологии, совершенствования использования основных фондов, прежде всего их активной части, экономии по всем стадиям движения оборотных средств.

Для уменьшения времени нахождения денежных средств в готовой продукции необходимы: рациональная организация сбыта готовой продукции, применение прогрессивных форм расчетов, своевременное оформление документации и ускорение ее движения, соблюдение договорной и платежной дисциплины;

2)      сокращения времени нахождения средств в дебиторской задолженности, которое может быть получено за счет ускорения инкассации дебиторской задолженности, рефинансирования дебиторской задолженности, подачи имущественного иска на должника в арбитражный суд. Ускорение инкассации дебиторской задолженности может быть следствием уменьшения сроков предоставляемого коммерческого и потребительского кредита.

Для совершенствования финансово-хозяйственной деятельности предприятия предлагаем осуществить следующие мероприятия:

1)     организовать внутреннюю службу контроля за финансовыми показателями хозяйственной деятельности предприятия. Данное мероприятие повысит оперативность ведения управленческого учета и анализа на предприятии;

2)     установить нормативы текущих и долгосрочных обязательств предприятия. Данное мероприятие позволит четко контролировать процесс финансовой устойчивости предприятия. Вследствие установления нормативов (в процентах от общей и стоимости активов согласно степени ликвидности) управляемость деятельностью предприятия значительно повысится;

3)   разработать и внедрить систему документального оборота в системе управленческого учета и анализа деятельности предприятия. Такое мероприятие позволит разрабатывать планы по всем направлениям хозяйственной деятельности предприятия, а значит повысить управляемость объектом. Вследствие таких действий, руководство сможет планировать денежные потоки предприятия, а значит более эффективно использовать ресурсы;

4)  провести полную автоматизацию учетно-аналитического процесса на предприятии. Вследствие таких действий, каждый из участков ответственности сможет пользоваться общей информацией о текущем состоянии предприятия, о ходе выполнения стратегических планов. Владение информацией позволит четко корректировать планы работы предприятия, заблаговременно выявлять отклонения в ходе исполнения планов и их ликвидировать;

5)   провести модернизацию ОПФ предприятия. Поскольку при текущем финансовом состоянии предприятия, учитывая уровень конкуренции на рынке работы хозяйственного субъекта, ООО «Дом» не может использовать экстенсивные пути увеличения объемов реализации, поэтому для наращивания получаемой прибыли предприятию необходимо модернизировать оборудование, совершенствовать технологию производства. Вследствие модернизации, себестоимость произведенной продукции снизится, качество увеличится, поэтому основных эффектом модернизации является наращивание объемов реализации;

6)        Сократить излишки запасов и затрат. Такое сокращение достигается распродажей остатков товаров и готовой продукции, ликвидацией излишков производственных запасов. Размер снижения запасов и затрат зависит от желаемого типа устойчивости.

7)       Увеличение собственного капитала. Такая стратегия обеспечивает повышение финансовой устойчивости за счет результирующего прироста собственных оборотных средств. Так как собственные оборотные средства представляют собой разность собственного капитала и основных средств, то изменение собственного капитала приведет к изменению собственных оборотных средств. Наращивание собственного капитала достигается путем увеличения уставного капитала, снижением дивидендов и увеличением нераспределенной прибыли и резервов, подъемом рентабельности.

8)   Дебиторская задолженность является источником погашения кредиторской задолженности предприятия. Если на предприятии будут заморожены сумму в расчетах с покупателями и заказчиками, то оно может почувствовать большой дефицит денежных средств, что приведет к образованию кредиторской задолженности, просрочкам платежей в бюджет, внебюджетные фонды, отчислениям по социальному страхованию и обеспечению, задолженности по заработной плате и прочим платежам. Это в свою очередь повлечет за собой уплату штрафов, пеней, неустоек. Для улучшения финансового состояния предприятия необходимо четко контролировать и управлять как дебиторской, так и кредиторской задолженностью, следить за их качеством и соотношением.

Лишь умелое применение перечисленных мероприятий может обеспечить соответствующие темпы роста эффективности производственно- хозяйственной деятельности.

Анализ в практической части работы выявил значительное влияние дебиторской задолженности на показатели платёжеспособности и ликвидности предприятия. Поэтому необходимо разработать и рекомендации по минимизации рисков потери платёжеспособности и ликвидности ООО «Дом».

По нашему мнению, работа предприятия в системе управления дебиторской задолженности должна предусматривать 2 взаимосвязанных этапа, а именно: работу с текущими дебиторами, задолженность которых является простроченной, работу с будущими клиентами.

3.3 Экономический эффект, предложенных мероприятий

Данный прогноз составлен с использованием метода изменения значений во временном ряду при наличии одной переменной.

Анализ в данном параграфе дипломной работы начнем с прогноза сальдо денежного потока (табл. 3.3.1).

На основании выше представленных данных установлено, что комплексное использование предложенных мероприятий позволит значительно увеличить положительный поток денежных средств и сбалансировать их оттоки.

Таким образом, уже во втором году реализации мероприятий, операционная деятельность хозяйственного субъекта будет генерировать положительное сальдо.

Таблица 3.3.1- Прогноз сальдо денежного потока ООО «Дом» на 2017-2019 гг.

  Показатель

 Значение, тыс. руб.

Абсолютное отклонение, тыс. руб.

Относительное отклонение, %


в 2017г.

в 2018г.

в 2019 г.

в 2018г.

в 2019 г.

в 2018г.

в 2019 г.

Поступление от продажи продукции (выручка)

  61794

  110268

  155698

  48474

  45430

  178,44

  141,20

Поступления от прочих источников

 3821

 4378

 7233

 557

 2856

 114,57

 165,23

Выплаты поставщикам за сырье, материалы, работы, услуги

   12198

   21698

   38494

   9500

   16796

   177,88

   177,41

Выплаты персоналу

23860

39130

61826

15270

22696

164,00

158,00

Прочие выплаты

37082

38565

39973

1483

1408

104,00

103,65

Сальдо финансовой устойчивости от текущей деятельности

   -11346

   3906

   26544

   15252

   22638

   -34,42

   679,60


Согласно выше представленным данным сделан вывод о том, что при использовании предложенных рекомендация, диверсификация деятельности предприятия не предусматривается.

На основании приведенных данных сделан вывод о том, что комплексное использование предложенных мероприятий будет способствовать увеличению показателей финансовой устойчивости, увеличивая тем эффективность управляемости финансовой устойчивостью.

Согласно проведенным расчетам установлено, что в результате использования предложенных мероприятия по увеличению эффективности управления финансовой устойчивостью руководству ООО «Дом» удастся стабилизировать и улучшить показатели общей финансовой устойчивости. Это, непосредственно позволит увеличить свободную ликвидную массу и планово наращивать объемы внеоборотных активов.

При проведении дальнейшего прогнозирования сконцентрируем внимание в области установлении типа стабилизации и развития частичных показателей финансовой устойчивости.

Таблица 3.3.3- Прогноз типа финансовой устойчивости ООО «Дом» на 2017- 2019 гг.

Показатель

Значение, тыс. руб.


в 2017 г.

в 2018 г.

в 2019 г.

1. Сумма запасов (С)

8

14,2

25,3

2. Собственный оборотный капитал (СОС)

-17209

-7227,7

8962,4

3. Нормальные источники финансирования запасов, всего (НДФ)

 5381

 7802,4

 11313,5

3.1. Собственный оборотный капитал

-17209

-7227,7

8962,4

3.2. Краткосрочные банковские кредиты и займы для покрытия запасов

 0



3.3. Расчеты с кредиторами за товары, работы, услуги (кредиторская задолженность)

 22590

 20105,1

 17893,5

4. Кредиты и займы, не оплаченные в срок (НККБ)

-

-

-

5. Просроченная кредиторская задолженность (ПКЗ)

-

-

-

6. Просроченная дебиторская задолженность (ПДЗ)

-

-

-

7. Тип текущей финансовой устойчивости

 ухудшенная

ухудшенная с тенденцией улучшения

 нормальная


На основании проведенных расчетов можно сделать вывод о том, что вследствие использования рекомендаций в управленческой деятельности ООО «Дом» финансовая устойчивость в первом периоде - стабилизируется, а во втором - увеличится. Это в свою очередь характеризирует разработанные рекомендации как эффективные.

 

ЗАКЛЮЧЕНИЕ

Под финансовой устойчивости понимают характеристику, свидетельствующую о стабильном положении предприятия: о превышении доходов над расходами, свободном распоряжении денежными средствами и эффективном их использовании, бесперебойном процессе производства и реализации продукции.

Платежеспособность - это возможность предприятия расплачиваться по своим обязательствам.

Изучены методы оценки финансового состояния предприятий торговли на примере анализа финансово-хозяйственной деятельности предприятия ООО «Дом».

Задачи, поставленные в ходе исследования, выполнены:

-   изучена сущность и содержание понятий финансовой устойчивости и платёжеспособности;

-  определена методика расчета показателей финансовой устойчивости и платежеспособности;

-  представлена общая характеристика предприятия ООО «Дом»;

-        проанализированы показатели финансовой устойчивости исследуемого предприятия;

-   проведен анализ показатели платёжеспособности предприятия ООО «Дом»;

-      раскрыта роль информационных технологий в повышении финансовой устойчивости и платежеспособности предприятия;

-   разработаны мероприятия, направленные на повышение финансовой устойчивости и платежеспособности предприятия ООО «Дом»;

-  спрогнозирован экономический эффект предложенных мероприятий.

Кроме того, проведенное исследование позволило углубить собственные теоретические знания и приобрести практические навыки профессионального опыта.

Финансовый анализ, проведенный в дипломной работе, показал, что предприятие ООО «Дом» является слабо ликвидном, т.к. у него средние количество собственных средств, большое количество краткосрочных обязательств и долгосрочных обязательств.

В исследуемый период оказалось, что:

-  имущественные и финансовые показатели предприятия снизились;

-         на предприятии не полностью выполняется функция контроля;

-    хотя система бухгалтерского учета является автоматизированной, управленческий учет и анализ проводиться только прямым документарным методом;

-   не налажен процесс планирования производственно-хозяйственной деятельности предприятия;

-     требуется увеличить объемы реализации предприятия за счет увеличения выпуска (а не повышения цены).

Были предложены следующие мероприятия, направленные на увеличение денежных потоков, повышение финансовой устойчивости и платежеспособности ООО «Дом»:

–   ускорения оборачиваемости капитала в текущих активах;

–   пополнения собственного оборотного капитала за счет внутренних и внешних источников;

Кроме того, предложено оптимизировать потребление финансовых ресурсов за счет отсрочки кредиторской задолженности, привлечения к использованию необходимых видов основных средств и нематериальных активов на условиях лизинга.

Проведенные расчеты позволили сделать вывод об эффективности разработанных рекомендаций по совершенствованию финансово- хозяйственной деятельности ООО «Дом». Реализация предложенных мероприятий приведет к тому, что финансовая устойчивость предприятия в первом периоде - стабилизируется, а во втором - увеличится.

СПИСОК ИСПОЛЬЗОВАННЫХ ИСТОЧНИКОВ

1. Положение по бухгалтерскому учету «Учетная политика организации» (ПБУ 1/2008), утв. приказом Минфина РФ № 106н от 06.10.2008.

2. Положение по бухгалтерскому учету «Учет договоров строительного подряда» (ПБУ 2/2014), утв. приказом Минфина РФ № 116н от 24.10.2014.

3. Положение по бухгалтерскому учету «Учет активов и обязательств, стоимость которых выражена в иностранной валюте» (ПБУ 3/2006), утв. приказом Минфина РФ № 154н от 27.11.2006.

4. Положение по бухгалтерскому учету «Учет материально- производственных запасов» (ПБУ 5/2001), утв. приказом Минфина РФ № 44н от 09.06.2001.

5. Положение по бухгалтерскому учету «Доходы организации» (ПБУ 9/99), утв. приказом Минфина РФ № 32н от 06.05.1999.

6. Положение по бухгалтерскому учету «Расходы организации» (ПБУ 10/99), утв. приказом Минфина РФ № 33н от 06.05.1999.

7. План счетов бухгалтерского учета финансово-хозяйственной деятельности предприятия и инструкция по его применению, утв. Приказом Министерства финансов РФ от 31.10.2000 № 94н.

8. Абчук В.А. Учет и аудит / В.А. Абчук.- М: Юнити, 2014. - 51 с.

9. Баканов М.И. Теория экономического анализа / М.И. Баканов. - М.: Финансы и статистика, 2014. - 37 с.

10. Балабанов И.Т. Риск-менеджмент / И.Т. Балабанов. - М.: Финансы и статистика, 2014. - 412 с.

11. Балдин К.В. Налоговый учет. 2-е изд. /К.В. Балдин. - М: ФиС, 2014. - 384 с.

12. Бартон Т., Шенкир У. Аудит. Практика ведущих компаний. / пер. А.В. Виханского. - М: Юнити, 2007. - 194 с.

13. Бланк И.А. Экономический анализ / И.А Бланк. - М: Издание, 2014. - 315 с.

14. Брызгалин А.В. Учетная политика организации для целей анализа / А.В. Брызгалин. - М.: Налоги и финансовое право, 2007. - 200 с.

16. Ворон А.Т. Бухгалтерский учет /А.Т. Ворон. - М: Юнити, 2014. - 5 с.

17. Гончаров Д.С. Комплексный подход к управлению для российских компаний / Д.С. Гончаров. - М.: Вершина, 2014. - 164 с.

18. Ермасова Н.Б. Бухгалтерский учет организации / Н.Б. Ермасова. - М: Альфа, 2014. - 515 с.

19. Караванова Б.П. Учет и анализ организации: Учебное пособие / Б.П. Караванова. - М.: Финансы и статистика, 2014. - 128 с.

20. Лобанов А.А. Энциклопедия анализа 3-е изд / А.А. Лобанов. - М: Альпина Бизнес Букс, 2007. - 210 с.

21. Лобанов А.А. Энциклопедия экономического управления / А.А. Лобанов. - М: Альпина Бизнес Букс, 2014. - 12 с.

22. Макаревич Л.М. Аудит / Л.М. Макаревич. - М: ФиС, 2014. - 481 с.

23. Малыхин В. И. Финансовая математика / В. И. Малыхин. - М: ЮНИТИ-ДАНА, 2014. - 856 с.

24. Мельников А.В. Аудит и анализ. Учебное пособие / А.В. Мельников. - М: Анкил, 2014. -178 с.

25. Мизиковский И.Е. Бухгалтерский управленческий учет: курс- минимум / И.Е. Мизиковский.- М.: Магистр, 2014. - 110 с.

26. Минат В.Н. Финансовая среда предпринимательства и предпринимательские риски / В.Н. Минат. - М: Экзамен, 2015. - 181 с.

27. Николаева Г.А. Финансовый менеджмент / Г.А. Николаева. - М., Приор-издат, 2011. - 352 с.

28. Пошерстник Н.В. Денежные потоки на современном предприятии: пособие / Н.В. Пошерстник- М.: Проспект, 2014. - 552 с.

29. Савицкая Г. В. Анализ хозяйственной деятельности предприятий АПК: учебник. - 3-е изд., испр / Г. В. Савицкая. - Мн.: Новое знание, 2014. - 687 с.

30. Самохвалова А.Р. Учет и анализ./ А.Р. Самохвалова - М: Палеотип, 2014. - 155 с.

31. Ступаков В.С. Учет и аудит / В.С. Ступаков. - М: Финансы и статистика, 2014. - 451 с.

32. Трактаров Г.А. Финансовая среда предпринимательства: учебное пособие для вузов / Г.А. Трактаров.- М: ФиС, 2014. - 33 с.

33. Филина Ф. Н. Финансовый менеджмент / Ф. Н. Филина. - М: Гросс Медиа, 2015. - 171 с.

34. Фомичев А.Н. Финансовый менеджмент / А.Н. Фомичев. - М: Дашков и К, 2014. - 411 с.

35. Хаертфельдер М. Учет и анализ / М. Хаертфельдер. - С-Пб: Питер, 2014. - 415 с.

36. Холмс Эндрю. Налоги./пер. В.С. Дикор - М: Эксмо, 2014. - 178 с.

37. Четыркин Е.М. Финансовый менеджмент / Е.М. Четыркин. - М: Дело, 2011. - 441 с.

38. Шапкин А. Э. Финансовый менеджмент / А. Э. Шапкин. - М: Дашков и К, 2014. - 339 с.

39. Шоломицкий А.Г. Финансовый менеджмент / А.Г. Шоломицкий.- М: ГУ ВШЭ, 2014. - 382 с.

40. Шохин Е.И. Учет и анализ / Е.И. Шохин.- М: ИД ФБК-Пресс, 2014. - 569 с.

Похожие работы на - Методы оценки финансового состояния предприятия торговли

 

Не нашли материал для своей работы?
Поможем написать уникальную работу
Без плагиата!
Без нейросетей!